Movatterモバイル変換


[0]ホーム

URL:


CN113093769A - Active disturbance rejection control method for perching and falling of fixed-wing unmanned aerial vehicle - Google Patents

Active disturbance rejection control method for perching and falling of fixed-wing unmanned aerial vehicle
Download PDF

Info

Publication number
CN113093769A
CN113093769ACN202110335376.8ACN202110335376ACN113093769ACN 113093769 ACN113093769 ACN 113093769ACN 202110335376 ACN202110335376 ACN 202110335376ACN 113093769 ACN113093769 ACN 113093769A
Authority
CN
China
Prior art keywords
control
unmanned aerial
aerial vehicle
perching
track
Prior art date
Legal status (The legal status is an assumption and is not a legal conclusion. Google has not performed a legal analysis and makes no representation as to the accuracy of the status listed.)
Pending
Application number
CN202110335376.8A
Other languages
Chinese (zh)
Inventor
许斌
宋燕随
Current Assignee (The listed assignees may be inaccurate. Google has not performed a legal analysis and makes no representation or warranty as to the accuracy of the list.)
Northwestern Polytechnical University
Original Assignee
Northwestern Polytechnical University
Priority date (The priority date is an assumption and is not a legal conclusion. Google has not performed a legal analysis and makes no representation as to the accuracy of the date listed.)
Filing date
Publication date
Application filed by Northwestern Polytechnical UniversityfiledCriticalNorthwestern Polytechnical University
Priority to CN202110335376.8ApriorityCriticalpatent/CN113093769A/en
Publication of CN113093769ApublicationCriticalpatent/CN113093769A/en
Pendinglegal-statusCriticalCurrent

Links

Images

Classifications

Landscapes

Abstract

The invention relates to an active disturbance rejection control method for perching and falling of a fixed-wing unmanned aerial vehicle, and belongs to the field of unmanned aerial vehicle control. Aiming at the problems of large attack angle, fast time-varying aerodynamic parameters, low rudder control efficiency of an actuator and the like existing in the longitudinal perching and falling process of the fixed-wing unmanned aerial vehicle, the method firstly designs an optimal reference track, secondly designs a reference instruction based on the optimal reference track, and introduces the current flight position into the calculation of the reference instruction, thereby avoiding the deviation of the unmanned aerial vehicle from the optimal track caused by the cumulative effect of tracking errors of a controller. And finally, decomposing the unmanned aerial vehicle track tracking control system into a speed control subsystem and a pitch angle control subsystem, and respectively designing an active disturbance rejection controller. Through verification, the control method can effectively solve the main problems existing in the longitudinal perching of the fixed-wing unmanned aerial vehicle.

