Movatterモバイル変換


[0]ホーム

URL:


CN113093116A - MIMO-OFDM radar communication integration-based waveform design method - Google Patents

MIMO-OFDM radar communication integration-based waveform design method
Download PDF

Info

Publication number
CN113093116A
CN113093116ACN202110389242.4ACN202110389242ACN113093116ACN 113093116 ACN113093116 ACN 113093116ACN 202110389242 ACN202110389242 ACN 202110389242ACN 113093116 ACN113093116 ACN 113093116A
Authority
CN
China
Prior art keywords
radar
antenna
communication
signal
ofdm
Prior art date
Legal status (The legal status is an assumption and is not a legal conclusion. Google has not performed a legal analysis and makes no representation as to the accuracy of the status listed.)
Granted
Application number
CN202110389242.4A
Other languages
Chinese (zh)
Other versions
CN113093116B (en
Inventor
吴亮
刘天辰
张在琛
党建
Current Assignee (The listed assignees may be inaccurate. Google has not performed a legal analysis and makes no representation or warranty as to the accuracy of the list.)
Southeast University
Original Assignee
Southeast University
Priority date (The priority date is an assumption and is not a legal conclusion. Google has not performed a legal analysis and makes no representation as to the accuracy of the date listed.)
Filing date
Publication date
Application filed by Southeast UniversityfiledCriticalSoutheast University
Priority to CN202110389242.4ApriorityCriticalpatent/CN113093116B/en
Publication of CN113093116ApublicationCriticalpatent/CN113093116A/en
Application grantedgrantedCritical
Publication of CN113093116BpublicationCriticalpatent/CN113093116B/en
Activelegal-statusCriticalCurrent
Anticipated expirationlegal-statusCritical

Links

Images

Classifications

Landscapes

Abstract

Translated fromChinese

本发明公开了一种基于MIMO‑OFDM的雷达通讯一体化波形设计方法,结合雷达的辐射特性,针对现有的雷达波形设计的辐射特性无法兼顾对通讯能量进行限制的问题,本方法使用凸优化方法获取最佳的雷达发射信号的自协方差矩阵,使其尽可能接近理想化的辐射特性谱。同时,本发明改进了现有的OFDM波形,在不同天线相应的子载波位置承载相同的的频域信号,并赋予它们不同的权重,使得不同天线发射的探测信号的统计相关性满足上述协方差矩阵。本发明可适用于多目标探测和多通讯目标服务,可根据不同场景灵活调整参数,具有良好的泛用性。

Figure 202110389242

The invention discloses a radar communication integrated waveform design method based on MIMO-OFDM. Combined with the radiation characteristics of the radar, the radiation characteristics of the existing radar waveform design cannot take into account the problem of limiting the communication energy. The method uses convex optimization. The method obtains the best auto-covariance matrix of the radar transmit signal, making it as close as possible to the idealized radiation characteristic spectrum. At the same time, the present invention improves the existing OFDM waveform, carries the same frequency domain signals at the corresponding subcarrier positions of different antennas, and assigns them different weights, so that the statistical correlation of the probe signals transmitted by different antennas satisfies the above-mentioned covariance matrix. The invention can be applied to multi-target detection and multi-communication target service, can flexibly adjust parameters according to different scenarios, and has good universality.

