








技术领域technical field
本发明涉及航天测控及航天器健康状态管理技术领域,具体而言,涉及一种航天器的异常确定方法及装置。The invention relates to the technical field of aerospace measurement and control and spacecraft health state management, and in particular, to a method and device for determining anomalies of a spacecraft.
背景技术Background technique
航天器遥测数据是航天器飞行控制中判断其在轨运行状态的唯一依据,其异常检测成为增强航天器在轨可靠性和安全可靠运行的重要依据。Spacecraft telemetry data is the only basis for judging its on-orbit operation status in spacecraft flight control, and its anomaly detection has become an important basis for enhancing spacecraft on-orbit reliability and safe and reliable operation.
在航天器飞行控制中异常检测目前普遍采样基于人工结合阈值检测和基于专家系统两种方法。基于人工结合阈值检测的方法是航天器在轨运行过程中,飞控人员对遥测参数近乎实时的观测,并辅以信号阈值以监测信号是否超出预设的范围。基于专家系统的方法,通过将专家知识以“if-then”的规则形式表达,并在轨实时接收航天器遥测数据,对航天器的状态进行自动监视和异常判断。两种方法中阈值和判断规则的设置均需领域专家确定,阈值和规则的设置不确定性较大,可扩展性差且无法处理未知的异常。后续航天活动日益频繁,在轨航天器逐步增多,且随着航天器系统自动化和智能化程度不断提高,系统复杂度不断增加,采用人工对系统进行阈值或规则设定的方法越发无能为力,基于人工结合阈值检测和基于专家系统两种方法效用有限,已无法满足后续任务需求。Anomaly detection in spacecraft flight control is currently based on two methods of artificial combined threshold detection and expert system-based sampling. The method based on manual threshold detection is that the flight controller observes the telemetry parameters in near real time during the spacecraft's on-orbit operation, supplemented by the signal threshold to monitor whether the signal exceeds the preset range. The method based on the expert system can automatically monitor and judge the status of the spacecraft by expressing the expert knowledge in the form of "if-then" rules and receiving the spacecraft telemetry data in real time in orbit. The settings of thresholds and judgment rules in the two methods need to be determined by domain experts. The settings of thresholds and rules are uncertain, have poor scalability, and cannot handle unknown anomalies. Follow-up space activities are becoming more and more frequent, and the number of spacecraft in orbit is gradually increasing. With the continuous improvement of the automation and intelligence of the spacecraft system, the complexity of the system continues to increase, and the method of manually setting thresholds or rules for the system is becoming more and more powerless. The combination of threshold detection and expert system-based methods has limited utility and cannot meet the needs of subsequent tasks.
除上述两种方法外,异常检测目前还有基于模型的方法(Model Based)和基于数据驱动的方法(Data-Driven Based)等两种方法。基于模型的方法需要研究人员对系统进行精确的物理或数学建模,也需要专家参与,此外建立这些模型是非常费时的,因此不可能针对大型复杂系统建立其各部分的模型,更不可能对每种可能的异常模式进行建模。基于数据驱动的方法通过采用机器学习理论或其它理论方法,不依赖专家,自动的从表征系统状态的大量数据中挖掘内在机理、总结规律、形成知识,在对复杂系统进行建模方式具有明显的优势。In addition to the above two methods, there are currently two methods for anomaly detection: Model Based and Data-Driven Based. Model-based methods require researchers to perform precise physical or mathematical modeling of the system, as well as the participation of experts. In addition, building these models is very time-consuming, so it is impossible to model large complex systems of their parts, let alone for large complex systems. Each possible abnormal mode is modeled. The data-driven method uses machine learning theory or other theoretical methods to automatically mine internal mechanisms, summarize rules, and form knowledge from a large amount of data representing the state of the system without relying on experts. It has obvious advantages in modeling complex systems. Advantage.
基于数据驱动的方法进一步可以分为两类种:基于向量空间的方法和基于图的方法。基于向量空间的方法将研究对象建模为向量空间中的向量,多采用机器学习算法(如聚类)从历史数据或高保真的模拟数据中自动归纳出被测系统正常情形下的系统参数间的关联性和相互作用,以推理、预测系统的行为是否发生异常。基于图的方法更加考虑遥测数据彼此之间的关联,将遥测参数建模为图中的点,参数之间的关系则建模为边,使用图工具从挖掘被测系统不同部分间的关联性和相互作用,以推理、预测系统的行为是否发生异常。基于图的方法可以同时兼顾遥测数据的空间关系和时域相关性,与基于向量空间的方法相比,建模原理更符合客观系统、具有强大的展示效果、且方法更具有鲁棒性。但遥测参数较多时,图中边的数量会很大,增加了计算复杂度。Data-driven methods can be further divided into two categories: vector space-based methods and graph-based methods. The method based on vector space models the research object as a vector in the vector space, and mostly uses machine learning algorithms (such as clustering) to automatically summarize the system parameters under normal conditions of the system under test from historical data or high-fidelity simulated data. correlation and interaction to reason and predict whether the behavior of the system is abnormal. The graph-based method considers the relationship between telemetry data more, models the telemetry parameters as points in the graph, and models the relationship between parameters as edges, and uses graph tools to mine the correlation between different parts of the system under test. and interaction to reason and predict whether the behavior of the system is abnormal. The graph-based method can take into account the spatial relationship and time-domain correlation of telemetry data at the same time. Compared with the vector space-based method, the modeling principle is more in line with the objective system, has a strong display effect, and the method is more robust. However, when there are many telemetry parameters, the number of edges in the graph will be large, which increases the computational complexity.
针对上述相关技术中基于图的用于对航天器的状态进行异常检测的方式计算量较大、计算复杂度较高的问题,目前尚未提出有效的解决方案。Aiming at the problems of a large amount of computation and a high computational complexity in the graph-based method for abnormal detection of the state of a spacecraft in the above-mentioned related art, no effective solution has been proposed yet.
发明内容SUMMARY OF THE INVENTION
本发明实施例提供了一种航天器的异常确定方法及装置,以至少解决相关技术中基于图的用于对航天器的状态进行异常检测的方式计算量较大、计算复杂度较高的技术问题。Embodiments of the present invention provide a method and device for determining anomalies of a spacecraft, which can at least solve the graph-based method for detecting anomalies in the state of a spacecraft in the related art, which requires a large amount of computation and a high computational complexity. question.
根据本发明实施例的一个方面,提供了一种航天器的异常确定方法,包括:对航天器的在线遥测数据进行预处理,得到预处理后的在线遥测数据;利用遥测参数阵列图确定所述预处理后的在线遥测数据的异常度,其中,所述遥测参数阵列图是使用训练数据通过预定方式训练得到的,所述训练数据包括以下至少之一:历史遥测数据、仿真遥测数据;根据所述异常度确定所述航天器是否处于异常状态。According to an aspect of the embodiments of the present invention, a method for determining anomalies of a spacecraft is provided, including: preprocessing online telemetry data of the spacecraft to obtain preprocessed online telemetry data; The abnormality degree of the preprocessed online telemetry data, wherein the telemetry parameter array graph is obtained by training in a predetermined manner using training data, and the training data includes at least one of the following: historical telemetry data, simulated telemetry data; The degree of abnormality determines whether the spacecraft is in an abnormal state.
可选地,对航天器的在线遥测数据进行预处理,包括以下至少之一:在确定所述在线遥测数据存在缺陷缺失值时,对所述在线遥测数据进行缺失值处理;在确定所述在线遥测数据存在离散型数据时,对所述在线遥测数据中的离散型数据进行数据连续化处理;对所述在线遥测数据进行数据规范化处理。Optionally, preprocessing the online telemetry data of the spacecraft includes at least one of the following: when it is determined that the online telemetry data has defects and missing values, the online telemetry data is processed for missing values; When there is discrete data in the telemetry data, continuous data processing is performed on the discrete data in the online telemetry data; data normalization processing is performed on the online telemetry data.
可选地,对所述在线遥测数据进行数据规范化处理,包括:确定所述在线遥测数据的特征值,其中,所述特征值包括:所述在线遥测数据的平均值、所述在线遥测数据的方差;使用所述特征值通过第一公式对所述在线遥测数据进行数据规范化处理,其中,所述第一公式为:表示数据规范化处理后的遥测参数数值,xij表示所述在线遥测数据,ui表示所述在线遥测数据的平均值,ρi表示所述在线遥测数据的方差。Optionally, performing data normalization processing on the online telemetry data includes: determining a characteristic value of the online telemetry data, wherein the characteristic value includes: an average value of the online telemetry data, an average value of the online telemetry data, and an average value of the online telemetry data. variance; using the eigenvalue to perform data normalization processing on the online telemetry data through a first formula, where the first formula is: represents the telemetry parameter value after data normalization processing, xij represents the online telemetry data,ui represents the average value of the online telemetry data, and ρi represents the variance of the online telemetry data.
可选地,利用遥测参数阵列图确定所述预处理后的在线遥测数据的异常度,包括:对所述预处理后的在线遥测数据对应的遥测参数取值进行离散化处理,得到离散化处理结果;确定异常度计算所需的邻域系统,其中,所述邻域系统用于表示所述在线遥测数据中每个数据的邻居集合;根据所述离散化处理结果以及所述邻域系统确定所述预处理后的在线遥测数据的异常度。Optionally, determining the degree of abnormality of the preprocessed online telemetry data by using the telemetry parameter array diagram includes: discretizing the values of the telemetry parameters corresponding to the preprocessed online telemetry data to obtain the discretization process. Result; determine the neighborhood system required for calculating the anomaly degree, wherein the neighborhood system is used to represent the neighbor set of each data in the online telemetry data; determine according to the discretization processing result and the neighborhood system The abnormality of the preprocessed online telemetry data.
可选地,在确定异常度计算所需的邻域系统之前,该航天器的异常确定方法还包括:确定所述邻域系统的阶数、温度常数。Optionally, before determining the neighborhood system required for calculating the anomaly degree, the method for determining an anomaly of the spacecraft further includes: determining the order and temperature constant of the neighborhood system.
可选地,根据所述异常度确定所述航天器是否处于异常状态,包括:确定所述异常度符合高斯分布;利用异常度显著性指标对所述异常度进行评估,得到显著性值;在所述显著性值超过预定阈值时,则判定所述航天器处于异常状态;在所述显著性值不超过预定阈值时,则判定所述航天器未处于异常状态。Optionally, determining whether the spacecraft is in an abnormal state according to the abnormality degree includes: determining that the abnormality degree conforms to a Gaussian distribution; using an abnormality degree significance index to evaluate the abnormality degree to obtain a significance value; When the significance value exceeds a predetermined threshold, it is determined that the spacecraft is in an abnormal state; when the significance value does not exceed a predetermined threshold, it is determined that the spacecraft is not in an abnormal state.
可选地,在判定所述航天器处于异常状态之后,该航天器的异常确定方法还包括:获取导致所述航天器异常的遥测参数集合。Optionally, after it is determined that the spacecraft is in an abnormal state, the method for determining an abnormality of the spacecraft further includes: acquiring a set of telemetry parameters that cause the spacecraft to be abnormal.
可选地,在判定所述航天器未处于异常状态之后,该航天器的异常确定方法还包括:存储所述在线遥测数据,并在所述在线遥测数据的数量达到预定数量时,利用所述预定数量的在线遥测数据进行学习,更新知识库,其中,所述知识库用于对所述航天器进行在线监测使用。Optionally, after determining that the spacecraft is not in an abnormal state, the method for determining the abnormality of the spacecraft further includes: storing the online telemetry data, and using the online telemetry data when the number of online telemetry data reaches a predetermined number. A predetermined amount of online telemetry data is learned to update a knowledge base, wherein the knowledge base is used for online monitoring and use of the spacecraft.
