






技术领域technical field
本发明属于皮肤科的病灶清刮装置领域,尤其涉及一种用于皮肤科的病灶清刮装置及控制方法。The invention belongs to the field of lesion cleaning and scraping devices in dermatology, and in particular relates to a lesion cleaning device for dermatology and a control method.
背景技术Background technique
皮肤由表皮、真皮和皮下组织构成,并含有汗腺、皮脂腺和指甲等附属器官,还包括血管、淋巴管、神经和肌肉等,皮肤科主要治疗各种皮肤病,常见皮肤病有牛皮癣、疱疹、脓疱疮、化脓菌感染、疤痕、癣、鱼鳞病、腋臭、青春痘和毛囊炎等,在对皮肤科病人进行治疗时,经常需要用清刮刀对病人的病灶进行清刮,现有的都是医护人员手持清刮刀对病人的病灶进行清刮,医护人员长时间手持清刮刀,容易导致医护人员手部疲劳,加重了医护人员的负担,费时费力,不利于病人的治疗和康复,因此,需要一种用于皮肤科的病灶清刮装置来解决以上问题。The skin is composed of epidermis, dermis and subcutaneous tissue, and contains accessory organs such as sweat glands, sebaceous glands and nails, as well as blood vessels, lymphatic vessels, nerves and muscles. Dermatology mainly treats various skin diseases. Common skin diseases include psoriasis, herpes, Impetigo, purulent bacterial infection, scars, ringworm, ichthyosis, underarm odor, acne and folliculitis, etc., when treating dermatological patients, it is often necessary to use a scraper to scrape the patient's lesions. It is the medical staff who hold the scraper to clean the lesions of the patient. The medical staff holds the scraper for a long time, which easily causes the hand fatigue of the medical staff, increases the burden on the medical staff, takes time and labor, and is not conducive to the treatment and recovery of the patient. Therefore, A lesion cleaning device for dermatology is needed to solve the above problems.
通过上述分析,现有技术存在的问题及缺陷为:Through the above analysis, the existing problems and defects in the prior art are:
(1)现有技术为医护人员手持清刮刀对病人的病灶进行清刮,医护人员长时间手持清刮刀,容易导致医护人员手部疲劳。(1) In the prior art, the medical staff holds a scraper to scrape the lesions of the patient, and the medical staff holds the scraper for a long time, which easily leads to hand fatigue of the medical staff.
(2)现有技术使医护人员的负担较重,费时费力,不利于病人的治疗和康复。(2) The existing technology makes the burden of medical staff heavier, takes time and effort, and is not conducive to the treatment and rehabilitation of patients.
发明内容SUMMARY OF THE INVENTION
针对现有技术存在的问题,本发明提供了一种用于皮肤科的病灶清刮装置及控制方法。In view of the problems existing in the prior art, the present invention provides a lesion cleaning device and a control method for dermatology.
本发明是这样实现的,一种用于皮肤科的病灶清刮装置设置有:The present invention is realized in this way, a lesion cleaning and scraping device for dermatology is provided with:
底座;base;
所述底座的顶部转动安装有竖直设置的立柱,所述立柱的一侧滑动安装有水平设置的横板,所述横板的底部滑动安装有滑块,所述滑块的底端焊接有两个竖直设置的第一安装板,两个所述第一安装板之间转动安装有水平轴,所述滑块的一侧焊接有连接杆,所述连接杆的底端安装有第一电机,所述第一电机的输出轴与水平轴传动连接,所述滑块的一侧焊接有第二安装板,所述第二安装板位于水平轴的一侧,所述第二安装板靠近水平轴的一侧通过螺栓安装有清理板;The top of the base is rotatably installed with a vertically arranged column, one side of the column is slidably installed with a horizontally arranged horizontal plate, the bottom of the horizontal plate is slidably installed with a slider, and the bottom end of the slider is welded with a Two vertically arranged first mounting plates, a horizontal shaft is rotatably installed between the two first mounting plates, a connecting rod is welded on one side of the sliding block, and the bottom end of the connecting rod is mounted with a first mounting plate. motor, the output shaft of the first motor is connected to the horizontal shaft in a drive, and one side of the slider is welded with a second mounting plate, the second mounting plate is located on one side of the horizontal shaft, and the second mounting plate is close to the A cleaning plate is installed on one side of the horizontal shaft through bolts;
所述水平轴上套设有转筒,所述转筒上环形阵列安装有多个安装块,所述安装块的一端开设有凹槽,所述凹槽内滑动安装有刮片,所述凹槽内壁上固定连接有弹簧,所述弹簧的一端与刮片固定连接;A rotating drum is sleeved on the horizontal shaft, and a plurality of mounting blocks are installed in an annular array on the rotating drum. One end of the mounting block is provided with a groove, and a scraper is slidably installed in the groove. A spring is fixedly connected to the inner wall of the groove, and one end of the spring is fixedly connected to the scraper;
