Movatterモバイル変換


[0]ホーム

URL:


CN113114397B - Heaven and earth common-frequency sharing lumped interference estimation method for satellite mobile communication system - Google Patents

Heaven and earth common-frequency sharing lumped interference estimation method for satellite mobile communication system
Download PDF

Info

Publication number
CN113114397B
CN113114397BCN202110368084.4ACN202110368084ACN113114397BCN 113114397 BCN113114397 BCN 113114397BCN 202110368084 ACN202110368084 ACN 202110368084ACN 113114397 BCN113114397 BCN 113114397B
Authority
CN
China
Prior art keywords
imt
satellite
ground
mobile communication
communication system
Prior art date
Legal status (The legal status is an assumption and is not a legal conclusion. Google has not performed a legal analysis and makes no representation as to the accuracy of the status listed.)
Active
Application number
CN202110368084.4A
Other languages
Chinese (zh)
Other versions
CN113114397A (en
Inventor
张弛
何元智
Current Assignee (The listed assignees may be inaccurate. Google has not performed a legal analysis and makes no representation or warranty as to the accuracy of the list.)
Institute of Network Engineering Institute of Systems Engineering Academy of Military Sciences
Original Assignee
Institute of Network Engineering Institute of Systems Engineering Academy of Military Sciences
Priority date (The priority date is an assumption and is not a legal conclusion. Google has not performed a legal analysis and makes no representation as to the accuracy of the date listed.)
Filing date
Publication date
Application filed by Institute of Network Engineering Institute of Systems Engineering Academy of Military SciencesfiledCriticalInstitute of Network Engineering Institute of Systems Engineering Academy of Military Sciences
Priority to CN202110368084.4ApriorityCriticalpatent/CN113114397B/en
Publication of CN113114397ApublicationCriticalpatent/CN113114397A/en
Application grantedgrantedCritical
Publication of CN113114397BpublicationCriticalpatent/CN113114397B/en
Activelegal-statusCriticalCurrent
Anticipated expirationlegal-statusCritical

Links

Images

Classifications

Landscapes

Abstract

The invention discloses a method for estimating common lumped interference of space and ground common frequency of a satellite mobile communication system, which comprises the following steps: determining the type of a radio frequency terminal to be counted according to the working mode of the ground mobile communication system in the area range to be estimated, and acquiring the suburban, urban and urban deployment proportion, the deployment density and the activity factor of the ground mobile communication system; judging the relative position of the satellite beam and the ground mobile communication system, and calculating the co-frequency interference of the satellite single beam to the ground mobile communication system; and estimating all wave beams of the satellite and the same-frequency lumped interference suffered by a plurality of satellites. According to the invention, the actual conditions of the ground mobile communication system such as deployment density, activity factors and the like are fully considered, so that the authenticity and accuracy of interference analysis are improved; the co-frequency interference of the ground mobile communication system to a satellite single beam can be calculated and estimated, and the co-frequency interference to a plurality of beams or even a plurality of satellites can be estimated, so that the usability of the whole satellite mobile communication system is estimated, and the method has high practical value.

