Movatterモバイル変換


[0]ホーム

URL:


CN113068995B - Steam box and steam quantity control method thereof - Google Patents

Steam box and steam quantity control method thereof
Download PDF

Info

Publication number
CN113068995B
CN113068995BCN202010008868.1ACN202010008868ACN113068995BCN 113068995 BCN113068995 BCN 113068995BCN 202010008868 ACN202010008868 ACN 202010008868ACN 113068995 BCN113068995 BCN 113068995B
Authority
CN
China
Prior art keywords
steam
water
condensate
box
cold
Prior art date
Legal status (The legal status is an assumption and is not a legal conclusion. Google has not performed a legal analysis and makes no representation as to the accuracy of the status listed.)
Active
Application number
CN202010008868.1A
Other languages
Chinese (zh)
Other versions
CN113068995A (en
Inventor
周亚君
刘佩
王一婷
Current Assignee (The listed assignees may be inaccurate. Google has not performed a legal analysis and makes no representation or warranty as to the accuracy of the list.)
Ningbo Fotile Kitchen Ware Co Ltd
Original Assignee
Ningbo Fotile Kitchen Ware Co Ltd
Priority date (The priority date is an assumption and is not a legal conclusion. Google has not performed a legal analysis and makes no representation as to the accuracy of the date listed.)
Filing date
Publication date
Application filed by Ningbo Fotile Kitchen Ware Co LtdfiledCriticalNingbo Fotile Kitchen Ware Co Ltd
Priority to CN202010008868.1ApriorityCriticalpatent/CN113068995B/en
Publication of CN113068995ApublicationCriticalpatent/CN113068995A/en
Application grantedgrantedCritical
Publication of CN113068995BpublicationCriticalpatent/CN113068995B/en
Activelegal-statusCriticalCurrent
Anticipated expirationlegal-statusCritical

Links

Images

Classifications

Landscapes

Abstract

The invention relates to a steam box and a steam quantity control method thereof, wherein the steam box comprises a box body, a cooking cavity is formed in the box body, a steam generator capable of introducing steam into the cooking cavity and a water supply box communicated with the steam generator are arranged in the box body, and the steam box is characterized in that: culinary art chamber top is equipped with the steam condensate strip, and steam condensate strip lower part corresponds and is equipped with the comdenstion water guiding gutter that can catch the comdenstion water that drips from the steam condensate strip, cooks the intracavity and is equipped with the water catch bowl with the comdenstion water guiding gutter intercommunication. Compared with the prior art, the invention has the advantages that: through setting up steam condensate strip and comdenstion water guiding gutter at culinary art chamber top, when steam is excessive, steam condensate strip can in time cool off excessive steam, and the comdenstion water guiding gutter can be collected the comdenstion water that drips, and the comdenstion water can not drip to food or culinary art chamber bottom, avoids culinary art chamber bottom ponding.