所述清理板为U型结构,所述清理板内壁上安装有海绵,所述刮片的一端直径值略小于清理板内径值;The cleaning plate has a U-shaped structure, a sponge is installed on the inner wall of the cleaning plate, and the diameter of one end of the scraper is slightly smaller than the inner diameter of the cleaning plate;
所述立柱的一侧开设有竖直设置的第一滑槽,第一滑槽内的底部安装有第二电机,第一滑槽内转动安装有竖直设置的丝杆,第二电机的输出轴与丝杆传动连接,横板滑动安装于第一滑槽内,且横板与丝杆螺纹连接;One side of the column is provided with a vertically arranged first chute, a second motor is installed at the bottom of the first chute, a vertically arranged screw rod is rotatably installed in the first chute, and the output of the second motor is The shaft is connected with the screw drive, the horizontal plate is slidably installed in the first chute, and the horizontal plate is threadedly connected with the screw rod;
所述横板底部开设有水平设置的第二滑槽,横板的一端转动安装有水平设置的螺纹杆,螺纹杆的一端与第二滑槽内壁转动连接,螺纹杆的另一端焊接有转把,滑块滑动安装于第二滑槽内,且滑块与螺纹杆传动连接;The bottom of the horizontal plate is provided with a horizontally arranged second chute, one end of the horizontal plate is rotatably installed with a horizontally arranged threaded rod, one end of the threaded rod is rotatably connected with the inner wall of the second chute, and the other end of the threaded rod is welded with a turning handle , the slider is slidably installed in the second chute, and the slider is connected with the threaded rod;
所述底座底部的四角位置均安装有设有脚刹的万向轮;All four corners of the bottom of the base are equipped with universal wheels with foot brakes;
所述第二安装板的一侧开设有两个螺纹孔,清理板的两侧均安装有螺母,螺纹孔与螺母之间通过螺栓连接。Two threaded holes are opened on one side of the second installation plate, nuts are installed on both sides of the cleaning plate, and the threaded holes and the nuts are connected by bolts.
本发明的另一目的在于提供一种应用如权利要求1所述用于皮肤科的病灶清刮装置的用于皮肤科的病灶清刮方法,所述用于皮肤科的病灶清刮方法包括以下步骤:Another object of the present invention is to provide a method for removing lesions in dermatology using the device for removing lesions in dermatology according to claim 1, the method for removing lesions in dermatology includes the following: step:
步骤一,通过移动模块利用万向轮进行任意角度的移动;通过驱动模块利用第二电机进行驱动,第二电机的输出轴带动丝杆转动,以及通过丝杆转动带动横板的运动;所述横板的运动包括横板上升或是横板下降;Step 1, use the universal wheel to move at any angle through the moving module; use the second motor to drive the drive module, and the output shaft of the second motor drives the screw to rotate, and the rotation of the screw drives the movement of the horizontal plate; the The movement of the horizontal board includes the horizontal board rising or the horizontal board falling;
步骤二,通过中央控制模块利用主控机控制各个模块正常运行;通过转把转动模块利用转把转动程序进行转把的转动,带动螺纹杆进行转动;In
步骤三,通过滑块移动模块利用滑块移动程序将滑块进行移动;通过移动路径采集模块路径移动路径采集程序进行滑块移动的路径的采集;
步骤四,通过路径检测模块利用路径监测程序进行采集的滑块移动路径的水平程度的检测,得到滑块移动路径的水平程度;Step 4, using the path monitoring program to detect the levelness of the moving path of the slider collected by the path detection module, so as to obtain the levelness of the moving path of the slider;
步骤五,通过路径纠偏模块利用路径纠偏程序依据滑块移动路径的水平程度进行滑块移动路径的纠偏,进行滑块的水平移动;
步骤六,通过刮片移动模块利用刮片移动程序通过滑块的移动带动刮片的移动;通过病灶清刮模块利用病灶清刮程序在刮片的移动下进行病灶清刮。In
进一步,步骤一中,所述通过驱动模块利用第二电机进行驱动,包括:Further, in step 1, the driving by the driving module using the second motor includes:
(1)检测电机转子的实际转速;(1) Detect the actual speed of the motor rotor;
(2)基于所述实际转速,以特设公式计算出实际电压提前角;(2) Based on the actual rotational speed, calculate the actual voltage advance angle with an ad hoc formula;
(3)控制直轴电流趋近于0;(3) Control the direct axis current to approach 0;
(4)基于所述实际电压提前角生成驱动信号,以所述驱动信号控制向电机输出的三相电压。(4) A drive signal is generated based on the actual voltage advance angle, and the three-phase voltage output to the motor is controlled by the drive signal.
