Movatterモバイル変換


[0]ホーム

URL:


CN113094816A - Method for constructing comprehensive working condition vibration spectrum and long-life test spectrum of armored vehicle - Google Patents

Method for constructing comprehensive working condition vibration spectrum and long-life test spectrum of armored vehicle
Download PDF

Info

Publication number
CN113094816A
CN113094816ACN202110405031.5ACN202110405031ACN113094816ACN 113094816 ACN113094816 ACN 113094816ACN 202110405031 ACN202110405031 ACN 202110405031ACN 113094816 ACN113094816 ACN 113094816A
Authority
CN
China
Prior art keywords
spectrum
working condition
coefficient
reserve
condition
Prior art date
Legal status (The legal status is an assumption and is not a legal conclusion. Google has not performed a legal analysis and makes no representation as to the accuracy of the status listed.)
Granted
Application number
CN202110405031.5A
Other languages
Chinese (zh)
Other versions
CN113094816B (en
Inventor
侯军芳
王和平
张晶
张梅
梁媛媛
李娟�
邓刚
Current Assignee (The listed assignees may be inaccurate. Google has not performed a legal analysis and makes no representation or warranty as to the accuracy of the list.)
Unit 63966 Of Pla
Original Assignee
Unit 63966 Of Pla
Priority date (The priority date is an assumption and is not a legal conclusion. Google has not performed a legal analysis and makes no representation as to the accuracy of the date listed.)
Filing date
Publication date
Application filed by Unit 63966 Of PlafiledCriticalUnit 63966 Of Pla
Priority to CN202110405031.5ApriorityCriticalpatent/CN113094816B/en
Publication of CN113094816ApublicationCriticalpatent/CN113094816A/en
Application grantedgrantedCritical
Publication of CN113094816BpublicationCriticalpatent/CN113094816B/en
Activelegal-statusCriticalCurrent
Anticipated expirationlegal-statusCritical

Links

Images

Classifications

Landscapes

Abstract

The invention discloses a method for constructing a comprehensive working condition vibration spectrum and a long service life test spectrum of an armored vehicle, which relates to the field of data processing methods, wherein the method for constructing the comprehensive working condition vibration spectrum comprises the steps of obtaining a first relation and a second relation among a single working condition actual measurement spectrum, a first storage coefficient and the comprehensive working condition actual measurement spectrum; obtaining the relation between the first storage coefficient and the measured spectrum under the comprehensive working condition according to the first relation and the second relation; training a first RBF neural network to obtain a current first reserve coefficient; obtaining a first relation and a second relation among the single working condition standard spectrum, the second reserve coefficient and the comprehensive working condition standard spectrum; obtaining the relation between the second reserve coefficient and the comprehensive working condition standard spectrum according to the first relation and the second relation; training a second RBF neural network to obtain a current second reserve coefficient; and obtaining a reserve coefficient according to the current first and second reserve coefficients, thereby obtaining an actual measured spectrum and a standard spectrum of the actual comprehensive working condition. The invention improves the accuracy and can simulate the real vibration environment more effectively.