Description

Active disturbance rejection control method for perching and falling of fixed-wing unmanned aerial vehicle
Technical Field
The invention relates to a method for controlling perching and landing maneuvers of a fixed-wing unmanned aerial vehicle, belongs to the field of unmanned aerial vehicle control, and particularly relates to fixed-wing unmanned aerial vehicle control with special application.
Background
As common operation unmanned aerial vehicle, fixed wing unmanned aerial vehicle has obvious advantage in the aspect of the ability of continuing a journey, flight range and cruise speed etc, but fixed wing unmanned aerial vehicle adopts to slide to slow down, hit complicated descending modes such as net and parachute, it is big to have a place space demand, the ground is assisted the shortcoming such as the landing device is complicated and the landing point is uncertain, if fixed wing unmanned aerial vehicle can realize similar birds and freely descend in positions such as ground, branches, will compensate to a great extent that present fixed wing unmanned aerial vehicle relies on the not enough of runway take-off and landing. In addition, the fixed-wing unmanned aerial vehicle can live in air all day long after staying behind, and the fixed-wing unmanned aerial vehicle can live in air all day long, and has important significance for improving survival and investigation capability in battlefield environment.
The fixed wing unmanned aerial vehicle perches and moves and needs to pass through the stall stage, when the unmanned aerial vehicle surpasses the stall angle of attack, gets into the stall forbidden zone after, relates to a great deal of flight problem. In the over-stall region, the aerodynamic characteristics of the airplane become very complex, and the control strategy, the design method, the system structure and the like of the airplane are greatly different from those of the conventional system. Perching and falling on the fixed-wing unmanned aerial vehicle, patent publication no: CN 111232197 a proposes a method for enhancing habitat control ability from the structural design point of view, but does not clarify the control method. An article 'Control Synthesis and Verification for a Perching UAV using LQR-Trees' is designed for a class of unpowered glider perches, but the requirement on model precision is high, and model uncertainty and external disturbance cannot be well processed. Aiming at the problems of large attack angle maneuver, fast model parameter time change, rapid actuator efficiency reduction and the like in the perching and falling process of the unmanned aerial vehicle, the conventional flight control strategy and method are difficult to process.
Disclosure of Invention
Technical problem to be solved
In order to solve the problems of fast time variation of model parameters and insufficient manipulation capability in the perching and falling process of the unmanned aerial vehicle, the invention designs an active disturbance rejection control method for perching and falling of the fixed-wing unmanned aerial vehicle. Firstly, designing an optimal reference track for a longitudinal perching model of the fixed-wing unmanned aerial vehicle, then further decomposing a speed control subsystem and a pitching attitude control subsystem according to a dynamic relation between control input and system state variables, and finally respectively designing an active disturbance rejection track tracking controller for the two subsystems.
Technical scheme
An active disturbance rejection control method for perching of a fixed-wing unmanned aerial vehicle is characterized by comprising the following steps:
step 1: considering a fixed-wing drone perching maneuver longitudinal kinematics model:
Figure BDA0002997374070000021
Figure BDA0002997374070000022
Figure BDA0002997374070000023
Figure BDA0002997374070000024
Figure BDA0002997374070000025
Figure BDA0002997374070000026
Figure BDA0002997374070000027
the longitudinal habitat model comprises seven state variables
Figure BDA0002997374070000028
And two control inputs
Figure BDA0002997374070000029
Wherein V represents velocity, γ represents track angle, α represents angle of attack, q represents pitch angle rate, x represents horizontal flight distance, h represents vertical flight altitude, s represents flight path length, T represents propeller drag, δeRepresenting the amount of elevator deflection; m represents the mass of the drone, g represents the acceleration of gravity, IyRepresenting the moment of inertia of the pitch axis; d, L and M respectively represent lift force, resistance force and pitching moment;
step 2: generating optimal perch reference trajectories
Introducing augmented state vectors, denoted
Figure BDA00029973740700000210
The new control input signal is defined as the derivative of the original control signal, i.e. the rate signal, noted
Figure BDA0002997374070000031
