Movatterモバイル変換


[0]ホーム

URL:


CN113045543B - PRMT5 inhibitor and application thereof - Google Patents

PRMT5 inhibitor and application thereof
Download PDF

Info

Publication number
CN113045543B
CN113045543BCN202011543588.7ACN202011543588ACN113045543BCN 113045543 BCN113045543 BCN 113045543BCN 202011543588 ACN202011543588 ACN 202011543588ACN 113045543 BCN113045543 BCN 113045543B
Authority
CN
China
Prior art keywords
membered
group
substituted
ring
pharmaceutically acceptable
Prior art date
Legal status (The legal status is an assumption and is not a legal conclusion. Google has not performed a legal analysis and makes no representation as to the accuracy of the status listed.)
Active
Application number
CN202011543588.7A
Other languages
Chinese (zh)
Other versions
CN113045543A (en
Inventor
赵传武
杨金路
康杰琼
陈立谦
刘慧杰
魏苗苗
王佳
耿佳
Current Assignee (The listed assignees may be inaccurate. Google has not performed a legal analysis and makes no representation or warranty as to the accuracy of the list.)
Shanghai Yishi Pharmaceutical Technology Co ltd
Original Assignee
CSPC Zhongqi Pharmaceutical Technology Shijiazhuang Co Ltd
Priority date (The priority date is an assumption and is not a legal conclusion. Google has not performed a legal analysis and makes no representation as to the accuracy of the date listed.)
Filing date
Publication date
Application filed by CSPC Zhongqi Pharmaceutical Technology Shijiazhuang Co LtdfiledCriticalCSPC Zhongqi Pharmaceutical Technology Shijiazhuang Co Ltd
Publication of CN113045543ApublicationCriticalpatent/CN113045543A/en
Application grantedgrantedCritical
Publication of CN113045543BpublicationCriticalpatent/CN113045543B/en
Activelegal-statusCriticalCurrent
Anticipated expirationlegal-statusCritical

Links

Classifications

Landscapes

Abstract

The invention provides a compound with a novel structure and PRMT5 inhibitor activity, and tautomers, optical isomers, solvates, isotopic derivatives or pharmaceutically acceptable salts thereof, wherein the compound has the structure shown in a formula (I). The compound has medical application for treating cancers, can obviously inhibit PRMT5 activity and has a therapeutic effect on MV4;11 has stronger proliferation inhibition effect.

Description

Translated fromChinese
一种PRMT5抑制剂及其应用A PRMT5 inhibitor and its application

技术领域Technical Field

本发明涉及医药技术领域,具体而言,涉及作为PRMT5抑制剂的新化合物以及所述化合物或药物组合物在制备药物中的用途。The present invention relates to the field of medical technology, and in particular to a new compound as a PRMT5 inhibitor and use of the compound or pharmaceutical composition in preparing a drug.

背景技术Background Art

蛋白质精氨酸甲基转移酶(protein arginine methyltransferase,PRMTs)是催化蛋白质精氨酸甲基化反应的酶,是一类S-腺苷甲硫氨酸依赖性甲基转移酶,负责将来自于AdoMet的甲基转移到组蛋白或其他蛋白质的精氨酸残基末端的胍基氮原子上。PRMTs在蛋白质的甲基化中起着重要的作用,如参与可变剪切,转录后调节,RNA的加工,细胞增值,细胞分化,细胞凋亡和肿瘤形成等。PRMTs家族的成员,根据催化精氨酸甲基化方式的不同,可分为三类:PRMT1-4、PRMT6、PRMT8属于Ⅰ型,催化的形式为单甲基和不对称双甲基;PRMT5和PRMT9属于Ⅱ型,其催化的形式为对称双甲基;PRMT7属于Ⅲ型,能够单甲基催化。Protein arginine methyltransferase (PRMTs) is an enzyme that catalyzes protein arginine methylation reactions. It is a type of S-adenosylmethionine-dependent methyltransferase that is responsible for transferring the methyl group from AdoMet to the guanidinium nitrogen atom at the end of the arginine residue of histones or other proteins. PRMTs play an important role in protein methylation, such as participating in alternative splicing, post-transcriptional regulation, RNA processing, cell proliferation, cell differentiation, apoptosis and tumor formation. Members of the PRMTs family can be divided into three categories according to the different ways of catalyzing arginine methylation: PRMT1-4, PRMT6, and PRMT8 belong to type I, and the catalytic forms are monomethyl and asymmetric dimethyl; PRMT5 and PRMT9 belong to type II, and the catalytic forms are symmetric dimethyl; PRMT7 belongs to type III and can catalyze monomethyl.

PRMTs的表达与人的多种疾病相关,尤其是癌症,例如,PRMT1,PRMT 2,PRMT 3,PRMT 4和PRMT 7在乳腺癌中过表达,PRMT1在肺癌和白血病中过表达,PRMT5在多种血液病及实体恶性肿瘤(胃癌、乳腺癌、结肠癌、肺癌、肝癌、卵巢癌、胰腺癌、膀胱癌、皮肤癌、黑色素瘤、恶性胶质瘤、子宫颈癌和前列腺癌等)的发生中起重要作用,其表达水平与肿瘤的发生、发展及预后密切相关。PRMT6在膀胱癌和肺癌中高表达,PRMT9涉及淋巴瘤、黑色素瘤、睾丸癌和胰腺癌。PRMTs在肿瘤发生发展中的重要性越来越受到重视,其中,在PRMT1,PRMT 3,PRMT 4,PRMT 5和PRMT 6的这些特异性抑制剂中,PRMT1和PRMT5小分子抑制剂已进入临床阶段。The expression of PRMTs is associated with a variety of human diseases, especially cancer. For example, PRMT1, PRMT 2, PRMT 3, PRMT 4 and PRMT 7 are overexpressed in breast cancer, PRMT1 is overexpressed in lung cancer and leukemia, and PRMT5 plays an important role in the occurrence of a variety of blood diseases and solid malignancies (gastric cancer, breast cancer, colon cancer, lung cancer, liver cancer, ovarian cancer, pancreatic cancer, bladder cancer, skin cancer, melanoma, malignant glioma, cervical cancer and prostate cancer, etc.), and its expression level is closely related to the occurrence, development and prognosis of tumors. PRMT6 is highly expressed in bladder cancer and lung cancer, and PRMT9 is involved in lymphoma, melanoma, testicular cancer and pancreatic cancer. The importance of PRMTs in the occurrence and development of tumors has been increasingly recognized. Among these specific inhibitors of PRMT1, PRMT 3, PRMT 4, PRMT 5 and PRMT 6, small molecule inhibitors of PRMT1 and PRMT5 have entered the clinical stage.

PRMT5首次是Pollack等在酵母双杂交研究中通过与Jak2(Janus tyrosinekinase 2)相结合的蛋白复合体中分离出来,所以也称为JBP1(jak-binding protein 1)。PRMT5不仅可以调控基因转录和蛋白修饰的过程,而且在肿瘤细胞的生长过程中,具有调控细胞增殖、分化、凋亡的作用,是极具潜力的肿瘤治疗靶点。到目前为止,PRMT5抑制剂的研发均处于早期,进展最快的是GSK公司推出的GSK3326595处在I/II期临床,其适应症为骨髓增生异常综合征(MDS)、急性髓性白血病(AML)、实体瘤(包括乳腺癌,多形性成胶质细胞瘤(GBM),肾细胞癌,膀胱癌)和非霍奇金淋巴瘤。由Janssen首次发布的JNJ-64619178处在I期,其适应症主要为复发/难治B细胞非霍奇金淋巴瘤(NHL)或晚期实体瘤。由Pfizer发布的PF-06939999处在I期,其适应症主要为晚期或转移性非小细胞肺癌、头部和颈部鳞状细胞癌、食管癌、子宫内膜癌、宫颈癌和膀胱癌。由Prelude Therapeutics发布PRT-543处在I期,适应症主要为晚期或转移性实体瘤。目前,PF-06939999和PRT-543还没有公布结构式。GSK3326595和JNJ-64619178的结构式如下:PRMT5 was first isolated by Pollack et al. in yeast two-hybrid research through a protein complex that binds to Jak2 (Janus tyrosinekinase 2), so it is also called JBP1 (jak-binding protein 1). PRMT5 can not only regulate the process of gene transcription and protein modification, but also regulate cell proliferation, differentiation, and apoptosis during the growth of tumor cells. It is a very potential target for tumor treatment. So far, the research and development of PRMT5 inhibitors are all in the early stages. The fastest progress is GSK3326595 launched by GSK, which is in Phase I/II clinical trials. Its indications are myelodysplastic syndrome (MDS), acute myeloid leukemia (AML), solid tumors (including breast cancer, glioblastoma multiforme (GBM), renal cell carcinoma, bladder cancer) and non-Hodgkin's lymphoma. JNJ-64619178, first released by Janssen, is in Phase I, and its indications are mainly relapsed/refractory B-cell non-Hodgkin's lymphoma (NHL) or advanced solid tumors. PF-06939999 released by Pfizer is in Phase I, and its indications are mainly advanced or metastatic non-small cell lung cancer, head and neck squamous cell carcinoma, esophageal cancer, endometrial cancer, cervical cancer and bladder cancer. PRT-543 released by Prelude Therapeutics is in Phase I, and its indications are mainly advanced or metastatic solid tumors. At present, the structural formula of PF-06939999 and PRT-543 has not been announced. The structural formulas of GSK3326595 and JNJ-64619178 are as follows:

Figure BDA0002854352890000021
Figure BDA0002854352890000021

除此之外,公开的PRMT5选择性抑制剂专利申请还包括WO2014100730、WO2016034671、WO2016034675、WO2016034673、WO2018167276、US2018298010、WO2018161922、WO2019002074、WO2019178368、WO2019110734、WO2019112719等,但是目前并未找到很好的PRMT5抑制剂可以作为上市药物。为了达到更好的肿瘤治疗效果的目的,更好的满足市场需求,我们设计合成了一系列的选择性PRMT5抑制剂。In addition, the public patent applications for PRMT5 selective inhibitors include WO2014100730, WO2016034671, WO2016034675, WO2016034673, WO2018167276, US2018298010, WO2018161922, WO2019002074, WO2019178368, WO2019110734, WO2019112719, etc. However, no good PRMT5 inhibitors have been found as marketed drugs. In order to achieve better tumor treatment effects and better meet market demand, we designed and synthesized a series of selective PRMT5 inhibitors.

发明内容Summary of the invention

本发明提供一种本发明提供了一种新型结构的PRMT5抑制剂化合物。The present invention provides a PRMT5 inhibitor compound with a novel structure.

本发明提供一种如式(I)所示化合物,及其互变异构体、光学异构体、溶剂化物、同位素衍生物或其药学上可接受的盐,其具有如下结构:The present invention provides a compound as shown in formula (I), and its tautomers, optical isomers, solvates, isotopic derivatives or pharmaceutically acceptable salts, which have the following structure:

Figure BDA0002854352890000022
Figure BDA0002854352890000022

其中,Y为:Where Y is:

Figure BDA0002854352890000023
Figure BDA0002854352890000023

Z选自

Figure BDA0002854352890000024
其中R11选自-C1-6烷基或-H,Z is selected from
Figure BDA0002854352890000024
wherein R11 is selected from -C1-6 alkyl or -H,

X选自下列连接片段:X is selected from the following linking fragments:

Figure BDA0002854352890000025
Figure BDA0002854352890000025

A环选自取代或未取代的C3-10环烷基、取代或未取代的4-10元杂环烷基、取代或未取代的饱和4-12元桥环基、取代或未取代的饱和4-12元杂桥环基、取代或未取代的饱和单螺环基、取代或未取代的饱和杂单螺环基、取代或未取代的饱和稠环基、取代或未取代的饱和杂稠环基;其中,与R9相连的N原子与嘧啶环相连;Ring A is selected from substituted or unsubstituted C3-10 cycloalkyl, substituted or unsubstituted 4-10 membered heterocycloalkyl, substituted or unsubstituted saturated 4-12 membered bridged ring group, substituted or unsubstituted saturated 4-12 membered heterobridged ring group, substituted or unsubstituted saturated monospiro ring group, substituted or unsubstituted saturated heteromonospiro ring group, substituted or unsubstituted saturated fused ring group, substituted or unsubstituted saturated heterofused ring group; wherein the N atom connected to R9 is connected to the pyrimidine ring;

所述饱和单螺环基和饱和杂单螺环基的环原子数选自3元/5元、4元/4元、4元/5元、4元/6元、5元/5元和5元/6元环,其中每个环的计数均包括了螺原子;The number of ring atoms of the saturated monospirocyclic group and the saturated heteromonospirocyclic group is selected from 3-membered/5-membered, 4-membered/4-membered, 4-membered/5-membered, 4-membered/6-membered, 5-membered/5-membered and 5-membered/6-membered rings, wherein the count of each ring includes the spiro atom;

所述饱和稠环基和饱和杂稠环基选自5元/5元、5元/6元或6元/6元环,其中每个环的计数均包括了共用原子;The saturated fused cyclic group and the saturated heterofused cyclic group are selected from 5-membered/5-membered, 5-membered/6-membered or 6-membered/6-membered rings, wherein the count of each ring includes the common atoms;

所述“取代”是指取代基各自独立地选自卤素、羟基、氰基、硝基、氨基、叠氮基、羰基、羧基、乙炔基、C1-6烷基、C1-6烷氧基、C1-6卤代烷基、C3-10环烷基、5-10元杂环烷基、C6-14芳基或5-10元杂芳环基中的一个或多个;The "substituted" means that the substituents are each independently selected from one or more of halogen, hydroxyl, cyano, nitro, amino, azido, carbonyl, carboxyl, ethynyl, C1-6 alkyl, C1-6 alkoxy, C1-6 haloalkyl, C3-10 cycloalkyl, 5-10 membered heterocycloalkyl, C6-14 aryl or 5-10 membered heteroaromatic ring group;

所述R1、R2、R3、R4、R5、R6、R7、R9和R10每次出现时各自独立选自氢、卤素、羟基、氨基、羧基、硝基、氰基、羰基、叠氮基、氧代基、乙炔基、C1-6烷基、C1-6烷氧基、C1-6卤代烷基、C1-6烷氧基氨基、C1-6烷酯基、C1-6烷基氨基、C1-6酰胺基、C3-10环烷基、C3-10环烷基氨基、C3-10环烷基酰胺基、C3-10环氧烷基酰胺基、5-10元杂环烷基、C6-14芳基或5-10元杂芳环基,其中,所述C3-10环烷基、5-10元杂环烷基、C6-14芳基或5-10元杂芳环基可独立地被一个或多个选自卤素、羟基、氨基、硝基、C1-6烷氧基或C1-6烷基的取代基所取代;当R4、R5的其中一个为氧代基、时,则另外一个不存在;当R6、R7的其中一个为氧代基、时,则另外一个不存在;所述氧代基是指相同取代位的两个H被同一个O替代形成双键;Each occurrence of R1 , R2 , R3 , R4 , R5 , R6 , R7 , R9 and R10 is independently selected from hydrogen, halogen, hydroxyl, amino, carboxyl, nitro, cyano, carbonyl, azido, oxo, ethynyl, C1-6 alkyl, C 1-6 alkoxy, C1-6 haloalkyl, C1-6 alkoxyamino, C1-6 alkylester, C1-6 alkylamino, C1-6 amide, C3-10 cycloalkyl, C 3-10 cycloalkylamino, C3-10 cycloalkylamide, C 3-10 epoxyalkylamide, 5-10 membered heterocycloalkyl, C 6-14 aryl or 5-10 membered heteroaryl ring group, wherein the C3-10 cycloalkyl, 5-10 membered heterocycloalkyl, C3-10 cycloalkylamino, C3-10 cycloalkylamide, C3-10 epoxyalkylamide, 5-10 membered heterocycloalkyl, C6-14 aryl or 5-10 membered heteroaryl ring group The6-14- membered aryl or 5-10-membered heteroaromatic ring group may be independently substituted by one or more substituents selected from halogen, hydroxyl, amino, nitro, C1-6 alkoxy or C1-6 alkyl; when one of R4 and R5 is an oxo group, the other one is absent; when one of R6 and R7 is an oxo group, the other one is absent; the oxo group refers to two H at the same substitution position being replaced by the same O to form a double bond;

R3位于四氢异喹啉环的任意可取代位置,n为0、1、2、3、4、5或6;R3 is located at any substitutable position of the tetrahydroisoquinoline ring, and n is 0, 1, 2, 3, 4, 5 or 6;

所述R8独立选自氢、卤素、羟基、氨基、羧基、硝基、氰基、羰基、叠氮基、乙炔基、C1-6烷基、C1-6烷氧基、C1-6卤代烷基、C1-6烷氧基氨基、C1-6烷酯基、C1-6烷基氨基、-NR12R13、C1-6酰胺基、C3-10环烷基、C3-10环烷基氨基、C3-10环烷基酰胺基、C3-10环氧烷基酰胺基、5-10元杂环烷基、5-10元杂环烷基氨基、C6-14芳基、C6-14芳基氨基、5-10元杂芳环基、5-10元杂芳环基氨基,其中,所述C3-10环烷基、5-10元杂环烷基、C6-14芳基或5-10元杂芳环基可独立地被一个或多个选自卤素、羟基、氨基、硝基、C1-6烷氧基或C1-6烷基的取代基所取代;R12、R13各自独立地选自C1-6烷基;TheR8 is independently selected from hydrogen, halogen, hydroxyl, amino, carboxyl, nitro, cyano, carbonyl, azido, ethynyl,C1-6 alkyl, C1-6 alkoxy, C1-6 haloalkyl, C1-6 alkoxyamino,C1-6 alkylester,C1-6 alkylamino, -NR12R13,C1-6 amide,C3-10 cycloalkyl,C3-10 cycloalkylamino, C3-10 cycloalkylamide, C3-10 epoxyalkylamide, 5-10 membered heterocycloalkyl,5-10 membered heterocycloalkylamino, C6-14 aryl,C6-14 arylamino, 5-10 membered heteroarylring group, 5-10 membered heteroaryl ring groupamino,wherein the C3-10 cycloalkyl,5-10 membered heterocycloalkyl, C3-10 cycloalkylamino,C3-10 cycloalkylamide, C3-10 epoxyalkylamide,5-10 membered heterocycloalkyl, 5-10 membered heterocycloalkylamino,C6-14 aryl, C6-14 arylamino, 5-10 membered heteroaryl ring group, 5-10 membered heteroaryl ring groupamino, wherein theC3-10 cycloalkyl, 5-10 membered heterocycloalkyl, C3-10 The6-14- membered aryl or 5-10-membered heteroaromatic ring group may be independently substituted by one or more substituents selected from halogen, hydroxyl, amino, nitro, C1-6 alkoxy or C1-6 alkyl; R12 and R13 are each independently selected from C1-6 alkyl;

本发明中关于“芳基”、“杂芳环基”、“碳环基”、“环烷基”、“杂环基”、“杂环烷基”、“杂螺环基”、“杂桥环基”、“杂稠环基”的定义如下文“定义”部分。The definitions of “aryl”, “heteroaromatic ring group”, “carbocyclic group”, “cycloalkyl group”, “heterocyclic group”, “heterocycloalkyl group”, “heterospirocyclic group”, “heterobridged ring group” and “heterofused ring group” in the present invention are as shown in the “Definitions” section below.

作为优选方案,杂环烷基、杂芳环基、杂单螺环基、杂桥环基、杂稠环基中的杂原子独立地选自O、N或S,杂原子数量为1个、2个或3个。As a preferred embodiment, the heteroatoms in the heterocycloalkyl group, heteroaromatic ring group, heteromonospiro ring group, heterobridged ring group and heterocondensed ring group are independently selected from O, N or S, and the number of heteroatoms is 1, 2 or 3.

优选地,本发明所述的化合物或其互变异构体、光学异构体、溶剂化物、同位素衍生物或其药学上可接受的盐,其具有如式(II)所示结构:Preferably, the compound of the present invention or its tautomer, optical isomer, solvate, isotope derivative or pharmaceutically acceptable salt has a structure as shown in formula (II):

Figure BDA0002854352890000041
Figure BDA0002854352890000041

其中,Y、R1、R2、R3、R4、R5、R6、R7和n的定义同化合物(I)。wherein Y, R1 , R2 , R3 , R4 , R5 , R6 , R7 and n are the same as defined in compound (I).

进一步优选地,本发明所述的化合物或其互变异构体、光学异构体、溶剂化物、同位素衍生物或其药学上可接受的盐,其具有如式(III)所示结构:Further preferably, the compound of the present invention or its tautomer, optical isomer, solvate, isotope derivative or pharmaceutically acceptable salt has a structure as shown in formula (III):

Figure BDA0002854352890000042
Figure BDA0002854352890000042

其中,X、Z、R1、R2、R3、R4、R5、R6、R7、R8和n的定义同化合物(I)。wherein X, Z, R1 , R2 , R3 , R4 , R5 , R6 , R7 , R8 and n are as defined in compound (I).

