Movatterモバイル変換


[0]ホーム

URL:


CN113067673B - PDCCH detection method, device and terminal equipment - Google Patents

PDCCH detection method, device and terminal equipment
Download PDF

Info

Publication number
CN113067673B
CN113067673BCN202110287672.5ACN202110287672ACN113067673BCN 113067673 BCN113067673 BCN 113067673BCN 202110287672 ACN202110287672 ACN 202110287672ACN 113067673 BCN113067673 BCN 113067673B
Authority
CN
China
Prior art keywords
pdcch
data
detected
signal
channel estimation
Prior art date
Legal status (The legal status is an assumption and is not a legal conclusion. Google has not performed a legal analysis and makes no representation as to the accuracy of the status listed.)
Active
Application number
CN202110287672.5A
Other languages
Chinese (zh)
Other versions
CN113067673A (en
Inventor
游月意
张海涛
Current Assignee (The listed assignees may be inaccurate. Google has not performed a legal analysis and makes no representation or warranty as to the accuracy of the list.)
Spreadtrum Communications Shanghai Co Ltd
Original Assignee
Spreadtrum Communications Shanghai Co Ltd
Priority date (The priority date is an assumption and is not a legal conclusion. Google has not performed a legal analysis and makes no representation as to the accuracy of the date listed.)
Filing date
Publication date
Application filed by Spreadtrum Communications Shanghai Co LtdfiledCriticalSpreadtrum Communications Shanghai Co Ltd
Priority to CN202110287672.5ApriorityCriticalpatent/CN113067673B/en
Publication of CN113067673ApublicationCriticalpatent/CN113067673A/en
Application grantedgrantedCritical
Publication of CN113067673BpublicationCriticalpatent/CN113067673B/en
Activelegal-statusCriticalCurrent
Anticipated expirationlegal-statusCritical

Links

Images

Classifications

Landscapes

Abstract

A PDCCH detection method, a PDCCH detection device and terminal equipment are disclosed, and the method comprises the following steps: extracting a DMRS location signal from a received frequency domain input signal; determining a channel estimation value corresponding to each data RE of the PDCCH to be detected according to the extracted DMRS position signal; calculating an accumulated metric value of the data RE of the PDCCH to be detected according to the channel estimation value corresponding to the data RE; and determining whether the PDCCH to be detected is a PDCCH effective signal according to the accumulated metric value of the data RE of the PDCCH to be detected. The method and the device can realize accurate detection of the PDCCH and reduce detection power consumption.