The initial condition for designing the optimal perch trajectory is the trim state during horizontal flight, and is recorded as
Figure BDA0002997374070000032
Figure BDA0002997374070000033
In the formula, V000,q0,x0,h0,s0Variable value, T, of system described by equations (1) to (7) in horizontal flight0e0Inputting variable values for the respective control;
designing a quadratic optimization target loss function J, and enabling the J to obtain a minimum value in the perching process;
Figure BDA0002997374070000034
in the formula, R, QfAre all gain diagonal square matrices with appropriate dimensions, tfRepresenting the time of the perch terminal; the constraint function comprises an integral index related to input and an index related to a final value of a state variable, and different optimization targets can be realized by adjusting parameters of the gain diagonal matrix;
defining the constraint range of the expansion state and the control input variable by describing an upper bound condition and a lower bound condition;
the upper bound of the constraint for the augmented state variable is expressed as:
Figure BDA0002997374070000035
the lower bound of the constraint for the augmented state variable is expressed as:
Figure BDA0002997374070000036
the upper bound constraint for the control input is expressed as:
Figure BDA0002997374070000037
the lower bound constraint for the control input is expressed as:
Figure BDA0002997374070000038
the upper bound and the lower bound of the expansion state and the control input variable are reasonably set according to the actual flight condition; further, an optimal reference track can be obtained by means of a solving method of nonlinear optimal control;
the optimal reference trajectory is recorded
Figure BDA0002997374070000041
Optimal reference control input is noted
Figure BDA0002997374070000042
And step 3: designing closed-loop control channel
Taking into account the design desired flying speed VdAngle gamma to the desired trackdAnd introducing the current flight position x, y and the reference position xr,yrThe deviation of the unmanned aerial vehicle track tracking process caused by the integral accumulated error is avoided; designing the expectation-tracking instruction as
Figure BDA0002997374070000043
Where V, gamma denotes the current flight speed and track angle, VrrFor reference flight speed and track angle, k1,k2Is an adjustable proportionality coefficient;
controlling the velocity component v of an aircraft on the longitudinal axis of the fuselage by means of the tension TbxUsing elevators deltaeControlling aircraft pitch angle θ, vbxThe formula for calculating the sum theta is
θ=α+γ (18)
vbx=Vcos(α) (19)
Corresponding desired speed vbxdAnd a desired pitch angle θdIs calculated by the formula
θd=α+γd (20)
vbxd=Vd cos(α) (21)
And 4, step 4: design pitch control subsystem
According to equation (18), the dynamic equation of the pitch control channel is derived and linearized at the reference flight trajectory
Figure BDA0002997374070000044
In the formula (I), the compound is shown in the specification,
Figure BDA0002997374070000051
representing unknown disturbances, ω representing time-dependent disturbances, bθRepresenting parameters associated with the model; delta theta and DeltaeIs defined as
Δθ=θ-θd (23)
Δδe=δeer (24)
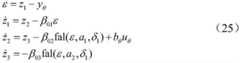
For the system described by equation (27), the extended observer is designed as
Figure BDA0002997374070000052
Where ε represents the observer estimation error, z1,z2,z3Respectively system state and disturbance
Figure BDA0002997374070000053
Estimated value of yθ=Δθ;β010203,a1,a21Are all observer adjustable parameters; fal (. circle.) is a non-linear function defined as
Figure BDA0002997374070000054
In the formula, a and delta represent input parameters of the function;
the design error feedback controller is
Δδe0=β1fal(-z1,a32)+β2fal(-z2,a42) (27)
Figure BDA0002997374070000055
In the formula, beta12,a3,a42Are all controller adjustable parameters;
and 5: design speed control subsystem
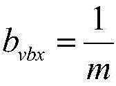
The dynamic model of the velocity control channel derived from equation (19) and linearized at the reference flight trajectory is
Figure BDA0002997374070000056
In the formula (I), the compound is shown in the specification,
Figure BDA0002997374070000057
in order to be an unknown perturbation of the model,
Figure BDA0002997374070000058
is a constant;
because the speed channel control subsystem and the pitching channel control subsystem have very similar design processes, in order to simplify the use of symbols, part of the symbols are reused when the observer and the controller are designed;
design the extended observer as
Figure BDA0002997374070000061
Where ε is the observer estimation error, z1Is Δ vbxEstimate of z2To be disturbed
Figure BDA0002997374070000062
Estimated value of uT=ΔT,yvbx=Δvbx;β1112,a53Expanding observer adjustable parameters;
designing the ADRC to be
ΔT0=β3fal(-z1,a64) (31)
Figure BDA0002997374070000063