可选地,在对航天器的在线遥测数据进行预处理,得到预处理后的在线遥测数据之前,该航天器的异常确定方法还包括:生成所述知识库;其中,生成所述知识库,包括:获取所述航天器的历史遥测数据或仿真遥测数据,并对历史遥测数据或仿真遥测数据进行预处理;利用预处理后的历史遥测数据或仿真遥测数据生成所述遥测参数阵列图;利用所述遥测参数阵列图以及马尔科夫随机场模型计算所述预处理后的历史遥测数据或仿真遥测数据的异常度;将所述异常度以及历史遥测数据或仿真遥测数据进行保存,得到所述知识库。Optionally, before preprocessing the online telemetry data of the spacecraft to obtain the preprocessed online telemetry data, the method for determining anomalies of the spacecraft further includes: generating the knowledge base; wherein, generating the knowledge base, Including: obtaining historical telemetry data or simulated telemetry data of the spacecraft, and preprocessing the historical telemetry data or simulated telemetry data; using the preprocessed historical telemetry data or simulated telemetry data to generate the telemetry parameter array diagram; using Calculate the abnormality degree of the preprocessed historical telemetry data or the simulated telemetry data by the telemetry parameter array diagram and the Markov random field model; save the abnormality degree and the historical telemetry data or the simulated telemetry data to obtain the knowledge base.
可选地,利用预处理后的历史遥测数据或仿真遥测数据生成所述遥测参数阵列图,包括:利用面向生物分子时序数据的数据分析和可视化软件平台GATE通过皮尔森相关系数计算预处理后的历史遥测数据或仿真遥测数据之间的相关性;利用所述GATE软件初始化得到阵列图布局,并利用随机优化算法以及所述相关性对所述阵列图布局进行调整,得到所述遥测参数阵列图。Optionally, using the preprocessed historical telemetry data or simulated telemetry data to generate the telemetry parameter array diagram includes: using the data analysis and visualization software platform GATE for biomolecular time series data to calculate the preprocessed data by Pearson correlation coefficient. Correlation between historical telemetry data or simulated telemetry data; use the GATE software to initialize the array map layout, and use the random optimization algorithm and the correlation to adjust the array map layout to obtain the telemetry parameter array map .
可选地,所述遥测参数阵列图为蜂窝拓扑结构二维六边形阵列图。Optionally, the telemetry parameter array diagram is a two-dimensional hexagonal array diagram of a cellular topology.
根据本发明实施例的另外一个方面,还提供了一种航天器的异常确定装置,包括:第一获取单元,用于对航天器的在线遥测数据进行预处理,得到预处理后的在线遥测数据;第一确定单元,用于利用遥测参数阵列图确定所述预处理后的在线遥测数据的异常度,其中,所述遥测参数阵列图是使用训练数据通过预定方式训练得到的,所述训练数据包括以下至少之一:历史遥测数据、仿真遥测数据;第二确定单元,用于根据所述异常度确定所述航天器是否处于异常状态。According to another aspect of the embodiments of the present invention, a device for determining anomalies of a spacecraft is also provided, including: a first acquisition unit configured to preprocess the online telemetry data of the spacecraft to obtain preprocessed online telemetry data a first determination unit, configured to determine the abnormality of the preprocessed online telemetry data by using a telemetry parameter array graph, wherein the telemetry parameter array graph is obtained by training in a predetermined manner using training data, and the training data It includes at least one of the following: historical telemetry data and simulated telemetry data; and a second determination unit, configured to determine whether the spacecraft is in an abnormal state according to the abnormality degree.
可选地,所述第一获取单元,包括以下至少之一:缺失值处理模块,用于在确定所述在线遥测数据存在缺陷缺失值时,对所述在线遥测数据进行缺失值处理;数据连续化处理模块,用于在确定所述在线遥测数据存在离散型数据时,对所述在线遥测数据中的离散型数据进行数据连续化处理;数据规范化处理模块,用于对所述在线遥测数据进行数据规范化处理。Optionally, the first obtaining unit includes at least one of the following: a missing value processing module, configured to perform missing value processing on the online telemetry data when it is determined that the online telemetry data has a defective missing value; continuous data a data normalization processing module is used to perform continuous data processing on the discrete data in the online telemetry data when it is determined that the online telemetry data has discrete data; a data normalization processing module is used to perform continuous data processing on the online telemetry data Data normalization.
可选地,所述数据规范化处理模块,包括:确定子模块,用于确定所述在线遥测数据的特征值,其中,所述特征值包括:所述在线遥测数据的平均值、所述在线遥测数据的方差;数据规范化处理子模块,用于使用所述特征值通过第一公式对所述在线遥测数据进行数据规范化处理,其中,所述第一公式为:表示数据规范化处理后的遥测参数数值,xij表示所述在线遥测数据,ui表示所述在线遥测数据的平均值,ρi表示所述在线遥测数据的方差。Optionally, the data normalization processing module includes: a determination sub-module for determining a characteristic value of the online telemetry data, wherein the characteristic value includes: the average value of the online telemetry data, the online telemetry data The variance of the data; the data normalization processing sub-module is used to perform data normalization processing on the online telemetry data by using the eigenvalue through a first formula, wherein the first formula is: represents the telemetry parameter value after data normalization processing, xij represents the online telemetry data,ui represents the average value of the online telemetry data, and ρi represents the variance of the online telemetry data.
可选地,所述第一确定单元,包括:离散化处理模块,用于对所述预处理后的在线遥测数据对应的遥测参数取值进行离散化处理,得到离散化处理结果;第一确定模块,用于确定异常度计算所需的邻域系统,其中,所述邻域系统用于表示所述在线遥测数据中每个数据的邻居集合;第二确定模块,用于根据所述离散化处理结果以及所述邻域系统确定所述预处理后的在线遥测数据的异常度。Optionally, the first determining unit includes: a discretization processing module, configured to perform discretization processing on the telemetry parameter values corresponding to the preprocessed online telemetry data to obtain a discretization processing result; the first determination a module for determining a neighborhood system required for calculating the anomaly degree, wherein the neighborhood system is used to represent the neighbor set of each data in the online telemetry data; a second determining module is used for determining according to the discretization The processing result and the neighborhood system determine the degree of abnormality of the preprocessed online telemetry data.
可选地,该航天器的异常确定装置还包括:第三确定模块,用于在确定异常度计算所需的邻域系统之前,确定所述邻域系统的阶数、温度常数。Optionally, the apparatus for determining anomalies of the spacecraft further includes: a third determining module, configured to determine the order and temperature constant of the neighborhood system before determining the neighborhood system required for calculating the anomaly degree.
可选地,所述第二确定单元,包括:第四确定模块,用于确定所述异常度符合高斯分布;评估模块,用于利用异常度显著性指标对所述异常度进行评估,得到显著性值;第一判定模块,用于在所述显著性值超过预定阈值时,则判定所述航天器处于异常状态;第二判定模块,用于在所述显著性值不超过预定阈值时,则判定所述航天器未处于异常状态。Optionally, the second determining unit includes: a fourth determining module, configured to determine that the abnormality degree conforms to a Gaussian distribution; an evaluation module, configured to evaluate the abnormality degree by using an abnormality degree significance index, and obtain a significant The first determination module is used to determine that the spacecraft is in an abnormal state when the significance value exceeds a predetermined threshold; the second determination module is used to determine when the significance value does not exceed the predetermined threshold. Then it is determined that the spacecraft is not in an abnormal state.
可选地,该航天器的异常确定装置还包括:第一获取模块,用于在判定所述航天器处于异常状态之后,获取导致所述航天器异常的遥测参数集合。Optionally, the apparatus for determining an abnormality of the spacecraft further includes: a first acquisition module, configured to acquire a set of telemetry parameters that cause the abnormality of the spacecraft after it is determined that the spacecraft is in an abnormal state.
可选地,该航天器的异常确定装置还包括:存储模块,用于在判定所述航天器未处于异常状态之后,存储所述在线遥测数据,并在所述在线遥测数据的数量达到预定数量时,利用所述预定数量的在线遥测数据进行学习,更新知识库,其中,所述知识库用于对所述航天器进行在线监测使用。Optionally, the abnormality determination device of the spacecraft further includes: a storage module for storing the online telemetry data after it is determined that the spacecraft is not in an abnormal state, and when the number of online telemetry data reaches a predetermined number At the time of learning, the predetermined amount of online telemetry data is used for learning, and the knowledge base is updated, wherein the knowledge base is used for online monitoring and use of the spacecraft.
可选地,该航天器的异常确定装置还包括:生成单元,用于在对航天器的在线遥测数据进行预处理,得到预处理后的在线遥测数据之前,生成所述知识库;其中,所述生成单元,包括:第二获取模块,用于获取所述航天器的历史遥测数据或仿真遥测数据,并对历史遥测数据或仿真遥测数据进行预处理;生成模块,用于利用预处理后的历史遥测数据或仿真遥测数据生成所述遥测参数阵列图;计算模块,用于利用所述遥测参数阵列图以及马尔科夫随机场模型计算所述预处理后的历史遥测数据或仿真遥测数据的异常度;保存模块,用于将所述异常度以及历史遥测数据或仿真遥测数据进行保存,得到所述知识库。Optionally, the abnormality determination device of the spacecraft further includes: a generating unit, configured to generate the knowledge base before preprocessing the online telemetry data of the spacecraft to obtain the preprocessed online telemetry data; The generation unit includes: a second acquisition module for acquiring historical telemetry data or simulated telemetry data of the spacecraft, and preprocessing the historical telemetry data or simulated telemetry data; a generation module for using the preprocessed telemetry data The historical telemetry data or the simulated telemetry data generates the telemetry parameter array diagram; the calculation module is used to calculate the abnormality of the preprocessed historical telemetry data or the simulated telemetry data by using the telemetry parameter array diagram and the Markov random field model degree; a saving module for saving the abnormality degree and historical telemetry data or simulated telemetry data to obtain the knowledge base.
可选地,所述生成模块,包括:计算子模块,用于利用面向生物分子时序数据的数据分析和可视化软件平台GATE通过皮尔森相关系数计算预处理后的历史遥测数据或仿真遥测数据之间的相关性;调整子模块,用于利用所述GATE软件初始化得到阵列图布局,并利用随机优化算法以及所述相关性对所述阵列图布局进行调整,得到所述遥测参数阵列图。Optionally, the generation module includes: a calculation sub-module for calculating the preprocessed historical telemetry data or the simulation telemetry data through the Pearson correlation coefficient using the data analysis and visualization software platform GATE for biomolecular time series data. The adjustment sub-module is used to initialize the array map layout using the GATE software, and use the random optimization algorithm and the correlation to adjust the array map layout to obtain the telemetry parameter array map.
可选地,所述遥测参数阵列图为蜂窝拓扑结构二维六边形阵列图。Optionally, the telemetry parameter array diagram is a two-dimensional hexagonal array diagram of a cellular topology.
根据本发明实施例的另外一个方面,还提供了一种计算机可读存储介质,所述计算机可读存储介质包括存储的程序,其中,所述程序执行上述中任意一项所述的航天器的异常确定方法。According to another aspect of the embodiments of the present invention, a computer-readable storage medium is also provided, the computer-readable storage medium includes a stored program, wherein the program executes any one of the above-mentioned spacecraft. Exception determination method.