Description

Method for constructing comprehensive working condition vibration spectrum and long-life test spectrum of armored vehicle
Technical Field
The invention relates to the technical field of armored vehicle vibration spectrum data processing methods, in particular to a method for constructing an armored vehicle comprehensive working condition vibration spectrum and a long service life test spectrum.
Background
The armored vehicle belongs to military vehicles, can run on various road surfaces, is mainly used for transportation, investigation, maneuverability attack and the like, and therefore the vibration of the armored vehicle not only affects the fatigue degree and the working efficiency of fighters, but also affects the attack precision of weapons arranged on the vehicle. If the whole vehicle vibrates excessively, the service life of the device can be shortened, and even the device is damaged.
In order to analyze the vibration performance of armored vehicles, a test method is mainly adopted at present to test the structural strength, durability and the like of armored vehicle frames and the like. For this reason, long-life simulation tests are often used for quality inspection to determine the vibration performance and safety and reliability of the entire armored vehicle.
However, the random vibration environment measurement data induction method specified in the GJB/Z126-99 vibration and impact environment test data induction method can only perform data induction on random vibration under single working condition to obtain a random vibration standard spectrum. And the armored vehicle can have different road surfaces and different vehicle speeds and other comprehensive working conditions when actually running, so the method aiming at the single working condition can not be directly used for the comprehensive working conditions, and can not be directly used for the long-life simulation test.
Disclosure of Invention
Therefore, in order to overcome the defects, the embodiment of the invention provides a method for constructing a comprehensive working condition vibration spectrum and a long-life test spectrum of an armored vehicle, which can realize reconstruction of a comprehensive working condition vibration actual measurement spectrum and a standard spectrum, and construct the long-life test spectrum suitable for the comprehensive working condition based on the comprehensive working condition vibration standard spectrum.
Therefore, the method for constructing the comprehensive working condition vibration spectrum of the armored vehicle comprises the following steps:
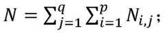
obtaining the road surface occupation ratio b of the armored vehicle under the ith road condition under the test comprehensive working conditioniAnd the vehicle speed of the jth vehicle speed used for driving on the ith road condition accounts for aijWherein, in the step (A),
Figure BDA0003021917940000021
1, p is the total number of road surface types, and q is the total number of vehicle speed types;
respectively obtaining the single-working-condition actual measurement spectrum of the mth sample under the road condition i and the vehicle speed j
Figure BDA0003021917940000022
From the measured spectrum of the simplex condition
Figure BDA0003021917940000023
First reserve factor cij(1)Obtaining the comprehensive working condition actual measurement spectrum FGS of all vehicle speeds and road conditions of the measuring points by induction, and obtaining the single working condition actual measurement spectrum
Figure BDA0003021917940000024
First reserve factor cij(1)And a first relation between the measured spectrum FGS and the comprehensive working condition;
from the measured spectrum of the simplex condition
Figure BDA0003021917940000025
And a first reserve coefficient cij(1)Calculating to obtain comprehensive working condition actual measurement spectrum FGS of all vehicle speeds and road conditions of the measuring points, and obtaining single working condition actual measurement spectrum
Figure BDA0003021917940000026
First reserve factor cij(1)And a second relation between the measured spectrum FGS and the comprehensive working condition;
single working condition actual measurement spectrum
Figure BDA0003021917940000027
First reserve factor cij(1)Substituting a second relation between the measured spectrum and the comprehensive working condition actual measurement spectrum FGS into the single working condition actual measurement spectrum
Figure BDA0003021917940000028
First reserve factor cij(1)Obtaining a first storage coefficient c according to a first relation between the measured spectrum and the comprehensive working condition FGSij(1)And the relation between the measured spectrum FGS and the comprehensive working condition;
the measured spectrum FGS of the comprehensive working condition is used as the input of the first RBF neural network and is based on the first reserve coefficient cij(1)A first reserve coefficient c obtained by the relation between the measured spectrum FGS and the comprehensive working conditionij(1)As expected output of the first RBF neural network, training the first RBF neural network by utilizing input and expected output, and inputting the actually measured spectrum of the current comprehensive working condition into the trained first RBF neural network to obtain a current first reserve coefficient;
respectively obtaining the standard spectrum of the single working condition of the mth sample under the conditions of the road condition i and the vehicle speed j
Figure BDA0003021917940000029
According to a single working condition standard spectrum
Figure BDA00030219179400000210
Second reserve factor cij(2)Obtaining the comprehensive working condition standard spectrum FGG of all vehicle speeds and road conditions of the measuring points by induction, and obtaining the single working condition standard spectrum
Figure BDA00030219179400000211
Second reserve factor cij(2)And a first relation between the combined working condition normalized spectrum FGG;
according to a single working condition standard spectrum
Figure BDA00030219179400000212
And a second reserve coefficient cij(2)Calculating to obtain comprehensive condition standard spectrum FGG of all vehicle speeds and road conditions of the measured points, and obtaining single-condition standard spectrum
Figure BDA00030219179400000213
Second reserve factor cij(2)And a second relationship between the combined operating mode normalized spectrum FGG;
standard spectrum of single working condition
Figure BDA00030219179400000214
Second reserve factor cij(2)Substituting a second relation between the comprehensive working condition standard spectrum FGG and the single working condition standard spectrum
Figure BDA0003021917940000031
Second reserve factor cij(2)And obtaining a second reserve coefficient c according to a first relation between the comprehensive working condition normalized spectrum FGGij(2)And the relation between the comprehensive working condition standard spectrum FGG;
taking the comprehensive working condition standard spectrum FGG as the input of a second RBF neural network, and according to a second reserve coefficient cij(2)Second reserve coefficient c obtained by relation with comprehensive working condition standard spectrum FGGij(2)As expected output of the second RBF neural network, training the second RBF neural network by utilizing input and expected output, and inputting the current comprehensive working condition standard spectrum into the trained second RBF neural network to obtain a current second reserve coefficient;
calculating to obtain a reserve coefficient c according to the current first reserve coefficient and the current second reserve coefficientij
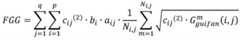
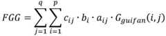