Description

Heaven and earth common-frequency sharing lumped interference estimation method for satellite mobile communication system
Technical Field
The invention relates to the technical field of satellite mobile communication, in particular to a method for estimating common-frequency common lumped interference in the sky and the earth of a satellite mobile communication system.
Background
Compared with the ground mobile communication system, the satellite mobile communication system has the remarkable advantages of wide coverage range and no limitation of terrain conditions, and plays an irreplaceable role in serving users in air, at sea, in deserts, mountains and remote areas and in unmanned areas and in dealing with ground communication infrastructure damage caused by natural disasters such as earthquakes, floods and the like. In recent years, the competition of global mobile communication frequency resources is extremely intense, particularly, the ground mobile communication system gradually develops towards the frequency band used by the traditional satellite, the frequency competition of ground services and space services is more intense, and the phenomenon that the synchronous static orbit satellite communication system and the ground communication system are compatible and shared in the same region at the same frequency is more and more common.
At present, a multi-beam antenna is widely used in a satellite mobile communication system, and multiple times of frequency reuse is realized through space isolation, so that the capacity of a communication satellite is exponentially improved. Because the satellite beam coverage is large and the diameter of the terrestrial cellular system is small, each satellite beam is simultaneously interfered by a large number of terrestrial cells, and even the uplink receiving channel of the satellite cannot work normally in severe cases. The ground mobile communication systems in different areas have great differences due to a plurality of factors such as deployment positions, topographic features, population distribution, construction cost and the like, which brings great influence on the same frequency interference of the satellite mobile communication system by accurately analyzing and estimating the ground mobile communication systems. How to accurately estimate the lumped interference of the ground mobile system to satellite single beam, single satellite and multi-satellite has very important significance for reasonably scheduling satellite mobile communication system resources and improving system availability.
A thesis of master's academic paper coexistence of 5G system and satellite fixed service interference' (Beijing post and telecommunications university, 2019) researches coexistence of 5G system and satellite system space station interference, and a thesis of co-channel interference analysis between a ground IMT system and a GEO communication satellite (the fifteenth academic annual meeting collection of satellite communication, 2019) analyzes interference caused by a ground base station to satellite uplink reception in different scenes, however, the thesis does not research the lumped interference condition of a multi-satellite multi-beam satellite communication system.
Disclosure of Invention
The invention discloses a method for estimating same-frequency common lumped interference of a satellite mobile communication system on the earth and the ground aiming at the problem of accurately estimating the lumped interference of a ground mobile system on satellite single wave beam, single satellite and multi-satellite, wherein an IMT-T (inertial measurement-time) of the ground mobile communication system consists of a plurality of ground radio frequency terminals which are dispersedly deployed; the satellite mobile communication system IMT-S consists of a space section of a plurality of multi-beam satellites, a ground gateway station and a plurality of satellite mobile user terminals; the IMT-S system and the IMT-T system both adopt frequency division multiplexing technology, and when the IMT-T system and the IMT-S system share the same frequency in the same area range, the ground radio frequency terminal forms interference to an uplink of the IMT-S system, and the method comprises the following steps:
s1, setting the IMT-S system to share S multi-beam satellites, wherein the number of beams of the ith multi-beam satellite isBi1,2, S, each multi-beam satellite using M-color frequency division multiplexing, the jth beam of the ith satellite in the IMT-S system being denoted as fij
S2, determining the ground area range of the IMT-T system to be calculated;
s3, judging the working mode of the IMT-T system, and determining the ground radio frequency terminal to be counted;
s4, acquiring the deployment proportion of the IMT-T system in suburbs, towns and cities in the ground area range;
s5, acquiring deployment density and activity factors of the IMT-T system in suburbs, towns and cities in the ground area range;
s6, calculating the number of BS/UE in suburbs, towns and cities;
s7, judging the relative position of the satellite beam and the ground mobile system;
s8, calculating the total interference of the satellite single beam by the internal and peripheral region IMT-T system BS/UE;
s9, calculating the total interference of all wave beams of a single satellite by the IMT-T system;
and S10, judging the lumped interference condition of the IMT-T system borne by the multi-satellite multi-beam satellite mobile communication system.