根据本发明实施例的另外一个方面,还提供了一种处理器,所述处理器用于运行程序,其中,所述程序运行时执行上述中任意一项所述的航天器的异常确定方法。According to another aspect of the embodiments of the present invention, a processor is also provided, and the processor is configured to run a program, wherein when the program runs, any one of the above-mentioned methods for determining an abnormality of a spacecraft is executed.
在本发明实施例中,采用对航天器的在线遥测数据进行预处理,得到预处理后的在线遥测数据;利用遥测参数阵列图确定预处理后的在线遥测数据的异常度,其中,遥测参数阵列图是使用训练数据通过预定方式训练得到的,训练数据包括以下至少之一:历史遥测数据、仿真遥测数据;根据异常度确定航天器是否处于异常状态。通过本发明实施例提供的航天器的异常确定方法,实现了通过遥测参数阵列图来获取在线遥测数据的异常度,以对航天器进行异常检测的目的,达到了降低对航天器进行异常检测时的复杂度,进而解决了相关技术中基于图的用于对航天器的状态进行异常检测的方式计算量较大、计算复杂度较高的技术问题。In the embodiment of the present invention, the online telemetry data of the spacecraft is preprocessed to obtain the preprocessed online telemetry data; the abnormality of the preprocessed online telemetry data is determined by using the telemetry parameter array map, wherein the telemetry parameter array The graph is obtained by training in a predetermined manner using training data, and the training data includes at least one of the following: historical telemetry data and simulated telemetry data; and whether the spacecraft is in an abnormal state is determined according to the degree of abnormality. Through the method for determining anomaly of a spacecraft provided by the embodiment of the present invention, the abnormality degree of the online telemetry data is obtained through the telemetry parameter array map, so as to detect the abnormality of the spacecraft, and reduce the time required for abnormality detection of the spacecraft. Therefore, it solves the technical problems of large amount of calculation and high computational complexity in the graph-based method for abnormal detection of the state of the spacecraft in the related art.
附图说明Description of drawings
此处所说明的附图用来提供对本发明的进一步理解,构成本申请的一部分,本发明的示意性实施例及其说明用于解释本发明,并不构成对本发明的不当限定。在附图中:The accompanying drawings described herein are used to provide a further understanding of the present invention and constitute a part of the present application. The exemplary embodiments of the present invention and their descriptions are used to explain the present invention and do not constitute an improper limitation of the present invention. In the attached image:
图1是根据本发明实施例的航天器的异常确定方法的流程图;1 is a flowchart of a method for determining anomalies of a spacecraft according to an embodiment of the present invention;
图2是根据本发明实施例的可选的航天器的异常确定方法的流程图;2 is a flowchart of an optional abnormality determination method for a spacecraft according to an embodiment of the present invention;
图3是根据本发明实施例的蜂窝拓扑结构二维六边形阵列图;3 is a two-dimensional hexagonal array diagram of a cellular topology according to an embodiment of the present invention;
图4是根据本发明实施例的二维六边形阵列图生成流程图;4 is a flow chart of generating a two-dimensional hexagonal array diagram according to an embodiment of the present invention;
图5是根据本发明实施例的基于MRF计算异常度流程图;5 is a flow chart of calculating an abnormality degree based on MRF according to an embodiment of the present invention;
图6是根据本发明实施例的遥测参数的一阶和二阶邻域范围示意图;6 is a schematic diagram of first-order and second-order neighborhood ranges of telemetry parameters according to an embodiment of the present invention;
图7(a)是根据本发明实施例的学习训练阶段的示意图;7(a) is a schematic diagram of a learning and training stage according to an embodiment of the present invention;
图7(b)是根据本发明实施例的在线监测阶段的示意图;Figure 7(b) is a schematic diagram of an online monitoring stage according to an embodiment of the present invention;
图8是根据本发明实施例的航天器的异常确定装置的示意图。FIG. 8 is a schematic diagram of a device for determining anomalies of a spacecraft according to an embodiment of the present invention.
具体实施方式Detailed ways
为了使本技术领域的人员更好地理解本发明方案,下面将结合本发明实施例中的附图,对本发明实施例中的技术方案进行清楚、完整地描述,显然,所描述的实施例仅仅是本发明一部分的实施例,而不是全部的实施例。基于本发明中的实施例,本领域普通技术人员在没有做出创造性劳动前提下所获得的所有其他实施例,都应当属于本发明保护的范围。In order to make those skilled in the art better understand the solutions of the present invention, the technical solutions in the embodiments of the present invention will be clearly and completely described below with reference to the accompanying drawings in the embodiments of the present invention. Obviously, the described embodiments are only Embodiments are part of the present invention, but not all embodiments. Based on the embodiments of the present invention, all other embodiments obtained by persons of ordinary skill in the art without creative efforts shall fall within the protection scope of the present invention.
需要说明的是,本发明的说明书和权利要求书及上述附图中的术语“第一”、“第二”等是用于区别类似的对象,而不必用于描述特定的顺序或先后次序。应该理解这样使用的数据在适当情况下可以互换,以便这里描述的本发明的实施例能够以除了在这里图示或描述的那些以外的顺序实施。此外,术语“包括”和“具有”以及他们的任何变形,意图在于覆盖不排他的包含,例如,包含了一系列步骤或单元的过程、方法、系统、产品或设备不必限于清楚地列出的那些步骤或单元,而是可包括没有清楚地列出的或对于这些过程、方法、产品或设备固有的其它步骤或单元。It should be noted that the terms "first", "second" and the like in the description and claims of the present invention and the above drawings are used to distinguish similar objects, and are not necessarily used to describe a specific sequence or sequence. It is to be understood that the data so used may be interchanged under appropriate circumstances such that the embodiments of the invention described herein can be practiced in sequences other than those illustrated or described herein. Furthermore, the terms "comprising" and "having" and any variations thereof, are intended to cover non-exclusive inclusion, for example, a process, method, system, product or device comprising a series of steps or units is not necessarily limited to those expressly listed Rather, those steps or units may include other steps or units not expressly listed or inherent to these processes, methods, products or devices.
针对上述问题,在本发明实施例中,面向航天器飞行控制中异常检测任务需求,提出了一种基于图的航天器异常检测方法,该方法通过遥测历史时序数据计算遥测参数间的相关性,将所有遥测参数建模为表征时空关系的蜂窝拓扑结构二维六边形阵列图,并使用马尔科夫随机场模型定量计算异常度,能够在有效降低计算复杂度的同时实现对航天器的状态进行异常检测。通过在学习训练阶段,基于正常状态历史遥测数据进行学习训练,获得表征参数间时空关系的二维六边形阵列图,并建立异常度知识库;具体地,可以对正常状态历史遥测时序数据预处理,并生成遥测参数阵列图,接着计算历史遥测数据的异常度,并根据异常度计算生成知识库。In view of the above problems, in the embodiment of the present invention, a graph-based spacecraft anomaly detection method is proposed to meet the requirements of anomaly detection tasks in spacecraft flight control. The method calculates the correlation between telemetry parameters by using telemetry historical time series data, All telemetry parameters are modeled as a two-dimensional hexagonal array of cellular topology representing the space-time relationship, and the Markov random field model is used to quantitatively calculate the anomaly, which can effectively reduce the computational complexity while realizing the state of the spacecraft. Anomaly detection is performed. Through learning and training based on the normal state historical telemetry data in the learning and training stage, a two-dimensional hexagonal array graph representing the spatiotemporal relationship between parameters is obtained, and an abnormality knowledge base is established; specifically, the normal state historical telemetry time series data can be predicted. process, and generate a telemetry parameter array diagram, then calculate the abnormality of the historical telemetry data, and generate a knowledge base according to the abnormality calculation.
在在线监测阶段,可基于学习训练得到的遥测阵列图和知识库进行实施异常状态检测,具体地,对实时遥测数据进行预处理,计算实时遥测数据的异常度,并根据异常度计算结果评估航天器的状态。In the online monitoring stage, abnormal state detection can be carried out based on the telemetry array graph and knowledge base obtained by learning and training. Specifically, the real-time telemetry data is preprocessed, the abnormality of the real-time telemetry data is calculated, and the aerospace is evaluated according to the abnormality calculation result. state of the device.
下面结合具体实施例对本发明实施例中的航天器的异常确定方法及装置进行描述。The method and device for determining anomalies of a spacecraft in the embodiments of the present invention will be described below with reference to specific embodiments.
实施例1Example 1
根据本发明实施例,提供了一种航天器的异常确定方法的方法实施例,需要说明的是,在附图的流程图示出的步骤可以在诸如一组计算机可执行指令的计算机系统中执行,并且,虽然在流程图中示出了逻辑顺序,但是在某些情况下,可以以不同于此处的顺序执行所示出或描述的步骤。According to an embodiment of the present invention, a method embodiment of a method for determining an abnormality of a spacecraft is provided. It should be noted that the steps shown in the flowchart of the accompanying drawings can be executed in a computer system such as a set of computer-executable instructions. and, although a logical order is shown in the flowcharts, in some cases the steps shown or described may be performed in an order different from that herein.
图1是根据本发明实施例的航天器的异常确定方法的流程图,如图1所示,该航天器的异常确定方法包括如下步骤:FIG. 1 is a flowchart of a method for determining anomalies of a spacecraft according to an embodiment of the present invention. As shown in FIG. 1 , the method for determining anomalies of a spacecraft includes the following steps:
步骤S102,对航天器的在线遥测数据进行预处理,得到预处理后的在线遥测数据。Step S102, preprocessing the online telemetry data of the spacecraft to obtain preprocessed online telemetry data.
由于遥测数据在具体使用过程中,存在着以下问题:1)针对航天器,遥测数据往往是波道复用,即数据下传链路按照不同的周期改变下传内容。参数下传周期不同会导致采样时刻x:j中部分数据无法采集;2)遥测参数的量纲和取值范围不同,如压力数据的取值远远大于温度数据的取值,而温度的取值远远大于其他两个参数的取值,同样是数据变化10,温度数据会表现出较大强度的变化,但针对压力数据却不敏感;3)航天器的参数一般有连续型和离散型两种,这两类数据的预处理方法一般是不一致的。Due to the following problems in the specific use of telemetry data: 1) For spacecraft, telemetry data is often channel multiplexed, that is, the data downlink link changes the downlink content according to different cycles. Different parameter download cycles will cause some data in sampling time x:j to fail to be collected; 2) The dimensions and value ranges of telemetry parameters are different, for example, the value of pressure data is much larger than that of temperature data, while the value of temperature data The value is much larger than the values of the other two parameters, the same data change of 10, the temperature data will show a large change in intensity, but it is not sensitive to the pressure data; 3) The parameters of the spacecraft are generally continuous and discrete. Two, the preprocessing methods of these two types of data are generally inconsistent.
因此,需要对遥测数据进行预处理。可选地,对航天器的在线遥测数据进行预处理,包括以下至少之一:在确定在线遥测数据存在缺陷缺失值时,对在线遥测数据进行缺失值处理;在确定在线遥测数据存在离散型数据时,对在线遥测数据中的离散型数据进行数据连续化处理;对在线遥测数据进行数据规范化处理。Therefore, preprocessing of the telemetry data is required. Optionally, preprocessing the online telemetry data of the spacecraft includes at least one of the following: when it is determined that there are defects and missing values in the online telemetry data, missing value processing is performed on the online telemetry data; when it is determined that there are discrete data in the online telemetry data When , the discrete data in the online telemetry data is processed continuously; the data normalization is performed on the online telemetry data.
