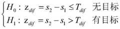
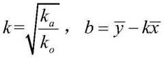
Movatterモバイル変換


[0]ホーム

URL:


CN113159157A - Improved low-frequency UWB SAR (ultra wide band synthetic aperture radar) leaf cluster hidden target fusion change detection method - Google Patents

Improved low-frequency UWB SAR (ultra wide band synthetic aperture radar) leaf cluster hidden target fusion change detection method
Download PDF

Info

Publication number
CN113159157A
CN113159157ACN202110407968.6ACN202110407968ACN113159157ACN 113159157 ACN113159157 ACN 113159157ACN 202110407968 ACN202110407968 ACN 202110407968ACN 113159157 ACN113159157 ACN 113159157A
Authority
CN
China
Prior art keywords
image
detection
target
detection threshold
point
Prior art date
Legal status (The legal status is an assumption and is not a legal conclusion. Google has not performed a legal analysis and makes no representation as to the accuracy of the status listed.)
Granted
Application number
CN202110407968.6A
Other languages
Chinese (zh)
Other versions
CN113159157B (en
Inventor
谢洪途
陈凯鹏
王国倩
Current Assignee (The listed assignees may be inaccurate. Google has not performed a legal analysis and makes no representation or warranty as to the accuracy of the list.)
Sun Yat Sen University
Original Assignee
Sun Yat Sen University
Priority date (The priority date is an assumption and is not a legal conclusion. Google has not performed a legal analysis and makes no representation as to the accuracy of the date listed.)
Filing date
Publication date
Application filed by Sun Yat Sen UniversityfiledCriticalSun Yat Sen University
Priority to CN202110407968.6ApriorityCriticalpatent/CN113159157B/en
Publication of CN113159157ApublicationCriticalpatent/CN113159157A/en
Application grantedgrantedCritical
Publication of CN113159157BpublicationCriticalpatent/CN113159157B/en
Expired - Fee Relatedlegal-statusCriticalCurrent
Anticipated expirationlegal-statusCritical

Links

Images

Classifications

Landscapes

Abstract

The invention provides an improved low-frequency UWB SAR (ultra wide band synthetic aperture radar) leaf cluster hidden target fusion change detection method, which comprises the steps of firstly preprocessing a detection image and a reference image, and performing bidirectional relative radiation correction processing; secondly, solving the inspection quantity image and the detection threshold value of the image segmentation difference method based on the improved clutter distribution model; subtracting the detection image and the reference image to obtain a difference check quantity image, estimating clutter distribution of the difference check quantity image, and setting a false alarm probability to obtain a detection threshold value, namely obtaining the check quantity image and the detection threshold value of the first sub-algorithm; then, solving the inspection quantity image and the detection threshold value of the one-dimensional Edgeworth method and the generalized Laguerre polynomial method; and finally, inputting the three inspection quantity images and corresponding threshold values into an LE-SVDD space for classifier design, thereby realizing the change detection of the low-frequency UWB SAR image.

