Movatterモバイル変換


[0]ホーム

URL:


CN113171178A - Snake joint, surgical instrument and endoscope - Google Patents

Snake joint, surgical instrument and endoscope
Download PDF

Info

Publication number
CN113171178A
CN113171178ACN202110443532.2ACN202110443532ACN113171178ACN 113171178 ACN113171178 ACN 113171178ACN 202110443532 ACN202110443532 ACN 202110443532ACN 113171178 ACN113171178 ACN 113171178A
Authority
CN
China
Prior art keywords
joint
hinge
serpentine
hinge axis
instrument
Prior art date
Legal status (The legal status is an assumption and is not a legal conclusion. Google has not performed a legal analysis and makes no representation as to the accuracy of the status listed.)
Granted
Application number
CN202110443532.2A
Other languages
Chinese (zh)
Other versions
CN113171178B (en
Inventor
何裕源
何超
翟少朋
Current Assignee (The listed assignees may be inaccurate. Google has not performed a legal analysis and makes no representation or warranty as to the accuracy of the list.)
Shanghai Microport Medbot Group Co Ltd
Original Assignee
Shanghai Microport Medbot Group Co Ltd
Priority date (The priority date is an assumption and is not a legal conclusion. Google has not performed a legal analysis and makes no representation as to the accuracy of the date listed.)
Filing date
Publication date
Application filed by Shanghai Microport Medbot Group Co LtdfiledCriticalShanghai Microport Medbot Group Co Ltd
Priority to CN202110443532.2ApriorityCriticalpatent/CN113171178B/en
Publication of CN113171178ApublicationCriticalpatent/CN113171178A/en
Priority to PCT/CN2022/088639prioritypatent/WO2022223045A1/en
Application grantedgrantedCritical
Publication of CN113171178BpublicationCriticalpatent/CN113171178B/en
Activelegal-statusCriticalCurrent
Anticipated expirationlegal-statusCritical

Links

Images

Classifications

Landscapes

Abstract

The invention relates to a snake-shaped joint, a surgical instrument and an endoscope, wherein the snake-shaped joint has at least one degree of freedom and comprises at least one joint, and the joint comprises a first joint, a second joint and a limiting mechanism; the first joint and the second joint are hinged through the limiting mechanism and form at least one pair of hinge axes, and the at least one pair of hinge axes are not collinear. The surgical instrument or endoscope includes an instrument tip that includes a serpentine joint. The invention ensures that the snake-shaped joint has a larger movement range while shortening the length of the snake-shaped joint, thereby reducing the difficulty of operation.