Figure 202110389242

Description

MIMO-OFDM radar communication integration-based waveform design method
Technical Field
The invention belongs to the technical field of wireless communication, and particularly relates to a waveform design method based on MIMO-OFDM radar communication integration.
Background
The integration of radar communication is a technology combining radar and communication as the name implies, and aims to integrate the radar and a communication system on a platform in a certain scientific mode. Radar and communication have been developed and studied as two independent systems throughout the development history of radio. One for the detection of long-distance targets and the other for the transmission of information data. However, due to the faster and faster data rate of wireless communication, the frequency band of communication is forced to be continuously improved, and together with the pursuit of miniaturization, integration and multi-functional products in the current society and even military fields, the demand of integration of radar and communication is greatly promoted.
At present, the research direction of radar communication integration is mainly divided into 3 modes. The first is a time-sharing scheme, i.e. the radar and the communication are separated in time, i.e. they have respective working times belonging to their own system. This approach is the simplest to implement, but has the great disadvantage that the radar and communication systems do not work continuously. The radar may lose the tracked target and the communication may be interrupted, which is intolerable in severe application scenarios. The second is a beam division system, that is, radar signals and communication signals are directed to different directions in space, so that the radar and communication can be isolated in space domain. However, this approach has the disadvantage that the two cannot be completely isolated in space, which may cause interference with each other; also, the system energy used for radar detection is reduced and detection performance is lost. The third is a simultaneous system, which means that radar and communication use the same signal waveform or orthogonal signal waveform to synthesize a signal waveform, and radar detection can be performed while communication is performed. The advantage of the simultaneous system is that all system energy can be used for radar and communication, and the disadvantage is that communication is limited by the direction of radar beams, which affects flexibility.
Disclosure of Invention
The purpose of the invention is as follows: aiming at the problems that communication is limited by the direction of radar wave beams and flexibility is influenced in the simultaneous system radar communication integration technology mentioned in the background technology, the invention provides a radar communication integration waveform design method, which is based on a 5G MIMO-OFDM scene, so that the radiation power spectrum of a radar can meet the power limitation requirement of communication, can be suitable for multi-target detection and serve multi-communication targets, can flexibly adjust parameters according to different scenes and has good universality.
The technical scheme is as follows: in order to achieve the purpose, the invention adopts the technical scheme that:
a radar communication integrated waveform design method based on MIMO-OFDM comprises the following steps:
step 1, determining the scale of an antenna and a digital modulation method, calculating a guide vector of a radar according to the scale and the digital modulation method, and calculating a uniform radar radiation characteristic spectrum when all antennas transmit uncorrelated signals according to the guide vector;
step 2: determining angular distance position information of a communication target, limiting the total power transmitted by a radar to be a fixed value, limiting the Frobenius norm of the difference between the radiation characteristic spectrum of a transmission signal in the detection direction (except the communication direction) and the radiation characteristic spectrum of the uniform radar in thestep 1 to be less than a certain threshold value, and minimizing the radiation power of an antenna in the communication direction by a convex optimization method to obtain a corresponding transmission signal autocovariance matrix;
and step 3: calculating the number of OFDM subcarriers used by a transmitting terminal for bearing information, determining the number of discrete Fourier transform points, sequentially filling signals to be transmitted into subcarriers of different antennas according to the transmitted signal auto-covariance matrix obtained in the step 2, and giving corresponding weights to the signals, so as to ensure that the signals borne by only one subcarrier among the different antennas are the same, and setting the weight of the signal borne by the subcarrier, which is not correlated with other antennas, of each antenna to be 0 and marking the weight;
and 4, step 4: calculating the radiation power spectrum of the antenna by using the autocovariance matrix obtained in the step 2, finding the radiation power value of the radiation power spectrum at the position of 3dB of the inflection point of the communication direction, calculating the difference value between the radiation power value and the communication power limit, and uniformly distributing the energy difference value to the subcarrier position marked in the step 3;
and 5: performing discrete inverse Fourier transform on the arranged and weighted symbols to obtain OFDM symbols, and adding a CP window to the OFDM symbols of each period;
step 6: calculating appropriate pulse width and pulse period of a transmitted signal according to the detection range of the radar, and sequentially arranging a plurality of OFDM symbols of adjacent periods together to form a pulse for the same antenna, wherein the duration time is equal to the pulse width; after waiting for a pulse period, sending a next pulse signal consisting of OFDM symbols, and repeating the operation until all the OFDM signals are sent;
and 7: assuming that the communication channel is known, synchronizing the received signals at the communication receiving end; after the synchronization is finished, removing the CP end, and connecting signals in adjacent pulses; equalizing the signal in a frequency domain, and dividing the equalized signal by the guide vector calculated in thestep 1;
and 8: at a communication receiving end, performing discrete Fourier transform on the signal in the step 7, and performing maximum likelihood estimation on the restored modulation signal according to the filling sequence of the modulation signal in the step 3 and the weight of different antenna carrier positions in the step 4;
and step 9: at a radar receiving end, synchronizing the received signals, and calculating the time from the emission to the reception of the detection signals so as to calculate the distance between a detection target and the radar; and obtaining a complex amplitude spectrum by using Amplitude Phase Estimation (APES) on the synchronized signals, wherein the maximum position of the spectrum is an angle formed by the detection target and the antenna array.
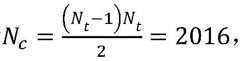
Further, in step 2, the convex optimization method is completed by a Matlab convex optimization tool box CVX, where the convex optimization variable is an autocovariance matrix R of the transmission signal x (n), and the optimization target specifically is:
Figure BDA0003015828620000021
wherein min (. cndot.) is the minimum value, P (. theta.)c)=aHc)Ra(θc) P is the radiation characteristic spectrum of the radar, thetacAngle at which communication is targeted, a (theta)c) Is a mineThe superscript H of the reached guide vector is conjugate transpose transformation;