Description

Improved low-frequency UWB SAR (ultra wide band synthetic aperture radar) leaf cluster hidden target fusion change detection method
Technical Field
The invention relates to the technical field of radar, in particular to an improved low-frequency UWB SAR (ultra wide band synthetic aperture radar) leaf cluster hidden target fusion change detection method.
Background
In modern war, both parties of battle increasingly pay more attention to the concealment of own military target, and meanwhile, the detection and reconnaissance capability of the concealed military target of an enemy party is improved. Therefore, the research on the hidden target detection technology can provide important theoretical and technical support for the development of novel battlefield reconnaissance/guided weapon equipment in China, and has important military significance. In addition, the geographical situation of the border of China is complex, and a plurality of areas are densely covered, so that convenience is provided for the adjacent countries to lay military targets and adjust military defense affairs near the border. Due to the jungle shelter, the conventional radar system cannot penetrate the jungle to effectively detect and detect the enemy. Therefore, the development of an advanced system radar system and a matched detection system is urgently needed to improve the detection and reconnaissance capability of the hidden military target.
The low-frequency ultra-wideband synthetic aperture radar (UWB SAR) has good leaf cluster penetration detection performance and high-resolution imaging capability, and becomes an important means for detecting and reconnaissance a hidden target. Due to the complex jungle detection environment and the low-frequency UWB system, the obtained UWB SAR images often have a plurality of strong scattering points (such as thick trunks) which are not target points. Due to the non-target speckle scattering points, a plurality of false alarm points always exist in the low-frequency UWB SAR images of different time phases during change detection, so that the difficulty of change detection of the target hidden by the leaf cluster is increased.
At present, low-frequency UWB SAR image target detection methods mainly include three types, the first type is a change detection method based on image pixel level, whether a pixel point changes or not is observed through comparative analysis of the same pixel point in images of different time phases, and common methods include a difference method, a ratio method and the like. The change detection method based on the image pixel level is simple to implement, but the analysis of the pure pixel gray value is greatly influenced by noise, and the actual detection effect is often poor. The second method is a change detection method based on image feature level, which extracts features of the area around the pixel and performs comprehensive analysis on the extracted features to detect change feature points, and commonly used algorithms include an Edgeworth method and a gray level co-occurrence matrix method. The change detection method based on the image feature level adopts information such as image texture features, edge features and the like during comparison, has strong stability and anti-interference capability, and is complex compared with the change detection method based on the image pixel level. The third method is a change detection method based on image target level, which firstly extracts features and classifies images of a single time phase to obtain attribute information of a target point in the images, and then detects changes of the classified images. Compared with other two algorithms, the change detection method based on the image target level is a higher-level change detection technology, has great difficulty in research and application, and is still in a starting stage at present.
Most of the three methods perform change detection on certain change detection information of a target point in an SAR image, and a single change detection method is difficult to fully utilize the change detection information in the SAR image and is easy to cause the situation of missing detection of the target point. In recent years, target detection combining a plurality of methods has been receiving attention from researchers. Various low-frequency UWB SAR leaf cluster hidden target detection methods are improved and fused, and a better detection effect can be obtained. Currently, the fusion change detection methods commonly used in the field of change detection include: a markov model method, a laplacian eigenmap support vector description (LE-SVDD) method, and the like. The fusion change detection method based on LE-SVDD can fuse a plurality of algorithms, and has better detection performance compared with a single detection algorithm. However, the traditional fusion change detection method based on LE-SVDD has a poor fusion detection effect due to unreasonable arrangement of the adopted sub-algorithm and the detection threshold, and is difficult to realize high-efficiency and high-precision target detection of a low-frequency UWB SAR image.
Disclosure of Invention
The invention provides an improved low-frequency UWB SAR (ultra wide band synthetic aperture radar) leaf cluster hidden target fusion change detection method, which can effectively inhibit a plurality of non-target strong scattering points existing in a low-frequency UWB SAR image and reduce the occurrence of false alarm points in the change detection process.
In order to achieve the technical effects, the technical scheme of the invention is as follows:
an improved low-frequency UWB SAR leaf cluster hidden target fusion change detection method comprises the following steps:
s1: preprocessing the detection image and the reference image;
s2: solving a check quantity image and a detection threshold value of an image segmentation difference method based on the improved clutter distribution model;
s3: solving the inspection quantity images and the detection threshold of the one-dimensional Edgeworth method and the generalized Laguerre polynomial method;
s4: and inputting the three inspection quantity images and the detection threshold value into an LE-SVDD classifier for training, and performing target and non-target discrimination on the test sample to obtain a final change detection result.
Further, the process of step S1 includes:
preprocessing the detection image and the reference image, performing bidirectional relative radiation correction processing, removing image gray value variation caused by system response and non-target variation factors of weather conditions in the image,
the specific process of step S1 is:
for each pixel point of the observation area, calculating the value of the correlation coefficient of the point between the reference image and the detection image by adopting a pixel neighborhood of 15 multiplied by 15, setting the point as a non-change point when the correlation coefficient is more than 0.5, and respectively setting the non-change point in the whole image in the detection image and the reference image as x1,x2...,xtAnd y1,y2...,yt(ii) a Performing bidirectional linear estimation by using least square method to obtain corresponding linear coefficient
Figure BDA0003023032440000031
Figure BDA0003023032440000032