In the formula,. DELTA.T0For control input signals when disturbances are not compensated, beta3,a64Is an adjustable controller parameter.
Preferably: observer adjustable parameter beta in step 401=80,β02=700,β03=1000,a1=0.55,a2=0.25,δ1=0.07。
Preferably: step 4 controller adjustable parameter beta1=30.5,β2=10.0,a30.75,a4=1.5,δ2=0.03。
Preferably: step 5, expanding the adjustable parameter beta of the observer11=80,β12=200,a5=0.85,δ3=0.03。
Preferably: step 5 controller parameter beta3=10,a6=0.75,δ4=0.02。
Advantageous effects
According to the active disturbance rejection control method for perching of the fixed-wing unmanned aerial vehicle, aiming at the problems of large attack angle, fast time-varying aerodynamic parameters, low control rudder efficiency of an actuator and the like in the longitudinal perching process of the fixed-wing unmanned aerial vehicle, firstly, an optimal reference track is designed, secondly, a reference instruction is designed based on the optimal reference track, and the current flight position is introduced into the calculation of the reference instruction, so that the unmanned aerial vehicle is prevented from deviating from the optimal track due to the cumulative effect of tracking errors of a controller. And finally, decomposing the unmanned aerial vehicle track tracking control system into a speed control subsystem and a pitch angle control subsystem, and respectively designing an active disturbance rejection controller. Through verification, the control method can effectively solve the main problems existing in the longitudinal perching of the fixed-wing unmanned aerial vehicle.
The beneficial effects are that: 1) the optimal reference track is designed, the limited control moment at the perching tail end is fully utilized, and the feasibility of the perching track is ensured; 2) aiming at the track tracking control under a large attack angle, the invention redesigns a track tracking instruction, eliminates an integral error in track tracking, further decouples a speed control subsystem (taking the speed of a longitudinal axis of a machine body as a feedback signal) and a pitch angle control subsystem, and avoids the coupling of the track angle control and the speed control under the large attack angle; 3) the method is based on the active disturbance rejection control technology, realizes the tracking of the optimal perch track, can effectively inhibit unknown modeling dynamics and other disturbance existing in the model, and improves the robustness of perch control.
Drawings
FIG. 1 is a flow chart of an active disturbance rejection control method for perching of a fixed wing drone in accordance with the present invention
Detailed Description
The invention will now be further described with reference to the following examples and drawings:
referring to fig. 1, the invention designs an active disturbance rejection control method for perching of a fixed-wing unmanned aerial vehicle, which is applied to longitudinal perching control of a class of fixed-wing unmanned aerial vehicles and is specifically realized through the following steps.
Step 1: considering a fixed-wing drone perching maneuver longitudinal kinematics model:
Figure BDA0002997374070000071
Figure BDA0002997374070000072
Figure BDA0002997374070000073
Figure BDA0002997374070000074
Figure BDA0002997374070000075
Figure BDA0002997374070000076
Figure BDA0002997374070000077
the longitudinal habitat model comprises seven state variables
Figure BDA0002997374070000081
And two control inputs
Figure BDA0002997374070000082
Wherein V represents velocity, γ represents track angle, α represents angle of attack, q represents pitch angle rate, x represents horizontal flight distance, h represents vertical flight altitude, s represents flight path length, T represents propeller drag, δeRepresenting the amount of elevator deflection; m represents the mass of the drone, g represents the acceleration of gravity, IyThe rotational inertia of the pitch axis; d, L and M respectively represent lift force, resistance force and pitching moment. The relevant force and moment parameters are defined as follows:
Figure BDA0002997374070000083
CL(α)=2sinαcosα,CD(α)=2sin2α,
Figure BDA0002997374070000084
wherein q represents dynamic pressure, ρ is air density, S is aerodynamic reference area of the airfoil, and S istailFor aerodynamic reference area of the tail, CL(α),CDAnd (alpha) is a lift coefficient and a drag coefficient respectively.
Step 2: generating optimal perch reference trajectories
Introducing augmented state vectors, denoted
Figure BDA0002997374070000085
The new control input signal is defined as the derivative of the original control signal, i.e. the rate signal, noted
Figure BDA0002997374070000086
Calculating the initial value of the optimal perching track in the trim state as
Figure BDA0002997374070000087
Figure BDA0002997374070000088
