



技术领域technical field
本发明涉及水库调度技术领域,具体是一种考虑跨流域调水影响下的水库分期汛限水位优化设计方法。The invention relates to the technical field of reservoir dispatching, in particular to a method for optimizing the design of the flood-limited water level of a reservoir by stages under the influence of cross-basin water diversion.
背景技术Background technique
由于受季风气候影响,我国降水分布不均,从而导致我国水资源呈现时空分布不均的特征。水库是协调流域水资源进行合理配置的主要工程措施。目前,水文学者以水库(群)为研究对象,在水资源调配理论与方法层面已取得了大量的科研成果,并逐步形成了较为成熟的技术方法体系;但水库对水资源的调蓄作用多局限于流域干或支流范围内。对此,跨流域调水是通过大规模的人工方法从余水的流域向缺水流域大量调水,以便促进缺水区域的经济发展和缓解流域用水矛盾,可与水库进行水工程联合运用,从而实现水资源在流域“宏观”与“微观”双重尺度上的安全高效协调分配。跨流域调水工程的具体实施通常需要先分析流域洪水资源分布特征并明确水库水源区可调水量,然后从水库坝前修建引水工程将余水调至受水区。因此,新时期开展水库(群)洪水资源化利用研究需要考虑跨流域调水会对水库入库洪水过程产生影响这一前提条件,这也是实现水工程(水库与跨流域调水工程)间联合调度、流域水资源优化配置的关键。其中,汛限水位是水库优化调度的关键特征水位参数,以此为切入点开展水库调度与跨流域调水工程联合运用是值得探究的。Due to the influence of the monsoon climate, the distribution of precipitation in my country is uneven, which leads to the uneven distribution of water resources in time and space in my country. Reservoir is the main engineering measure to coordinate the rational allocation of water resources in the basin. At present, hydrologists take reservoirs (groups) as their research objects, and have achieved a lot of scientific research results in the theory and method of water resources allocation, and gradually formed a relatively mature technical method system; but the role of reservoirs in regulating and storing water resources Most are confined to the main or tributary of the watershed. In this regard, inter-basin water transfer is to transfer a large amount of water from the remaining water basin to the water-deficient basin through large-scale artificial methods, so as to promote the economic development of the water-deficient area and alleviate the contradiction of water use in the basin. It can be used in conjunction with the reservoir for water engineering. So as to realize the safe and efficient coordinated distribution of water resources on the "macro" and "micro" scales of the basin. The specific implementation of the inter-basin water transfer project usually requires analyzing the distribution characteristics of flood resources in the basin and clarifying the adjustable water volume in the reservoir water source area, and then constructing a water diversion project in front of the reservoir dam to transfer the remaining water to the water receiving area. Therefore, in the new era, the research on the utilization of flood resources in reservoirs (groups) needs to consider the precondition that cross-basin water transfer will affect the flood process of the reservoir inflow. The key to scheduling and optimal allocation of water resources in the basin. Among them, the limited water level during the flood season is the key characteristic water level parameter for the optimal operation of the reservoir. Taking this as the starting point to carry out the joint application of the reservoir operation and the inter-basin water transfer project is worth exploring.
在现有的技术中存在如下问题:(1)现有水库分期汛限水位优化设计研究未考虑跨流域调水工程对入库洪水过程的影响;(2)目前针对水库分期汛限水位优化设计研究主要以传统洪水风险率作为防洪标准进行评价,在径流变化环境下适用性存在可探讨的空间。There are the following problems in the existing technology: (1) The existing research on the optimal design of the flood-limited water level of the existing reservoir does not consider the impact of the cross-basin water transfer project on the flood process; The research mainly uses the traditional flood risk rate as the flood control standard for evaluation, and there is room for discussion in the applicability under the environment of runoff change.
发明内容SUMMARY OF THE INVENTION
本发明是为了解决上述问题而进行的,目的在于提供一种考虑跨流域调水影响下的水库分期汛限水位优化设计方法,该方法能够在水库开展洪水资源化利用的过程中考虑跨流域调水工程对水库入库洪水过程的影响,为水库工程与跨流域调水工程之间的有效衔接提供思路,从而兼顾流域内外水资源的合理配置。The present invention is carried out to solve the above problems, and the purpose is to provide a method for optimizing the design of the flood-limited water level of the reservoir by stages under the influence of cross-basin water transfer. The influence of water engineering on the flooding process of reservoir entry provides ideas for the effective connection between reservoir engineering and inter-basin water transfer engineering, so as to take into account the rational allocation of water resources inside and outside the basin.