其中,对在线遥测数据进行缺失值处理,可以采用“sample-and-hold”方法,即保留参数最后一次更新值并直至下一次更新,若参数取值时发现缺失,则使用最新一次更新值。Among them, the "sample-and-hold" method can be used to process the missing value of online telemetry data, that is, the last updated value of the parameter is retained until the next update. If the parameter is found to be missing when the value is taken, the latest updated value is used.
其次,对在线遥测数据中的离散型数据进行数据连续化处理,可以先对数据进行编码,此后可以使用最长共同子序列模型对离散数据连续化。Secondly, the discrete data in the online telemetry data is processed for continuous data. The data can be encoded first, and then the discrete data can be continuous using the longest common subsequence model.
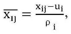
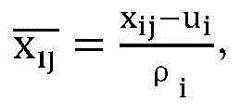
另外,对在线遥测数据进行数据规范化处理,包括:确定在线遥测数据的特征值,其中,特征值包括:在线遥测数据的平均值、在线遥测数据的方差;使用特征值通过第一公式对在线遥测数据进行数据规范化处理,其中,第一公式为:表示数据规范化处理后的遥测参数数值,xij表示在线遥测数据,ui表示在线遥测数据的平均值,ρi表示在线遥测数据的方差。In addition, performing data normalization processing on the online telemetry data includes: determining characteristic values of the online telemetry data, wherein the characteristic values include: the average value of the online telemetry data and the variance of the online telemetry data; The data is subjected to data normalization processing, wherein the first formula is: Represents the telemetry parameter value after data normalization processing, xij represents the online telemetry data,ui represents the average value of the online telemetry data, and ρi represents the variance of the online telemetry data.
在上述实施例中,对在线遥测数据进行数据规范化处理可以采用Z-Score方法,该方法计算公式如上。需要说明的是,为表达方便,后续将规划化后的数据仍写为xij。In the above embodiment, the Z-Score method can be used to normalize the online telemetry data, and the calculation formula of the method is as above. It should be noted that, for the convenience of expression, the planned data will be written as xij in the future.
步骤S104,利用遥测参数阵列图确定预处理后的在线遥测数据的异常度,其中,遥测参数阵列图是使用训练数据通过预定方式训练得到的,训练数据包括以下至少之一:历史遥测数据、仿真遥测数据。Step S104, the abnormality degree of the preprocessed online telemetry data is determined by using a telemetry parameter array graph, wherein the telemetry parameter array graph is obtained by training in a predetermined manner using training data, and the training data includes at least one of the following: historical telemetry data, simulation telemetry data.
在该实施例中,使用学习训练阶段获得的遥测参数阵列图进行异常度计算方式与学习训练阶段相同。此外,为了方便后续系统状态评估,还需要临时保留每个点格代表的遥测与其邻居V值之和,即:Vxi1=∑xi2∈Ni1V(xi1,xi2)。In this embodiment, the method of calculating the abnormality degree using the telemetry parameter array graph obtained in the learning and training stage is the same as that in the learning and training stage. In addition, in order to facilitate subsequent system state evaluation, it is also necessary to temporarily retain the sum of the telemetry represented by each grid and its neighbor V value, namely: Vxi1 =∑xi2∈Ni1 V(xi1, xi2).
可选地,利用遥测参数阵列图确定预处理后的在线遥测数据的异常度,包括:对预处理后的在线遥测数据对应的遥测参数取值进行离散化处理,得到离散化处理结果;确定异常度计算所需的邻域系统,其中,邻域系统用于表示在线遥测数据中每个数据的邻居集合;根据离散化处理结果以及邻域系统确定预处理后的在线遥测数据的异常度。Optionally, determining the degree of abnormality of the preprocessed online telemetry data by using the telemetry parameter array diagram includes: discretizing the values of the telemetry parameters corresponding to the preprocessed online telemetry data to obtain a discretization processing result; determining the abnormality The neighborhood system required for degree calculation, wherein the neighborhood system is used to represent the neighbor set of each data in the online telemetry data; the anomaly degree of the preprocessed online telemetry data is determined according to the discretization processing result and the neighborhood system.
在本发明实施例中,对遥测数据预处理方式与上述方式一样,再次不再赘述。In this embodiment of the present invention, the method of preprocessing the telemetry data is the same as the above-mentioned method, and details are not described again.
步骤S106,根据异常度确定航天器是否处于异常状态。Step S106, determining whether the spacecraft is in an abnormal state according to the degree of abnormality.
由上可知,在本发明实施例中,可以对航天器的在线遥测数据进行预处理,得到预处理后的在线遥测数据;利用遥测参数阵列图确定预处理后的在线遥测数据的异常度,其中,遥测参数阵列图是使用训练数据通过预定方式训练得到的,训练数据包括以下至少之一:历史遥测数据、仿真遥测数据;根据异常度确定航天器是否处于异常状态,实现了通过遥测参数阵列图来获取在线遥测数据的异常度,以对航天器进行异常检测的目的,达到了降低对航天器进行异常检测时的复杂度。As can be seen from the above, in the embodiment of the present invention, the online telemetry data of the spacecraft can be preprocessed to obtain the preprocessed online telemetry data; the abnormality degree of the preprocessed online telemetry data is determined by using the telemetry parameter array diagram, wherein , the telemetry parameter array diagram is obtained by training in a predetermined way using the training data, and the training data includes at least one of the following: historical telemetry data, simulated telemetry data; according to the degree of abnormality, it is determined whether the spacecraft is in an abnormal state, and the telemetry parameter array diagram is realized through the telemetry parameter array diagram. It is used to obtain the abnormality of online telemetry data, so as to detect the abnormality of the spacecraft, so as to reduce the complexity of the abnormality detection of the spacecraft.
因此,通过本发明实施例提供的航天器的异常确定方法,解决了相关技术中基于图的用于对航天器的状态进行异常检测的方式计算量较大、计算复杂度较高的技术问题。Therefore, the method for determining anomalies of a spacecraft provided by the embodiments of the present invention solves the technical problems of large amount of computation and high computational complexity in the graph-based method for detecting anomalies of the state of the spacecraft in the related art.
在一种可选的实施例中,在确定异常度计算所需的邻域系统之前,该航天器的异常确定方法还包括:确定邻域系统的阶数、温度常数。In an optional embodiment, before determining the neighborhood system required for calculating the anomaly degree, the method for determining the anomaly of the spacecraft further includes: determining the order and temperature constant of the neighborhood system.
可选地,在上述步骤S106中,根据异常度确定航天器是否处于异常状态,包括:确定异常度符合高斯分布;利用异常度显著性指标对异常度进行评估,得到显著性值;在显著性值超过预定阈值时,则判定航天器处于异常状态;在显著性值不超过预定阈值时,则判定航天器未处于异常状态。Optionally, in the above step S106, determining whether the spacecraft is in an abnormal state according to the abnormality degree includes: determining that the abnormality degree conforms to a Gaussian distribution; using the abnormality degree significance index to evaluate the abnormality degree to obtain a significance value; When the value exceeds the predetermined threshold, it is determined that the spacecraft is in an abnormal state; when the significance value does not exceed the predetermined threshold, it is determined that the spacecraft is not in an abnormal state.
即,在获得实时在线遥测数据的异常度之后,需要对异常度进行评估是否为异常状态;其中,在进行异常评估时,假设正常样本中异常度服从高斯分布,则可以利用异常度显著性指标进行评估异常,异常度显著性定义如下:S表示显著性值,u和ρ分别表示当前工作模式下正常历史样本异常度的均值和标准差,得到S后,若|S|≥2.6则在高斯分布显著性为99%的指标下判断出异常。需要说明的是,|S|的阈值是可以调整的。That is, after obtaining the anomaly degree of the real-time online telemetry data, it is necessary to evaluate whether the anomaly degree is an abnormal state; among them, when performing anomaly evaluation, it is assumed that the anomaly degree in the normal sample obeys the Gaussian distribution, and the anomaly degree significance index can be used. To evaluate anomalies, the significance of anomaly degrees is defined as follows: S represents the significance value, u and ρ represent the mean and standard deviation of the abnormality degree of the normal historical samples in the current working mode, respectively. After obtaining S, if |S|≥2.6, it is judged under the indicator that the significance of the Gaussian distribution is 99%. abnormal. It should be noted that the threshold of |S| can be adjusted.
可选地,在判定航天器处于异常状态之后,该航天器的异常确定方法还包括:获取导致航天器异常的遥测参数集合。Optionally, after it is determined that the spacecraft is in an abnormal state, the method for determining the abnormality of the spacecraft further includes: acquiring a set of telemetry parameters that cause the abnormality of the spacecraft.
也即是,在判断出航天器处于异常状态时,需要提供导致异常发生的遥测参数集合,以用于进一步诊断异常;具体地,可以对异常度计算中针对每个遥测保存的Vx结果进行由大到小排序,将具有较大Vx值的遥测(例如,前5%)提供用于进一步诊断。That is, when it is judged that the spacecraft is in an abnormal state, itis necessary to provide a set of telemetry parameters that cause the abnormality to further diagnose the abnormality; In order from largest to smallest, the telemetry with the largerVx value (eg, the top 5%) is provided for further diagnosis.
反之,若判断出航天器处于正常状态时,则可以将样本(即,遥测数据)保存起来,供后续再学习使用。Conversely, if it is determined that the spacecraft is in a normal state, the samples (ie, telemetry data) can be saved for subsequent re-learning.
可选地,在判定航天器未处于异常状态之后,该航天器的异常确定方法还包括:存储在线遥测数据,并在在线遥测数据的数量达到预定数量时,利用预定数量的在线遥测数据进行学习,更新知识库,其中,知识库用于对航天器进行在线监测使用。Optionally, after determining that the spacecraft is not in an abnormal state, the method for determining the abnormality of the spacecraft further includes: storing online telemetry data, and when the number of online telemetry data reaches a predetermined number, using a predetermined amount of online telemetry data for learning. , update the knowledge base, wherein, the knowledge base is used for online monitoring of the spacecraft.
图2是根据本发明实施例的可选的航天器的异常确定方法的流程图,如图2所示,首先获取航天器的当前模式,并对航天器的当前模式进行查询,以获取航天器在当前模式下的相关数据,基于查询到的相关数据对航天器进行异常度评估,基于评估结果判断航天器当前是否处于异常状态,若是,则报告异常并提供异常线索,继续进行检测;反之,则存储航天器在正常状态下的样本信息,当样本达到一定程度时进行重新学习,以更新知识库,并继续进行监测。FIG. 2 is a flowchart of an optional method for determining anomalies of a spacecraft according to an embodiment of the present invention. As shown in FIG. 2 , the current mode of the spacecraft is first obtained, and the current mode of the spacecraft is queried to obtain the spacecraft. In the relevant data in the current mode, the abnormality of the spacecraft is evaluated based on the queried relevant data, and based on the evaluation results, it is judged whether the spacecraft is currently in an abnormal state. If so, report the abnormality and provide abnormal clues, and continue to detect; Then, the sample information of the spacecraft in the normal state is stored, and when the sample reaches a certain level, it is re-learned to update the knowledge base and continue to monitor.