Description

PDCCH detection method, device and terminal equipment
Technical Field
The present invention relates to the field of communications technologies, and in particular, to a PDCCH detection method, apparatus, and terminal device.
Background
The 5G NR (New Radio) is a global 5G standard system designed based on a New null interface of OFDM (Orthogonal Frequency Division Multiplexing), and because the bandwidth of the system is large and the demodulation capability of the terminals is different, in order to improve the resource utilization rate, a PDCCH (Physical Downlink Control Channel) does not occupy the entire bandwidth in the Frequency domain; in addition, in order to increase system flexibility and adapt to different scenarios, the starting position of the PDCCH in the time domain can also be configured. Therefore, in 5G NR, the UE needs to know the position of the PDCCH in the frequency domain and the position in the time domain, and can further demodulate the PDCCH.
The NR system encapsulates information such as frequency bands occupied by a PDCCH in a frequency domain, OFDM symbol number occupied by a time domain and the like in CORESET (Control-Resource Set), wherein the CORESET consists of a plurality of RBs (Resource blocks) in the frequency domain and 1/2/3 OFDM symbols in the time domain; and packaging information such as the PDCCH initial OFDM symbol number and the PDCCH monitoring period in a search space, wherein the search space configuration of the PDCCH can be less than one time slot. Search spaces in 5G NR are divided into two types, CSS (Common Search Space) and USS (UE Specific Search Space); CSS is mainly used during access and cell handover, whereas USS is used after access. Therefore, the UE can determine the location where the PDCCH may be located through the CORESET and the search space.
The conventional PDCCH detection procedure is based on CRC check: obtaining an available REG set of the PDCCH according to the search space set group; within the REG (RE Group ) set available for PDCCH, PDCCH channel estimation, LLR calculation, PDCCH decoding, CRC check are performed. If the CRC check is correct, then the PDCCH signal is deemed to be successfully detected, otherwise the PDCCH signal is deemed to be absent. The advantage of this approach is a low miss rate, but increased processing complexity and power consumption.
In view of the above problems, a scheme for determining in advance whether a PDCCH exists based on PDCCH DMRS (Demodulation Reference Signals) detection is proposed in the industry, in which a channel estimation initial value is obtained by descrambling the DMRS, then the average energy of the channel estimation initial value is counted, and the average energy is compared with a set threshold to determine whether the PDCCH exists, so as to reduce power consumption. Although the scheme effectively reduces the power consumption, the missing rate is greatly improved, and particularly the missing rate is obviously improved in a low signal-to-noise ratio scene. Therefore, how to rapidly and reliably perform blind detection on the PDCCH by the terminal device and reduce the power consumption of the device is an urgent problem to be solved in the industry.
Disclosure of Invention
The invention solves the technical problem of how to realize accurate detection of the PDCCH and reduce the detection power consumption.
Therefore, the embodiment of the invention provides the following technical scheme:
a PDCCH detection method, the method comprising:
extracting a DMRS location signal from a received frequency domain input signal;
determining a channel estimation value corresponding to each data RE of the PDCCH to be detected according to the extracted DMRS position signal;
calculating an accumulated metric value of the data RE of the PDCCH to be detected according to the channel estimation value corresponding to the data RE;
determining whether the PDCCH to be detected is a PDCCH effective signal or not according to the accumulated metric value of the data RE of the PDCCH to be detected;
if the PDCCH to be detected is not a PDCCH effective signal, finishing PDCCH detection in advance.
Optionally, the determining, according to the extracted DMRS position signal, a channel estimation value corresponding to each data RE of the PDCCH to be detected includes:
calculating an initial channel estimation value according to the extracted DMRS position signal;
and denoising the initial channel estimation value to obtain a channel estimation value corresponding to each data RE of the PDCCH.
Optionally, the calculating an accumulated metric of the PDCCH data REs to be detected according to the channel estimation value corresponding to the data REs includes:
determining the minimum distance between a receiving signal corresponding to the data RE and a to-be-detected PDCCH data transmitting signal corresponding to the data RE according to the channel estimation value corresponding to the data RE;
and calculating the accumulated metric value of the data RE of the PDCCH to be detected according to the minimum distance corresponding to the RE.
Optionally, the determining, according to the channel estimation value corresponding to the data RE, the minimum distance between the received signal corresponding to the data RE and the PDCCH data transmission signal to be detected corresponding to the data RE includes:
calculating the distances between various values of the receiving signal corresponding to the data RE and the PDCCH data transmission signal to be detected corresponding to the data RE according to the channel estimation value corresponding to the data RE;
and selecting the minimum value from the calculated distances of various values of the received signal corresponding to the data RE and the PDCCH data transmission signal to be detected corresponding to the data RE as the minimum distance between the received signal corresponding to the data RE and the PDCCH data transmission signal of the data RE.
Optionally, the distance is a euclidean distance.
Optionally, the determining whether the PDCCH to be detected is a PDCCH valid signal according to the accumulated metric of the PDCCH data RE to be detected includes:
determining a cumulative metric threshold;