本发明提供了一种考虑跨流域调水影响下的水库分期汛限水位优化设计方法,包括以下步骤:The present invention provides a method for optimizing the design of the flood-limited water level of a reservoir by stages under the influence of cross-basin water transfer, comprising the following steps:
步骤1:推求考虑跨流域调水影响下的水库汛期分期入库流量;Step 1: Calculate the inflow flow of the reservoir during the flood season considering the influence of inter-basin water transfer;
步骤2:根据步骤1推求得到的水库汛期分期入库流量建立考虑跨流域调水影响下水库汛期分期洪水过程间的联合分布函数,确定分期洪水量级特征参数之间的联合分布关系及条件发生概率;Step 2: Establish the joint distribution function between the floods of the reservoir during the flood season under the influence of the inter-basin water transfer, and determine the joint distribution relationship between the characteristic parameters of the flood season and the condition occurrence probability;
步骤3:引入经济学条件风险价值理论,构建适用于水库调度领域的水库防洪损失条件风险价值评价指标,并在步骤2确定的分期洪水量级特征参数之间的条件发生概率基础上推求水库在整个汛期可能发生潜在防洪损失的计算式;Step 3: Introduce the conditional value-at-risk theory of economics, construct a conditional value-at-risk evaluation index for reservoir flood control losses suitable for the field of reservoir dispatching, and calculate the conditional probability of occurrence between the characteristic parameters of the staged flood magnitude determined in
步骤4:以步骤3构建的防洪损失条件风险价值指标为主要防洪约束条件,建立水库分期汛限水位优化设计模型,并求解水库分期汛限水位优化设计模型得到考虑跨流域调水影响下的水库分期汛限水位优化设计方案。Step 4: Taking the value-at-risk index of the flood control loss condition constructed in step 3 as the main flood control constraint, establish the optimal design model for the flood-limited water level of the reservoir by stages, and solve the optimal design model of the reservoir's flood-limited water level by stages to obtain the reservoir considering the influence of cross-basin water transfer. Optimal design scheme of limited water level during flood season.
进一步的,步骤1具体包括:Further,
步骤1-1,采用汛期分期研究领域常用的变点分析法,将水库汛期分期划分为前汛期D1和后汛期D2两期,或前汛期D1、主汛期D2和后汛期D3三期,分期数记为M,并对应将第j年各分期Ti时段内入库流量记为整个汛期时段长度其中j=1,…,N,N为实测入库径流序列年数,t=1,…,Ti,i=1,…,M;Step 1-1, using the change point analysis method commonly used in the field of flood season research, divide the reservoir flood season into two phases: the pre-flood period D1 and the post-flood period D2 , or the pre-flood period D1 , the main flood period D2 and the post-flood period D3 Three phases, the number of phases is recorded as M, and the corresponding inbound flow in each phase Ti in the j-th year is recorded as The length of the entire flood season Among them, j=1,...,N, N is the number of years of the measured inflow runoff sequence, t=1,...,Ti , i=1,...,M;
步骤1-2,将汛期跨流域调水工程的最大引水能力记为QY,并将其纳入汛期各分期洪水特性分析中,推求考虑跨流域调水影响下的水库各年汛期入库流量Step 1-2, record the maximum water diversion capacity of the cross-basin water diversion project in the flood season as QY , and incorporate it into the flood characteristic analysis of each stage in the flood season, and calculate the inflow flow of the reservoir in each flood season under the influence of the inter-basin water diversion.
进一步的,步骤2具体包括:Further,
步骤2-1,根据步骤1推求得到的各年考虑跨流域调水影响下的水库入库流量分别统计计算汛期各分期Di的洪水特征参数值序列,统一记为变量(X={Q,W},a={p,3d,7d,15d,30d}),具体包括洪峰值最大3天洪量值最大7天洪量值最大15天洪量值最大30天洪量值Step 2-1, according to the inflow flow of the reservoir under the influence of inter-basin water transfer in each year calculated according to
步骤2-2,依据Copula函数原理,构建考虑跨流域调水影响下各分期内入库洪水量级特征参数之间的联合分布关系:Step 2-2, based on the Copula function principle, construct the joint distribution relationship between the characteristic parameters of the magnitude of the inflow flood in each stage under the influence of inter-basin water transfer:
式中:为变量的边缘分布函数,为变量的联合分布函数,Cλ(·)为Copula联结函数,λ为Copula函数的参数,可由其与Kendall秩相关系数的关系求得;where: as variable The marginal distribution function of , as variable The joint distribution function of , Cλ (·) is the Copula connection function, and λ is the parameter of the Copula function, which can be obtained from its relationship with the Kendall rank correlation coefficient;
步骤2-3,依据步骤2-2建立的联合分布关系,推求各分期洪水量级特征参数之间的条件发生概率;Step 2-3, according to the joint distribution relationship established in step 2-2, infer the conditional probability of occurrence between the characteristic parameters of flood magnitude in each stage;
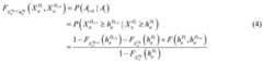
分期Di客观发生时间早于分期Di+1,当给定分期Di洪水量级特征参数时,记为洪水风险事件Ai,分期Di+1洪水量级特征参数记为洪水风险事件Ai+1,分期Di和分期Di+1洪水量级特征参数之间的条件发生概率计算式为:The objective occurrence time of stage Di is earlier than that of stage Di+1 , when the characteristic parameters of flood magnitude of stage Di are given , it is recorded as flood risk event Ai , and the characteristic parameters of flood magnitude in stages Di+1 Denoted as the flood risk event Ai+1 , the calculation formula of the conditional probability of occurrence between the characteristic parameters of the flood magnitude of the stage Di and the stage Di+1 is:
式中,X={Q,W},a={p,3d,7d,15d,30d},和分别为分期Di和分期Di+1洪水量级特征参数的阈值,根据防洪对象的防洪标准确定。where X={Q, W}, a={p, 3d, 7d, 15d, 30d}, and are the thresholds of the characteristic parameters of the flood magnitude of the stage Di and the stage Di+1 respectively, which are determined according to the flood control standards of the flood control object.