Description

Snake joint, surgical instrument and endoscope
Technical Field
The invention relates to the technical field of medical instruments, in particular to a snake-shaped joint, a surgical instrument and an endoscope.
Background
With the rapid development of robots, various robots with characteristics are emerging continuously, and among them, the research on bionic robots is more and more prominent, and the research on snake-shaped robots is more and more. The root cause of the production and development of serpentine robots is that they can perform actions that normal robots cannot perform. The motion of the snake-shaped robot is similar to that of a snake in nature, plane torsion and space torsion can be realized, and an obstacle is avoided in the motion process, so that the robot is used for completing tasks which cannot be completed by people or other machines. In view of this feature, serpentine robots for medical surgery have also slowly emerged. Especially in the minimally invasive surgery process, as the wound is small, in order to achieve better treatment effect and reduce the damage to other tissues in the surgery process, a snake-shaped joint surgical instrument is mostly adopted to avoid other organs in the surgery process. This advantage allows for a serpentine joint surgical instrument that can be used in surgical applications.
However, the existing surgical instruments need a certain movement space to complete the joint swing at a certain angle, but in a narrow space, there is a risk that the surgical instruments are difficult to operate due to movement interference of the surgical instruments. Not only here, in the snake-shaped joint that current surgical instruments used, the structural connection of a kind of short connecting rod has passed through between the joint, and it can realize the torsional motion in space through different arrangement modes, but in the bending and twisting process, have the joint length overlength when the same angle demand of bending, the motion precision is low, and the structure is complicated, and a set of snake bone unit motion scope is little shortcoming.
Disclosure of Invention
In view of one or more of the above problems, the present invention aims to provide a serpentine joint, a surgical instrument and an endoscope, so as to solve the problems of long joint length, small motion range and the like existing in the existing serpentine joint.
In view of the above, the present invention provides a serpentine joint having at least one degree of freedom and comprising at least one joint; the joint comprises a first joint, a second joint and a limiting mechanism; the first joint and the second joint are hinged through the limiting mechanism and form at least one pair of hinge axes, and the at least one pair of hinge axes are not collinear.
Optionally, the first joint and the second joint are hinged through the limiting mechanism and form two pairs of hinge axes, and the two pairs of hinge axes are not collinear with each other; the two pairs of hinge axes comprise a first hinge axis, a second hinge axis, a third hinge axis and a fourth hinge axis;
the joint is provided with a first symmetrical surface and a second symmetrical surface, the first symmetrical surface is perpendicular to the second symmetrical surface, and the first hinge axis, the second hinge axis, the third hinge axis and the fourth hinge axis are parallel to the first symmetrical surface; the first and second hinge axes are symmetrical about the first plane of symmetry and lie on the second plane of symmetry; the third hinge axis and the fourth hinge axis are symmetrical about the first plane of symmetry and are located on the same side of the second plane of symmetry;
wherein: the height of the joint satisfies the following relationship:
Figure BDA0003036030190000021
Figure BDA0003036030190000022
d is the diameter of the joint; theta is the unilateral maximum bending angle of the joint; s is the thickness of the reserved structural strength of each joint; h is the height of the joint; m is 2 times of the vertical distance from the third hinge axis or the fourth hinge axis to the second symmetrical surface; n is 2 times the perpendicular distance of the third hinge axis or the fourth hinge axis to the first plane of symmetry.
Optionally, the limiting mechanism includes a first connecting portion and a second connecting portion, and the first joint includes a first hinge portion and a second hinge portion; the second joint comprises a third hinge and a fourth hinge;
the first hinge part is hinged with the first connecting part and forms the first hinge axis;
the second hinge part is hinged with the second connecting part and forms the second hinge axis;
the third hinge part is hinged with the first connecting part and forms a third hinge axis;
the fourth hinge portion is hinged to the second connecting portion and forms the fourth hinge axis.
Optionally, the first joint comprises a first joint base and a first articulation block; the second joint comprises a second joint base and a second articulation block; the first hinging block is detachably arranged on the first joint base; the second hinge block is detachably arranged on the second joint base, and the first hinge part and the second hinge part are arranged on the first hinge block; the third hinge part and the fourth hinge part are arranged on the second hinge block.
Optionally, the first hinge block includes a first positioning boss and a first extension, and the second hinge block includes a second positioning boss and a second extension;
the first joint base has a first central passage therethrough; the second joint base has a second central passage therethrough; the first central passage and the second central passage each have a step face; the first positioning boss is matched with the step surface of the first central passage, and the second positioning boss is matched with the step surface of the second central passage;
the first hinge and the second hinge are disposed on the first extension, and the third hinge and the fourth hinge are disposed on the second extension;
the first extending portion and the second extending portion are arranged between the first connecting portion and the second connecting portion, and one end of the first extending portion is abutted to one end of the second extending portion.
Optionally, the limiting mechanism includes a connecting portion, and the first joint and the second joint are hinged by the connecting portion and form a pair of hinge axes;
the first joint comprises one hinge part, the second joint comprises another hinge part, and the one hinge part is hinged with the one connecting part and forms a hinge axis; the other hinge part is hinged with the one connecting part and forms another hinge axis; the one and the other hinge axis are the first and the third hinge axis, respectively, or the one and the other hinge axis are the second and the fourth hinge axis, respectively;
the first joint comprises a first limiting part; the second joint comprises a second limiting part; the two first limiting parts are symmetrically arranged relative to the first symmetrical plane; the two second limiting parts are symmetrically arranged relative to the first symmetrical plane; the first limiting part and the second limiting part are matched in a pairwise sliding manner; wherein one of the first limiting part and the second limiting part is an arc-shaped sliding groove, the other one is a sliding column boss, and the arc-shaped sliding groove is determined according to the track of the second joint or the first joint when the second joint or the first joint rotates towards the first direction and the second direction.
Optionally, the joint further comprises an anti-falling mechanism for limiting the position of the limiting mechanism.
Optionally, the limiting mechanism includes a first connecting portion and/or a second connecting portion; the first joint and the second joint are hinged through the first connecting part and form a pair of hinge axes, and/or the first joint and the second joint are hinged through the second connecting part and form another pair of hinge axes;
the anti-falling mechanism comprises a first stop block and a second stop block; the first stop block is detachably arranged on the first joint; the second stopper is detachably arranged on the second joint; one end of the first stop block is abutted against one end of the second stop block and is positioned between the first connecting portion and the second connecting portion, and the first stop block and the second stop block abut against the first connecting portion and/or the second connecting portion through side faces respectively.
Optionally, each stopper has a wire feeding hole for allowing the traction body to pass through, the wire feeding hole is communicated with an arc-shaped wire guiding slide way inside the stopper, a transition arc surface is arranged at a wire outlet of the arc-shaped wire guiding slide way, and the bending radius of the transition arc surface is greater than that of the rest part of the arc-shaped wire guiding slide way.
Optionally, the first joint further has a first motion limiting surface and a second motion limiting surface, and the second joint further has a third motion limiting surface and a fourth motion limiting surface;
the first motion limiting surface is used for being matched with the third motion limiting surface so as to limit the maximum angle of the joint when the joint rotates towards the first direction;
the second motion limiting surface is used for being matched with the fourth motion limiting surface so as to limit the maximum angle of the joint when the joint rotates towards the second direction.
Optionally, the maximum angle of deflection of the serpentine joint in the first direction is 140 ° and the maximum angle of deflection in the second direction is 140 °.
Optionally, the first joint includes a first threading channel, the second joint includes a second threading channel, and a position of the second threading channel corresponds to a position of the first threading channel;
an arc-shaped first guide surface is arranged at the outlet of the first wire threading channel, the bending radius of the first guide surface is larger than the bending radius of the rest part of the first wire threading slide way, and/or an arc-shaped second guide surface is arranged at the outlet of the second wire threading channel, and the bending radius of the second guide surface is larger than the bending radius of the rest part of the second wire threading slide way.
Optionally, the first joint comprises a first positioning feature and a second positioning feature, and the second joint comprises a third positioning feature and a fourth positioning feature; one of the first positioning feature and the second positioning feature is a protrusion, and the other one of the first positioning feature and the second positioning feature is a groove; one of the third positioning feature and the fourth positioning feature is a protrusion, and the other one is a groove;
the first joint is configured to mate with an adjacent joint via the first locating feature and the second locating feature; the second knuckle is configured to mate with an adjacent knuckle joint via the third locating feature and the fourth locating feature.
Optionally, the serpentine joint comprises two of the joint joints, and the two joint joints are arranged in parallel or in a staggered manner.
In view of the above object, the present invention further provides a surgical instrument, which comprises an instrument end, an instrument rod and an instrument box, which are connected in sequence, wherein the instrument end comprises an end instrument and any one of the serpentine joints, and the end instrument is connected with the instrument rod through the serpentine joint.
In view of the above, the present invention further provides an endoscope, comprising an instrument end, an instrument rod and an instrument box, which are connected in sequence, wherein the instrument end comprises a probe and any one of the serpentine joints, and the probe is connected with the instrument rod through the serpentine joint.