and if the accumulated metric value of the data RE of the PDCCH to be detected is larger than the accumulated metric threshold value, determining the PDCCH to be detected as a PDCCH effective signal.
Optionally, the determining a cumulative metric threshold comprises:
and calculating an accumulated metric value under the condition that the PDCCH data RE to be detected does not transmit signals, and taking the accumulated metric value as an accumulated metric threshold.
An apparatus for PDCCH detection, the apparatus comprising:
a signal extraction module, configured to extract a DMRS position signal from a received frequency domain input signal;
the channel estimation module is used for determining a channel estimation value corresponding to each data RE of the PDCCH to be detected according to the extracted DMRS position signal;
the data measurement calculation module is used for calculating the accumulated measurement value of the data RE of the PDCCH to be detected according to the channel estimation value corresponding to the data RE;
and the early termination judging module is used for determining whether the PDCCH to be detected is a PDCCH effective signal or not according to the accumulated metric value of the data RE of the PDCCH to be detected, and ending the PDCCH detection in advance under the condition of judging that the PDCCH to be detected is not the PDCCH effective signal.
Optionally, the channel estimation module includes:
an initial value calculation unit, configured to calculate a channel estimation initial value according to the extracted DMRS position signal;
and the de-noising processing unit is used for de-noising the initial channel estimation value to obtain a channel estimation value corresponding to each data RE of the PDCCH.
Optionally, the data metric calculation module includes:
a distance determining unit, configured to determine, according to the channel estimation value corresponding to the data RE, a minimum distance between the received signal corresponding to the data RE and a PDCCH data transmission signal to be detected corresponding to the data RE;
and the accumulative metric calculating unit is used for calculating the accumulative metric of the PDCCH data RE to be detected according to the minimum distance corresponding to the RE.
Optionally, the distance determining unit includes:
a distance calculating subunit, configured to calculate, according to the channel estimation value corresponding to the data RE, distances between the received signal corresponding to the data RE and various values of the PDCCH data transmission signal to be detected corresponding to the data RE;
and the selecting subunit is configured to select a minimum value from the calculated distances between the received signal corresponding to the data RE and various values of the PDCCH data transmitting signal to be detected corresponding to the data RE, as a minimum distance between the received signal corresponding to the data RE and the PDCCH data transmitting signal of the data RE.
Optionally, the distance is a euclidean distance.
Optionally, the early termination determining module includes:
a threshold determination unit for determining a cumulative metric threshold;
and the judging unit is used for determining the PDCCH to be detected as the PDCCH effective signal under the condition that the accumulated metric value of the PDCCH data RE to be detected is greater than the accumulated metric threshold value.
Optionally, the threshold determining unit is specifically configured to calculate an accumulated metric value under the condition that no signal is transmitted by the PDCCH data RE to be detected, and use the accumulated metric value as an accumulated metric threshold.
A terminal device, comprising the aforementioned PDCCH detecting apparatus.
An embodiment of the present invention further provides a computer-readable storage medium, which is a non-volatile storage medium or a non-transitory storage medium, and on which a computer program is stored, where the computer program is executed by a processor to perform the steps of the above method.
The embodiment of the present invention further provides an electronic device, which includes a memory and a processor, where the memory stores a computer program that can be executed on the processor, and the processor executes the steps of the method when executing the computer program.
The PDCCH detection method, the device and the terminal equipment provided by the embodiment of the invention extract the DMRS position signals from the received frequency domain input signals, determine the channel estimation value corresponding to each data RE of the PDCCH to be detected according to the extracted DMRS position signals, calculate the accumulative metric value of the data RE of the PDCCH to be detected according to the channel estimation value corresponding to the data RE, and determine whether the PDCCH to be detected is the PDCCH effective signal according to the accumulative metric value of the data RE of the PDCCH to be detected. According to the scheme of the embodiment of the invention, through the extraction of the DMRS position signal, whether the PDCCH signal exists can be judged in advance, so that the PDCCH detection process is terminated in advance, and the power consumption required by the PDCCH detection process is saved; and the accumulated metric value of the data RE of the PDCCH to be detected is used for judgment, so that the reliability of PDCCH detection is ensured.
Drawings
FIG. 1 is a flowchart of a PDCCH detection method according to an embodiment of the present invention;
FIG. 2 is a schematic diagram of REG structure in an embodiment of the present invention;
FIG. 3 is a diagram illustrating a PDCCH search space set group in an embodiment of the present invention;
fig. 4 is a schematic structural diagram of a PDCCH detection apparatus according to an embodiment of the present invention.
Detailed Description
In order to make the aforementioned objects, features and advantages of the present invention more comprehensible, embodiments accompanying figures are described in detail below.