In the formula, V0=10,γ0=0,α0=0.12,q0=0,x0=0,h0=0,s00 is the variable value of the system described by equations (1) to (7) in the horizontal flight state (trim state), T0=0,δe0And 0 is the corresponding control input variable value.
And designing a quadratic optimization target loss function J, and enabling J to obtain the minimum value in the perching process.
Figure BDA0002997374070000089
Wherein R is diag ([1,2 ]]),Q=diag([0,0,0,0,1,5,0,0,0]) Diag (·) denotes setting a diagonal element, tfRepresenting the time of the terminal of the habitat. The constraint function comprises an integral index related to input and an index related to a state variable final value, and different optimization targets can be realized by adjusting parameters of the gain diagonal matrix.
The constraint ranges of the expansion state and the control input variable are defined by upper and lower bound conditions.
The upper bound of the constraint for the augmented state variable is expressed as:
Figure BDA0002997374070000091
the lower bound of the constraint for the augmented state variable is expressed as:
Figure BDA0002997374070000092
the upper bound constraint for the control input is expressed as:
Figure BDA0002997374070000093
the lower bound constraint for the control input is expressed as:
Figure BDA0002997374070000094
the upper bound and the lower bound of the expansion state and the control input variable are set reasonably according to the actual flight condition. And further, the optimal reference track can be obtained by means of a solving method of nonlinear optimal control.
The optimal reference trajectory assumed is recorded as
Figure BDA0002997374070000095
Optimal reference control input is noted
Figure BDA0002997374070000096
And step 3: designing closed-loop control channel
Taking into account the design desired flying speed VdAngle gamma to the desired trackdAnd introducing the current flight position x, y and the reference position xr,yrAnd the deviation of the unmanned aerial vehicle track tracking process caused by the integral accumulated error is avoided. Designing the expectation-tracking instruction as
Figure BDA0002997374070000097
Where V, gamma denotes the current flight speed and track angle, VrrFor reference to flight speed and track angle, the proportionality coefficient k can be adjusted1=5,k2=5
Controlling the velocity component v of an aircraft on the longitudinal axis of the fuselage by means of the tension TbxUsing elevators deltaeControlling aircraft pitch angle θ, vbxThe formula for calculating the sum theta is
θ=α+γ (18)
vbx=V cos(α) (19)
Corresponding desired speed vbxdAnd a desired pitch angle θdIs calculated by the formula
θd=α+γd (20)
vbxd=Vd cos(α) (21)
And 4, step 4: design pitch control subsystem
According to equation (18), the dynamic equation of the pitch control channel is derived and linearized at the reference flight trajectory
Figure BDA0002997374070000101
In the formula (I), the compound is shown in the specification,
Figure BDA0002997374070000102
representing unknown disturbances, ω representing time-dependent disturbances, bθ-0.0667 represents a parameter associated with the model. Delta theta and DeltaeIs defined as
Δθ=θ-θd (23)
Δδe=δeer (24)
For the system described by equation (27), the extended observer is designed as
Figure BDA0002997374070000103
Where ε represents the observer estimation error, z1,z2,z3Respectively system state and disturbance
Figure BDA0002997374070000104
Estimated value of yθΔ θ; observer adjustable parameter beta01=80,β02=700,β03=1000,a1=0.55,a2=0.25,δ10.07; fal (. circle.) is a non-linear function defined as
Figure BDA0002997374070000111
In the formula, a and δ represent input parameters of the function.
The design error feedback controller is
Δδe0=β1fal(-z1,a32)+β2fal(-z2,a42) (27)
Figure BDA0002997374070000112
In the formula, the controller can adjust the parameter beta1=30.5,β2=10.0,a30.75,a4=1.5,δ2=0.03。
And 5: design speed control subsystem
The dynamic model of the velocity control channel derived from equation (19) and linearized at the reference flight trajectory is
Figure BDA0002997374070000113
In the formula (I), the compound is shown in the specification,
Figure BDA0002997374070000114
in order to be an unknown perturbation of the model,
Figure BDA0002997374070000115
is a constant.
The speed channel control subsystem and the pitching channel control subsystem have quite similar design processes, and in order to simplify the use of symbols, partial symbols are reused when an observer and a controller are designed.
Design the extended observer as
Figure BDA0002997374070000116
Where ε is the observer estimation error, z1Is Δ vbxEstimate of z2To be disturbed
Figure BDA0002997374070000117
Estimated value of uT=ΔT,yvbx=Δvbx(ii) a Adjustable parameter beta of extended observer11=80,β12=200,a5=0.85,δ3=0.03。
Designing the ADRC to be
ΔT0=β3fal(-z1,a64) (31)
Figure BDA0002997374070000121
In the formula,. DELTA.T0For control input signals when disturbances are not compensated, controller parameter beta3=10,a6=0.75,δ4=0.02。