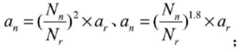
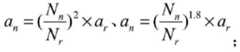
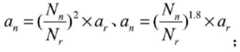
进一步,所述特设公式是在所述实际转速、额定转速、基准电压提前角和所述实际电压提前角之间建立的公式。Further, the ad hoc formula is a formula established between the actual rotational speed, the rated rotational speed, the reference voltage advance angle and the actual voltage advance angle.
进一步,所述特设公式为:Further, the ad hoc formula is:
其中,an为实际电压提前角,Nn为实际转速,Nr为电机的额定转速,ar为与所述额定转速Nr对应的基准电压提前角。Wherein, an is the actual voltage advance angle, Nnis the actual rotational speed, Nr is the rated rotational speed of the motor, and ar is the reference voltage advance angle corresponding to the rated rotational speed Nr .
进一步,步骤五中,所述通过路径纠偏模块利用路径纠偏程序依据滑块移动路径的水平程度进行滑块移动路径的纠偏,包括:Further, in
(1)获取从惯性测量组合相对于主惯性测量组合的方位差;(1) Obtain the azimuth difference of the slave inertial measurement combination relative to the main inertial measurement combination;
(2)采集主惯性测量组合和从惯性测量组合的加速度计信息;(2) Collect the accelerometer information of the master inertial measurement combination and the slave inertial measurement combination;
(3)计算主惯性测量组合和从惯性测量组合的不水平度;(3) Calculate the unlevelness of the main inertial measurement combination and the slave inertial measurement combination;
(4)根据所述方位差和所述不水平度,计算从惯性测量组合到主惯性测量组合的基准转换矩阵;(4) according to the azimuth difference and the unlevelness, calculate the reference conversion matrix from the inertial measurement combination to the main inertial measurement combination;
(5)当主惯性测量组合切换至从惯性测量组合后,利用所述基准转换矩阵,消除运载器惯性导航数据的基准偏差。(5) After the master inertial measurement combination is switched to the slave inertial measurement combination, the reference conversion matrix is used to eliminate the reference deviation of the inertial navigation data of the vehicle.
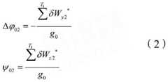
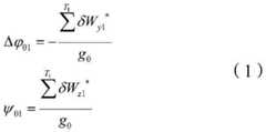
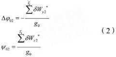
进一步,所述计算主惯性测量组合的不水平度的公式为:Further, the formula for calculating the unlevelness of the main inertial measurement combination is:
其中,为主惯性测量组合的俯仰不水平度,ψ01为主惯性测量组合的偏航不水平度,T1为累积时间,g0为当地重力加速度,δWy1*为主惯性测量组合的y轴加速度计输出数据,δWz1*为主惯性测量组合的Z轴加速度计输出数据;in, is the pitch unlevelness of the main inertial measurement combination, ψ01 is the yaw unevenness of the main inertial measurement combination, T1 is the accumulation time,g0 is the local gravitational acceleration, δWy1* They -axis acceleration of the main inertial measurement combination The output data of the accelerometer, δWz1* the output data of the Z-axis accelerometer combined with the main inertial measurement;
所述计算从惯性测量组合的不水平度的公式为:The formula for calculating the unlevelness combined from the inertial measurements is:
其中,为从惯性测量组合的俯仰不水平度,ψ02为从惯性测量组合的偏航不水平度,T1为累积时间,g0为当地重力加速度,δWy2*为从惯性测量组合的y轴加速度计输出数据,δWz2*为从惯性测量组合的Z轴加速度计输出数据。in, is the pitch unlevelness combined from the inertial measurement, ψ02 is the yaw unlevelness combined from the inertial measurement, T1 is the accumulation time,g0 is the local gravitational acceleration,δWy2* is the y-axis acceleration combined from the inertial measurement output data, δWz2* is the Z-axis accelerometer output data combined from the inertial measurement.