The PDCCH is used for sending Information for the Downlink, and carries DCI (Downlink Control Information) including resource allocation and other Control Information on one or more UEs. The system may allocate 1, 2, 4, or 8 logically consecutive CCEs for transmission for each DCI depending on the channel quality. In general, there may be a plurality of PDCCHs within one subframe. The UE needs to demodulate DCI in the PDCCH first, and then can demodulate a PDSCH (Physical Downlink Shared Channel) belonging to the UE at a corresponding resource location.
The Resource granularity of the PDCCH is a CCE (Control Channel Element), one CCE consists of 9 REGs, one REG consists of 4 or 6 adjacent REs (Resource Element) located on the same OFDM (Orthogonal Frequency Division Multiplexing) symbol, and the REG consisting of 6 REs includes two DMRSs.
In the prior art, for different DCI formats, the UE uses a corresponding RNTI (Radio Network temporary Identity) to perform CRC check with CCE information, and if the CRC check is successful, the UE knows that the information is required by itself, and further decodes the DCI content according to a modulation coding scheme.
In the downlink Control resource (generally, 1, 2, or 3 OFDM symbols), after a PHICH (Physical Hybrid ARQ Indicator Channel), a PCFICH (Physical Control Format Indicator Channel), and a CRS are removed, the remaining resource is allocated to a PDCCH CCE.
In the NR system, the terminal device may determine a location where the PDCCH may be located through the CORESET and the search space.
Aiming at the problems of the existing methods for monitoring the PDCCH based on CRC (cyclic redundancy check) and PDCCH (physical downlink control channel) DMRS (demodulation reference signal) detection, the embodiment of the invention provides a PDCCH detection method, device and terminal equipment.
As shown in fig. 1, it is a flowchart of a PDCCH detection method according to an embodiment of the present invention, including the following steps:
step 101, extracting a DMRS location signal from a received frequency domain input signal.
According to the NR standard, the REG occupies 1 OFDM symbol in the domain and 12 consecutive subcarriers (i.e., one resource block) in the frequency domain. The REG structure is shown in fig. 2, PDCCH DMRS signal positions are fixed to 1#,5#,9#, and the others are data REs. When the DMRS location signals are extracted, it is necessary to determine which REs are PDCCH DMRS signals, and extract these signals for channel estimation.
The DMRS location signal may be extracted in the prior art, and the embodiment of the present invention is not limited thereto.
And step 102, determining a channel estimation value corresponding to each data RE of the PDCCH to be detected according to the extracted DMRS position signal.
Firstly, calculating an initial channel estimation value according to the extracted DMRS position signal, and specifically, descrambling the DMRS position signal to obtain the initial channel estimation value; and then denoising the initial channel estimation value to obtain a channel estimation value corresponding to each data RE of the PDCCH.
It should be noted that, the channel estimation may use the existing wiener filtering method, and the detailed description thereof is omitted here.
And 103, calculating the accumulated metric value of the PDCCH data RE to be detected according to the channel estimation value corresponding to the data RE.
In the embodiment of the present invention, the accumulated metric of the PDCCH data REs to be detected may be determined according to the distance between the receiving signal corresponding to each data RE of the PDCCH to be detected and the transmitting signal of the PDCCH data RE to be detected. The distance may be an euclidean distance, or may be calculated by using other distances, which is not limited in this embodiment of the present invention.
The following description will be made by taking the euclidean distance as an example.
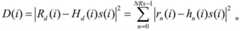
For each data RE of the PDCCH to be detected, a data transmission signal of the PDCCH to be detected corresponding to the ith data RE is recorded as s (i), and a receiving signal corresponding to the ith data RE is expressed as:
Figure RE-GDA0003022347800000081
wherein r isn (i) NRx is the total number of receive antennas for data on the nth receive antenna.
It should be noted that, in order to reduce the computational complexity, it is also possible to use part of the data on the receiving antenna in practical applications.
The channel estimation value corresponding to the ith data RE is recorded as
Figure BDA0002981162530000081
Wherein h isn (i) Is the channel estimation value on the nth receiving antenna;
the euclidean distance between the received signal corresponding to the ith data RE and the PDCCH data transmission signal to be detected corresponding to the ith data RE is:
Figure BDA0002981162530000082
because PDCCH can only adopt QPSK transmission, the value range of the data transmission signal s (i) of the PDCCH to be detected is possible to be
Figure BDA0002981162530000083
Thus, S is traversed by S (i)QPSK Finding out the minimum Euclidean distance D from possible four valuesQPSK (i):
Figure BDA0002981162530000084
Then, calculating an accumulated metric value M of the PDCCH data RE to be detected according to the minimum Euclidean distance corresponding to the REQPSK
Figure BDA0002981162530000085
Wherein N isRE Is the number of PDCCH data REs used.
It should be noted that, in practical applications, the number of partial REs may be used for calculation in order to reduce the calculation complexity.
And step 104, determining whether the PDCCH to be detected is a PDCCH effective signal or not according to the accumulated metric value of the data RE of the PDCCH to be detected. If yes, go to step 105; otherwise,step 106 is performed.
Specifically, a cumulative metric threshold may be set, and the cumulative metric value of the PDCCH data RE to be detected is compared with the cumulative metric threshold. If the accumulated metric value of the data RE of the PDCCH to be detected is larger than the accumulated metric threshold value, determining that the PDCCH to be detected is a PDCCH effective signal, and continuing to perform subsequent PDCCH detection at the moment; otherwise, the PDCCH valid signal is not considered to exist, and the PDCCH detection can be ended in advance.