可选地,在对航天器的在线遥测数据进行预处理,得到预处理后的在线遥测数据之前,该航天器的异常确定方法还包括:生成知识库;其中,生成知识库,包括:获取航天器的历史遥测数据或仿真遥测数据,并对历史遥测数据或仿真遥测数据进行预处理;利用预处理后的历史遥测数据或仿真遥测数据生成遥测参数阵列图;利用遥测参数阵列图以及马尔科夫随机场模型计算预处理后的历史遥测数据或仿真遥测数据的异常度;将异常度以及历史遥测数据或仿真遥测数据进行保存,得到知识库。Optionally, before preprocessing the online telemetry data of the spacecraft to obtain the preprocessed online telemetry data, the method for determining anomalies of the spacecraft further includes: generating a knowledge base; wherein, generating a knowledge base includes: acquiring aerospace The historical telemetry data or simulated telemetry data of the monitor is processed, and the historical telemetry data or simulated telemetry data are preprocessed; the preprocessed historical telemetry data or the simulated telemetry data are used to generate a telemetry parameter array diagram; the telemetry parameter array diagram and Markov The random field model calculates the abnormality degree of the preprocessed historical telemetry data or the simulated telemetry data; saves the abnormality degree and the historical telemetry data or the simulated telemetry data to obtain a knowledge base.
在该实施例中,在进行后续计算之前需要对历史遥测数据(即,历史遥测时序数据)进行预处理;需要说明的是,在没有历史遥测数据的情况下,可以使用地面测试数据或者高保真飞控模拟器数据,即,仿真遥测数据。这里遥测时序数据格式可以为:其中,xij表示第j个时间点第i个遥测参数的取值,m和n分别表示遥测参数和时间点的数量。进一步定义xi:表示遥测参数i个时刻取值向量,x:j表示时刻j所有遥测参数的取值。In this embodiment, historical telemetry data (ie, historical telemetry time series data) needs to be preprocessed before subsequent calculations; it should be noted that in the absence of historical telemetry data, ground test data or high-fidelity data can be used Flight control simulator data, ie, simulated telemetry data. Here the telemetry time series data format can be: Among them, xij represents the value of the i-th telemetry parameter at the j-th time point, and m and n represent the number of telemetry parameters and time points, respectively. Further definition xi: represents the value vector of telemetry parameter i at time, x: j represents the value of all telemetry parameters at time j.
需要说明的是,由于遥测数据在具体使用过程中,存在着三个主要的问题:问题1)针对航天器,遥测数据往往是波道复用,即数据下传链路按照不同的周期改变下传内容。参数下传周期不同会导致采样时刻x:j中部分数据无法采集;因此,需要对采集的遥测数据进行缺失值处理,具体地,可以缺失值处理采用“sample-and-hold”方法,即保留参数最后一次更新值并直至下一次更新,若参数取值时发现缺失,则使用最新一次更新值。问题2)遥测参数的量纲和取值范围不同,如压力数据的取值远远大于温度数据的取值,而温度的取值远远大于其他两个参数的取值,同样是数据变化10,温度数据会表现出较大强度的变化,但针对压力数据却不敏感;因此,对应离散型数据需要进行离散化处理,其中,对应离散型数据的处理一般是先对数据进行编码,此后可以使用最长共同子序列模型对离散型数据进行连续化处理。问题3)航天器的参数一般有连续型和离散型两种,这两类数据的预处理方法一般是不一致的;因此,需要对数据进行规范化处理,具体可以采用Z-Score方法,该方法计算公式如下:与上述在线监测阶段方式相同,在此不再赘述。It should be noted that, due to the specific use of telemetry data, there are three main problems: Problem 1) For spacecraft, telemetry data is often channel multiplexed, that is, the data downlink link changes according to different cycles. upload content. Different parameter download cycles will result in that some data in sampling time x:j cannot be collected; therefore, the collected telemetry data needs to be processed for missing values. Specifically, the "sample-and-hold" method can be used for missing value processing, that is, to retain The last update value of the parameter and until the next update, if the parameter value is found to be missing, the latest update value is used. Question 2) The dimensions and value ranges of the telemetry parameters are different. For example, the value of the pressure data is much larger than the value of the temperature data, and the value of the temperature is much larger than the values of the other two parameters. The same is the data change of 10 , the temperature data will show a large intensity change, but it is not sensitive to the pressure data; therefore, the corresponding discrete data needs to be discretized. Continuous processing of discrete data using the longest common subsequence model. Question 3) The parameters of spacecraft generally have two types: continuous type and discrete type. The preprocessing methods of these two types of data are generally inconsistent; therefore, the data needs to be normalized. Specifically, the Z-Score method can be used. This method calculates The formula is as follows: The method is the same as the above-mentioned online monitoring stage, and will not be repeated here.
可选地,利用预处理后的历史遥测数据或仿真遥测数据生成遥测参数阵列图,包括:利用面向生物分子时序数据的数据分析和可视化软件平台GATE通过皮尔森相关系数计算预处理后的历史遥测数据或仿真遥测数据之间的相关性;利用GATE软件初始化得到阵列图布局,并利用随机优化算法以及相关性对阵列图布局进行调整,得到遥测参数阵列图。Optionally, use the preprocessed historical telemetry data or the simulated telemetry data to generate a telemetry parameter array diagram, including: using the data analysis and visualization software platform GATE for biomolecular time series data to calculate the preprocessed historical telemetry through the Pearson correlation coefficient Correlation between data or simulated telemetry data; use GATE software to initialize the array map layout, and use the random optimization algorithm and correlation to adjust the array map layout to obtain the telemetry parameter array map.
在该实施例中,遥测参数阵列图可以使用GATE(Grid Analysis of Time-seriesExpression)软件生成。GATE是一个面向生物分子时序数据的数据分析和可视化软件平台。GATE使用一种基于相关性的聚类算法将分子时序数据重整为一个蜂窝拓扑结构的二维六边形阵列(其中每个六边形代表一个分子),而且二维阵列可以通过颜色的显示变化来表现数据随着时间的演变过程。In this embodiment, the telemetry parameter array graph can be generated using GATE (Grid Analysis of Time-series Expression) software. GATE is a data analysis and visualization software platform for biomolecular time series data. GATE uses a correlation-based clustering algorithm to reshape molecular time series data into a two-dimensional array of hexagons in a cellular topology (where each hexagon represents a molecule), and the two-dimensional array can be displayed by color Changes represent the evolution of data over time.
另外,遥测参数阵列图示例如附图3(图3是根据本发明实施例的蜂窝拓扑结构二维六边形阵列图)所示,图中每个6边形表示一个遥测参数。其计算生成流程如附图4(图4是根据本发明实施例的二维六边形阵列图生成流程图)所示,GATE使用皮尔森相关系数计算不同遥测参数之间的相关性,如下式所示:其中,表示遥测参数i1和遥测参数i2之间的皮尔森相关系数。GATE会初始化一个阵列图布局,通过随机优化算法不断调整布局,为此,为每种二维阵列排布定义了一个适应度值:其中,k和1分别表示二维阵列的行数和列数,两者可按照一定比例设置,nei(i1)表示与遥测参数i1相邻距离为1的邻居集合。为了得到一个好的布局,GATE利用模拟退火算法进行寻优,最后得到一个较满意的结果。由于遥测参数个数m不一定等于k*1,少量六边形格子可以使用阵列图中已经存在的遥测参数。In addition, the telemetry parameter array diagram is shown, for example, in FIG. 3 ( FIG. 3 is a two-dimensional hexagonal array diagram of a cellular topology structure according to an embodiment of the present invention), and each hexagon in the figure represents a telemetry parameter. Its calculation and generation process is shown in Figure 4 (Figure 4 is a flow chart of the generation of a two-dimensional hexagonal array diagram according to an embodiment of the present invention), and GATE uses the Pearson correlation coefficient to calculate the correlation between different telemetry parameters, as follows: shown: in, represents the Pearson correlation coefficient between telemetry parameter i1 and telemetry parameter i2 . GATE initializes an array graph layout and continuously adjusts the layout through a random optimization algorithm. To this end, a fitness value is defined for each two-dimensional array layout: Among them, k and 1 respectively represent the number of rows and columns of the two-dimensional array, and the two can be set according to a certain ratio, and nei(i1 ) represents the neighbor set with a distance of 1 adjacent to the telemetry parameter i1 . In order to get a good layout, GATE uses the simulated annealing algorithm for optimization, and finally a satisfactory result is obtained. Since the number of telemetry parameters m is not necessarily equal to k*1, a small number of hexagonal lattices can use the telemetry parameters already existing in the array diagram.
需要说明的是,也可以不使用GATE软件构建遥测参数阵列图,这样可以重新定义参数之间的关系(比如可以利用互信息等)、适应度函数和优化算法(比如遗传算法等)。此外,由于遥测参数阵列图结构性特性和规律性明显,非常适合进行并行计算实施,因此,若针对超大量的遥测参数集进行学习训练,可通过并行方法进行计算优化。It should be noted that the telemetry parameter array graph can also be constructed without using GATE software, which can redefine the relationship between parameters (for example, mutual information can be used), fitness function and optimization algorithm (such as genetic algorithm, etc.). In addition, due to the obvious structural characteristics and regularity of the telemetry parameter array graph, it is very suitable for parallel computing implementation. Therefore, if learning and training is performed for a very large number of telemetry parameter sets, the parallel method can be used for calculation optimization.
由上可知,遥测参数阵列图为蜂窝拓扑结构二维六边形阵列图。It can be seen from the above that the telemetry parameter array is a two-dimensional hexagonal array of cellular topology.
此处需要说明的是,遥测参数阵列图是根据时序数据构件的,而图中相邻节点之间一般具有较强的相关性(如果使用互信息则为依赖性),因此,遥测参数阵列图可以同时兼顾数据的空间关系以及时域相关性。在正常情况下,其图结构会具有一定的保持结构,异常发生时图的结构会破坏,以此来进行异常检测。It should be noted here that the telemetry parameter array graph is constructed according to time series data, and there is generally a strong correlation between adjacent nodes in the graph (dependency if mutual information is used). Therefore, the telemetry parameter array graph It can take into account the spatial relationship and temporal correlation of the data at the same time. Under normal circumstances, the graph structure will have a certain retention structure, and the structure of the graph will be destroyed when an anomaly occurs, so as to perform anomaly detection.
为充分利用遥测参数阵列图的时空特性,在本发明实施例中,可采用马尔科夫随机场模型(MRF)构建异常度计算方法。MRF是一种概率图模型,最初被用于图像处理领域,用以描述图像像素具有的一些空间相关的特性,非常适合处理遥测阵列图。In order to make full use of the spatiotemporal characteristics of the telemetry parameter array graph, in this embodiment of the present invention, a Markov random field model (MRF) can be used to construct a method for calculating an anomaly degree. MRF is a probabilistic graphical model, which was originally used in the field of image processing to describe some spatially correlated characteristics of image pixels, which is very suitable for processing telemetry array maps.
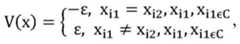
基于MRF进行异常度计算流程如附图5(图5是根据本发明实施例的基于MRF计算异常度流程图)所示,为了使用MRF,首先需要对阵列图中各格子代表的遥测参数取值进行离散化处理,比如处理成二值系统(取值为0或者1,对应黑白图像)或多值系统。The process of calculating abnormality based on MRF is shown in FIG. 5 (FIG. 5 is a flowchart of calculating abnormality based on MRF according to an embodiment of the present invention). In order to use MRF, it is first necessary to obtain the telemetry parameter values represented by each grid in the array diagram. Perform discretization processing, such as processing into a binary system (with a value of 0 or 1, corresponding to a black and white image) or a multi-value system.