In the snake-shaped joint, the surgical instrument and the endoscope thereof, the two joints are hinged through the limiting mechanism to form at least one pair of non-collinear hinge axes, so that the snake-shaped joint is constructed into a biased hinge point connecting rod mechanism, the length of the snake-shaped joint is effectively shortened, and the snake-shaped joint has a larger deflection angle, so that the risk of motion interference of the surgical instrument or the endoscope when moving in a narrow space area can be reduced in the surgical process, and the operation difficulty of the instrument is reduced.
In the snake joint, the surgical instrument and the endoscope thereof provided by the invention, the snake joint is provided with two pairs of hinge axes which are not overlapped with each other, and the two pairs of hinge axes are arranged according to a certain requirement, so that the length of the snake joint is shortened, the deflection angle is unchanged, and a larger deflection angle is realized.
In the snake-shaped joint, the surgical instrument and the endoscope provided by the invention, the anti-falling mechanism is arranged on the snake-shaped joint, so that the limiting mechanism can be blocked, the limiting mechanism is prevented from slipping at the hinged position, and the safety and reliability of the surgical instrument or the endoscope are improved.
In the snake joint, the surgical instrument and the endoscope provided by the invention, the arc-shaped guide surface or transition surface is arranged at the outlet of the wire passing channel or the wire guide slideway of the snake joint, so that the transmission precision of the snake joint is improved, and the service life of the traction body is ensured.
Drawings
FIGS. 1a and 1b are exploded and assembled views, respectively, of a serpentine joint according to a first embodiment of the invention;
fig. 2a and 2b are an exploded elevation view and an assembled elevation view, respectively, of a serpentine joint of a first embodiment of the present invention.
FIGS. 3a and 3b are a schematic representation of the reverse side and the front side, respectively, of a first joint of the serpentine joint of the first embodiment of the present invention;
FIGS. 4a and 4b are schematic front and back views, respectively, of a second joint of the serpentine joint of the first embodiment of the present invention;
FIGS. 5a and 5d are schematic structural views of a stopper for a serpentine joint according to a first embodiment of the present invention, respectively, wherein FIG. 5a is an isometric view of the stopper, FIG. 5b is a top view of the stopper, FIG. 5c is a cross-sectional view taken axially along the length of one of the feedthroughs of the stopper, and FIG. 5d is a cross-sectional view taken axially along the width of the two feedthroughs of the stopper;
FIG. 6a is a schematic geometric relationship diagram of a serpentine joint of the first embodiment of the present invention;
FIG. 6b is a schematic representation of the geometry of a serpentine joint of a comparative example of the present invention;
FIGS. 7a and 7b are schematic cross-sectional views of a serpentine articular lateral threading channel in accordance with a first embodiment of the present invention, wherein FIG. 7a is an elevation view and FIG. 7b is an isometric view;
FIGS. 8a and 8b are schematic cross-sectional views of an internal channel of a stop on a serpentine joint according to a first embodiment of the present invention, wherein FIG. 8a is a front view and FIG. 8b is an isometric view;
FIGS. 9a and 9b are schematic cross-sectional views of a first embodiment of a serpentine joint of the present invention after threading an interior channel of a stop, wherein FIG. 9a is an isometric view and FIG. 9b is an isometric view;
FIGS. 10a and 10b are assembled and exploded views, respectively, of two vertically interleaved knuckle joints according to a first embodiment of the present invention, the axes of rotation of the two knuckle joints being vertically interleaved (i.e., out-of-plane);
figures 11a and 11b are an assembled view and an exploded view, respectively, of two staggered second joints according to the first embodiment of the invention;
FIGS. 12a and 12b are respectively enlarged partial views of the surgical instrument of FIG. 12a in a null position employing two vertically interleaved articulation joints, according to a first embodiment of the present invention;
FIGS. 13a and 13b are, respectively, an enlarged partial view of the surgical device illustrated in FIG. 13a in a curved configuration employing two vertically interleaved articulation joints in accordance with a first embodiment of the present invention;
figures 14a and 14b are respectively an assembled view and an exploded view of two parallel articulation joints of a first embodiment of the present invention;
figures 15a and 15b are assembled and exploded views, respectively, of two first and second joints in a parallel arrangement according to a first embodiment of the invention;
FIGS. 16a and 16b are, respectively, an enlarged view of a first embodiment of the surgical device in accordance with the present invention employing two parallel articulation joints and in a flexed condition, wherein FIG. 16b is a partial view of the surgical device illustrated in FIG. 16 a;
FIGS. 17a and 17b are views of a laparoscope employing two parallel articulation joints and in a flexed position according to a first embodiment of the present invention, wherein FIG. 17b is an enlarged view of a portion of the surgical instrument shown in FIG. 17 a;
FIG. 18a is a schematic view of the serpentine joint of the first embodiment of the present invention in a zero position;
FIG. 18b is a schematic view of a serpentine joint of a comparative embodiment of the present invention in a zero position;
FIG. 19a is a schematic view of the serpentine joint of the first embodiment of the present invention rotated 90 from zero;
FIG. 19b is a schematic representation of a serpentine joint of a comparative embodiment of the present invention rotated 90 from zero;
FIG. 20a is a schematic view of the serpentine joint of the first embodiment of the present invention rotated 45 from zero;
FIG. 20b is a schematic view of a serpentine joint of a comparative example of the present invention rotated 45 from zero;
FIGS. 21a and 21b are schematic illustrations of a first embodiment increased angle of motion serpentine joint of the present invention, wherein the serpentine joint of FIG. 21a is in the zero position and the serpentine joint of FIG. 21b is rotated from the zero position by a maximum angle;
FIGS. 22a and 22b are an assembled view and an exploded view, respectively, of a serpentine joint according to a second embodiment of the invention;
FIGS. 23a and 23b are respective front elevational views of a serpentine joint of a second embodiment of the invention, with the serpentine joint of FIG. 23a in a zero position and the serpentine joint of FIG. 23b angularly offset relative to the zero position;
FIGS. 24a and 24b are an assembled view and an exploded view, respectively, of a serpentine joint according to a third embodiment of the invention;
FIG. 25 is an exploded view of a serpentine joint of a third embodiment of the present invention;
fig. 26a and 26b are an assembled view and an exploded view, respectively, of a serpentine joint according to a third embodiment of the invention in a front view.
In the figure:
1-the instrument tip; 2-an instrument rod; 3-an instrument box; 11-an opening and closing instrument; 12-a laparoscopic probe;
10. 10' -serpentine joints; 11' -joint;
101-a first stop; 1011-substrate; 1011 a-positioning boss; 1011 b-extension; 1012 a-first limiting surface; 1012 b-second limiting surface; 1013 a-a first threading aperture; 1013 b-a second threading aperture; 1014 a-a first guidewire slide; 1014 b-a second guidewire slide; 1015-transition arc surface; 1015 a-first transition arc; 1015 b-first transition arc;
102-a first joint; 1021-a first hinge; 1022-a second hinge; 1023 a-a first motion limiting surface; 1023 b-a second motion limiting surface; 1024 — a first threading channel; 1025-a first positioning feature; 1026 — a second locating feature; 1027-first central passage; 1028 — a first guide surface;
103-a first connection; 1031-first reaming hole; 1032-a second reaming; 104-a second connection; 1041-third reaming; 1042-fourth reaming;
105-a second joint; 1051-a third hinge; 1052-a fourth hinge; 1053 a-a third motion limiting surface; 1053 b-a fourth motion limiting surface; 1054-a second threading channel; 1055-a third locating feature; 1056-a fourth locating feature; 1057-a second central channel; 1058-a second guide surface; 1058a, 1058 b-the location of the second guide surface;
106-a second stop;
13-a channel serpentine joint; 131-a channel first joint; 1311-arc chute; 132-a channel second joint; 1321-strut boss;
14-an internal articulated serpentine joint; 141-a first articulated block; 141 a-a first positioning boss; 141 b-a first extension; 1411-a first hinge; 1412-a second hinge; 142-a first joint base; 143-a second joint base; 144-a second articulation block; 144 a-a second locating boss; 144 b-a second extension; 1441 — third hinge; 1442-fourth hinge; 1421-first positioning step; 1451-a second positioning step;
100-a first tractor; 200-a second traction body; 300-a third tractor; 400-a fourth tractor; 500-fifth tractor; 600-a sixth tractor;
a-a first hinge point; b-a second hinge point; c. e-a third hinge point; d. f-a fourth hinge point; h. g-extreme positions of joint deflection;
r1-first hinge axis; r2-second hinge axis; r3-third hinge axis; r4-fourth hinge axis.
Detailed Description
The invention is described in further detail below with reference to the figures and specific examples. The advantages and features of the present invention will become more apparent from the following description. It is to be noted that the drawings are in a very simplified form and are not to precise scale, which is merely for the purpose of facilitating and distinctly claiming the embodiments of the present invention. In particular, the drawings are intended to show different emphasis points and are often in different proportions.
In this application, "proximal" and "distal" and "lower" and "upper" are relative orientations, relative positions, directions of elements or actions with respect to each other from the perspective of a clinician using the instrument, although "proximal" and "distal" and "lower" and "upper" are not intended to be limiting, but "proximal" and "lower" generally refer to the end of the medical device that is closer to the clinician during normal operation, and "distal" and "upper" generally refer to the end that is first introduced into a patient. It will be understood that, although the terms first, second, third, fourth, fifth, sixth, etc. may be used to describe various elements, these elements should not be limited by these terms. These terms are only used to distinguish one component from another. Thus, a first element discussed below could be termed a second element without departing from the teachings of the present invention.
The invention aims to provide a serpentine joint, which has at least one degree of freedom and comprises at least one joint, wherein the joint comprises a first joint, a second joint and a limiting mechanism, the first joint and the second joint are hinged through the limiting mechanism and form at least one pair of hinge axes, and at least one pair of hinge axes are not collinear. Compared with the prior art, the length of the snake-shaped joint is shortened, and meanwhile, the joint can be ensured to have a larger deflection angle, namely a larger movement range, for example, the length of the snake-shaped joint can be shortened, and simultaneously the same deflection angle as that of the existing snake-shaped joint can be ensured. The existing serpentine joint increases the length of the joint in order to ensure a larger deflection angle, but the increase of the length of the joint can cause interference when an instrument using the serpentine joint moves in a narrow space area, so that the operation of the instrument becomes difficult. Even if the length of the joint is reduced, the joint can still be guaranteed to have a large deflection angle, so that the instrument using the snake-shaped joint has a large movement space, and even if the instrument moves in a narrow space area, the instrument is not easy to move and interfere, and the operation of the instrument becomes easy.