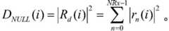
It should be noted that the cumulative metric threshold may be determined by calculating a cumulative metric value when the PDCCH data RE to be detected is not signaled, that is, taking the cumulative metric value when the PDCCH data RE to be detected is not signaled as the cumulative metric threshold, that is:
Figure BDA0002981162530000091
wherein D isNULL (i) The euclidean distance when no signal is transmitted for the ith data RE:
Figure BDA0002981162530000092
further, the correction parameter α of the accumulated metric value in the case where the data RE is not signaled may also be determined by simulation, and α × MNULL As a modified cumulative metric threshold.
And 105, performing subsequent PDCCH detection.
The subsequent PDCCH detection comprises: log-likelihood ratio (LLR) calculation, PDCCH decoding, CRC check, and the like.
And step 106, finishing PDCCH detection in advance.
Because no PDCCH signal exists, subsequent PDCCH detection can be skipped, namely LLR calculation, PDCCH decoding, CRC check and the like are not needed.
According to the PDCCH detection method provided by the embodiment of the invention, the DMRS position signal is extracted from the received frequency domain input signal, the channel estimation value is calculated, and whether the PDCCH to be detected is the PDCCH effective signal is judged in advance according to the accumulative metric value of the data RE of the PDCCH to be detected, so that the PDCCH detection process can be terminated in advance, the power consumption is saved, and the effective detection of the PDCCH is ensured.
Correspondingly, an embodiment of the present invention further provides a PDCCH detecting apparatus, which is, as shown in fig. 4, a schematic structural diagram of the PDCCH detecting apparatus according to the embodiment of the present invention.
In this embodiment, the apparatus includes the following modules:
asignal extraction module 301, configured to extract a DMRS position signal from a received frequency domain input signal;
achannel estimation module 302, configured to determine, according to the extracted DMRS position signal, a channel estimation value corresponding to each data RE of the PDCCH to be detected;
a datametric calculation module 303, configured to calculate an accumulated metric value of the to-be-detected PDCCH data REs according to the channel estimation values corresponding to the data REs;
and an earlytermination decision module 304, configured to determine whether the PDCCH to be detected is a PDCCH effective signal according to the accumulated metric of the PDCCH data RE to be detected.
Thechannel estimation module 302 may specifically include the following units:
an initial value calculation unit, configured to calculate an initial value of channel estimation according to the extracted DMRS position signal;
and the denoising processing unit is used for denoising the channel estimation initial value to obtain a channel estimation value corresponding to each data RE of the PDCCH.
It should be noted that, the initial value calculating unit may calculate the channel estimation by using a method such as the existing wiener filtering, and the embodiment of the present invention is not limited thereto.
The datametric calculation module 303 may determine an accumulated metric value of the PDCCH data REs to be detected according to a distance between a received signal corresponding to each data RE of the PDCCH to be detected and a PDCCH data transmission signal corresponding to the data RE to be detected. Correspondingly, the data metric calculatingmodule 303 may specifically include the following units:
a distance determining unit, configured to determine, according to the channel estimation value corresponding to the data RE, a minimum distance between the received signal corresponding to the data RE and a PDCCH data transmitting signal of the data RE;
and the accumulative metric calculating unit is used for calculating the accumulative metric of the PDCCH data RE to be detected according to the minimum distance corresponding to the RE.
It should be noted that, in practical applications, the distance may be an euclidean distance, and the specific calculation manner may be as described in the foregoing embodiment of the method of the present invention, or other distance calculations may be adopted, which is not limited to this embodiment of the present invention.
Because PDCCH can only adopt QPSK transmission, the value range of the data transmission signal s (i) of the PDCCH to be detected is possible to be
Figure BDA0002981162530000101
Therefore, the distance determining unit may calculate the distances between the received signal corresponding to the data RE and various values of the PDCCH data transmitting signal of the data RE according to the channel estimation value corresponding to the data RE by S (i) traversing SQPSK Possible four values from which the minimum Euclidean distance D is foundQPSK (i) In that respect Accordingly, the distance determining unit may include: a distance calculation subunit and a selection subunit. Wherein:
the distance calculating subunit is configured to calculate, according to the channel estimation value corresponding to the data RE, distances between various values of the received signal corresponding to the data RE and the PDCCH data transmitting signal of the data RE;
the selecting subunit is configured to select a minimum value from the calculated distances between the received signal corresponding to the data RE and various values of the PDCCH data transmitting signal of the data RE, as a minimum distance between the received signal corresponding to the data RE and the PDCCH data transmitting signal of the data RE.
The earlytermination determining module 304 may specifically determine the validity of the PDCCH to be detected according to a set cumulative metric threshold and the cumulative metric value of the PDCCH data RE to be detected. Accordingly, the earlytermination decision module 304 may include the following units:
a threshold determination unit for determining a cumulative metric threshold;