Claims (5)

1. An active disturbance rejection control method for perching of a fixed-wing unmanned aerial vehicle is characterized by comprising the following steps:
step 1: considering a fixed-wing drone perching maneuver longitudinal kinematics model:
Figure FDA0002997374060000011
Figure FDA0002997374060000012
Figure FDA0002997374060000013
Figure FDA0002997374060000014
Figure FDA0002997374060000015
Figure FDA0002997374060000016
Figure FDA0002997374060000017
the longitudinal habitat model comprises seven state variables
Figure FDA0002997374060000018
And two control inputs
Figure FDA0002997374060000019
Wherein V represents velocity, γ represents track angle, α represents angle of attack, q represents pitch angle rate, x represents horizontal flight distance, h represents vertical flight altitude, s represents flight path length, T represents propeller drag, δeRepresenting the amount of elevator deflection; m represents the mass of the drone, g represents the acceleration of gravity, IyRepresenting the moment of inertia of the pitch axis; d, L and M respectively represent lift force, resistance force and pitching moment;
step 2: generating optimal perch reference trajectories
Introducing augmented state vectors, denoted
Figure FDA00029973740600000110
The new control input signal is defined as the derivative of the original control signal, i.e. the rate signal, noted
Figure FDA00029973740600000111
The initial condition for designing the optimal perch trajectory is the trim state during horizontal flight, and is recorded as
Figure FDA00029973740600000112
Figure FDA00029973740600000113
In the formula, V000,q0,x0,h0,s0Variable value, T, of system described by equations (1) to (7) in horizontal flight0e0Inputting variable values for the respective control;
designing a quadratic optimization target loss function J, and enabling the J to obtain a minimum value in the perching process;
Figure FDA0002997374060000021
in the formula, R, QfAre all gain diagonal square matrices with appropriate dimensions, tfRepresenting the time of the perch terminal; the constraint function comprises an integral index related to input and an index related to a final value of a state variable, and different optimization targets can be realized by adjusting parameters of the gain diagonal matrix;
defining the constraint range of the expansion state and the control input variable by describing an upper bound condition and a lower bound condition;
the upper bound of the constraint for the augmented state variable is expressed as:
Figure FDA0002997374060000022
the lower bound of the constraint for the augmented state variable is expressed as:
Figure FDA0002997374060000023
the upper bound constraint for the control input is expressed as:
Figure FDA0002997374060000024
the lower bound constraint for the control input is expressed as:
Figure FDA0002997374060000025
the upper bound and the lower bound of the expansion state and the control input variable are reasonably set according to the actual flight condition; further, an optimal reference track can be obtained by means of a solving method of nonlinear optimal control;
the optimal reference trajectory is recorded
Figure FDA0002997374060000026
Optimal reference control input is noted
Figure FDA0002997374060000027
And step 3: designing closed-loop control channel
Taking into account the design desired flying speed VdAngle gamma to the desired trackdAnd introducing the current flight position x, y and the reference position xr,yrThe deviation of the unmanned aerial vehicle track tracking process caused by the integral accumulated error is avoided; designing the expectation-tracking instruction as
Figure FDA0002997374060000031
Where V, gamma denotes the current flight speed and track angle, VrrFor reference flight speed and track angle, k1,k2Is an adjustable proportionality coefficient;
controlling the velocity component v of an aircraft on the longitudinal axis of the fuselage by means of the tension TbxUsing elevators deltaeControlling aircraft pitch angle θ, vbxThe formula for calculating the sum theta is
θ=α+γ (18)
vbx=V cos(α) (19)
Corresponding desired speed vbxdAnd a desired pitch angle θdIs calculated by the formula
θd=α+γd (20)
vbxd=Vdcos(α) (21)
And 4, step 4: design pitch control subsystem
According to equation (18), the dynamic equation of the pitch control channel is derived and linearized at the reference flight trajectory
Figure FDA0002997374060000032
In the formula (I), the compound is shown in the specification,
Figure FDA0002997374060000033
representing unknown disturbances, ω representing time-dependent disturbances, bθRepresenting parameters associated with the model; delta theta and DeltaeIs defined as
Δθ=θ-θd (23)
Δδe=δeer (24)
For the system described by equation (27), the extended observer is designed as
Figure FDA0002997374060000041
Where ε represents the observer estimation error, z1,z2,z3Respectively system state and disturbance
Figure FDA0002997374060000042
Estimated value of yθ=Δθ;β010203,a1,a21Are all observer adjustable parameters; fal (. circle.) is a non-linear function defined as
Figure FDA0002997374060000043
In the formula, a and delta represent input parameters of the function;
the design error feedback controller is
Δδe0=β1fal(-z1,a32)+β2fal(-z2,a42) (27)
Figure FDA0002997374060000044
In the formula, beta12,a3,a42Are all controller adjustable parameters;
and 5: design speed control subsystem
The dynamic model of the velocity control channel derived from equation (19) and linearized at the reference flight trajectory is
Figure FDA0002997374060000045
In the formula (I), the compound is shown in the specification,
Figure FDA0002997374060000046
in order to be an unknown perturbation of the model,
Figure FDA0002997374060000047
is a constant;
because the speed channel control subsystem and the pitching channel control subsystem have very similar design processes, in order to simplify the use of symbols, part of the symbols are reused when the observer and the controller are designed;
design the extended observer as
Figure FDA0002997374060000048
Where ε is the observer estimation error, z1Is Δ vbxEstimate of z2To be disturbed
Figure FDA0002997374060000051
Estimated value of uT=ΔT,yvbx=Δvbx;β1112,a53Expanding observer adjustable parameters;
designing the ADRC to be
ΔT0=β3fal(-z1,a64) (31)
Figure FDA0002997374060000052
In the formula,. DELTA.T0For control input signals when disturbances are not compensated, beta3,a64Is an adjustable controller parameter.
2. The active disturbance rejection control method for fixed wing drone perches according to claim 1, wherein in step 4, observer adjustable parameter β is01=80,β02=700,β03=1000,a1=0.55,a2=0.25,δ1=0.07。
3. The active disturbance rejection control method for fixed wing drone perches according to claim 1, wherein the controller can adjust parameter β in step 41=30.5,β2=10.0,a30.75,a4=1.5,δ2=0.03。
4. The active disturbance rejection control method for stationary wing drone perches according to claim 1, wherein in step 5, the observer adjustable parameter β is extended11=80,β12=200,a5=0.85,δ3=0.03。
5. The active disturbance rejection control method for fixed wing drone perches according to claim 1, wherein the controller parameter β in step 53=10,a6=0.75,δ4=0.02。
CN202110335376.8A2021-03-292021-03-29Active disturbance rejection control method for perching and falling of fixed-wing unmanned aerial vehiclePendingCN113093769A (en)