进一步的,步骤3具体包括:Further, step 3 specifically includes:
步骤3-1,根据经济学条件风险价值理论的定义,将其拓展于水库调度领域并建立水库防洪损失条件风险价值评价指标;Step 3-1, according to the definition of economic conditional value-at-risk theory, expand it to the field of reservoir dispatching and establish reservoir flood control loss conditional value-at-risk evaluation index;
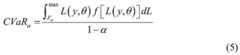
条件风险价值的含义为,在一定置信水平α条件下,损失超过阈值Fα的平均水平,其通用表达式如下:The meaning of conditional value-at-risk is the average level of loss exceeding the threshold Fα under a certain confidence level α, and its general expression is as follows:
式中:y为决策变量,θ为随机变量,L(y,θ)为损失函数,max和Fα分别为损失函数最大值、置信水平α下的函数值,f(·)为防洪损失的概率密度函数;In the formula: y is the decision variable, θ is a random variable, L(y, θ) is the loss function, max and Fα are the maximum value of the loss function and the function value under the confidence level α, respectively, and f( ) is the flood control loss. Probability density function;
根据水库调洪演算原理,选取决策变量为水库汛限水位、随机变量为入库洪水量级构建各分期防洪损失函数并在条件风险价值指标通用表达式(5)的基础上推求水库在置信水平αi条件下、分期Di的防洪损失条件风险价值指标如下:According to the principle of reservoir flood regulation, the decision variable is selected as the flood limit water level of the reservoir, and the random variable is selected as the flood level of the reservoir to construct the flood control loss function of each stage. And on the basis of the general expression (5) of the conditional value-at-risk index, the conditional value-at-risk index of the flood control loss of the reservoir under the condition of confidence level αi and in stages Di is calculated. as follows:
式中:为分期Di的水库汛限水位,为分期Di的入库洪水量级,为分期Di时段内相应于置信水平αi的阈值,为分期Di内损失函数的最大值,为分期Di内防洪损失的概率密度函数;where: is the flood-limited water level of the reservoir in stage Di , is the inbound flood magnitude of the stage Di , is the threshold corresponding to the confidence level αi in the period of stage Di , is the loss function within the stage Di the maximum value of , is the probability density function of flood control loss in the period Di ;
设分期Di内洪水风险事件发生概率为P(Ai),则置信水平αi与洪水风险率P(Ai)满足关系式P(Ai)+αi=1;Set the flood risk event within the period Di The occurrence probability is P(Ai ), then the confidence level αi and the flood risk rate P(Ai ) satisfy the relational expression P(Ai )+αi =1;
步骤3-2,在步骤2-3确定的各分期洪水量级特征参数之间的条件发生概率计算式的基础上,结合洪水风险事件发生的固有自然特性,推求水库在整个汛期时段可能发生的潜在防洪损失CVaRα计算式:Step 3-2, on the basis of the calculation formula of the conditional probability of occurrence between the characteristic parameters of the flood magnitudes of each stage determined in step 2-3, combined with the inherent natural characteristics of flood risk events, infer the possible occurrence of the reservoir during the entire flood season. Calculation formula of potential flood protection loss CVaRα :
式中:X={Q,W},a={p,3d,7d,15d,30d},X和a可根据水库自身面临的入库洪水特性进行选择,P(Ai)为分期Di洪水风险事件Ai的发生概率, P(Ai+1|Ai)表征当给定分期Di洪水风险事件Ai发生时,分期Di+1洪水风险事件 Ai+1发生的条件概率,见式(4);αi=1-P(Ai),其中i=1,…,M。In the formula: X={Q, W}, a={p, 3d, 7d, 15d, 30d}, X and a can be selected according to the characteristics of the inflow flood faced by the reservoir itself, P(Ai ) is the stage Di The occurrence probability of flood risk event Ai , P(Ai+1 |Ai ) represents the conditional probability of occurrence of flood risk event Ai+1 in stage Di+1 when flood risk event Ai occurs in given stage Di , see formula (4); αi =1-P(Ai ), where i=1, . . . , M.