Description

Steam box and steam quantity control method thereof
Technical Field
The invention relates to a steam box and a steam quantity control method thereof.
Background
According to the demonstration of China cooking Association and Nutrition society, steaming is the cooking mode which can keep the original taste and flavor of food and keep the nutrition of the food, but realizes the steaming cooking appliance. The existing steam box has certain disadvantages in use, firstly, the steam generation time is long, time and labor are wasted, and the operation experience of a user is poor when the steam box is used every time; secondly, more condensed water is easily generated in the cooking cavity, and the condensed water easily overflows the cavity to pollute the cabinet; thirdly, the control of the steam generating rate of the steam generator is unstable, which easily causes excessive or insufficient steam in the cavity and influences the cooking effect of food, if the steam is excessive, the food is easily influenced by the steam, so that the food becomes 'wet-and-hot' after being cooked, the taste is influenced, and in addition, the excessive steam can also cause the increase of energy consumption and the waste of energy; if the steam is too little, the steam does not conduct heat sufficiently with the food, resulting in problems of the food being steamed unripe and the required cooking time being prolonged.
Disclosure of Invention
The invention aims to solve the primary technical problem of providing a steam box which can timely condense part of steam when the steam is excessive and can not directly drip the generated condensed water on food in the prior art.
The invention further aims to provide a steam amount control method of the steam box for dynamically adjusting the steam amount.
The technical scheme adopted by the invention for solving the above-mentioned primary technical problems is as follows: the utility model provides a steam box, includes the box, is formed with the culinary art chamber in the box, is equipped with the steam generator that can let in steam to the culinary art intracavity in the box, with the feed water tank of steam generator intercommunication, its characterized in that: culinary art chamber top is equipped with the steam condensate strip, and steam condensate strip lower part corresponds and is equipped with the comdenstion water guiding gutter that can catch the comdenstion water that drips from the steam condensate strip, cooks the intracavity and is equipped with the water catch bowl with the comdenstion water guiding gutter intercommunication.
As an improvement, the condensate water guiding groove is connected with a lifting mechanism, and can rise under the driving of the lifting mechanism, so that the steam condensate strips are embedded into the condensate water guiding groove, and the condensate water guiding groove can also fall under the driving of the lifting mechanism, so that condensate water dropping from the steam condensate strips is collected.
The steam condensation strip is a condensation water pipe, and an inlet of the condensation water pipe is connected with a water pump and then communicated with a cold water tank; the outlet of the condensate pipe is directly communicated with the cold water tank.
And the water collecting tank is arranged at the rear side of the cooking cavity, and an included angle alpha is formed between the condensed water guide groove and the horizontal plane and is 3-5 degrees.
The improvement is that the water collecting tank is arranged at the following positions: when the condensed water diversion trench descends under the driving of the lifting mechanism, the condensed water diversion trench is just aligned and communicated with the condensed water diversion trench.
The steam condensation strip is a plurality of 'bow' -shaped or 'S' -shaped or 'U' -shaped condensation pipes which are distributed at intervals or in a winding and reciprocating way; the structure of the condensed water diversion trench is the same as that of the steam condensate strip, and the width of the condensed water diversion trench is larger than the diameter of the condensed water pipe.
And the water tank is the same as the water supply tank, and the water collecting tank is communicated with the water supply tank through a water suction pump.