the limiting conditions are specifically as follows:
the conditions are as follows: r is a semi-positive definite Hermite matrix (R is the definition of covariance matrix R, and the semi-positive definite Hermite matrix is the property of R, and the two are not contradictory);
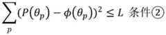
Figure BDA0003015828620000031
where p is the number of the detection target, θpAn angle of a probe signal transmitted for the radar; l is the threshold value in the step 2 and can be set artificially; phi (theta)p) The uniform radar radiation characteristic spectrum in thestep 1 is obtained;
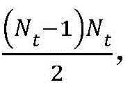
∑diag(R)=Ptcondition (c)
Wherein: diag (-) denotes the diagonal element of the extraction matrix, PtA total power limit for the transmitted signal;
Figure BDA0003015828620000032
wherein: ruvThe element of the u th row and the v th column in the R is represented, and the condition (R) is derived from a basic inequality.
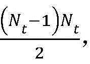
In step 3, the total number of subcarriers carrying information by OFDM is
Figure BDA0003015828620000033
Wherein: n is a radical oftThe number of antennas at the transmitting end; the specific method for filling the digital modulation symbol is as follows: for the s sub-carrier carrying information of the ith antenna, if
Figure BDA0003015828620000034
This location is called the parent node, which carries the QPSK symbol and the second node
Figure BDA0003015828620000035
QPSK symbols carried by the s-th information-bearing subcarrier of each antenna are the same, and the position is called as a subcarrierA node; if a certain position is a father node, sequentially taking out a modulation symbol and filling the modulation symbol in the position; if a certain position is a child node, tracing back the modulation symbol filling of the parent node, and if the non-parent node and the non-child node at the certain position are not the child node, sequentially taking out one modulation symbol to fill in the position.
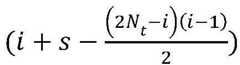
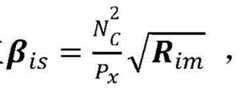
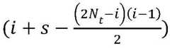
Further, in step 3, a specific method for assigning weights is as follows: in the first step, if the s-th information-bearing subcarrier of the ith antenna is a parent node, the weight is given
Figure BDA0003015828620000036
βms=conj(βis) Wherein:
Figure BDA0003015828620000037
Figure BDA0003015828620000038
i.e. the antenna position, N, at which the child node is locatedcTotal number of information-carrying sub-carriers, P, for each antennaxFor the mean symbol power of the modulated signal, conj (-) means the conjugation, βisFor the weight at the s-th information-carrying subcarrier of the ith antenna, βmsIs the weight at the s-th information-bearing subcarrier of the m-th antenna, RimIs the value of R at row i, column m; if a position is not a father node or a child node, marking the position and temporarily setting the weight to be zero; second, calculating the total power P of the emission symbols corresponding to the current weight matrix betanWhether or not to equal the total power limit PtIf not, multiplying all values of the beta matrix by the scale factor mu,
Figure BDA0003015828620000041
further, in step 4, a specific method for uniformly distributing the weights is as follows: all the weights at all the marked positions obtained in the step 3 are changed into
Figure BDA0003015828620000042
Wherein: pΔIs the difference in step 4.
Compared with the prior art, the invention has the following beneficial effects:
the invention improves the prior OFDM waveform, bears the same frequency domain signals at the corresponding subcarrier positions of different antennas and gives different weights to the signals, so that the statistical correlation of the detection signals transmitted by different antennas meets a specific covariance matrix. The method has the advantages that the reliable radar detection performance is obtained, meanwhile, the problem of limitation on communication energy is solved, and the radiation characteristic spectrum of the radar is close to the ideal radiation characteristic spectrum as far as possible. The invention is suitable for multi-target detection and multi-communication target service, can flexibly adjust parameters according to different scenes, and has good universality.
Drawings
Fig. 1 is a schematic diagram of modulation symbol position allocation in an OFDM modulation process in an embodiment;
FIG. 2 is a diagram illustrating simulation results of the power spectrum of the radar radiation in step 4 according to the embodiment;
FIG. 3 is a diagram illustrating simulation effects of detecting a complex amplitude spectrum of an object in step 9 according to an embodiment;
FIG. 4 is a schematic flow chart of the present invention;
Detailed Description
The present invention is further illustrated by the following figures and specific examples, which are to be understood as illustrative only and not as limiting the scope of the invention, which is to be given the full breadth of the appended claims and any and all equivalent modifications thereof which may occur to those skilled in the art upon reading the present specification.
A waveform design method based on MIMO-OFDM radar communication integration aims at the problem that the radiation characteristics of the existing radar waveform design can not be considered to limit communication energy, a convex optimization method is used for obtaining an optimal auto-covariance matrix of radar emission signals, the optimal auto-covariance matrix is made to be close to an ideal radiation characteristic spectrum as far as possible, the same frequency domain signals are borne at the corresponding subcarrier positions of different antennas, different weights are given to the frequency domain signals, and the statistical correlation of detection signals emitted by different antennas meets the covariance matrix. As shown in fig. 4, the method comprises the following steps:
step 1:
number of transmitting-end antennas N in this embodimenttThe array of the radar antenna is a uniform linear array 64, the distance between adjacent antennas is 2.5 wavelengths, the carrier frequency of the radar is 10MHz, the direction of a detected target is 30 degrees, and the distance is 20 km. There are three communication targets, respectively in 40 deg., 50 deg. and 60 deg. directions, the distance is 1km, the number of receiving antennas is Nr64. In which the transmitting power of the radar is limited toPr1, the maximum power limit allowed for reception by the communications receiver is PlIf the channel gain is 1 at 0.3, the maximum power limit for the communication direction allowed by the transmitter to transmit is Pl
Calculating a steering vector a (theta) of the radar by formula (1)
Figure BDA0003015828620000051
In the formula [ ·]TFor transposition, f0The carrier frequency of the radar signal is represented by e, a natural base number, j, a complex symbol and pi, namely a circumferential rate. Tau is1(theta) is the time from the emission of the signal from the 1 st antenna to the arrival at the detection target, tau2(theta) is the time from the transmission of the signal from the 1 st antenna to the arrival at the detection target, and so on,
Figure BDA0003015828620000052
for signals from NthtThe root antenna transmits the time to reach the detection target.
The radiation characteristic spectrum P (theta) of the radar is a function of the power of a radar detection signal and theta, and the formula is as follows:
P(θ)=aH(θ)Ra(θ) (2)
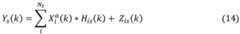