进一步地,在某些具体实施方式中,本发明所述的化合物或其互变异构体、光学异构体、溶剂化物、同位素衍生物或其药学上可接受的盐,其中,A环选自取代或未取代的C5-7环烷基、取代或未取代的4-7元杂环烷基、取代或未取代的饱和4-10元桥环基、取代或未取代的饱和4-10元杂桥环基、取代或未取代的饱和单螺环基和取代或未取代的饱和杂单螺环基。Further, in certain specific embodiments, the compound described in the present invention or its tautomer, optical isomer, solvate, isotope derivative or pharmaceutically acceptable salt, wherein the A ring is selected from substituted or unsubstituted C5-7 cycloalkyl, substituted or unsubstituted 4-7 membered heterocycloalkyl, substituted or unsubstituted saturated 4-10 membered bridged ring group, substituted or unsubstituted saturated 4-10 membered heterobridged ring group, substituted or unsubstituted saturated monospirocyclic group and substituted or unsubstituted saturated heteromonospirocyclic group.

进一步地,在某些具体实施方式中,本发明所述的化合物或其互变异构体、光学异构体、溶剂化物、同位素衍生物或其药学上可接受的盐,A环选自取代或未取代的4-6元杂环烷基、取代或未取代的饱和4元/4元或4元/6元单螺环基、取代或未取代的饱和4元/4元或4元/6元杂单螺环基。Further, in certain specific embodiments, in the compound described in the present invention or its tautomer, optical isomer, solvate, isotope derivative or pharmaceutically acceptable salt thereof, ring A is selected from substituted or unsubstituted 4-6 membered heterocycloalkyl, substituted or unsubstituted saturated 4-membered/4-membered or 4-membered/6-membered monospirocyclic group, substituted or unsubstituted saturated 4-membered/4-membered or 4-membered/6-membered heteromonospirocyclic group.

进一步地,在某些具体实施方式中,本发明所述的化合物或其互变异构体、光学异构体、溶剂化物、同位素衍生物或其药学上可接受的盐,其中,所述A环定义中的杂环基、杂桥环基、杂单螺环基的杂原子为选自N或O原子,优选N原子,杂原子数量为1个。Furthermore, in certain specific embodiments, the compound of the present invention or its tautomer, optical isomer, solvate, isotope derivative or pharmaceutically acceptable salt, wherein the heteroatom of the heterocyclic group, heterobridged ring group and heteromonospirocyclic group in the definition of the A ring is selected from N or O atoms, preferably N atom, and the number of heteroatoms is 1.

进一步地,在某些具体实施方式中,本发明所述的化合物或其互变异构体、光学异构体、溶剂化物、同位素衍生物或其药学上可接受的盐,其中,所述A环定义中的杂环烷基的杂原子为N原子。Furthermore, in certain specific embodiments, the compound of the present invention or its tautomer, optical isomer, solvate, isotope derivative or pharmaceutically acceptable salt, wherein the heteroatom of the heterocycloalkyl group in the definition of the A ring is a N atom.

进一步地,在某些具体实施方式中,本发明所述的化合物或其互变异构体、光学异构体、溶剂化物、同位素衍生物或其药学上可接受的盐,其中,所述A环定义中“取代”是指取代基选自卤素或C1-6烷基。Further, in certain specific embodiments, the compound of the present invention or its tautomer, optical isomer, solvate, isotope derivative or pharmaceutically acceptable salt, wherein the "substituted" in the definition of the A ring means that the substituent is selected from halogen or C1-6 alkyl.

进一步地,在某些具体实施方式中,本发明所述的化合物或其互变异构体、光学异构体、溶剂化物、同位素衍生物或其药学上可接受的盐,其中,X选自

Figure BDA0002854352890000043
A环为取代或未取代的4-10元杂环烷基、取代或未取代的饱和4-12元杂桥环基、取代或未取代的饱和杂单螺环基、取代或未取代的饱和杂稠环基,且A环上与
Figure BDA0002854352890000051
相连的为杂原子。Further, in certain embodiments, the compound of the present invention or its tautomer, optical isomer, solvate, isotope derivative or pharmaceutically acceptable salt, wherein X is selected from
Figure BDA0002854352890000043
Ring A is a substituted or unsubstituted 4-10 membered heterocycloalkyl, a substituted or unsubstituted saturated 4-12 membered heterobridged ring group, a substituted or unsubstituted saturated heteromonospiro ring group, or a substituted or unsubstituted saturated heterocondensed ring group, and the ring A is
Figure BDA0002854352890000051
The connected atoms are heteroatoms.

优选地,上述具体实施方式中,所述A环上与

Figure BDA0002854352890000052
相连的杂原子为N原子。Preferably, in the above specific embodiment, the A ring is
Figure BDA0002854352890000052
The attached heteroatom is a N atom.

进一步地,在某些具体实施方式中,本发明所述的化合物或其互变异构体、光学异构体、溶剂化物、同位素衍生物或其药学上可接受的盐,其中,X选自

Figure BDA0002854352890000053
A环为取代或未取代的饱和4元/4元或4元/6元单螺环基。Further, in certain embodiments, the compound of the present invention or its tautomer, optical isomer, solvate, isotope derivative or pharmaceutically acceptable salt, wherein X is selected from
Figure BDA0002854352890000053
Ring A is a substituted or unsubstituted saturated 4-membered/4-membered or 4-membered/6-membered monospirocyclic group.

进一步地,在某些具体实施方式中,本发明所述的化合物或其互变异构体、光学异构体、溶剂化物、同位素衍生物或其药学上可接受的盐,其中,R8独立地选自-H、

Figure BDA0002854352890000054
Figure BDA0002854352890000055
Further, in certain embodiments, the compound of the present invention or its tautomer, optical isomer, solvate, isotope derivative or pharmaceutically acceptable salt, whereinR8 is independently selected from -H,
Figure BDA0002854352890000054
Figure BDA0002854352890000055

进一步地,在某些具体实施方式中,本发明所述的化合物或其互变异构体、光学异构体、溶剂化物、同位素衍生物或其药学上可接受的盐,其中,X独立地选自取代或未取代的

Figure BDA0002854352890000056
Figure BDA0002854352890000057
所述取代的位置在上述基团的环上任意位置,所述取代的取代基选自-F、-Cl、-CH3或-OH,所述取代基数量选自1、2或3。Further, in certain embodiments, the compound of the present invention or its tautomer, optical isomer, solvate, isotope derivative or pharmaceutically acceptable salt, wherein X is independently selected from substituted or unsubstituted
Figure BDA0002854352890000056
Figure BDA0002854352890000057
The substitution position is any position on the ring of the above group, the substitution substituent is selected from -F, -Cl, -CH3 or -OH, and the number of the substituent is selected from 1, 2 or 3.

进一步地,在某些具体实施方式中,本发明所述的化合物或其互变异构体、光学异构体、溶剂化物、同位素衍生物或其药学上可接受的盐,其中,X独立地选自

Figure BDA0002854352890000058
Figure BDA0002854352890000061
Further, in certain embodiments, the compound of the present invention or its tautomer, optical isomer, solvate, isotope derivative or pharmaceutically acceptable salt, wherein X is independently selected from
Figure BDA0002854352890000058
Figure BDA0002854352890000061

进一步地,本发明所述的化合物或其互变异构体、光学异构体、溶剂化物、同位素衍生物或其药学上可接受的盐,其中,R1、R2、R3、R4、R5、R6、R7、R9和R10各自独立地选自氢、卤素、羟基、氨基、硝基、羰基、C1-6烷基、C1-6烷氧基、C1-6卤代烷基。Furthermore, the compound of the present invention or its tautomer, optical isomer, solvate, isotope derivative or pharmaceutically acceptable salt, wherein R1 , R2 , R 3 , R4 , R5 , R6 , R7 , R9 and R10 areeach independently selected from hydrogen, halogen, hydroxyl, amino, nitro, carbonyl, C1-6 alkyl, C1-6 alkoxy, C1-6 haloalkyl.

更进一步地,本发明所述的化合物或其互变异构体、光学异构体、溶剂化物、同位素衍生物或其药学上可接受的盐,其中,R1、R2、R3、R4、R5、R6、R7、R9和R10各自独立地选自氢。Furthermore, in the compound of the present invention or its tautomer, optical isomer, solvate, isotope derivative or pharmaceutically acceptable salt thereof, R1 , R2 , R3 , R4 , R5 , R6 , R7 , R9 and R10 are each independently selected from hydrogen.

本发明提供以下化合物或其互变异构体、光学异构体、溶剂化物、同位素衍生物或其药学上可接受的盐,其具有如下结构:The present invention provides the following compound or its tautomer, optical isomer, solvate, isotope derivative or pharmaceutically acceptable salt, which has the following structure:

Figure BDA0002854352890000062
Figure BDA0002854352890000062

Figure BDA0002854352890000071
Figure BDA0002854352890000071

Figure BDA0002854352890000081
Figure BDA0002854352890000081

Figure BDA0002854352890000091
Figure BDA0002854352890000091

本发明还提供一种药用组合物,其包含本发明所述的化合物或其互变异构体、光学异构体、溶剂化物、同位素衍生物或其药学上可接受的盐,以及药学上可接受的辅料。The present invention also provides a pharmaceutical composition, which comprises the compound of the present invention or its tautomer, optical isomer, solvate, isotope derivative or pharmaceutically acceptable salt, and a pharmaceutically acceptable excipient.

本发明还提供所述化合物的用途。The present invention also provides the use of the compound.

本发明所述的化合物或其互变异构体、光学异构体、溶剂化物、同位素衍生物或其药学上可接受的盐或本发明所述的药物组合物在制备PRMT5抑制剂药物中的用途。Use of the compound of the present invention or its tautomer, optical isomer, solvate, isotope derivative or pharmaceutically acceptable salt or the pharmaceutical composition of the present invention in the preparation of PRMT5 inhibitor drugs.

本发明所述的化合物或其互变异构体、光学异构体、溶剂化物、同位素衍生物或其药学上可接受的盐或本发明所述的药物组合物在制备用于预防和/或治疗癌症的药物中的用途。Use of the compound of the present invention or its tautomer, optical isomer, solvate, isotope derivative or pharmaceutically acceptable salt or the pharmaceutical composition of the present invention in the preparation of a drug for preventing and/or treating cancer.

进一步地,上述用途中,所述癌症选自肺癌、骨癌、胃癌、胰腺癌、皮肤癌、头颈癌、子宫癌、卵巢癌、睾丸癌、输卵管癌、子宫内膜癌、子宫颈癌、阴道癌、胰腺癌、脑癌、垂体腺瘤,黑素瘤、表皮样癌、T细胞淋巴瘤、慢性和急性白血病。Furthermore, in the above-mentioned use, the cancer is selected from lung cancer, bone cancer, gastric cancer, pancreatic cancer, skin cancer, head and neck cancer, uterine cancer, ovarian cancer, testicular cancer, fallopian tube cancer, endometrial cancer, cervical cancer, vaginal cancer, pancreatic cancer, brain cancer, pituitary adenoma, melanoma, epidermoid carcinoma, T-cell lymphoma, chronic and acute leukemia.

另一方面,本发明还提供所述化合物的制备方法。In another aspect, the present invention also provides a method for preparing the compound.

本发明所述化合物的制备方法,其包括发生以下缩合反应:The method for preparing the compound of the present invention comprises the following condensation reaction:

Figure BDA0002854352890000101
Figure BDA0002854352890000101

其中,Y、X、R1、R2、R3、R4、R5、R6、R7、R8和n的定义同化合物(I)。wherein Y, X, R1 , R2 , R3 , R4 , R5 , R6 , R7 , R8 and n are the same as defined in compound (I).

定义definition

除另有规定外,术语“烷基”指一价饱和脂肪族烃基团,包含1至20个碳原子的直链或支链基团,例如“C1~6烷基”指的是该基团为烷基,且碳链上的碳原子数量在1~6之间。包括甲基、乙基、正丙基、异丙基、正丁基、异丁基、叔丁基、仲丁基、正戊基、新戊基、1,1-二甲基丙基、1,2-二甲基丙基、2,2-二甲基丙基、1-乙基丙基、2-甲基丁基、3-甲基丁基、正己基、正庚基、正辛基等。Unless otherwise specified, the term "alkyl" refers to a monovalent saturated aliphatic hydrocarbon group, a straight chain or branched group containing 1 to 20 carbon atoms, for example, "C1-6 alkyl" means that the group is an alkyl group, and the number of carbon atoms in the carbon chain is between 1 and 6. It includes methyl, ethyl, n-propyl, isopropyl, n-butyl, isobutyl, tert-butyl, sec-butyl, n-pentyl, neopentyl, 1,1-dimethylpropyl, 1,2-dimethylpropyl, 2,2-dimethylpropyl, 1-ethylpropyl, 2-methylbutyl, 3-methylbutyl, n-hexyl, n-heptyl, n-octyl, etc.

除另有规定外,“碳环基”或“碳环”是指具有从3到14个环碳原子的一种非芳香族环状烃基(“C3-14碳环基”)并且在该非芳香族环系统中不具有杂原子。在一些实施例中,碳环基基团具有3-12个环碳原子(“C3-12碳环基”)、或4-12个环碳原子(“C4-12碳环基”)、或3到10个环碳原子(“C3-10碳环基”)。在一些实施例中,碳环基基团具有3到8个环碳原子(“C3-8碳环基”)。在一些实施例中,碳环基基团具有3到7个环碳原子(“C3-7碳环基”)。在一些实施例中,碳环基基团具有4到6个环碳原子(“C4-6碳环基”)。在一些实施例中,碳环基基团具有5到10个环碳原子(“C5-10碳环基”)、或5到7个环碳原子(“C5-7碳环基”)。示例性C3-6碳环基基团包括,但不限于环丙基(C3)、环丙烯基(C3)、环丁基(C4)、环丁烯基(C4)、环戊基(C5)、环戊烯基(C5)、环己基(C6)、环己烯基(C6)、环己二烯基(C6)等。示例性C3-8碳环基基团包括,但不限于前面提到的C3-6碳环基基团以及环庚基(C7)、环庚烯基(C7)、环庚二烯基(C7)、环庚三烯基(C7)、环辛基(C8)、环辛烯基(C8)、二环[2.2.1]庚烷基(C7)、二环[2.2.2]辛烷基(C8)等。示例性C3-10碳环基基团包括,但不限于前面提到的C3-8碳环基基团以及环壬基(C9)、环壬烯基(C9)、环癸基(C10)、环癸烯基(C10)、八氢-1H-茚基(C9)、十氢萘基(C10)、螺[4.5]癸烷基(C10)等。如上述实例说明,在某些实施例中,该碳环基基团是单环的(“单环碳环基”)或是一种稠合的(稠环基)、桥接的(桥环基)或螺接-稠合(螺环基)的环系统,如一个双环系统(“双环碳环基”)并且可以是饱和的或可以是部分不饱和的。“碳环基”还包括其中如上所定义的该碳环基环被一个或多个芳基或杂芳基基团稠合的环系统,其中附接点是在该碳环基环上,并且在此类情况下,碳的数目继续指示该碳环系统中的碳的数目。在某些实施例中,碳环基基团的每个例子独立地是可任选取代的,例如,未取代的(一种“未取代的碳环基”)或被一个或多个取代基取代的(一种“取代的碳环基”)。在某些实施例中,该碳环基基团是未取代的C3-10碳环基。在某些实施例中,该碳环基基团是一种取代的C3-10碳环基。Unless otherwise specified, "carbocyclyl" or "carbocycle" refers to a non-aromatic cyclic hydrocarbon group having from 3 to 14 ring carbon atoms ("C3-14 carbocyclyl") and having no heteroatoms in the non-aromatic ring system. In some embodiments, the carbocyclyl group has 3 to 12 ring carbon atoms ("C3-12 carbocyclyl"), or 4 to 12 ring carbon atoms ("C4-12 carbocyclyl"), or 3 to 10 ring carbon atoms ("C3-10 carbocyclyl"). In some embodiments, the carbocyclyl group has 3 to 8 ring carbon atoms ("C3-8 carbocyclyl"). In some embodiments, the carbocyclyl group has 3 to 7 ring carbon atoms ("C3-7 carbocyclyl"). In some embodiments, the carbocyclyl group has 4 to 6 ring carbon atoms ("C4-6 carbocyclyl"). In some embodiments, the carbocyclyl group has 5 to 10 ring carbon atoms ("C5-10 carbocyclyl"), or 5 to 7 ring carbon atoms ("C5-7 carbocyclyl"). ExemplaryC3-6 carbocyclyl groups include, but are not limited to, cyclopropyl (C3 ), cyclopropenyl (C3), cyclobutyl (C4) , cyclobutenyl (C4 ), cyclopentyl (C5 ), cyclopentenyl (C5 ), cyclohexyl (C6 ), cyclohexenyl (C6 ), cyclohexadienyl (C6 ), and the like. ExemplaryC3-8 carbocyclyl groups include, but are not limited to, the aforementionedC3-6 carbocyclyl groups as well as cycloheptyl (C7 ), cycloheptenyl (C7 ), cycloheptadienyl (C7), cycloheptatrienyl (C7 ), cyclooctyl (C8 ), cyclooctenyl (C8 ), bicyclo[2.2.1]heptanyl (C7 ), bicyclo[2.2.2]octanyl (C8 ), etc. ExemplaryC3-10 carbocyclyl groupsinclude , but are not limited to, the aforementionedC3-8 carbocyclyl groups as well as cyclononyl (C9 ), cyclononenyl (C9 ), cyclodecyl (C10 ), cyclodecenyl (C10 ), octahydro-1H-indenyl (C9 ), decahydronaphthyl (C10 ), spiro[4.5]decanyl (C10 ), etc. As described in the above examples, in certain embodiments, the carbocyclyl group is a monocyclic ("monocyclic carbocyclyl") or a fused (fused cyclyl), bridged (bridged cyclyl) or spiro-fused (spirocyclyl) ring system, such as a bicyclic system ("bicyclic carbocyclyl") and can be saturated or partially unsaturated. "Carbocyclyl" also includes ring systems in which the carbocyclyl ring as defined above is fused by one or more aryl or heteroaryl groups, wherein the attachment point is on the carbocyclyl ring, and in such cases, the number of carbons continues to indicate the number of carbons in the carbocyclyl system. In certain embodiments, each example of a carbocyclyl group is independently optionally substituted, for example, unsubstituted (a "unsubstituted carbocyclyl") or substituted by one or more substituents (a "substituted carbocyclyl"). In certain embodiments, the carbocyclyl group is an unsubstituted C3-10 carbocyclyl. In certain embodiments, the carbocyclyl group is a substituted C 3-10carbocyclyl .

除另有规定外,术语“环烷基”指的单环、饱和的如上文定义的“碳环基”或“碳环”,优选C3~12环烷基,更优选C3-10环烷基,进一步优选C3-7环烷基,C3-6环烷基,C5-7环烷基,或C4-6环烷基。例如环丙基、环丁基、环戊基、环己基等。Unless otherwise specified, the term "cycloalkyl" refers to a monocyclic, saturated "carbocyclyl" or "carbocycle" as defined above, preferably C3-12 cycloalkyl, more preferably C3-10 cycloalkyl, further preferably C3-7 cycloalkyl, C3-6 cycloalkyl, C5-7 cycloalkyl, or C4-6 cycloalkyl. For example, cyclopropyl, cyclobutyl, cyclopentyl, cyclohexyl, etc.

除另有规定外,术语“烷氧基”指-O-烷基,所述烷基如上文所定义。优选地,具有1~10个碳原子,较佳地1~6个碳原子。代表的例子包括甲氧基、乙氧基、丙氧基、叔丁氧基、戊氧基、1-甲基丁氧基、2-甲基丁氧基、3-甲基丁氧基、1,1-二甲基丙氧基、1,2-二甲基丙氧基、2,2-二甲基丙氧基、1-乙基丙氧基等。Unless otherwise specified, the term "alkoxy" refers to -O-alkyl, the alkyl being as defined above. Preferably, it has 1 to 10 carbon atoms, more preferably 1 to 6 carbon atoms. Representative examples include methoxy, ethoxy, propoxy, tert-butoxy, pentyloxy, 1-methylbutoxy, 2-methylbutoxy, 3-methylbutoxy, 1,1-dimethylpropoxy, 1,2-dimethylpropoxy, 2,2-dimethylpropoxy, 1-ethylpropoxy, and the like.

除另有规定外,术语“卤素”或“卤代”是指F、Cl、Br、I。术语“卤代烷基”是指本文所定义的烷基中一个、两个或多个氢原子被卤素取代。卤代烷基的代表性例子包括CCl3、CF3、CHCl2、CH2CF3、CF2CF3等。Unless otherwise specified, the term "halogen" or "halo" refers to F, Cl, Br, I. The term "haloalkyl" refers to an alkyl group as defined herein in which one, two or more hydrogen atoms are replaced by halogen. Representative examples of haloalkyl include CCl3 , CF3 , CHCl2 , CH2 CF3 , CF2 CF3 and the like.