The technical scheme adopted by the invention for solving the further technical problems is as follows: a steam quantity control method of the steam box with the structure is characterized by comprising the following steps:
step 1, starting a steam generator;
step 2, when the temperature in the cooking cavity reaches a preset temperature, starting a water pump, and introducing cold water in a cold water tank into a condensate pipe; meanwhile, a lifting mechanism is started to drive the condensate water diversion trench to descend;
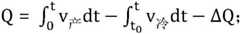
step 3, calculating the steam content Q in the cooking cavity after cold water is introduced into the condensate pipe through the following formula:
Figure BDA0002356385620000021
wherein: vProduct produced by birthIs the rate of steam volume produced by the steam generator over time;
VcoldThe steam quantity rate which is reduced along with the time in the cooking cavity after cold water is introduced into the condensate pipe;
delta Q is the steam condensation amount caused by other reasons in the cooking cavity, and is a preset constant;
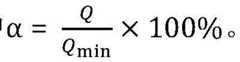
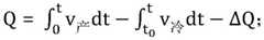
step 4, if Q is Qmin~QmaxIf the steam content is within the range, judging that the steam content in the cooking cavity is normal; if Q is<QminIncreasing steam generator power to increase vProduct produced by birthOr turning off the water pump to lower VColdUntil Q is restored to Qmin~QmaxWithin the range; if Q>QmaxThen the steam generator power is reduced to reduce vProduct produced by birthUntil Q is restored to Qmin~QmaxWithin the range; qminAnd QmaxIs a preset parameter.
In saidstep 4, when Q is<QminIncreasing steamGenerator power to increase vProduct produced by birthTo (2-. alpha.) vProduct produced by birthOr turning off the water pump to lower VColdLet V beCold=αvColdWherein
Figure BDA0002356385620000022
In saidstep 4, when Q is>QmaxReducing the power of the steam generator to vProduct produced by birthReduced to (2-. beta.) vProduct produced by birth
Figure BDA0002356385620000023
Compared with the prior art, the invention has the advantages that: by arranging the steam condensation strip and the condensate water diversion groove on the top of the cooking cavity, when excessive steam exists, the steam condensation strip can timely cool the excessive steam, the condensate water diversion groove can collect the dropped condensate water, the condensate water cannot drop to food or the bottom of the cooking cavity, and water accumulation at the bottom of the cooking cavity is avoided; in the improvement scheme, the steam quantity control method can dynamically adjust the steam content in the cooking cavity, so that the steam content is always maintained in a proper range value, and excessive or insufficient steam is avoided.
Drawings
FIG. 1 is a schematic structural diagram of a steam box according to an embodiment of the present invention.
Fig. 2 is a schematic structural view of a condensate guiding gutter and a water collecting gutter according to an embodiment of the present invention.
FIG. 3 is a flow chart of a vapor amount control method according to an embodiment of the present invention.
Detailed Description
The invention is described in further detail below with reference to the accompanying examples.
The steam box shown in the figure 1 comprises a box body 1, wherein a cooking cavity 11 is formed in the box body, a steam generator (not shown in the figure) capable of introducing steam into the cooking cavity is arranged in the box body 1, a water supply tank (not shown in the figure) communicated with the steam generator is arranged in the box body, a steam condensation strip 2 is arranged at the top of the cooking cavity 11, a condensatewater guide groove 3 capable of receiving condensate water dropping from the steam condensation strip is correspondingly arranged at the lower part of the steam condensation strip, and awater collecting groove 4 communicated with the condensate water guide groove is arranged in the cooking cavity.