The invention discloses a method for estimating heaven and earth co-frequency sharing lumped interference of a satellite mobile communication system, wherein a ground mobile communication system IMT-T consists of a plurality of ground radio frequency terminals which are dispersedly deployed, and each ground radio frequency terminal comprises a base station and a ground mobile terminal; the satellite mobile communication system IMT-S consists of a space section of a plurality of multi-beam satellites, a ground gateway station and a plurality of satellite mobile user terminals; the IMT-S system and the IMT-T system both adopt frequency division multiplexing technology, when the IMT-T system and the IMT-S system share the same frequency in the same area range, the ground radio terminal forms interference on an uplink of the IMT-S system, and the satellite mobile communication system shares the lumped interference estimation method with the same frequency in the sky and the earth, and the steps of the method comprise:
s1, setting the IMT-S system to share S multi-beam satellites, wherein the number of beams of the ith multi-beam satellite isBi1, 2.. multidata, S, each multi-beam satellite using M-color frequency division multiplexing, the jth beam of the ith satellite in the IMT-S system being denoted as fij
S2, determining the ground area range of the ground mobile communication system to be calculated, and determining the ground area range of the ground mobile communication system to be calculated according to the interference strength of the ground radio frequency terminals of the IMT-T system at different positions by combining the roll-off characteristic of the satellite antenna and the deployment characteristic of the ground mobile system, wherein the ground area range area of the ground mobile communication system to be calculated is Sq;
s3, determining working modes adopted by the IMT-T system in the ground area range according to the 3GPP industry standard, wherein the working modes comprise a frequency division duplex mode FDD and a time division duplex mode TDD; if the IMT-T system adopts FDD mode, then the ground radio frequency terminal TM which needs to be counted in interference estimationcThe method is specifically determined for an IMT-T system base station or a mobile terminal according to the division of each country; if the IMT-T system adopts TDD mode, then the ground radio frequency terminal TM needed to be counted in interference estimationcThe system comprises an IMT-T system base station and a mobile terminal;
s4, obtaining deployment proportions of the IMT-T system in suburbs, towns and urban 3 types of areas within the ground area range by accessing the IMT-T system position database, and respectively recording the deployment proportions as Raru、Rasub、RaurWherein, Raru+Rasub+Raur=1;
S5, according to the actual deployment situation of IMT-T system operator in the ground area, obtaining the deployment density and activity factor of IMT-T system in suburbs, towns and cities, wherein the deployment density is the ratio of the number of ground radio frequency terminals to the ground area of the ground mobile communication system to be calculated, and the deployment density of IMT-T system in suburbs, towns and cities is respectively expressed as Deru、Desub、DeurIn units of percentage; the activity factor is the ratio of the number of the ground radio frequency terminals actually operated to the total number of the ground radio frequency terminals, and the activity factors of the IMT-T system in suburbs, towns and cities are respectively expressed as Acru、Acsub、AcurIn units of percentage;
s6, calculating TM of IMT-T system in suburbs, towns and cities respectivelycNumber of IMT-T systems in suburbs, towns and citiescAre respectively expressed as Nru、NsubAnd NurIn which N isru=Sq·Raru·Deru·Acru,Nsub=Sq·Rasub·Desub·Acsub,Nur=Sq·Raur·Deur·Acur
S7, according to TM in IMT-T systemcThe relative position of the IMT-T system and the satellite beam is divided into three types of low elevation angle, high elevation angle and medium elevation angle;
when the elevation angle of the position of the IMT-T system relative to the satellite is more than or equal to 0 degree and less than or equal to 20 degrees, the relative position of the IMT-T system and the satellite beam is marked as a low elevation angle type; when the elevation angle of the position of the IMT-T system relative to the satellite is more than 20 degrees and less than or equal to 70 degrees, the relative position of the IMT-T system and the satellite beam is recorded as a medium elevation angle type; when the elevation angle of the position of the IMT-T system relative to the satellite is larger than 70 degrees and smaller than or equal to 90 degrees, the relative position of the IMT-T system and the satellite beam is marked as a high elevation angle type;
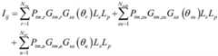
s8, calculating the satellite single beam fijTM of IMT-T system by inner and peripheral areacLumped interference quantity Iij
Figure BDA0003008136600000041
Wherein,
Figure BDA0003008136600000042
and
Figure BDA0003008136600000043
respectively representing a satellite single beam fijLumped interference value, P, of IMT-T systems in suburbs, towns and citiestm,r、Ptm,suAnd Ptm,uRespectively representing r, su and u TM of IMT-T system in suburbs, towns and citiescThe transmit power of (a);r 1,2ru,su=1,2,...,Nsub,u=1,2,...,Nur;Gtm,r、Gtm,suAnd Gtm,uRespectively representing r, su and u TMs of IMT-T system in suburbs, towns and citiescAntenna gain in the direction of the satellite, determined by the terrestrial mobile system antenna pattern; gsaru)、Gsasub)、Gsaur) Respectively at theta for the satelliter、θsu、θuDirectional antenna gain, determined by the satellite antenna pattern, θr、θsu、θuRespectively the satellite and the r, su and u TMscThe included angle of (A); l issIs free space loss; l ispRepresenting the link polarization loss.
S9, calculating the total interference quantity of all beams of the ith satellite by the IMT-T system:
Figure BDA0003008136600000051
the unit is dB;