Priority Applications (1)

Application NumberPriority DateFiling DateTitle
CN202110335376.8ACN113093769A (en)2021-03-292021-03-29Active disturbance rejection control method for perching and falling of fixed-wing unmanned aerial vehicle

Applications Claiming Priority (1)

Application NumberPriority DateFiling DateTitle
CN202110335376.8ACN113093769A (en)2021-03-292021-03-29Active disturbance rejection control method for perching and falling of fixed-wing unmanned aerial vehicle

Publications (1)

Publication NumberPublication Date
CN113093769Atrue CN113093769A (en)2021-07-09

Family

ID=76670519

Family Applications (1)

Application NumberTitlePriority DateFiling Date
CN202110335376.8APendingCN113093769A (en)2021-03-292021-03-29Active disturbance rejection control method for perching and falling of fixed-wing unmanned aerial vehicle

Country Status (1)

CountryLink
CN (1)CN113093769A (en)

Cited By (1)

* Cited by examiner, † Cited by third party
Publication numberPriority datePublication dateAssigneeTitle
CN113703478A (en)*2021-08-262021-11-26北京宇系航通科技有限公司Fixed wing height setting control method, electronic equipment and storage medium

Citations (4)

* Cited by examiner, † Cited by third party
Publication numberPriority datePublication dateAssigneeTitle
CN111103890A (en)*2019-12-172020-05-05西北工业大学 A high-precision and robust approach and landing guidance control method
CN111273681A (en)*2020-04-092020-06-12中北大学Hypersonic aircraft high-safety anti-interference control method considering limited attack angle
WO2021030630A2 (en)*2019-08-142021-02-18Unmanned Aerospace LlcAerial vehicle
CN112416021A (en)*2020-11-172021-02-26中山大学Learning-based path tracking prediction control method for rotor unmanned aerial vehicle

Patent Citations (4)

* Cited by examiner, † Cited by third party
Publication numberPriority datePublication dateAssigneeTitle
WO2021030630A2 (en)*2019-08-142021-02-18Unmanned Aerospace LlcAerial vehicle
CN111103890A (en)*2019-12-172020-05-05西北工业大学 A high-precision and robust approach and landing guidance control method
CN111273681A (en)*2020-04-092020-06-12中北大学Hypersonic aircraft high-safety anti-interference control method considering limited attack angle
CN112416021A (en)*2020-11-172021-02-26中山大学Learning-based path tracking prediction control method for rotor unmanned aerial vehicle