其中,连续值属性数据离散化算法很多,典型的离散算法包括:基于信息熵理论的自顶向下有监督离散算法Ent-MDLP;基于类属性相互依赖的CACC;基于统计学理论的Chi2-based相关算法,如ChiMerge、Extended Chi2等。目前应用最为广泛的离散化算法是等宽(EQW)和等频(EQF)算法,该类算法需预先设定离散区间个数。Among them, there are many discretization algorithms for continuous-valued attribute data. Typical discretization algorithms include: Ent-MDLP, a top-down supervised discrete algorithm based on information entropy theory; CACC based on interdependence of class attributes; Chi2-based based on statistical theory Related algorithms, such as ChiMerge, Extended Chi2, etc. At present, the most widely used discretization algorithms are equal width (EQW) and equal frequency (EQF) algorithms, which need to pre-set the number of discrete intervals.
在本发明实施例中,首先将x:j进行离散化处理,为表述方便,仍使用x:j表示处理结果。基于MRF计算异常度需要定义一个邻域系统,所谓邻域系统就是某个点i1的邻居集合Ni1,一阶段邻域系统Ni11就是与i1相邻距离不大于1的所有点,n阶段邻域系统Ni1n就是与i1相邻距离不大于n的所有点(如附图6所示(图6是根据本发明实施例的遥测参数的一阶和二阶邻域范围示意图))。邻域系系统中不包括自己,即i1的邻居集合中不包括i1。进一步定义点集c∈C,c中的点均是彼此的邻居,C是c的集合。可根据Hammersley-Clifford定理,x:j的出现概率如下定义:其中,函数U定位为:U(x:j)=∑c∈cVc(xc),这里的T是温度常数,Z是归一化常数,V是能量函数,V的定义如下:根据上述公式定义异常度计算公式为:在计算异常度之前,需要明确计算使用的领域系统阶数,以及ε,f等参数。若针对超大量的遥测参数集进行异常度计算,也可通过并行方法进行计算优化。In the embodiment of the present invention, firstly, x:j is discretized. For convenience of expression, x:j is still used to represent the processing result. To calculate the anomaly degree based on MRF, a neighborhood system needs to be defined. The so-called neighborhood system is the neighbor set Ni1ofa certain pointi1 . The n-stage neighborhood system Ni1n is all the points whose adjacent distance from i1 is not greater than n (as shown in FIG. )). The neighborhood system does not include itself, that is, the neighbor set of i1 does not include i1 . Further define the point set c∈C, the points in c are all neighbors to each other, and C is the set of c. According to the Hammersley-Clifford theorem, the occurrence probability of x:j is defined as follows: Among them, the function U is positioned as: U(x:j)=∑c∈c Vc (xc ), where T is the temperature constant, Z is the normalization constant, V is the energy function, and V is defined as follows: According to the above formula, the abnormality calculation formula is defined as: Before calculating the anomaly degree, it is necessary to explicitly calculate the order of the domain system used, as well as parameters such as ε and f. If the anomaly degree calculation is performed for a very large number of telemetry parameter sets, the calculation optimization can also be performed by a parallel method.
另外,在本发明实施例中,使用MRF对所有正常状态下历史遥测数据进行计算获取异常度,将所有的异常度及其统计和挖掘数据进行保存,用于实时在线监测使用。统计和挖掘数据与后续系统状态评估算法相关,典型的信息包括均值、方差、极值等数字特性。航天器实际在轨时,会有不同的工作模式,而不同的工作模式其异常度会有明显差异,历史数据的异常度可根据模式进行分类保存。此外,还需对数据预处理过程中相关参数进行保存,比如数据规范化参数、数据离散化参数等。In addition, in the embodiment of the present invention, MRF is used to calculate the abnormality degree of all the historical telemetry data in the normal state, and all the abnormality degree and its statistics and mining data are saved for real-time online monitoring use. Statistics and mining data are related to subsequent system state assessment algorithms, and typical information includes numerical properties such as mean, variance, and extreme values. When the spacecraft is actually in orbit, there will be different working modes, and the abnormality of different working modes will be significantly different. The abnormality of historical data can be classified and saved according to the mode. In addition, it is necessary to save relevant parameters in the data preprocessing process, such as data normalization parameters, data discretization parameters, etc.
由上可知,在本发明实施例中,将航天器的异常确定方法分为学习训练和在线监测两个阶段;其中,图7(a)是根据本发明实施例的学习训练阶段的示意图,如图7(a)所示,学习训练阶段,基于正常状态历史遥测数据进行学习训练,获得表征参数间时空关系的二维六边形阵列图,并建立异常度知识库;具体地,第一步,对正常状态历史遥测时序数据预处理,例如,数据缺失值处理、数据规范化处理;第二步,遥测参数阵列图生成;第三步,遥测历史数据的异常度计算;第四步,根据异常度计算结果生成知识库。另外,图7(b)是根据本发明实施例的在线监测阶段的示意图,如图7(b)所示,在线监测阶段,基于学习训练得到的遥测阵列图和知识库进行实时异常状态检测,具体地,第一步,对实时遥测数据预处理,例如,缺失值处理、数据规范化处理、离散型数据编码;第二步,计算实时遥测数据异常度;第三步,根据异常度计算结果评估系统状态。As can be seen from the above, in the embodiment of the present invention, the method for determining the abnormality of the spacecraft is divided into two stages: learning and training and online monitoring; wherein, FIG. 7(a) is a schematic diagram of the learning and training stage according to the embodiment of the present invention. As shown in Figure 7(a), in the learning and training stage, learning and training is performed based on the normal state historical telemetry data, a two-dimensional hexagonal array graph representing the spatiotemporal relationship between parameters is obtained, and an abnormality knowledge base is established; specifically, the first step , preprocessing the normal state historical telemetry time series data, for example, data missing value processing, data normalization processing; the second step, the telemetry parameter array graph generation; the third step, the abnormality calculation of the telemetry historical data; the fourth step, according to the abnormality The knowledge base is generated from the result of the degree calculation. In addition, FIG. 7(b) is a schematic diagram of an online monitoring stage according to an embodiment of the present invention. As shown in FIG. 7(b), in the online monitoring stage, real-time abnormal state detection is performed based on the telemetry array graph and knowledge base obtained by learning and training, Specifically, the first step is to preprocess the real-time telemetry data, such as missing value processing, data normalization processing, discrete data coding; the second step is to calculate the abnormality degree of the real-time telemetry data; the third step is to evaluate the results according to the abnormality degree calculation system status.
即,学习训练阶段:(1)正常状态历史遥测时序数据预处理,主要完成缺失值处理、数据规范化和离散型数据编码等处理工作;(2)遥测参数阵列图生成,通过正常状态下遥测历史时序数据计算遥测参数之间的相关性,根据相关性生成表征参数间时空关系的二维六边形阵列图;(3)遥测历史数据的异常度计算,基于阵列图生成结果,采用马尔科夫随机场模型计算历史数据的异常度;(4)根据异常度计算结果生成知识库,用于后续在线监测使用。在线监测阶段:(1)实时遥测时序数据预处理,同学习阶段;(2)实时遥测数据异常度计算,基于阵列图生成结果,采用马尔科夫随机场模型计算数据的异常度;(3)根据异常度计算结果评估系统状态,若判断存在异常,则进一步提供导致异常发生的遥测参数。That is, in the learning and training stage: (1) Preprocessing of historical telemetry time series data in normal state, mainly to complete processing tasks such as missing value processing, data normalization and discrete data encoding; (2) Telemetry parameter array graph generation, through telemetry history in normal state The correlation between telemetry parameters is calculated from time series data, and a two-dimensional hexagonal array graph representing the spatiotemporal relationship between parameters is generated according to the correlation; (3) The abnormality calculation of historical telemetry data, the result is generated based on the array graph, using Markov The random field model calculates the abnormality of historical data; (4) generates a knowledge base according to the abnormality calculation result, which is used for subsequent online monitoring. Online monitoring stage: (1) real-time telemetry time series data preprocessing, the same as the learning stage; (2) real-time telemetry data abnormality calculation, based on the array graph to generate results, and use the Markov random field model to calculate the data abnormality; (3) The system state is evaluated according to the abnormality calculation result, and if it is judged that there is an abnormality, the telemetry parameters that cause the abnormality are further provided.
本发明实施例提供的航天器的异常确定的主要特征是通过分析遥测历史时序数据将所有遥测参数建模为表征时空关系的蜂窝拓扑结构二维六边形阵列图,并使用马尔科夫随机场模型定量计算系统异常度,整个过程可以不依赖于领域专家,生成的图模型计算复杂度较小,对于航天器在轨运行管理具有较高的工程应用价值。The main feature of the abnormal determination of the spacecraft provided by the embodiment of the present invention is that all telemetry parameters are modeled as a two-dimensional hexagonal array graph of cellular topology representing the space-time relationship by analyzing the historical telemetry time series data, and a Markov random field is used. The model quantitatively calculates the degree of abnormality of the system, and the whole process does not depend on domain experts. The generated graphical model has less computational complexity and has high engineering application value for spacecraft on-orbit operation management.
综上所述,通过本发明实施例提供的航天器的异常确定方法,使用一种蜂窝拓扑结构的二维六边形阵列图实现基于图的异常检测,通过遥测历史时序数据计算遥测参数间的相关性,将所有遥测参数建模为蜂窝拓扑结构二维六边形阵列图,可以同时兼顾数据的空间关系以及时域相关性;二维六边形阵列图形具有较强的结构化与规律化特征,有利于在阵列图构建和异常检测过程中进行并行计算,降低遥测参数数量巨大时的计算复杂度。另外,将遥测参数建模为表征时空关系的阵列图形结构后,基于马尔科夫随机场模型建立异常度计算方法,实现对航天器的状态进行异常检测,并进一步提供可能导致异常发生的遥测参数,为进一步诊断异常提供了数据支持。而且解决了传统异常检测方法中过度依赖专家的问题,另一方面解决了传统基于图的方法计算量较大的问题,能够实现对航天器的状态进行异常检测。To sum up, with the method for determining anomalies of a spacecraft provided by the embodiments of the present invention, a two-dimensional hexagonal array graph of a cellular topology is used to implement graph-based anomaly detection, and the difference between telemetry parameters is calculated by using telemetry historical time series data. Correlation, all telemetry parameters are modeled as a two-dimensional hexagonal array of cellular topology, which can take into account the spatial relationship and time-domain correlation of data at the same time; the two-dimensional hexagonal array has strong structure and regularity. The feature is conducive to parallel computing in the process of array graph construction and anomaly detection, reducing the computational complexity when the number of telemetry parameters is huge. In addition, after modeling the telemetry parameters as an array graphic structure representing the space-time relationship, an anomaly degree calculation method is established based on the Markov random field model to realize anomaly detection of the state of the spacecraft, and further provide telemetry parameters that may lead to anomalies. , which provides data support for further diagnosis of anomalies. Moreover, it solves the problem of over-reliance on experts in traditional anomaly detection methods, and on the other hand, solves the problem of large computational load in traditional graph-based methods, and can realize anomaly detection of spacecraft states.
实施例2Example 2
根据本发明实施例的另外一个方面,还提供了一种航天器的异常确定装置,图8是根据本发明实施例的航天器的异常确定装置的示意图,如图8所示,该航天器的异常确定装置可以包括:第一获取单元81、第一确定单元83以及第二确定单元85。下面对该航天器的异常确定装置进行说明。According to another aspect of the embodiments of the present invention, an apparatus for determining anomalies of a spacecraft is also provided. FIG. 8 is a schematic diagram of the apparatus for determining anomalies of a spacecraft according to an embodiment of the present invention. As shown in FIG. The abnormality determination apparatus may include: a first acquisition unit 81 , a first determination unit 83 and a second determination unit 85 . The abnormality determination device of the spacecraft will be described below.
第一获取单元81,用于对航天器的在线遥测数据进行预处理,得到预处理后的在线遥测数据。The first acquiring unit 81 is configured to preprocess the online telemetry data of the spacecraft to obtain preprocessed online telemetry data.