除另有规定外,术语“杂环基”或“杂环”指具有环碳原子和1到4个环杂原子的饱和或部分不饱和单环或多环环状非芳香族取代基,包含3~20个环原子(“3-20元杂环基”),其中杂原子各自独立地选自N、O或S。优选包含3~12个环原子(“3-12元杂环基”),进一步优选包含3~10个环原子(“3-10元杂环基”),更进一步优选包含3~8个环原子(“3-8元杂环基”),更进一步优选包含4~7个环原子(“4-7元杂环基”),更进一步优选地包含5-10个环原子(“5-10元杂环基”),更进一步优选包含5-6个环原子(“5-6元杂环基”);杂原子数量优选1、2个或3个。“杂环基”可以是单环的(“单环杂环基”)或一种稠合的(“稠杂环基”或“杂稠环基”)、桥接的(“杂桥环基”或“桥环杂环基”)或螺接-稠合(“杂螺环基”或“螺环杂环基”)的环系统,如一个双环系统(“双环杂环基”),并且可以是饱和的或可以是部分不饱和的。杂环基双环系统可以在一个或两个环中包括一个或多个杂原子。“杂环基”还包括其中如上所定义的该杂环基环被一个或多个碳环基基团稠合的环系统,其中附接点是在该碳环基或杂环基环或者其中如上所定义的该杂环基环被一个或多个芳基或杂芳基基团稠合的环系统上,其中附接点是在该杂环基环上,并且在此类情况下,环成员的数目继续指示该杂环基环系统中的环成员的数目。在某些实施例中,杂环基的每个例子独立地是可任选取代的,例如,未取代的(一种“未取代的杂环基”)或被一个或多个取代基取代的(一种“取代的杂环基”)。Unless otherwise specified, the term "heterocyclyl" or "heterocycle" refers to a saturated or partially unsaturated monocyclic or polycyclic non-aromatic substituent having ring carbon atoms and 1 to 4 ring heteroatoms, containing 3 to 20 ring atoms ("3-20 membered heterocyclyl"), wherein each heteroatom is independently selected from N, O or S. Preferably, it contains 3 to 12 ring atoms ("3-12 membered heterocyclyl"), more preferably 3 to 10 ring atoms ("3-10 membered heterocyclyl"), further preferably 3 to 8 ring atoms ("3-8 membered heterocyclyl"), further preferably 4 to 7 ring atoms ("4-7 membered heterocyclyl"), further preferably 5 to 10 ring atoms ("5-10 membered heterocyclyl"), further preferably 5 to 6 ring atoms ("5-6 membered heterocyclyl"); the number of heteroatoms is preferably 1, 2 or 3. "Heterocyclyl" may be monocyclic ("monocyclic heterocyclyl") or a fused ("fused heterocyclyl" or "heterofused cyclyl"), bridged ("heterobridged cyclyl" or "bridged heterocyclyl") or spiro-fused ("heterospirocyclyl" or "spiroheterocyclyl") ring system, such as a bicyclic ring system ("bicyclic heterocyclyl"), and may be saturated or may be partially unsaturated. Heterocyclyl bicyclic ring systems may include one or more heteroatoms in one or both rings. "Heterocyclyl" also includes ring systems in which the heterocyclyl ring as defined above is fused to one or more carbocyclyl groups, wherein the point of attachment is on the carbocyclyl or heterocyclyl ring or ring systems in which the heterocyclyl ring as defined above is fused to one or more aryl or heteroaryl groups, wherein the point of attachment is on the heterocyclyl ring, and in such cases, the number of ring members continues to indicate the number of ring members in the heterocyclyl ring system. In certain embodiments, each instance of heterocyclyl is independently optionally substituted, eg, unsubstituted (an "unsubstituted heterocyclyl") or substituted (a "substituted heterocyclyl") with one or more substituents.

含有1个杂原子的示例性3元杂环基基团包括,但不限于氮杂环丙烷基、氧杂环丙烷基(oxiranyl)和硫杂环丙烷基(thiorenyl)。含有1个杂原子的示例性4元杂环基基团包括,但不限于氮杂环丁烷基、氧杂环丁烷基和硫杂环丁烷基。含有1个杂原子的示例性5元杂环基基团包括,但不限于四氢呋喃基、二氢呋喃基、四氢苯硫基、二氢苯硫基、吡咯烷基、二氢吡咯基以及吡咯基-2,5-二酮。含有2个杂原子的示例性5元杂环基基团包括,但不限于二氧戊环基、氧杂硫杂环戊烷基、二硫杂环戊烷基以及噁唑烷-2-酮。含有3个杂原子的示例性5元杂环基基团包括,但不限于三唑啉基、噁二唑啉基和噻二唑啉基。含有1个杂原子的示例性6元杂环基基团包括,但不限于哌啶基、四氢吡喃基、二氢吡啶基以及硫杂环己烷基(thianyl)。含有2个杂原子的示例性6元杂环基基团包括,但不限于哌嗪基、吗啉基、二硫杂环己烷基以及二氧杂环己烷基。含有3个杂原子的示例性6元杂环基基团包括,但不限于三氮杂环己烷基、氧杂二嗪烷基、噻二嗪烷基、氧杂噻嗪烷基以及二氧杂氮杂环己烷基(dioxazinanyl)。含有1个杂原子的示例性7元杂环基基团包括,但不限于氮杂环庚烷基、氧杂环庚烷基和硫杂环庚烷基。含有1个杂原子的示例性8元杂环基基团包括,但不限于氮杂环辛烷基、氧杂环辛烷基和硫杂环辛烷基。稠合到一个C6芳基环上的示例性5元杂环基基团(在此又称为一种5,6-双环杂环)包括,但不限于二氢吲哚基、异二氢吲哚基、二氢苯并呋喃基、二氢苯并噻吩基、苯并噁唑啉酮基等。稠合到一个芳基环上的示例性6元杂环基基团(在此又称为一种6,6-双环杂环)包括,但不限于四氢喹啉基、四氢异喹啉基等。Exemplary 3-membered heterocyclic radicals containing 1 heteroatom include, but are not limited to aziridine, oxirane and thiorenyl. Exemplary 4-membered heterocyclic radicals containing 1 heteroatom include, but are not limited to azetidine, oxetane and thiorenyl. Exemplary 5-membered heterocyclic radicals containing 1 heteroatom include, but are not limited to tetrahydrofuranyl, dihydrofuranyl, tetrahydrophenylthio, dihydrophenylthio, pyrrolidinyl, dihydropyrrole and pyrrolyl-2,5-dione. Exemplary 5-membered heterocyclic radicals containing 2 heteroatoms include, but are not limited to dioxolanyl, oxathiolanyl, dithiolanyl and oxazolidin-2-one. Exemplary 5-membered heterocyclic radicals containing 3 heteroatoms include, but are not limited to triazolinyl, oxadiazolinyl and thiadiazolinyl. Exemplary 6-membered heterocyclic radicals containing 1 heteroatom include, but are not limited to piperidinyl, tetrahydropyranyl, dihydropyridinyl and thianyl. Exemplary 6-membered heterocyclic radicals containing 2 heteroatoms include, but are not limited to piperazinyl, morpholinyl, dithianyl and dioxanyl. Exemplary 6-membered heterocyclic radicals containing 3 heteroatoms include, but are not limited to triazacyclohexane, oxadiazine alkyl, thiadiazine alkyl, oxathiazine alkyl and dioxazanyl. Exemplary 7-membered heterocyclic radicals containing 1 heteroatom include, but are not limited to azepanyl, oxanyl and thianyl. Exemplary 8-membered heterocyclic radicals containing 1 heteroatom include, but are not limited to azooctanyl, oxanyl and thianyl. Exemplary 5-membered heterocyclyl groups (also referred to herein as a 5,6-bicyclic heterocycle) fused to a C6 aryl ring include, but are not limited to, dihydroindolinyl, isoindolinyl, dihydrobenzofuranyl, dihydrobenzothienyl, benzoxazolinonyl, etc. Exemplary6 -membered heterocyclyl groups (also referred to herein as a 6,6-bicyclic heterocycle) fused to an aryl ring include, but are not limited to, tetrahydroquinolinyl, tetrahydroisoquinolinyl, etc.

除另有规定外,“杂环烷基”是指单环、饱和的如上文定义的“杂环基”或“杂环”,环原子定义同上,即包含3~20个环原子(“3-20元杂环烷基”),杂原子数量为1个、2个、3个或4个(1-4个),优选1个、2个或3个(1-3个),其中杂原子各自独立地选自N、O或S。优选包含3~12个环原子(“3-12元杂环烷基”),进一步优选包含3~10个环原子(“3-10元杂环烷基”),更进一步优选包含3~8个环原子(“3-8元杂环烷基”),更进一步优选包含4~7个环原子(“4-7元杂环烷基”),更进一步优选地包含5-10个环原子(“5-10元杂环烷基”),更进一步优选包含5-6个环原子(“5-6元杂环烷基”)。在某些实施例中,杂环烷基的每个例子独立地是可任选取代的,例如,未取代的(一种“未取代的杂环烷基”)或被一个或多个取代基取代的(一种“取代的杂环烷基”)。上文“杂环基”或“杂环”部分已给出了部分示例性的“杂环烷基”,还包括,但不限于氧杂环己烷基、硫代吗啉基、氧杂硫杂环己基、噁唑烷基、噻唑烷基、吡唑烷基、咪唑啉啶等。Unless otherwise specified, "heterocycloalkyl" refers to a monocyclic, saturated "heterocyclyl" or "heterocycle" as defined above, with the same definition of ring atoms as above, i.e., containing 3 to 20 ring atoms ("3-20 membered heterocycloalkyl"), with 1, 2, 3 or 4 (1-4), preferably 1, 2 or 3 (1-3), wherein each heteroatom is independently selected from N, O or S. Preferably, it contains 3 to 12 ring atoms ("3-12 membered heterocycloalkyl"), more preferably, it contains 3 to 10 ring atoms ("3-10 membered heterocycloalkyl"), more preferably, it contains 3 to 8 ring atoms ("3-8 membered heterocycloalkyl"), more preferably, it contains 4 to 7 ring atoms ("4-7 membered heterocycloalkyl"), more preferably, it contains 5 to 10 ring atoms ("5-10 membered heterocycloalkyl"), and more preferably, it contains 5 to 6 ring atoms ("5-6 membered heterocycloalkyl"). In certain embodiments, each example of heterocycloalkyl is independently optionally substituted, for example, unsubstituted (an "unsubstituted heterocycloalkyl") or substituted with one or more substituents (a "substituted heterocycloalkyl"). Some exemplary "heterocycloalkyl" are given in the "heterocyclyl" or "heterocycle" section above, and also include, but are not limited to, oxacyclohexane, thiomorpholinyl, oxathiacyclohexane, oxazolidinyl, thiazolidinyl, pyrazolidinyl, imidazolinidine, etc.

除另有规定外,术语“螺杂环基”指单环之间共用一个原子(称螺原子)的多环杂环基团,其中一个或多个环原子选自氮、氧或S(O)r(其中r是整数0、1、2)的杂原子,其余环原子为碳。这些可以含有一个或多个双键,但没有一个环具有完全共轭的π电子系统。根据环与环之间共用螺原子的数目将螺杂环基分为单螺杂环基、双螺杂环基或多螺杂环基。Unless otherwise specified, the term "spiro heterocyclic group" refers to a polycyclic heterocyclic group in which one atom (called a spiro atom) is shared between the single rings, wherein one or more ring atoms are selected from nitrogen, oxygen or S(O)r (where r is an integer of 0, 1, 2) heteroatoms, and the remaining ring atoms are carbon. These may contain one or more double bonds, but none of the rings has a completely conjugated π electron system. Spiro heterocyclic groups are divided into mono-spiro heterocyclic groups, bi-spiro heterocyclic groups or poly-spiro heterocyclic groups according to the number of spiro atoms shared between the rings.

除另有规定外,术语“稠杂环基”指系统中的每个环与体系中的其他环共享毗邻的一对原子的多环杂环基团,一个或多个环可以含有一个或多个双键,但没有一个环具有完全共轭的π电子系统,其中一个或多个环原子选自氮、氧或S(O)r(其中r是整数0、1、2)的杂原子,其余环原子为碳。根据组成环的数目可以分为双环、三环、四环或多环稠杂环烷基。Unless otherwise specified, the term "fused heterocyclic group" refers to a polycyclic heterocyclic group in which each ring in the system shares a pair of adjacent atoms with other rings in the system, one or more rings may contain one or more double bonds, but no ring has a completely conjugated π electron system, wherein one or more ring atoms are selected from nitrogen, oxygen or S(O)r (wherein r is an integer 0, 1, 2) heteroatom, and the remaining ring atoms are carbon. According to the number of constituent rings, it can be divided into bicyclic, tricyclic, tetracyclic or polycyclic fused heterocyclic alkyl.

除另有规定外,术语“桥杂环基”指任意两个环共用两个不直接连接的原子的多环杂环基团,这些可以含有一个或多个双键,但没有一个环具有完全共轭的π电子系统,其中一个或多个环原子选自氮、氧或S(O)r(其中r是整数0、1、2)的杂原子,其余环原子为碳。根据组成环的数目可以分为双环、三环、四环或多环桥杂环基。除另有规定外,术语“芳基”或“芳环基”表示含有6-16个环原子,或6-14个环原子,或6-12个环原子,或6-10个环原子的单环、双环和三环的芳香碳环体系,术语“芳基”可以和术语“芳香环”交换使用。芳基基团的实例可以包括苯基、萘基、蒽基、菲基或芘基等。Unless otherwise specified, the term "bridged heterocyclic group" refers to a polycyclic heterocyclic group in which any two rings share two atoms that are not directly connected. These may contain one or more double bonds, but none of the rings has a completely conjugated π electron system, wherein one or more ring atoms are selected from nitrogen, oxygen or S(O)r (wherein r is an integer 0, 1, 2) heteroatoms, and the remaining ring atoms are carbon. According to the number of constituent rings, it can be divided into bicyclic, tricyclic, tetracyclic or polycyclic bridged heterocyclic groups. Unless otherwise specified, the term "aryl" or "aromatic ring group" means a monocyclic, bicyclic and tricyclic aromatic carbocyclic system containing 6-16 ring atoms, or 6-14 ring atoms, or 6-12 ring atoms, or 6-10 ring atoms. The term "aryl" can be used interchangeably with the term "aromatic ring". Examples of aryl groups may include phenyl, naphthyl, anthracenyl, phenanthrenyl or pyrenyl, etc.

除另有规定外,术语“杂芳基”或“杂芳环基”表示含有5-12元结构,或5-10元结构,优选5-8元结构,更优选5-6元结构的芳香单环或者多环环状系统,其中至少一个环原子为杂原子且其余原子为碳,杂原子独立地选自O、N或S,杂原子数量优选为1个、2个或3个。杂芳基的实例包括呋喃基、噻吩基、噁唑基、噻唑基、异噁唑基、噁二唑基、噻二唑基、吡咯基、吡唑基、咪唑基、三唑基、四唑基、吡啶基、嘧啶基、吡嗪基、哒嗪基、硫代二唑基、三嗪基、酞嗪基、喹啉基、异喹啉基、喋啶基、嘌呤基、吲哚基、异吲哚基、吲唑基、苯并呋喃基、苯并噻吩基、苯并吡啶基、苯并嘧啶基、苯并吡嗪基、苯并咪唑基、苯并酞嗪基、吡咯并[2,3-b]吡啶基、咪唑并[1,2-a]吡啶基、吡唑并[1,5-a]吡啶基、吡唑并[1,5-a]嘧啶基、咪唑并[1,2-b]哒嗪基、[1,2,4]三唑并[4,3-b]哒嗪基、[1,2,4]三唑并[1,5-a]嘧啶基、[1,2,4]三唑并[1,5-a]吡啶基等。Unless otherwise specified, the term "heteroaryl" or "heteroaromatic ring group" means an aromatic monocyclic or polycyclic ring system containing 5-12 members, or 5-10 members, preferably 5-8 members, and more preferably 5-6 members, wherein at least one ring atom is a heteroatom and the remaining atoms are carbon, the heteroatoms are independently selected from O, N or S, and the number of heteroatoms is preferably 1, 2 or 3. Examples of heteroaryl groups include furanyl, thienyl, oxazolyl, thiazolyl, isoxazolyl, oxadiazolyl, thiadiazolyl, pyrrolyl, pyrazolyl, imidazolyl, triazolyl, tetrazolyl, pyridinyl, pyrimidinyl, pyrazinyl, pyridazinyl, thiodiazolyl, triazinyl, phthalazinyl, quinolyl, isoquinolyl, pteridinyl, purinyl, indolyl, isoindolyl, indazolyl, benzofuranyl, benzothienyl, benzopyridinyl, benzopyrimidinyl, benzopyrazinyl 1,2-b]pyridinyl, [1,2,4]triazolo[4,3-b]pyridinyl, [1,2,4]triazolo[1,5-a]pyridinyl, [1,2,4]triazolo[1,5-a]pyrimidinyl, [1,2,4]triazolo[1,5-a]pyridinyl, etc.

除另有规定外,术语“螺环基”指单环之间共用一个碳原子(称螺原子)的全碳多环基团,这些可以含有一个或多个双键,但没有一个环具有完全共轭的π电子系统。根据环与环之间共用螺原子的数目将螺环烷基分为单螺环烷基、双螺环烷基基或多螺环烷基。Unless otherwise specified, the term "spirocyclic group" refers to a full-carbon polycyclic group in which a carbon atom (called a spiro atom) is shared between the single rings. These may contain one or more double bonds, but none of the rings has a completely conjugated π electron system. According to the number of spiro atoms shared between the rings, spirocyclic alkyl groups are divided into monospirocyclic alkyl groups, bispirocyclic alkyl groups or polyspirocyclic alkyl groups.

除另有规定外,术语“稠环基”指系统中的每个环与体系中的其他环共享毗邻的一对碳原子的全碳多环基团,其中一个或多个环可以含有一个或多个双键,但没有一个环具有完全共轭的π电子系统。根据组成环的数目可以分为双环、三环、四环或多环稠环烷基。Unless otherwise specified, the term "fused cyclic group" refers to a full-carbon polycyclic group in which each ring in the system shares a pair of adjacent carbon atoms with other rings in the system, wherein one or more rings may contain one or more double bonds, but no ring has a completely conjugated π electron system. According to the number of constituent rings, it can be divided into bicyclic, tricyclic, tetracyclic or polycyclic fused cyclic alkyl groups.

除另有规定外,术语“桥环基”指任意两个环共用两个不直接连接的碳原子的全碳多环基团,这些可以含有一个或多个双键,但没有一个环具有完全共轭的π电子系统。根据组成环的数目可以分为双环、三环、四环或多环桥环烷基。Unless otherwise specified, the term "bridged cycloalkyl" refers to a full-carbon polycyclic group in which any two rings share two carbon atoms that are not directly connected, which may contain one or more double bonds, but none of the rings has a completely conjugated π electron system. According to the number of constituent rings, it can be divided into bicyclic, tricyclic, tetracyclic or polycyclic bridged cycloalkyl.

除另有规定外,术语“药物上可接受的盐”是指在合理医学判断范围内适用于与哺乳动物特别是人的组织接触而无过度毒性、刺激、过敏反应等并与合理的效益/风险比相称的盐,比如胺、羧酸和其他类型化合物的医学上可接受的盐在所属领域中是被熟知的。Unless otherwise specified, the term "pharmaceutically acceptable salt" refers to salts that are suitable for contact with mammalian tissues, especially human tissues, without excessive toxicity, irritation, allergic response, etc., and are commensurate with a reasonable benefit/risk ratio within the scope of reasonable medical judgment. For example, medically acceptable salts of amines, carboxylic acids and other types of compounds are well known in the art.

除另有规定外,术语“盐”包含得自无机酸例如盐酸、硫酸、亚硫酸、硝酸、磷酸、氢溴酸等的盐,也包括自有机酸如乙酸、丙酸、琥珀酸、乳酸、苹果酸、酒石酸、柠檬酸、甲磺酸、马来酸、富马酸、水杨酸等制备的盐。如果本发明的化合物为酸性的,则药学上可接受的无毒碱包括无机碱及有机碱制备的盐。得自无机碱的盐包括铝盐、铵盐、钙盐、铜盐、铁盐、亚铁盐、锂盐、镁盐、锌盐等,得自有机无毒碱的盐包括伯胺盐、仲胺盐、叔胺盐等。Unless otherwise specified, the term "salt" includes salts derived from inorganic acids such as hydrochloric acid, sulfuric acid, sulfurous acid, nitric acid, phosphoric acid, hydrobromic acid, etc., and also includes salts prepared from organic acids such as acetic acid, propionic acid, succinic acid, lactic acid, malic acid, tartaric acid, citric acid, methanesulfonic acid, maleic acid, fumaric acid, salicylic acid, etc. If the compound of the present invention is acidic, pharmaceutically acceptable non-toxic bases include salts prepared from inorganic bases and organic bases. Salts derived from inorganic bases include aluminum salts, ammonium salts, calcium salts, copper salts, iron salts, ferrous salts, lithium salts, magnesium salts, zinc salts, etc., and salts derived from organic non-toxic bases include primary amine salts, secondary amine salts, tertiary amine salts, etc.