in the formula, the superscript H is the conjugate transpose transform, R is the autocovariance matrix of the transmitted signal x (n): r ═ E { x (n) x*(n), E (-) is the function expectation. x (n) ═ x1(n),x2(n),x3(n)…xNt(n)]T,x1(n) represents the signal emitted by the 1 st antenna at time n, x2(n) represents the 2 nd radicalThe signal sent by the antenna at the time n, and so on. x (n) is the OFDM symbol transmitted by the antenna. Wherein: the ith antenna sends out a signal x at time niThe calculation formula of (n) is:
Figure BDA0003015828620000053
wherein N is the length of the discrete inverse Fourier transform, the length including the virtual sub-carrier, Xi(k) For the k-th QPSK symbol at the ith antenna for OFDM modulation, betaikIs the weight at the kth subcarrier of the ith antenna.
The autocovariance matrix R of x (n) is specified as follows:
Figure BDA0003015828620000054
x (n) autocovariance matrix R, u row, v matrix element RuvThe calculation method of (2) is as follows:
Figure BDA0003015828620000055
Figure BDA0003015828620000061
wherein x isu(n) the u-th antenna sends out signal at n time, xv(n) for the v-th antenna sending out signal at time n, Xu(k) For the kth QPSK symbol at the u antenna for OFDM modulation, Xs(l) For the l-th QPSK symbol at the s-th antenna for OFDM modulation, betaukFor the weight at the k information-bearing subcarrier of the u antenna, βvlFor the weight at the l information-carrying subcarrier of the v antenna, βslFor the weight at the l information-carrying subcarrier of the s-th antenna, a conjugate is represented.
If the QPSK symbols are arranged in a non-repeated sequenceAt different subcarriers of the same antenna, where no virtual subcarrier is contained, the signals transmitted by different antennas are uncorrelated, i.e. R is a diagonal matrix. Let P at this timet=Pr-PlWhen the weight average of ownership is the same, then
The radiation characteristic spectrum of the radar can be obtained from equation (2), where phi (theta) is Pt=Pr-Pl
Step 2:
using a convex optimization method, changing an autocovariance matrix R, wherein the optimization target is to minimize the sum of radiation power of the radar in each communication direction, namely:
Figure BDA0003015828620000062
wherein min (. cndot.) is the minimum value, P (. theta.)c)=aHc)Ra(θc) P is the radiation characteristic spectrum of the radar, thetacAngle at which communication is targeted, a (theta)c) The upper mark H is conjugate transpose transformation for the guiding vector of the radar;
the limiting conditions are specifically as follows:
the conditions are as follows: r is a semi-positive definite Hermite matrix (R is the definition of covariance matrix R, and the semi-positive definite Hermite matrix is the property of R, and the two are not contradictory);
Figure BDA0003015828620000063
where p is the number of the detection target, θpAn angle of a probe signal transmitted for the radar; l is a threshold (the threshold in step 2) of similarity between the ideal radiation characteristic and the real radiation characteristic in the non-communication direction, and may be set manually; phi (theta)p) Is the uniform radar radiation characteristic spectrum instep 1.
∑diag(R)=PtCondition (c)
Wherein: diag (-) denotes the diagonal element of the extraction matrix, PtIs the total power limit of the transmitted signal.
If the QPSK symbols corresponding to a same subcarrier of each two different antennas are guaranteed to be the same, and there is only one such same symbol in each two different antennas, the correlation between each two antennas is determined only by the same symbol, then equation (4) can be simplified as follows:
Figure BDA0003015828620000071
u, v diagonal elements Ruu、RvvThe calculation formula of (2) is as follows:
Figure BDA0003015828620000072
Figure BDA0003015828620000073
in the formula: n is a radical ofcIs the number of sub-carriers actually carrying the information. Beta is aukFor the weight at the k information-bearing subcarrier of the u antenna, βvkFor the weight at the kth information-bearing subcarrier of the vth antenna, denotes the conjugate.
As is apparent from the formula (6),
Figure BDA0003015828620000074
as can be seen from the basic inequality,
Figure BDA0003015828620000075
then
Figure BDA0003015828620000076
Wherein: o, g are the serial numbers of the two antennas that produce correlation at the k-th subcarrier position, (o)<g) And the value of o, g can be determined by k; beta is aokFor the weight at the kth information-bearing subcarrier of the mth antenna,βgkthe weight at the kth information-bearing subcarrier for the g-th antenna.
Since R is a semi-positive definite Hermite matrix (R is the definition of covariance matrix R, and the semi-positive definite Hermite matrix is the property of R, the two are not contradictory):
Figure BDA0003015828620000077
therefore, it is
Figure BDA0003015828620000081
And step 3:
after obtaining the optimal autocovariance matrix R, considering that a filling position and a corresponding weight are allocated to each QPSK symbol, the number N of antennas at the transmitting end in this embodimenttThe specific method is as follows:
(1) determining the number of subcarriers actually carrying information
Figure BDA0003015828620000082
Taking the number N of discrete Fourier transform (i.e. the total number of OFDM sub-carriers, including virtual sub-carriers) as the nearest NcPower of 2 2048.
(2) Determining the positions of the father node and the child nodes, and for the s-th information-bearing subcarrier of the ith antenna, if
Figure BDA0003015828620000083
This position is the parent node carrying the QPSK symbol and the second node
Figure BDA0003015828620000084
The QPSK symbols carried by the s-th information-bearing subcarrier of each antenna are the same, and the position is a sub-node. Fig. 1 is a schematic diagram of the positions of a parent node and a child node, and arrows mean that the parent node points to the child node.
(3) Traversing all information-bearing subcarrier positions of all antennas, and if a certain position is a father node, sequentially taking out a QPSK symbol to be sent and filling the QPSK symbol into the position; if a certain position is a child node, tracing back the QPSK symbol filling of the parent node, and if a non-parent node and a non-child node at the certain position are not the child node, sequentially taking out a QPSK symbol to be sent and filling the QPSK symbol into the position.
(4) The weight is preliminarily calculated, and if the s sub-carrier of the ith antenna for bearing the information is a father node, the weight is calculated
Figure BDA0003015828620000085
Weight beta of the position of the corresponding child nodems=conj(βis) Wherein
Figure BDA0003015828620000086
Figure BDA0003015828620000087
If a location is not a parent or child node, the location is marked and the weight is temporarily set to zero.
(5) Calculating the total power P of the emission symbols corresponding to the current weight matrix betanWhether or not to equal PtIf not, multiplying all values of the beta matrix by the scale factor mu,
Figure BDA0003015828620000088
and 4, step 4:
and after the weight distribution is finished, calculating an autocovariance matrix R 'under the actual condition according to the formulas (6) to (7), and substituting the autocovariance matrix R' into the formula (2) to obtain the radiation power spectrum of the current radar. The simulation results are shown in fig. 2.
Respectively finding three radiation power values of the radiation power spectrum at the minimum inflection point 3dB of the three communication directions, and taking the maximum value of the three radiation power values as PmThen P isΔ=Pl-Pm