第一确定单元83,用于利用遥测参数阵列图确定预处理后的在线遥测数据的异常度,其中,遥测参数阵列图是使用训练数据通过预定方式训练得到的,训练数据包括以下至少之一:历史遥测数据、仿真遥测数据。The first determining unit 83 is configured to determine the abnormality degree of the preprocessed online telemetry data by using the telemetry parameter array graph, wherein the telemetry parameter array graph is obtained by training in a predetermined manner using training data, and the training data includes at least one of the following: Historical telemetry data, simulated telemetry data.
第二确定单元85,用于根据异常度确定航天器是否处于异常状态。The second determination unit 85 is configured to determine whether the spacecraft is in an abnormal state according to the degree of abnormality.
此处需要说明的是,上述第一获取单元81、第一确定单元83以及第二确定单元85对应于实施例1中的步骤S102至S106,上述模块与对应的步骤所实现的示例和应用场景相同,但不限于上述实施例1所公开的内容。需要说明的是,上述模块作为装置的一部分可以在诸如一组计算机可执行指令的计算机系统中执行。It should be noted here that the above-mentioned first obtaining unit 81, first determining unit 83 and second determining unit 85 correspond to steps S102 to S106 in Embodiment 1, and examples and application scenarios implemented by the above modules and corresponding steps The same, but not limited to the content disclosed in Example 1 above. It should be noted that the above-mentioned modules can be executed in a computer system such as a set of computer-executable instructions as part of an apparatus.
由上可知,在本发明实施例中,可以通过第一获取单元对航天器的在线遥测数据进行预处理,得到预处理后的在线遥测数据;然后利用第一确定单元利用遥测参数阵列图确定预处理后的在线遥测数据的异常度,其中,遥测参数阵列图是使用训练数据通过预定方式训练得到的,训练数据包括以下至少之一:历史遥测数据、仿真遥测数据;并通过第二确定单元根据异常度确定航天器是否处于异常状态。通过本发明实施例提供的航天器的异常确定装置,实现了通过遥测参数阵列图来获取在线遥测数据的异常度,以对航天器进行异常检测的目的,达到了降低对航天器进行异常检测时的复杂度,解决了相关技术中基于图的用于对航天器的状态进行异常检测的方式计算量较大、计算复杂度较高的技术问题。As can be seen from the above, in the embodiment of the present invention, the online telemetry data of the spacecraft can be preprocessed by the first acquisition unit to obtain the preprocessed online telemetry data; The degree of abnormality of the processed online telemetry data, wherein the telemetry parameter array diagram is obtained by training in a predetermined manner using training data, and the training data includes at least one of the following: historical telemetry data and simulated telemetry data; The degree of anomaly determines whether the spacecraft is in an anomalous state. The abnormality determination device for a spacecraft provided by the embodiment of the present invention realizes the acquisition of the abnormality degree of the online telemetry data through the telemetry parameter array map, so as to detect the abnormality of the spacecraft, and reduces the time required for abnormality detection of the spacecraft. It solves the technical problems of large amount of calculation and high computational complexity in the graph-based method for abnormal detection of the state of the spacecraft in the related art.
在一种可选的实施例中,第一获取单元,包括以下至少之一:缺失值处理模块,用于在确定在线遥测数据存在缺陷缺失值时,对在线遥测数据进行缺失值处理;数据连续化处理模块,用于在确定在线遥测数据存在离散型数据时,对在线遥测数据中的离散型数据进行数据连续化处理;数据规范化处理模块,用于对在线遥测数据进行数据规范化处理。In an optional embodiment, the first obtaining unit includes at least one of the following: a missing value processing module, configured to perform missing value processing on the online telemetry data when it is determined that there are defective missing values in the online telemetry data; continuous data The normalization processing module is used to perform continuous data processing on the discrete data in the online telemetry data when it is determined that there is discrete data in the online telemetry data; the data normalization processing module is used to perform data normalization processing on the online telemetry data.
在一种可选的实施例中,数据规范化处理模块,包括:确定子模块,用于确定在线遥测数据的特征值,其中,特征值包括:在线遥测数据的平均值、在线遥测数据的方差;数据规范化处理子模块,用于使用特征值通过第一公式对在线遥测数据进行数据规范化处理,其中,第一公式为:表示数据规范化处理后的遥测参数数值,xij表示在线遥测数据,ui表示在线遥测数据的平均值,ρi表示在线遥测数据的方差。In an optional embodiment, the data normalization processing module includes: a determination submodule for determining a characteristic value of the online telemetry data, wherein the characteristic value includes: an average value of the online telemetry data and a variance of the online telemetry data; The data normalization processing sub-module is used to perform data normalization processing on the online telemetry data through the first formula by using the characteristic value, wherein the first formula is: Represents the telemetry parameter value after data normalization processing, xij represents the online telemetry data,ui represents the average value of the online telemetry data, and ρi represents the variance of the online telemetry data.
在一种可选的实施例中,第一确定单元,包括:离散化处理模块,用于对预处理后的在线遥测数据对应的遥测参数取值进行离散化处理,得到离散化处理结果;第一确定模块,用于确定异常度计算所需的邻域系统,其中,邻域系统用于表示在线遥测数据中每个数据的邻居集合;第二确定模块,用于根据离散化处理结果以及邻域系统确定预处理后的在线遥测数据的异常度。In an optional embodiment, the first determination unit includes: a discretization processing module, configured to perform discretization processing on the telemetry parameter values corresponding to the preprocessed online telemetry data to obtain a discretization processing result; A determination module is used to determine the neighborhood system required for calculating the anomaly degree, wherein the neighborhood system is used to represent the neighbor set of each data in the online telemetry data; the second determination module is used to determine the neighborhood system according to the discretization processing result and neighborhood The domain system determines the degree of anomaly of the preprocessed online telemetry data.
在一种可选的实施例中,该航天器的异常确定装置还包括:第三确定模块,用于在确定异常度计算所需的邻域系统之前,确定邻域系统的阶数、温度常数。In an optional embodiment, the apparatus for determining anomalies of the spacecraft further includes: a third determining module, configured to determine the order and temperature constant of the neighborhood system before determining the neighborhood system required for calculating the anomaly degree .
在一种可选的实施例中,第二确定单元,包括:第四确定模块,用于确定异常度符合高斯分布;评估模块,用于利用异常度显著性指标对异常度进行评估,得到显著性值;第一判定模块,用于在显著性值超过预定阈值时,则判定航天器处于异常状态;第二判定模块,用于在显著性值不超过预定阈值时,则判定航天器未处于异常状态。In an optional embodiment, the second determination unit includes: a fourth determination module, configured to determine that the degree of abnormality conforms to a Gaussian distribution; an evaluation module, configured to evaluate the degree of abnormality by using the significance index of the degree of abnormality, and obtain a significant The first determination module is used to determine that the spacecraft is in an abnormal state when the significance value exceeds a predetermined threshold; the second determination module is used to determine that the spacecraft is not in an abnormal state when the significance value does not exceed the predetermined threshold abnormal state.
在一种可选的实施例中,该航天器的异常确定装置还包括:第一获取模块,用于在判定航天器处于异常状态之后,获取导致航天器异常的遥测参数集合。In an optional embodiment, the apparatus for determining an abnormality of the spacecraft further includes: a first acquisition module, configured to acquire a set of telemetry parameters that cause the abnormality of the spacecraft after it is determined that the spacecraft is in an abnormal state.
在一种可选的实施例中,该航天器的异常确定装置还包括:存储模块,用于在判定航天器未处于异常状态之后,存储在线遥测数据,并在在线遥测数据的数量达到预定数量时,利用预定数量的在线遥测数据进行学习,更新知识库,其中,知识库用于对航天器进行在线监测使用。In an optional embodiment, the device for determining an abnormality of the spacecraft further includes: a storage module for storing online telemetry data after determining that the spacecraft is not in an abnormal state, and when the number of online telemetry data reaches a predetermined number At the time of learning, a predetermined amount of online telemetry data is used for learning, and the knowledge base is updated, wherein the knowledge base is used for online monitoring and use of the spacecraft.
在一种可选的实施例中,该航天器的异常确定装置还包括:生成单元,用于在对航天器的在线遥测数据进行预处理,得到预处理后的在线遥测数据之前,生成知识库;其中,生成单元,包括:第二获取模块,用于获取航天器的历史遥测数据或仿真遥测数据,并对历史遥测数据或仿真遥测数据进行预处理;生成模块,用于利用预处理后的历史遥测数据或仿真遥测数据生成遥测参数阵列图;计算模块,用于利用遥测参数阵列图以及马尔科夫随机场模型计算预处理后的历史遥测数据或仿真遥测数据的异常度;保存模块,用于将异常度以及历史遥测数据或仿真遥测数据进行保存,得到知识库。In an optional embodiment, the apparatus for determining anomalies of the spacecraft further includes: a generating unit, configured to generate a knowledge base before preprocessing the online telemetry data of the spacecraft to obtain the preprocessed online telemetry data wherein, the generating unit includes: a second acquisition module for acquiring historical telemetry data or simulated telemetry data of the spacecraft, and preprocessing the historical telemetry data or simulated telemetry data; a generating module for utilizing the preprocessed telemetry data The historical telemetry data or the simulated telemetry data generates the telemetry parameter array diagram; the calculation module is used to calculate the abnormality of the preprocessed historical telemetry data or the simulated telemetry data by using the telemetry parameter array diagram and the Markov random field model; It is used to save the abnormality and historical telemetry data or simulated telemetry data to obtain a knowledge base.
在一种可选的实施例中,生成模块,包括:计算子模块,用于利用面向生物分子时序数据的数据分析和可视化软件平台GATE通过皮尔森相关系数计算预处理后的历史遥测数据或仿真遥测数据之间的相关性;调整子模块,用于利用GATE软件初始化得到阵列图布局,并利用随机优化算法以及相关性对阵列图布局进行调整,得到遥测参数阵列图。In an optional embodiment, the generation module includes: a calculation submodule, configured to calculate the preprocessed historical telemetry data or simulation by using the Pearson correlation coefficient using the data analysis and visualization software platform GATE for biomolecular time series data The correlation between telemetry data; the adjustment sub-module is used to initialize the array graph layout with GATE software, and use the random optimization algorithm and correlation to adjust the array graph layout to obtain the telemetry parameter array graph.
在一种可选的实施例中,遥测参数阵列图为蜂窝拓扑结构二维六边形阵列图。In an optional embodiment, the telemetry parameter array diagram is a two-dimensional hexagonal array diagram of a cellular topology.
实施例3Example 3
根据本发明实施例的另外一个方面,还提供了一种计算机可读存储介质,该计算机可读存储介质包括存储的程序,其中,程序执行上述中任意一项的航天器的异常确定方法。According to another aspect of the embodiments of the present invention, a computer-readable storage medium is further provided, where the computer-readable storage medium includes a stored program, wherein the program executes any one of the above-mentioned methods for determining an abnormality of a spacecraft.
实施例4Example 4
根据本发明实施例的另外一个方面,还提供了一种处理器,处理器用于运行程序,其中,程序运行时执行上述中任意一项的航天器的异常确定方法。According to another aspect of the embodiments of the present invention, a processor is also provided, and the processor is configured to run a program, wherein when the program runs, any one of the above-mentioned methods for determining an abnormality of a spacecraft is executed.
上述本发明实施例序号仅仅为了描述,不代表实施例的优劣。The above-mentioned serial numbers of the embodiments of the present invention are only for description, and do not represent the advantages or disadvantages of the embodiments.