制备实施例、实施例及本文其他地方使用的缩写词是:Abbreviations used in the Preparative Examples, Examples, and elsewhere herein are:

DCM 二氯甲烷DCM Dichloromethane

TEA 三乙胺TEA Triethylamine

DIPEA N,N-二异丙基乙胺DIPEA N,N-Diisopropylethylamine

DMF N,N-二甲基甲酰胺DMF N,N-Dimethylformamide

EtOAc 乙酸乙酯EtOAc Ethyl acetate

h 小时h hour

ml 毫升ml milliliters

HATU 2-(7-偶氮苯并三氮唑)-N,N,N',N'-四甲基脲六氟磷酸酯HATU 2-(7-Azobenzotriazole)-N,N,N',N'-tetramethyluronium hexafluorophosphate

MeOH 甲醇MeOH Methanol

TFA 三氟乙酸TFA Trifluoroacetic acid

DMSO-d6 氘代二甲基亚砜DMSO-d6- deuterated dimethyl sulfoxide

SAM S-腺苷甲硫氨酸SAM S-adenosylmethionine

DTT 二硫苏糖醇DTT Dithiothreitol

本发明的有益效果为:The beneficial effects of the present invention are:

本发明提供了一种新型结构的PRMT5抑制剂并公开其制备方法及其在医药上的应用。特别地,本发明化合物具有治疗癌症的用途,酶学和细胞筛选结果显示:本发明化合物与阳性对照药GSK-3326595相比,更显著抑制PRMT5活性且对MV4;11有较强的增殖抑制作用。The present invention provides a PRMT5 inhibitor with a novel structure and discloses a preparation method and its application in medicine. In particular, the compound of the present invention has the use of treating cancer, and the results of enzymatic and cell screening show that the compound of the present invention more significantly inhibits PRMT5 activity and has a stronger proliferation inhibition effect on MV4;11 compared with the positive control drug GSK-3326595.

具体实施方式DETAILED DESCRIPTION

下面结合具体实施例,进一步阐述本发明。应理解,这些实施例仅用于说明本发明而不用于限制本发明的范围。下列实施例中未注明具体条件的实验方法,通常按照常规条件或者按照制造厂商所建议的条件。除非另行定义,文中所使用的所有专业与科学用语与本领域专业人员所熟悉的意义相同。此外,任何与所记载内容相似或均等的方法及材料皆可应用于本发明方法之中。文中所示的较佳实施方法与材料仅做示范之用。The present invention will be further described below in conjunction with specific examples. It should be understood that these examples are only used to illustrate the present invention and are not intended to limit the scope of the present invention. The experimental methods in the following examples that do not specify specific conditions are usually performed under conventional conditions or according to the conditions recommended by the manufacturer. Unless otherwise defined, all professional and scientific terms used in the text have the same meanings as those familiar to professionals in the field. In addition, any method and material similar or equivalent to the described content can be applied to the method of the present invention. The preferred implementation methods and materials shown in the text are for demonstration purposes only.

制备例Preparation Example

在下述制备例中记载本发明具体化合物的母核化合物及中间体的制备方法。The following preparation examples describe methods for preparing the core compounds and intermediates of specific compounds of the present invention.

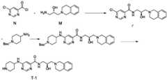
制备例1:(S)-N-(3,4-二氢异喹啉-2(1H)-基-2-羟丙基)-6-(哌啶-4-基氨基)嘧啶-4-甲酰胺(T-1)的制备Preparation Example 1: Preparation of (S)-N-(3,4-dihydroisoquinolin-2(1H)-yl-2-hydroxypropyl)-6-(piperidin-4-ylamino)pyrimidine-4-carboxamide (T-1)

Figure BDA0002854352890000161
Figure BDA0002854352890000161

步骤1:(S)-6-氯-N-(3-(3,4-二氢异喹啉-2(1H)-基)-2-羟丙基)嘧啶-4-甲酰胺Step 1: (S)-6-Chloro-N-(3-(3,4-dihydroisoquinolin-2(1H)-yl)-2-hydroxypropyl)pyrimidine-4-carboxamide

在100mL的反应瓶中,将6-氯-嘧啶4-甲酰氯(0.63g,3.56mmol)溶于DCM(10mL)中,0℃条件下,加入TEA(0.72g,7.12mmol)。然后加入(S)-1-氨基-3-(3,4-二氢异喹啉-2(1H)-基)丙-2-醇(0.66g,3.20mmol)。反应液在25℃条件下搅拌2h。TLC监控反应完毕,反应液用H2O(5mL)稀释,用DCM(15mL×2)提取。用饱和食盐水(10mL)洗涤合并的有机层,Na2SO4干燥,过滤,减压浓缩,得到残留物。残留物通过柱色谱纯化(DCM∶MeOH=10∶1)。获得黄色油状化合物(S)-6-氯-N-(3-(3,4-二氢异喹啉-2(1H)-基)-2-羟丙基)嘧啶-4-甲酰胺(I’)(0.68g,55.08%)。In a 100 mL reaction bottle, 6-chloro-pyrimidine 4-carbonyl chloride (0.63 g, 3.56 mmol) was dissolved in DCM (10 mL). TEA (0.72 g, 7.12 mmol) was added at 0°C. Then (S)-1-amino-3-(3,4-dihydroisoquinolin-2(1H)-yl)propan-2-ol (0.66 g, 3.20 mmol) was added. The reaction solution was stirred at 25°C for 2 h. After the reaction was completed by TLC monitoring, the reaction solution was diluted with H2 O (5 mL) and extracted with DCM (15 mL×2). The combined organic layer was washed with saturated brine (10 mL), dried over Na2 SO4 , filtered, and concentrated under reduced pressure to obtain a residue. The residue was purified by column chromatography (DCM: MeOH=10:1). The yellow oily compound (S)-6-chloro-N-(3-(3,4-dihydroisoquinolin-2(1H)-yl)-2-hydroxypropyl)pyrimidine-4-carboxamide (I′) (0.68 g, 55.08%) was obtained.

步骤2:(S)-叔丁基4-((6-((3-(3,4-二氢异喹啉-2(1H)-基)-2-羟丙基)氨基甲酰基)嘧啶-4-基)氨基)哌啶-1-羧酸酯Step 2: (S)-tert-Butyl 4-((6-((3-(3,4-dihydroisoquinolin-2(1H)-yl)-2-hydroxypropyl)carbamoyl)pyrimidin-4-yl)amino)piperidine-1-carboxylate

将(S)-6-氯-N-(3-(3,4-二氢异喹啉-2(1H)-基)-2-羟丙基)嘧啶-4-甲酰胺(0.28g,0.81mmol,1eq)溶于20ml异丙醇中,依次加入TEA(0.25g,24.7mmol,3eq),4-氨基哌啶-1-羧酸叔丁酯(0.24g,1.2mmol,1.5eq),将反应液升温至85℃反应8h。TLC显示反应完毕后,将反应液减压浓缩至干,柱层析分离(DCM:MeOH=30:1)得到(S)-叔丁基4-((6-((3-(3,4-二氢异喹啉-2(1H)-基)-2-羟丙基)氨基甲酰基)嘧啶-4-基)氨基)哌啶-1-羧酸酯(0.36g,87.32%)。(S)-6-chloro-N-(3-(3,4-dihydroisoquinolin-2(1H)-yl)-2-hydroxypropyl)pyrimidine-4-carboxamide (0.28 g, 0.81 mmol, 1 eq) was dissolved in 20 ml of isopropanol, and TEA (0.25 g, 24.7 mmol, 3 eq) and tert-butyl 4-aminopiperidine-1-carboxylate (0.24 g, 1.2 mmol, 1.5 eq) were added in sequence. The reaction solution was heated to 85°C and reacted for 8 h. After TLC showed the reaction was completed, the reaction solution was concentrated to dryness under reduced pressure and separated by column chromatography (DCM:MeOH=30:1) to give (S)-tert-butyl 4-((6-((3-(3,4-dihydroisoquinolin-2(1H)-yl)-2-hydroxypropyl)carbamoyl)pyrimidin-4-yl)amino)piperidine-1-carboxylate (0.36 g, 87.32%).

步骤3:(S)-N-(3,4-二氢异喹啉-2(1H)-基-2-羟丙基)-6-(哌啶-4-基氨基)嘧啶-4-甲酰胺(T-1)的制备Step 3: Preparation of (S)-N-(3,4-dihydroisoquinolin-2(1H)-yl-2-hydroxypropyl)-6-(piperidin-4-ylamino)pyrimidine-4-carboxamide (T-1)

将(S)-叔丁基4-((6-((3-(3,4-二氢异喹啉-2(1H)-基)-2-羟丙基)氨基甲酰基)嘧啶-4-基)氨基)哌啶-1-羧酸酯(0.36g,0.71mmol,1eq)溶于20ml二氯甲烷中,加入1ml三氟乙酸,室温反应1h。减压浓缩至干即得(S)-N-(3,4-二氢异喹啉-2(1H)-基-2-羟丙基)-6-(哌啶-4-基氨基)嘧啶-4-甲酰胺(T-1)(0.25g,86.38%),MS(m/z):411.35[M+H]+(S)-tert-butyl 4-((6-((3-(3,4-dihydroisoquinolin-2(1H)-yl)-2-hydroxypropyl)carbamoyl)pyrimidin-4-yl)amino)piperidine-1-carboxylate (0.36 g, 0.71 mmol, 1 eq) was dissolved in 20 ml of dichloromethane, 1 ml of trifluoroacetic acid was added, and the mixture was reacted at room temperature for 1 h. The mixture was concentrated to dryness under reduced pressure to obtain (S)-N-(3,4-dihydroisoquinolin-2(1H)-yl-2-hydroxypropyl)-6-(piperidin-4-ylamino)pyrimidine-4-carboxamide (T-1) (0.25 g, 86.38%), MS (m/z): 411.35 [M+H]+ .

制备例2:(S)-6-((6-氨基螺[3.3]庚-2-基)氨基)-N-(3-(3,4-二氢异喹啉-2(1H)-基)-2-羟丙基)嘧啶-4-甲酰胺(T-2)的制备Preparation Example 2: Preparation of (S)-6-((6-aminospiro[3.3]hept-2-yl)amino)-N-(3-(3,4-dihydroisoquinolin-2(1H)-yl)-2-hydroxypropyl)pyrimidine-4-carboxamide (T-2)

Figure BDA0002854352890000171
Figure BDA0002854352890000171

合成方法同制备例1,只是用(6-氨基螺[3.3]庚-2-基)氨基甲酸叔丁酯替换4-氨基哌啶-1-羧酸叔丁酯,得到(S)-6-((6-氨基螺[3.3]庚-2-基)氨基)-N-(3-(3,4-二氢异喹啉-2(1H)-基)-2-羟丙基)嘧啶-4-甲酰胺(T-2)(0.30g,85.12%),MS(m/z):437.62[M+H]+。制备例3:(S)-6-(7-氮杂螺[3.5]壬烷-2-基氨基)-N-(3-(3,4-二氢异喹啉-2(1H)-基)-2-羟丙基)嘧啶-4-甲酰胺(T-3)的制备The synthesis method is the same as that of Preparation Example 1, except that tert-butyl (6-aminospiro[3.3]hept-2-yl)carbamate is used to replace tert-butyl 4-aminopiperidine-1-carboxylate to obtain (S)-6-((6-aminospiro[3.3]hept-2-yl)amino)-N-(3-(3,4-dihydroisoquinolin-2(1H)-yl)-2-hydroxypropyl)pyrimidine-4-carboxamide (T-2) (0.30 g, 85.12%), MS (m/z): 437.62 [M+H]+ . Preparation Example 3: Preparation of (S)-6-(7-azaspiro[3.5]nonan-2-ylamino)-N-(3-(3,4-dihydroisoquinolin-2(1H)-yl)-2-hydroxypropyl)pyrimidine-4-carboxamide (T-3)

Figure BDA0002854352890000172
Figure BDA0002854352890000172

合成方法同制备例1,只是用2-氨基-7-Boc-7-氮杂螺[3.5]壬烷替换4-氨基哌啶-1-羧酸叔丁酯,得到(S)-6-(7-氮杂螺[3.5]壬烷-2-基氨基)-N-(3-(3,4-二氢异喹啉-2(1H)-基)-2-羟丙基)嘧啶-4-甲酰胺(T-3)(0.35g,96.33%),MS(m/z):451.37[M+H]+The synthesis method is the same as that of Preparation Example 1, except that 2-amino-7-Boc-7-azaspiro[3.5]nonane is used to replace tert-butyl 4-aminopiperidine-1-carboxylate to obtain (S)-6-(7-azaspiro[3.5]nonane-2-ylamino)-N-(3-(3,4-dihydroisoquinolin-2(1H)-yl)-2-hydroxypropyl)pyrimidine-4-carboxamide (T-3) (0.35 g, 96.33%), MS (m/z): 451.37 [M+H]+ .

制备例4:N-((S)-3-(3,4-二氢异喹啉-2(1H)-基)-2-羟丙基)-6-((3-氟哌啶-4-基)氨基)嘧啶-4-甲酰胺(T-4)的的制备Preparation Example 4: Preparation of N-((S)-3-(3,4-dihydroisoquinolin-2(1H)-yl)-2-hydroxypropyl)-6-((3-fluoropiperidin-4-yl)amino)pyrimidine-4-carboxamide (T-4)

Figure BDA0002854352890000173
Figure BDA0002854352890000173

合成方法同制备例1,只是用4-氨基-3-氟哌啶-1-羧酸叔丁酯替换4-氨基哌啶-1-羧酸叔丁酯,得到N-((S)-3-(3,4-二氢异喹啉-2(1H)-基)-2-羟丙基)-6-((3-氟哌啶-4-基)氨基)嘧啶-4-甲酰胺(T-4)(0.16g,70.49%),MS(m/z):429.22[M+H]+The synthesis method is the same as that of Preparation Example 1, except that 4-amino-3-fluoropiperidine-1-carboxylic acid tert-butyl ester is used to replace 4-aminopiperidine-1-carboxylic acid tert-butyl ester to obtain N-((S)-3-(3,4-dihydroisoquinolin-2(1H)-yl)-2-hydroxypropyl)-6-((3-fluoropiperidin-4-yl)amino)pyrimidine-4-carboxamide (T-4) (0.16 g, 70.49%), MS (m/z): 429.22 [M+H]+ .

制备例5:6-((3,3-二氟哌啶-4-基)氨基)-N-((S)-3-(3,4-二氢异喹啉-2(1H)-基)-2-羟丙基)嘧啶-4-甲酰胺(T-5)的制备Preparation Example 5: Preparation of 6-((3,3-difluoropiperidin-4-yl)amino)-N-((S)-3-(3,4-dihydroisoquinolin-2(1H)-yl)-2-hydroxypropyl)pyrimidine-4-carboxamide (T-5)

Figure BDA0002854352890000181
Figure BDA0002854352890000181

合成方法同制备例1,只是用4-氨基-3,3-二氟-1-哌啶羧酸叔丁酯替换4-氨基哌啶-1-羧酸叔丁酯,得到6-((3,3-二氟哌啶-4-基)氨基)-N-((S)-3-(3,4-二氢异喹啉-2(1H)-基)-2-羟丙基)嘧啶-4-甲酰胺(T-5)(0.15g,69.19%),MS(m/z):447.54[M+H]+The synthesis method is the same as that of Preparation Example 1, except that 4-amino-3,3-difluoro-1-piperidinecarboxylic acid tert-butyl ester is used to replace 4-aminopiperidine-1-carboxylic acid tert-butyl ester to obtain 6-((3,3-difluoropiperidin-4-yl)amino)-N-((S)-3-(3,4-dihydroisoquinolin-2(1H)-yl)-2-hydroxypropyl)pyrimidine-4-carboxamide (T-5) (0.15 g, 69.19%), MS (m/z): 447.54 [M+H]+ .

以下为采用起始物或中间体制备本发明化合物得具体实施方式。The following is a specific embodiment of preparing the compounds of the present invention using starting materials or intermediates.

实施例1:(S)-N-(3-(3,4-二氢异喹啉-2(1H)-基)-2-羟丙基)-6-((1-(2-氧代丙酰基)哌啶-4-基)氨基)嘧啶-4-甲酰胺(PT-1)的制备Example 1: Preparation of (S)-N-(3-(3,4-dihydroisoquinolin-2(1H)-yl)-2-hydroxypropyl)-6-((1-(2-oxopropanoyl)piperidin-4-yl)amino)pyrimidine-4-carboxamide (PT-1)

Figure BDA0002854352890000182
Figure BDA0002854352890000182

将(S)-N-(3,4-二氢异喹啉-2(1H)-基-2-羟丙基)-6-(哌啶-4-基氨基)嘧啶-4-甲酰胺(T-1)(0.25g,0.61mmol,1.0eq)溶于20mL DMF中,依次加入3mL TEA(pH﹥10即可),2-氧代丙酸(0.64g,0.730mmol,1.2eq),HATU(0.30g,0.789mmol,1.3eq),室温反应2h。TLC显示反应完毕后,加入水,乙酸乙酯,分液。有机相分别用水、饱和食盐水各洗涤一次后浓缩至干,柱层析分离(二氯甲烷:甲醇=30:1)得到化合物(S)-N-(3-(3,4-二氢异喹啉-2(1H)-基)-2-羟丙基)-6-((1-(2-氧代丙酰基)哌啶-4-基)氨基)嘧啶-4-甲酰胺(PT-1)(0.1g,34.10%)。MS(m/z):481.25[M+H]+1H NMR(600MHz,DMSO-d6)δ:1.384-1.400(m,2H),1.900-1.966(m,2H),2.349(s,3H),2.645-2.740(m,2H),2.803-2.812(m,2H),2.956-2.994(m,1H),3.180-3.219(m,1H),3.276-3.298(m,2H),3.354-3.420(m,2H),3.542-3.596(m,3H),3.868-3.876(m,1H),4.100-4.121(m,2H),4.966-4.973(d,1H),6.979-6.991(m,1H),7.048-7.099(m,4H),7.783-7.794(d,1H),8.275(s,1H),8.745-8.763(t,1H).(S)-N-(3,4-dihydroisoquinolin-2(1H)-yl-2-hydroxypropyl)-6-(piperidin-4-ylamino)pyrimidine-4-carboxamide (T-1) (0.25 g, 0.61 mmol, 1.0 eq) was dissolved in 20 mL DMF, and 3 mL TEA (pH > 10), 2-oxopropionic acid (0.64 g, 0.730 mmol, 1.2 eq), and HATU (0.30 g, 0.789 mmol, 1.3 eq) were added in sequence, and the mixture was reacted at room temperature for 2 h. After TLC showed that the reaction was complete, water and ethyl acetate were added and the mixture was separated. The organic phase was washed once with water and once with saturated brine, then concentrated to dryness and separated by column chromatography (dichloromethane:methanol=30:1) to give compound (S)-N-(3-(3,4-dihydroisoquinolin-2(1H)-yl)-2-hydroxypropyl)-6-((1-(2-oxopropanoyl)piperidin-4-yl)amino)pyrimidine-4-carboxamide (PT-1) (0.1 g, 34.10%). MS (m/z): 481.25 [M+H]+ ;1 H NMR (600 MHz, DMSO-d6 )δ:1.384-1.400(m,2H),1.900-1.966(m,2H),2.349(s,3H),2.645-2.740(m,2H),2.803-2.812(m,2H),2.956-2.994(m,1H),3.180-3.219(m,1H) ,3.276-3.298(m,2H),3.354-3.420(m,2H ),3.542-3.596(m,3H),3.868-3.876(m,1H),4.100-4.121(m,2H),4.966-4.973(d,1H),6.979-6.991(m,1H),7.048-7.099(m,4H),7.783-7.794(d ,1H),8.275(s,1H),8.745-8.763(t,1H).

实施例2:(S)-6-((1-(2-环丙基-2-氧代乙酰基)哌啶-4-基)氨基)-N-(3-(3,4-二氢异喹啉-2(1H)-基)-2-羟丙基)嘧啶-4-甲酰胺(PT-2)的制备Example 2: Preparation of (S)-6-((1-(2-cyclopropyl-2-oxoacetyl)piperidin-4-yl)amino)-N-(3-(3,4-dihydroisoquinolin-2(1H)-yl)-2-hydroxypropyl)pyrimidine-4-carboxamide (PT-2)

Figure BDA0002854352890000183
Figure BDA0002854352890000183

合成方法同实施例1,只是用2-环丙基-2-羰基乙酸替换2-氧代丙酸,得到(S)-6-((1-(2-环丙基-2-氧代乙酰基)哌啶-4-基)氨基)-N-(3-(3,4-二氢异喹啉-2(1H)-基)-2-羟丙基)嘧啶-4-甲酰胺(PT-2)(0.27g,87.51%)。MS(m/z):507.27[M+H]+1H NMR(600MHz,DMSO-d6)δ:1.088-1.233(m,5H),1.360-1.378(m,2H),1.935-1.982(m,2H),2.245-2.251(m,1H),2.688-2.834(m,4H),2.994-3.033(m,1H),3.244-3.298(m,2H),3.405-3.426(m,2H),3.511-3.533(m,1H),3.612(m,2H),3.895(m,1H),4.164(m,2H),4.990(s,1H),7.024-7.109(m,5H),7.813-7.822(d,1H),8.301(s,1H),8.778(s,1H).The synthesis method was the same as in Example 1, except that 2-cyclopropyl-2-carbonylacetic acid was used to replace 2-oxopropionic acid, to obtain (S)-6-((1-(2-cyclopropyl-2-oxoacetyl)piperidin-4-yl)amino)-N-(3-(3,4-dihydroisoquinolin-2(1H)-yl)-2-hydroxypropyl)pyrimidine-4-carboxamide (PT-2) (0.27 g, 87.51%). MS (m/z): 507.27 [M+H]+ ;1 H NMR (600 MHz, DMSO-d6 )δ:1.088-1.233(m,5H),1.360-1.378(m,2H),1.935-1.982(m,2H),2.245-2.251(m,1H),2.688-2.834(m,4H),2.994-3.033(m,1H),3.244-3.298( m,2H),3.405-3 .426(m,2H),3.511-3.533(m,1H),3.612(m,2H),3.895(m,1H),4.164(m,2H),4.990(s,1H),7.024-7.109(m,5H),7.813-7.822(d,1H),8.301(s, 1H),8.778(s,1H).