calculating the maximum acceptable interference value of the satellite mobile communication system according to the set value of the interference-to-noise ratio of the IMT-T system to the satellite mobile communication system, wherein if the lumped interference amount of all wave beams of a certain satellite by the IMT-T system is less than the maximum acceptable interference value, the lumped interference suffered by the satellite is acceptable, and the satellite has communication capacity;
when a set value I/N of an interference-to-noise ratio of the IMT-T system to the satellite mobile communication system is-12.2 dB, wherein I represents a total interference amount, N is KTW, K is a Boltzmann constant, T is a noise temperature of a satellite, W is a communication bandwidth, and the maximum acceptable interference value of the satellite mobile communication system is calculated as follows: i isaccept-183.2 dBm/Hz; if all wave beams of the ith satellite are subjected to the lumped interference I of the IMT-T systemi≤IacceptIf so, the lumped interference suffered by the ith satellite is acceptable, and the ith satellite has the communication capacity;
s10, judging the lumped interference condition of the IMT-T system on the multi-satellite multi-beam satellite mobile communication system;
supposing that a certain constellation of the multi-satellite multi-beam satellite mobile communication system contains P satellites, dividing all coverage areas of the constellation into M areas according to city or task requirements, and counting the satellite availability Av of the M areask
Figure BDA0003008136600000052
Wherein, SNkNumber of satellites having communication capability in k-th area, SNkAccording to step S9.
When AvkWhen the number is 0, it means that the interference in the kth region will cause the satellite to fail to normally communicate, and there is no available satellite communication resource.
The invention has the beneficial effects that:
1. the invention fully considers the actual conditions of deployment density, distribution, geographical position and the like of the ground mobile communication system, and improves the authenticity and accuracy of interference analysis;
2. the invention can calculate and estimate the same frequency interference of the ground mobile communication system to the satellite single beam, and can estimate the same frequency interference of the ground mobile communication system to a plurality of beams of the satellite mobile communication system, even a plurality of satellites according to the requirement, thereby estimating the availability of the whole satellite mobile communication system and having higher practical value.
Drawings
FIG. 1 is a schematic diagram of uplink co-frequency lumped interference of an IMT-T system to an IMT-S system in the invention;
fig. 2 is a flowchart of an uplink co-channel lumped interference estimation method in the present invention.
Detailed Description
For a better understanding of the present disclosure, an example is given here.
The present invention will be described in detail below with reference to the accompanying drawings.
As shown in fig. 1, the ground mobile communication system IMT-T is composed of a plurality of ground radio frequency terminals deployed in a decentralized manner, where the ground radio frequency terminals include a base station and a ground mobile terminal, the base station is denoted as BS, and the ground mobile user terminal is denoted as UE; the satellite mobile communication system IMT-S consists of a space section of a plurality of multi-beam satellites, a ground gateway station and a plurality of satellite mobile user terminals; the IMT-S system and the IMT-T system both adopt a frequency division multiplexing technology, and when the IMT-T system and the IMT-S system share the same frequency in the same area range, the ground radio frequency terminal forms interference on an uplink of the IMT-S system.
The invention provides a method for estimating heaven-earth same frequency sharing lumped interference of a satellite mobile communication system, the flow of which is shown in figure 2, and the method comprises the following specific steps:
s1, setting the IMT-S system to share S multi-beam satellites, wherein the number of beams of the ith multi-beam satellite isBi1, 2.. multidata, S, each multi-beam satellite using M-color frequency division multiplexing, the jth beam of the ith satellite in the IMT-S system being denoted as fij
S2, determining the ground area range of the ground mobile communication system to be calculated according to the interference intensity of the ground radio frequency terminals of the IMT-T system at different positions by combining the roll-off characteristic of the satellite antenna and the deployment characteristic of the ground mobile system, or setting the ground area range of the ground mobile communication system to be calculated according to the task requirement, wherein the ground area range area of the ground mobile communication system to be calculated is Sq;
s3, determining working modes adopted by the IMT-T system in the ground area range according to the 3GPP industry standard, wherein the working modes comprise a frequency division duplex mode FDD and a time division duplex mode TDD; if the IMT-T system adopts FDD mode, then the ground radio frequency terminal TM which needs to be counted in interference estimationcThe method is specifically determined for an IMT-T system base station or a mobile terminal according to the division of each country; if the IMT-T system adopts TDD mode, then the ground radio frequency terminal TM needed to be counted in interference estimationcThe system comprises an IMT-T system base station and a mobile terminal;
s4, obtaining deployment proportions of the IMT-T system in suburbs, towns and urban 3 types of areas within the ground area range by accessing the IMT-T system position database, and respectively recording the deployment proportions as Raru、Rasub、RaurWherein, Raru+Rasub+Raur=1;