And
Figure BDA0003023032440000033
using linear coefficient to distribute weight for non-change point to carry out weighted least square estimation to obtain corresponding linear coefficient
Figure BDA0003023032440000034
And
Figure BDA0003023032440000035
then, the weight value is continuously distributed until the linear coefficient is stabilized, namely k isa、ba、koAnd boAt this time:
Figure BDA0003023032440000036
in the formula (I), the compound is shown in the specification,
Figure BDA0003023032440000037
and
Figure BDA0003023032440000038
respectively, is an invariant point x1,x2...,xtAnd y1,y2...,ytThe mean value of (a);
for detecting all points of the image, linear transformation is used
Figure BDA0003023032440000039
And transforming to obtain a corrected detection image.
Further, the process of step S2 includes:
an image segmentation difference method based on an improved clutter distribution model is a pixel-level change detection method, which comprises the steps of subtracting the same point of images in different time phases to obtain a difference check quantity image, segmenting the difference check quantity image, estimating probability density distribution of a non-target area of the segmented image, setting a certain false alarm probability value, obtaining a corresponding detection threshold value in the probability density distribution, and regarding the detection threshold value as a change detection point if the detection threshold value is larger than the detection threshold value, thereby obtaining a check quantity image and a detection threshold value of a first sub-algorithm,
the specific process of step S2 is:
let S1、S2Respectively observing the obtained SAR intensity images at different moments, S1As a reference image without object, S2To detect an image, ZdifIs composed of S1And S2The formed difference check quantity image:
firstly, performing image segmentation on a reference image, setting the equivalent visual number of the reference image to be 1 by adopting an OTSU image segmentation algorithm, segmenting the reference image, stopping segmenting when the minimum value of the error square of each sub-region after the segmentation of the reference image divided by the mean square is smaller than the equivalent visual number, or else, continuing to segment the image until the circulation exits, wherein the minimum value of the error square of each sub-region after the segmentation of the reference image divided by the mean square is smaller than the equivalent visual number;
then, the clutter distribution of each region is estimated, and the clutter distribution of each region of the difference check quantity image is assumed to be Fi(zdif) I belongs to N, and the false probability is set to be 10-8The detection threshold corresponding to each region is
Figure BDA00030230324400000310
Figure BDA00030230324400000311
Using image difference method to image S2The mathematical expression for detecting the change of the newly appeared target in the process is as follows:
Figure BDA00030230324400000312
in the formula, zdif、s1、s2Respectively an image Zdif、S1、S2Gray value of the same pixel point, TdifIs a detection threshold set according to the false alarm rate.
Further, the process of step S3 includes:
in the one-dimensional Edgeworth method, firstly, each pixel point of an observation area is taken as a center, the probability density function of the pixel gray value in the adjacent area is estimated based on a Gaussian probability density distribution model based on an Edgeworth expansion, and on the basis, the difference of the probability density function of each point among multi-time phase images is analyzed based on a K-L divergence theory, so that a check quantity image related to the probability density difference is obtained; the generalized Laguerre polynomial method is based on the generalized Laguerre polynomial, the gamma probability density distribution model-based estimation is carried out on the pixel gray value probability density function in the neighborhood of the generalized Laguerre polynomial, and then the inspection quantity image is obtained through K-L divergence; then, carrying out image gray value statistics on the detected quantity image, finding the trend that the curve of the statistics quantity has a sudden drop on the left side, and adopting an inflection point in the sudden drop curve as a detection threshold; during detection, a least square method is adopted to fit the density curve, a horizontal axis value with a vertical axis equal to 0 in the fitted curve is taken to be approximate to a detection threshold value, a detection quantity image and the detection threshold value of two sub-algorithms are obtained,
the specific process of step S3 is:
the one-dimensional Edgeworth method and the generalized Laguerre polynomial method are both used for estimating probability density distribution and then calculating a probability density distribution inspection quantity image by adopting K-L divergence; for a corresponding point of the detection image and the reference image, calculating the statistical information of a mean value, a variance, a third-order cumulant and a fourth-order cumulant corresponding to the neighborhood of the point, and substituting the statistical information into a correlation formula derived from K-L divergence to calculate a probability distribution difference value;
for the inspection volume images obtained by the one-dimensional Edgeworth method and the generalized Laguerre polynomial method, as the number of non-target points in the inspection volume images is far greater than that of the target points, the grayscale statistics is carried out on the inspection volume images, the non-target points are concentrated on the left side and have a dip trend, the target points are concentrated on the right side, the inflection point of a statistic curve is used as a detection threshold, a method for fitting the statistic curve of the inspection volume images is used on the right side, a fitting curve with y being ax + b is obtained, and the x value corresponding to y being 0 in the curve is the detection threshold.
Further, the process of step S4 includes:
the SVDD classifier firstly records the detection quantity of the change area and the change-free area as a target sample and an outlier sample, and then trains the SVDD by utilizing a training sample set formed by pre-extracted target samples so as to construct a minimum hypersphere containing all training samples in a kernel feature space and classify the change detection quantity in an observation scene on the basis of the hypersphere; LE-SVDD sets a detection threshold value and a standard deviation of one point in three sub-algorithm inspection quantity images which are all larger than the corresponding inspection quantity images as a training sample on the basis of SVDD, one or two corresponding points of the inspection quantity images in the three sub-algorithms are larger than the detection threshold value and the standard deviation as a test sample, the training sample is input into an LE-SVDD classifier for training, and the test sample is subjected to target and non-target discrimination to obtain a final change detection result,
the specific process of step S4 is:
for the detection image S1And a reference image S2Setting the inspection quantity image of the image segmentation difference method based on the improved clutter distribution model as I1The detection threshold is T1The inspection quantity images obtained by adopting a one-dimensional Edgeworth method and a generalized Laguerre polynomial method are respectively I2、I3The detection threshold is T2、T3
Constructing a sample data set as A { (i)1,i2,i3)|i1∈I1,i2∈I2,i3∈I3},i1、i2、i3Are all inspection volume images I1、I2、I3A corresponding point in;
constructing a training dataset as B { (i)1,i2,i3)|i1-T1>σ1,i2-T2>σ2,i3-T3>σ3In which σ is1、σ2、σ3Respectively representing the inspection volume image I1、I2、I3Standard deviation of (d);
the test data set is C { (i)1,i2,i3)||i1-T1|≤σ1Or | i2-T2|≤σ2Or | i3-T|3≤σ3};
The non-target region is known as D { (i)1,i2,i3)|i1-T1<σ1Or i2-T2<σ2Or i3-T<σ3};
Training by using a training data set B through a sequential minimum optimization algorithm, and then distinguishing a test data set C through a trained LE-SVDD classifier, so that information of a target point on a detection image is obtained, and high-efficiency high-precision low-frequency UWB SAR leaf cluster hidden target fusion change detection is further realized.
Compared with the prior art, the technical scheme of the invention has the beneficial effects that:
the invention adopts the target fusion change detection technology based on LE-SVDD, can effectively inhibit a plurality of non-target strong scattering points existing in the low-frequency UWB SAR image, and reduces the occurrence of false alarm points in the change detection process. The target detection efficiency is improved while the high target detection performance is kept, so that the high-efficiency and high-precision detection of the low-frequency UWB SAR is realized, and the position information of a hidden target is obtained. The method is suitable for change detection of military targets such as missile launcher, tanks and the like hidden in the forest, and the deployment change information of the leaf cluster hidden targets is obtained.
Drawings
FIG. 1 is a flow chart of the method of the present invention;
FIG. 2 is a diagram of inspection image and reference image data used in a simulation experiment according to the present invention;
FIG. 3 is a detection result of an image segmentation difference method based on an improved clutter distribution model;
FIG. 4 is a graph of the detection results and statistical probability distribution of the Edgeworth method and generalized Laguerre polynomial method;
FIG. 5 shows the detection result of the improved low-frequency UWB SAR leaf cluster hidden target fusion change detection method.
Detailed Description
The drawings are for illustrative purposes only and are not to be construed as limiting the patent;
for the purpose of better illustrating the embodiments, certain features of the drawings may be omitted, enlarged or reduced, and do not represent the size of an actual product;
it will be understood by those skilled in the art that certain well-known structures in the drawings and descriptions thereof may be omitted.
The technical solution of the present invention is further described below with reference to the accompanying drawings and examples.
As shown in fig. 1, an improved low-frequency UWB SAR leaf cluster hidden target fusion change detection method includes the following steps:
s1: preprocessing the detection image and the reference image;
s2: solving a check quantity image and a detection threshold value of an image segmentation difference method based on the improved clutter distribution model;
s3: solving the inspection quantity images and the detection threshold of the one-dimensional Edgeworth method and the generalized Laguerre polynomial method;
s4: and inputting the three inspection quantity images and the detection threshold value into an LE-SVDD classifier for training, and performing target and non-target discrimination on the test sample to obtain a final change detection result.
Through simulation experiments, the improved low-frequency UWB SAR leaf cluster hidden target fusion change detection method is verified, and the effectiveness of the method is proved through theoretical analysis and simulation experiment results.
In the simulation experiment, the test image and the reference image used are shown in fig. 2. The data set used for the detection image and the reference image is an imaging capture picture of the Swedish CARABAS-II VHF SAR system in a very high frequency band (20-90MHz), and the imaging resolution is 2.5m multiplied by 2.5 m. 25 vehicle target points can be observed in the detection image, and no target point information is available in the reference image.
As shown in fig. 3, the image segmentation difference method based on the improved clutter distribution model is a pixel-level change detection method, and is to subtract the same point of the images in different time phases to obtain a difference check quantity image, segment the difference check quantity image, estimate the probability density distribution of the non-target region of the segmented image, set a certain false alarm probability value, obtain a corresponding detection threshold in the probability density distribution, and if the detection threshold is greater than the detection threshold, regard as a change detection point, thereby obtaining the check quantity image and the detection threshold of the first sub-algorithm.
The specific process of step S2 is:
let S1、S2Respectively observing the obtained SAR intensity images at different moments, S1As a reference image without object, S2Is a detection chartImage, ZdifIs composed of S1And S2The formed difference check quantity image:
firstly, performing image segmentation on a reference image, setting the equivalent visual number of the reference image to be 1 by adopting an OTSU image segmentation algorithm, segmenting the reference image, stopping segmenting when the minimum value of the error square of each sub-region after the segmentation of the reference image divided by the mean square is smaller than the equivalent visual number, or else, continuing to segment the image until the circulation exits, wherein the minimum value of the error square of each sub-region after the segmentation of the reference image divided by the mean square is smaller than the equivalent visual number;
then, the clutter distribution of each region is estimated, and the clutter distribution of each region of the difference check quantity image is assumed to be Fi(zdif) I belongs to N, and the false probability is set to be 10-8The detection threshold corresponding to each region is
Figure BDA0003023032440000071
Figure BDA0003023032440000072
Using image difference method to image S2The mathematical expression for detecting the change of the newly appeared target in the process is as follows:
Figure BDA0003023032440000073
in the formula, zdif、s1、s2Respectively an image Zdif、S1、S2Gray value of the same pixel point, TdifIs a detection threshold set according to the false alarm rate. As can be seen from fig. 3, the image segmentation difference method based on the improved clutter distribution model has a better detection effect on the image, and can identify most of the target points, but some target points are still missing.