It is another object of the present invention to provide a surgical instrument comprising an instrument tip, an instrument rod and an instrument cassette connected in series, said instrument tip comprising a tip instrument and at least one said serpentine joint through which said tip instrument is connected to said instrument rod. Because the length of the snake-shaped joint is shortened, the length of the tail end joint of the surgical instrument is also shortened, the deflection angle of the tail end joint of the surgical instrument can be kept unchanged, and meanwhile, the movement range is large, so that the risk of movement interference of the surgical instrument when the surgical instrument moves in a narrow space area can be reduced in the surgical process, and the operation difficulty of the surgical instrument is reduced.
It is a further object of the present invention to provide an endoscope comprising an instrument tip, an instrument shaft and an instrument box connected in sequence, said instrument tip comprising a probe and at least one said serpentine joint, said probe being connected to said instrument shaft via said serpentine joint. Because the length of the snake-shaped joint is shortened, the length of the tail end joint of the endoscope is also shortened, the deflection angle of the tail end joint can be kept unchanged, and meanwhile, the endoscope has a large movement range, so that the risk of movement interference when the endoscope moves in a narrow space area can be reduced in the operation process, and the operation difficulty is reduced.
< first embodiment >
Referring to fig. 1a to 1b, fig. 2a to 2b, fig. 5a to 5b, and fig. 8a to 10b, the present embodiment provides a serpentine joint 10 having at least one degree of freedom and including at least one joint including a first joint 102, a second joint 105, and a limiting mechanism. The first joint 102 and the second joint 105 are articulated by the limiting mechanism and form at least one pair of articulation axes, which are not collinear. Herein, the limiting mechanism functions to limit the relative position between the first joint 102 and the second joint 105 and to enable the first joint 102 and the second joint 105 to rotate relatively.
In this embodiment, the limiting mechanism includes the first connectingportion 103 and the second connectingportion 104, but in other embodiments, the limiting mechanism may also include one of the first connectingportion 103 and the second connectingportion 104, that is, the first joint 102 and the second joint 105 may be hinged by the first connectingportion 103 and form a pair of non-collinear hinge axes, may be hinged by the second connectingportion 104 and form a pair of non-collinear hinge axes, and may also be hinged by the first connectingportion 103 and the second connectingportion 104 and form two pairs of non-collinear hinge axes.
For convenience of description, the following description will be made by schematically illustrating the stopper mechanism including the first connectingportion 103 and the second connectingportion 104.
Referring to fig. 4a to 4b, the first joint 102 includes afirst hinge portion 1021 and asecond hinge portion 1022, thefirst hinge portion 1021 and thesecond hinge portion 1022 are disposed opposite to each other, and axes of the two hinge portions are parallel and not collinear.
Referring to fig. 3a to 3b, the second joint 105 includes athird hinge 1051 and afourth hinge 1052, thethird hinge 1051 and thefourth hinge 1052 are disposed opposite to each other, and the axes of the two hinges are parallel and not collinear.
Referring back to fig. 1a, thefirst hinge 1021 is hinged to thefirst connection 103 and forms a first hinge axis R1; thesecond hinge part 1022 is hinged to the second connectingpart 104 and forms a second hinge axis R2; the first connectingportion 103 can rotate around thefirst hinge portion 1021; the second connectingportion 104 is rotatable about asecond hinge portion 1022; thethird hinge 1051 is hinged to thefirst connection 103 and forms a third hinge axis R3; thefourth hinge 1052 is hinged to thesecond connection 104 and forms a fourth hinge axis R4; the first connectingportion 103 is rotatable around athird hinge portion 1051; the second connectingportion 104 is rotatable about afourth hinge portion 1052. The first hinge axis R1, the second hinge axis R2, the third hinge axis R3 and the fourth hinge axis R4 are parallel to each other and do not coincide. Furthermore, for ease of understanding, the positions of the first, second, third and fourth hinge axes R1, R2, R3, R4 are shown generally in fig. 1b, and should be determined in accordance with the assembled relationship shown in fig. 1 a.
In some embodiments, thefirst hinge portion 1021 and thesecond hinge portion 1022 are protrusions, thethird hinge portion 1051 and thefourth hinge portion 1052 are protrusions, and accordingly, thefirst hinge portion 103 is provided with afirst hinge hole 1031 and asecond hinge hole 1032, thesecond hinge portion 104 is provided with athird hinge hole 1041 and afourth hinge hole 1042, thefirst hinge portion 1021 is hinged in the first hinge hole 1031 (corresponding to the first hinge axis R1), thesecond hinge portion 1022 is hinged in the third hinge hole 1041 (corresponding to the second hinge axis R2), thethird hinge portion 1051 is hinged in the second hinge hole 1032 (corresponding to the third hinge axis R3), and thefourth hinge portion 1052 is hinged in the fourth hinge hole 1042 (corresponding to the fourth hinge axis R4). Alternatively, thefirst hinge portion 1021, thesecond hinge portion 1022, thethird hinge portion 1051 and thefourth hinge portion 1052 are all hinge holes, and the first connectingportion 103 and the second connectingportion 104 are provided with corresponding protrusions. For this purpose, the first joint 102 and the second joint 105 are hinged by two connecting parts and form four hinge points, i.e. four hinge axes, so that the relative positions of the two joints are defined by the hinging of the first connectingpart 103 and the second connectingpart 104 with the two joints, and the two joints can rotate relatively. The first connectingportion 103 and the second connectingportion 104 may have the same or different structures, and preferably have the same structure.
Referring to fig. 6a, fig. 18a, fig. 19a and fig. 20a, the four hinge points are the first hinge point a, the second hinge point b, the third hinge point c and the fourth hinge point d, respectively. From the perspective shown in fig. 1a, the first hinge point a is a hinge point (a third hinge axis R3) formed by the second joint 105 being hinged to thefirst connection portion 103, the second hinge point b is a hinge point (a fourth hinge axis R4) formed by the second joint 105 being hinged to thesecond connection portion 104, the third hinge point c is a hinge point (a first hinge axis R1) formed by the first joint 102 being hinged to thefirst connection portion 103, and the fourth hinge point d is a hinge point (a second hinge axis R2) formed by the first joint 102 being hinged to thesecond connection portion 104.
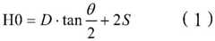
Referring to fig. 6b, fig. 18b, fig. 19b and fig. 20b, the present embodiment further provides a conventional serpentine joint 10 'as a comparative example, in which two joints 11' of the serpentine joint 10 'are hinged and form two hinge axes (i.e. 2 hinge points), and the two hinge axes are arranged in a same line, which is called a single-hinge serpentine joint 10'. Unlike the single hinge point serpentine joint 10', the serpentine joint 10 of the present embodiment has a double hinge point structure (4 non-collinear hinge axes), and the length of the joint is significantly reduced.
With continued reference to FIG. 6b, the existing serpentine joint 10' has a height H0 and satisfies the following relationship:
Figure BDA0003036030190000131
d is the diameter of the joint; theta is the unilateral maximum bending angle (namely the unilateral maximum rotation angle) of the joint; s is the thickness of the joint' S reserved structural strength, and S can take on a value that is zero but is typically greater than zero. Generally, D, θ, and S are known constant values, so the height H0 of the single-hinge-point serpentine joint 10' can be uniquely determined.
Referring to fig. 6a, when the double-hinge-point serpentine joint 10 is adopted in the present application, if the deflection angle of the existing single-hinge-point serpentine joint 10' needs to be reached, the requirement is satisfied
Figure BDA0003036030190000132
The serpentine joint 10 has a height H and satisfies the following relationship:
Figure BDA0003036030190000133
wherein: m is 2 times of the vertical distance from the third hinge axis R3 or the fourth hinge axis R4 to the upper and lower symmetry plane (i.e., the second symmetry plane), that is, m is 2h1, and h1 is the vertical distance from the third hinge point c and the fourth hinge point d to the upper and lower symmetry plane (i.e., the second symmetry plane) of the joint respectively; n is 2 times the perpendicular distance of the third hinge axis R3 or the fourth hinge axis R4 to the left-right symmetry plane (i.e., the first symmetry plane), i.e., n is the perpendicular distance between the fourth hinge point d and the third hinge point c.
It should be understood that the first hinge point a and the second hinge point b are symmetrical about the bilateral symmetry plane of the serpentine joint 10, while the first hinge point a and the second hinge point b are in the upper and lower symmetry planes, and the fourth hinge point d and the third hinge point c are symmetrical about the bilateral symmetry plane. More specifically, the serpentine joint 10 has a first symmetry plane and a second symmetry plane, and the left-right symmetry plane is the first symmetry plane and the up-down symmetry plane is the second symmetry plane when viewed from the perspective shown in fig. 6a, so that the first symmetry plane is perpendicular to the second symmetry plane, and the first symmetry plane and the second symmetry plane are both perpendicular to the rotation plane of the serpentine joint 10. The axes (i.e. the hinge axes) at the four hinge points are all parallel to the first symmetry plane, i.e. the first hinge axis R1, the second hinge axis R2, the third hinge axis R3 and the fourth hinge axis R4 are all parallel to the bilateral symmetry plane of the joint.
Therefore, according to the formula (2), the height H of the serpentine joint 10 provided in the present embodiment is smaller than the height H0 of the conventional serpentine joint 10'.
In this way, the serpentine joint 10 of the present embodiment can effectively shorten the length of the serpentine joint while maintaining the joint deflection angle θ unchanged. Further, when the snake-shaped joint 10 is applied to a surgical instrument or an endoscope, the length of the end joint of the surgical instrument or the endoscope can be effectively shortened, so that the risk of motion interference of the surgical instrument or the endoscope during movement in a narrow space area is reduced, the operation difficulty of the instrument is reduced, and even if the length of the joint is shortened, a larger motion range can still be obtained, and the operation difficulty is reduced.
With reference to fig. 6a, in this embodiment, the second joint 105 and the first joint 102 can be switched to different positions, and the same effect can be achieved, in which the third hinge point c and the fourth hinge point d are hinge points e and f, respectively, the hinge points c and e are symmetric about the upper and lower symmetry planes, the hinge points d and f are symmetric about the upper and lower symmetry planes, and the hinge points e and f are symmetric about the left and right symmetry planes. It should also be understood that referring to fig. 6a and 19a, when the first joint 102 is rotated to the left limit position, the original third hinge point c moves to the point h, when the first joint 102 is rotated to the right limit position, the original fourth hinge point d moves to the point g, and the arc of d-g and the arc of c-h are the movement tracks of the first joint 102.