S5, according to the actual deployment situation of IMT-T system operator in the ground area, obtaining the deployment density and activity factor of IMT-T system in suburbs, towns and cities, wherein the deployment density is the ratio of the number of ground radio frequency terminals to the ground area of ground mobile communication system to be calculated, and the IMT-T systemThe deployment densities in suburbs, towns and cities are denoted De respectivelyru、Desub、DeurIn units of percentage; the activity factor is the ratio of the number of the ground radio frequency terminals actually operated to the total number of the ground radio frequency terminals, and the activity factors of the IMT-T system in suburbs, towns and cities are respectively expressed as Acru、Acsub、AcurIn units of percentage;
s6, calculating TM of IMT-T system in suburbs, towns and cities respectivelycNumber of IMT-T systems in suburbs, towns and citiescAre respectively expressed as Nru、NsubAnd NurIn which N isru=Sq·Raru·Deru·Acru,Nsub=Sq·Rasub·Desub·Acsub,Nur=Sq·Raur·Deur·Acur
S7, according to TM in IMT-T systemcThe relative position of the IMT-T system and the satellite beam is divided into three types of low elevation angle, high elevation angle and medium elevation angle;
when the elevation angle of the position of the IMT-T system relative to the satellite is more than or equal to 0 degree and less than or equal to 20 degrees, the relative position of the IMT-T system and the satellite beam is marked as a low elevation angle type; when the elevation angle of the position of the IMT-T system relative to the satellite is more than 20 degrees and less than or equal to 70 degrees, the relative position of the IMT-T system and the satellite beam is recorded as a medium elevation angle type; when the elevation angle of the position of the IMT-T system relative to the satellite is larger than 70 degrees and smaller than or equal to 90 degrees, the relative position of the IMT-T system and the satellite beam is marked as a high elevation angle type;
s8, calculating the satellite single beam fijTM of IMT-T system by inner and peripheral areacLumped interference quantity Iij
Figure BDA0003008136600000081
Wherein,
Figure BDA0003008136600000082
and
Figure BDA0003008136600000083
respectively representing a satellite single beam fijLumped interference value, P, of IMT-T systems in suburbs, towns and citiestm,r、Ptm,suAnd Ptm,uRespectively representing r, su and u TM of IMT-T system in suburbs, towns and citiescThe transmit power of (a); r 1,2ru,su=1,2,...,Nsub,u=1,2,...,Nur;Gtm,r、Gtm,suAnd Gtm,uRespectively representing r, su and u TMs of IMT-T system in suburbs, towns and citiescThe antenna gain in the direction of the satellite, since the direction of the terrestrial mobile system is generally horizontal, can be considered as a constant gain of the terrestrial system in the direction of the satellite, which is determined by the terrestrial mobile system antenna pattern, also referred to the ITU-r m.2292 recommendation; gsaru)、Gsasub)、Gsaur) Respectively at theta for the satelliter、θsu、θuDirectional antenna gain, determined by the satellite antenna pattern, θr、θsu、θuRespectively the satellite and the r, su and u TMscThe included angle of (A); l issIs free space loss; l ispIndicating link polarization loss, caused by the inconsistency of the polarization of the satellite-borne antenna with that of the signal of the IMT-T system.
S9, calculating the total interference quantity of all beams of the ith satellite by the IMT-T system:
Figure BDA0003008136600000091
the unit is dB;
calculating the maximum acceptable interference value of the satellite mobile communication system according to the interference-to-noise ratio set value of the IMT-T to the satellite mobile communication system, wherein if the lumped interference amount of all wave beams of a certain satellite by the IMT-T system is less than the maximum acceptable interference value, the lumped interference suffered by the satellite is acceptable, and the satellite has communication capacity;
when IMT-When the interference noise ratio set value of the T to the satellite mobile communication system is I/N-12.2 dB, wherein I represents total interference amount, N is KTW, K is Boltzmann constant, T is the noise temperature of the satellite, W is the communication bandwidth, the maximum acceptable interference value of the satellite mobile communication system is calculated as follows: i isaccept-183.2 dBm/Hz; if all wave beams of the ith satellite are subjected to the lumped interference I of the IMT-T systemi≤IacceptIf so, the lumped interference suffered by the ith satellite is acceptable, and the ith satellite has the communication capacity;
s10, judging the lumped interference condition of the IMT-T system on the multi-satellite multi-beam satellite mobile communication system;
supposing that a certain constellation of the multi-satellite multi-beam satellite mobile communication system contains P satellites, dividing all coverage areas of the constellation into M areas according to city or task requirements, and counting the satellite availability Av of the M areask
Figure BDA0003008136600000092
Wherein, SNkNumber of satellites having communication capability in k-th area, SNkAccording to step S9.
When AvkWhen the number is 0, it means that the interference in the kth region will cause the satellite to fail to normally communicate, and there is no available satellite communication resource.
The above description is only an example of the present application and is not intended to limit the present application. Various modifications and changes may occur to those skilled in the art. Any modification, equivalent replacement, improvement, etc. made within the spirit and principle of the present application should be included in the scope of the claims of the present application.