进一步的,步骤4中以水库现状设计汛限水位方案对应的汛期防洪损失条件风险价值βα为防洪约束条件,建立水库分期汛限水位优化设计模型;水库分期汛限水位优化设计模型的目标函数和主要约束条件如下:Further, in step 4, the flood control loss condition risk valueβα corresponding to the flood control loss condition in flood season corresponding to the current design of the reservoir is used as the flood control constraint condition, and the optimal design model of the reservoir water level is established by stages; and the main constraints are as follows:
式中:代表各分期汛限水位优化组合方案,B(·)代表水库汛期兴利效益,CVaRα(·)代表相应于水库分期汛限水位优化组合方案的防洪损失条件风险价值,其计算过程中的随机变量采用的是考虑跨流域调水影响后的入库洪水过程;代表分期汛限水位现状组合方案,βα(·)代表相应于水库分期汛限水位现状组合方案的防洪损失条件风险价值,其计算过程中的随机变量采用天然入库洪水过程,即未受跨流域调水影响下的入库洪水过程。where: Represents the optimal combination scheme of the flood-limited water level in each stage, B(·) represents the benefit of the reservoir during the flood season, and CVaRα (·) represents the optimal combination scheme corresponding to the flood-limited water level of the reservoir by stages The Flood Loss Conditional VaR, a random variable in its calculation process The inflow flood process after considering the influence of inter-basin water transfer is adopted; βα (·) represents the conditional risk value of flood control loss corresponding to the current combination scheme of the flood-limited water level of the reservoir by stages, and the random variable in the calculation process The natural inflow flood process is adopted, that is, the inflow flood process without the influence of inter-basin water transfer.
进一步的,步骤2-2中Copula函数包括二元正态Copula函数、二元t-Copula 函数、二元Archimedean-Copula函数,采用离差平方和最小准则OLS来选取OLS 最小的Copula函数表达形式作为联结函数,OLS的计算公式如下:Further, in step 2-2, the Copula function includes a bivariate normal Copula function, a bivariate t-Copula function, and a bivariate Archimedean-Copula function, and the OLS minimum sum of squared deviation criterion is used to select the expression form of the Copula function with the smallest OLS as the expression form. The link function, the calculation formula of OLS is as follows:
式中,n为样本数,Pei、Pi分别为经验频率和理论频率。In the formula, n is the number of samples, and Pei and Pi are the empirical frequency and the theoretical frequency, respectively.
与现有技术相比,本发明的有益效果在于:Compared with the prior art, the beneficial effects of the present invention are:
(1)本发明提出了一种考虑跨流域调水影响下的水库分期汛限水位优化设计方法,该方法能够在水库开展洪水资源化利用的过程中考虑跨流域调水工程对水库入库洪水过程的影响,为水库工程与跨流域调水工程之间的有效衔接提供思路,从而兼顾流域内外水资源的合理配置;(1) The present invention proposes an optimal design method for the flood-limited water level of the reservoir by stages considering the influence of cross-basin water transfer. The influence of the process provides ideas for the effective connection between the reservoir project and the inter-basin water transfer project, so as to take into account the rational allocation of water resources inside and outside the basin;
(2)本发明所提出的一种考虑跨流域调水影响下的水库分期汛限水位优化设计方法中所构建的水库汛期分期防洪损失条件风险价值指标CVaRα,可通过耦合汛期各分期内防洪损失条件风险价值及两个相邻分期间洪水事件发生的条件概率,推求水库整个汛期调度决策时段的潜在防洪损失值,从而为水库各分期汛限水位组合提供优化思路。(2) The conditional value-at-risk index CVaRα of the flood control loss condition of the reservoir during the flood season, which is constructed in the optimal design method for the flood-limited water level of the reservoir by stages under the influence of the cross-basin water transfer proposed by the present invention, can be coupled with the flood control in each stage of the flood season. loss condition value at risk And the conditional probability of flood events in two adjacent sub-periods, the potential flood control loss value of the reservoir during the whole flood season scheduling decision-making period is calculated, so as to provide an optimization idea for the combination of the flood-limited water level in each sub-period of the reservoir.
附图说明Description of drawings
图1是本发明实施例提供的一种考虑跨流域调水影响下的水库分期汛限水位优化设计方法的流程示意图;Fig. 1 is a schematic flow chart of a method for optimizing the design of the reservoir's flood-limited water level by stages under the influence of cross-basin water transfer provided by an embodiment of the present invention;
图2是本发明实施例构建考虑跨流域调水影响下各分期内入库洪水量级特征参数之间的联合分布关系示意图;2 is a schematic diagram of the joint distribution relationship between the characteristic parameters of the magnitude of the inflow flood in each phase under the consideration of the influence of cross-basin water transfer in an embodiment of the present invention;
图3(a)是本发明实施例水库分期汛限水位优化设计模型推求的分期汛限水位组合方案解集示意图;图3(b)是本发明实施例不同的分期汛限水位组合方案对应的条件风险价值CVaRα和效益目标值B的关系图。Fig. 3 (a) is a schematic diagram of the solution set of the combination scheme of the flood-limited water level in different stages according to the embodiment of the present invention; Plot of conditional value-at-risk CVaRalpha and benefit target value B.
具体实施方式Detailed ways
为使本发明实施例的目的、技术方案和优点更加清楚,下面将结合本发明实施例中的附图,对本发明实施例中的技术方案进行清楚、完整地描述,显然,所描述的实施例是本发明的一部分实施例,而不是全部的实施例。基于本发明中的实施例,本领域普通技术人员在没有做出创造性劳动的前提下所获得的所有其他实施例,都属于本发明保护的范围。In order to make the purposes, technical solutions and advantages of the embodiments of the present invention clearer, the technical solutions in the embodiments of the present invention will be clearly and completely described below with reference to the accompanying drawings in the embodiments of the present invention. Obviously, the described embodiments These are some embodiments of the present invention, but not all embodiments. Based on the embodiments of the present invention, all other embodiments obtained by those of ordinary skill in the art without creative work fall within the protection scope of the present invention.