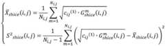
According to the reserve coefficient cijActual measurement spectrum G of single working condition under road condition i and vehicle speed jshice(i, j) and the simplex condition normalized spectrum Gguifan(i, j), respectively calculating and obtaining comprehensive working condition actual measurement spectrums FGS and comprehensive working condition standard spectrums FGG of all vehicle speeds and road conditions of the measured points.
Preferably, the measured spectrum is based on a single-working condition
Figure BDA0003021917940000032
And a first reserve coefficient cij(1)The step of summarizing and obtaining the comprehensive working condition actual measurement spectrum FGS of all vehicle speeds and road conditions of the measuring points comprises the following steps:
from the measured spectrum of the simplex condition
Figure BDA0003021917940000033
And a first reserve coefficient cij(1)Calculating to obtain the mean value and the variance under the road condition i and the vehicle speed j, wherein the calculation formula is as follows:
Figure BDA0003021917940000034
wherein N isi,jThe number of samples under a single working condition;
calculating to obtain weighted mean value and variance according to the mean value and variance under the road condition i and the vehicle speed j, wherein the calculation formula is as follows:
Figure BDA0003021917940000035
and calculating to obtain the comprehensive working condition actual measurement spectrum FGS of all vehicle speeds and road conditions of the measuring points according to the weighted mean value and the variance, wherein the calculation formula is as follows:
Figure BDA0003021917940000041
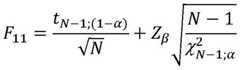
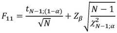
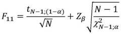
wherein, F11The first tolerance upper limit coefficient is calculated by the following formula:
Figure BDA0003021917940000042
wherein Z isβTo satisfy Prob [ Z.ltoreq.Zβ]A normally distributed quantile of beta,
Figure BDA0003021917940000043
is a degree of freedom of (N-1) ×2Distribution of alpha quantilesPoint, tN-1;(1-α)1-alpha quantile distributed at the center t with the degree of freedom (N-1), N is the total number of samples,
Figure BDA0003021917940000044
preferably, the measured spectrum is based on a single-working condition
Figure BDA0003021917940000045
And a first reserve coefficient cij(1)The calculation formula of the comprehensive working condition actual measurement spectrum FGS for calculating and obtaining all vehicle speeds and road conditions of the measuring points is as follows:
Figure BDA0003021917940000046
wherein N isi,jIs the number of samples in the simplex case.
Preferably, the normalized spectrum according to single-working-condition
Figure BDA0003021917940000047
And a second reserve coefficient cij(2)The step of summarizing and obtaining the comprehensive working condition standard spectrum FGG of all vehicle speeds and road conditions of the measured points comprises the following steps:
according to a single working condition standard spectrum
Figure BDA0003021917940000048
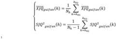
And a second reserve coefficient cij(2)Calculating to obtain the mean value and the variance of each spectral line under the road condition i and the vehicle speed j, wherein the calculation formula is as follows:
Figure BDA0003021917940000049
wherein N isi,jThe number of samples under a single working condition;
calculating to obtain a weighted mean value and a weighted variance according to the mean value and the variance of each spectral line under the road condition i and the vehicle speed j, wherein the calculation formula is as follows:
Figure BDA0003021917940000051
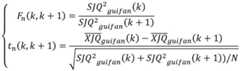
obtaining a statistic F by weighted mean and variance calculationnAnd tnThe calculation formula is as follows:
Figure BDA0003021917940000052
wherein N is the total number of samples,
Figure BDA0003021917940000053
according to statistic FnAnd tnFrequency division is carried out under the confidence coefficient (1-alpha) to obtain H1A frequency band, wherein the spectral line number of two end points of the h-th frequency band is kh1、kh2,h=1,2,…,H1The number of spectral lines is Nh=kh2-kh1+1;
And calculating to obtain a weighted mean value and a weighted variance in the h frequency band according to the weighted mean value and the weighted variance, wherein the calculation formula is as follows:
Figure BDA0003021917940000054
calculating according to the weighted mean and the variance in the h frequency band to obtain the upper limit estimation of the straight spectral tolerance in the h frequency band, wherein the calculation formula is as follows:
Figure BDA0003021917940000055
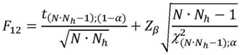
wherein, F12The second tolerance upper limit coefficient with the confidence coefficient of (1-alpha) and the quantile point of beta is calculated by the following formula:
Figure BDA0003021917940000056
wherein Z isβTo satisfy Prob [ Z.ltoreq.Zβ]A normally distributed quantile of beta,
Figure BDA0003021917940000057
with a degree of freedom of (N.N)hX of-1)2The distribution of the alpha quantile points is,
Figure BDA0003021917940000058
with a degree of freedom of (N.N)h-1) central t distribution 1-a quantiles;
and taking the upper limit estimation of the tolerance of the straight spectrum in the h-th frequency band as the amplitude of the frequency band, and connecting each adjacent straight spectrum by using a straight line under a log-log coordinate to obtain a comprehensive working condition standard spectrum FGG of all vehicle speeds and road conditions of the measured point.
Preferably, the normalized spectrum according to single-working-condition
Figure BDA0003021917940000061
And a second reserve coefficient cij(2)The calculation formula of the comprehensive working condition standard spectrum FGG for calculating and obtaining all vehicle speeds and road conditions of the measured points is as follows:
Figure BDA0003021917940000062
wherein N isi,jIs the number of samples in the simplex case.
Preferably, the reserve coefficient cijThe root mean square values of the current first reserve coefficient and the current second reserve coefficient.
Preferably, said reserve coefficient c is used for determining a reserve valueijActual measurement spectrum G of single working condition under road condition i and vehicle speed jshice(i, j) and the simplex condition normalized spectrum Gguifan(i, j), respectively calculating and obtaining the calculation formulas of the comprehensive working condition actual measurement spectrum FGS and the comprehensive working condition standard spectrum FGG of all vehicle speeds and road conditions of the measured points, wherein the calculation formulas are respectively as follows:
Figure BDA0003021917940000063
Figure BDA0003021917940000064
the method for constructing the long-life test spectrum of the armored vehicle comprises the following steps:
obtaining the time T of the jth vehicle speed used for driving under the ith road conditionijI is 1,2, …, p, j is 1,2, …, q, p is the total number of road surface types, q is the total number of vehicle speed types;
time T of jth vehicle speed used for driving according to ith road conditionijAnd calculating to obtain a segment acceleration proportional coefficient beta under the road condition i and the vehicle speed jij
Obtaining comprehensive working condition standard spectrum according to the method for constructing comprehensive working condition vibration spectrum of armored vehicle
Figure BDA0003021917940000065
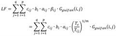
And a segment acceleration proportionality coefficient betaijAnd calculating to obtain a long-life test spectrum LF.