Claims (2)

1. A satellite mobile communication system common-frequency common-use lumped interference estimation method is characterized in that a ground mobile communication system IMT-T consists of a plurality of ground radio frequency terminals which are dispersedly deployed; the satellite mobile communication system IMT-S consists of a space section of a plurality of multi-beam satellites, a ground gateway station and a plurality of satellite mobile user terminals; the IMT-S system and the IMT-T system both adopt frequency division multiplexing technology, when the IMT-T system and the IMT-S system share the same frequency in the same area range, the ground radio terminal forms interference on an uplink of the IMT-S system, and the satellite mobile communication system shares the lumped interference estimation method with the same frequency in the sky and the earth, and the steps of the method comprise:
s1, setting the IMT-S system to share S multi-beam satellites, wherein the number of beams of the ith multi-beam satellite is Bi1, 2.. multidata, S, each multi-beam satellite using M-color frequency division multiplexing, the jth beam of the ith satellite in the IMT-S system being denoted as fij
S2, determining the ground area range of the ground mobile communication system to be calculated, and determining the ground area range of the ground mobile communication system to be calculated according to the interference strength of the ground radio frequency terminals of the IMT-T system at different positions by combining the roll-off characteristic of the satellite antenna and the deployment characteristic of the ground mobile system, wherein the ground area range area of the ground mobile communication system to be calculated is Sq;
s3, determining working modes adopted by the IMT-T system in the ground area range according to the 3GPP industry standard, wherein the working modes comprise a frequency division duplex mode FDD and a time division duplex mode TDD; if the IMT-T system adopts FDD mode, then the ground radio frequency terminal TM which needs to be counted in interference estimationcThe mobile terminal is an IMT-T system base station or a mobile terminal; if the IMT-T system adopts TDD mode, then the ground radio frequency terminal TM needed to be counted in interference estimationcThe system comprises an IMT-T system base station and a mobile terminal;
s4, obtaining deployment proportions of the IMT-T system in suburbs, towns and urban 3 types of areas within the ground area range by accessing the IMT-T system position database, and respectively recording the deployment proportions as Raru、Rasub、RaurWherein, Raru+Rasub+Raur=1;
S5, according to the actual deployment situation of IMT-T system operator in the ground area, obtaining the deployment density and activity factor of IMT-T system in suburbs, towns and cities, wherein the deployment density is the ratio of the number of ground radio frequency terminals to the ground area of ground mobile communication system to be calculated, and the IMT-T system in suburbsThe deployment densities in a district, town and city are denoted De respectivelyru、Desub、DeurIn units of percentage; the activity factor is the ratio of the number of the ground radio frequency terminals actually operated to the total number of the ground radio frequency terminals, and the activity factors of the IMT-T system in suburbs, towns and cities are respectively expressed as Acru、Acsub、AcurIn units of percentage;
s6, respectively calculating IMT-T systems TM in suburbs, towns and citiescNumber of IMT-T systems in suburbs, towns and citiescThe numbers are respectively expressed as Nru、NsubAnd NurIn which N isru=Sq·Raru·Deru·Acru,Nsub=Sq·Rasub·Desub·Acsub,Nur=Sq·Raur·Deur·Acur
S7, according to TM in IMT-T systemcThe relative position of the IMT-T system and the satellite beam is divided into three types of low elevation angle, high elevation angle and medium elevation angle;
when the elevation angle of the position of the IMT-T system relative to the satellite is more than or equal to 0 degree and less than or equal to 20 degrees, the relative position of the IMT-T system and the satellite beam is marked as a low elevation angle type; when the elevation angle of the position of the IMT-T system relative to the satellite is more than 20 degrees and less than or equal to 70 degrees, the relative position of the IMT-T system and the satellite beam is recorded as a medium elevation angle type; when the elevation angle of the position of the IMT-T system relative to the satellite is larger than 70 degrees and smaller than or equal to 90 degrees, the relative position of the IMT-T system and the satellite beam is marked as a high elevation angle type;
s8, calculating the satellite single beam fijTM of IMT-T system by inner and peripheral areacLumped interference quantity Iij
Figure FDA0003203481230000021
Wherein,
Figure FDA0003203481230000022
and
Figure FDA0003203481230000023
respectively representing a satellite single beam fijLumped interference value, P, of IMT-T systems in suburbs, towns and citiestm,r、Ptm,suAnd Ptm,uRespectively representing r, su and u TM of IMT-T system in suburbs, towns and citiescThe transmit power of (a); r 1,2ru,su=1,2,...,Nsub,u=1,2,...,Nur;Gtm,r、Gtm,suAnd Gtm,uRespectively representing r, su and u TMs of IMT-T system in suburbs, towns and citiescAntenna gain in the satellite direction, determined by the IMT-T system antenna pattern; gsar)、Gsasu)、Gsau) Respectively at theta for the satelliter、θsu、θuDirectional antenna gain, determined by the satellite antenna pattern, θr、θsu、θuRespectively the satellite and the r, su and u TMscThe included angle of (A); l issIs free space loss; l ispRepresents link polarization loss;
s9, calculating the total interference quantity of all beams of the ith satellite by the IMT-T system:
Figure FDA0003203481230000031
the unit is dB;
calculating the maximum acceptable interference value of the satellite mobile communication system according to the set value of the interference-to-noise ratio of the IMT-T system to the satellite mobile communication system, wherein if the lumped interference amount of all wave beams of a certain satellite by the IMT-T system is less than the maximum acceptable interference value, the lumped interference suffered by the satellite is acceptable, and the satellite has communication capacity;
s10, judging the lumped interference condition of the IMT-T system on the multi-satellite multi-beam satellite mobile communication system;
suppose that a certain constellation of the multi-satellite and multi-beam satellite mobile communication system contains P satellitesThe star divides all coverage areas of the constellation into M areas according to city or task requirements, and counts satellite availability Av of the M areask
Figure FDA0003203481230000032
Wherein, SNkNumber of satellites having communication capability in k-th area, SNkAccording to step S9;
when AvkWhen the number is 0, it means that the interference in the kth region will cause the satellite to fail to normally communicate, and there is no available satellite communication resource.
2. The method of claim 1, wherein the rf terminals include a base station and a ground mobile terminal.
CN202110368084.4A2021-04-062021-04-06Heaven and earth common-frequency sharing lumped interference estimation method for satellite mobile communication systemActiveCN113114397B (en)