Non-Patent Citations (7)

* Cited by examiner, † Cited by third party
Title
LIANG, SHAORAN,ET AL.: "Active Disturbance Rejection Attitude Control for a Bird-Like Flapping Wing Micro Air Vehicle During Automatic Landing", 《IEEE ACCESS》*
XU BIN,ET AL.: "Kalman-filter-based robust control for hypersonic flight vehicle with measurement noises", 《AEROSPACE SCIENCE AND TECHNOLOGY》*
Z.HE,ET AL.: "Disturbance Compensation Based Piecewise Linear Control Design for Perching Maneuvers", 《IEEE TRANSACTIONS ON AEROSPACE AND ELECTRONIC SYSTEMS》*
栗金平等: "基于自抗扰技术的高超声速飞行器控制系统设计", 《计算机测量与控制》*
罗鼎馨等: "四旋翼载重无人机双闭环轨迹跟踪控制", 《微特电机》*
董朝阳等: "高超声速飞行器指令滤波反演控制", 《宇航学报》*
陈金科等: "基于ADRC的无人机纵向通道控制", 《空军工程大学学报(自然科学版)》*

Cited By (1)

* Cited by examiner, † Cited by third party
Publication numberPriority datePublication dateAssigneeTitle
CN113703478A (en)*2021-08-262021-11-26北京宇系航通科技有限公司Fixed wing height setting control method, electronic equipment and storage medium

Similar Documents

PublicationPublication DateTitle
CN112327922B (en)Autonomous take-off and landing integrated control method for flying wing unmanned aerial vehicle
CN107807663B (en) Formation keeping control method for unmanned aerial vehicles based on adaptive control
CN102163059B (en)Attitude control system and attitude control method of variable thrust unmanned aerial vehicle
Liu et al.Modeling, autopilot design, and field tuning of a UAV with minimum control surfaces
CN108873929B (en) A method and system for autonomous landing of a fixed-wing aircraft
CN115933733B (en) A longitudinal height-velocity decoupling nonlinear control method for fixed-wing UAV
No et al.Control and simulation of arbitrary flight trajectory-tracking
CN109828602A (en)A kind of track circuit nonlinear model transform method based on observation compensation technique
Paranjape et al.Experimental demonstration of perching by an articulated wing MAV
CN103640696A (en)Vertical touchdown type unmanned aerial vehicle and control method thereof
Hervas et al.Sliding mode control of fixed-wing uavs in windy environments
Steinleitner et al.Automatic take-off and landing of tailwheel aircraft with incremental nonlinear dynamic inversion
CN115016514A (en)Full-autonomous flight control method for takeoff, cruise and landing of bionic flapping wing aircraft
CN113093809A (en)Active disturbance rejection controller of composite wing unmanned aerial vehicle and establishing method thereof
CN113093769A (en)Active disturbance rejection control method for perching and falling of fixed-wing unmanned aerial vehicle
Hartmann et al.Control of departure and approach maneuvers of tiltwing VTOL aircraft
Pravitra et al.Adaptive control for attitude match station-keeping and landing of a fixed-wing UAV onto a maneuvering platform
CN109634110B (en) A Robust Control Method for Tailstock UAV Transition Section Based on Nonlinear Interference Observer
Liu et al.Coordinated landing control of unmanned aerial vehicle
CN114740902B (en)Rocket-assisted launching and taking-off control method for unmanned aerial vehicle with flying wing layout
Jiang et al.Dynamic inversion PID based control law design for a flying wing aircraft
CN117170409A (en)Fixed wing unmanned aerial vehicle air recovery accurate docking control method based on direct force control
CN116050101A (en)Method for improving landing precision of aircraft under influence of ground effect
ElanchezhianSoftware in-loop simulation of a quad tilt rotor unmanned aerial vehicle for transition control
Vinha et al.Automatic circular take-off and landing of tethered motorized aircraft

Legal Events

DateCodeTitleDescription
PB01Publication
PB01Publication
SE01Entry into force of request for substantive examination
SE01Entry into force of request for substantive examination
WD01Invention patent application deemed withdrawn after publication

Application publication date:20210709

WD01Invention patent application deemed withdrawn after publication

[8]ページ先頭

©2009-2025 Movatter.jp