实施例3:(S)-N-(3-(3,4-二氢异喹啉-2(1H)-基)-2-羟丙基)-6-((1-(3,3-二甲基-2-氧代丁酰基)哌啶-4-基)氨基)嘧啶-4-甲酰胺(PT-3)的制备Example 3: Preparation of (S)-N-(3-(3,4-dihydroisoquinolin-2(1H)-yl)-2-hydroxypropyl)-6-((1-(3,3-dimethyl-2-oxobutanoyl)piperidin-4-yl)amino)pyrimidine-4-carboxamide (PT-3)

Figure BDA0002854352890000191
Figure BDA0002854352890000191

合成方法同实施例1,只是用三甲基丙酮酸替换2-氧代丙酸,得到(S)-N-(3-(3,4-二氢异喹啉-2(1H)-基)-2-羟丙基)-6-((1-(3,3-二甲基-2-氧代丁酰基)哌啶-4-基)氨基)嘧啶-4-甲酰胺(PT-3)(0.27g,84.85%)。MS(m/z):523.30[M+H]+1H NMR(600MHz,DMSO-d6)δ:1.191(s,9H),1.308-1.369(m,2H),1.918-1.981(m,2H),2.615-2.755(m,2H),2.818-2.827(m,2H),2.970-3.008(m,1H),3.212-3.331(m,5H),3.406-3.427(m,1H),3.572-3.644(m,2H),3.881-3.890(m,1H),4.173(m,2H),4.980-4.987(d,1H),7.007-7.111(m,5H),7.810-7.820(d,1H),8.290(s,1H),8.774-8.782(t,1H).The synthesis method was the same as in Example 1, except that trimethylpyruvic acid was used instead of 2-oxopropionic acid to obtain (S)-N-(3-(3,4-dihydroisoquinolin-2(1H)-yl)-2-hydroxypropyl)-6-((1-(3,3-dimethyl-2-oxobutanoyl)piperidin-4-yl)amino)pyrimidine-4-carboxamide (PT-3) (0.27 g, 84.85%). MS (m/z): 523.30 [M+H]+ ;1 H NMR (600 MHz, DMSO-d6 )δ:1.191(s,9H),1.308-1.369(m,2H),1.918-1.981(m,2H),2.615-2.755(m,2H),2.818-2.827(m,2H),2.970-3.008(m,1H),3.212-3.331(m,5H) ,3.406-3.427(m ,1H),3.572-3.644(m,2H),3.881-3.890(m,1H),4.173(m,2H),4.980-4.987(d,1H),7.007-7.111(m,5H),7.810-7.820(d,1H),8.290(s,1H),8.7 74-8.782(t,1H).

实施例4:(S)-N-(3-(3,4-二氢异喹啉-2(1H)-基)-2-羟丙基)-6-((1-(3-甲基-2-氧代丁酰基)哌啶-4-基)氨基)嘧啶-4-甲酰胺(PT-4)的制备Example 4: Preparation of (S)-N-(3-(3,4-dihydroisoquinolin-2(1H)-yl)-2-hydroxypropyl)-6-((1-(3-methyl-2-oxobutanoyl)piperidin-4-yl)amino)pyrimidine-4-carboxamide (PT-4)

Figure BDA0002854352890000192
Figure BDA0002854352890000192

合成方法同实施例1,只是用3-甲基-2-氧代丁酸替换2-氧代丙酸,得到(S)-N-(3-(3,4-二氢异喹啉-2(1H)-基)-2-羟丙基)-6-((1-(3-甲基-2-氧代丁酰基)哌啶-4-基)氨基)嘧啶-4-甲酰胺(PT-4)(0.24g,77.42%)。MS(m/z):509.29[M+H]+1H NMR(600MHz,DMSO-d6)δ:1.095(s,6H),1.345-1.360(m,2H),1.920-1.982(m,2H),2.667-2.755(m,2H),2.816-2.825(m,2H),2.990-3.036(m,2H),3.212-3.307(m,4H),3.408-3.486(m,2H),3.572-3.644(m,2H),3.872-3.889(m,1H),4.157-4.175(m,2H),4.971-4.978(d,1H),7.005-7.109(m,5H),7.799-7.810(d,1H),8.291(s,1H),8.756-8.774(t,1H).The synthesis method was the same as in Example 1, except that 3-methyl-2-oxobutanoic acid was used instead of 2-oxopropionic acid to obtain (S)-N-(3-(3,4-dihydroisoquinolin-2(1H)-yl)-2-hydroxypropyl)-6-((1-(3-methyl-2-oxobutanoyl)piperidin-4-yl)amino)pyrimidine-4-carboxamide (PT-4) (0.24 g, 77.42%). MS (m/z): 509.29 [M+H]+ ;1 H NMR (600 MHz, DMSO-d6 )δ:1.095(s,6H),1.345-1.360(m,2H),1.920-1.982(m,2H),2.667-2.755(m,2H),2.816-2.825(m,2H),2.990-3.036(m,2H),3.212-3.307(m,4H) ,3.408-3.486(m,2H ),3.572-3.644(m,2H),3.872-3.889(m,1H),4.157-4.175(m,2H),4.971-4.978(d,1H),7.005-7.109(m,5H),7.799-7.810(d,1H),8.291(s,1H), 8.756-8.774(t,1H).

实施例5:(S)-N-(3-(3,4-二氢异喹啉-2(1H)-基)-2-羟丙基)-6-((1-(4-甲基-2-氧代戊酰基)哌啶-4-基)氨基)嘧啶-4-甲酰胺(PT-5)的制备Example 5: Preparation of (S)-N-(3-(3,4-dihydroisoquinolin-2(1H)-yl)-2-hydroxypropyl)-6-((1-(4-methyl-2-oxopentanoyl)piperidin-4-yl)amino)pyrimidine-4-carboxamide (PT-5)

Figure BDA0002854352890000201
Figure BDA0002854352890000201

合成方法同实施例1,只是用4-甲基-2-氧代戊酸替换2-氧代丙酸,得到(S)-N-(3-(3,4-二氢异喹啉-2(1H)-基)-2-羟丙基)-6-((1-(4-甲基-2-氧代戊酰基)哌啶-4-基)氨基)嘧啶-4-甲酰胺(PT-5)(0.24g,77.42%)。MS(m/z):523.30[M+H]+1H NMR(600MHz,DMSO-d6)δ:0.921(s,6H),1.326-1.343(m,2H),1.925-1.948(m,2H),2.081-2.103(m,1H),2.610-2.755(m,4H),2.815-2.824(m,2H),2.990-3.036(m,1H),3.223-3.307(m,4H),3.407-3.429(m,1H),3.525-3.642(m,3H),3.870-3.898(m,1H),4.121-4.142(m,2H),4.970-4.977(d,1H),7.003-7.108(m,5H),7.793-7.804(d,1H),8.289(s,1H),8.755-8.773(t,1H).The synthesis method was the same as in Example 1, except that 4-methyl-2-oxopentanoic acid was used instead of 2-oxopropionic acid to obtain (S)-N-(3-(3,4-dihydroisoquinolin-2(1H)-yl)-2-hydroxypropyl)-6-((1-(4-methyl-2-oxopentanoyl)piperidin-4-yl)amino)pyrimidine-4-carboxamide (PT-5) (0.24 g, 77.42%). MS (m/z): 523.30 [M+H]+ ;1 H NMR (600 MHz, DMSO-d6 )δ:0.921(s,6H),1.326-1.343(m,2H),1.925-1.948(m,2H),2.081-2.103(m,1H),2.610-2.755(m,4H),2.815-2.824(m,2H),2.990-3.036(m,1H), 3.223-3.307(m,4H),3.407-3 .429(m,1H),3.525-3.642(m,3H),3.870-3.898(m,1H),4.121-4.142(m,2H),4.970-4.977(d,1H),7.003-7.108(m,5H),7.793-7.804(d,1H),8. 289(s,1H),8.755-8.773(t,1H).

实施例6:(S)-N-(3-(3,4-二氢异喹啉-2(1H)-基)-2-羟丙基)-6-((1-(2-羟基乙酰基)哌啶-4-基)氨基)嘧啶-4-甲酰胺(PT-6)的制备Example 6: Preparation of (S)-N-(3-(3,4-dihydroisoquinolin-2(1H)-yl)-2-hydroxypropyl)-6-((1-(2-hydroxyacetyl)piperidin-4-yl)amino)pyrimidine-4-carboxamide (PT-6)

Figure BDA0002854352890000202
Figure BDA0002854352890000202

合成方法同实施例1,只是用乙醇酸替换2-氧代丙酸,得到(S)-N-(3-(3,4-二氢异喹啉-2(1H)-基)-2-羟丙基)-6-((1-(2-羟基乙酰基)哌啶-4-基)氨基)嘧啶-4-甲酰胺(PT-6)(0.20g,70.10%)。MS(m/z):469.25[M+H]+1H NMR(600MHz,DMSO-d6)δ:1.297-1.390(m,2H),1.899-1.912(m,2H),2.682-2.757(m,2H),2.828-2.880(m,3H),3.086-3.122(m,1H),3.305(brs,2H),3.420-3.439(m,2H),3.579-3.677(m,3H),3.894(m,1H),4.083-4.113(m,3H),4.210-4.224(m,1H),4.523(s,1H),4.976(s,1H),7.008-7.099(m,5H),7.771-7.782(m,1H),8.297(s,1H),8.758(s,1H).The synthesis method was the same as in Example 1, except that glycolic acid was used instead of 2-oxopropionic acid to obtain (S)-N-(3-(3,4-dihydroisoquinolin-2(1H)-yl)-2-hydroxypropyl)-6-((1-(2-hydroxyacetyl)piperidin-4-yl)amino)pyrimidine-4-carboxamide (PT-6) (0.20 g, 70.10%). MS (m/z): 469.25 [M+H]+ ;1 H NMR (600 MHz, DMSO-d6 )δ:1.297-1.390(m,2H),1.899-1.912(m,2H),2.682-2.757(m,2H),2.828-2.880(m,3H),3.086-3.122(m,1H),3.305(brs,2H),3.420-3.439(m,2H) ,3.579-3.677( m,3H),3.894(m,1H),4.083-4.113(m,3H),4.210-4.224(m,1H),4.523(s,1H),4.976(s,1H),7.008-7.099(m,5H),7.771-7.782(m,1H),8.297(s, 1H),8.758(s,1H).

实施例7:6-((1-(2-环丙基-2-羟基丙酰基)哌啶-4-基)氨基)-N-((S)-3-(3,4-二氢异喹啉-2(1H)-基)-2-羟丙基)嘧啶-4-甲酰胺(PT-7)的制备Example 7: Preparation of 6-((1-(2-cyclopropyl-2-hydroxypropionyl)piperidin-4-yl)amino)-N-((S)-3-(3,4-dihydroisoquinolin-2(1H)-yl)-2-hydroxypropyl)pyrimidine-4-carboxamide (PT-7)

Figure BDA0002854352890000203
Figure BDA0002854352890000203

合成方法同实施例1,只是用2-环丙基-2-羟基丙酸替换2-氧代丙酸,得到6-((1-(2-环丙基-2-羟基丙酰基)哌啶-4-基)氨基)-N-((S)-3-(3,4-二氢异喹啉-2(1H)-基)-2-羟丙基)嘧啶-4-甲酰胺(PT-7)(0.18g,5.49%)。MS(m/z):523.27[M+H]+1H NMR(600MHz,DMSO-d6)δ:0.315-0.345(m,3H),0.398-0.407(m,1H),1.154-1.186(m,2H),1.283(s,3H),1.349(m,2H),1.914(m,2H),1.988(m,1H),2.688-2.755(m,2H),2.828(m,2H),3.032(s,1H),3.244-3.298(m,1H),3.409-3.431(m,1H),3.576-3.644(m,2H),3.883-3.889(m,1H),4.010-4.046(m,1H),4.117(s,1H),4.452(m,2H),4.960-4.967(s,1H),5.044(s,1H),7.007-7.111(m,5H),7.755-7.767(d,1H),8.290(s,1H),8.738-8.756(s,1H).The synthesis method was the same as in Example 1, except that 2-cyclopropyl-2-hydroxypropionic acid was used instead of 2-oxopropionic acid to obtain 6-((1-(2-cyclopropyl-2-hydroxypropanoyl)piperidin-4-yl)amino)-N-((S)-3-(3,4-dihydroisoquinolin-2(1H)-yl)-2-hydroxypropyl)pyrimidine-4-carboxamide (PT-7) (0.18 g, 5.49%). MS (m/z): 523.27 [M+H]+ ;1 H NMR (600 MHz, DMSO-d6 )δ:0.315-0.345(m,3H),0.398-0.407(m,1H),1.154-1.186(m,2H),1.283(s,3H),1.349(m,2H),1.914(m,2H),1.988(m,1H),2.688-2.755(m,2H) ,2.828(m,2H),3.032(s,1H),3.244-3.298(m,1H),3.409-3.431(m ,1H),3.576-3.644(m,2H),3.883-3.889(m,1H),4.010-4.046(m,1H),4.117(s,1H),4.452(m,2H),4.960-4.967(s,1H),5.044(s,1H),7.007-7. 111(m,5H),7.755-7.767(d,1H),8.290(s,1H),8.738-8.756(s,1H).

实施例8:(S)-N-(3-(3,4-二氢异喹啉-2(1H)-基)-2-羟丙基)-6-((7-(3,3-二甲基-2-氧代丁酰基)-7-氮杂螺[3.5]壬烷-2-基)氨基)嘧啶-4-甲酰胺(PT-8)的制备Example 8: Preparation of (S)-N-(3-(3,4-dihydroisoquinolin-2(1H)-yl)-2-hydroxypropyl)-6-((7-(3,3-dimethyl-2-oxobutanoyl)-7-azaspiro[3.5]nonan-2-yl)amino)pyrimidine-4-carboxamide (PT-8)

Figure BDA0002854352890000211
Figure BDA0002854352890000211

合成方法同实施例1,只是用T-3代替T-1,用三甲基丙酮酸替换2-氧代丙酸,得到(S)-N-(3-(3,4-二氢异喹啉-2(1H)-基)-2-羟丙基)-6-((7-(3,3-二甲基-2-氧代丁酰基)-7-氮杂螺[3.5]壬烷-2-基)氨基)嘧啶-4-甲酰胺(PT-8)(0.28g,89.68%)。MS(m/z):563.33[M+H]+1H NMR(600MHz,DMSO-d6)δ:1.170-1.181(s,9H),1.514(m,2H),1.597(m,2H),1.704(m,2H),2.313(m,2H),2.665-2.754(m,2H),2.816-2.825(m,2H),3.071(m,1H),3.154(m,1H),3.277-3.309(m,2H),3.309(s,1H),3.392-3.474(m,3H),3.572-3.643(m,2H),3.881-3.889(m,1H),4.404-4.430(m,1H),4.980-4.987(d,1H),7.018-7.100(m,5H),8.049-8.059(m,1H),8.271(s,1H),8.767(s,1H).The synthesis method was the same as that of Example 1, except that T-3 was used instead of T-1, and trimethylpyruvic acid was used instead of 2-oxopropionic acid to obtain (S)-N-(3-(3,4-dihydroisoquinolin-2(1H)-yl)-2-hydroxypropyl)-6-((7-(3,3-dimethyl-2-oxobutanoyl)-7-azaspiro[3.5]nonan-2-yl)amino)pyrimidine-4-carboxamide (PT-8) (0.28 g, 89.68%). MS (m/z): 563.33 [M+H]+ ;1 H NMR (600 MHz, DMSO-d6 )δ:1.170-1.181(s,9H),1.514(m,2H),1.597(m,2H),1.704(m,2H),2.313(m,2H),2.665-2.754(m,2H),2.816-2.825(m,2H),3.071(m,1H),3.154 (m,1H),3.277-3.309(m,2H),3.309(s ,1H),3.392-3.474(m,3H),3.572-3.643(m,2H),3.881-3.889(m,1H),4.404-4.430(m,1H),4.980-4.987(d,1H),7.018-7.100(m,5H),8.049-8. 059(m,1H),8.271(s,1H),8.767(s,1H).

实施例9:(S)-N-(3-(3,4-二氢异喹啉-2(1H)-基)-2-羟丙基)-6-((7-(4-甲基-2-氧代戊酰基)-7-氮杂螺[3.5]壬烷-2-基)氨基)嘧啶-4-甲酰胺(PT-9)的制备Example 9: Preparation of (S)-N-(3-(3,4-dihydroisoquinolin-2(1H)-yl)-2-hydroxypropyl)-6-((7-(4-methyl-2-oxopentanoyl)-7-azaspiro[3.5]nonan-2-yl)amino)pyrimidine-4-carboxamide (PT-9)

Figure BDA0002854352890000212
Figure BDA0002854352890000212

合成方法同实施例1,只是用T-3代替T-1,用4-甲基-2-氧代戊酸替换2-氧代丙酸,得到(S)-N-(3-(3,4-二氢异喹啉-2(1H)-基)-2-羟丙基)-6-((7-(4-甲基-2-氧代戊酰基)-7-氮杂螺[3.5]壬烷-2-基)氨基)嘧啶-4-甲酰胺(PT-9)(0.21g,67.26%)。MS(m/z):563.33[M+H]+;1H NMR(600MHz,DMSO-d6)δ:0.899-0.919(d,6H),1.522-1.533(m,2H),1.609(brs,2H),1.700(brs,2H),2.054-2.111(m,1H),2.309(brs,2H),2.582-2.604(m,3H),2.716-2.825(m,2H),2.839(s,2H),3.175(m,1H),3.249-3.294(m,3H),3.373-3.455(m,3H),3.643(brs,2H),3.902(brs,1H),4.418(brs,1H),4.994(brs,1H),7.026-7.108(m,5H),8.041-8.062(m,1H),8.284(s,1H),8.759(s,1H).The synthesis method was the same as that of Example 1, except that T-3 was used instead of T-1, and 4-methyl-2-oxopentanoic acid was used instead of 2-oxopropionic acid to obtain (S)-N-(3-(3,4-dihydroisoquinolin-2(1H)-yl)-2-hydroxypropyl)-6-((7-(4-methyl-2-oxopentanoyl)-7-azaspiro[3.5]nonan-2-yl)amino)pyrimidine-4-carboxamide (PT-9) (0.21 g, 67.26%). MS (m/z): 563.33 [M+H]+;1 H NMR (600 MHz, DMSO-d6 )δ:0.899-0.919(d,6H),1.522-1.533(m,2H),1.609(brs,2H),1.700(brs,2H),2.054-2.111(m,1H),2.309(brs,2H),2.582-2.604(m,3H),2.716-2. 825(m,2H),2.839(s,2H),3.175(m, 1H),3.249-3.294(m,3H),3.373-3.455(m,3H),3.643(brs,2H),3.902(brs,1H),4.418(brs,1H),4.994(brs,1H),7.026-7.108(m,5H),8.041-8.062 (m,1H),8.284(s,1H),8.759(s,1H).

