Movatterモバイル変換


[0]ホーム

URL:


CN113128063A - Typical load scene generation method and system for ice and snow sport stadium - Google Patents

Typical load scene generation method and system for ice and snow sport stadium
Download PDF

Info

Publication number
CN113128063A
CN113128063ACN202110461136.2ACN202110461136ACN113128063ACN 113128063 ACN113128063 ACN 113128063ACN 202110461136 ACN202110461136 ACN 202110461136ACN 113128063 ACN113128063 ACN 113128063A
Authority
CN
China
Prior art keywords
load
ice
snow
bus
scene set
Prior art date
Legal status (The legal status is an assumption and is not a legal conclusion. Google has not performed a legal analysis and makes no representation as to the accuracy of the status listed.)
Granted
Application number
CN202110461136.2A
Other languages
Chinese (zh)
Other versions
CN113128063B (en
Inventor
李镓辰
苏彪
刘音
尚博
王诜
沈洋
何彦彬
王云飞
时芝勇
颜渊
姜山
王东
余谦
武增宇
Current Assignee (The listed assignees may be inaccurate. Google has not performed a legal analysis and makes no representation or warranty as to the accuracy of the list.)
State Grid Beijing Electric Power Co Ltd
State Grid Corp of China SGCC
Original Assignee
State Grid Beijing Electric Power Co Ltd
State Grid Corp of China SGCC
Priority date (The priority date is an assumption and is not a legal conclusion. Google has not performed a legal analysis and makes no representation as to the accuracy of the date listed.)
Filing date
Publication date
Application filed by State Grid Beijing Electric Power Co Ltd, State Grid Corp of China SGCCfiledCriticalState Grid Beijing Electric Power Co Ltd
Priority to CN202110461136.2ApriorityCriticalpatent/CN113128063B/en
Publication of CN113128063ApublicationCriticalpatent/CN113128063A/en
Application grantedgrantedCritical
Publication of CN113128063BpublicationCriticalpatent/CN113128063B/en
Activelegal-statusCriticalCurrent
Anticipated expirationlegal-statusCritical

Links

Images

Classifications

Landscapes

Abstract

The invention discloses a typical load scene generation method and a typical load scene generation system for an ice and snow sport stadium, which combine a scene reduction method and a scene generation method. And constructing a large number of uncertain load scenes by adopting a scene generation method aiming at the uncertain loads. And (4) screening a representative regular typical load scene by adopting a clustering algorithm aiming at the basic load. The two scenes are combined and superposed to construct a scene set which can cover all possibilities of the ice and snow sports stadium, and finally, a representative ice and snow sports stadium typical load scene is extracted through a clustering algorithm, so that the computer calculation efficiency is improved, the time is saved, and a reference basis is provided for scheduling and operation and maintenance personnel to formulate an emergency plan, thereby ensuring the safe and stable operation of electric equipment during important events.