Referring to fig. 21a and 21b, the serpentine joint 10 provided in the present embodiment not only has a reduced length, but also has a large deflection angle, so as to ensure a large range of motion, for example, a single-side rotation angle of the first joint 102 and the second joint 105 can reach 140 degrees, so that the range of motion of the joint can reach 280 degrees (i.e., ± 140 °). In the conventional single-hinge-point snake-shaped joint 10', if the same movement range as that of the present embodiment is to be achieved, the length of the joint must be increased, and meanwhile, the movement space of the instrument in a narrow space area is also reduced, so that the movement interference between the instruments is easily caused, and the operation difficulty is increased.
Further preferably, the serpentine joint 10 further includes an anti-falling mechanism for limiting the position of the limiting mechanism, so as to prevent the limiting mechanism from falling off from the hinge, thereby improving the safety and reliability of the hinge.
Referring to fig. 1a, and fig. 7a and 8b, the drop-off prevention mechanism may include afirst stopper 101 and asecond stopper 106; thefirst stopper 101 is detachably arranged on the first joint 102; thesecond stopper 106 is detachably disposed on the second joint 105;first dog 101 andsecond dog 106 are used for setting between two connecting portion, and further, the one end offirst dog 101 and the one end ofsecond dog 106 can support each other and lean on (including the butt), and the one end offirst dog 101 and the one end ofsecond dog 106 can be the cambered surface, and two dogs can rotate relatively. When in use, thefirst stopper 101 blocks the two connecting portions through two opposite side surfaces, and thesecond stopper 106 blocks the two connecting portions through two opposite side surfaces, so as to prevent the first connectingportion 103 and the second connectingportion 104 from falling off from the hinge. Thefirst stopper 101 and thesecond stopper 106 may have the same or different structures, and preferably have the same structure, so as to simplify the component configuration and reduce the manufacturing cost.
The structure of the two blocks is further described herein by mainly taking thefirst block 101 as an example, and the structure of thesecond block 106 can refer to thefirst block 101.
Referring to fig. 5a to 5d, in conjunction with fig. 1a, thefirst stopper 101 may include abase 1011, wherein thebase 1011 has a first position-limitingsurface 1012a and a second position-limitingsurface 1012 b.
Referring to fig. 4a and 3b, the first joint 102 also includes a firstcentral passage 1027 therethrough, and the second joint 105 also includes a secondcentral passage 1057 therethrough. The firstcentral passage 1027 is used for positioning and mounting thefirst stopper 101. The secondcentral channel 1057 is used to position and mount thesecond stop 106. The shape of the firstcentral passage 1027 preferably matches the shape of thebase 1011 of thefirst stop 101. The shape of the secondcentral channel 1057 preferably matches the shape of the base of thesecond stop 106. The central passage of each joint has a step for locating a stop.
With continued reference to FIG. 4a in conjunction with FIG. 1a, thebase 1011 of thefirst stop 101 is configured to fit within the firstcentral passage 1027 of the first joint 102 to achieve a fixed position. Referring to fig. 5a, thebase 1011 of thefirst stopper 101 may further include apositioning boss 1011a and anextension 1011b, thepositioning boss 1011a being for positioning at a step surface of the first joint 102, theextension 1011b being located between the two connecting portions. The two opposite sides of the extendingportion 1011b form a first position-limitingsurface 1012a and a second position-limitingsurface 1012b, which respectively abut against the two connecting portions.
Further, thefirst block 101 is provided with a plurality of thread holes, generally in the middle of thefirst block 101, for allowing the traction body for controlling the movement of the end instrument to pass through, where the traction body passes through the snake joint 10 and is mainly used for controlling the movement of the end instrument. The number of the thread holes on the block is determined according to the number of the traction bodies for controlling the movement of the end device, and when the traction bodies are multiple, the multiple traction bodies can pass through the same thread hole on the block or respectively pass through different thread holes on the block. For example, as shown in fig. 5b, in this embodiment, thefirst block 101 has afirst threading hole 1013a and asecond threading hole 1013b at the middle portion thereof, which allows two pulling bodies to be threaded, each of which allows only one pulling body to be threaded, and the two pulling bodies can control the opening and closing, deflection and the like of the end device.
Further, an arc-shaped guide wire sliding channel is arranged inside thefirst stop block 101 and/or thesecond stop block 106 and is communicated with a wire through hole on the stop block. The arrangement of the arc-shaped guide wire slide way allows a traction body passing through thefirst stop block 101 and/or the second stop block 106 to twist a certain angle to penetrate out of the serpentine joint 10, so that 2serpentine joints 10 can be conveniently arranged in a staggered manner, and the difficulty of staggered arrangement of the joints is reduced.
Referring to fig. 5 a-5 b, and 9 a-9 b, thefirst stop 101 is internally provided with first and second curved guide wire slides 1014a, 1014 b. Similarly, two arc-shaped guide wire slideways (a third guide wire slideway and a fourth guide wire slideway) are preferably arranged inside thesecond stopper 106. Referring to fig. 9a and 9b, the firstguide wire slide 1014a of thefirst stop 101 corresponds in position to the third guide wire slide of thesecond stop 106 to allow thefirst puller 100 to pass through the firstguide wire slide 1014a and the third guide wire slide, and the secondguide wire slide 1014b of thefirst stop 101 corresponds in position to the fourth guide wire slide of thesecond stop 106 to allow thesecond puller 200 to pass through the secondguide wire slide 1014b and the fourth guide wire slide. Therefore, each traction body can be twisted by a certain angle, such as 90 degrees, through the guide wire slide way, and the 2S-shapedjoints 10 can be arranged in a staggered mode. The shape of the guide wire slide generally matches the outer contour of the tractor.
Furthermore, each guide wire slide way is provided with a wire inlet and a wire outlet, the wire inlet is the position where the traction body penetrates into the stop block, and the wire outlet is the position where the traction body penetrates out of the stop block. It should be noted that, for each block, the inlet of the corresponding guide wire slide is defined as a wire inlet and the outlet is defined as a wire outlet when the external traction body first passes in and out of the block. Preferably, referring to fig. 5d, atransition arc surface 1015 is arranged at the wire outlet of each guide wire slide, and the bending radius of thetransition arc surface 1015 is larger than that of the rest part of the guide wire slide. Thus, the presence of thetransition curve 1015 allows the tractor to have as large a radius of curvature as possible to improve the service life of the tractor. Referring to fig. 8a, in this embodiment, a firsttransition arc surface 1015a is disposed at a filament outlet of the firstfilament guiding slide 1014a, and a secondtransition arc surface 1015b is disposed at a filament outlet of the secondfilament guiding slide 1014 b. Accordingly, as shown in fig. 8b, a transition arc is provided at the filament outlet of each guide wire slideway of thesecond block 106, that is, the transition arc of thesecond block 106 is provided at the positions indicated by S1 and S2.
Referring to fig. 4a and 4b, the first joint 102 further has a first motion-limitingsurface 1023a and a second motion-limitingsurface 1023 b. Referring to fig. 3a and 3b, the second joint 105 further has a thirdmotion limiting surface 1053a and a fourthmotion limiting surface 1053 b. The maximum angle of deflection (e.g., in the first direction) of the serpentine joint 10 is defined by the cooperation of the firstmotion limiting surface 1023a and the thirdmotion limiting surface 1053a, and the maximum angle of deflection (e.g., in the second direction) of the serpentine joint 10 is defined by the cooperation of the secondmotion limiting surface 1023b and the fourthmotion limiting surface 1053 b. Thus, the firstmotion limiting surface 1023a, the secondmotion limiting surface 1023b, the thirdmotion limiting surface 1053a, and the fourthmotion limiting surface 1053b together determine the range of rotation of the first joint 102 relative to thesecond joint 105. Each motion limiting surface is a cambered surface.
With continued reference to fig. 4a and 4b, the first joint 102 further has afirst threading channel 1024, and the outlet of thefirst threading channel 1024 preferably has an arcuatefirst guide surface 1028. With continued reference to fig. 3a and 3b, the second joint 105 further has asecond threading channel 1054, and the exit of thesecond threading channel 1054 preferably has an arcuatesecond guide surface 1058. The wire-penetrating channels are used for penetrating and arranging a traction body for controlling the movement of the snake-shaped joint. In this context, for each joint, the direction in which the external traction body is first inserted into the joint is the outlet of the corresponding threading channel. Thefirst threading channel 1024 and thesecond threading channel 1054 are positioned to allow the same retractor to pass through the second joint 105 and the first joint 102 in sequence. In addition, the existence of the guide surface can ensure that the traction body has the bending radius as large as possible, so as to reduce the abrasion in the using process and improve the service life of the traction body.
Referring to fig. 7a, two arc-shapedsecond guide surfaces 1058a and 1058b are disposed at the outlet of thesecond threading channel 1054, and two arc-shaped first guide surfaces (not labeled) may be disposed at the outlet of thefirst threading channel 1024. The provision of the arc-shaped guide surface makes it possible to increase the service life of the traction body by providing the traction body with a radius of curvature that is as large as possible (increasing the guide radius), and to avoid a sharp surface transition that would lead to a reduction in the service life of the traction body, and also to make the extension of the third traction body 300 (the dashed line in fig. 7a indicates the third traction body 300) substantially equal to the shortening of the fourth traction body 400 (the dashed line in fig. 7a indicates the fourth traction body 400), and to increase the transmission accuracy. Both thethird puller 300 and thefourth puller 400 are used to control the motion of the serpentine joint. It should be understood that the number of threading channels is determined according to the number ofserpentine joints 10 to be controlled, in general, if only one serpentine joint 10 is controlled, only 2 centrosymmetric threading channels need to be reserved, if two vertically staggeredserpentine joints 10 need to be controlled, more than 3 threading channels need to be reserved, and the centers of the 3 threading channels are not collinear.
Referring to fig. 4a and 4b, the first joint 102 also has afirst positioning feature 1025 and asecond positioning feature 1026. Referring to fig. 3a and 3b, the second joint 105 also has athird locating feature 1055 and afourth locating feature 1056. One of the first and second indexing features 1025, 1026 is a projection and the other is a groove. One of thethird positioning feature 1055 and thefourth positioning feature 1056 is a protrusion and the other is a recess. The design of these locating features allows for parallel placement or staggered placement of adjacent two articulating joints. That is, when two knuckle joints are connected, the knuckles of the two knuckle joints are cooperatively connected through the positioning features to define the relative positions of the two knuckle joints, and when in specific operation, one knuckle of one knuckle joint is cooperatively connected with one knuckle of the other knuckle joint, and the two knuckles required to be matched are cooperatively connected with the protrusion through the grooves.