Preferably, the piecewise acceleration proportionality coefficient betaijThe calculation formula of (2) is as follows:
Figure BDA0003021917940000071
wherein, TsFor the actual run time, m is an index.
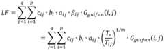
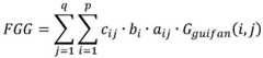
Preferably, the long-life test spectrum LF is calculated by the formula:
Figure BDA0003021917940000072
the technical scheme of the embodiment of the invention has the following advantages:
1. according to the method for constructing the armored vehicle comprehensive working condition vibration spectrum, the measured spectrum and the standard spectrum of the comprehensive working condition are respectively deduced by using the induction method and the formula calculation method, the relationship between the first storage coefficient and the measured spectrum of the comprehensive working condition and the relationship between the second storage coefficient and the standard spectrum of the comprehensive working condition are respectively obtained by using the conclusions of the two methods, so that the RBF neural network is respectively trained based on the relationships to obtain the first storage coefficient estimation value and the second storage coefficient estimation value, and then the storage coefficient adopted when the vibration spectrum is actually constructed is calculated according to the estimation values, so that the construction precision is improved.
2. According to the method for constructing the long-life test spectrum of the armored vehicle, provided by the embodiment of the invention, the acceleration proportional coefficient is segmented according to the road condition and the vehicle speed, so that the method is more consistent with the actual vibration data measurement test condition, the accuracy is improved, the real vibration environment can be more effectively simulated, and the test result is more real and reliable.
Drawings
In order to more clearly illustrate the technical solutions in the embodiments of the present invention, the drawings used in the description of the embodiments will be briefly introduced below, and it is obvious that the drawings in the following description are some embodiments of the present invention, and it is obvious for those skilled in the art that other drawings can be obtained according to the drawings without creative efforts.
FIG. 1 is a flow chart of a specific example of a method for constructing an armored vehicle combination behavior vibration spectrum according to embodiment 1 of the present invention;
FIG. 2 is a flow chart of another specific example of a method for constructing an armored vehicle combination vibration spectrum according to embodiment 1 of the present invention;
FIG. 3 is a flow chart of yet another specific example of a method for constructing a comprehensive working condition vibration spectrum of an armored vehicle in embodiment 1 of the present invention;
fig. 4 is a flowchart of a specific example of the method of constructing the long life test spectrum of the armored vehicle in embodiment 2 of the present invention.
Detailed Description
The technical solutions of the present invention will be described clearly and completely with reference to the accompanying drawings, and it should be understood that the described embodiments are some, but not all embodiments of the present invention. All other embodiments, which can be derived by a person skilled in the art from the embodiments given herein without making any creative effort, shall fall within the protection scope of the present invention.
In describing the present invention, it is to be understood that the terminology used herein is for the purpose of describing particular embodiments only and is not intended to be limiting of the invention. As used herein, the singular forms "a", "an" and "the" are intended to include the plural forms as well, unless the context clearly indicates otherwise. The terms "comprises" and/or "comprising," when used in this specification, are intended to specify the presence of stated features, integers, steps, operations, elements, and/or components, but do not preclude the presence or addition of one or more other features, integers, steps, operations, elements, components, and/or groups thereof. The term "and/or" includes any and all combinations of one or more of the associated listed items.
Furthermore, certain drawings in this specification are flow charts illustrating methods. It will be understood that each block of the flowchart illustrations, and combinations of blocks in the flowchart illustrations, can be implemented by computer program instructions. These computer program instructions may be loaded onto a computer or other programmable apparatus to produce a machine, such that the instructions which execute on the computer or other programmable apparatus create means for implementing the functions specified in the flowchart block or blocks. These computer program instructions may also be stored in a computer-readable memory that can direct a computer or other programmable apparatus to function in a particular manner, such that the instructions stored in the computer-readable memory produce an article of manufacture including instruction means which implement the function specified in the flowchart block or blocks. The computer program instructions may also be loaded onto a computer or other programmable apparatus to cause a series of operational steps to be performed on the computer or other programmable apparatus to produce a computer implemented process such that the instructions which execute on the computer or other programmable apparatus provide steps for implementing the functions specified in the flowchart block or blocks.
Accordingly, blocks of the flowchart illustrations support combinations of means for performing the specified functions and combinations of steps for performing the specified functions. It will also be understood that each block of the flowchart illustrations, and combinations of blocks in the flowchart illustrations, can be implemented by special purpose hardware-based computer systems which perform the specified functions or steps, or combinations of special purpose hardware and computer instructions.
In addition, the technical features involved in the different embodiments of the present invention described below may be combined with each other as long as they do not conflict with each other.
Example 1
The embodiment provides a method for constructing a vibration spectrum of comprehensive working conditions of an armored vehicle, wherein the vibration spectrum comprises an actually measured spectrum and a standard spectrum, and as shown in figure 1, the method comprises the following steps:
step 101, obtaining the road surface occupation ratio b of the armored vehicle under the ith road condition under the test comprehensive working conditioniAnd the vehicle speed of the jth vehicle speed used for driving on the ith road condition accounts for aijWherein, in the step (A),
Figure BDA0003021917940000091
Figure BDA0003021917940000092
p is the total number of road surface types, and q is the total number of vehicle speed types. For example, 8 road surfaces are involved, and 9 vehicle speeds are used for each road surface, and the relationship is shown in the following table.
Figure BDA0003021917940000093
Step 102, obtaining the measured spectrum of the mth sample under the road condition i and the vehicle speed j respectively
Figure BDA0003021917940000094
From the measured spectrum of the simplex condition
Figure BDA0003021917940000095
And a first reserve coefficient cij(1)Obtaining the comprehensive working condition actual measurement spectrum FGS of all vehicle speeds and road conditions of the measuring points by inductionObtaining a single working condition actual measurement spectrum
Figure BDA0003021917940000096