As shown in fig. 4, in the one-dimensional edgework method, firstly, each pixel point of an observation region is taken as a center, the probability density function of the pixel gray value in the neighborhood of the observation region is estimated based on a gaussian probability density distribution model based on the edgework expansion, and on the basis, the difference of the probability density function of each point among multi-time-phase images is analyzed based on the K-L divergence theory, so that a check quantity image related to the probability density difference is obtained; the generalized Laguerre polynomial method is based on the generalized Laguerre polynomial, the gamma probability density distribution model-based estimation is carried out on the pixel gray value probability density function in the neighborhood of the generalized Laguerre polynomial, and then the inspection quantity image is obtained through K-L divergence; then, carrying out image gray value statistics on the detected quantity image, finding the trend that the curve of the statistics quantity has a sudden drop on the left side, and adopting an inflection point in the sudden drop curve as a detection threshold; during detection, a least square method is adopted to fit the density curve, and a horizontal axis value of which the vertical axis is equal to 0 in the fit curve is taken to be approximate to a detection threshold value, so that a detection quantity image and the detection threshold value of two sub-algorithms are obtained.
The specific process of step S3 is:
the one-dimensional Edgeworth method and the generalized Laguerre polynomial method are both used for estimating probability density distribution and then calculating a probability density distribution inspection quantity image by adopting K-L divergence; for a corresponding point of the detection image and the reference image, calculating the statistical information of a mean value, a variance, a third-order cumulant and a fourth-order cumulant corresponding to the neighborhood of the point, and substituting the statistical information into a correlation formula derived from K-L divergence to calculate a probability distribution difference value;
for the inspection volume images obtained by the one-dimensional Edgeworth method and the generalized Laguerre polynomial method, as the number of non-target points in the inspection volume images is far greater than that of the target points, the grayscale statistics is carried out on the inspection volume images, the non-target points are concentrated on the left side and have a dip trend, the target points are concentrated on the right side, the inflection point of a statistic curve is used as a detection threshold, a method for fitting the statistic curve of the inspection volume images is used on the right side, a fitting curve with y being ax + b is obtained, and the x value corresponding to y being 0 in the curve is the detection threshold. As can be seen from fig. 4, fitting the probability distribution curve, and detecting the inspection volume image by using the approximate inflection point in the curve as the detection threshold can detect almost all targets, and has good detection performance, but some false alarm points exist in the detection result. Unlike an image segmentation difference method based on an improved clutter distribution model, the edgeworkh method and the generalized Laguerre polynomial method perform difference analysis on statistical distribution characteristics of an image, but change detection of a single detection object is difficult to consider good detection probability and false alarm rate.
As shown in fig. 5, the SVDD classifier first records the detection amount of the change area and the change-free area as a target sample and an outlier sample, and then trains the SVDD by using a training sample set composed of the pre-extracted target samples, so as to construct a minimum hypersphere containing all training samples in the kernel feature space, and classify the change detection amount in the observation scene based on the hypersphere; LE-SVDD sets a detection threshold value and a standard deviation of one point in three sub-algorithm inspection quantity images which are all larger than the corresponding inspection quantity images as a training sample on the basis of SVDD, one or two corresponding points of the inspection quantity images in the three sub-algorithms are larger than the detection threshold value and the standard deviation as a test sample, the training sample is input into an LE-SVDD classifier for training, and the test sample is subjected to target and non-target discrimination to obtain a final change detection result,
the specific process of step S4 is:
for the detection image S1And a reference image S2Setting the inspection quantity image of the image segmentation difference method based on the improved clutter distribution model as I1The detection threshold is T1The inspection quantity images obtained by adopting a one-dimensional Edgeworth method and a generalized Laguerre polynomial method are respectively I2、I3The detection threshold is T2、T3
Constructing a sample data set as A { (i)1,i2,i3)|i1∈I1,i2∈I2,i3∈I3},i1、i2、i3Are all inspection volume images I1、I2、I3A corresponding point in;
constructing a training dataset as B { (i)1,i2,i3)|i1-T1>σ1,i2-T2>σ2,i3-T3>σ3In which σ is1、σ2、σ3Respectively representing the inspection volume image I1、I2、I3Standard deviation of (d);
the test data set is C { (i)1,i2,i3)||i1-T1|≤σ1Or | i2-T2|≤σ2Or | i3-T|3≤σ3};
The non-target region is known as D { (i)1,i2,i3)|i1-T1<σ1Or i2-T2<σ2Or i3-T<σ3};
Training by using a training data set B through a sequential minimum optimization algorithm, and then distinguishing a test data set C through a trained LE-SVDD classifier, so that information of a target point on a detection image is obtained, and high-efficiency high-precision low-frequency UWB SAR leaf cluster hidden target fusion change detection is further realized. As can be seen from fig. 5, the method has a good detection effect on the low-frequency UWB SAR image, can detect the change information of the SAR image at different time phases, reduces the false alarm rate while maintaining a certain detection probability, and has a faster detection speed than the conventional LE-SVDD-based leaf cluster hidden target fusion change detection method. Therefore, the method is a high-efficiency high-precision change detection method for the low-frequency UWB SAR image.
The same or similar reference numerals correspond to the same or similar parts;
the positional relationships depicted in the drawings are for illustrative purposes only and are not to be construed as limiting the present patent;
it should be understood that the above-described embodiments of the present invention are merely examples for clearly illustrating the present invention, and are not intended to limit the embodiments of the present invention. Other variations and modifications will be apparent to persons skilled in the art in light of the above description. And are neither required nor exhaustive of all embodiments. Any modification, equivalent replacement, and improvement made within the spirit and principle of the present invention should be included in the protection scope of the claims of the present invention.