In some embodiments, as shown in fig. 14a and 14b, the serpentine joint 10 includes two joint joints with the axes of rotation S3 and S4 parallel, i.e., in a parallel arrangement. In other embodiments, as shown in fig. 10a and 10b, the serpentine joint 10 includes two joint joints with the axes of rotation S3 and S4 vertically staggered, i.e., staggered arrangement. Moreover, the design of the above-mentioned positioning features also allows the second joint 105 and the first joint 102 to realize the arrangement combination of two joint joints, such as the staggered combination or the parallel combination of thesecond joint 105 of one joint and thesecond joint 105 of another joint, or the staggered combination or the parallel combination of thesecond joint 105 of one joint and thefirst joint 102 of another joint (fig. 15a and 15b), or the staggered combination (fig. 11a and 11b) or the parallel combination of thefirst joint 102 of one joint and thefirst joint 102 of another joint; thereby meeting the joint movement requirement of surgical instruments or endoscopes.
As shown in fig. 12a to 13b and fig. 16a to 17b, the present embodiment further provides a surgical instrument, which includes aninstrument tip 1, aninstrument rod 2 and aninstrument box 3 connected in sequence, wherein theinstrument box 3 can provide a driving force for theinstrument tip 1 to drive theinstrument tip 1 to move. Theinstrument tip 1 comprises a serpentine joint 10 and a tip instrument (not labeled), the tip instrument is connected with the distal end of theinstrument rod 2 through the serpentine joint 10, and the specific type of the tip instrument is not limited, such as forceps, scissors, needle holders, and the like. As shown in fig. 13a to 13b, thedistal end 1 of the instrument includes a serpentine joint 10, the serpentine joint 10 includes two joint joints vertically staggered, and an opening and closing instrument 11 (i.e. a distal end instrument) disposed at the distal end of the serpentine joint, and optionally, the deflection of the two joint joints is controlled by four tractors, so as to realize 2 degrees of freedom, wherein the four tractors are athird tractor 300, afourth tractor 400, afifth tractor 500, and asixth tractor 600. In other embodiments, as shown in fig. 16 a-16 b, theinstrument tip 1 includes a serpentine joint 10, the serpentine joint 10 including two joint joints arranged in parallel, and a switchinginstrument 11 disposed at the end of the serpentine joint. It will be appreciated that the type of end instrument is not limited to the opening and closinginstrument 11. In addition, the number of joint joints in the surgical instrument is not limited to 2, and may be 1 or 2 or more.
As shown in fig. 17a to 17b, the present embodiment further provides an endoscope, which comprises aninstrument end 1, aninstrument rod 2 and aninstrument box 3 connected in sequence, wherein theinstrument end 1 comprises a serpentine joint 10 and alaparoscopic probe 12, and the serpentine joint 10 can comprise two joint joints arranged in parallel. Of course, in other embodiments, the endoscope of the present embodiment may also include the joint joints arranged in a staggered manner, and the number of the joint joints is not limited to 2.
< second embodiment >
In this embodiment, the same portions as those in the first embodiment will not be described in detail, and specific reference may be made to the first embodiment, and only different points will be described below.
As shown in fig. 22 a-23 b, the present embodiment provides a channel-type serpentine joint 13 comprising at least one joint including a channel-type first joint 131, a channel-typesecond joint 132, and a limiting mechanism by which the first joint 131 and the second joint 132 are articulated and form at least one pair of articulation axes that are not collinear. The limiting mechanism is used for limiting the relative position between the first joint 131 and the second joint 132 and enabling the first joint 131 and the second joint 132 to rotate relatively.
Unlike the first embodiment, the limiting mechanism of the present embodiment includes the second connectingportion 104 or the first connectingportion 103. The second connectingportion 104 is taken as an illustration, the first joint 31 and the second joint 132 are hinged by one second connectingportion 104 and form a pair of hinge axes, and the hinge implementation is the same as the first embodiment, and will not be described in detail. In this embodiment, the first joint 131 is hinged to the second connectingportion 104 by asecond hinge portion 1022 and forms a second hinge axis R2, and the second joint 132 is hinged to the second connectingportion 104 by afourth hinge portion 1052 and forms a fourth hinge axis R4.
The first joint 131 further comprises a first limiting part, the second joint 132 further comprises a second limiting part, the first limiting parts are two and are symmetrically arranged relative to the bilateral symmetry plane, and the second limiting parts are two and are symmetrically arranged relative to the bilateral symmetry plane. The first and second position-limiting parts are slidably connected in pairs to further limit the relative position between the first joint 131 and thesecond joint 132. One of the first limiting part and the second limiting part is an arc-shaped slidinggroove 1311, and the other one is a slidingcolumn boss 1321 matched with the arc-shaped slidinggroove 1311. In this embodiment, the first position-limiting portion is configured as anarc chute 1311, and the second position-limiting portion is configured as astrut boss 1321. Thestrut bosses 1321 are fitted with thearc chutes 1311 in one-to-one correspondence.
It should be understood that the relative motion relationship between the first joint 131 and the second joint 132 is the same as that in the first embodiment, that is, assuming that the first connectingportion 103 and the second connectingportion 104 exist at the same time, the center of thestrut boss 1321 can draw a track on the first joint 131, where the track is the channel track of thearc chute 1311, and at this time, thearc chute 1311 and thestrut boss 1321 are retained, and the first connectingportion 103 is eliminated. It should also be understood that thestrut boss 1321 is provided on the left and right symmetrical surfaces of the knuckle joint, and it should also be understood that the structural principle of the knuckle joint of this embodiment is the same as that of fig. 6a, i.e., the knuckle joint is structurally equivalent to leaving four hinge points and four hinge axes.
In another embodiment, thearc chute 1311 of thefirst knuckle 131 may be replaced with thestrut boss 1321, and thestrut boss 1321 of thesecond knuckle 132 may be replaced with thearc chute 1311, so that the same effect can be achieved.
Therefore, in this embodiment, a channel-type serpentine joint 13 is realized through the limiting mechanism, and under the condition that the deflection angle of the end instrument joint is not changed, the length of the end joint of the instrument is effectively shortened, the risk of motion interference of the surgical instrument or the endoscope in a narrow space area is reduced, the operation difficulty of the instrument is reduced, and a larger motion range can be realized. It should also be understood that in this embodiment, one or two stops remain, and one hinge may be eliminated onfirst knuckle 131 and one hinge may be eliminated onsecond knuckle 132.
< third embodiment >
The layout of the hinge point of the components in this embodiment is completely the same as that in the first embodiment, the difference is that the components arranged at the hinge point are changed, and only the difference will be described below.
Specifically, as shown in fig. 24a to 26b, the present embodiment provides an internal articulation serpentine joint 14, which includes at least one articulation joint including a first articulation, a second articulation, and a limiting mechanism including a first connectingportion 103 and a second connectingportion 104. Wherein the first joint comprises a firstjoint base 141 and a firstjoint block 142 and the second joint comprises a secondjoint base 143 and a secondjoint block 144. Thefirst hinge block 141 is provided with afirst hinge part 1411 and asecond hinge part 1412 which are oppositely arranged; thesecond hinge block 144 is provided with athird hinge 1441 and afourth hinge 1442. Thefirst hinge block 141 is detachably provided on the firstjoint base 142, and thesecond hinge block 144 is detachably provided on the secondjoint base 143. Therefore, in this embodiment, the first joint and the second joint are split structures.
Thefirst hinge 1411 is hinged to thefirst connection 103 and forms a first hinge axis R1, and thesecond hinge 1412 is hinged to thesecond connection 104 and forms a second hinge axis R2. Thethird hinge 1441 is hinged to thefirst connection portion 103 and forms a third hinge axis R3, and thefourth hinge 1442 is hinged to thesecond connection portion 104 and forms a fourth hinge axis R4. At this time, the inner side surfaces of the firstjoint base 142 and the secondjoint base 143 function to limit thefirst link 103 and thesecond link 104.
Further, thefirst hinge block 141 includes afirst positioning boss 141a and afirst extension 141b, and thesecond hinge block 144 includes asecond positioning boss 144a and asecond extension 144 b. The firstjoint base 142 is provided with a first through central passage, and the first central passage is formed with afirst positioning step 1421 for positioning and fixing thefirst hinge block 141, that is, thefirst positioning boss 141a is matched with the step surface of the first central passage. A second central passage is formed on the secondjoint base 143, and asecond positioning step 1451 is formed on the second central passage for positioning and fixing thesecond hinge block 144, that is, thesecond positioning boss 144a is engaged with a step surface of the second central passage. In addition, thefirst hinge 1411 and thesecond hinge 1412 are disposed on thefirst extension 141 b; thethird hinge 1441 and thefourth hinge 1442 are disposed on the second extendingportion 144b, the first extendingportion 141b and the second extendingportion 144b are disposed between the first connectingportion 103 and the second connectingportion 104, and one end of the first extendingportion 141b and one end of the second extendingportion 144b abut (including abutting).
Similar to the embodiment, the snake-shaped joint 14 is realized through the double-link mechanism in the embodiment, the length of the tail end joint of the instrument can be effectively shortened under the condition that the deflection angle of the tail end instrument joint is not changed, and the risk of motion interference of the instrument in a narrow space area is reduced, so that the operation difficulty of the instrument is reduced, and the instrument can have a larger motion range.
Therefore, according to the technical scheme provided by the embodiment, the joint length is shortened under the condition of the same outer diameter and the same deflection angle, the occupied operation space is reduced, the risk of interference in the operation of instruments in a narrow space is reduced, and the operation safety is improved. Moreover, the snake-shaped joint can obtain a large range of motion angles, such as +/-140 degrees, and has high motion precision and good rigidity. It should also be understood that the configuration of any serpentine joint in the first to third embodiments can be determined with reference to fig. 6 a.
The above examples will assist those skilled in the art in further understanding the invention, but are not intended to limit the invention in any way. It should be noted that, for a person skilled in the art, several variations and modifications can be made without departing from the inventive concept, which falls within the scope of the present invention.