Description

Typical load scene generation method and system for ice and snow sport stadium
Technical Field
The invention belongs to the technical field of computers, and particularly relates to a typical load scene generation method and system for an ice and snow sport stadium.
Background
Along with the development of social economy, the diversity of load types is increased sharply, and the accompanying different load characteristics bring great difficulty to the operation and production of a power grid. Therefore, a typical load scene needs to be constructed to assist a scheduling department to make a reasonable operation scheme, which is beneficial to the safe and stable operation of the system. The typical regional load scene generation is generally obtained by classifying a large number of original load scenes, and the regional loads have certain regular characteristics, for example, commercial loads form higher flat section loads in business hours, rest times form smaller low valley loads, peak-valley difference and peak-valley difference rates are larger, and the load rates are relatively lower. The residential load may also have a morning-evening bimodal type load characteristic on a weekday. Therefore, common commercial load and residential load are subjected to fixed behaviors in work and life to generate certain rules. At the moment, the typical load scene can be well extracted by adopting a classification method.
However, the load of the ice and snow sports stadium is greatly influenced by the event arrangement, and the event arrangement has no strong regularity, so that the typical load scene generation of the ice and snow sports stadium cannot be easily screened out by a classification method. Different load types exist in the ice and snow sports stadium, and comprise stadium lighting power utilization, air conditioner power utilization, cableway cable car power utilization, fresh air handling unit power utilization, security power utilization, elevator power utilization, communication equipment power utilization, electric automobile charging load and snow-making and ice-making equipment load. The charging load of the electric automobile and the load of the snow and ice making equipment are greatly influenced by the arrangement of the events, and a lot of sportsmen, audiences and venue operation support personnel can flow in the venue during the events, so the charging load of the electric automobile is higher. The snow and ice making equipment in the field during the event also can carry out preparation work of snow and ice making in advance for the competition field according to the event arrangement. In addition, the proportion of the charging load of the electric automobile and the load of the snow and ice making equipment to the total load of the ice and snow sports stadium is large, and the uncertainty and the importance of the charging load and the load of the snow and ice making equipment determine that the typical scene generation of the ice and snow sports stadium is not suitable for a conventional classification method.
The conventional typical scene generation method is divided into two categories, including scene reduction and scene generation. The scene reduction method mainly adopts various clustering algorithms, a scene tree method, a backward subtraction method and the like to generate a typical load scene for the load scene in the region, and is suitable for the load scene with certain regularity. The scene generation method generally adopts algorithms such as ARMA (autoregressive moving average), probabilistic modeling, Markov chain, neural network and the like, generates a large number of load scenes by learning the commonalities existing in the load scenes, and then reduces the generated scenes. The method is suitable for generating the load scene with uncertain characteristics, but the method is complicated, and when the scene generation method is realized through a computer, the speed is low and the calculation time is long.
Disclosure of Invention
The invention aims to provide a typical load scene generation method and a typical load scene generation system for an ice and snow sports stadium, and aims to solve the problems of low speed and long calculation time when a scene generation method in the background technology is realized through a computer in the prior art.
In order to realize the purpose, the following technical scheme is adopted:
a typical load scene generation method for an ice and snow sport stadium comprises the following steps:
dividing the load types of the ice and snow sport stadium into an uncertain load and a basic load;
modeling the uncertain load, and simulating and generating an uncertain load daily scene set by a Monte Carlo method;
overlapping the power data time sequence of the basic load, constructing a daily scene set of the basic load, and performing clustering analysis on the daily scene set of the basic load by adopting a neighbor propagation clustering algorithm to obtain a typical daily scene set of the basic load;
combining and data superposition are carried out on the uncertain load daily scene set and the typical basic load daily scene set, and a combined superposition daily scene set covering the uncertain load and the basic load is constructed;
and performing clustering analysis on the combined overlapping day scene set by adopting a K-means clustering algorithm to generate a typical load day scene set, and constructing a typical load scene of the ice and snow sports stadium according to the typical load day scene set.
Further, the uncertain load comprises electric automobile load and snow and ice making equipment; the basic load comprises power for illumination of a venue, power for an air conditioner, power for a cableway cable car, power for a fresh air handling unit, power for security, power for an elevator and power for communication equipment.
Further, the electric vehicle load includes a small household electric vehicle charging load and a large electric bus charging load;
1) small-sized household electric automobile charging load modelIs denoted as PEV,car(t);