The total number of nodes marked in step 3 should be Nt(Nc-Nt+1), since the mark position is not the father node or the son node, changing the weight of the mark position will not change the relativity between different antennas, only the total transmitting power will be changed, i.e. the self-coordination is changedThe size of the diagonal elements of the variance matrix R. Let the total power added equal P according to equation (8)ΔThe modulo-squared sum of the weights of all the mark positions is equal to
Figure BDA0003015828620000091
Is equally distributed to each mark position betamarkObtaining:
Figure BDA0003015828620000092
the total transmission power is Pt+PΔThe power value is necessarily less than the transmitting power limit of the radar, and is limited to PrAnd the limitation requirement is met.
And 5, 6:
and performing discrete inverse Fourier transform on the arranged and weighted symbols to obtain OFDM symbols, wherein the sampling point number of each symbol is 2048. In the embodiment, the distance of the radar detection target is 20km, and the time length of the radar signal propagation back and forth is that the back and forth distance/the light speed is equal to 133.3 mu s. And the OFDM subcarrier interval is taken as 60khz, the OFDM symbol length is 1/60000s, and the sampling period is 1/60000/2048 s. The 7 OFDM symbols constitute one slot, each of which is 125 μ s in length. Within each slot, the first CP (cyclic prefix) length is 160 sample periods, and the remaining 6 CPs have a length of 144 sample periods. Each radar pulse transmits an OFDM symbol of one slot length with a pulse period of 4 slot lengths, i.e. 500 mus.
And 7:
and at the communication receiving end, synchronizing the received signals. Consider two sliding windows W1 and W2, the length (number of samples) of which is the same as the length of the first CP in each slot, 160 points, denoted NG(ii) a The spacing distance is 2048 sampling points, the sliding window sliding distance is denoted as δ, and when the cyclic prefix CP of the first OFDM symbol in the slot coincides with W1, the similarity between W1 and W2 is maximum. The correlation of two sliding windows of W1 and W2 is used for synchronization, and the formula for calculating the delta is as follows:
Figure BDA0003015828620000093
in the formula: y [ n + i ]]For signals received at time (N + i), y [ N + N + i]Is the signal received at time (N + i). arg maxδ(. cndot.) means the value of the variable δ at which the latter equation reaches a maximum.
And after the synchronization is finished, cutting off the CP end, and connecting the adjacent pulse signals end to end. Frequency domain equalization is then performed.
For the signal y in a certain OFDM period received by the s-th antennas(n) there are:
Figure BDA0003015828620000094
Figure BDA0003015828620000095
in the formula:
Figure BDA0003015828620000096
for the convolution symbols, his(n) is a time domain representation of the channel, zis(n) is the channel noise and (n),
Figure BDA0003015828620000097
for transmitting signal x of ith antennai(n) multiplied by the value of the steering vector.
Figure BDA0003015828620000098
Is defined as equation 12, which has no meaning in itself,
Figure BDA0003015828620000099
is xi(n) deriving ys(n) an intermediate amount in the process.
The two sides of the equation are simultaneously used for the discrete Fourier transform of N2048
Figure BDA0003015828620000101
Wherein: y iss(k)、
Figure BDA0003015828620000102
His(k)、Zis(k) Are each the above-mentioned ys(n)、
Figure BDA0003015828620000103
his(n)、zis(n) fourier transform form.
Neglecting noise, writing into a matrix form, and obtaining:
Figure BDA0003015828620000104
noting that the channel matrix at the k point is H, the frequency domain at the k point is equalized by Xa(k) The formula of (1) is:
Xa(k)=H-1(k)Y(k) (16)
wherein: h-1(k) The inverse of H (k), Y (k), is the vector representation to the left of the equation of equation (15).
Obtain all X in the symbol perioda(k) Then carrying out discrete Fourier transform to obtain xa(n) according to formula (12), mixing xaThe division by the steering vector yields x', which is an estimate of the transmitted signal. The discrete fourier transform X 'of X' is an estimate of the QPSK symbol array with weights.
And 8:
for the s-th information-bearing subcarrier of the ith transmitting antenna, the QPSK symbol with weight obtained after frequency domain equalization is X'i,sIf the position is not a parent node or a child node, the QPSK symbol estimation of the position
Figure BDA0003015828620000105
Comprises the following steps:
Figure BDA0003015828620000106
in the formula: sgn (. cndot.) denotes a sign function, real (. cndot.) denotes taking a real part of the parenthesis content, and image (. cndot.) denotes taking an imaginary part of the parenthesis content. Beta is ai,sThe weight at the s-th information-bearing subcarrier position for the ith transmit antenna.
If the position is a parent node or a child node, the QPSK symbol of the position is estimated as:
Figure BDA0003015828620000107
in the formula: x'w,qQPSK symbol with weight after equalization of parent node (or child node) position corresponding to s-th information-bearing subcarrier of ith transmitting antennaw,qJ is the complex symbol, which is the weight of the corresponding location.
And step 9:
and in the same step 7, synchronizing the signals received by the radar to obtain the round-trip time tau of the detection signals in the space, and multiplying the round-trip time tau by the light speed to divide by 2 to obtain the distance between the detection target and the radar.
And giving a matrix form Y of the radar receiving end signal:
Y=ψ(θ)bc(θ)a*(θ)X+Z (19)
in the formula, θ is the angle at which the radar detects the target, ψ (θ) is complex amplitude, and is proportional to the radar scattering cross section (RCSs) of the target, which is set to 1.5 in this embodiment; x is NtX N transmitting signal matrix, the radar receiving array and the transmitting array using the same antenna, so that Y is NtX N matrix of received signals, Z being NtAn interference noise signal matrix of x n; a is*(θ) referring to formula (1); b (θ) is a guide vector of the reflected signal, and in the embodiment, b (θ) is a (θ) (·)cIs complex conjugation.
The angle of the probe object is estimated using Amplitude Phase Estimation (APES), which can be expressed as
minw,ψ||w*Y-ψ(θ)a*(θ)X||2 s.t.w*bc(θ)=1 (20)
In the formula: w is NtThe purpose of thex 1 weight vector, equation (20), is to find a beamformer that has an output that matches a as closely as possible*The waveform signals obtained by (θ) X are similar. Taking psi (theta) as a variable, the cost function of equation (20) can be minimized to obtain an estimate thereof
Figure BDA0003015828620000111
In the formula:
Figure BDA0003015828620000112
for the observation data sample covariance matrix:
Figure BDA0003015828620000113
the optimization problem in equation (20) can be simplified as follows:
Figure BDA0003015828620000114
wherein
Figure BDA0003015828620000115
The optimization problem in equation (23) is given by the APES beamformer giving a weight vector estimate of
Figure BDA0003015828620000116
APES with formula (25) taken into formula (21) with easy ψ (θ) was estimated as
Figure BDA0003015828620000117
And after the complex amplitude spectrum of the detection signal is obtained, the abscissa corresponding to the peak value is the angle of the detection target.
Assuming that the interference noise is gaussian noise of 15dB, the complex amplitude spectrum in this embodiment is shown in fig. 3.
The above description is only of the preferred embodiments of the present invention, and it should be noted that: it will be apparent to those skilled in the art that various modifications and adaptations can be made without departing from the principles of the invention and these are intended to be within the scope of the invention.