and the judging unit is used for determining the PDCCH to be detected as the PDCCH effective signal under the condition that the accumulated metric value of the PDCCH data RE to be detected is larger than the accumulated metric threshold value.
In practical application, the threshold determining unit may specifically calculate the accumulated metric value M under the condition that no signal is sent by PDCCH data RE to be detectedNULL And the accumulated metric value M is usedNULL As a degree of accumulationA quantity threshold. Furthermore, the correction parameter α of the accumulated metric value in the case that the data RE is not signaled may also be determined by simulation, which is expressed as α × MNULL As a modified cumulative metric threshold.
For more details of the operation principle and the operation mode of the PDCCH detecting apparatus, reference may be made to the related description in fig. 1, which is not repeated herein.
Correspondingly, the embodiment of the invention also provides terminal equipment which comprises the PDCCH detection device.
According to the PDCCH detection device and the terminal equipment provided by the embodiment of the invention, the DMRS position signal is extracted from the received frequency domain input signal, the channel estimation value is calculated, whether the PDCCH to be detected is the PDCCH effective signal is judged in advance according to the accumulated metric value of the data RE of the PDCCH to be detected, and then the PDCCH detection process can be terminated in advance, so that the power consumption is saved, and the effective detection of the PDCCH is ensured.
The PDCCH detection method, the PDCCH detection device and the terminal equipment provided by the embodiment of the invention can be applied to NR and NR-U (New Radio Unqualified), especially NR-U. NR-U is a PDCCH monitoring mode supporting more frequent times except for COT (Channel Occupancy Time), and two PDCCH search space set groups are usually configured, which are respectively a search space setGroup 0#: corresponding to a PDCCH outside the COT, monitoring the PDCCH based on a mini-slot (micro slot); search space setGroup 1#: for the PDCCH in the COT, the PDCCH needs to be monitored on a slot basis, as shown in fig. 3. By using the scheme of the embodiment of the invention, the complexity of the NR-U for PDCCH detection can be greatly reduced, and the power consumption is reduced.
In a specific implementation, the PDCCH detecting apparatus may correspond to a Chip having a PDCCH detecting function in a network device, such as a System-On-a-Chip (SOC), a baseband Chip, and the like; or the network equipment comprises a chip module with a PDCCH detection function; or to a chip module having a chip with a data processing function, or to a network device.
In specific implementation, regarding each module/unit included in each apparatus and product described in the foregoing embodiments, it may be a software module/unit, or may also be a hardware module/unit, or may also be a part of a software module/unit and a part of a hardware module/unit.
For example, for each apparatus and product applied to or integrated into a chip, each module/unit included in the apparatus and product may all be implemented by hardware such as a circuit, or at least a part of the modules/units may be implemented by a software program running on a processor integrated within the chip, and the rest (if any) part of the modules/units may be implemented by hardware such as a circuit; for each device and product applied to or integrated with the chip module, each module/unit included in the device and product may be implemented by using hardware such as a circuit, and different modules/units may be located in the same component (e.g., a chip, a circuit module, etc.) or different components of the chip module, or at least some of the modules/units may be implemented by using a software program running on a processor integrated within the chip module, and the rest (if any) of the modules/units may be implemented by using hardware such as a circuit; for each device and product applied to or integrated in the terminal, each module/unit included in the terminal may be implemented by using hardware such as a circuit, different modules/units may be located in the same component (e.g., a chip, a circuit module, etc.) or different components in the terminal, or at least part of the modules/units may be implemented by using a software program running on a processor integrated inside the terminal, and the rest (if any) part of the modules/units may be implemented by using hardware such as a circuit.
An embodiment of the present invention further provides a computer-readable storage medium, which is a non-volatile storage medium or a non-transitory storage medium, and a computer program is stored on the computer-readable storage medium, and when the computer program is executed by a processor, the computer program performs the steps of the PDCCH detection method provided in the corresponding embodiment of fig. 1. Alternatively, the computer program is executed by a processor to perform the steps of the PDCCH detecting method provided in the corresponding embodiment of fig. 1.
The embodiment of the present invention further provides another PDCCH detecting apparatus, which includes a memory and a processor, where the memory stores a computer program that can be executed on the processor, and the processor executes the steps of the PDCCH detecting method provided in the embodiment corresponding to fig. 1 when executing the computer program.
The embodiment of the present invention further provides an electronic device, which includes a memory and a processor, where the memory stores a computer program that can be executed on the processor, and the processor executes the steps of the PDCCH detection method provided in the embodiment corresponding to fig. 1 when executing the computer program.
Although the present invention is disclosed above, the present invention is not limited thereto. Various changes and modifications may be effected therein by one skilled in the art without departing from the spirit and scope of the invention as defined in the appended claims.