PEV,car(t)=Ncar,tpcarQcar(St=1)
In the formula: n is a radical ofcar,tRepresenting the number of small household electric vehicles in the time t; p is a radical ofcarCharging power for a single small household electric vehicle; qcar(St1) is the probability that the small household electric automobile is in a charging state;
2) the charge load model of a large electric bus is denoted as PEV,bus(t):
PEV,bus(t)=Nbus,tpbusQbus(St=1)
In the formula: n is a radical ofbus,tRepresenting the number of the electric buses within the time t; p is a radical ofbusThe charging power of a single electric bus; qbus(St1) is the probability that the electric bus is in a charging state.
Further, a Monte Carlo method is adopted to simulate sampling to generate a daily scene sc of the charging load of the small household electric vehiclecar,1=(pEV,car(1),pEV,car(2),L pEV,car(96) And charging load daily scene sc of large electric busbus,1=(pEV,bus(1),pEV,bus(2),L pEV,bus(96) ); and repeatedly simulating Nsc,carSecondary construction daily scene set of charging load of small household electric automobile
Figure BDA0003042282690000032
Repetitive analog simulation of Nsc,busSecondary construction of charging load daily scene set of large electric bus
Figure BDA0003042282690000033
Nsc,carThe number of the charging load scenes of the small household electric vehicle is randomly sampled and generated according to the charging load model of the small household electric vehicle; n is a radical ofsc,busThe number of charging load scenes of the large electric bus generated by random sampling according to the charging load model of the large electric bus.
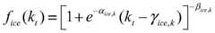
Further, the method comprisesSaid snow-making and ice-making equipment load model Pice(t) is expressed as:
Figure BDA0003042282690000031
in the formula Pice(t) is the total power of all snow making equipment in a period t, wherein t is 1, 2 and L96; pice,k(t) is the power of the kth group of snow making equipment during the time period t, k is 1, 2, L nice;niceThe load of the snow making and ice making in the same area is defined as a set of snow making devices for the total number of the snow making devices.
Further, a general probability distribution model f of each group of snow making equipment in different time periods is constructed by utilizing historical dataice(kt) On the basis, the power P of the kth group of snow making equipment in the t period is generated by adopting Monte Carlo sampling simulationice,k(t);
Figure BDA0003042282690000041
In the formula ktRepresenting the snow-making equipment k, alpha within time tice,k、βice,kAnd gammaice,kIs a probability distribution model fice(kt) Respectively has a value range of alphaice,k>0,βice,k>0,-∞<γice,k<∞;
Monte Carlo method is adopted to simulate sampling to generate charging load daily scene sc of snow-making and ice-making equipmentice,1=(pice(1),pice(2),L pice(96) ); and repeatedly simulating Nsc,iceSecondary construction of load day scene set of snow-making and ice-making equipment
Figure BDA0003042282690000042
Nsc,iceThe number of the load scenes of the snow-making and ice-making equipment is randomly sampled and generated according to the load model of the snow-making and ice-making equipment.
Furthermore, all types of load daily scenes contained in the basic load are corresponding according to time sequenceOverlapping to generate a basic load daily scene scbase,1=(pbase(1),pbase(2),L pbase(96));
Constructing basic load daily scene into load daily scene set
Figure BDA0003042282690000043
Nsc,baseNumber of daily scenes representing base load;
basic load daily scene set SC (concentrated C) by adopting neighbor propagation clustering algorithmbasePerforming cluster analysis to obtain typical basic load daily scene
Figure BDA0003042282690000044
kbaseIs the optimal number automatically generated by the neighbor propagation clustering algorithm; obtaining a typical base load daily scene set
Figure BDA0003042282690000045
Further, the generated daily scene set of the electric automobile load
Figure BDA0003042282690000046
Figure BDA0003042282690000047
And a set of loading day scenes of the snow and ice making equipment
Figure BDA0003042282690000048
Typical base load daily scene set
Figure BDA0003042282690000049
Randomly combining, overlapping the load data according to time sequence, and constructing a combined overlapping day scene set SC (SC) covering all power consumption types of the ice and snow sports stadium, the snow and ice making equipment and the basic load1,sc2,L,sci,L scn) i belongs to N, and N represents the number N of the combined superposition daily scenessc,ice×Nsc,car×Nsc,bus×kbase
Further, a K-means clustering algorithm is adopted to superpose a combined daily scene set SC ═ of the electric automobile, the snow-making and ice-making equipment and the basic load (SC)1,sc2,L,sci,L scn) Performing cluster analysis, dividing the cluster analysis into K types, and extracting a representative typical load day scene set of the ice and snow sports stadium:
SCtypical=(sc1,sc2,L,scK)1<K<n
k is a preset value.
The invention provides another technical scheme that:
a system for the typical load scenario generation method, comprising:
the load classification module is used for classifying the load types of the ice and snow sports stadium into uncertain loads and basic loads;
the load daily scene set generating module is used for respectively generating daily scene sets of uncertain loads and basic loads; modeling the uncertain load, and simulating and generating an uncertain load daily scene set by a Monte Carlo method;
the basic load daily scene set generating module is used for overlapping the power data time sequence of the basic load, constructing a basic load daily scene set, and performing clustering analysis on the basic load daily scene set by adopting a neighbor propagation clustering algorithm to obtain a typical basic load daily scene set;