First reserve factor cij(1)And the first relation between the measured spectrum FGS under the comprehensive working condition, as shown in FIG. 2, the induction process is as follows:
102-1, actually measuring the spectrum according to the simplex condition
Figure BDA0003021917940000097
And a first reserve coefficient cij(1)Calculating to obtain the mean value and the variance under the road condition i and the vehicle speed j, wherein the calculation formula is as follows:
Figure BDA0003021917940000098
wherein N isi,jThe number of samples under a single working condition;
102-2, calculating to obtain a weighted mean value and a weighted variance according to the mean value and the variance under the road condition i and the vehicle speed j, wherein the calculation formula is as follows:
Figure BDA0003021917940000101
102-3, calculating and obtaining comprehensive working condition actual measurement spectrums FGS of all vehicle speeds and road conditions of the measured points according to the weighted mean value and the variance, wherein the calculation formula is as follows:
Figure BDA0003021917940000102
wherein, F11The first tolerance upper limit coefficient is calculated by the following formula:
Figure BDA0003021917940000103
wherein Z isβTo satisfy Prob [ Z.ltoreq.Zβ]A normally distributed quantile of beta,
Figure BDA0003021917940000104
is a degree of freedom of (N-1) ×2Distribution of alpha quantites, tN-1;(1-α)1-alpha quantile distributed at the center t with the degree of freedom (N-1), N is the total number of samples,
Figure BDA0003021917940000105
obtaining single working condition actual measurement spectrum
Figure BDA0003021917940000106
First reserve factor cij(1)And a first relation between the measured spectrum FGS and the combined operating condition.
103, actually measuring the spectrum according to the single working condition
Figure BDA0003021917940000107
And a first reserve coefficient cij(1)Calculating to obtain comprehensive working condition actual measurement spectrum FGS of all vehicle speeds and road conditions of the measuring points, and obtaining single working condition actual measurement spectrum
Figure BDA0003021917940000108
First reserve factor cij(1)And the second relation between the measured spectrum FGS under the comprehensive working condition, the calculation formula is as follows:
Figure BDA0003021917940000109
104, single working condition actual measurement spectrum
Figure BDA00030219179400001010
First reserve factor cij(1)Substituting a second relation between the measured spectrum and the comprehensive working condition actual measurement spectrum FGS into the single working condition actual measurement spectrum
Figure BDA00030219179400001011
First reserve factor cij(1)Obtaining a first storage coefficient c according to a first relation between the measured spectrum and the comprehensive working condition FGSij(1)And comprehensive working conditionsThe relationship between the spectral FGS is measured.
105, taking the measured spectrum FGS of the comprehensive working condition as the input of the first RBF neural network, and according to the first reserve coefficient cij(1)A first reserve coefficient c obtained by the relation between the measured spectrum FGS and the comprehensive working conditionij(1)And as the expected output of the first RBF neural network, training the first RBF neural network by utilizing the input and the expected output, and inputting the actually measured spectrum of the current comprehensive working condition into the trained first RBF neural network to obtain a current first reserve coefficient.
106, respectively obtaining the standard spectrum of the single working condition of the mth sample under the road condition i and the vehicle speed j
Figure BDA0003021917940000111
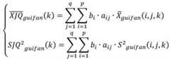
According to a single working condition standard spectrum
Figure BDA0003021917940000112
And a second reserve coefficient cij(2)Obtaining the comprehensive working condition standard spectrum FGG of all vehicle speeds and road conditions of the measuring points by induction, and obtaining the single working condition standard spectrum
Figure BDA0003021917940000113
Second reserve factor cij(2)And the behaviour-by-wire normalization spectrum FGG, as shown in fig. 3, the generalization procedure is as follows:
step 106-1, standardizing the spectrum according to the single working condition
Figure BDA0003021917940000114
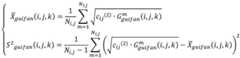
And a second reserve coefficient cij(2)Calculating to obtain the mean value and the variance of each spectral line under the road condition i and the vehicle speed j, wherein the calculation formula is as follows:
Figure BDA0003021917940000115
wherein N isi,jThe number of samples under a single working condition;
106-2, calculating to obtain a weighted mean value and a weighted variance according to the mean value and the variance of each spectral line under the road condition i and the vehicle speed j, wherein the calculation formula is as follows:
Figure BDA0003021917940000116
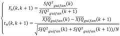
step 106-3, calculating to obtain statistic F according to weighted mean and variancenAnd tnThe calculation formula is as follows:
Figure BDA0003021917940000121
wherein N is the total number of samples,
Figure BDA0003021917940000122
step 106-4, according to the statistic FnAnd tnFrequency division is carried out under the confidence coefficient (1-alpha) to obtain H1A frequency band, wherein the spectral line number of two end points of the h-th frequency band is kh1、kh2,h=1,2,…,H1The number of spectral lines is Nh=kh2-kh1+1;
Preferably, step 106-4 comprises:
judging whether the frequency bands are the same under a given confidence coefficient (1-alpha), wherein the judgment conditions are as follows:
F(N-1,N-1);α/2≤Fn(k,k+1)≤F(N-1,N-1);(1-α/2)
|tn(k,k+1)|≤t2(N-1);(1-α/2)
wherein, t2(N-1);(1-α/2)The central t with the degree of freedom of 2(N-1) is distributed with 1-alpha/2 quantile points, F(N-1,N-1);α/2F with degree of freedom of (N-1) is distributed at alpha/2 quantile, if Fn(k, k +1) obeys F distribution with degree of freedom (N-1), tnAnd (k, k +1) obeys the central t distribution with the degree of freedom of 2(N-1), and when the discrimination condition is met, the Power Spectral Densities (PSD) of adjacent spectral lines k and k +1 of the characteristic sample belong to the same frequency band, otherwise, the power spectral densities do not belong to the same frequency band.
Adjacent ones belong to the sameThe spectral lines of a frequency band are merged in the same frequency band to form H1A frequency band, wherein the spectral line number of two end points of the h-th frequency band is kh1、kh2,h=1,2,…,H1The number of spectral lines is Nh=kh2-kh1+1。
106-5, calculating to obtain a weighted mean value and a weighted variance in the h frequency band according to the weighted mean value and the weighted variance, wherein the calculation formula is as follows:
Figure BDA0003021917940000123
106-6, calculating according to the weighted mean and the variance in the h frequency band to obtain the straight spectral tolerance upper limit estimation in the h frequency band, wherein the calculation formula is as follows:
Figure BDA0003021917940000131
wherein, F12The second tolerance upper limit coefficient with the confidence coefficient of (1-alpha) and the quantile point of beta is calculated by the following formula:
Figure BDA0003021917940000132
wherein Z isβTo satisfy Prob [ Z.ltoreq.Zβ]A normally distributed quantile of beta,
Figure BDA0003021917940000133
with a degree of freedom of (N.N)hX of-1)2The distribution of the alpha quantile points is,
Figure BDA0003021917940000134
with a degree of freedom of (N.N)h-1) central t distribution 1-a quantiles;