如图1所示,本实施例所提供的一种考虑跨流域调水影响下的水库分期汛限水位优化设计方法包括以下步骤:As shown in FIG. 1 , a method for optimizing the design of reservoir water level with limited flood season by stages under the influence of inter-basin water transfer provided by this embodiment includes the following steps:
步骤1,推求考虑跨流域调水影响下的水库汛期分期入库流量过程,具体实现如下:Step 1: Calculate the inflow process of the reservoir during the flood season under the influence of inter-basin water transfer. The specific implementation is as follows:
步骤1-1,采用汛期分期研究领域常用的变点分析法,将水库汛期分期划分为前汛期D1和后汛期D2两期,或前汛期D1、主汛期D2和后汛期D3三期,分期数记为M,并对应将第j年各(j=1,…,N,N为实测入库径流序列年数)分期Ti时段内入库流量记为整个汛期时段长度Step 1-1, using the change point analysis method commonly used in the field of flood season research, divide the reservoir flood season into two phases: the pre-flood period D1 and the post-flood period D2 , or the pre-flood period D1 , the main flood period D2 and the post-flood period D3 For the third phase, the number of phases is recorded as M, and the corresponding inbound flow in each phase Ti in the jth year (j=1, . The length of the entire flood season
步骤1-2,将汛期跨流域调水工程的最大引水能力记为QY(通常汛期跨流域调水可达到最大引水能力),并将其纳入汛期各分期洪水特性分析中,推求考虑跨流域调水影响下的水库各年汛期入库流量Step 1-2, record the maximum water diversion capacity of the cross-basin water diversion project in the flood season as QY (usually, the cross-basin water diversion in the flood season can reach the maximum water diversion capacity), and incorporate it into the flood characteristic analysis of each stage in the flood season, and calculate the cross-basin consideration. Reservoir inflow in flood seasons under the influence of water transfer
步骤2,根据步骤1推求得到的水库汛期分期入库流量建立考虑跨流域调水影响下水库汛期分期洪水过程间的联合分布函数,确定分期洪水量级特征参数之间的联合分布关系及条件发生概率,具体实现如下:Step 2: According to the inflow of the reservoir during the flood season obtained in
步骤2-1,根据步骤1-2推求得到的各年考虑跨流域调水影响下的水库入库流量分别统计计算汛期各分期Di的洪水特征参数值序列,统一记为变量(X={Q,W},a={p,3d,7d,15d,30d}),具体包括洪峰值最大3天洪量值最大7天洪量值最大15天洪量值最大30天洪量值Step 2-1, the inflow flow of the reservoir under the influence of inter-basin water transfer in each year calculated according to step 1-2 Statistically calculate the sequence of flood characteristic parameter values of each stage Di in the flood season, and record them as variables (X={Q, W}, a={p, 3d, 7d, 15d, 30d}), specifically including the flood peak Maximum 3-day flood value Maximum 7-day flood value Maximum 15-day flood value Maximum 30-day flood value
步骤2-2,依据Copula函数原理,构建考虑跨流域调水影响下各分期内入库洪水量级特征参数之间的联合分布关系(如图2):Step 2-2, according to the principle of Copula function, construct the joint distribution relationship between the characteristic parameters of the magnitude of the inflow flood in each stage under the influence of inter-basin water transfer (as shown in Figure 2):
式中:为变量的边缘分布函数,为变量的联合分布函数,Cλ(·)为Copula联结函数,λ为Copula函数的参数,可由其与Kendall秩相关系数的关系求得;where: as variable The marginal distribution function of , as variable The joint distribution function of , Cλ (·) is the Copula connection function, and λ is the parameter of the Copula function, which can be obtained from its relationship with the Kendall rank correlation coefficient;
常用的Copula函数有二元正态Copula函数,二元t-Copula函数,二元Archimedean-Copula函数,采用离差平方和最小准则(OLS)来选取OLS最小的Copula函数表达形式作为联结函数,OLS的计算公式如下:Commonly used Copula functions include the binary normal Copula function, the binary t-Copula function, and the binary Archimedean-Copula function. The minimum sum of squared deviation criterion (OLS) is used to select the expression form of the Copula function with the smallest OLS as the link function. OLS The calculation formula is as follows:
式中,n为样本数,Pei、Pi分别为经验频率和理论频率;In the formula, n is the number of samples, and Pei and Pi are the empirical and theoretical frequencies, respectively;
步骤2-3,依据步骤2-2建立的联合分布关系,推求各分期洪水量级特征参数之间的条件发生概率;Step 2-3, according to the joint distribution relationship established in step 2-2, infer the conditional probability of occurrence between the characteristic parameters of flood magnitude in each stage;
由于分期Di客观发生时间早于分期Di+1,因此,当给定分期Di洪水量级特征参数时(记为洪水风险事件Ai),分期Di+1洪水量级特征参数(记为洪水风险事件Ai+1),分期Di和分期Di+1洪水量级特征参数之间的条件发生概率计算式为:Since the objective occurrence time of stage Di is earlier than that of stage Di+1 , when the characteristic parameters of flood magnitude of stage Di are given, time (denoted as flood risk event Ai ), stage Di+1 flood magnitude characteristic parameters (denoted as the flood risk event Ai+1 ), the conditional probability of occurrence between the characteristic parameters of the flood magnitude of the stage Di and the stage Di+1 is calculated as:
式中,X={Q,W},a={p,3d,7d,15d,30d},和分别为分期Di和分期Di+1洪水量级特征参数的阈值,可根据防洪对象的防洪标准确定;where X={Q, W}, a={p, 3d, 7d, 15d, 30d}, and are the thresholds of the characteristic parameters of the flood magnitude of the stage Di and the stage Di+1 respectively, which can be determined according to the flood control standard of the flood control object;
步骤3,引入经济学条件风险价值理论,构建适用于水库调度领域的水库防洪损失条件风险价值评价指标,并在步骤2确定的分期洪水量级特征参数之间的条件发生概率基础上推求水库在整个汛期可能发生潜在防洪损失的计算式,具体实现如下:Step 3: Introduce the conditional value-at-risk theory of economics to construct a conditional value-at-risk evaluation index suitable for reservoir flood control losses in the field of reservoir scheduling, and based on the conditional probability of occurrence among the characteristic parameters of the staged flood magnitude determined in
步骤3-1,条件风险价值的含义为,在一定置信水平α条件下,损失超过阈值Fα的平均水平,其通用表达式如下:Step 3-1, the meaning of conditional value-at-risk is that, under a certain confidence level α, the loss exceeds the average level of the threshold value Fα , and its general expression is as follows:
式中:y为决策变量,θ为随机变量,L(y,θ)为损失函数,max和Fα分别为损失函数最大值、置信水平α下的函数值,f(·)为防洪损失的概率密度函数;In the formula: y is the decision variable, θ is a random variable, L(y, θ) is the loss function, max and Fα are the maximum value of the loss function and the function value under the confidence level α, respectively, and f( ) is the flood control loss. Probability density function;
根据水库调洪演算原理构建各分期防洪损失函数并在条件风险价值指标通用表达式(5)的基础上推求水库在置信水平αi条件下、分期Di的防洪损失条件风险价值指标如下:Constructing the flood control loss function of each stage according to the principle of reservoir flood regulation And on the basis of the general expression (5) of the conditional value-at-risk index, the conditional value-at-risk index of the flood control loss of the reservoir under the condition of confidence level αi and in stages Di is calculated. as follows:
式中:为分期Di的水库汛限水位,为分期Di的入库洪水量级,为分期Di时段内相应于置信水平αi的阈值,为分期Di内损失函数的最大值,为分期Di内防洪损失的概率密度函数;where: is the flood-limited water level of the reservoir in stage Di , is the inbound flood magnitude of the stage Di , is the threshold corresponding to the confidence level αi in the period of stage Di , is the loss function within the stage Di the maximum value of , is the probability density function of flood control loss in the period Di ;
设分期Di内洪水风险事件发生概率为P(Ai),则置信水平αi与洪水风险率P(Ai)满足关系式P(Ai)+αi=1;Set the flood risk event within the period Di The occurrence probability is P(Ai ), then the confidence level αi and the flood risk rate P(Ai ) satisfy the relational expression P(Ai )+αi =1;
步骤3-2,在步骤2-3构建的各分期洪水量级特征参数之间的条件发生概率计算式的基础上,结合洪水风险事件发生的固有自然特性,推求水库在整个汛期时段可能发生的潜在防洪损失CVaRα计算式:Step 3-2, on the basis of the calculation formula of the conditional probability of occurrence among the characteristic parameters of flood magnitudes of each stage constructed in step 2-3, combined with the inherent natural characteristics of flood risk events, infer the possible occurrence of the reservoir during the entire flood season. Calculation formula of potential flood protection loss CVaRα :
式中:X={Q,W},a={p,3d,7d,15d,30d},X和a可根据水库自身面临的入库洪水特性进行选择,P(Ai)为分期Di洪水风险事件Ai的发生概率, P(Ai+1|Ai)表征当给定分期Di洪水风险事件Ai发生时,分期Di+1洪水风险事件 Ai+1发生的条件概率,见式(4);αi=1-P(Ai) (i=1,…,M);In the formula: X={Q, W}, a={p, 3d, 7d, 15d, 30d}, X and a can be selected according to the characteristics of the inflow flood faced by the reservoir itself, P(Ai ) is the stage Di The occurrence probability of flood risk event Ai , P(Ai+1 |Ai ) represents the conditional probability of occurrence of flood risk event Ai+1 in stage Di+1 when flood risk event Ai occurs in given stage Di , see formula (4); αi =1-P(Ai ) (i=1,...,M);
步骤4,以步骤3构建的防洪损失条件风险价值指标为主要防洪约束条件,建立水库分期汛限水位优化设计模型,并求解得到考虑跨流域调水影响下的水库分期汛限水位优化设计方案,请参阅图3(a)和图3(b),其中图3(a)为水库分期汛限水位优化设计模型推求的分期汛限水位组合方案解集示意图,图3(b) 为不同的分期汛限水位组合方案对应的条件风险价值CVaRα和效益目标值B的关系图。Step 4, take the flood control loss condition risk value index constructed in step 3 as the main flood control constraint condition, establish the optimal design model of the reservoir's flood-limited water level by stages, and solve the optimal design scheme of the reservoir's flood-limited water level by stages considering the influence of cross-basin water transfer, Please refer to Figure 3(a) and Figure 3(b), in which Figure 3(a) is a schematic diagram of the solution set of the combination scheme of the flood-limited water level in different stages calculated by the optimal design model for the flood-limited water level of the reservoir, and Figure 3(b) is a diagram of different stages The relationship between the conditional value-at-risk CVaRα and the benefit target value B corresponding to the combination scheme of the flood-limited water level.