Priority Applications (1)

Application NumberPriority DateFiling DateTitle
CN202110368084.4ACN113114397B (en)2021-04-062021-04-06Heaven and earth common-frequency sharing lumped interference estimation method for satellite mobile communication system

Applications Claiming Priority (1)

Application NumberPriority DateFiling DateTitle
CN202110368084.4ACN113114397B (en)2021-04-062021-04-06Heaven and earth common-frequency sharing lumped interference estimation method for satellite mobile communication system

Publications (2)

Publication NumberPublication Date
CN113114397A CN113114397A (en)2021-07-13
CN113114397Btrue CN113114397B (en)2021-09-10

Family

ID=76714046

Family Applications (1)

Application NumberTitlePriority DateFiling Date
CN202110368084.4AActiveCN113114397B (en)2021-04-062021-04-06Heaven and earth common-frequency sharing lumped interference estimation method for satellite mobile communication system

Country Status (1)

CountryLink
CN (1)CN113114397B (en)

Families Citing this family (5)

* Cited by examiner, † Cited by third party
Publication numberPriority datePublication dateAssigneeTitle
CN113630173B (en)*2021-08-122023-04-14天津(滨海)人工智能军民融合创新中心Method for determining lumped interference of IMT (inertial measurement unit) system to MES (manufacturing execution system) of GSO (geosynchronous orbit) mobile communication satellite system
CN113691332B (en)*2021-09-102022-05-27北京科技大学 A method and device for co-channel interference characterization of low-orbit satellite communication system
CN113825092B (en)*2021-11-242022-03-04中国星网网络创新研究院有限公司 A method, system, device and storage medium for satellite-ground co-frequency complementary coverage
CN114422057B (en)*2022-01-102024-05-10国家无线电监测中心陕西监测站Simple calculation method for global large-scale deployment of IMT base station to satellite lumped interference
WO2024250242A1 (en)*2023-06-082024-12-12华为技术有限公司Communication method, device and system

Citations (3)