106-7, taking the upper limit estimation of the tolerance of the straight spectrum in the h-th frequency band as the amplitude of the frequency band, and connecting each adjacent straight spectrum by straight lines under the double logarithmic coordinates to obtain the comprehensive working condition of all vehicle speeds and road conditions of the measured pointA normalized spectrum FGG, thereby obtaining a single-operating-condition normalized spectrum
Figure BDA0003021917940000135
Second reserve factor cij(2)And a first relation between the behaviour-synthesis specification spectrum FGG.
Step 107, standardizing the spectrum according to the single working condition
Figure BDA0003021917940000136
And a second reserve coefficient cij(2)Calculating to obtain comprehensive condition standard spectrum FGG of all vehicle speeds and road conditions of the measured points, and obtaining single-condition standard spectrum
Figure BDA0003021917940000137
Second reserve factor cij(2)And a second relation between the comprehensive working condition specification spectrum FGG, and the calculation formula is as follows:
Figure BDA0003021917940000138
108, normalizing the spectrum under the single working condition
Figure BDA0003021917940000139
Second reserve factor cij(2)Substituting a second relation between the comprehensive working condition standard spectrum FGG and the single working condition standard spectrum
Figure BDA00030219179400001310
Second reserve factor cij(2)And obtaining a second reserve coefficient c according to a first relation between the comprehensive working condition normalized spectrum FGGij(2)And the behaviour-wide specification spectrum FGG.
Step 109, using the normalized spectrum FGG of the comprehensive working condition as the input of the second RBF neural network, and according to the second reserve coefficient cij(2)Second reserve coefficient c obtained by relation with comprehensive working condition standard spectrum FGGij(2)Training with inputs and desired outputs as desired outputs of a second RBF neural networkAnd the second RBF neural network inputs the current comprehensive working condition standard spectrum into the trained second RBF neural network to obtain a current second reserve coefficient.
Step 110, calculating to obtain a reserve coefficient c according to the current first reserve coefficient and the current second reserve coefficientij. Preferably, the reserve factor cijThe root mean square values of the current first reserve coefficient and the current second reserve coefficient.
Step 111, according to the reserve coefficient cijActual measurement spectrum G of single working condition under road condition i and vehicle speed jshice(i, j) and the simplex condition normalized spectrum Gguifan(i, j), respectively calculating and obtaining comprehensive working condition actual measurement spectrums FGS and comprehensive working condition standard spectrums FGG of all vehicle speeds and road conditions of the measured points, wherein the calculation formulas are respectively as follows:
Figure BDA0003021917940000141
Figure BDA0003021917940000142
according to the method for constructing the armored vehicle comprehensive working condition vibration spectrum, the measured spectrum and the standard spectrum of the comprehensive working condition are respectively deduced by using an induction method and a formula calculation method, the relationship between the first storage coefficient and the measured spectrum of the comprehensive working condition and the relationship between the second storage coefficient and the standard spectrum of the comprehensive working condition are respectively obtained by using the conclusions of the two methods, so that the RBF neural network is respectively trained based on the relationships to obtain the first storage coefficient estimation value and the second storage coefficient estimation value, and then the storage coefficient adopted when the vibration spectrum is actually constructed is calculated according to the estimation values, so that the construction precision is improved.
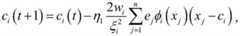
Preferably, the process of training the first/second RBF neural network using the inputs and the desired outputs is:
definition of X ═ (X)1,x2,…,xn)TFor the network input vector, Y ═ Y1,y2,…,ys)TIs output by the network, [ phi ]i(. is a radial basis of the ith hidden layer nodeA function. The distribution function of the RBF neural network is:
Figure BDA0003021917940000143
where m is the number of hidden layer neuron nodes, i.e. the number of radial basis function centers, and the coefficient wiIs a connection weight;
Figure BDA0003021917940000144
wherein φ (#) is a radial basis function, | | x-ciI is the Euclidean norm, ciIs the ith center, xi, of the RBFiFor the ith radius of the RBF, the available network outputs are:
Figure BDA0003021917940000151
thus, the matrix expression for an RBF network can be expressed as:
D=HW+E,
wherein the desired output vector is D ═ D (D)1,d2,…,dp)TThe error vector between the desired output and the network output is E ═ E (E)1,e2,…,ep)TThe weight vector is W ═ W1,w2,…,wm)TThe regression matrix is H ═ H1,h2,…,hm)T
Taking into account the influence of all training samples, ci、ξiAnd wiThe adjustment amounts of (a) and (b) are:
Figure BDA0003021917940000152
Figure BDA0003021917940000153
Figure BDA0003021917940000154
wherein phi isi(xj) For the ith implicit node pair xjInput of η1、η2、η3Respectively corresponding learning rates, ci(t) and ci(t +1) c at the t-th and t + 1-th iterations, respectivelyi,ξi(t) and xii(t +1) is ξ for the t-th and t + 1-th iterations, respectivelyi,wi(t) and wi(t +1) w at the t-th and t + 1-th iterations, respectivelyi(ii) a Obtaining a mean square error according to the cost function E so as to finish the training condition; when the mean square error of the actual output and the expected output is less than the set threshold, the network is considered to be trained.
Example 2
The embodiment provides a method for constructing a long life test spectrum of an armored vehicle, as shown in FIG. 4, comprising the following steps:
step 201, obtaining the time T of the jth vehicle speed used for driving under the ith road conditionij
Step 202, according to the time T of the jth speed used by the ith road conditionijAnd calculating to obtain a segment acceleration proportional coefficient beta under the road condition i and the vehicle speed jijThe calculation formula is as follows:
Figure BDA0003021917940000161
wherein, TsSetting the actual running time according to the actual service life requirement of the armored vehicle, wherein m is an index and is generally 3-9;
step 203, obtaining a comprehensive working condition standard spectrum according to the method for constructing the comprehensive working condition vibration spectrum of the armored vehicle in the embodiment 1
Figure BDA0003021917940000162
And a segment acceleration proportionality coefficient betaijCalculating to obtain a long-life test spectrum LF, wherein the calculation formula is as follows:
Figure BDA0003021917940000163
according to the method for constructing the long-life test spectrum of the armored vehicle, the acceleration proportional coefficient is segmented according to the road condition and the vehicle speed, so that the method is more consistent with the actual vibration data measurement test condition, the accuracy is improved, the real vibration environment can be more effectively simulated, and the test result is more real and reliable.
It should be understood that the above examples are only for clarity of illustration and are not intended to limit the embodiments. Other variations and modifications will be apparent to persons skilled in the art in light of the above description. And are neither required nor exhaustive of all embodiments. And obvious variations or modifications therefrom are within the scope of the invention.