the daily scene set superposition module is used for combining and data superposition of the uncertain load daily scene set and the typical basic load daily scene set to construct a combined superposition daily scene set covering the uncertain load and the basic load;
and the typical load day scene set module is used for performing clustering analysis on the combined overlapping day scene set by adopting a K-means clustering algorithm to generate a typical load day scene set, and constructing a typical load scene of the ice and snow sports stadium according to the typical load day scene set.
The technical scheme of the invention has the following beneficial effects:
the method combines two methods of scene reduction and scene generation. And constructing a large number of uncertain load scenes by adopting a scene generation method aiming at the uncertain loads. And (4) screening a representative regular typical load scene by adopting a clustering algorithm aiming at the basic load. The two scenes are combined and superposed to construct a scene set which can cover all possibilities of the ice and snow sports stadium, and finally, a representative ice and snow sports stadium typical load scene is extracted through a clustering algorithm, so that the computer calculation efficiency is improved, the time is saved, and a reference basis is provided for scheduling and operation and maintenance personnel to formulate an emergency plan, thereby ensuring the safe and stable operation of electric equipment during important events. And no similar typical scene generation method of multi-type load scene combination superposition clustering exists in the research field so far.
Drawings
The accompanying drawings, which are incorporated in and constitute a part of this application, illustrate embodiments of the invention and, together with the description, serve to explain the invention and not to limit the invention. In the drawings:
fig. 1 is a schematic flow chart of a typical load scenario generation method in an embodiment of the present invention.
Detailed Description
The present invention will be described in detail below with reference to the embodiments with reference to the attached drawings. It should be noted that the embodiments and features of the embodiments in the present application may be combined with each other without conflict.
The following detailed description is exemplary in nature and is intended to provide further details of the invention. Unless otherwise defined, all technical terms used herein have the same meaning as commonly understood by one of ordinary skill in the art to which this application belongs. The terminology used herein is for the purpose of describing particular embodiments only and is not intended to be limiting of exemplary embodiments according to the invention.
The embodiment of the invention provides a typical load scene generation method and a typical load scene generation system for an ice and snow sports stadium, and mainly comprises four parts as shown in fig. 1. The first part is to classify the load types collected by different loops and classify the load types into an uncertain load and a basic load. And the second part is respectively generating daily scene sets of two types of loads, modeling the electric automobile load and the snow-making and ice-making equipment load contained in the uncertain load, and simulating and generating the electric automobile load daily scene set and the snow-making and ice-making equipment load daily scene set by a Monte Carlo method. The power data of the common service power consumption with a certain use rule, such as the power consumption for illumination in a venue, the power consumption for an air conditioner, the power consumption for a cableway, the power consumption for a fresh air handling unit, the power consumption for security, the power consumption for an elevator, the power consumption for communication equipment and the like, contained in the basic load is called as the basic load, and the power data can be acquired through corresponding loop information. And overlapping the time sequences of all the acquired power data of the basic load to construct a daily scene set of the basic load. On the basis, a basic load daily scene set is subjected to clustering analysis by adopting a neighbor propagation clustering algorithm to obtain a typical basic load daily scene set. And the third part is to combine and superpose data of the electric vehicle load day scene set, the snow-making and ice-making equipment load day scene set and the basic load day scene set. And constructing a combined superposition day scene set which covers all power consumption types of the ice and snow sports stadium, namely the electric automobile, the snow-making and ice-making equipment and the basic load. And the fourth part is to adopt a K-means clustering algorithm to perform clustering analysis on a large number of combined and superposed day scenes of the electric vehicles, the snow-making and ice-making equipment and the basic load to generate a typical load day scene set of the ice and snow sports stadium.
The following is further illustrated with reference to specific examples of implementation:
and S1, classifying the load types collected by different loops of the ice and snow sport stadium, and classifying the load types into an uncertain load and a basic load. The uncertain load is composed of electric automobile load and snow-making and ice-making equipment load, because the uncertain load is greatly influenced by personal use conditions and event arrangement, and because the uncertain load is mainly composed of athletes, audiences and support personnel during ice and snow sports stadium competition, the electric automobile load mainly considers small household electric automobiles and large electric buses. The load of the snow-making and ice-making equipment mainly takes the load of a water pump and the snow-making and ice-making equipment into consideration. The basic load comprises public service power utilization with a certain use rule, such as power utilization for illumination of a venue, power utilization for an air conditioner, power utilization for a cableway cable car, power utilization for a fresh air handling unit, power utilization for security, power utilization for an elevator, power utilization for communication equipment and the like.