* Cited by examiner, † Cited by third party
Publication numberPriority datePublication dateAssigneeTitle
CN105208564A (en)*2015-09-152015-12-30清华大学Interference suppression method and device for air-ground cooperative system based on position information
CN110099388A (en)*2019-03-212019-08-06世讯卫星技术有限公司A kind of satellite mobile communication method with the 5G network integration
CN112152651A (en)*2020-08-172020-12-29西安交通大学Interference source positioning method, storage medium and equipment of 5G system facing GNSS receiver

Family Cites Families (1)

* Cited by examiner, † Cited by third party
Publication numberPriority datePublication dateAssigneeTitle
US9882630B2 (en)*2011-08-162018-01-30Qualcomm IncorporatedOverlaying an air to ground communication system on spectrum assigned to satellite systems

Patent Citations (3)

* Cited by examiner, † Cited by third party
Publication numberPriority datePublication dateAssigneeTitle
CN105208564A (en)*2015-09-152015-12-30清华大学Interference suppression method and device for air-ground cooperative system based on position information
CN110099388A (en)*2019-03-212019-08-06世讯卫星技术有限公司A kind of satellite mobile communication method with the 5G network integration
CN112152651A (en)*2020-08-172020-12-29西安交通大学Interference source positioning method, storage medium and equipment of 5G system facing GNSS receiver

Non-Patent Citations (1)

* Cited by examiner, † Cited by third party
Title
IMT_2020系统对卫星固定业务干扰共存研究;张国良;《硕士学位论文》;20181231;全文*

Also Published As

Publication numberPublication date
CN113114397A (en)2021-07-13

Similar Documents

PublicationPublication DateTitle
CN113114397B (en)Heaven and earth common-frequency sharing lumped interference estimation method for satellite mobile communication system
Cho et al.Coexistence of 5G with satellite services in the millimeter-wave band
KR101822369B1 (en)High-capacity hybrid terrestrial/satellite cellular radio communication system
Chebil et al.Comparison between measured and predicted path loss for mobile communication in Malaysia
CN109560861B (en)Navigation and communication fusion data transmission system based on satellite
Deng et al.Ultra-dense LEO satellite constellation design for global coverage in terrestrial-satellite networks
Chatzinotas et al.Cognitive approaches to enhance spectrum availability for satellite systems
RU2546334C2 (en)Method of eliminating interference in satellite telecommunication network by geolocalisation of terminals
CN115118363A (en)NGSO satellite system interference and channel capacity obtaining method based on spatial position probability
Gu et al.Cooperative spectrum sharing in a co-existing LEO-GEO satellite system
Feltrin et al.Potential for deep rural broadband coverage with terrestrial and non-terrestrial radio networks
AU2020102544A4 (en)PCML- Movable Satellite: Propagation Impairments for Movable Satellite Communication Links at The Microwave Frequencies in Defined Location
Thompson et al.Analysis of interference between terrestrial and satellite systems in the band 17.7 to 19.7 GHz
Choi et al.Spectrum sharing through marketplaces for O-RAN based non-terrestrial and terrestrial networks
CN114422057A (en)Simple and convenient calculation method for global large-scale deployment of IMT base station to satellite lumped interference
US20240049273A1 (en)Method of radio resource allocation for a tn-ntn network
US20250056241A1 (en)Methods for supporting coexistence in the presence of non-terrestrial networks
Hatsuda et al.Ku-band long distance site-diversity (SD) characteristics using new measuring system
UmehiraFeasibility of frequency sharing in satellite/terrestrial integrated mobile communication systems
Shamsan et al.Performance of the DBS satellite receiver under the impact of rainfall and terrestrial interference
US20240049219A1 (en)Cross-carrier data transmission method, terminal, and storage medium
Oluwafemi et al.Propagation profile and signal strength variation of VHF signal in Ekiti State Nigeria
Liu et al.Evaluation of voice service in LEO communication with 3GPP PUSCH repetition enhancement
Kuriki et al.A new primary protection method with received power-based 3D antenna rotation range prediction for dynamic spectrum access
Hult et al.WCDMA uplink interference assessment from multiple high altitude platform configurations

Legal Events

DateCodeTitleDescription
PB01Publication
PB01Publication
SE01Entry into force of request for substantive examination
SE01Entry into force of request for substantive examination
GR01Patent grant
GR01Patent grant

[8]ページ先頭

©2009-2025 Movatter.jp