具体的,在步骤3的基础上,以水库现状设计汛限水位方案对应的汛期防洪损失条件风险价值(记为βα)为防洪约束条件,推求在不增加防洪风险的基础上可行的水库分期汛限水位优化方案;水库分期汛限水位优化设计模型的目标函数和主要约束条件如下:Specifically, on the basis of step 3, taking the flood control loss condition risk value (denoted as βα ) corresponding to the flood control loss condition in the flood season corresponding to the current design of the reservoir in the flood season as the flood control constraint condition, infer the feasible reservoir stages without increasing the flood control risk. Optimal scheme of flood-limited water level; the objective function and main constraints of the optimal design model for flood-limited water level of the reservoir by stages are as follows:
式中:代表各分期汛限水位优化组合方案,B(·)代表水库汛期兴利效益(比如发电量、供水量等),CVaRα(·)代表相应于水库分期汛限水位优化组合方案的防洪损失条件风险价值,其计算过程中的随机变量采用的是考虑跨流域调水影响后的入库洪水过程;代表分期汛限水位现状组合方案,βα(·)代表相应于水库分期汛限水位现状组合方案的防洪损失条件风险价值,其计算过程中的随机变量采用天然入库洪水过程,即未受跨流域调水影响下的入库洪水过程。where: Represents the optimal combination scheme of the flood-limited water level in each stage, B(·) represents the benefit of the reservoir during the flood season (such as power generation, water supply, etc.), and CVaRα (·) represents the optimal combination scheme corresponding to the flood-limited water level of the reservoir by stages The Flood Loss Conditional VaR, a random variable in its calculation process The inflow flood process after considering the influence of inter-basin water transfer is adopted; βα (·) represents the conditional risk value of flood control loss corresponding to the current combination scheme of the flood-limited water level of the reservoir by stages, and the random variable in the calculation process The natural inflow flood process is adopted, that is, the inflow flood process without the influence of inter-basin water transfer.
以上所述,仅为本发明的具体实施方式,但本发明的保护范围并不局限于此,任何属于本技术领域的技术人员在本发明揭露的技术范围内,可轻易想到的变化或替换,都应涵盖在本发明的保护范围之内。因此,本发明的保护范围应该以权利要求的保护范围为准。The above are only specific embodiments of the present invention, but the protection scope of the present invention is not limited thereto. Any person skilled in the art can easily think of changes or substitutions within the technical scope disclosed by the present invention, All should be included within the protection scope of the present invention. Therefore, the protection scope of the present invention should be subject to the protection scope of the claims.
| Application Number | Priority Date | Filing Date | Title |
|---|---|---|---|
| CN202110390810.2ACN113128757B (en) | 2021-04-12 | 2021-04-12 | Optimal design method of reservoir water level during flood season considering the influence of inter-basin water transfer |
| Application Number | Priority Date | Filing Date | Title |
|---|---|---|---|
| CN202110390810.2ACN113128757B (en) | 2021-04-12 | 2021-04-12 | Optimal design method of reservoir water level during flood season considering the influence of inter-basin water transfer |
| Publication Number | Publication Date |
|---|---|
| CN113128757A CN113128757A (en) | 2021-07-16 |
| CN113128757Btrue CN113128757B (en) | 2022-05-31 |
| Application Number | Title | Priority Date | Filing Date |
|---|---|---|---|
| CN202110390810.2AActiveCN113128757B (en) | 2021-04-12 | 2021-04-12 | Optimal design method of reservoir water level during flood season considering the influence of inter-basin water transfer |
| Country | Link |
|---|---|
| CN (1) | CN113128757B (en) |
| Publication number | Priority date | Publication date | Assignee | Title |
|---|---|---|---|---|
| CN113609657B (en)* | 2021-07-19 | 2024-01-23 | 湖北省水利水电规划勘测设计院 | Method for determining lake stage scheduling water level based on urban flood model |
| CN113780628B (en)* | 2021-08-16 | 2024-04-12 | 西安交通大学 | Cascade hydropower dispatching model construction method, device, electronic equipment and storage medium |
| CN114065521B (en)* | 2021-11-18 | 2024-06-28 | 三峡大学 | Improved flood season staging method, system and storage medium |
| CN115018218B (en)* | 2022-08-09 | 2022-11-25 | 长江勘测规划设计研究有限责任公司 | Method and system for utilizing flood resources of cascade reservoir group |
| CN115034521B (en)* | 2022-08-09 | 2022-11-25 | 长江勘测规划设计研究有限责任公司 | Stage-by-stage floating control method for water level of cascade reservoir in flood season |
| CN117436619B (en)* | 2023-12-20 | 2024-03-15 | 长江水利委员会水文局 | Cascade reservoir flood control reservoir capacity combined reservation method based on equivalent flood control effect |
| Publication number | Priority date | Publication date | Assignee | Title |
|---|---|---|---|---|
| CN106952030A (en)* | 2017-03-15 | 2017-07-14 | 武汉大学 | Evaluation Method of Flood Control Loss Based on Conditional Value-at-Risk |