Claims (10)

1. A method for constructing a comprehensive working condition vibration spectrum of an armored vehicle is characterized by comprising the following steps:
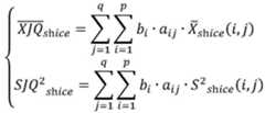
obtaining the road surface occupation ratio b of the armored vehicle under the ith road condition under the test comprehensive working conditioniAnd the vehicle speed of the jth vehicle speed used for driving on the ith road condition accounts for aijWherein, in the step (A),
Figure FDA0003021917930000011
Figure FDA0003021917930000012
p is the total number of road surface types, and q is the total number of vehicle speed types;
respectively obtaining the single-working-condition actual measurement spectrum of the mth sample under the road condition i and the vehicle speed j
Figure FDA0003021917930000013
From the measured spectrum of the simplex condition
Figure FDA0003021917930000014
And a first reserve coefficient cij(1)Obtaining the comprehensive working condition actual measurement spectrum FGS of all vehicle speeds and road conditions of the measuring points by induction, and obtaining the single working condition actual measurement spectrum
Figure FDA0003021917930000015
First reserve factor cij(1)And a first relation between the measured spectrum FGS and the comprehensive working condition;
from the measured spectrum of the simplex condition
Figure FDA0003021917930000016
And a first reserve coefficient cij(1)Calculating to obtain comprehensive working condition actual measurement spectrum FGS of all vehicle speeds and road conditions of the measuring points, and obtaining single working condition actual measurement spectrum
Figure FDA0003021917930000017
First reserve factor cij(1)And a second relation between the measured spectrum FGS and the comprehensive working condition;
single working condition actual measurement spectrum
Figure FDA0003021917930000018
First reserve factor cij(1)Substituting a second relation between the measured spectrum and the comprehensive working condition actual measurement spectrum FGS into the single working condition actual measurement spectrum
Figure FDA0003021917930000019
First reserve factor cij(1)Obtaining a first storage coefficient c according to a first relation between the measured spectrum and the comprehensive working condition FGSij(1)And the relation between the measured spectrum FGS and the comprehensive working condition;
the measured spectrum FGS of the comprehensive working condition is used as the input of the first RBF neural network and is based on the first reserve coefficient cij(1)A first reserve coefficient c obtained by the relation between the measured spectrum FGS and the comprehensive working conditionij(1)As the desired output of the first RBF neural network, utilizeInputting and expecting to output a trained first RBF neural network, inputting the current measured spectrum of the comprehensive working condition into the trained first RBF neural network, and obtaining a current first storage coefficient;
respectively obtaining the standard spectrum of the single working condition of the mth sample under the conditions of the road condition i and the vehicle speed j
Figure FDA00030219179300000110
According to a single working condition standard spectrum
Figure FDA00030219179300000111
And a second reserve coefficient cij(2)Obtaining the comprehensive working condition standard spectrum FGG of all vehicle speeds and road conditions of the measuring points by induction, and obtaining the single working condition standard spectrum
Figure FDA00030219179300000112
Second reserve factor cij(2)And a first relation between the combined working condition normalized spectrum FGG;
according to a single working condition standard spectrum
Figure FDA00030219179300000113
And a second reserve coefficient cij(2)Calculating to obtain comprehensive condition standard spectrum FGG of all vehicle speeds and road conditions of the measured points, and obtaining single-condition standard spectrum
Figure FDA00030219179300000114
Second reserve factor cij(2)And a second relationship between the combined operating mode normalized spectrum FGG;
standard spectrum of single working condition
Figure FDA0003021917930000021
Second reserve factor cij(2)Substituting a second relation between the comprehensive working condition standard spectrum FGG and the single working condition standard spectrum
Figure FDA0003021917930000022
Second reserve factor cij(2)And obtaining a second reserve coefficient c according to a first relation between the comprehensive working condition normalized spectrum FGGij(2)And the relation between the comprehensive working condition standard spectrum FGG;
taking the comprehensive working condition standard spectrum FGG as the input of a second RBF neural network, and according to a second reserve coefficient cij(2)Second reserve coefficient c obtained by relation with comprehensive working condition standard spectrum FGGij(2)As expected output of the second RBF neural network, training the second RBF neural network by utilizing input and expected output, and inputting the current comprehensive working condition standard spectrum into the trained second RBF neural network to obtain a current second reserve coefficient;
calculating to obtain a reserve coefficient c according to the current first reserve coefficient and the current second reserve coefficientij
According to the reserve coefficient cijActual measurement spectrum G of single working condition under road condition i and vehicle speed jshice(i, j) and the simplex condition normalized spectrum Gguifan(i, j), respectively calculating and obtaining comprehensive working condition actual measurement spectrums FGS and comprehensive working condition standard spectrums FGG of all vehicle speeds and road conditions of the measured points.
2. The method of claim 1, wherein the measured spectra are based on single-site conditions
Figure FDA0003021917930000023
And a first reserve coefficient cij(1)The step of summarizing and obtaining the comprehensive working condition actual measurement spectrum FGS of all vehicle speeds and road conditions of the measuring points comprises the following steps:
from the measured spectrum of the simplex condition
Figure FDA0003021917930000024
And a first reserve coefficient cij(1)Calculating to obtain the mean value and the variance under the road condition i and the vehicle speed j, wherein the calculation formula is as follows:
Figure FDA0003021917930000025
wherein N isi,jThe number of samples under a single working condition;
calculating to obtain weighted mean value and variance according to the mean value and variance under the road condition i and the vehicle speed j, wherein the calculation formula is as follows:
Figure FDA0003021917930000031
and calculating to obtain the comprehensive working condition actual measurement spectrum FGS of all vehicle speeds and road conditions of the measuring points according to the weighted mean value and the variance, wherein the calculation formula is as follows:
Figure FDA0003021917930000032
wherein, F11The first tolerance upper limit coefficient is calculated by the following formula:
Figure FDA0003021917930000033
wherein Z isβTo satisfy Prob [ Z.ltoreq.Zβ]A normally distributed quantile of beta,
Figure FDA0003021917930000034
is a degree of freedom of (N-1) ×2Distribution of alpha quantites, tN-1;(1-α)1-alpha quantile distributed at the center t with the degree of freedom (N-1), N is the total number of samples,
Figure FDA0003021917930000035
3. method according to claim 1 or 2, wherein the measured spectrum is measured from a single working condition
Figure FDA0003021917930000036
And a first reserve coefficient cij(1)All vehicle speeds and roads of measuring points are obtained through calculationThe calculation formula of the actual measurement spectrum FGS of the comprehensive working condition is as follows:
Figure FDA0003021917930000037
wherein N isi,jIs the number of samples in the simplex case.
4. A method according to any of claims 1-3, characterized in that the spectrum is normalized according to a single regime
Figure FDA0003021917930000038
And a second reserve coefficient cij(2)The step of summarizing and obtaining the comprehensive working condition standard spectrum FGG of all vehicle speeds and road conditions of the measured points comprises the following steps:
according to a single working condition standard spectrum
Figure FDA0003021917930000039
And a second reserve coefficient cij(2)Calculating to obtain the mean value and the variance of each spectral line under the road condition i and the vehicle speed j, wherein the calculation formula is as follows:
Figure FDA0003021917930000041
wherein N isi,jThe number of samples under a single working condition;
calculating to obtain a weighted mean value and a weighted variance according to the mean value and the variance of each spectral line under the road condition i and the vehicle speed j, wherein the calculation formula is as follows:
Figure FDA0003021917930000042
obtaining a statistic F by weighted mean and variance calculationnAnd tnThe calculation formula is as follows:
Figure FDA0003021917930000043
wherein N is the total number of samples,
Figure FDA0003021917930000044
according to statistic FnAnd tnFrequency division is carried out under the confidence coefficient (1-alpha) to obtain H1A frequency band, wherein the spectral line number of two end points of the h-th frequency band is kh1、kh2,h=1,2,…,H1The number of spectral lines is Nh=kh2-kh1+1;
And calculating to obtain a weighted mean value and a weighted variance in the h frequency band according to the weighted mean value and the weighted variance, wherein the calculation formula is as follows:
Figure FDA0003021917930000045
calculating according to the weighted mean and the variance in the h frequency band to obtain the upper limit estimation of the straight spectral tolerance in the h frequency band, wherein the calculation formula is as follows:
Figure FDA0003021917930000051
wherein, F12The second tolerance upper limit coefficient with the confidence coefficient of (1-alpha) and the quantile point of beta is calculated by the following formula:
Figure FDA0003021917930000052
wherein Z isβTo satisfy Prob [ Z.ltoreq.Zβ]A normally distributed quantile of beta,
Figure FDA0003021917930000053
with a degree of freedom of (N.N)hX of-1)2The distribution of the alpha quantile points is,
Figure FDA0003021917930000054
with a degree of freedom of (N.N)h-1) central t distribution 1-a quantiles;
and taking the upper limit estimation of the tolerance of the straight spectrum in the h-th frequency band as the amplitude of the frequency band, and connecting each adjacent straight spectrum by using a straight line under a log-log coordinate to obtain a comprehensive working condition standard spectrum FGG of all vehicle speeds and road conditions of the measured point.
5. Method according to any of claims 1-4, characterized in that the spectrum is normalized according to a single regime
Figure FDA0003021917930000055
And a second reserve coefficient cij(2)The calculation formula of the comprehensive working condition standard spectrum FGG for calculating and obtaining all vehicle speeds and road conditions of the measured points is as follows:
Figure FDA0003021917930000056
wherein N isi,jIs the number of samples in the simplex case.
6. Method according to any of claims 1 to 5, characterized in that the reserve coefficient cijThe root mean square values of the current first reserve coefficient and the current second reserve coefficient.
7. Method according to any one of claims 1 to 6, characterized in that said reserve coefficient c is determined according to saidijActual measurement spectrum G of single working condition under road condition i and vehicle speed jshice(i, j) and the simplex condition normalized spectrum Gguifan(i, j), respectively calculating and obtaining the calculation formulas of the comprehensive working condition actual measurement spectrum FGS and the comprehensive working condition standard spectrum FGG of all vehicle speeds and road conditions of the measured points, wherein the calculation formulas are respectively as follows:
Figure FDA0003021917930000057
Figure FDA0003021917930000058
8. a method for constructing a long life test spectrum of an armored vehicle is characterized by comprising the following steps:
obtaining the time T of the jth vehicle speed used for driving under the ith road conditionijI is 1,2, …, p, j is 1,2, …, q, p is the total number of road surface types, q is the total number of vehicle speed types;
time T of jth vehicle speed used for driving according to ith road conditionijAnd calculating to obtain a segment acceleration proportional coefficient beta under the road condition i and the vehicle speed jij
A specification spectrum of work conditions obtained by the method for constructing a vibration spectrum of a work condition of an armored vehicle according to any one of claims 1-7
Figure FDA0003021917930000061
And a segment acceleration proportionality coefficient betaijAnd calculating to obtain a long-life test spectrum LF.
9. The method of claim 8, wherein the piecewise acceleration scaling factor βijThe calculation formula of (2) is as follows:
Figure FDA0003021917930000062
wherein, TsFor the actual run time, m is an index.
10. Method according to claim 8 or 9, characterized in that said long life test spectrum LF is calculated by the formula:
Figure FDA0003021917930000063
CN202110405031.5A2021-04-152021-04-15Method for constructing comprehensive working condition vibration spectrum and long-life test spectrum of armored vehicleActiveCN113094816B (en)