Claims (17)

1. A PDCCH detection method, wherein the method comprises:
extracting a DMRS location signal from a received frequency domain input signal;
determining a channel estimation value corresponding to each data RE of the PDCCH to be detected according to the extracted DMRS position signal;
calculating an accumulated metric value of the PDCCH data RE to be detected according to the channel estimation value corresponding to the data RE, specifically, determining the accumulated metric value of the PDCCH data RE to be detected according to the distance between the receiving signal corresponding to each data RE of the PDCCH to be detected and the transmitting signal of the PDCCH data RE to be detected;
determining whether the PDCCH to be detected is a PDCCH effective signal or not according to the accumulated metric value of the data RE of the PDCCH to be detected;
and if the PDCCH to be detected is not a PDCCH effective signal, ending the PDCCH detection in advance.
2. The method of claim 1, wherein the determining, according to the extracted DMRS location signals, a channel estimation value corresponding to each data RE of a PDCCH to be detected comprises:
calculating an initial channel estimation value according to the extracted DMRS position signal;
and denoising the initial channel estimation value to obtain a channel estimation value corresponding to each data RE of the PDCCH.
3. The method of claim 1, wherein the calculating the accumulated metric of the PDCCH data REs to be detected according to the channel estimation values corresponding to the data REs comprises:
determining the minimum distance between a receiving signal corresponding to the data RE and a PDCCH data transmission signal to be detected corresponding to the data RE according to the channel estimation value corresponding to the data RE;
and calculating the accumulated metric value of the data RE of the PDCCH to be detected according to the minimum distance corresponding to the RE.
4. The method according to claim 3, wherein the determining the minimum distance between the received signal corresponding to the data RE and the PDCCH data transmission signal to be detected corresponding to the data RE according to the channel estimation value corresponding to the data RE comprises:
calculating the distances between various values of the receiving signal corresponding to the data RE and the PDCCH data transmission signal to be detected corresponding to the data RE according to the channel estimation value corresponding to the data RE;
and selecting the minimum value from the calculated distances between the received signal corresponding to the data RE and various values of the PDCCH data transmitting signal to be detected corresponding to the data RE as the minimum distance between the received signal corresponding to the data RE and the PDCCH data transmitting signal of the data RE.
5. The method of claim 3, wherein the distance is a Euclidean distance.
6. The method according to any of claims 1 to 5, wherein the determining whether the PDCCH to be detected is a PDCCH valid signal according to the accumulated metric of the PDCCH data REs to be detected comprises:
determining a cumulative metric threshold;
and if the accumulated metric value of the PDCCH data RE to be detected is larger than the accumulated metric threshold value, determining that the PDCCH to be detected is a PDCCH effective signal.
7. The method of claim 6, wherein determining the cumulative metric threshold comprises:
and calculating an accumulated metric value under the condition that the PDCCH data RE to be detected does not transmit signals, and taking the accumulated metric value as an accumulated metric threshold value.
8. An apparatus for PDCCH detection, the apparatus comprising:
a signal extraction module, configured to extract a DMRS position signal from a received frequency domain input signal;
the channel estimation module is used for determining a channel estimation value corresponding to each data RE of the PDCCH to be detected according to the extracted DMRS position signal;
the data metric calculation module is used for calculating an accumulated metric value of the PDCCH data RE to be detected according to the channel estimation value corresponding to the data RE, and specifically, the accumulated metric value of the PDCCH data RE to be detected is determined according to the distance between the receiving signal corresponding to each data RE of the PDCCH to be detected and the transmitting signal of the PDCCH data RE to be detected;
and the early termination judging module is used for determining whether the PDCCH to be detected is a PDCCH effective signal according to the accumulated metric value of the data RE of the PDCCH to be detected, and ending the PDCCH detection in advance under the condition that the PDCCH to be detected is judged not to be the PDCCH effective signal.
9. The apparatus of claim 8, wherein the channel estimation module comprises:
an initial value calculation unit, configured to calculate a channel estimation initial value according to the extracted DMRS position signal;
and the denoising processing unit is used for denoising the channel estimation initial value to obtain a channel estimation value corresponding to each data RE of the PDCCH.
10. The apparatus of claim 8, wherein the data metric calculation module comprises:
a distance determining unit, configured to determine, according to the channel estimation value corresponding to the data RE, a minimum distance between the received signal corresponding to the data RE and a PDCCH data transmission signal to be detected corresponding to the data RE;
and the accumulative metric calculating unit is used for calculating the accumulative metric of the PDCCH data RE to be detected according to the minimum distance corresponding to the RE.
11. The apparatus of claim 10, wherein the distance determining unit comprises:
a distance calculating subunit, configured to calculate, according to the channel estimation value corresponding to the data RE, distances between various values of a received signal corresponding to the data RE and a PDCCH data transmission signal to be detected corresponding to the data RE;
and the selecting subunit is configured to select a minimum value from the calculated distances between the received signal corresponding to the data RE and the various values of the PDCCH data transmission signal to be detected corresponding to the data RE as a minimum distance between the received signal corresponding to the data RE and the PDCCH data transmission signal of the data RE.
12. The apparatus of claim 10, wherein the distance is a euclidean distance.
13. The apparatus according to any one of claims 8 to 12, wherein the early termination decision module comprises:
a threshold determination unit for determining a cumulative metric threshold;
and the judging unit is used for determining the PDCCH to be detected as the PDCCH effective signal under the condition that the accumulated metric value of the PDCCH data RE to be detected is greater than the accumulated metric threshold value.
14. The apparatus of claim 13,
the threshold determining unit is specifically configured to calculate an accumulated metric value under the condition that no signal is transmitted by the PDCCH data RE to be detected, and use the accumulated metric value as an accumulated metric threshold.
15. A terminal device comprising the PDCCH detecting apparatus according to any of claims 8 to 14.
16. A computer-readable storage medium, being a non-volatile storage medium or a non-transitory storage medium, having a computer program stored thereon, the computer program, when being executed by a processor, performing the steps of the method according to any one of claims 1 to 7.
17. An electronic device comprising a memory and a processor, the memory having stored thereon a computer program being executable on the processor, wherein the processor, when executing the computer program, performs the steps of the method of any of claims 1 to 7.
CN202110287672.5A2021-03-172021-03-17PDCCH detection method, device and terminal equipmentActiveCN113067673B (en)