And S2, respectively modeling the charging load of the small household electric automobile and the charging load of the large electric bus, which are contained in the uncertain load.
1) Modeling the charging load of the small household electric automobile:
the charging start time is an important influence factor for modeling the charging load of the small household electric automobile. The end time of the last journey every day is the earliest charging start time of the small household electric automobile,
in the modeling of the charging load of the small household electric automobile, when to start charging and when to finish charging are crucial to the establishment of the model. Generally, the end time of the last use of the electric vehicle every day is considered as the starting time of charging. Fitting to f by statistical annual data probability distribution functionend,car(tcar)
Figure BDA0003042282690000071
In the formula, tcarIndicating the end time of the electric vehicle. Mu.send,carAnd σend,carCan be obtained by fitting the end time data of a large number of small-sized home electric vehicles.
The charging duration is also an important factor for modeling the charging load of the small household electric automobile, the sum of the mileage of the small household electric automobile driving every day is taken as the mileage of the small household electric automobile driving every day under the common condition, and an exponential probability distribution model f of the mileage is built through research on a large number of empirical datacar(scar)
Figure BDA0003042282690000081
In the formula scarRepresents the mileage, mu, of the small household electric vehicle on the daycar,mileIs a model parameter formed by statistical data, the value of which is composed of historical dataAnd generating according to fitting.
The charging power is also influenced by the number of small household electric vehicles, but due to the randomness of the charging number, a probability distribution model f of the number of vehicles in each time period can be constructed by using historical datacar(ncar,t)
Figure BDA0003042282690000082
In the formula ncar,tRepresenting the distribution of the number of small household electric vehicles within the time t, alphacar、βcarAnd gammacarIs a probability distribution model fcar(ncar,t) Respectively has a value range of alphacar>0,βcar>0,-∞<γcar<And f, infinity. The specific values are generated by historical data fitting.
Establishing a charging load model P of the small-sized household electric automobile under the condition that the driving mileage and the charging starting time are mutually independentEV,car(t)
PEV,car(t)=Ncar,tpcarQcar(St=1)
In the formula Ncar,tRepresenting the number of small household electric vehicles in the moment t. p is a radical ofcarCharging power (kW) for a single small household electric vehicle; qcar(St1) is the probability that the small-sized household electric vehicle is in a charging state.
Figure BDA0003042282690000083
Figure BDA0003042282690000084
In the formula fendAnd fTProbability density functions of the end of the journey and the charging time of the small household electric automobile are respectively; t ismaxFor the integral upper limit of the charging time length T, take Tmax=10h,scarDaily mileage (km); c. CcarFor small household electric cars, the power consumption per kilometer (kWh/km)
The number of small-sized home electric vehicles charged at the time t is random, so that the expected value of the small-sized home electric vehicles at the time t is used as the number Ncar,t
Figure BDA0003042282690000091
2) Charging load model of large electric bus:
the modeling flow of the large electric bus is basically the same as that of the small household electric vehicle, but since the large electric bus belongs to a commercial vehicle, there is a difference between the parameters of the probability distribution model at the charging start time and the parameters of the probability distribution model of the mileage.
Fitting the probability distribution function of the charging starting time of the large electric bus to be fend,bus(tbus)
Figure BDA0003042282690000092
In the formula, tbusIndicating the end time of the electric bus. Mu.send,busAnd σend,busCan be obtained by fitting the end time data of a large number of electric buses.
Probability distribution model f of electric bus mileagebus(sbus) Obey a normal distribution:
Figure BDA0003042282690000093
in the formula sbusRepresents the driving mileage of the electric bus on the day, sigmasAnd musAre model parameters formed by statistical data, and the numerical values of the model parameters are generated by historical data fitting.
Charging power is also affected by the number of electric buses, but since the number of charges is random, i amHistorical data can be utilized to construct a probability distribution model f of the number of automobiles in each time periodbus(nbus,t)
Figure BDA0003042282690000094
In the formula nbus,tRepresenting the number distribution, alpha, of electric buses during time tbus、βbusAnd gammabusIs a probability distribution model fbus(nbus,t) Respectively has a value range of alphabus>0,βbus>0,-∞<γbus<And f, infinity. The specific values are generated by historical data fitting.
Establishing electric bus charging load model P under the condition that driving range and charging starting time are mutually independentEV,bus(t)
PEV,bus(t)=Nbus,tpbusQbus(St=1)
In the formula Nbus,tRepresenting the number of the electric buses in the time t. p is a radical ofbusCharging power (kW) for a single electric bus; qbus(St1) is the probability that the electric bus is in a charging state.
Figure BDA0003042282690000101
Figure BDA0003042282690000102