在本发明的上述实施例中,对各个实施例的描述都各有侧重,某个实施例中没有详述的部分,可以参见其他实施例的相关描述。In the above-mentioned embodiments of the present invention, the description of each embodiment has its own emphasis. For parts that are not described in detail in a certain embodiment, reference may be made to related descriptions of other embodiments.
在本申请所提供的几个实施例中,应该理解到,所揭露的技术内容,可通过其它的方式实现。其中,以上所描述的装置实施例仅仅是示意性的,例如所述单元的划分,可以为一种逻辑功能划分,实际实现时可以有另外的划分方式,例如多个单元或组件可以结合或者可以集成到另一个系统,或一些特征可以忽略,或不执行。另一点,所显示或讨论的相互之间的耦合或直接耦合或通信连接可以是通过一些接口,单元或模块的间接耦合或通信连接,可以是电性或其它的形式。In the several embodiments provided in this application, it should be understood that the disclosed technical content can be implemented in other ways. The device embodiments described above are only illustrative, for example, the division of the units may be a logical function division, and there may be other division methods in actual implementation, for example, multiple units or components may be combined or Integration into another system, or some features can be ignored, or not implemented. On the other hand, the shown or discussed mutual coupling or direct coupling or communication connection may be through some interfaces, indirect coupling or communication connection of units or modules, and may be in electrical or other forms.
所述作为分离部件说明的单元可以是或者也可以不是物理上分开的,作为单元显示的部件可以是或者也可以不是物理单元,即可以位于一个地方,或者也可以分布到多个单元上。可以根据实际的需要选择其中的部分或者全部单元来实现本实施例方案的目的。The units described as separate components may or may not be physically separated, and components shown as units may or may not be physical units, that is, may be located in one place, or may be distributed to multiple units. Some or all of the units may be selected according to actual needs to achieve the purpose of the solution in this embodiment.
另外,在本发明各个实施例中的各功能单元可以集成在一个处理单元中,也可以是各个单元单独物理存在,也可以两个或两个以上单元集成在一个单元中。上述集成的单元既可以采用硬件的形式实现,也可以采用软件功能单元的形式实现。In addition, each functional unit in each embodiment of the present invention may be integrated into one processing unit, or each unit may exist physically alone, or two or more units may be integrated into one unit. The above-mentioned integrated units may be implemented in the form of hardware, or may be implemented in the form of software functional units.
所述集成的单元如果以软件功能单元的形式实现并作为独立的产品销售或使用时,可以存储在一个计算机可读取存储介质中。基于这样的理解,本发明的技术方案本质上或者说对现有技术做出贡献的部分或者该技术方案的全部或部分可以以软件产品的形式体现出来,该计算机软件产品存储在一个存储介质中,包括若干指令用以使得一台计算机设备(可为个人计算机、服务器或者网络设备等)执行本发明各个实施例所述方法的全部或部分步骤。而前述的存储介质包括:U盘、只读存储器(ROM,Read-Only Memory)、随机存取存储器(RAM,Random Access Memory)、移动硬盘、磁碟或者光盘等各种可以存储程序代码的介质。The integrated unit, if implemented in the form of a software functional unit and sold or used as an independent product, may be stored in a computer-readable storage medium. Based on this understanding, the technical solution of the present invention is essentially or the part that contributes to the prior art, or all or part of the technical solution can be embodied in the form of a software product, and the computer software product is stored in a storage medium , including several instructions for causing a computer device (which may be a personal computer, a server, or a network device, etc.) to execute all or part of the steps of the methods described in the various embodiments of the present invention. The aforementioned storage medium includes: U disk, read-only memory (ROM, Read-Only Memory), random access memory (RAM, Random Access Memory), mobile hard disk, magnetic disk or optical disk and other media that can store program codes .
以上所述仅是本发明的优选实施方式,应当指出,对于本技术领域的普通技术人员来说,在不脱离本发明原理的前提下,还可以做出若干改进和润饰,这些改进和润饰也应视为本发明的保护范围。The above are only the preferred embodiments of the present invention. It should be pointed out that for those skilled in the art, without departing from the principles of the present invention, several improvements and modifications can be made. It should be regarded as the protection scope of the present invention.
| Application Number | Priority Date | Filing Date | Title |
|---|---|---|---|
| CN202110309536.1ACN113032458A (en) | 2021-03-23 | 2021-03-23 | Method and device for determining abnormality of spacecraft |
| Application Number | Priority Date | Filing Date | Title |
|---|---|---|---|
| CN202110309536.1ACN113032458A (en) | 2021-03-23 | 2021-03-23 | Method and device for determining abnormality of spacecraft |
| Publication Number | Publication Date |
|---|---|
| CN113032458Atrue CN113032458A (en) | 2021-06-25 |
| Application Number | Title | Priority Date | Filing Date |
|---|---|---|---|
| CN202110309536.1APendingCN113032458A (en) | 2021-03-23 | 2021-03-23 | Method and device for determining abnormality of spacecraft |
| Country | Link |
|---|---|
| CN (1) | CN113032458A (en) |
| Publication number | Priority date | Publication date | Assignee | Title |
|---|---|---|---|---|
| CN115082435A (en)* | 2022-07-21 | 2022-09-20 | 浙江霖研精密科技有限公司 | Defect detection method based on self-supervision momentum contrast |
| CN118605449A (en)* | 2024-06-13 | 2024-09-06 | 北京航天飞行控制中心 | Method, system, equipment and medium for detecting abnormality of typical flight control behavior flow of spacecraft |
| Publication number | Priority date | Publication date | Assignee | Title |
|---|---|---|---|---|
| US20150317284A1 (en)* | 2014-04-30 | 2015-11-05 | International Business Machines Corporation | Sensor output change detection |
| CN105426820A (en)* | 2015-11-03 | 2016-03-23 | 中原智慧城市设计研究院有限公司 | Multi-person abnormal behavior detection method based on security monitoring video data |
| US9665094B1 (en)* | 2014-08-15 | 2017-05-30 | X Development Llc | Automatically deployed UAVs for disaster response |
| CN107730117A (en)* | 2017-10-17 | 2018-02-23 | 中国电力科学研究院 | A kind of cable maintenance method for early warning and system based on heterogeneous data comprehensive analysis |
| CN108710757A (en)* | 2018-05-18 | 2018-10-26 | 山东大学 | Mechanical Running Condition monitoring method and device based on time-varying parameters prediction model |
| CN111401471A (en)* | 2020-04-08 | 2020-07-10 | 中国人民解放军国防科技大学 | A method and system for detecting abnormal attitude of spacecraft |
| US20200396309A1 (en)* | 2019-06-17 | 2020-12-17 | Beijing Didi Infinity Technology And Development Co., Ltd. | Systems and methods for data processing |
| CN112381965A (en)* | 2020-11-03 | 2021-02-19 | 浙大城市学院 | Aeroengine health state identification system and method based on data mining |
| Publication number | Priority date | Publication date | Assignee | Title |
|---|---|---|---|---|
| US20150317284A1 (en)* | 2014-04-30 | 2015-11-05 | International Business Machines Corporation | Sensor output change detection |
| US9665094B1 (en)* | 2014-08-15 | 2017-05-30 | X Development Llc | Automatically deployed UAVs for disaster response |
| CN105426820A (en)* | 2015-11-03 | 2016-03-23 | 中原智慧城市设计研究院有限公司 | Multi-person abnormal behavior detection method based on security monitoring video data |
| CN107730117A (en)* | 2017-10-17 | 2018-02-23 | 中国电力科学研究院 | A kind of cable maintenance method for early warning and system based on heterogeneous data comprehensive analysis |
| CN108710757A (en)* | 2018-05-18 | 2018-10-26 | 山东大学 | Mechanical Running Condition monitoring method and device based on time-varying parameters prediction model |
| US20200396309A1 (en)* | 2019-06-17 | 2020-12-17 | Beijing Didi Infinity Technology And Development Co., Ltd. | Systems and methods for data processing |
| CN111401471A (en)* | 2020-04-08 | 2020-07-10 | 中国人民解放军国防科技大学 | A method and system for detecting abnormal attitude of spacecraft |
| CN112381965A (en)* | 2020-11-03 | 2021-02-19 | 浙大城市学院 | Aeroengine health state identification system and method based on data mining |
| Title |
|---|
| 姜滨;杨杰明;: "关于航空器异常数据检测仿真研究", 计算机仿真, no. 12* |
| Publication number | Priority date | Publication date | Assignee | Title |
|---|---|---|---|---|
| CN115082435A (en)* | 2022-07-21 | 2022-09-20 | 浙江霖研精密科技有限公司 | Defect detection method based on self-supervision momentum contrast |
| CN118605449A (en)* | 2024-06-13 | 2024-09-06 | 北京航天飞行控制中心 | Method, system, equipment and medium for detecting abnormality of typical flight control behavior flow of spacecraft |
| Publication | Publication Date | Title |
|---|---|---|
| CN106872657B (en) | A method for detecting abnormal events in time series data of multivariable water quality parameters | |
| CN113255848A (en) | Water turbine cavitation sound signal identification method based on big data learning | |
| CN117113729A (en) | Digital twinning-based power equipment online state monitoring system | |
| CN110087207B (en) | Method for reconstructing missing data of wireless sensor network | |
| CN117110748A (en) | A method for detecting abnormal operating status of substation main equipment based on converged terminals | |
| CN118209817A (en) | Transmission line fault identification method and system based on environmental characteristics | |
| CN117689278A (en) | Construction quality intelligent management system and method | |
| CN110757510A (en) | A method and system for predicting the remaining life of a robot | |
| CN113032458A (en) | Method and device for determining abnormality of spacecraft | |
| CN118761326B (en) | A method and system for intelligent processing of sewage monitoring data | |
| CN117909881A (en) | Fault diagnosis method and device for multi-source data fusion pumping unit | |
| CN119809309A (en) | A visual intelligent management tool system for power grid operation risk level | |
| CN120011781A (en) | A method, device and storage medium for predicting life span and fault monitoring of water conservancy equipment | |
| CN115327979A (en) | Condition monitoring method and components based on Gaussian modeling and linear Bayesian estimation | |
| CN117725360A (en) | A temperature transmitter fault detection method based on unsupervised machine learning | |
| CN119862463B (en) | Knowledge-driven equipment predictive maintenance method and device | |
| CN120043563A (en) | Sensor fault detection and reconstruction method based on multi-sensor fusion | |
| CN116755419A (en) | Industrial production process anomaly detection method and device based on event duration perception | |
| CN115879041A (en) | Method and system for evaluating health state of production line equipment and computer equipment | |
| CN119960418A (en) | An adaptive diagnosis method for drainage system of hydropower station based on artificial intelligence | |
| CN119740197A (en) | Fault diagnosis and maintenance method and system for smart street lamps | |
| CN111754033A (en) | A prediction method for non-stationary time series data based on recurrent neural network | |
| Wang et al. | Real-time monitoring and optimization of machine learning intelligent control system in power data modeling technology | |
| CN119004299B (en) | A sensor time series data anomaly detection method and device | |
| CN118399339A (en) | An intelligent relay protection system and method based on imitation learning technology |
| Date | Code | Title | Description |
|---|---|---|---|
| PB01 | Publication | ||
| PB01 | Publication | ||
| SE01 | Entry into force of request for substantive examination | ||
| SE01 | Entry into force of request for substantive examination | ||
| RJ01 | Rejection of invention patent application after publication | Application publication date:20210625 | |
| RJ01 | Rejection of invention patent application after publication |