Claims (5)

Translated fromChinese
1.一种基于MIMO-OFDM的雷达通讯一体化波形设计方法,其特征在于,包括如下步骤:1. a radar communication integrated waveform design method based on MIMO-OFDM, is characterized in that, comprises the steps:步骤1,确定天线规模和数字调制方法,并计算雷达的导向矢量,计算当所有天线发送互不相关信号时的均匀雷达辐射特性谱;Step 1, determine the antenna scale and digital modulation method, calculate the steering vector of the radar, and calculate the uniform radar radiation characteristic spectrum when all antennas transmit mutually uncorrelated signals;步骤2:确定通讯目标的角度距离位置信息,限定雷达发射的总功率为定值,限定发射信号在探测方向的辐射特性谱与步骤1中的均匀雷达辐射特性谱之差的Frobenius范数小于某个阈值,通过凸优化方法,最小化通讯方向上天线的辐射功率,获得相应的发射信号自协方差矩阵;Step 2: Determine the angular distance position information of the communication target, limit the total power emitted by the radar to a fixed value, and limit the Frobenius norm of the difference between the radiation characteristic spectrum of the transmitted signal in the detection direction and the uniform radar radiation characteristic spectrum in step 1 to be less than a certain value. A threshold is used to minimize the radiated power of the antenna in the communication direction through the convex optimization method, and the corresponding auto-covariance matrix of the transmitted signal is obtained;步骤3:计算发射端所使用的承载信息的OFDM子载波的数量,并以此确定离散傅里叶变换点数,根据步骤2中得到的发射信号自协方差矩阵,将待发送的信号顺次填入不同天线的子载波中并赋予相应的权重,保证不同天线之间有且仅有一个子载波所承载的信号是相同的,每个天线未与其他天线有相关性的子载波承载的信号权重置为0并进行标记;Step 3: Calculate the number of OFDM subcarriers used by the transmitting end to carry information, and determine the number of discrete Fourier transform points. According to the auto-covariance matrix of the transmitted signal obtained in step 2, fill in the signals to be sent in sequence. Enter the sub-carriers of different antennas and assign corresponding weights to ensure that the signals carried by one and only one sub-carrier between different antennas are the same, and the weight of the signals carried by the sub-carriers that each antenna has no correlation with other antennas reset to 0 and mark;步骤4:用步骤2中得到的自协方差矩阵计算天线的辐射功率谱,找到此辐射功率谱在通讯方向拐点的3dB处的辐射功率值,并计算此值和通讯功率限制的差值,并将此能量差值均匀分配到步骤3中标记的子载波位置处;Step 4: Calculate the radiated power spectrum of the antenna with the autocovariance matrix obtained in step 2, find the radiated power value of the radiated power spectrum at 3dB of the inflection point of the communication direction, and calculate the difference between this value and the communication power limit, and Evenly distribute this energy difference to the subcarrier positions marked in step 3;步骤5:对排列好并加上权重的符号进行离散反傅里叶变换,得到OFDM符号,并对每个周期的OFDM符号加上CP窗;Step 5: Perform discrete inverse Fourier transform on the arranged and weighted symbols to obtain OFDM symbols, and add a CP window to the OFDM symbols of each cycle;步骤6:根据雷达的探测范围,计算出合适的发射信号脉冲宽度和脉冲周期,对于同一个天线,将多个相邻周期的OFDM符号顺次排列在一起组合成一个脉冲,持续时间等于脉冲宽度;等待一个脉冲周期后发送下一个由OFDM符号组成的脉冲信号,重复此操作直至所有OFDM信号发送完毕;Step 6: Calculate the appropriate pulse width and pulse period of the transmitted signal according to the detection range of the radar. For the same antenna, arrange the OFDM symbols of multiple adjacent periods in sequence to form a pulse with a duration equal to the pulse width ; After waiting for one pulse period, send the next pulse signal composed of OFDM symbols, and repeat this operation until all OFDM signals are sent;步骤7:设通讯信道已知,在通讯接收端,对接收到的信号进行同步;同步完成后去除CP端,并将相邻脉冲内的信号连接起来;对此信号频域均衡,将均衡后的信号除以步骤1中计算的导向矢量;Step 7: Assuming that the communication channel is known, at the communication receiving end, the received signal is synchronized; after the synchronization is completed, the CP end is removed, and the signals in the adjacent pulses are connected; the frequency domain of this signal is equalized, and the equalized The signal of is divided by the steering vector calculated in step 1;步骤8:在通讯接收端,对步骤7中的信号进行离散傅里叶变换,根据步骤3调制信号的填充顺序和步骤4中不同天线不同载波位置处的权重大小,对还原出来的调制信号进行最大似然估计;Step 8: At the communication receiving end, the discrete Fourier transform is performed on the signal in step 7, and according to the filling order of the modulated signal in step 3 and the weights at different carrier positions of different antennas in step 4, the restored modulated signal is processed. maximum likelihood estimation;步骤9:在雷达接收端,对接收到的信号进行同步,计算出探测信号从发射到接收所经历的时间,从而计算出探测目标与雷达之间的距离;对同步后的信号使用振幅相位估计获得复振幅谱,谱的极大值位置即为探测目标与天线阵形成的角度。Step 9: At the radar receiving end, synchronize the received signal, calculate the time elapsed from the transmission to the reception of the detection signal, and then calculate the distance between the detection target and the radar; use the amplitude phase estimation for the synchronized signal The complex amplitude spectrum is obtained, and the position of the maximum value of the spectrum is the angle formed by the detection target and the antenna array.2.根据权利要求1所述基于MIMO-OFDM的雷达通讯一体化波形设计方法,其特征在于:所述步骤2中,凸优化方法由Matlab凸优化工具箱CVX完成,此处的凸优化变量为发射信号x(n)的自协方差矩阵R,优化目标具体为:2. The integrated waveform design method for radar communication based on MIMO-OFDM according to claim 1, characterized in that: in the step 2, the convex optimization method is completed by the Matlab convex optimization toolbox CVX, and the convex optimization variable here is The auto-covariance matrix R of the transmitted signal x(n), the optimization objective is specifically:
Figure FDA0003015828610000021
Figure FDA0003015828610000021
式中,min(·)为求最小值,
Figure FDA0003015828610000022
P即雷达的辐射特性谱,θc为通讯目标所在的角度,a(θc)为雷达的导向矢量,上标H为共轭转置变换;
In the formula, min( ) is the minimum value,
Figure FDA0003015828610000022
P is the radiation characteristic spectrum of the radar, θc is the angle of the communication target, a(θc ) is the steering vector of the radar, and the superscript H is the conjugate transpose transformation;
限制条件具体为:The restrictions are specifically:条件①:R为半正定埃尔米特矩阵;Condition ①: R is a positive semi-definite Hermitian matrix;
Figure FDA0003015828610000023
Figure FDA0003015828610000023
其中,p为探测目标的序号,θp为雷达发送的探测信号的角度;L为步骤2中所述阈值,可人为设定;φ(θp)为步骤1中的均匀雷达辐射特性谱;Wherein, p is the sequence number of the detection target, θp is the angle of the detection signal sent by the radar; L is the threshold value described in step 2, which can be set manually; φ(θp ) is the uniform radar radiation characteristic spectrum in step 1;∑diag(R)=Pt 条件③∑diag(R)=Pt condition③其中:diag(·)表示提取矩阵的对角线元素,Pt为发射信号的总功率限制;Where: diag( ) represents the diagonal elements of the extraction matrix, and Pt is the total power limit of the transmitted signal;
Figure FDA0003015828610000024
Figure FDA0003015828610000024
其中:Ruv表示R中第u行第v列个元素,条件④由基本不等式推导出。Among them: Ruv represents the element in the uth row and the vth column in R, and the condition ④ is derived from the basic inequality.3.根据权利要求1所述基于MIMO-OFDM的雷达通讯一体化波形设计方法,其特征在于:所述步骤3中,OFDM承载信息的子载波总数为
Figure FDA0003015828610000025
其中:Nt为发射端天线数量;填充数字调制符号的具体方法为:对于第i个天线的第s个承载信息的子载波而言,若
Figure FDA0003015828610000026
则此位置称为父节点,其搭载的QPSK符号与第
Figure FDA0003015828610000027
个天线的第s个承载信息的子载波搭载的QPSK符号相同,此位置称为子节点;若某位置为父节点,则顺次取出一个调制符号填入此位置;若某位置为子节点,则追溯其父节点的调制符号填入,若某位置非父节点也非子节点,则顺次取出一个调制符号填入此位置。
3. The integrated waveform design method for radar communication based on MIMO-OFDM according to claim 1, characterized in that: in the step 3, the total number of sub-carriers of OFDM bearing information is
Figure FDA0003015828610000025
Among them: Nt is the number of antennas at the transmitting end; the specific method of filling digital modulation symbols is: for the s-th information-carrying sub-carrier of the i-th antenna, if
Figure FDA0003015828610000026
Then this position is called the parent node, and the QPSK symbol carried by it is the same as the first node.
Figure FDA0003015828610000027
The QPSK symbols carried by the s-th information-carrying subcarrier of each antenna are the same, and this position is called a child node; if a certain position is a parent node, a modulation symbol is taken out and filled in this position in turn; if a certain position is a child node, Then trace back the modulation symbol of its parent node and fill it in. If a certain position is neither a parent node nor a child node, then take out a modulation symbol and fill in this position in turn.
4.根据权利要求3所述基于MIMO-OFDM的雷达通讯一体化波形设计方法,其特征在于:所述步骤3中,分配权重的具体方法为:第一步,若第i个天线的第s个承载信息的子载波是一个父节点,那么权重
Figure FDA0003015828610000031
βms=conj(βis),其中:
Figure FDA0003015828610000032
即子节点所在的天线位置,Nc为每个天线的承载信息的子载波总数,Px为调制信号的平均符号功率,conj(·)表示求共轭,βis为第i个天线的第s个承载信息的子载波处的权重,βms是第m个天线的第s个承载信息的子载波处的权重,Rim为R在第i行第m列的值;若某位置非父节点也非子节点,标记这个位置并将此权重暂时置为零;第二步,计算当前的权重矩阵β所对应的发射符号总功率Pn是否等于总功率限制Pt,若不等则β矩阵所有值乘以比例因子μ,
Figure FDA0003015828610000033
4. The integrated waveform design method for radar communication based on MIMO-OFDM according to claim 3, characterized in that: in the step 3, the specific method for assigning weights is: the first step, if the s th of the i th antenna A subcarrier carrying information is a parent node, then the weight
Figure FDA0003015828610000031
βms = conj(βis ), where:
Figure FDA0003015828610000032
That is, the antenna position where the child node is located, Nc is the total number of sub-carriers that carry information for each antenna, Px is the average symbol power of the modulated signal, conj( ) represents the conjugation, and βis the ith antenna. The weights at the s information-bearing subcarriers, βms is the weight at the s-th information-bearing subcarrier of the mth antenna, andRim is the value of R at the ith row and mth column; if a position is not the parent The node is also not a child node, mark this position and temporarily set the weight to zero; the second step is to calculate whether the total power Pn of the transmitted symbols corresponding to the current weight matrix β is equal to the total power limit Pt , if not, then β All values of the matrix are multiplied by the scale factor μ,
Figure FDA0003015828610000033
5.根据权利要求4所述基于MIMO-OFDM的雷达通讯一体化波形设计方法,其特征在于:所述步骤4中,均匀分配权重的具体方法为:将步骤3中得到的所有标记位置处的权重全部改为
Figure FDA0003015828610000034
其中:PΔ为步骤4中所述差值。
5. The integrated waveform design method for radar communication based on MIMO-OFDM according to claim 4, characterized in that: in the step 4, the specific method for evenly distributing the weights is: All weights are changed to
Figure FDA0003015828610000034
Where: PΔ is the difference described in step 4.
CN202110389242.4A2021-04-122021-04-12 Waveform Design Method Based on MIMO-OFDM Radar Communication IntegrationActiveCN113093116B (en)