In the formula fendAnd fTProbability density functions of the end of the journey and the charging time of the electric bus are respectively; t ismaxFor the integral upper limit of the charging time length T, take Tmax=16h,sbusDaily mileage (km); c. CbusFor electric bus, the power consumption per kilometer (kWh/km) is realized
The number of the electric buses charged at the time t is random, so thatThe expected value of the electric buses in the moment t is used as the number Nbus,t
Figure BDA0003042282690000103
Typically, the frequency of historical data acquisition is 15min once, with 96 data being included in a day. Therefore, Monte Carlo method is adopted to simulate sampling to generate daily scene sc of charging load of small household electric vehiclecar,1=(pEV,car(1),pEV,car(2),L pEV,car(96) And charging load daily scene sc of large electric busbus,1=(pEV,bus(1),pEV,bus(2),L pEV,bus(96)). And repeatedly simulating Nsc,carSecondary construction daily scene set of charging load of small household electric automobile
Figure BDA0003042282690000104
And simulation Nsc,busCharging load daily scene set of sub-large electric bus
Figure BDA0003042282690000105
Nsc,carThe number of the charging load scenes of the small household electric vehicle is randomly sampled and generated according to the charging load model of the small household electric vehicle. N is a radical ofsc,busThe number of charging load scenes of the large electric bus generated by random sampling according to the charging load model of the large electric bus.
And S3, modeling the load of the snow-making and ice-making equipment contained in the uncertain load. The load of the snow and ice making equipment mainly comprises a water pump, a snow making machine and an ammonia refrigerator. The load of the snow and ice making equipment is greatly influenced by the event arrangement, the event arrangement is artificially established, the uncertainty is high, and probabilistic modeling is required. The total charging load curve can be obtained by accumulating the load curves of each group of snow making equipment:
Figure BDA0003042282690000111
in the formula PiceAnd (t) is the total power of all the snow making equipment in the period t, and t is 1, 2 and L96. Pice,k(t) is the power of the kth group of snow making equipment during the time period t, k is 1, 2, L nice。niceFor the total number of snow making apparatuses, we define the load of snow making and ice making in the same area as a set of snow making apparatuses. The historical data can be utilized to construct a general probability distribution model f of the load of each group of snow making equipment in different time periodsice(kt) On the basis, the Monte Carlo method is adopted to sample and simulate to generate Pice,k(t)。
Figure BDA0003042282690000112
In the formula ktRepresenting the snow-making equipment k, alpha within time tice,k、βice,kAnd gammaice,kIs a probability distribution model fice(kt) Respectively has a value range of alphaice,k>0,βice,k>0,-∞<γice,k<And f, infinity. The specific values are generated by historical data fitting.
Monte Carlo method is adopted to simulate sampling to generate charging load daily scene sc of snow-making and ice-making equipmentice,1=(pice(1),pice(2),L pice(96)). And repeatedly simulating Nsc,iceSecondary construction of load day scene set of snow-making and ice-making equipment
Figure BDA0003042282690000113
Nsc,iceThe number of the load scenes of the snow-making and ice-making equipment is randomly sampled and generated according to the load model of the snow-making and ice-making equipment.
And S4, acquiring power data of power consumption of stadium lighting, air conditioner, cableway cable car, fresh air handling unit, security, elevator and communication equipment contained in the basic load through corresponding loop information. Correspondingly overlapping all types of load daily scenes contained in the basic load according to time sequence to generate a daily scene sc of the basic loadbase,1=(pbase(1),pbase(2),L pbase(96)). A large number of basic load daily scenes are constructed into a load daily scene set
Figure BDA0003042282690000114
Nsc,baseRepresenting the number of base load daily scenes. And adopting a neighbor propagation clustering algorithm to carry out SC (service condition) on the daily scene set of the basic loadbasePerforming cluster analysis to obtain typical basic load daily scene
Figure BDA0003042282690000115
kbaseIs the optimal number automatically generated by the neighbor propagation clustering algorithm. Obtaining a typical base load daily scene set
Figure BDA0003042282690000116
S5, generating a daily scene set of electric vehicle loads
Figure BDA0003042282690000117
Load day scene set of snow-making and ice-making equipment
Figure BDA0003042282690000118
And typical base load daily scene set
Figure BDA0003042282690000119
And carrying out random combination and overlapping the load data according to time sequence. Constructing a combined superposition day scene set SC (SC) of all power consumption types of electric vehicles, snow-making and ice-making equipment and basic loads in an ice and snow sport venue1,sc2,L,sci,L scn) i belongs to N, and N represents the number N of the combined superposition daily scenessc,ice×Nsc,car×Nsc,bus×kbase
S6, adopting a K-means clustering algorithm to superpose the combination of the electric automobile, the snow-making ice-making equipment and the basic load with a daily scene set SC (SC) because the daily scene number is larger1,sc2,L,sci,L scn) Performing cluster analysis, dividing into K classes, and extracting typical load day scene set SC of representative ice and snow sports stadiumtypical=(sc1,sc2,L,scK)1<K<n and K can be set manually according to task requirements.
It will be appreciated by those skilled in the art that the invention may be embodied in other specific forms without departing from the spirit or essential characteristics thereof. The embodiments disclosed above are therefore to be considered in all respects as illustrative and not restrictive. All changes which come within the scope of or equivalence to the invention are intended to be embraced therein.