Claims (16)

1. A serpentine joint having at least one degree of freedom and comprising at least one joint; the joint comprises a first joint, a second joint and a limiting mechanism; the first joint and the second joint are hinged through the limiting mechanism and form at least one pair of hinge axes, and the at least one pair of hinge axes are not collinear.
2. The serpentine joint of claim 1, wherein the first joint and the second joint are articulated by the stop mechanism and form two pairs of articulation axes, the two pairs of articulation axes being non-collinear with respect to each other; the two pairs of hinge axes comprise a first hinge axis, a second hinge axis, a third hinge axis and a fourth hinge axis;
the joint is provided with a first symmetrical surface and a second symmetrical surface, the first symmetrical surface is perpendicular to the second symmetrical surface, and the first hinge axis, the second hinge axis, the third hinge axis and the fourth hinge axis are parallel to the first symmetrical surface; the first and second hinge axes are symmetrical about the first plane of symmetry and lie on the second plane of symmetry; the third hinge axis and the fourth hinge axis are symmetrical about the first plane of symmetry and are located on the same side of the second plane of symmetry; wherein: the height of the joint satisfies the following relationship:
Figure FDA0003036030180000011
Figure FDA0003036030180000012
d is the diameter of the joint; theta is the unilateral maximum bending angle of the joint; s is the thickness of the reserved structural strength of each joint; h is the height of the joint; m is 2 times the vertical distance from the third hinge axis or the fourth hinge axis to the second plane of symmetry; n is 2 times the perpendicular distance of the third hinge axis or the fourth hinge axis to the first plane of symmetry.
3. The serpentine joint of claim 2, wherein the stop mechanism comprises a first connection and a second connection, the first joint comprising a first hinge and a second hinge, the second joint comprising a third hinge and a fourth hinge;
the first hinge part is hinged with the first connecting part and forms the first hinge axis;
the second hinge part is hinged with the second connecting part and forms the second hinge axis;
the third hinge part is hinged with the first connecting part and forms a third hinge axis;
the fourth hinge portion is hinged to the second connecting portion and forms the fourth hinge axis.
4. The serpentine joint of claim 3, wherein the first joint comprises a first joint base and a first articulation block; the second joint comprises a second joint base and a second articulation block;
the first hinging block is detachably arranged on the first joint base; the second hinging block is detachably arranged on the second joint base;
the first hinge portion and the second hinge portion are disposed on the first hinge block; the third hinge and the fourth hinge are disposed on the second hinge block.
5. The serpentine joint of claim 4, wherein the first hinge block includes a first positioning boss and a first extension and the second hinge block includes a second positioning boss and a second extension;
the first joint base has a first central passage therethrough; the second joint base has a second central passage therethrough; the first central passage and the second central passage each have a step face; the first positioning boss is matched with a step surface of the first central passage, and the second positioning boss is matched with a step surface matched with the second central passage;
the first hinge part and the second hinge part are arranged on the first extending part; the third hinge part and the fourth hinge part are arranged on the second extension part;
the first extension portion and the second extension portion are arranged between the first connecting portion and the second connecting portion, and one end of the first extension portion is abutted to one end of the second extension portion.
6. The serpentine joint of claim 2, wherein the stop mechanism comprises a connecting portion, the first joint and the second joint being articulated by one of the connecting portion and defining a pair of articulation axes;
the first joint comprises one hinge part, the second joint comprises another hinge part, and the one hinge part is hinged with the one connecting part and forms a hinge axis; the other hinge part is hinged with the one connecting part and forms another hinge axis; said one and said other hinge axis being said first and said third hinge axis, respectively, or said one and said other hinge axis being said second and said fourth hinge axis, respectively;
the first joint comprises a first limiting part; the second joint comprises a second limiting part; the two first limiting parts are symmetrically arranged relative to the first symmetrical plane; the two second limiting parts are symmetrically arranged relative to the first symmetrical plane; the first limiting parts and the second limiting parts are matched in a group-by-group sliding manner; wherein one of the first limiting part and the second limiting part is an arc-shaped sliding groove, the other one is a sliding column boss, and the arc-shaped sliding groove is determined according to the track of the second joint or the first joint when the second joint or the first joint rotates towards the first direction and the second direction.
7. The serpentine joint according to any one of claims 1 to 6, wherein the joint further comprises a drop-off prevention mechanism for defining a position of the stopper mechanism.
8. The serpentine joint of claim 7, wherein the stop mechanism comprises a first connection and/or a second connection; the first joint and the second joint are hinged through the first connecting part and form a pair of hinge axes, and/or the first joint and the second joint are hinged through the second connecting part and form another pair of hinge axes;
the anti-falling mechanism comprises a first stop block and a second stop block; the first stop block is detachably arranged on the first joint; the second stopper is detachably arranged on the second joint; one end of the first stop block is abutted against one end of the second stop block and is positioned between the first connecting portion and the second connecting portion, and the first stop block and the second stop block are abutted against the first connecting portion and/or the second connecting portion through side faces respectively.
9. The serpentine joint according to claim 8, wherein each stopper has a threading hole for allowing the traction body to pass through, the threading hole is communicated with an arc-shaped guide wire slide inside the stopper, a transition arc is arranged at a wire outlet of the arc-shaped guide wire slide, and the bending radius of the transition arc is larger than that of the rest part of the arc-shaped guide wire slide.
10. The serpentine joint of any one of claims 1 to 6, wherein the first joint has a first motion limiting surface and a second motion limiting surface, and the second joint has a third motion limiting surface and a fourth motion limiting surface;
the first motion limiting surface is used for being matched with the third motion limiting surface so as to limit the maximum angle of the joint when the joint rotates towards the first direction;
the second motion limiting surface is used for being matched with the fourth motion limiting surface so as to limit the maximum angle of the joint when the joint rotates towards the second direction.
11. The serpentine joint of claim 10, wherein the serpentine joint is deflected a maximum angle of 140 ° in a first direction and 140 ° in a second direction.
12. The serpentine joint of any one of claims 1 to 6, wherein the first joint comprises a first threading channel and the second joint comprises a second threading channel, the second threading channel corresponding in position to the first threading channel;
an arc-shaped first guide surface is arranged at the outlet of the first wire threading channel, the bending radius of the first guide surface is larger than the bending radius of the rest part of the first wire threading slide way, and/or an arc-shaped second guide surface is arranged at the outlet of the second wire threading channel, and the bending radius of the second guide surface is larger than the bending radius of the rest part of the second wire threading slide way.
13. The serpentine joint of any one of claims 1-6, wherein the first joint comprises a first positioning feature and a second positioning feature, and the second joint comprises a third positioning feature and a fourth positioning feature; one of the first positioning feature and the second positioning feature is a protrusion, and the other one of the first positioning feature and the second positioning feature is a groove; one of the third positioning feature and the fourth positioning feature is a protrusion, and the other one is a groove;
the first joint is used for matching with an adjacent joint through the first positioning feature and the second positioning feature; the second knuckle is configured to mate with an adjacent knuckle joint via the third locating feature and the fourth locating feature.
14. The serpentine joint according to any one of claims 1 to 6, wherein the serpentine joint comprises two of the joint joints, the two joint joints being arranged in parallel or staggered.
15. A surgical instrument comprising, in series, an instrument tip, an instrument shaft and an instrument cassette, the instrument tip comprising a tip instrument and a serpentine joint as defined in any one of claims 1 to 14, the tip instrument being connected to the instrument shaft by the serpentine joint.
16. An endoscope comprising, in series, an instrument tip, an instrument shaft and an instrument cartridge, the instrument tip comprising a probe and a serpentine joint as defined in any one of claims 1 to 14, the probe being connected to the instrument shaft by the serpentine joint.
CN202110443532.2A2021-04-232021-04-23Snake-shaped joint, surgical instrument and endoscopeActiveCN113171178B (en)