Priority Applications (1)

Application NumberPriority DateFiling DateTitle
CN202110389242.4ACN113093116B (en)2021-04-122021-04-12 Waveform Design Method Based on MIMO-OFDM Radar Communication Integration

Applications Claiming Priority (1)

Application NumberPriority DateFiling DateTitle
CN202110389242.4ACN113093116B (en)2021-04-122021-04-12 Waveform Design Method Based on MIMO-OFDM Radar Communication Integration

Publications (2)

Publication NumberPublication Date
CN113093116Atrue CN113093116A (en)2021-07-09
CN113093116B CN113093116B (en)2022-03-04

Family

ID=76677318

Family Applications (1)

Application NumberTitlePriority DateFiling Date
CN202110389242.4AActiveCN113093116B (en)2021-04-122021-04-12 Waveform Design Method Based on MIMO-OFDM Radar Communication Integration

Country Status (1)

CountryLink
CN (1)CN113093116B (en)

Cited By (3)

* Cited by examiner, † Cited by third party
Publication numberPriority datePublication dateAssigneeTitle
CN115225128A (en)*2022-07-052022-10-21南京邮电大学Safe dual-function waveform design method in MIMO radar communication integrated system
CN120559589A (en)*2025-07-302025-08-29清华大学深圳国际研究生院Combined optimization method and system for MIMO radar waveform design and antenna array arrangement
CN120559589B (en)*2025-07-302025-10-10清华大学深圳国际研究生院 Joint optimization method and system for MIMO radar waveform design and antenna array arrangement

Citations (7)

* Cited by examiner, † Cited by third party
Publication numberPriority datePublication dateAssigneeTitle
CN105306399A (en)*2015-07-242016-02-03西安电子科技大学Optimization method for radar communication integrated signal
CN107302516A (en)*2017-07-252017-10-27西安电子科技大学The PAPR suppressing methods of improvement TR based on MIMO OFDM
CN107490785A (en)*2017-09-192017-12-19电子科技大学A kind of OFDM radar-communication integration waveform design methods based on frequency domain zero setting modulation
CN108627818A (en)*2018-03-192018-10-09桂林电子科技大学Frequency control battle array radar-communication integration waveform design method based on OFDM
CN109787932A (en)*2019-03-132019-05-21哈尔滨工业大学 An OFDM-based radar communication integrated signal design method
CN110007277A (en)*2019-04-102019-07-12南京航空航天大学 Radar communication integrated system and expansion method of the system
CN111385234A (en)*2020-03-232020-07-07河北科技大学OFDM radar communication integrated waveform processing method, device, terminal and storage medium

Patent Citations (7)

* Cited by examiner, † Cited by third party
Publication numberPriority datePublication dateAssigneeTitle
CN105306399A (en)*2015-07-242016-02-03西安电子科技大学Optimization method for radar communication integrated signal
CN107302516A (en)*2017-07-252017-10-27西安电子科技大学The PAPR suppressing methods of improvement TR based on MIMO OFDM
CN107490785A (en)*2017-09-192017-12-19电子科技大学A kind of OFDM radar-communication integration waveform design methods based on frequency domain zero setting modulation
CN108627818A (en)*2018-03-192018-10-09桂林电子科技大学Frequency control battle array radar-communication integration waveform design method based on OFDM
CN109787932A (en)*2019-03-132019-05-21哈尔滨工业大学 An OFDM-based radar communication integrated signal design method
CN110007277A (en)*2019-04-102019-07-12南京航空航天大学 Radar communication integrated system and expansion method of the system
CN111385234A (en)*2020-03-232020-07-07河北科技大学OFDM radar communication integrated waveform processing method, device, terminal and storage medium

Non-Patent Citations (1)

* Cited by examiner, † Cited by third party
Title
何佶明: "基于OFDM的雷达通信一体化信号设计", 《万方数据知识服务平台》*

Cited By (3)

* Cited by examiner, † Cited by third party
Publication numberPriority datePublication dateAssigneeTitle
CN115225128A (en)*2022-07-052022-10-21南京邮电大学Safe dual-function waveform design method in MIMO radar communication integrated system
CN120559589A (en)*2025-07-302025-08-29清华大学深圳国际研究生院Combined optimization method and system for MIMO radar waveform design and antenna array arrangement
CN120559589B (en)*2025-07-302025-10-10清华大学深圳国际研究生院 Joint optimization method and system for MIMO radar waveform design and antenna array arrangement

Also Published As

Publication numberPublication date
CN113093116B (en)2022-03-04

Similar Documents

PublicationPublication DateTitle
Xu et al.A bandwidth efficient dual-function radar communication system based on a MIMO radar using OFDM waveforms
CN114124238B (en)OTFS communication radar integrated waveform design method based on time division system
CN110535537B (en) An integrated method for underwater communication and detection
Xu et al.A joint design of MIMO-OFDM dual-function radar communication system using generalized spatial modulation
CN115021843A (en) A cooperative sensing method for millimeter-wave communication multi-user system
CN108549048A (en)A kind of multifrequency WiFi external illuminators-based radars coherent processing method
Cui et al.Seeing is not always believing: ISAC-assisted predictive beam tracking in multipath channels
US7339979B1 (en)Adaptive beamforming methods and systems that enhance performance and reduce computations
CN111830482A (en) FDA radar target localization method based on agile OFDM
CN116056104B (en)Bit and power distribution method for sensing communication integrated OFDM shared waveform sub-carrier
CN113093116B (en) Waveform Design Method Based on MIMO-OFDM Radar Communication Integration
CN101188448A (en)A smart antenna calibration method, device and system
CN114500192B (en)Channel estimation method and terminal equipment
Wu et al.A sensing integrated DFT-spread OFDM system for terahertz communications
CN113612708A (en) Multi-user Communication Radar Integrated System Based on Time Division Multiple Access
CN113805170B (en) A high-speed target range velocity estimation method based on OFDM radar communication integration
CN116418644B (en)ISAC method, equipment and network based on orthogonal multi-carrier FSCM signal
Al-Salehi et al.Dual-function radar–communications: information transmission during FDA radar listening mode
CN117518099A (en)Phase synchronization device and method for distributed receiving radar based on orthogonal signals
Xu et al.A dual-function radar communication system with OFDM waveforms and subcarrier sharing
CN113395153B (en) Communication Radar Signal Transceiver Method Based on Continuous Phase Modulation and Chirp
Liu et al.Joint radar communication with novel GCC preamble and point-wise minimum fusion
CN114924247B (en)OFDM-based radar communication integrated safe transmission method
He et al.Power allocation for OFDM-based RadCom systems
CN116599552A (en)Radar communication integrated waveform design method based on performance compromise

Legal Events

DateCodeTitleDescription
PB01Publication
PB01Publication
SE01Entry into force of request for substantive examination
SE01Entry into force of request for substantive examination
GR01Patent grant
GR01Patent grant

[8]ページ先頭

©2009-2025 Movatter.jp