In the embodiment, the steam condensation strips 2 are provided with a plurality of U-shaped condensation pipes which are distributed at intervals, and inlets of the condensation pipes are connected with the water pump and then communicated with the cold water tank; the outlet of the condensate pipe is directly communicated with the cold water tank; the structure of comdenstionwater guiding gutter 3 is the same with the steam condensate strip, the width of comdenstion water guiding gutter is greater than the condensate pipe diameter, many comdenstionwater guiding gutters 3 form wholly throughtransverse connection support 5 is fixed together, and be connected with the elevating system that electric putter 6 constitutes all around, these comdenstion water guiding gutters can rise under the drive of electric putter 6, thereby make inside the steam condensate strip embedding comdenstion water guiding gutter, the comdenstion water guiding gutter also can descend under the drive of electric putter 6, thereby collect the comdenstion water from the drippage of steam condensate strip. The water collectingtank 4 is arranged at the rear side of the cooking cavity, an included angle alpha is formed between the condensedwater guide groove 5 and the horizontal plane, and alpha is 3-5 degrees, so that condensed water can automatically flow into the water collectingtank 4 under the action of self weight; the position of thewater collection tank 4 is set as follows: when the condensed water diversion trench descends under the driving of the lifting mechanism, the condensed water diversion trench is just aligned and communicated with the condensed water diversion trench.
In addition, the steam condensation strip can also be a plurality of 'bow' -shaped or 'S' -shaped condensation pipes which are distributed at intervals, and also can be a plurality of 'bow' -shaped or 'S' -shaped condensation pipes which are distributed in a winding and reciprocating way and are communicated with each other at the head.
In this embodiment, the cold water tank is the same water tank with the feed tank, the water catch bowl passes through suction pump and feed tank intercommunication.
The steam quantity control method of the steam box comprises the following steps:
step 1, starting a steam generator;
step 2, when the temperature in the cooking cavity reaches a preset temperature, starting a water pump, and introducing cold water in a cold water tank into a condensate pipe; meanwhile, a lifting mechanism is started to drive the condensate water diversion trench to descend;
step 3, calculating the steam content Q in the cooking cavity after cold water is introduced into the condensate pipe through the following formula:
Figure BDA0002356385620000031
wherein: vProduct produced by birthIs the rate of steam volume produced by the steam generator over time;
VcoldThe steam quantity rate which is reduced along with the time in the cooking cavity after cold water is introduced into the condensate pipe;
delta Q is the steam condensation amount caused by other reasons in the cooking cavity, and is a preset constant;
step 4, if Q is Qmin~QmaxIf the steam content is within the range, judging that the steam content in the cooking cavity is normal; if Q is<QminIncreasing steam generator power to increase vProduct produced by birthOr turning off the water pump to lower VColdUntil Q is restored to Qmin~QmaxWithin the range; if Q>QmaxThen the steam generator power is reduced to reduce vProduct produced by birthUntil Q is restored to Qmin~QmaxWithin the range; qminAnd QmaxIs a preset parameter.
In this embodiment, in thestep 4, when Q is satisfied<QminIncreasing steam generator power to increase vProduct produced by birthTo (2-. alpha.) vProduct produced by birthOr turning off the water pump to lower VColdLet V beCold=αvColdWherein
Figure BDA0002356385620000041
When Q is>QmaxReducing the power of the steam generator to vProduct produced by birthReduced to (2-. beta.) vProduct produced by birth
Figure BDA0002356385620000042
In this example, VProduct produced by birthAnd vColdFitting can be performed in advance in a laboratory through experimental data; in this embodiment, the rate of steam flow generated by the steam generator over time
Figure BDA0002356385620000043
Wherein v ismaxThe steam quantity rate generated by the steam generator in unit time at the maximum power; t isTime parameter, dt is a preset value, exp is an exponential function;
Figure BDA0002356385620000044
wherein v ismaxThe steam quantity rate generated by the steam generator in unit time at the maximum power; t is a time parameter, t0Dt is a preset value and exp is an exponential function at the moment when the water pump is started and cold water in the cold water tank is introduced into the condensate pipe.