| CN107239656A (en)* | 2017-05-27 | 2017-10-10 | 武汉大学 | Division of flood seasonal phases quantifying risk evaluation method |
| CN109636098A (en)* | 2018-10-31 | 2019-04-16 | 华中科技大学 | A kind of Analysis of flood control operation risk method based on risk entropy |
| CN110033164B (en)* | 2019-03-04 | 2021-07-02 | 华中科技大学 | A risk assessment and decision-making method for joint flood control scheduling of reservoir groups |
| CN110414050A (en)* | 2019-06-25 | 2019-11-05 | 武汉大学 | A Flood Calculation Method for Staged Design of Cascade Reservoirs Considering the Effect of Regulation and Storage |
| CN111709134B (en)* | 2020-06-12 | 2021-05-04 | 河海大学 | A method and device for multi-water source cross-basin dispatching based on gate pump station group control |
| Publication number | Publication date |
|---|---|
| CN113128757A (en) | 2021-07-16 |
| Publication | Publication Date | Title |
|---|---|---|
| CN113128757B (en) | Optimal design method of reservoir water level during flood season considering the influence of inter-basin water transfer | |
| CN112633578B (en) | Cascade reservoir group optimal scheduling method under influence of diversion and water diversion engineering | |
| Chen et al. | Joint operation and dynamic control of flood limiting water levels for cascade reservoirs | |
| CN107147110B (en) | An optimal allocation method for energy storage capacity considering the spatiotemporal correlation of forecast errors in multiple wind farms | |
| CN107994595A (en) | A kind of system of peak load shifting control method and system and the application control method | |
| CN109636043B (en) | A method and system for self-adaptive optimization of power generation scheduling in cascade hydropower systems | |
| CN109523059A (en) | A kind of step hydroelectric station reservoir ecological dispatching intelligent optimization method and system | |
| Brandao | Performance of the equivalent reservoir modelling technique for multi-reservoir hydropower systems | |
| CN116227863B (en) | Cascade hydropower station optimal scheduling method based on Harris eagle optimization algorithm | |
| CN105868841B (en) | A combined dispatching method of wind, water and fire based on the priority grid of wind power | |
| CN105160443A (en) | Optimal operation method for complex reservoir group based on extended linear quadratic Gaussian method | |
| Sultonov et al. | Implementation of the method of Lagrange for optimal modes of energy system of Tajikistan | |
| CN107341567B (en) | Storage capacity replacement calculation method for cascade reservoir group | |
| CN118095581A (en) | Method and system for predicting water inflow of cascaded small hydropower stations based on distributed hydrological model | |
| CN117910641A (en) | Joint optimization dispatching diagram of storage nodes considering real-time water inflow and dimension reduction solution method | |
| CN106447175A (en) | Generalized trapezoidal fuzzy set determining method and generalized trapezoidal fuzzy set determining device for daily power generation amount of photovoltaic power generation system | |
| CN106300424B (en) | A kind of method and device of determining new energy user photovoltaic generating system daily generation | |
| CN106339773B (en) | Sensitivity-based constant volume planning method for distributed power supply of active power distribution network | |
| CN111476477A (en) | Medium- and long-term optimal dispatching method for cascade hydropower stations based on power generation benefit objectives | |
| CN108564231B (en) | A surrogate optimization dimensionality reduction method for joint dispatch of large-scale hydropower stations and reservoir groups | |
| Xie et al. | Short-term power generation scheduling rules for cascade hydropower stations based on hybrid algorithm | |
| CN106300422B (en) | A kind of determination method of distributed photovoltaic power generation system daily generation | |
| CN110135033B (en) | Method for calculating effective sediment ejection period of storage, clear and muddy water reservoir | |
| BAI et al. | Single-multi-objective operation models and its application on the regulation of water and sediment by cascade reservoirs | |
| CN110188912A (en) | Optimization method for joint scheduling of surface water and groundwater based on improved pollen algorithm |
| Date | Code | Title | Description |
|---|---|---|---|
| PB01 | Publication | ||
| PB01 | Publication | ||
| SE01 | Entry into force of request for substantive examination | ||
| SE01 | Entry into force of request for substantive examination | ||
| GR01 | Patent grant | ||
| GR01 | Patent grant |