Priority Applications (1)

Application NumberPriority DateFiling DateTitle
CN202110287672.5ACN113067673B (en)2021-03-172021-03-17PDCCH detection method, device and terminal equipment

Applications Claiming Priority (1)

Application NumberPriority DateFiling DateTitle
CN202110287672.5ACN113067673B (en)2021-03-172021-03-17PDCCH detection method, device and terminal equipment

Publications (2)

Publication NumberPublication Date
CN113067673A CN113067673A (en)2021-07-02
CN113067673Btrue CN113067673B (en)2023-03-14

Family

ID=76561064

Family Applications (1)

Application NumberTitlePriority DateFiling Date
CN202110287672.5AActiveCN113067673B (en)2021-03-172021-03-17PDCCH detection method, device and terminal equipment

Country Status (1)

CountryLink
CN (1)CN113067673B (en)

Citations (3)

* Cited by examiner, † Cited by third party
Publication numberPriority datePublication dateAssigneeTitle
CN106209304A (en)*2016-06-232016-12-07重庆邮电大学A kind of centralized EPDCCH blind detection method based on PRBs sequence
CN109660315A (en)*2017-10-102019-04-19北京展讯高科通信技术有限公司PDCCH blind detection method and device, storage medium, user equipment based on DMRS
CN111817821A (en)*2020-09-042020-10-23翱捷科技股份有限公司Method and device for DCI blind detection of NR system

Family Cites Families (1)

* Cited by examiner, † Cited by third party
Publication numberPriority datePublication dateAssigneeTitle
WO2016182046A1 (en)*2015-05-142016-11-17株式会社NttドコモUser terminal and wireless communication method

Patent Citations (3)

* Cited by examiner, † Cited by third party
Publication numberPriority datePublication dateAssigneeTitle
CN106209304A (en)*2016-06-232016-12-07重庆邮电大学A kind of centralized EPDCCH blind detection method based on PRBs sequence
CN109660315A (en)*2017-10-102019-04-19北京展讯高科通信技术有限公司PDCCH blind detection method and device, storage medium, user equipment based on DMRS
CN111817821A (en)*2020-09-042020-10-23翱捷科技股份有限公司Method and device for DCI blind detection of NR system

Non-Patent Citations (1)

* Cited by examiner, † Cited by third party
Title
《NR PDCCH structure》;VIVO;《3GPP TSG RAN WG1 NR Ad Hoc #3 R1-1715628》;20170921;全文*

Also Published As

Publication numberPublication date
CN113067673A (en)2021-07-02

Similar Documents

PublicationPublication DateTitle
EP3258629B1 (en)Blind detection method and system for physical downlink control channel (pdcch)
US8755345B2 (en)Method and system for resource distribution, blind detection method, base station, user equipment
US8824394B2 (en)Method and apparatus for supporting multiple carriers
EP3044896B1 (en)Method for detection of epdcch using dmrs quality measure
CN114598439B (en)PDCCH blind detection method, terminal and storage medium for 5G communication system
US9264189B2 (en)Method and device for detecting downlink control information
CN105680996A (en)PDCCH blind detection method in LTE system
CN109952727B (en)Method and device used in user equipment and base station for dynamic scheduling
US10271321B1 (en)Method and apparatus for blind decoding
CN114696962A (en)Blind detection method, device, equipment and medium based on unknown RNTI
CN103731236B (en)Blind detection method for physical downlink control channel
CN116582225B (en)Method, device and storage medium for determining validity of discontinuous transmission signal
CN112333121B (en)Signal detection method and device, computer equipment and storage medium
CN115426714B (en)Passive positioning method and device, electronic equipment and storage medium
EP3562070A1 (en)Data receiving and transmitting method and receiving and transmitting device
CN114422083B (en) PDCCH estimation parameter acquisition method, device, network equipment and storage medium
CN119583009A (en) New wireless blind detection method, device, equipment, medium and computer program product
CN113067673B (en)PDCCH detection method, device and terminal equipment
KR20100005002A (en)Communication device and communication system
KR102407923B1 (en)Apparatus and method for controlling decoding
CN115052358B (en)PDCCH blind detection method, device, electronic equipment and storage medium
CN115173997B (en)Decoding filtering processing method, device and medium for PDCCH blind detection
CN115988553A (en) A signal monitoring method, device and monitoring equipment
CN111162858B (en)Segmented signal synchronization method and device, terminal equipment and storage medium
CN116743315B (en) Downlink control channel blind detection method, device, equipment, chip and storage medium

Legal Events

DateCodeTitleDescription
PB01Publication
PB01Publication
SE01Entry into force of request for substantive examination
SE01Entry into force of request for substantive examination
GR01Patent grant
GR01Patent grant

[8]ページ先頭

©2009-2025 Movatter.jp