Claims (9)

1. The utility model provides a steam box, includes the box, is formed with the culinary art chamber in the box, is equipped with the steam generator that can let in steam to the culinary art intracavity in the box, with the feed water tank of steam generator intercommunication, its characterized in that: the top of the cooking cavity is provided with a steam condensation strip, the lower part of the steam condensation strip is correspondingly provided with a condensed water diversion groove which can catch condensed water dropping from the steam condensation strip, and a water collection groove communicated with the condensed water diversion groove is arranged in the cooking cavity; the condensate water guiding gutter is connected with a lifting mechanism, and can rise under the driving of the lifting mechanism, so that the steam condensate strips are embedded into the condensate water guiding gutter, and the condensate water guiding gutter can also fall under the driving of the lifting mechanism, so that condensate water dropping from the steam condensate strips is collected.
2. The steam box of claim 1, wherein: the steam condensation strip is a condensation water pipe, and an inlet of the condensation water pipe is connected with the water pump and then communicated with the cold water tank; the outlet of the condensate pipe is directly communicated with the cold water tank.
3. The steam box of claim 1, wherein: the water collecting tank is arranged on the rear side of the cooking cavity, and an included angle alpha is formed between the condensed water guide groove and the horizontal plane and is 3-5 degrees.
4. The steam box of claim 3, wherein: the position of the water collecting tank is arranged as follows: when the condensed water diversion trench descends under the driving of the lifting mechanism, the condensed water diversion trench is just aligned and communicated with the condensed water diversion trench.
5. The steamer of claim 1 or 2 or 3 or 4, wherein: the steam condensation strip is a plurality of 'bow' -shaped or 'S' -shaped or 'U' -shaped condensation pipes which are distributed at intervals or in a roundabout and reciprocating manner; the structure of the condensed water diversion trench is the same as that of the steam condensate strip, and the width of the condensed water diversion trench is larger than the diameter of the condensed water pipe.
6. The steam box of claim 2, wherein: the cold water tank and the water supply tank are the same water tank, and the water collecting tank is communicated with the water supply tank through a water suction pump.
7. A steam amount control method of a steam box according to claim 3, characterized by comprising the steps of:
step 1, starting a steam generator;
step 2, when the temperature in the cooking cavity reaches a preset temperature, starting a water pump, and introducing cold water in a cold water tank into a condensate pipe; meanwhile, a lifting mechanism is started to drive the condensate water diversion trench to descend;
step 3, calculating the steam content Q in the cooking cavity after cold water is introduced into the condensate pipe through the following formula:
Figure FDA0003258434700000011
wherein: vProduct produced by birthIs the rate of steam volume produced by the steam generator over time;
VcoldThe steam quantity rate which is reduced along with the time in the cooking cavity after cold water is introduced into the condensate pipe;
delta Q is the steam condensation amount caused by other reasons in the cooking cavity, and is a preset constant;
step 4, if Q is Qmin~QmaxIf the steam content is within the range, judging that the steam content in the cooking cavity is normal; if Q < QminIncreasing steam generator power to increase vProduct produced by birthOr turning off the water pump to lower VColdUntil Q is restored to Qmin~QmaxWithin the range; if Q > QmaxThen the steam generator power is reduced to reduce vProduct produced by birthUntil Q is restored to Qmin~QmaxWithin the range; qminAnd QmaxIs a preset parameter.
8. The steam amount control method according to claim 7, characterized in that: in the step 4, when Q is less than QminIncreasing steam generator power to increase vProduct produced by birthTo (2-. alpha.) vProduct produced by birthOr turning off the water pump to lower VColdLet V beCold=αvColdWherein
Figure FDA0003258434700000021
9. The steam amount control method according to claim 7, characterized in that: in the step 4, when Q is more than QmaxReducing the power of the steam generator to vProduct produced by birthReduced to (2-. beta.) vProduct produced by birth
Figure FDA0003258434700000022
CN202010008868.1A2020-01-062020-01-06Steam box and steam quantity control method thereofActiveCN113068995B (en)

Priority Applications (1)

Application NumberPriority DateFiling DateTitle
CN202010008868.1ACN113068995B (en)2020-01-062020-01-06Steam box and steam quantity control method thereof

Applications Claiming Priority (1)

Application NumberPriority DateFiling DateTitle
CN202010008868.1ACN113068995B (en)2020-01-062020-01-06Steam box and steam quantity control method thereof

Publications (2)

Publication NumberPublication Date
CN113068995A CN113068995A (en)2021-07-06
CN113068995Btrue CN113068995B (en)2021-12-24

Family

ID=76608581

Family Applications (1)

Application NumberTitlePriority DateFiling Date
CN202010008868.1AActiveCN113068995B (en)2020-01-062020-01-06Steam box and steam quantity control method thereof

Country Status (1)

CountryLink
CN (1)CN113068995B (en)

Families Citing this family (1)

* Cited by examiner, † Cited by third party
Publication numberPriority datePublication dateAssigneeTitle
CN113576279B (en)*2021-09-072022-08-23广东美的厨房电器制造有限公司Flow guide assembly and cooking device

Citations (9)

* Cited by examiner, † Cited by third party
Publication numberPriority datePublication dateAssigneeTitle
CA1204627A (en)*1982-05-271986-05-20Johann SchroderDevice for condensing cooking vapours
EP0780078A1 (en)*1995-12-181997-06-25Black & Decker Inc.Food steamer
CN203828737U (en)*2014-05-052014-09-17佛山市顺德区美的电热电器制造有限公司Pot cover and electric steamer
CN106473589A (en)*2016-11-112017-03-08宁波方太厨具有限公司 a steamer
CN106802031A (en)*2015-11-262017-06-06四川捷元科技有限公司Absorption refrigeration unit inclined-plane water conservancy diversion condenser
CN108577510A (en)*2018-06-262018-09-28宁波矢梁电子科技有限公司A kind of environment-friendly type steam cooking apparatus not discharged used steam around
CN209018477U (en)*2017-07-282019-06-25宁波方太厨具有限公司A kind of steam box for the vapour condensation device and application of the steam box device
CN110537835A (en)*2019-09-292019-12-06珠海格力电器股份有限公司 a steamer
CN110584498A (en)*2019-10-142019-12-20珠海格力电器股份有限公司Anti-dripping pot cover and cooking utensil