Priority Applications (1)

Application NumberPriority DateFiling DateTitle
CN202110405031.5ACN113094816B (en)2021-04-152021-04-15Method for constructing comprehensive working condition vibration spectrum and long-life test spectrum of armored vehicle

Applications Claiming Priority (1)

Application NumberPriority DateFiling DateTitle
CN202110405031.5ACN113094816B (en)2021-04-152021-04-15Method for constructing comprehensive working condition vibration spectrum and long-life test spectrum of armored vehicle

Publications (2)

Publication NumberPublication Date
CN113094816Atrue CN113094816A (en)2021-07-09
CN113094816B CN113094816B (en)2022-07-05

Family

ID=76677816

Family Applications (1)

Application NumberTitlePriority DateFiling Date
CN202110405031.5AActiveCN113094816B (en)2021-04-152021-04-15Method for constructing comprehensive working condition vibration spectrum and long-life test spectrum of armored vehicle

Country Status (1)

CountryLink
CN (1)CN113094816B (en)

Cited By (1)

* Cited by examiner, † Cited by third party
Publication numberPriority datePublication dateAssigneeTitle
CN115950647A (en)*2022-12-192023-04-11中国人民解放军陆军装甲兵学院Electromechanical equipment scrap monitoring, diagnosing and analyzing method

Citations (5)

* Cited by examiner, † Cited by third party
Publication numberPriority datePublication dateAssigneeTitle
US20100063673A1 (en)*2008-09-112010-03-11Noel Wayne AndersonMulti-vehicle high integrity perception
US20100063651A1 (en)*2008-09-112010-03-11Noel Wayne AndersonHigh integrity perception for machine localization and safeguarding
CN110929334A (en)*2019-10-302020-03-27中国北方车辆研究所Method for calculating transmission efficiency of track armored vehicle under gear shifting dynamic working condition
CN111597673A (en)*2019-02-212020-08-28株洲中车时代电气股份有限公司Random vibration fatigue acceleration test method and system
CN112595411A (en)*2020-12-152021-04-02华域麦格纳电驱动系统有限公司Vibration spectrum data acquisition and processing method and device of electric drive system

Patent Citations (5)

* Cited by examiner, † Cited by third party
Publication numberPriority datePublication dateAssigneeTitle
US20100063673A1 (en)*2008-09-112010-03-11Noel Wayne AndersonMulti-vehicle high integrity perception
US20100063651A1 (en)*2008-09-112010-03-11Noel Wayne AndersonHigh integrity perception for machine localization and safeguarding
CN111597673A (en)*2019-02-212020-08-28株洲中车时代电气股份有限公司Random vibration fatigue acceleration test method and system
CN110929334A (en)*2019-10-302020-03-27中国北方车辆研究所Method for calculating transmission efficiency of track armored vehicle under gear shifting dynamic working condition
CN112595411A (en)*2020-12-152021-04-02华域麦格纳电驱动系统有限公司Vibration spectrum data acquisition and processing method and device of electric drive system

Non-Patent Citations (2)

* Cited by examiner, † Cited by third party
Title
张会奇等: "基于BP神经网络的装甲车辆发动机使用状态评价", 《兵工自动化》*
骆清国等: "装甲车辆发动机载荷谱仿真与试验研究", 《兵工学报》*

Cited By (2)

* Cited by examiner, † Cited by third party
Publication numberPriority datePublication dateAssigneeTitle
CN115950647A (en)*2022-12-192023-04-11中国人民解放军陆军装甲兵学院Electromechanical equipment scrap monitoring, diagnosing and analyzing method
CN115950647B (en)*2022-12-192023-10-27中国人民解放军陆军装甲兵学院Monitoring, diagnosing and analyzing method for scrapping of electromechanical equipment

Also Published As

Publication numberPublication date
CN113094816B (en)2022-07-05

Similar Documents

PublicationPublication DateTitle
US11709979B1 (en)Bridge damage identification method considering uncertainty
CN108038300B (en) Optical fiber state assessment method based on improved membership function combined with neural network
CN110046379B (en)Structure overall damage identification method based on space-frequency information
CN109343505A (en) Prediction method of gear remaining life based on long short-term memory network
EP4075281A1 (en)Ann-based program test method and test system, and application
CN114064459B (en) Software defect prediction method based on generative adversarial network and ensemble learning
CN114580940A (en)Grouting effect fuzzy comprehensive evaluation method based on grey correlation degree analysis method
CN113255880A (en)Method and system for judging electricity stealing data based on improved neural network model
CN117455681A (en)Service risk prediction method and device
CN115496340A (en) Method, device and equipment for health status assessment
CN105842607A (en)Test point quantitative selection method and device in testing design
CN113094816B (en)Method for constructing comprehensive working condition vibration spectrum and long-life test spectrum of armored vehicle
CN109389517B (en) An analysis method and device for quantifying influencing factors of line loss
CN114722731B (en)Method and system for predicting drag viscous drag resistance of towed body
CN115755831A (en)Fault diagnosis method and system based on fuzzy hierarchical analysis
CN113063589B (en)Gear microscopic error vibration prediction method based on neural network
CN111047476A (en)Dam structure safety monitoring accurate prediction method and system based on RBF neural network
CN109101759A (en)A kind of parameter identification method based on forward and reverse response phase method
CN115762669A (en)River water quality assessment method based on improved grey correlation analysis algorithm and particle swarm optimization multi-classification support vector machine
CN114880217A (en)Component quality evaluation method of application software
BasriNovelty ranking approach with z-score and fuzzy multi-attribute decision making combination
CN112346995A (en)Construction method and device of test risk estimation model based on banking industry
Küçüksakarya et al.PANEL DATA ANALYSIS OF RELATIONSHIP BETWEEN ECONOMIC GROWTH, FOREIGN DIRECT INVESTMENT, EXCHANGE RATE AND TRADE OPENNESS IN NEWLY INDUSTRIALIZED COUNTRIES
CN118051743B (en)Aeroengine gas circuit fault diagnosis method and device
CN110852536A (en)Storage tank maintenance decision determining method and device

Legal Events

DateCodeTitleDescription
PB01Publication
PB01Publication
SE01Entry into force of request for substantive examination
SE01Entry into force of request for substantive examination
GR01Patent grant
GR01Patent grant

[8]ページ先頭

©2009-2025 Movatter.jp