Priority Applications (2)

Application NumberPriority DateFiling DateTitle
CN202110443532.2ACN113171178B (en)2021-04-232021-04-23Snake-shaped joint, surgical instrument and endoscope
PCT/CN2022/088639WO2022223045A1 (en)2021-04-232022-04-22Serpentine joint, surgical instrument, and endoscope

Applications Claiming Priority (1)

Application NumberPriority DateFiling DateTitle
CN202110443532.2ACN113171178B (en)2021-04-232021-04-23Snake-shaped joint, surgical instrument and endoscope

Publications (2)

Publication NumberPublication Date
CN113171178Atrue CN113171178A (en)2021-07-27
CN113171178B CN113171178B (en)2023-09-22

Family

ID=76924446

Family Applications (1)

Application NumberTitlePriority DateFiling Date
CN202110443532.2AActiveCN113171178B (en)2021-04-232021-04-23Snake-shaped joint, surgical instrument and endoscope

Country Status (2)

CountryLink
CN (1)CN113171178B (en)
WO (1)WO2022223045A1 (en)

Cited By (5)

* Cited by examiner, † Cited by third party
Publication numberPriority datePublication dateAssigneeTitle
WO2022223045A1 (en)*2021-04-232022-10-27上海微创医疗机器人(集团)股份有限公司Serpentine joint, surgical instrument, and endoscope
CN115429201A (en)*2022-08-292022-12-06中国科学院自动化研究所 Omnidirectional bendable endoscope snake component and endoscope
CN116747025A (en)*2023-05-292023-09-15上海微创医疗机器人(集团)股份有限公司 Bending joints and surgical instruments
CN116763381A (en)*2023-05-292023-09-19上海微创医疗机器人(集团)股份有限公司 Bending joints and surgical instruments
CN119074228A (en)*2024-09-022024-12-06瑞龙诺赋(上海)医疗科技有限公司 Instruments, joints and surgical instruments

Citations (8)

* Cited by examiner, † Cited by third party
Publication numberPriority datePublication dateAssigneeTitle
CN101023879A (en)*2006-01-312007-08-29伊西康内外科公司Surgical instrument having recording capabilities
CN101336836A (en)*2007-06-222009-01-07伊西康内外科公司 Surgical Suture Instruments
US20130263685A1 (en)*2010-06-102013-10-10Mark DoyleFlexible wrist-type element
WO2014025204A1 (en)*2012-08-072014-02-13Korea Advanced Institute Of Science And TechnologySurgical robot hand with decoupled wrist structure
DE102014206930A1 (en)*2014-04-102015-10-15Richard Wolf Gmbh Instrument, in particular medical endoscopic instrument
DE102014219195A1 (en)*2014-09-232016-03-24Richard Wolf Gmbh Instrument, in particular medico-endoscopic shaft instrument
WO2020060792A1 (en)*2018-09-172020-03-26Covidien LpHighly articulated laparoscopic joint including electrical signal transmission therethrough
CN112405508A (en)*2020-11-232021-02-26长沙理工大学 A wire-driven snake-arm robot capable of decoupling bending motion

Family Cites Families (9)

* Cited by examiner, † Cited by third party
Publication numberPriority datePublication dateAssigneeTitle
CN102488554B (en)*2011-11-142013-06-05天津大学Micro instrument terminal based on module joint and used for minimally invasive surgery robot
KR20230056068A (en)*2014-02-212023-04-26인튜어티브 서지컬 오퍼레이션즈 인코포레이티드Articulatable members having constrained motion, and related devices and methods
US9744677B2 (en)*2015-11-052017-08-29Irobot CorporationRobotic fingers and end effectors including same
CN106923902B (en)*2017-03-302019-04-12微创(上海)医疗机器人有限公司Operating robot snakelike joint, surgical instrument and endoscope
CN106963494B (en)*2017-03-302019-03-26微创(上海)医疗机器人有限公司Operating robot snakelike joint, surgical instrument and endoscope
DE102019121039A1 (en)*2019-08-052021-02-11Karl Storz Se & Co. Kg Endoscopic device
CN111407412B (en)*2020-04-012021-03-30深圳市人工智能与机器人研究院Natural cavity operation end manipulator
CN212433506U (en)*2020-08-182021-01-29岱川医疗(深圳)有限责任公司Bending part of endoscope and endoscope
CN113171178B (en)*2021-04-232023-09-22上海微创医疗机器人(集团)股份有限公司Snake-shaped joint, surgical instrument and endoscope

Patent Citations (10)

* Cited by examiner, † Cited by third party
Publication numberPriority datePublication dateAssigneeTitle
CN101023879A (en)*2006-01-312007-08-29伊西康内外科公司Surgical instrument having recording capabilities
CN101336836A (en)*2007-06-222009-01-07伊西康内外科公司 Surgical Suture Instruments
US20130263685A1 (en)*2010-06-102013-10-10Mark DoyleFlexible wrist-type element
WO2014025204A1 (en)*2012-08-072014-02-13Korea Advanced Institute Of Science And TechnologySurgical robot hand with decoupled wrist structure
DE102014206930A1 (en)*2014-04-102015-10-15Richard Wolf Gmbh Instrument, in particular medical endoscopic instrument
DE102014219195A1 (en)*2014-09-232016-03-24Richard Wolf Gmbh Instrument, in particular medico-endoscopic shaft instrument
WO2020060792A1 (en)*2018-09-172020-03-26Covidien LpHighly articulated laparoscopic joint including electrical signal transmission therethrough
CN112702970A (en)*2018-09-172021-04-23柯惠Lp公司Highly articulated laparoscopic joint including electrical signal transmission therethrough
US20210290322A1 (en)*2018-09-172021-09-23Covidien LpHighly articulated laparoscopic joint including electrical signal transmission therethrough
CN112405508A (en)*2020-11-232021-02-26长沙理工大学 A wire-driven snake-arm robot capable of decoupling bending motion

Cited By (6)

* Cited by examiner, † Cited by third party
Publication numberPriority datePublication dateAssigneeTitle
WO2022223045A1 (en)*2021-04-232022-10-27上海微创医疗机器人(集团)股份有限公司Serpentine joint, surgical instrument, and endoscope
CN115429201A (en)*2022-08-292022-12-06中国科学院自动化研究所 Omnidirectional bendable endoscope snake component and endoscope
CN116747025A (en)*2023-05-292023-09-15上海微创医疗机器人(集团)股份有限公司 Bending joints and surgical instruments
CN116763381A (en)*2023-05-292023-09-19上海微创医疗机器人(集团)股份有限公司 Bending joints and surgical instruments
CN116763381B (en)*2023-05-292024-12-24上海微创医疗机器人(集团)股份有限公司Bending joint and surgical instrument
CN119074228A (en)*2024-09-022024-12-06瑞龙诺赋(上海)医疗科技有限公司 Instruments, joints and surgical instruments

Also Published As

Publication numberPublication date
CN113171178B (en)2023-09-22
WO2022223045A1 (en)2022-10-27

Similar Documents

PublicationPublication DateTitle
CN113171178A (en)Snake joint, surgical instrument and endoscope
US12433705B2 (en)Robotic surgical instrument including high articulation wrist assembly with torque transmission and mechanical manipulation
CN114554999B (en)Joint structure and related apparatus and method
US5944690A (en)Slidable control mechanism for steerable catheter
US9393000B2 (en)Jointed link structures exhibiting preferential bending, and related methods
US20190290309A1 (en)Articulating mechanisms and link systems with torque transmission in remote manipulation of instruments and tools
CN106923902B (en)Operating robot snakelike joint, surgical instrument and endoscope
CN110691557B (en)Robotic microsurgical assembly
US9687303B2 (en)Dexterous wrists for surgical intervention
US20130239734A1 (en)Articulating mechanism
US10881476B2 (en)Drive cable capstans for robotic surgical tools
WO2006073581A2 (en)Articulating mechanisms and link systems with torque transmission in remote manipulation of instruments and tools
WO2022000709A1 (en)Minimally invasive surgical robot operating tool
JP2021192796A (en) Symmetrically placed joints of surgical instruments
CN115847478A (en)Bending steering structure
US20220117461A1 (en)Manipulator with serial actuation
CN116763381B (en)Bending joint and surgical instrument
JP7308084B2 (en) multi-DOF forceps
CN112168239B (en)Multi-joint motion decoupling control assembly, distal end actuating mechanism and surgical instrument
JP5661823B6 (en) Joint mechanism
WO2023276045A1 (en)Operation instrument

Legal Events

DateCodeTitleDescription
PB01Publication
PB01Publication
SE01Entry into force of request for substantive examination
SE01Entry into force of request for substantive examination
GR01Patent grant
GR01Patent grant

[8]ページ先頭

©2009-2025 Movatter.jp