Patent Citations (9)

* Cited by examiner, † Cited by third party
Publication numberPriority datePublication dateAssigneeTitle
CA1204627A (en)*1982-05-271986-05-20Johann SchroderDevice for condensing cooking vapours
EP0780078A1 (en)*1995-12-181997-06-25Black & Decker Inc.Food steamer
CN203828737U (en)*2014-05-052014-09-17佛山市顺德区美的电热电器制造有限公司Pot cover and electric steamer
CN106802031A (en)*2015-11-262017-06-06四川捷元科技有限公司Absorption refrigeration unit inclined-plane water conservancy diversion condenser
CN106473589A (en)*2016-11-112017-03-08宁波方太厨具有限公司 a steamer
CN209018477U (en)*2017-07-282019-06-25宁波方太厨具有限公司A kind of steam box for the vapour condensation device and application of the steam box device
CN108577510A (en)*2018-06-262018-09-28宁波矢梁电子科技有限公司A kind of environment-friendly type steam cooking apparatus not discharged used steam around
CN110537835A (en)*2019-09-292019-12-06珠海格力电器股份有限公司 a steamer
CN110584498A (en)*2019-10-142019-12-20珠海格力电器股份有限公司Anti-dripping pot cover and cooking utensil

Non-Patent Citations (1)

* Cited by examiner, † Cited by third party
Title
凝汽器冷却管在蒸汽侧的腐蚀和防止措施;张建生等;《电站辅机》;20070330(第01期);全文*

Also Published As

Publication numberPublication date
CN113068995A (en)2021-07-06

Similar Documents

PublicationPublication DateTitle
CN109259579A (en)Electric steam box control method and electric steam box
CN206252370U (en)Steam oven
CN113068995B (en)Steam box and steam quantity control method thereof
CN103468561A (en)Intelligent household brewing machine
CN114766926A (en)Air frying pan
CN202015079U (en)Steam oven
CN206543125U (en)A kind of steam copper of instantaneously producing steam
CN210076503U (en)Take chicken boiling pan of taking off of heat preservation, cooling function
CN204683356U (en)A kind of steam generation device
CN217243747U (en)Steam inlet structure and cooking utensil with same
CN107259971B (en)The semi-automatic electric heating cooker of manifold type
CN208822335U (en)Waterway system for electric steam box and electric steam box
CN209018407U (en)Electric steamer capable of dynamically adding water
CN216317070U (en)Steam inlet structure and cooking utensil with same
CN112806844B (en)Evaporate cabinet with heat preservation platform
CN109907640B (en)Heat preservation control method and device of cooking appliance and cooking appliance
CN203555540U (en)Steam cooking device
CN216317071U (en)Steam inlet structure and cooking utensil with same
CN208318968U (en)Energy conservation Electric cooking vessel for wheat food easy to operate
CN220778142U (en)Steam air fryer
CN204683311U (en)A kind of culinary art steam cooking apparatus
CN218186454U (en)Steam oven
CN220800756U (en)Energy-saving noodle boiling furnace
CN208339376U (en)A kind of foods steamer
CN218044834U (en)Split type electric frying oven

Legal Events

DateCodeTitleDescription
PB01Publication
PB01Publication
SE01Entry into force of request for substantive examination
SE01Entry into force of request for substantive examination
GR01Patent grant
GR01Patent grant

[8]ページ先頭

©2009-2025 Movatter.jp