Claims (10)

1. A typical load scene generation method for an ice and snow sport stadium is characterized by comprising the following steps:
dividing the load types of the ice and snow sport stadium into an uncertain load and a basic load;
modeling the uncertain load, and simulating and generating an uncertain load daily scene set by a Monte Carlo method;
overlapping the power data time sequence of the basic load, constructing a daily scene set of the basic load, and performing clustering analysis on the daily scene set of the basic load by adopting a neighbor propagation clustering algorithm to obtain a typical daily scene set of the basic load;
combining and data superposition are carried out on the uncertain load daily scene set and the typical basic load daily scene set, and a combined superposition daily scene set covering the uncertain load and the basic load is constructed;
and performing clustering analysis on the combined overlapping day scene set by adopting a K-means clustering algorithm to generate a typical load day scene set, and constructing a typical load scene of the ice and snow sports stadium according to the typical load day scene set.
2. The typical load scenario generating method of claim 1, wherein the uncertain load comprises electric vehicle load and snow and ice making equipment; the basic load comprises power for illumination of a venue, power for an air conditioner, power for a cableway cable car, power for a fresh air handling unit, power for security, power for an elevator and power for communication equipment.
3. The typical load scenario generation method of claim 2, wherein the electric vehicle load includes a small household electric vehicle charging load and a large electric bus charging load;
1) the charging load model of the small household electric automobile is represented as PEV,car(t);
PEV,car(t)=Ncar,tpcarQcar(St=1)
In the formula: n is a radical ofcar,tRepresenting the number of small household electric vehicles in the time t; p is a radical ofcarCharging power for a single small household electric vehicle; qcar(St1) is the probability that the small household electric automobile is in a charging state;
2) the charge load model of a large electric bus is denoted as PEV,bus(t):
PEV,bus(t)=Nbus,tpbusQbus(St=1)
In the formula: n is a radical ofbus,tRepresenting the number of the electric buses within the time t; p is a radical ofbusThe charging power of a single electric bus; qbus(St1) is the probability that the electric bus is in a charging state.
4. The typical load scenario generation method of claim 3, wherein Monte Carlo method is used to simulate sampling to generate the daily charging load scenario sc for small-sized domestic electric vehiclescar,1=(pEV,car(1),pEV,car(2),L pEV,car(96) And charging load daily scene sc of large electric busbus,1=(pEV,bus(1),pEV,bus(2),L pEV,bus(96) ); and repeatedly simulating Nsc,carSecondary construction daily scene set of charging load of small household electric automobile
Figure FDA0003042282680000021
Repetitive analog simulation of Nsc,busSecondary construction of charging load daily scene set of large electric bus
Figure FDA0003042282680000022
Nsc,carThe number of the charging load scenes of the small household electric vehicle is randomly sampled and generated according to the charging load model of the small household electric vehicle; n is a radical ofsc,busThe number of charging load scenes of the large electric bus generated by random sampling according to the charging load model of the large electric bus.
5. A typical load scenario generation method according to claim 4, characterized in that the snow-making and ice-making equipment load model Pice(t) is expressed as:
Figure FDA0003042282680000023
in the formula Pice(t) is the total power of all snow making equipment in a period t, wherein t is 1, 2 and L96; pice,k(t) is the power of the kth group of snow making equipment during the time period t, k is 1, 2, L nice;niceThe load of the snow making and ice making in the same area is defined as a set of snow making devices for the total number of the snow making devices.
6. The typical load scenario generation method of claim 5, wherein historical data is used to construct a generic probability distribution model f for each group of snow making devices loaded at different time periodsice(kt) On the basis, the power P of the kth group of snow making equipment in the t period is generated by adopting Monte Carlo sampling simulationice,k(t);
Figure FDA0003042282680000024
In the formula ktRepresenting the snow-making equipment k, alpha within time tice,k、βice,kAnd gammaice,kIs a probability distribution model fice(kt) Respectively has a value range of alphaice,k>0,βice,k>0,-∞<γice,k<∞;
Monte Carlo method is adopted to simulate sampling to generate charging load daily scene sc of snow-making and ice-making equipmentice,1=(pice(1),pice(2),Lpice(96) ); and repeatedly simulating Nsc,iceSecondary construction of load day scene set of snow-making and ice-making equipment
Figure FDA0003042282680000025
Nsc,iceThe number of the load scenes of the snow-making and ice-making equipment is randomly sampled and generated according to the load model of the snow-making and ice-making equipment.
7. The method according to claim 6, wherein the basic load daily scenes are generated by superimposing all types of load daily scenes included in the basic load in time-series correspondencebase,1=(pbase(1),pbase(2),L pbase(96));
Constructing basic load daily scene into load daily scene set
Figure FDA0003042282680000031
Nsc,baseNumber of daily scenes representing base load;
basic load daily scene set SC (concentrated C) by adopting neighbor propagation clustering algorithmbasePerforming cluster analysis to obtain typical basic load daily scene
Figure FDA0003042282680000032
kbaseIs the optimal number automatically generated by the neighbor propagation clustering algorithm; obtaining a typical base load daily scene set
Figure FDA0003042282680000033
8. The method according to claim 7, wherein the generated daily scene set of the electric vehicle load is generated
Figure FDA0003042282680000034
And a set of loading day scenes of the snow and ice making equipment
Figure FDA0003042282680000035
Typical base load daily scene set
Figure FDA0003042282680000036
Randomly combining, overlapping the load data according to time sequence, and constructing a combined overlapping day scene set SC (SC) covering all power consumption types of the ice and snow sports stadium, the snow and ice making equipment and the basic load1,sc2,L,sci,L scn) i belongs to N, and N represents the number N of the combined superposition daily scenessc,ice×Nsc,car×Nsc,bus×kbase
9. The method according to claim 8, wherein a K-means clustering algorithm is used to superimpose a daily scene set SC-for the combination of the electric vehicle + the snow-making and ice-making equipment + the base load (SC-for)1,sc2,L,sci,L scn) Performing cluster analysis, dividing the cluster analysis into K types, and extracting a representative typical load day scene set of the ice and snow sports stadium:
SCtypical=(sc1,sc2,L,scK)1<K<n
k is a preset value.
10. A system for the typical load scenario generation method, comprising:
the load classification module is used for classifying the load types of the ice and snow sports stadium into uncertain loads and basic loads;
the load daily scene set generating module is used for respectively generating daily scene sets of uncertain loads and basic loads; modeling the uncertain load, and simulating and generating an uncertain load daily scene set by a Monte Carlo method;
the basic load daily scene set generating module is used for overlapping the power data time sequence of the basic load, constructing a basic load daily scene set, and performing clustering analysis on the basic load daily scene set by adopting a neighbor propagation clustering algorithm to obtain a typical basic load daily scene set;
the daily scene set superposition module is used for combining and data superposition of the uncertain load daily scene set and the typical basic load daily scene set to construct a combined superposition daily scene set covering the uncertain load and the basic load;
and the typical load day scene set module is used for performing clustering analysis on the combined overlapping day scene set by adopting a K-means clustering algorithm to generate a typical load day scene set, and constructing a typical load scene of the ice and snow sports stadium according to the typical load day scene set.
CN202110461136.2A2021-04-272021-04-27 A typical load scenario generation method and system for ice and snow sports venuesActiveCN113128063B (en)