实施例10:(S)-N-(3-(3,4-二氢异喹啉-2(1H)-基)-2-羟丙基)-6-((7-(3-甲基-2-氧代丁酰基)-7-氮杂螺[3.5]壬烷-2-基)氨基)嘧啶-4-甲酰胺(PT-10)的制备Example 10: Preparation of (S)-N-(3-(3,4-dihydroisoquinolin-2(1H)-yl)-2-hydroxypropyl)-6-((7-(3-methyl-2-oxobutanoyl)-7-azaspiro[3.5]nonan-2-yl)amino)pyrimidine-4-carboxamide (PT-10)

Figure BDA0002854352890000221
Figure BDA0002854352890000221

合成方法同实施例1,只是用T-3代替T-1,用3-甲基-2-氧代丁酸替换2-氧代丙酸,得到(S)-N-(3-(3,4-二氢异喹啉-2(1H)-基)-2-羟丙基)-6-((7-(3-甲基-2-氧代丁酰基)-7-氮杂螺[3.5]壬烷-2-基)氨基)嘧啶-4-甲酰胺(PT-10)(0.24g,78.84%)。MS(m/z):549.31[M+H]+1H NMR(600MHz,DMSO-d6)δ:1.077-1.100(d,6H),1.244-1.267(m,2H),1.525-1.533(m,2H),1.612(brs,2H),1.711(brs,2H),2.321(brs,2H),2.623-2.693(m,1H),2.702-2.793(m,1H),2.825-2.834(m,2H),2.952-3.014(m,1H),3.151(m,1H),3.223-3.242(m,1H),3.286-3.336(m,1H),3.411(brs,1H),3.493(brs,1H),3.582-3.652(brs,3H),3.889-3.898(m,1H),4.428-4.440(m,1H),4.978-4.986(brs,1H),7.016-7.119(m,5H),8.047-8.070(m,1H),8.279(s,1H),8.764(s,1H).The synthesis method was the same as that of Example 1, except that T-3 was used instead of T-1, and 3-methyl-2-oxobutanoic acid was used instead of 2-oxopropionic acid to obtain (S)-N-(3-(3,4-dihydroisoquinolin-2(1H)-yl)-2-hydroxypropyl)-6-((7-(3-methyl-2-oxobutanoyl)-7-azaspiro[3.5]nonan-2-yl)amino)pyrimidine-4-carboxamide (PT-10) (0.24 g, 78.84%). MS (m/z): 549.31 [M+H]+ ;1 H NMR (600 MHz, DMSO-d6 )δ:1.077-1.100(d,6H),1.244-1.267(m,2H),1.525-1.533(m,2H),1.612(brs,2H),1.711(brs,2H),2.321(brs,2H),2.623-2.693(m,1H),2.702-2. 793(m,1H),2.825-2.834(m,2H),2.952-3.014(m,1H),3.151(m,1H),3.223-3. 242(m,1H),3.286-3.336(m,1H),3.411(brs,1H),3.493(brs,1H),3.582-3.652(brs,3H),3.889-3.898(m,1H),4.428-4.440(m,1H),4.978-4.986( brs,1H),7.016-7.119(m,5H),8.047-8.070(m,1H),8.279(s,1H),8.764(s,1H).

实施例11:(S)-N-(3-(3,4-二氢异喹啉-2(1H)-基)-2-羟丙基)-6-((7-(2-(二甲氨基)-2-氧代乙酰基)-7-氮杂螺[3.5]壬烷-2-基)氨基)嘧啶-4-甲酰胺(PT-11)的制备Example 11: Preparation of (S)-N-(3-(3,4-dihydroisoquinolin-2(1H)-yl)-2-hydroxypropyl)-6-((7-(2-(dimethylamino)-2-oxoacetyl)-7-azaspiro[3.5]nonan-2-yl)amino)pyrimidine-4-carboxamide (PT-11)

Figure BDA0002854352890000222
Figure BDA0002854352890000222

合成方法同实施例1,只是用T-3代替T-1,用N,N-二甲基草氨酸替换2-氧代丙酸,得到(S)-N-(3-(3,4-二氢异喹啉-2(1H)-基)-2-羟丙基)-6-((7-(2-(二甲氨基)-2-氧代乙酰基)-7-氮杂螺[3.5]壬烷-2-基)氨基)嘧啶-4-甲酰胺(PT-11)(0.15g,49.20%)。MS(m/z):550.31[M+H]+1H NMR(600MHz,DMSO-d6)δ:1.244(m,1H),1.530(m,2H),1.613(m,2H),1.711(m,2H),2.315-2.330(m,2H),2.620-2.623(m,1H),2.693(m,3H),2.740(m,1H),2.900(m,8H),3.148-3.157(m,1H),3.221-3.231(m,1H),3.401-3.410(m,1H),3.475-3.628(m,2H),3.896(m,2H),4.437(m,1H),4.987(brs,1H),7.031-7.237(m,4H),7.962(s,1H),8.064(m,1H),8.284(s,1H),8.770(s,1H)The synthesis method was the same as that of Example 1, except that T-3 was used instead of T-1, and 2-oxopropionic acid was replaced by N,N-dimethyloxamic acid to obtain (S)-N-(3-(3,4-dihydroisoquinolin-2(1H)-yl)-2-hydroxypropyl)-6-((7-(2-(dimethylamino)-2-oxoacetyl)-7-azaspiro[3.5]nonan-2-yl)amino)pyrimidine-4-carboxamide (PT-11) (0.15 g, 49.20%). MS (m/z): 550.31 [M+H]+ ;1 H NMR (600 MHz, DMSO-d6 )δ:1.244(m,1H),1.530(m,2H),1.613(m,2H),1.711(m,2H),2.315-2.330(m,2H),2.620-2.623(m,1H),2.693(m,3H),2.740(m,1H),2.900(m,8H), 3.148-3.157(m,1H),3.221-3. 231(m,1H),3.401-3.410(m,1H),3.475-3.628(m,2H),3.896(m,2H),4.437(m,1H),4.987(brs,1H),7.031-7.237(m,4H),7.962(s,1H),8.064(m, 1H),8.284(s,1H),8.770(s,1H)

实施例12:(S)-6-((6-(2-环丙基-2-氧代乙酰胺基)螺[3.3]庚-2-基)氨基)-N-(3-(3,4-二氢异喹啉-2(1H)-基)-2-羟丙基)嘧啶-4-甲酰胺(PT-12)的制备Example 12: Preparation of (S)-6-((6-(2-cyclopropyl-2-oxoacetamido)spiro[3.3]hept-2-yl)amino)-N-(3-(3,4-dihydroisoquinolin-2(1H)-yl)-2-hydroxypropyl)pyrimidine-4-carboxamide (PT-12)

Figure BDA0002854352890000231
Figure BDA0002854352890000231

合成方法同实施例1,只是用T-2代替T-1,用2-环丙基-2-氧代乙酸替换2-氧代丙酸,得到(S)-6-((6-(2-环丙基-2-氧代乙酰胺基)螺[3.3]庚-2-基)氨基)-N-(3-(3,4-二氢异喹啉-2(1H)-基)-2-羟丙基)嘧啶-4-甲酰胺(PT-12)(0.21g,68.85%)。MS(m/z):533.28[M+H]+1H NMR(600MHz,DMSO-d6)δ:0.848-0.860(m,2H),0.871-0.965(m,1H),1.095-1.108(m,1H),1.245(brs,2H),1.892-1.963(m,2H),2.122-2.179(m,3H),2.285-2.2359(m,2H),2.676-2.745(m,2H),2.813-2.847(m,3H),3.283-3.294(m,2H),3.419(brs,1H),3.618-3.643(m,2H),3.878-3.887(m,1H),4.142-4.155(m,1H),4.303-4.317(m,1H),4.963(s,1H),6.997-7.109(m,5H),7.971-7.982(d,1H),8.267(s,1H),8.735-8.788(m,2H)。The synthesis method was the same as that of Example 1, except that T-2 was used instead of T-1, and 2-cyclopropyl-2-oxoacetic acid was used instead of 2-oxopropionic acid to obtain (S)-6-((6-(2-cyclopropyl-2-oxoacetamido)spiro[3.3]hept-2-yl)amino)-N-(3-(3,4-dihydroisoquinolin-2(1H)-yl)-2-hydroxypropyl)pyrimidine-4-carboxamide (PT-12) (0.21 g, 68.85%). MS (m/z): 533.28 [M+H]+ ;1 H NMR (600 MHz, DMSO-d6 )δ:0.848-0.860(m,2H),0.871-0.965(m,1H),1.095-1.108(m,1H),1.245(brs,2H),1.892-1.963(m,2H),2.122-2.179(m,3H),2.285-2.2359(m,2H ),2.676-2.745(m,2H),2.813-2.847(m,3H),3.283-3.29 4(m,2H),3.419(brs,1H),3.618-3.643(m,2H),3.878-3.887(m,1H),4.142-4.155(m,1H),4.303-4.317(m,1H),4.963(s,1H),6.997-7.109(m,5H ),7.971-7.982(d,1H),8.267(s,1H),8.735-8.788(m,2H).

实施例13:(S)-N-(3-(3,4-二氢异喹啉-2(1H)-基)-2-羟丙基)-6-((6-(3,3-二甲基-2-氧代丁酰胺基)螺[3.3]庚-2-基)氨基)嘧啶-4-甲酰胺(PT-13)的制备Example 13: Preparation of (S)-N-(3-(3,4-dihydroisoquinolin-2(1H)-yl)-2-hydroxypropyl)-6-((6-(3,3-dimethyl-2-oxobutanamido)spiro[3.3]hept-2-yl)amino)pyrimidine-4-carboxamide (PT-13)

Figure BDA0002854352890000232
Figure BDA0002854352890000232

合成方法同实施例1,只是用T-2代替T-1,用三甲基丙酮酸替换2-氧代丙酸,得到(S)-N-(3-(3,4-二氢异喹啉-2(1H)-基)-2-羟丙基)-6-((6-(3,3-二甲基-2-氧代丁酰胺基)螺[3.3]庚-2-基)氨基)嘧啶-4-甲酰胺(PT-13)(0.24g,76.38%)。MS(m/z):549.31[M+H]+1H NMR(600MHz,DMSO-d6)δ:1.185(s,9H),1.839-2.388(m,8H),2.674-2.745(m,2H),2.817-2.825(m,4H),3.283-3.294(m,1H),3.410(brs,1H),3.617-3.643(m,2H),3.886(brs,1H),4.102-4.142(m,1H),4.313-4.325(m,1H),4.989(brs,1H),7.005-7.110(m,5H),7.992-8.002(d,1H),8.269(s,1H),8.745-8.757(m,2H)。The synthesis method was the same as that of Example 1, except that T-2 was used instead of T-1, and trimethylpyruvic acid was used instead of 2-oxopropionic acid to obtain (S)-N-(3-(3,4-dihydroisoquinolin-2(1H)-yl)-2-hydroxypropyl)-6-((6-(3,3-dimethyl-2-oxobutanamido)spiro[3.3]hept-2-yl)amino)pyrimidine-4-carboxamide (PT-13) (0.24 g, 76.38%). MS (m/z): 549.31 [M+H]+ ;1 H NMR (600 MHz, DMSO-d6 )δ:1.185(s,9H),1.839-2.388(m,8H),2.674-2.745(m,2H),2.817-2.825(m,4H),3.283-3.294(m,1H),3.410(brs,1H),3.617-3.643(m,2H),3.886 (brs,1H),4.102-4.142(m,1H),4.313-4.325(m,1H),4.989(brs,1H),7.005-7.110(m,5H),7.992-8.002(d,1H),8.269(s,1H),8.745-8.757(m,2H) .

实施例14:(S)-N-(3-(3,4-二氢异喹啉-2(1H)-基)-2-羟丙基)-6-((6-(4-甲基-2-氧代戊酰胺基)螺[3.3]庚-2-基)氨基)嘧啶-4-甲酰胺(PT-14)的制备Example 14: Preparation of (S)-N-(3-(3,4-dihydroisoquinolin-2(1H)-yl)-2-hydroxypropyl)-6-((6-(4-methyl-2-oxopentanamido)spiro[3.3]hept-2-yl)amino)pyrimidine-4-carboxamide (PT-14)

Figure BDA0002854352890000233
Figure BDA0002854352890000233

合成方法同实施例1,只是用T-2代替T-1,用4-甲基-2-氧代戊酸替换2-氧代丙酸,得到(S)-N-(3-(3,4-二氢异喹啉-2(1H)-基)-2-羟丙基)-6-((6-(4-甲基-2-氧代戊酰胺)螺[3.3]庚-2-基)氨基)嘧啶-4-甲酰胺(PT-14)(0.24g,76.38%)。MS(m/z):549.31[M+H]+1H NMR(600MHz,DMSO-d6)δ:0.868-0.879(d,6H),1.235(m,2H),1.872-1.954(m,2H),1.996-2.041(m,1H),2.089-2.167(m,3H),2.282(m,1H),2.346(m,1H),2.662-2.674(m,3H),2.732-2.743(m,1H),2.824(m,2H),3.283-3.327(m,1H),3.301-3.407(m,2H),3.572-3.642(m,2H),3.879-3.887(m,1H),4.095-4.136(m,1H),4.307-4.318(m,1H),4.969-4.974(m,1H),6.994-7.110(m,5H),7.978-7.989(d,1H),8.265(s,1H),8.754-8.790(m,2H)。The synthesis method was the same as that of Example 1, except that T-2 was used instead of T-1, and 4-methyl-2-oxopentanoic acid was used instead of 2-oxopropionic acid to obtain (S)-N-(3-(3,4-dihydroisoquinolin-2(1H)-yl)-2-hydroxypropyl)-6-((6-(4-methyl-2-oxopentanoylamide)spiro[3.3]hept-2-yl)amino)pyrimidine-4-carboxamide (PT-14) (0.24 g, 76.38%). MS (m/z): 549.31 [M+H]+ ;1 H NMR (600 MHz, DMSO-d6 )δ:0.868-0.879(d,6H),1.235(m,2H),1.872-1.954(m,2H),1.996-2.041(m,1H),2.089-2.167(m,3H),2.282(m,1H),2.346(m,1H),2.662-2.674 (m,3H),2.732-2.743(m,1H),2.824(m,2H),3.283-3.327(m,1H ),3.301-3.407(m,2H),3.572-3.642(m,2H),3.879-3.887(m,1H),4.095-4.136(m,1H),4.307-4.318(m,1H),4.969-4.974(m,1H),6.994-7.110( m,5H),7.978-7.989(d,1H),8.265(s,1H),8.754-8.790(m,2H).

实施例15:(S)-N-(3-(3,4-二氢异喹啉-2(1H)-基)-2-羟丙基)-6-((6-(2-羟基乙酰胺基)螺[3.3]庚-2-基)氨基)嘧啶-4-甲酰胺(PT-15)的制备Example 15: Preparation of (S)-N-(3-(3,4-dihydroisoquinolin-2(1H)-yl)-2-hydroxypropyl)-6-((6-(2-hydroxyacetamido)spiro[3.3]hept-2-yl)amino)pyrimidine-4-carboxamide (PT-15)

Figure BDA0002854352890000241
Figure BDA0002854352890000241

合成方法同实施例1,只是用T-2代替T-1,用乙醇酸替换2-氧代丙酸,得到(S)-N-(3-(3,4-二氢异喹啉-2(1H)-基)-2-羟丙基)-6-((6-(2-羟基乙酰胺基)螺[3.3]庚-2-基)氨基)嘧啶-4-甲酰胺(PT-15)(0.17g,59.94%)。MS(m/z):495.26[M+H]+1H NMR(600MHz,DMSO-d6)δ:1.168-1.235(m,1H),1.890-1.940(m,2H),2.042-2.086(m,2H),2.158(m,1H),2.288-2.342(m,2H),2.543(m,2H),2.737-2.841(m,4H),3.283-3.327(m,1H),3.415(m,2H),3.663-3.751(m,3H),3.909(m,1H).4.166-4.178(m,1H),4.319(m,1H),5.022(brs,1H),5.375(s,1H),7.017-7.108(m,5H),7.849-7.983(d,2H),8.284(s,1H),8.744(s,1H)。The synthesis method was the same as that of Example 1, except that T-2 was used instead of T-1, and 2-oxopropionic acid was replaced by glycolic acid to obtain (S)-N-(3-(3,4-dihydroisoquinolin-2(1H)-yl)-2-hydroxypropyl)-6-((6-(2-hydroxyacetamido)spiro[3.3]hept-2-yl)amino)pyrimidine-4-carboxamide (PT-15) (0.17 g, 59.94%). MS (m/z): 495.26 [M+H]+ ;1 H NMR (600 MHz, DMSO-d6 )δ:1.168-1.235(m,1H),1.890-1.940(m,2H),2.042-2.086(m,2H),2.158(m,1H),2.288-2.342(m,2H),2.543(m,2H),2.737-2.841(m,4H),3.283 -3.327(m,1H),3.415(m,2H) ,3.663-3.751(m,3H),3.909(m,1H).4.166-4.178(m,1H),4.319(m,1H),5.022(brs,1H),5.375(s,1H),7.017-7.108(m,5H),7.849-7.983(d,2H), 8.284(s,1H),8.744(s,1H).

实施例16:(S)-N1(1上标)-(6-((6-((3-(3,4-二氢异喹啉-2(1H)-基)-2-羟丙基)氨基甲酰基)嘧啶-4-基)氨基)螺[3.3]庚-2-基)-N2,N2-二甲基草酰胺(PT-16)的制备Example 16: Preparation of (S)-N1 (1 superscript)-(6-((6-((3-(3,4-dihydroisoquinolin-2(1H)-yl)-2-hydroxypropyl)carbamoyl)pyrimidin-4-yl)amino)spiro[3.3]hept-2-yl)-N2 ,N2 -dimethyloxamide (PT-16)

Figure BDA0002854352890000242
Figure BDA0002854352890000242

合成方法同实施例1,只是用T-2代替T-1,用N,N-二甲基草氨酸替换2-氧代丙酸,得到(S)-N1-(6-((6-((3-(3,4-二氢异喹啉-2(1H)-基)-2-羟丙基)氨基甲酰基)嘧啶-4-基)氨基)螺[3.3]庚-2-基)-N2,N2-二甲基草酰胺(PT-16)(0.26g,84.77%)。MS(m/z):536.29[M+H]+1H NMR(600MHz,DMSO-d6)δ:1.971-2.050(m,4H),2.199-2.238(m,1H),2.298(m,1H),2.396(m,1H),2.475-2.504(m,1H),2.668-2.696(m,1H),2.727-2.755(m,1H),2.815-2.873(m,5H),2.937(s,3H),3.290-3.340(m,3H),3.414-3.435(m,1H).3.575-3.643(m,2H),3.881-3.890(m,1H),4.105-4.144(m,1H),4.310(brs,1H),4.965-4.973(d,1H),7.003-7.109(m,5H),7.974-7.985(d,1H),8.269(s,1H),8.742(s,1H),8.816-8.828(d,1H)。The synthesis method was the same as that of Example 1, except that T-2 was used instead of T-1, and 2-oxopropionic acid was replaced by N,N-dimethyloxalic acid to obtain (S)-N1 -(6-((6-((3-(3,4-dihydroisoquinolin-2(1H)-yl)-2-hydroxypropyl)carbamoyl)pyrimidin-4-yl)amino)spiro[3.3]hept-2-yl)-N2 ,N2 -dimethyloxalamide (PT-16) (0.26 g, 84.77%). MS (m/z): 536.29 [M+H]+ ;1 H NMR (600 MHz, DMSO-d6 )δ:1.971-2.050(m,4H),2.199-2.238(m,1H),2.298(m,1H),2.396(m,1H),2.475-2.504(m,1H),2.668-2.696(m,1H),2.727-2.755(m,1H),2.815- 2.873(m,5H),2.937(s,3H),3.290-3.340(m,3H),3.414-3. 435(m,1H).3.575-3.643(m,2H),3.881-3.890(m,1H),4.105-4.144(m,1H),4.310(brs,1H),4.965-4.973(d,1H),7.003-7.109(m,5H),7.974-7. 985(d,1H),8.269(s,1H),8.742(s,1H),8.816-8.828(d,1H).

实施例17:N-((S)-3-(3,4-二氢异喹啉-2(1H)-基)-2-羟丙基)-6-((6-(2-羟基丙酰胺基)螺[3.3]庚-2-基)氨基)嘧啶-4-甲酰胺(PT-17)的制备Example 17: Preparation of N-((S)-3-(3,4-dihydroisoquinolin-2(1H)-yl)-2-hydroxypropyl)-6-((6-(2-hydroxypropionamido)spiro[3.3]hept-2-yl)amino)pyrimidine-4-carboxamide (PT-17)

Figure BDA0002854352890000251
Figure BDA0002854352890000251

合成方法同实施例1,只是用T-2代替T-1,用DL-乳酸替换2-氧代丙酸,得到N-((S)-3-(3,4-二氢异喹啉-2(1H)-基)-2-羟丙基)-6-((6-(2-羟基丙酰胺基)螺[3.3]庚-2-基)氨基)嘧啶-4-甲酰胺(PT-17)(0.20g,69.01%)。MS(m/z):509.28[M+H]+1H NMR(600MHz,DMSO-d6)δ:1.177(d,3H),1.234-1.302(m,1H),1.872-1.950(m,2H),2.000-2.080(m,2H),2.141-2.179(m,1H),2.284-2.341(m,3H),2.465(m,1H),2.564(m,2H),2.711-2.975(m,5H),3.411(brs,1H).3.879-3.921(m,2H),4.101-4.142(m,1H),4.312-4.324(m,1H),5.050(brs,1H),5.378-5.386(d,1H),7.003-7.115(m,5H),7.791-7.805(d,1H),7.975-7.985(d,1H),8.292(s,1H),8.746(brs,1H)。The synthesis method was the same as that in Example 1, except that T-2 was used instead of T-1, and DL-lactic acid was used instead of 2-oxopropionic acid to obtain N-((S)-3-(3,4-dihydroisoquinolin-2(1H)-yl)-2-hydroxypropyl)-6-((6-(2-hydroxypropionamido)spiro[3.3]hept-2-yl)amino)pyrimidine-4-carboxamide (PT-17) (0.20 g, 69.01%). MS (m/z): 509.28 [M+H]+ ;1 H NMR (600 MHz, DMSO-d6 )δ:1.177(d,3H),1.234-1.302(m,1H),1.872-1.950(m,2H),2.000-2.080(m,2H),2.141-2.179(m,1H),2.284-2.341(m,3H),2.465(m,1H),2.564( m,2H),2.711-2.975(m,5H),3.411(brs,1H).3. 879-3.921(m,2H),4.101-4.142(m,1H),4.312-4.324(m,1H),5.050(brs,1H),5.378-5.386(d,1H),7.003-7.115(m,5H),7.791-7.805(d,1H),7.9 75-7.985(d,1H),8.292(s,1H),8.746(brs,1H).