Claims (9)

1. An improved low-frequency UWB SAR leaf cluster hidden target fusion change detection method is characterized by comprising the following steps:
s1: preprocessing the detection image and the reference image;
s2: solving a check quantity image and a detection threshold value of an image segmentation difference method based on the improved clutter distribution model;
s3: solving the inspection quantity images and the detection threshold of the one-dimensional Edgeworth method and the generalized Laguerre polynomial method;
s4: and inputting the three inspection quantity images and the detection threshold value into an LE-SVDD classifier for training, and performing target and non-target discrimination on the test sample to obtain a final change detection result.
2. The improved low-frequency UWB SAR leaf cluster hidden target fusion change detection method of claim 1, characterized in that the process of step S1 includes:
preprocessing the detection image and the reference image, performing bidirectional relative radiation correction processing, and removing image gray value change caused by system response and non-target change factors of weather conditions in the image.
3. The improved low-frequency UWB SAR leaf cluster hidden target fusion change detection method of claim 2, characterized in that the specific process of the step S1 is:
for each pixel point of the observation area, calculating the value of the correlation coefficient of the point between the reference image and the detection image by adopting a pixel neighborhood of 15 multiplied by 15, setting the point as a non-change point when the correlation coefficient is more than 0.5, and respectively setting the non-change point in the whole image in the detection image and the reference image as x1,x2...,xtAnd y1,y2...,yt(ii) a Performing bidirectional linear estimation by using least square method to obtain corresponding linear coefficient
Figure FDA0003023032430000011
Figure FDA0003023032430000012
And
Figure FDA0003023032430000013
using linear coefficient to distribute weight for non-change point to carry out weighted least square estimation to obtain corresponding linear coefficient
Figure FDA0003023032430000014
And
Figure FDA0003023032430000015
then, the weight value is continuously distributed until the linear coefficient is stabilized, namely k isa、ba、koAnd boAt this time:
Figure FDA0003023032430000016
in the formula (I), the compound is shown in the specification,
Figure FDA0003023032430000017
and
Figure FDA0003023032430000018
respectively, is an invariant point x1,x2...,xtAnd y1,y2...,ytThe mean value of (a);
for detecting all points of the image, linear transformation is used
Figure FDA0003023032430000019
And transforming to obtain a corrected detection image.
4. The improved low-frequency UWB SAR leaf cluster hidden target fusion change detection method of claim 3, characterized in that the process of the step S2 includes:
an image segmentation difference method based on an improved clutter distribution model is a pixel-level change detection method, and comprises the steps of subtracting the same point of images in different time phases to obtain a difference check quantity image, segmenting the difference check quantity image, estimating probability density distribution of a non-target area of the segmented image, setting a certain false alarm probability value, obtaining a corresponding detection threshold value in the probability density distribution, and regarding the detection threshold value as a change detection point if the detection threshold value is larger than the detection threshold value, thereby obtaining a check quantity image and a detection threshold value of a first sub-algorithm.
5. The improved low-frequency UWB SAR leaf cluster hidden target fusion change detection method of claim 4, characterized in that the specific process of the step S2 is:
let S1、S2Respectively observing the obtained SAR intensity images at different moments, S1As a reference image without object, S2To detect an image, ZdifIs composed of S1And S2The formed difference check quantity image:
firstly, performing image segmentation on a reference image, setting the equivalent visual number of the reference image to be 1 by adopting an OTSU image segmentation algorithm, segmenting the reference image, stopping segmenting when the minimum value of the error square of each sub-region after the segmentation of the reference image divided by the mean square is smaller than the equivalent visual number, or else, continuing to segment the image until the circulation exits, wherein the minimum value of the error square of each sub-region after the segmentation of the reference image divided by the mean square is smaller than the equivalent visual number;
then, the clutter distribution of each region is estimated, and the clutter distribution of each region of the difference check quantity image is assumed to be Fi(zdif) I belongs to N, and the false probability is set to be 10-8The detection threshold corresponding to each region is Fi-1(zdif) I belongs to N, and the image S is processed by using an image difference method2The mathematical expression for detecting the change of the newly appeared target in the process is as follows:
Figure FDA0003023032430000021
in the formula, zdif、s1、s2Respectively an image Zdif、S1、S2Gray value of the same pixel point, TdifIs a detection threshold set according to the false alarm rate.
6. The improved low-frequency UWB SAR leaf cluster hidden target fusion change detection method of claim 5, characterized in that the process of the step S3 includes:
in the one-dimensional Edgeworth method, firstly, each pixel point of an observation area is taken as a center, the probability density function of the pixel gray value in the adjacent area is estimated based on a Gaussian probability density distribution model based on an Edgeworth expansion, and on the basis, the difference of the probability density function of each point among multi-time phase images is analyzed based on a K-L divergence theory, so that a check quantity image related to the probability density difference is obtained; the generalized Laguerre polynomial method is based on the generalized Laguerre polynomial, the gamma probability density distribution model-based estimation is carried out on the pixel gray value probability density function in the neighborhood of the generalized Laguerre polynomial, and then the inspection quantity image is obtained through K-L divergence; then, carrying out image gray value statistics on the detected quantity image, finding the trend that the curve of the statistics quantity has a sudden drop on the left side, and adopting an inflection point in the sudden drop curve as a detection threshold; during detection, a least square method is adopted to fit the density curve, and a horizontal axis value of which the vertical axis is equal to 0 in the fit curve is taken to be approximate to a detection threshold value, so that a detection quantity image and the detection threshold value of two sub-algorithms are obtained.
7. The improved low-frequency UWB SAR leaf cluster hidden target fusion change detection method of claim 6, characterized in that the specific process of the step S3 is:
the one-dimensional Edgeworth method and the generalized Laguerre polynomial method are both used for estimating probability density distribution and then calculating a probability density distribution inspection quantity image by adopting K-L divergence; for a corresponding point of the detection image and the reference image, calculating the statistical information of a mean value, a variance, a third-order cumulant and a fourth-order cumulant corresponding to the neighborhood of the point, and substituting the statistical information into a correlation formula derived from K-L divergence to calculate a probability distribution difference value;
for the inspection volume images obtained by the one-dimensional Edgeworth method and the generalized Laguerre polynomial method, as the number of non-target points in the inspection volume images is far greater than that of the target points, the grayscale statistics is carried out on the inspection volume images, the non-target points are concentrated on the left side and have a dip trend, the target points are concentrated on the right side, the inflection point of a statistic curve is used as a detection threshold, a method for fitting the statistic curve of the inspection volume images is used on the right side, a fitting curve with y being ax + b is obtained, and the x value corresponding to y being 0 in the curve is the detection threshold.
8. The improved low-frequency UWB SAR leaf cluster hidden target fusion change detection method of claim 7, characterized in that the process of the step S4 includes:
the SVDD classifier firstly records the detection quantity of the change area and the change-free area as a target sample and an outlier sample, and then trains the SVDD by utilizing a training sample set formed by pre-extracted target samples so as to construct a minimum hypersphere containing all training samples in a kernel feature space and classify the change detection quantity in an observation scene on the basis of the hypersphere; the LE-SVDD sets a detection threshold value and a standard deviation of one point in the three sub-algorithm inspection quantity images which are all larger than the corresponding inspection quantity images as a training sample on the basis of the SVDD, one or two corresponding points of the inspection quantity images in the three sub-algorithms which are larger than the detection threshold value and the standard deviation are used as a test sample, the training sample is input into an LE-SVDD classifier for training, and target and non-target discrimination is carried out on the test sample, namely a final change detection result is obtained.
9. The improved low-frequency UWB SAR leaf cluster hidden target fusion change detection method of claim 8, characterized in that the specific process of the step S4 is:
for the detection image S1And a reference image S2Setting the inspection quantity image of the image segmentation difference method based on the improved clutter distribution model as I1The detection threshold is T1The inspection quantity images obtained by adopting a one-dimensional Edgeworth method and a generalized Laguerre polynomial method are respectively I2、I3The detection threshold is T2、T3
Constructing a sample data set as A { (i)1,i2,i3)|i1∈I1,i2∈I2,i3∈I3},i1、i2、i3Are all inspection volume images I1、I2、I3A corresponding point in;
constructing a training dataset as B { (i)1,i2,i3)|i1-T1>σ1,i2-T2>σ2,i3-T3>σ3In which σ is1、σ2、σ3Respectively representing the inspection volume image I1、I2、I3Standard deviation of (d);
the test data set is C { (i)1,i2,i3)||i1-T1|≤σ1Or | i2-T2|≤σ2Or | i3-T|3≤σ3};
The non-target region is known as D { (i)1,i2,i3)|i1-T1<σ1Or i2-T2<σ2Or i3-T<σ3};
Training by using a training data set B through a sequential minimum optimization algorithm, and then distinguishing a test data set C through a trained LE-SVDD classifier, so that information of a target point on a detection image is obtained, and high-efficiency high-precision low-frequency UWB SAR leaf cluster hidden target fusion change detection is further realized.
CN202110407968.6A2021-04-152021-04-15 Improved low-frequency UWB SAR foliage covert target fusion change detection methodExpired - Fee RelatedCN113159157B (en)