Priority Applications (1)

Application NumberPriority DateFiling DateTitle
CN202110461136.2ACN113128063B (en)2021-04-272021-04-27 A typical load scenario generation method and system for ice and snow sports venues

Applications Claiming Priority (1)

Application NumberPriority DateFiling DateTitle
CN202110461136.2ACN113128063B (en)2021-04-272021-04-27 A typical load scenario generation method and system for ice and snow sports venues

Publications (2)

Publication NumberPublication Date
CN113128063Atrue CN113128063A (en)2021-07-16
CN113128063B CN113128063B (en)2024-08-16

Family

ID=76780238

Family Applications (1)

Application NumberTitlePriority DateFiling Date
CN202110461136.2AActiveCN113128063B (en)2021-04-272021-04-27 A typical load scenario generation method and system for ice and snow sports venues

Country Status (1)

CountryLink
CN (1)CN113128063B (en)

Cited By (1)

* Cited by examiner, † Cited by third party
Publication numberPriority datePublication dateAssigneeTitle
CN114595929A (en)*2022-01-202022-06-07南瑞集团有限公司 Method, device and system for generating scenario of typical operation mode of power system

Citations (2)

* Cited by examiner, † Cited by third party
Publication numberPriority datePublication dateAssigneeTitle
CN110580585A (en)*2019-09-112019-12-17东南大学 A load decomposition-based power user clustering power consumption behavior characteristic analysis method
CN110909911A (en)*2019-09-292020-03-24中国农业大学 Aggregation method for multidimensional time series data considering spatiotemporal correlation

Patent Citations (2)

* Cited by examiner, † Cited by third party
Publication numberPriority datePublication dateAssigneeTitle
CN110580585A (en)*2019-09-112019-12-17东南大学 A load decomposition-based power user clustering power consumption behavior characteristic analysis method
CN110909911A (en)*2019-09-292020-03-24中国农业大学 Aggregation method for multidimensional time series data considering spatiotemporal correlation

Non-Patent Citations (2)

* Cited by examiner, † Cited by third party
Title
MINGSHUN MA 等: "Photovoltaic Time Series Aggregation Method Based on K-means and MCMC Algorithm", 《2020 12TH IEEE PES ASIA-PACIFIC POWER AND ENERGY ENGINEERING CONFERENCE》, 30 September 2020 (2020-09-30), pages 1 - 6, XP033839763, DOI: 10.1109/APPEEC48164.2020.9220338*
蒋浩 等: "考虑时间相关性的电动汽车充电站负荷概率建模及场景生成", 《电力建设》, vol. 41, no. 02, 1 February 2020 (2020-02-01), pages 47 - 57*

Cited By (1)

* Cited by examiner, † Cited by third party
Publication numberPriority datePublication dateAssigneeTitle
CN114595929A (en)*2022-01-202022-06-07南瑞集团有限公司 Method, device and system for generating scenario of typical operation mode of power system

Also Published As

Publication numberPublication date
CN113128063B (en)2024-08-16

Similar Documents

PublicationPublication DateTitle
CN114665467B (en)Intelligent scheduling method and system for optical storage and filling micro-grid system
CN112785050A (en)Ordered charging scheduling method based on electric vehicle charging load prediction
CN110429596B (en) Reliability assessment method of distribution network considering the spatiotemporal distribution of electric vehicles
CN110232219B (en) A Data Mining-Based Approval Method for Dispatchable Capacity of Electric Vehicles
CN110674575A (en) A Modeling Method for Charging Demand and Discharging Capacity of Electric Vehicle Clusters Based on Time Series Travel Sets
CN112131733A (en)Distributed power supply planning method considering influence of charging load of electric automobile
CN107521365A (en)A kind of electric automobile discharge and recharge dispatching method optimized based on user&#39;s economic well-being of workers and staff
CN107392462A (en)A kind of grid-connected dispatching method of electric automobile for considering sort feature
CN109508826A (en)The schedulable capacity prediction methods of electric car cluster of decision tree are promoted based on gradient
Guner et al.Impact of car arrival/departure patterns on EV parking lot energy storage capacity
CN113036793A (en)Load response scheduling method and system based on artificial intelligent charging pile
CN114580251B (en)Method and device for analyzing charging load of electric automobile in distribution transformer area
Guner et al.Distributed storage capacity modelling of EV parking lots
CN115730790A (en)Charging configuration method, device and equipment based on edge calculation and storage medium
CN113128063A (en)Typical load scene generation method and system for ice and snow sport stadium
CN115330062A (en)Scheduling optimization method for ordered charging service of new energy automobile in community scene
CN115833207A (en)Electrified railway vehicle-mounted energy storage configuration method, system, equipment and medium
Eissa et al.An efficient hybrid deep learning approach for accurate remaining ev range prediction
CN118539420B (en)EV charging load prediction method based on hierarchical quantum clustering and user portrayal
CN111369741B (en)System for matching multiple parking lots with shared parking spaces and electric vehicles in electric power market
CN115511204B (en) A method for configuring charging piles in a charging area based on double-layer optimization
Dixon et al.Characterization of electric vehicle fast charging forecourt demand
CN117791623A (en) A charging load control method and system for electric vehicles oriented to multiple application scenarios
CN106203719A (en) A Load Forecasting Method for Connecting Electric Vehicles to Power Grid
CN114285033B (en) Building energy optimization scheduling method considering electric vehicle charging load uncertainty

Legal Events

DateCodeTitleDescription
PB01Publication
PB01Publication
SE01Entry into force of request for substantive examination
SE01Entry into force of request for substantive examination
GR01Patent grant
GR01Patent grant

[8]ページ先頭

©2009-2025 Movatter.jp