实施例18:6-((1-(2-环丙基-2-氧代乙酰基)-3,3-二氟哌啶-4-基)氨基)-N-((S)-3-(3,4-二氢异喹啉-2(1H)-基)-2-羟丙基)嘧啶-4-甲酰胺(PT-18)的制备Example 18: Preparation of 6-((1-(2-cyclopropyl-2-oxoacetyl)-3,3-difluoropiperidin-4-yl)amino)-N-((S)-3-(3,4-dihydroisoquinolin-2(1H)-yl)-2-hydroxypropyl)pyrimidine-4-carboxamide (PT-18)

Figure BDA0002854352890000252
Figure BDA0002854352890000252

合成方法同实施例1,只是用T-5代替T-1,用2-环丙基-2-羰基乙酸替换2-氧代丙酸,得到6-((1-(2-环丙基-2-氧代乙酰基)-3,3-二氟哌啶-4-基)氨基)-N-((S)-3-(3,4-二氢异喹啉-2(1H)-基)-2-羟丙基)嘧啶-4-甲酰胺(PT-18)(0.15g,43.76%)。MS(m/z):543.42[M+H]+1H NMR(600MHz,DMSO-d6)δ:1.075-1.205(m,5H),1.550-1.654(m,1H),1.966-2.002(m,1H),2.243-2.322(m,1H),2.664-2.766(m,3H),2.794-2.834(m,2H),2.882(s,1H),3.125-3.321(m,1H),3.410-3.440(m,2H),3.605-3.626(m,2H),3.826-3.907(m,2H),4.25-4.515(m,1H),4.997(d,2H),7.001-7.214(m,5H),8.083-8.096(d,1H),8.306(s,1H),8.826(t,1H).The synthesis method is the same as that of Example 1, except that T-5 is used instead of T-1, and 2-cyclopropyl-2-oxoacetic acid is used instead of 2-oxopropionic acid to obtain 6-((1-(2-cyclopropyl-2-oxoacetyl)-3,3-difluoropiperidin-4-yl)amino)-N-((S)-3-(3,4-dihydroisoquinolin-2(1H)-yl)-2-hydroxypropyl)pyrimidine-4-carboxamide (PT-18) (0.15 g, 43.76%). MS (m/z): 543.42 [M+H]+ ;1 H NMR (600 MHz, DMSO-d6 )δ:1.075-1.205(m,5H),1.550-1.654(m,1H),1.966-2.002(m,1H),2.243-2.322(m,1H),2.664-2.766(m,3H),2.794-2.834(m,2H),2.882(s,1H) ,3.125-3.321(m,1H),3 .410-3.440(m,2H),3.605-3.626(m,2H),3.826-3.907(m,2H),4.25-4.515(m,1H),4.997(d,2H),7.001-7.214(m,5H),8.083-8.096(d,1H),8.3 06(s,1H),8.826(t,1H).

实施例19:6-((6-(2-环丙基-2-羟基丙酰胺基)螺[3.3]庚-2-基)氨基)-N-((S)-3-(3,4-二氢异喹啉-2(1H)-基)-2-羟丙基)嘧啶-4-甲酰胺(PT-19)的制备Example 19: Preparation of 6-((6-(2-cyclopropyl-2-hydroxypropionamido)spiro[3.3]hept-2-yl)amino)-N-((S)-3-(3,4-dihydroisoquinolin-2(1H)-yl)-2-hydroxypropyl)pyrimidine-4-carboxamide (PT-19)

Figure BDA0002854352890000261
Figure BDA0002854352890000261

合成方法同实施例1,只是用T-2代替T-1,用2-环丙基-2-羟基丙酸替换2-氧代丙酸,得到6-((6-(2-环丙基-2-羟基丙酰胺基)螺[3.3]庚-2-基)氨基)-N-((S)-3-(3,4-二氢异喹啉-2(1H)-基)-2-羟丙基)嘧啶-4-甲酰胺(PT-19)(0.14g,39.83%)。MS(m/z):549.62[M+H]+1H NMR(600MHz,DMSO-d6)δ:0.142(s,1H),0.244-0.311(m,3H),1.062-1.097(m,1H),1.244-1.248(m,3H),1.867-2.083(m,4H),2.158(m,1H),2.281-2.341(m,2H),2.465(m,1H),2.564(m,2H),2.669-2.737(m,2H),2.822(m,2H),3.285(m,1H),3.411(m,1H),3.575-3.644(m,2H),3.881-3.888(m,1H),4.077-4.117(m,1H),4.308-4.320(m,1H),4.915-4.920(d,1H),4.979(s,1H),7.001-7.095(m,5H),7.634-7.647(d,1H),7.974-7.987(d,1H),8.267(s,1H),8.751(s,1H)。The synthesis method was the same as that of Example 1, except that T-2 was used instead of T-1, and 2-cyclopropyl-2-hydroxypropionic acid was used instead of 2-oxopropionic acid to obtain 6-((6-(2-cyclopropyl-2-hydroxypropionamido)spiro[3.3]hept-2-yl)amino)-N-((S)-3-(3,4-dihydroisoquinolin-2(1H)-yl)-2-hydroxypropyl)pyrimidine-4-carboxamide (PT-19) (0.14 g, 39.83%). MS (m/z): 549.62 [M+H]+ ;1 H NMR (600 MHz, DMSO-d6 )δ:0.142(s,1H),0.244-0.311(m,3H),1.062-1.097(m,1H),1.244-1.248(m,3H),1.867-2.083(m,4H),2.158(m,1H),2.281-2.341(m,2H),2.465( m,1H),2.564(m,2H),2.669-2.737(m,2H),2.822(m,2H),3.285(m,1H),3.41 1(m,1H),3.575-3.644(m,2H),3.881-3.888(m,1H),4.077-4.117(m,1H),4.308-4.320(m,1H),4.915-4.920(d,1H),4.979(s,1H),7.001-7.095 (m,5H),7.634-7.647(d,1H),7.974-7.987(d,1H),8.267(s,1H),8.751(s,1H).

实施例20:6-((1-(2-环丙基-2-氧代乙酰基)-3-氟哌啶-4-基)氨基)-N-((S)-3-(3,4-二氢异喹啉-2(1H)-基)-2-羟丙基)嘧啶-4-甲酰胺(PT-20)的制备Example 20: Preparation of 6-((1-(2-cyclopropyl-2-oxoacetyl)-3-fluoropiperidin-4-yl)amino)-N-((S)-3-(3,4-dihydroisoquinolin-2(1H)-yl)-2-hydroxypropyl)pyrimidine-4-carboxamide (PT-20)

Figure BDA0002854352890000262
Figure BDA0002854352890000262

合成方法同实施例1,只是用T-4代替T-1,用2-环丙基-2-羰基乙酸替换2-氧代丙酸,得到6-((1-(2-环丙基-2-氧代乙酰基)-3-氟哌啶-4-基)氨基)-N-((S)-3-(3,4-二氢异喹啉-2(1H)-基)-2-羟丙基)嘧啶-4-甲酰胺(PT-20)(0.25g,72.93%)。MS(m/z):507.11[M+H]+1H NMR(600MHz,DMSO-d6)δ:1.107-1.231(m,5H),1.543-1.806(m,2H),2.011(m,1H),2.221(m,1H),2.688-2.834(m,5H),3.325-3.412(m,4H),3.601-3.619(m,3H),3.889(m,1H),4.444-4.624(m,2H),4.978(s,1H),7.014-7.169(m,5H),8.144(d,1H),8.295-8.326(d,1H),8.794(t,1H).The synthesis method is the same as that of Example 1, except that T-4 is used instead of T-1, and 2-cyclopropyl-2-carbonylacetic acid is used instead of 2-oxopropionic acid to obtain 6-((1-(2-cyclopropyl-2-oxoacetyl)-3-fluoropiperidin-4-yl)amino)-N-((S)-3-(3,4-dihydroisoquinolin-2(1H)-yl)-2-hydroxypropyl)pyrimidine-4-carboxamide (PT-20) (0.25 g, 72.93%). MS (m/z): 507.11[M+H]+ ;1 H NMR (600MHz, DMSO-d6 ) δ: 1.107-1.231 (m, 5H), 1.543-1.806 (m, 2H), 2.011 (m, 1H), 2.221 (m, 1H), 2.688-2.834 (m, 5H), 3.32 5-3.412(m,4H),3.601-3.619(m,3H),3.889(m,1H),4.444-4.624(m,2H),4.978(s,1H),7.014-7.169(m,5H),8.144(d,1H),8.295-8.326(d,1H),8 .794(t,1H).

实施例21-67:Embodiment 21-67:

根据制备例1及实施例1-20的方法,选择对应的原料合成化合物21-67,其结构和质谱信号分别如下:According to the methods of Preparation Example 1 and Examples 1-20, corresponding raw materials were selected to synthesize Compound 21-67, whose structures and mass spectrometry signals are as follows:

Figure BDA0002854352890000271
Figure BDA0002854352890000271

Figure BDA0002854352890000281
Figure BDA0002854352890000281

Figure BDA0002854352890000291
Figure BDA0002854352890000291

Figure BDA0002854352890000301
Figure BDA0002854352890000301

Figure BDA0002854352890000311
Figure BDA0002854352890000311

效果试验例1Effect Test Example 1

1.细胞实验方法1. Cell Experiment Methods

实验用人急性单核细胞白血病细胞MV4;11(上海细胞库)培养所需完全培养基为IMDM(Cat NO.12440-053,gibco)补加10%血清FBS(Cat NO.SA311.02,cellmax)。细胞于37℃,5%CO2培养箱中培养。实验试剂包括二甲亚砜(购自天津市科密欧化学试剂有限公司)。MTT,(THIAZOLYL BLUE TETRAZOLIUM BROMIDE,CAS.NO.298-93-1,VWR)。试验用对照物GSK-3326595通过自制或商业购买获得。受试物密封于4℃储存。The complete culture medium required for the culture of human acute monocytic leukemia cells MV4;11 (Shanghai Cell Bank) used in the experiment is IMDM (Cat NO.12440-053, gibco) supplemented with 10% serum FBS (Cat NO.SA311.02, cellmax). The cells were cultured in a 37°C, 5%CO2 incubator. The experimental reagents included dimethyl sulfoxide (purchased from Tianjin Komio Chemical Reagent Co., Ltd.). MTT, (THIAZOLYL BLUE TETRAZOLIUM BROMIDE, CAS.NO.298-93-1, VWR). The experimental control GSK-3326595 was obtained by self-production or commercial purchase. The test substance was sealed and stored at 4°C.

将受试物以二甲亚砜作为溶媒,充分溶解受试物及阳性对照物,配制成浓度为5×10-2mol/L储存液。将受试物储存液均置于-20℃存放。以完全培养基作为稀释液,梯度稀释受试物为不同浓度备用。在96孔培养板中,分别加入相应的不同浓度的受试物100μL/孔,每个受试物设置8个浓度,每个浓度设置3个复孔。以只加细胞悬液不含受试物及溶媒的孔作为对照孔。以只加完全培养基不加细胞悬液孔作为空白孔。加入100μL/孔(2×103细胞数/孔)人急性单核细胞白血病细胞MV4;11完全培养基悬液,于37℃,5%CO2培养箱中培养。第六天,加入MTT 20μL/孔,于37℃,5%CO2培养箱中培养4h,弃掉上清液,加入二甲亚砜150μL/孔,震荡混匀,酶标仪550nm检测OD值。根据公式计算抑制率,抑制率=(受试物孔OD-空白孔OD)/(对照孔OD-空白孔OD)*100%,结果见表1。The test substance was used as a solvent to fully dissolve the test substance and the positive control substance, and a storage solution with a concentration of 5×10-2 mol/L was prepared. The test substance storage solution was stored at -20°C. The complete culture medium was used as a diluent, and the test substance was gradiently diluted to different concentrations for use. In a 96-well culture plate, 100 μL/well of the corresponding test substance of different concentrations was added, 8 concentrations were set for each test substance, and 3 replicates were set for each concentration. The wells with only cell suspension without test substance and solvent were used as control wells. The wells with only complete culture medium without cell suspension were used as blank wells. 100 μL/well (2×103 cells/well) of human acute monocytic leukemia cell MV4; 11 complete culture medium suspension was added and cultured in a 37°C, 5% CO2 incubator. On the sixth day, add MTT 20 μL/well, incubate in 37°C, 5% CO2 incubator for 4 h, discard the supernatant, add dimethyl sulfoxide 150 μL/well, shake and mix, and detect OD value at 550 nm by microplate reader. Calculate the inhibition rate according to the formula, inhibition rate = (test well OD-blank well OD)/(control well OD-blank well OD)*100%, the results are shown in Table 1.

2.酶学实验方法2. Enzyme experimental methods

利用放射性同位素FlashPlate技术,在PRMT5上检测受试物的IC50The IC50 of the test substances was measured on PRMT5 using radioisotope FlashPlate technology.

受试化合物分别用二甲亚砜溶解后,加入Echo384孔板并稀释到所需浓度,用Echo550仪器从稀释好的Echo384孔板中转移受试物到384孔反应板,阴性对照和阳性对照均转移二甲亚砜。将PRMT5加入1倍反应缓冲液(1倍反应缓冲液包括10mM Tris-HCl,pH8.0;0.01%Tween-20;1mM DTT),形成1.67倍酶溶液(酶浓度为5nM)。将多肽底物和[3H]-SAM加入1倍反应缓冲液,形成2.5倍底物溶液(底物终浓度分别为100nM和250nM)。向384孔反应板孔中加入15uL/孔的1.67倍酶溶液。对于无酶活对照孔,用15uL的1倍反应缓冲液替代酶溶液。1000rpm离心1min,室温下孵育15min。向384孔反应板每孔中加入10uL的2.5倍底物溶液。1000rpm离心1min。25℃反应60min。向384孔反应板每孔中加入5uL的反应终止液终止反应(反应终止液为125uM的cold SAM溶液)。从试验板中每孔取25uL转移到Flashplate中,在室温下放置1h。然后用0.1%的Tween-20溶液洗Flashpate板3次。用MicroBeta 2读数。把数据转化成抑制率数据。其中max是指DMSO对照的转化率,min是指无酶活对照的转化率。Percent inhibition=(max-conversion)/(max-min)*100。用XLFit excel add-inversion 5.4.0.8拟合IC50值。拟合公式:Y=Bottom+(Top-Bottom)/(1+(IC50/X)^HillSlope)。After the test compounds were dissolved in dimethyl sulfoxide, they were added to the Echo384-well plate and diluted to the required concentration. The test compounds were transferred from the diluted Echo384-well plate to the 384-well reaction plate using the Echo550 instrument. Both the negative and positive controls were transferred to dimethyl sulfoxide. PRMT5 was added to 1x reaction buffer (1x reaction buffer included 10mM Tris-HCl, pH8.0; 0.01% Tween-20; 1mM DTT) to form a 1.67x enzyme solution (enzyme concentration was 5nM). Peptide substrate and [3H]-SAM were added to 1x reaction buffer to form a 2.5x substrate solution (the final concentrations of the substrates were 100nM and 250nM, respectively). 15uL/well of 1.67x enzyme solution was added to the wells of the 384-well reaction plate. For the control wells without enzyme activity, the enzyme solution was replaced with 15uL of 1x reaction buffer. Centrifuge at 1000rpm for 1min and incubate at room temperature for 15min. Add 10uL of 2.5 times substrate solution to each well of the 384-well reaction plate. Centrifuge at 1000rpm for 1min. React at 25℃ for 60min. Add 5uL of reaction stop solution to each well of the 384-well reaction plate to stop the reaction (the reaction stop solution is 125uM cold SAM solution). Transfer 25uL from each well of the test plate to the Flashplate and place it at room temperature for 1h. Then wash the Flashplate 3 times with 0.1% Tween-20 solution. Read with MicroBeta 2. Convert the data into inhibition rate data. Where max refers to the conversion rate of the DMSO control, and min refers to the conversion rate of the no enzyme activity control. Percent inhibition=(max-conversion)/(max-min)*100. Use XLFit excel add-inversion 5.4.0.8 to fit the IC50 value. Fitting formula: Y=Bottom+(Top-Bottom)/(1+(IC50 /X)^HillSlope).

表1本发明化合物及阳性对照药的细胞学和酶学效果试验数据Table 1 Cytological and enzymatic effect test data of the compounds of the present invention and positive control drugs

Figure BDA0002854352890000321
Figure BDA0002854352890000321

Figure BDA0002854352890000331
Figure BDA0002854352890000331

注:-代表没有检测。Note: - means no detection.

酶学和细胞筛选结果显示,本发明化合物与阳性对照药GSK-3326595(专利申请WO2014100719第208个化合物)相比,更显著抑制PRMT5活性且对MV4;11有较强的增殖抑制作用。The results of enzymatic and cell screening showed that the compounds of the present invention, compared with the positive control drug GSK-3326595 (the 208th compound in patent application WO2014100719), more significantly inhibited the activity of PRMT5 and had a stronger proliferation inhibitory effect on MV4;11.

效果试验例2:体内药效试验Effect test example 2: In vivo efficacy test

试验用雌性NOD-SCID小鼠,SPF级4-5周龄,购于北京维通利华实验动物技术有限公司。小鼠接种细胞前一天腹腔注射环磷酰胺,剂量为100mg/kg。小鼠前肢腋部皮下接种人急性单核细胞白血病细胞MV4;11(1X107/0.1ml/只),建立皮下移植瘤模型。待肿瘤体积长至约110mm3(接种后第12天)时,将小鼠按肿瘤体积均衡分组,每组5只,分别为溶媒对照组、受试药物组。受试药物组给药剂量设为100mg/kg,给药容积为10mL/kg,给药频次为BID,每周测量2次瘤径,记录数据。连续给药10天,第22天试验结束,剥瘤称量瘤重。Female NOD-SCID mice, SPF grade, 4-5 weeks old, were purchased from Beijing Weitong Lihua Experimental Animal Technology Co., Ltd. The mice were intraperitoneally injected with cyclophosphamide one day before cell inoculation, at a dose of 100 mg/kg. Human acute monocytic leukemia cells MV4;11 (1X107 /0.1ml/mouse) were subcutaneously inoculated in the axilla of the forelimbs of mice to establish a subcutaneous transplant tumor model. When the tumor volume grew to about 110 mm3 (12 days after inoculation), the mice were evenly divided into groups according to the tumor volume, with 5 mice in each group, namely the solvent control group and the test drug group. The dosage of the test drug group was set at 100 mg/kg, the dosage volume was 10 mL/kg, the dosage frequency was BID, the tumor diameter was measured twice a week, and the data were recorded. The drug was administered continuously for 10 days, and the experiment ended on the 22nd day, and the tumor weight was weighed after the tumor was removed.

ˉˉˉˉ

根据公式计算体重增长率、瘤体积和瘤重抑制率,体重增长率=X(Wi-W0)/XW0*100,其中Wi表示各实验组某只鼠第n天体重,W0为各实验组某只鼠开始给药时体重;瘤体积(V)=1/2*a*b2,其中a和b分别表示肿瘤长短经;瘤重抑制率=(溶媒对照组-受试药物组)/溶媒对照组*100%。The body weight growth rate, tumor volume and tumor weight inhibition rate were calculated according to the formula: body weight growth rate = X(Wi-W0) /XW0 *100, whereWi represents the body weight of a mouse in each experimental group on the nth day, andW0 represents the body weight of a mouse in each experimental group when drug administration begins; tumor volume (V) = 1/2*a*b2 , where a and b represent the length and diameter of the tumor, respectively; tumor weight inhibition rate = (vehicle control group - test drug group) / vehicle control group * 100%.

表2本发明化合物及阳性对照药的MV;411体内试验数据Table 2 MV of the compounds of the present invention and the positive control drug; 411 in vivo test data

Figure BDA0002854352890000332
Figure BDA0002854352890000332

注:与溶媒对照组比较,*P<0.05,**P<0.01,***P<0.001Note: Compared with the vehicle control group, *P<0.05, **P<0.01, ***P<0.001

MV4;11体内药效试验结果显示,本发明化合物有明显的抑瘤活性,且明显优于阳性对照药GSK3326595。The results of the in vivo efficacy test of MV4;11 showed that the compound of the present invention has significant anti-tumor activity and is significantly superior to the positive control drug GSK3326595.