Priority Applications (1)

Application NumberPriority DateFiling DateTitle
CN202110407968.6ACN113159157B (en)2021-04-152021-04-15 Improved low-frequency UWB SAR foliage covert target fusion change detection method

Applications Claiming Priority (1)

Application NumberPriority DateFiling DateTitle
CN202110407968.6ACN113159157B (en)2021-04-152021-04-15 Improved low-frequency UWB SAR foliage covert target fusion change detection method

Publications (2)

Publication NumberPublication Date
CN113159157Atrue CN113159157A (en)2021-07-23
CN113159157B CN113159157B (en)2023-07-25

Family

ID=76868045

Family Applications (1)

Application NumberTitlePriority DateFiling Date
CN202110407968.6AExpired - Fee RelatedCN113159157B (en)2021-04-152021-04-15 Improved low-frequency UWB SAR foliage covert target fusion change detection method

Country Status (1)

CountryLink
CN (1)CN113159157B (en)

Cited By (2)

* Cited by examiner, † Cited by third party
Publication numberPriority datePublication dateAssigneeTitle
CN113870193A (en)*2021-09-062021-12-31中山大学Low-frequency UWB SAR image target change detection method based on deep learning
CN119540292A (en)*2024-11-232025-02-28中国人民解放军国防科技大学 High-precision video SAR moving target detection method based on information geometry theory

Citations (5)

* Cited by examiner, † Cited by third party
Publication numberPriority datePublication dateAssigneeTitle
CN102005049A (en)*2010-11-162011-04-06西安电子科技大学Unilateral generalized gaussian model-based threshold method for SAR (Source Address Register) image change detection
CN102968790A (en)*2012-10-252013-03-13西安电子科技大学Remote sensing image change detection method based on image fusion
CN105005983A (en)*2015-04-132015-10-28西南科技大学SAR image background clutter modeling and target detection method
CN106023229A (en)*2016-06-022016-10-12中国矿业大学SAR image change detection method by combining half Gauss model and Gauss model
CN109919910A (en)*2019-01-252019-06-21合肥工业大学 SAR image change detection method based on difference map fusion and improved level set

Patent Citations (5)

* Cited by examiner, † Cited by third party
Publication numberPriority datePublication dateAssigneeTitle
CN102005049A (en)*2010-11-162011-04-06西安电子科技大学Unilateral generalized gaussian model-based threshold method for SAR (Source Address Register) image change detection
CN102968790A (en)*2012-10-252013-03-13西安电子科技大学Remote sensing image change detection method based on image fusion
CN105005983A (en)*2015-04-132015-10-28西南科技大学SAR image background clutter modeling and target detection method
CN106023229A (en)*2016-06-022016-10-12中国矿业大学SAR image change detection method by combining half Gauss model and Gauss model
CN109919910A (en)*2019-01-252019-06-21合肥工业大学 SAR image change detection method based on difference map fusion and improved level set

Cited By (2)

* Cited by examiner, † Cited by third party
Publication numberPriority datePublication dateAssigneeTitle
CN113870193A (en)*2021-09-062021-12-31中山大学Low-frequency UWB SAR image target change detection method based on deep learning
CN119540292A (en)*2024-11-232025-02-28中国人民解放军国防科技大学 High-precision video SAR moving target detection method based on information geometry theory

Also Published As

Publication numberPublication date
CN113159157B (en)2023-07-25

Similar Documents

PublicationPublication DateTitle
CN102496016B (en)Infrared target detection method based on space-time cooperation framework
CN107123150B (en)Global color contrast detection and saliency map segmentation method
CN107491731B (en)Ground moving target detection and identification method for accurate striking
CN106096604A (en)Multi-spectrum fusion detection method based on unmanned platform
CN110660065B (en)Infrared fault detection and identification algorithm
CN110400294B (en)Infrared target detection system and detection method
Xu et al.COCO-Net: A dual-supervised network with unified ROI-loss for low-resolution ship detection from optical satellite image sequences
CN113159157A (en)Improved low-frequency UWB SAR (ultra wide band synthetic aperture radar) leaf cluster hidden target fusion change detection method
CN112329764A (en)Infrared dim target detection method based on TV-L1 model
CN114429593A (en)Infrared small target detection method based on rapid guided filtering and application thereof
Zhu et al.Improving hyperspectral anomaly detection with a simple weighting strategy
Hao et al.Infrared Small Target Detection Based on Adaptive Size Estimation by Multi-directional Gradient Filter
Miller et al.Person tracking in UAV video
Banerji et al.A morphological approach to automatic mine detection problems
Bi et al.A hierarchical salient-region based algorithm for ship detection in remote sensing images
CN109858483A (en)Small target detecting method based on symbiosis filter form He local entropy
CN110532989B (en) A method for automatic detection of marine targets
Pavlović et al.Object tracking in SWIR imaging based on both correlation and robust Kalman filters
Ning et al.Background Modeling and Fuzzy Clustering for Motion Detection from Video.
Andrei et al.Unsupervised Machine Learning Algorithms Used in Deforested Areas Monitoring
CN115861669B (en) A method for infrared dim small target detection based on clustering
CN113673373B (en)Space-ground infrared time-sensitive weak and small moving target detection method based on self-adaptive angle constraint
CN115346113A (en)SAR image weak target detection method based on improved ITTI model
CN105488458B (en)A kind of Ship Target character representation method based on image space structure distribution
Xu et al.Automatic Target Recognition Technology of SAR Images Based on 2DPCA+ PNN

Legal Events

DateCodeTitleDescription
PB01Publication
PB01Publication
SE01Entry into force of request for substantive examination
SE01Entry into force of request for substantive examination
GR01Patent grant
GR01Patent grant
CF01Termination of patent right due to non-payment of annual fee
CF01Termination of patent right due to non-payment of annual fee

Granted publication date:20230725


[8]ページ先頭

©2009-2025 Movatter.jp