Claims (32)

1. A compound of formula (I), and tautomers, optical isomers or pharmaceutically acceptable salts thereof, having the structure:
Figure FDA0004120948260000011
wherein Y is:
Figure FDA0004120948260000012
z is selected from
Figure FDA0004120948260000013
Wherein R is11 Selected from-C1-6 An alkyl group or a group-H,
x is selected from the following linker fragments:
Figure FDA0004120948260000014
ring A is selected from substituted or unsubstituted C3-10 Cycloalkyl, substituted or unsubstituted 4-10 membered heterocycloalkyl, substituted or unsubstituted saturated 4-12 membered bridged ring, substituted or unsubstituted saturated Shan Luohuan, substituted or unsubstituted saturated hetero Shan Luohuan, substituted or unsubstituted saturated fused ring, substituted or unsubstituted saturated hetero Condensed ring groups; wherein, with R9 The N atom connected with the pyrimidine ring;
the number of ring atoms of the saturated Shan Luohuan groups and saturated hetero Shan Luohuan groups is selected from 3-membered/5-membered, 4-membered/4-membered, 4-membered/5-membered, 4-membered/6-membered, 5-membered/5-membered, and 5-membered/6-membered rings, wherein the count of each ring includes a spiro atom;
the saturated fused ring groups and saturated heterofused ring groups are selected from 5-membered/5-membered, 5-membered/6-membered or 6-membered/6-membered rings, wherein the count of each ring includes a common atom;
the term "substituted" means that the substituents are each independently selected from halogen, hydroxy, cyano, nitro, amino, azido, carbonyl, carboxyl, ethynyl, C1-6 Alkyl, C1-6 Alkoxy, C1-6 Haloalkyl, C3-10 Cycloalkyl, 5-10 membered heterocycloalkyl, C6-14 One or more of aryl or 5-10 membered heteroaryl ring groups;
the R is1 、R2 、R3 、R4 、R5 、R6 、R7 、R9 And R is10 Each occurrence is independently selected from hydrogen, halogen, hydroxy, amino, carboxy, nitro, cyano, carbonyl, azido, oxo, ethynyl, C1-6 Alkyl, C1-6 Alkoxy, C1-6 Haloalkyl, C1-6 Alkoxyamino, C1-6 Alkyl ester group, C1-6 Alkylamino, C1-6 Amide group, C3-10 Cycloalkyl, C3-10 Cycloalkylamino, C3-10 Cycloalkyl amide group, C3-10 Epoxy alkylamide group, 5-10 membered heterocycloalkyl group, C6-14 Aryl or 5-10 membered heteroaryl ring group, wherein the C3-10 Cycloalkyl, 5-10 membered heterocycloalkyl, C6-14 Aryl or 5-10 membered heteroaryl groups may be independently substituted with one or more groups selected from halogen, hydroxy, amino, nitro, C1-6 Alkoxy or C1-6 Substituted by alkyl; when R is4 、R5 When one of them is oxo, the other is absent; when R is6 、R7 When one of them is oxo, the other is absent; the oxo groups being identical in positionTwo H's are replaced by the same O to form a double bond;
R3 at any substitutable position of the tetrahydroisoquinoline ring, n is 0, 1, 2, 3, 4, 5 or 6;
the R is8 Independently selected from hydrogen, halogen, hydroxy, amino, carboxy, nitro, cyano, carbonyl, azido, ethynyl, C1-6 Alkyl, C1-6 Alkoxy, C1-6 Haloalkyl, C1-6 Alkoxyamino, C1-6 Alkyl ester group, C1-6 Alkylamino, -NR12 R13 、C1-6 Amide group, C3-10 Cycloalkyl, C3-10 Cycloalkylamino, C3-10 Cycloalkyl amide group, C3-10 Epoxy alkylamide group, 5-10 membered heterocycloalkyl group, 5-10 membered heterocycloalkylamino group, C6-14 Aryl, C6-14 Arylamino, 5-10 membered heteroaryl ring radical, wherein the C3-10 Cycloalkyl, 5-10 membered heterocycloalkyl, C6-14 Aryl, 5-10 membered heteroaryl groups may be independently substituted with one or more groups selected from halogen, hydroxy, amino, nitro, C1-6 Alkoxy or C1-6 Substituted by alkyl; r is R12 、R13 Each independently selected from C1-6 An alkyl group;
wherein the hetero atoms in the heterocycloalkyl group, the heteroaryl ring group, the hetero Shan Luohuan group, the heterobridged ring group and the hetero condensed ring group are independently O, N or S, and the number of the hetero atoms is 1, 2 or 3.
2. The compound of claim 1, or a tautomer, optical isomer, or pharmaceutically acceptable salt thereof, having a structure according to formula (II):
Figure FDA0004120948260000021
3. the compound of claim 1, or a tautomer, optical isomer, or pharmaceutically acceptable salt thereof, having a structure according to formula (III):
Figure FDA0004120948260000022
4. the compound of claim 1, or a tautomer, optical isomer, or pharmaceutically acceptable salt thereof, wherein: ring A is selected from substituted or unsubstituted C5-7 Cycloalkyl, substituted or unsubstituted 4-7 membered heterocycloalkyl, substituted or unsubstituted saturated 4-10 membered bridged ring, substituted or unsubstituted saturated 4-10 membered heterobridged ring, substituted or unsubstituted saturated Shan Luohuan group, and substituted or unsubstituted saturated heteromono-spiro group.
5. The compound of claim 2, or a tautomer, optical isomer, or pharmaceutically acceptable salt thereof, wherein: ring A is selected from substituted or unsubstituted C5-7 Cycloalkyl, substituted or unsubstituted 4-7 membered heterocycloalkyl, substituted or unsubstituted saturated 4-10 membered bridged ring, substituted or unsubstituted saturated 4-10 membered heterobridged ring, substituted or unsubstituted saturated Shan Luohuan group, and substituted or unsubstituted saturated heteromono-spiro group.
6. A compound according to claim 3, or a tautomer, optical isomer or pharmaceutically acceptable salt thereof, wherein: ring A is selected from substituted or unsubstituted C5-7 Cycloalkyl, substituted or unsubstituted 4-7 membered heterocycloalkyl, substituted or unsubstituted saturated 4-10 membered bridged ring, substituted or unsubstituted saturated 4-10 membered heterobridged ring, substituted or unsubstituted saturated Shan Luohuan group, and substituted or unsubstituted saturated heteromono-spiro group.
7. The compound of any one of claims 1-6, or a tautomer, optical isomer, or pharmaceutically acceptable salt thereof, wherein: the A ring is selected from substituted or unsubstituted 4-6 membered heterocycloalkyl, substituted or unsubstituted saturated 4-membered/4-membered or 4-membered/6-membered Shan Luohuan group, substituted or unsubstituted saturated 4-membered/4-membered or 4-membered/6-membered hetero single spiro group.
8. The compound of any one of claims 1-6, or a tautomer, optical isomer, or pharmaceutically acceptable salt thereof, wherein: the hetero atoms of the heterocycloalkyl group, the hetero-bridged ring group and the hetero Shan Luohuan group in the definition of the ring A are N or O atoms, and the number of the hetero atoms is 1.
9. The compound of claim 8, or a tautomer, optical isomer, or pharmaceutically acceptable salt thereof, wherein: the hetero atoms of the heterocycloalkyl group, the hetero-bridged ring group and the hetero Shan Luohuan group in the definition of the ring A are N atoms, and the number of the hetero atoms is 1.
10. The compound of any one of claims 1-6, or a tautomer, optical isomer, or pharmaceutically acceptable salt thereof, wherein: the "substituent" in the definition of the A ring means that the substituent is selected from halogen or C1-6 An alkyl group.
11. The compound of any one of claims 1-6, or a tautomer, optical isomer, or pharmaceutically acceptable salt thereof, wherein: x is selected from
Figure FDA0004120948260000031
Ring A is a substituted or unsubstituted 4-10 membered heterocycloalkyl, a substituted or unsubstituted saturated 4-12 membered heterobridged ring, a substituted or unsubstituted saturated hetero Shan Luohuan group, a substituted or unsubstituted saturated heterocondensed ring group, and is attached to ring A>
Figure FDA0004120948260000032
And hetero atoms are connected.
12. The compound of any one of claims 1-6, or a tautomer, optical isomer, or pharmaceutically acceptable salt thereof, wherein: the A isOn rings
Figure FDA0004120948260000033
The attached heteroatom is an N atom.
13. The compound of any one of claims 1-6, or a tautomer, optical isomer, or pharmaceutically acceptable salt thereof, wherein: x is selected from
Figure FDA0004120948260000034
The A ring is a substituted or unsubstituted saturated 4-membered/4-membered or 4-membered/6-membered single spiro group.
14. The compound of any one of claims 1-6, or a tautomer, optical isomer, or pharmaceutically acceptable salt thereof, wherein: r is R8 Independently selected from the group consisting of-H,
Figure FDA0004120948260000041
Figure FDA0004120948260000042
15. The compound of claim 7, or a tautomer, optical isomer, or pharmaceutically acceptable salt thereof, wherein: r is R8 Independently selected from the group consisting of-H,
Figure FDA0004120948260000043
Figure FDA0004120948260000044
16. The compound of claim 10, or a tautomer, optical isomer, or pharmaceutically acceptable salt thereof, wherein: r is R8 Independently selected from the group consisting of-H,
Figure FDA0004120948260000045
Figure FDA0004120948260000046
17. The compound of claim 11, or a tautomer, optical isomer, or pharmaceutically acceptable salt thereof, wherein: r is R8 Independently selected from the group consisting of-H,
Figure FDA0004120948260000047
Figure FDA0004120948260000048
18. The compound of claim 13, or a tautomer, optical isomer, or pharmaceutically acceptable salt thereof, wherein: r is R8 Independently selected from the group consisting of-H,
Figure FDA0004120948260000049
Figure FDA00041209482600000410
19. The compound of any one of claims 1-6, or a tautomer, optical isomer, or pharmaceutically acceptable salt thereof, wherein: x is independently selected from substituted or unsubstituted
Figure FDA0004120948260000051
Figure FDA0004120948260000052
The substituted position is any position on the ring of the above group, and the substituted substituent is selected from-F, -Cl, -CH3 or-OH, the number of substituents being selected from 1, 2 or 3.
20. The compound of any one of claims 1-6, or a tautomer, optical isomer, or pharmaceutically acceptable salt thereof, wherein: x is independently selected from
Figure FDA0004120948260000053
Figure FDA0004120948260000054
21. The compound of any one of claims 1-6, or a tautomer, optical isomer, or pharmaceutically acceptable salt thereof, wherein: r is R1 、R2 、R3 、R4 、R5 、R6 、R7 、R9 And R is10 Each independently selected from hydrogen, halogen, hydroxy, amino, nitro, carbonyl, C1-6 Alkyl, C1-6 Alkoxy, C1-6 A haloalkyl group.
22. The compound of claim 7, or a tautomer, optical isomer, or pharmaceutically acceptable salt thereof, wherein: r is R1 、R2 、R3 、R4 、R5 、R6 、R7 、R9 And R is10 Each independently selected from hydrogen, halogen, hydroxy, amino, nitro, carbonyl, C1-6 Alkyl, C1-6 Alkoxy, C1-6 A haloalkyl group.
23. The compound of claim 10, or a tautomer, optical isomer, or pharmaceutically acceptable salt thereof, wherein: r is R1 、R2 、R3 、R4 、R5 、R6 、R7 、R9 And R is10 Each independently selected from hydrogen, halogen, hydroxy, amino, nitro, carbonyl, C1-6 Alkyl, C1-6 Alkoxy, C1-6 A haloalkyl group.
24. The compound of claim 11, or a tautomer, optical isomer, or pharmaceutically acceptable salt thereof, wherein: r is R1 、R2 、R3 、R4 、R5 、R6 、R7 、R9 And R is10 Each independently selected from hydrogen, halogen, hydroxy, amino, nitro, carbonyl, C1-6 Alkyl, C1-6 Alkoxy, C1-6 A haloalkyl group.
25. The compound of claim 13, or a tautomer, optical isomer, or pharmaceutically acceptable salt thereof, wherein: r is R1 、R2 、R3 、R4 、R5 、R6 、R7 、R9 And R is10 Each independently selected from hydrogen, halogen, hydroxy, amino, nitro, carbonyl, C1-6 Alkyl, C1-6 Alkoxy, C1-6 A haloalkyl group.
26. The compound of claim 14, or a tautomer, optical isomer, or pharmaceutically acceptable salt thereof, wherein: r is R1 、R2 、R3 、R4 、R5 、R6 、R7 、R9 And R is10 Each independently selected from hydrogen, halogen, hydroxy, amino, nitro, carbonyl, C1-6 Alkyl, C1-6 Alkoxy, C1-6 A haloalkyl group.
27. The compound of any one of claims 15-18, or a tautomer, optical isomer, or pharmaceutically acceptable salt thereof, wherein: r is R1 、R2 、R3 、R4 、R5 、R6 、R7 、R9 And R is10 Each independently selected from hydrogen, halogen, hydroxy, amino, nitro, carbonyl, C1-6 Alkyl, C1-6 Alkoxy, C1-6 A haloalkyl group.
28. A compound according to claim 1, or a tautomer, optical isomer or pharmaceutically acceptable salt thereof, having the structure:
Figure FDA0004120948260000061
Figure FDA0004120948260000071
Figure FDA0004120948260000081
Figure FDA0004120948260000091
29. A pharmaceutical composition comprising a compound according to any one of claims 1 to 28, or a tautomer, optical isomer or pharmaceutically acceptable salt thereof, and a pharmaceutically acceptable adjuvant.
30. Use of a compound according to any one of claims 1 to 28, or a tautomer, optical isomer, or pharmaceutically acceptable salt thereof, or a pharmaceutical composition according to claim 29, in the manufacture of a PRMT5 inhibitor medicament.
31. Use of a compound according to any one of claims 1 to 28, or a tautomer, optical isomer, or pharmaceutically acceptable salt thereof, or a pharmaceutical composition according to claim 29, in the manufacture of a medicament for the prevention and/or treatment of cancer.
32. The use according to claim 31, wherein: the cancer is selected from lung cancer, bone cancer, stomach cancer, pancreatic cancer, skin cancer, head and neck cancer, uterine cancer, ovarian cancer, testicular cancer, fallopian tube cancer, endometrial cancer, cervical cancer, vaginal cancer, brain cancer, pituitary adenoma, melanoma, epidermoid carcinoma, T-cell lymphoma, chronic and acute leukemia.
CN202011543588.7A2019-12-262020-12-23PRMT5 inhibitor and application thereofActiveCN113045543B (en)

Applications Claiming Priority (2)

Application NumberPriority DateFiling DateTitle
CN20191136240102019-12-26
CN2019113624012019-12-26

Publications (2)

Publication NumberPublication Date
CN113045543A CN113045543A (en)2021-06-29
CN113045543Btrue CN113045543B (en)2023-05-12

Family

ID=76508201

Family Applications (1)

Application NumberTitlePriority DateFiling Date
CN202011543588.7AActiveCN113045543B (en)2019-12-262020-12-23PRMT5 inhibitor and application thereof

Country Status (1)

CountryLink
CN (1)CN113045543B (en)

Families Citing this family (3)

* Cited by examiner, † Cited by third party
Publication numberPriority datePublication dateAssigneeTitle
JP7507892B2 (en)*2020-06-022024-06-28石薬集団中奇制薬技術(石家庄)有限公司 3,4-Dihydroisoquinoline compounds and their uses
WO2024002263A1 (en)*2022-06-302024-01-04南京明德新药研发有限公司Amino-substituted heteroaryl derivative and use thereof
TW202502765A (en)*2023-07-112025-01-16大陸商上海艾力斯醫藥科技股份有限公司 A PRMT5 inhibitor, preparation method and application thereof

Citations (5)

* Cited by examiner, † Cited by third party
Publication numberPriority datePublication dateAssigneeTitle
WO2014100730A1 (en)*2012-12-212014-06-26Epizyme, Inc.Prmt5 inhibitors containing a dihydro- or tetrahydroisoquinoline and uses thereof
WO2016034673A1 (en)*2014-09-032016-03-10Ctxt Pty LtdTetrahydroisoquinoline derived prmt5-inhibitors
WO2016034675A1 (en)*2014-09-032016-03-10Ctxt Pty LtdTetrahydroisoquinoline derived prmt5-inhibitors
CN105452226A (en)*2012-12-212016-03-30Epizyme股份有限公司 Tetrahydro- and dihydro-isoquinoline PRMT5 inhibitors and uses thereof
WO2018161922A1 (en)*2017-03-092018-09-13中国科学院上海药物研究所Compound having prmt5 inhibitory activity, preparation for compound, and applications thereof

Family Cites Families (1)

* Cited by examiner, † Cited by third party
Publication numberPriority datePublication dateAssigneeTitle
US9908887B2 (en)*2012-12-212018-03-06Epizyme, Inc.PRMT5 inhibitors and uses thereof

Patent Citations (5)

* Cited by examiner, † Cited by third party
Publication numberPriority datePublication dateAssigneeTitle
WO2014100730A1 (en)*2012-12-212014-06-26Epizyme, Inc.Prmt5 inhibitors containing a dihydro- or tetrahydroisoquinoline and uses thereof
CN105452226A (en)*2012-12-212016-03-30Epizyme股份有限公司 Tetrahydro- and dihydro-isoquinoline PRMT5 inhibitors and uses thereof
WO2016034673A1 (en)*2014-09-032016-03-10Ctxt Pty LtdTetrahydroisoquinoline derived prmt5-inhibitors
WO2016034675A1 (en)*2014-09-032016-03-10Ctxt Pty LtdTetrahydroisoquinoline derived prmt5-inhibitors
WO2018161922A1 (en)*2017-03-092018-09-13中国科学院上海药物研究所Compound having prmt5 inhibitory activity, preparation for compound, and applications thereof

Also Published As

Publication numberPublication date
CN113045543A (en)2021-06-29

Similar Documents

PublicationPublication DateTitle
JP6141568B1 (en) Novel pyrazolo [3,4-d] pyrimidine compound or salt thereof
JP6035423B2 (en) Novel condensed pyrimidine compound or salt thereof
CN113045543B (en)PRMT5 inhibitor and application thereof
CN115322158B (en)As KRASG12CSubstituted quinazoline compounds of protein inhibitor
US20090099160A1 (en)4-(4-(Imidazol-4-Yl) Pyrimidin-2-Ylamino) Benzamides as CDK Inhibitors
CN112778275B (en)Adamantyl PRMT5 inhibitor and application thereof
RU2543386C2 (en)Pyrazole pyrimidine derivatives and using them as pde10 inhibitors
WO2019154177A1 (en)Pyrimidine compound, preparation method thereof and medical use thereof
WO2019085894A1 (en)Nitrogen-containing fused ring compound, preparation method therefor, and use thereof
CN115551859B (en)Aza condensed ring amide compound and application thereof
CN114436976A (en)Novel quinazoline derivative and preparation and application thereof
CN114805357B (en)Small molecule inhibitor targeting SETDB1-TTD and pharmaceutical application thereof
WO2019223777A1 (en)Pyrrolopyrimidine compound containing arylamine substitution, preparation method and application thereof
JP6093485B2 (en) Preventive and / or therapeutic agent for immune disease
CN108047204A (en)2,4- diarylamino pyrimidine derivatives and its preparation method and application
JP7507892B2 (en) 3,4-Dihydroisoquinoline compounds and their uses
CN117304095A (en) An N-aryl-N-aryl propargyl-arylacetamide compound and its pharmaceutical use
CN116253717A (en) A kind of pyridazine derivative and its application in medicine
WO2023134374A1 (en)Pyrimido-heterocyclic compound, preparation method, and use
WO2023206655A1 (en)PI3Kδ INHIBITOR AND USE THEREOF
HK40080873A (en)3, 4 - dihydroisoquinoline compound and use thereof
WO2021209039A1 (en)Quinazoline compound, preparation method therefor and application thereof
WO2023083362A1 (en)Drug for treating tumors
CN118184657A (en)PARP7 inhibitor and preparation method and application thereof
WO2025168124A1 (en)Quinazoline compound, and pharmaceutical composition thereof and use thereof

Legal Events

DateCodeTitleDescription
PB01Publication
PB01Publication
SE01Entry into force of request for substantive examination
SE01Entry into force of request for substantive examination
GR01Patent grant
GR01Patent grant
TR01Transfer of patent right

Effective date of registration:20250725

Address after:201318 Shanghai Pudong New Area Qingdai Road 500, Building 1, 2nd Floor, Room 203

Patentee after:Shanghai Yishi Pharmaceutical Technology Co.,Ltd.

Country or region after:China

Address before:050035 No. 226, the Yellow River Avenue, hi tech Industrial Development Zone, Hebei, Shijiazhuang

Patentee before:CSPC ZHONGQI PHARMACEUTICAL TECHNOLOGY (SHIJIAZHUANG) Co.,Ltd.

Country or region before:China

TR01Transfer of patent right

[8]ページ先頭

©2009-2025 Movatter.jp