本发明的另一目的在于提供一种应用所述用于皮肤科的病灶清刮方法的用于皮肤科的病灶清刮系统,所述用于皮肤科的病灶清刮系统包括:Another object of the present invention is to provide a system for removing lesions in dermatology using the method for removing lesions in dermatology, the system for removing lesions in dermatology includes:
移动模块、驱动模块、中央控制模块、转把转动模块、滑块移动模块、移动路径采集模块、路径检测模块、路径纠偏模块、刮片移动模块、病灶清刮模块;Movement module, drive module, central control module, handle rotation module, slider movement module, movement path acquisition module, path detection module, path correction module, scraper movement module, lesion cleaning module;
移动模块,与中央控制模块连接,用于通过万向轮进行任意角度的移动;The moving module is connected to the central control module for moving at any angle through the universal wheel;
驱动模块,与中央控制模块连接,用于通过第二电机进行驱动,第二电机的输出轴带动丝杆转动,以及通过丝杆转动带动横板的运动;所述横板的运动包括横板上升或是横板下降;The drive module is connected with the central control module and is used for driving by the second motor, the output shaft of the second motor drives the screw to rotate, and the movement of the horizontal plate is driven by the rotation of the screw; the movement of the horizontal plate includes the rise of the horizontal plate or the horizontal board is lowered;
中央控制模块,与移动模块、驱动模块、转把转动模块、滑块移动模块、移动路径采集模块、路径检测模块、路径纠偏模块、刮片移动模块、病灶清刮模块连接,用于通过主控机控制各个模块正常运行;The central control module is connected to the moving module, the driving module, the handle rotation module, the sliding block moving module, the moving path acquisition module, the path detection module, the path correction module, the scraper moving module, and the lesion cleaning module, and is used to pass the main control module. The machine controls each module to operate normally;
转把转动模块,与中央控制模块连接,用于通过转把转动程序进行转把的转动,带动螺纹杆进行转动;The handle rotation module is connected with the central control module, and is used to rotate the handle through the handle rotation program to drive the threaded rod to rotate;
滑块移动模块,与中央控制模块连接,用于通过滑块移动程序将滑块进行移动;The slider moving module, connected with the central control module, is used to move the slider through the slider moving program;
移动路径采集模块,与中央控制模块连接,用于通过移动路径采集程序进行滑块移动的路径的采集;The moving path acquisition module, connected with the central control module, is used to collect the path of the slider moving through the moving path acquisition program;
路径检测模块,与中央控制模块连接,用于通过路径监测程序进行采集的滑块移动路径的水平程度的检测,得到滑块移动路径的水平程度;The path detection module, connected with the central control module, is used to detect the level of the moving path of the slider collected by the path monitoring program, and obtain the level of the moving path of the slider;
路径纠偏模块,与中央控制模块连接,用于通过路径纠偏程序依据滑块移动路径的水平程度进行滑块移动路径的纠偏,进行滑块的水平移动;The path correction module is connected with the central control module, and is used for correcting the moving path of the slider according to the horizontal degree of the moving path of the slider through the path correction program, and performing the horizontal movement of the slider;
刮片移动模块,与中央控制模块连接,用于通过刮片移动程序通过滑块的移动带动刮片的移动;The scraper moving module is connected with the central control module, and is used to drive the scraper to move through the movement of the slider through the scraper moving program;
病灶清刮模块,与中央控制模块连接,用于通过病灶清刮程序在刮片的移动下进行病灶清刮。The lesion cleaning and scraping module is connected with the central control module, and is used to perform the lesion cleaning and scraping under the movement of the scraper through the lesion cleaning program.
本发明的另一目的在于提供一种存储在计算机可读介质上的计算机程序产品,包括计算机可读程序,供于电子装置上执行时,提供用户输入接口以实施所述用于皮肤科的病灶清刮方法。Another object of the present invention is to provide a computer program product stored on a computer-readable medium, including a computer-readable program, which, when executed on an electronic device, provides a user input interface to implement the lesion for dermatology Scraping method.
本发明的另一目的在于提供一种计算机可读存储介质,储存有指令,当所述指令在计算机上运行时,使得计算机执行所述用于皮肤科的病灶清刮方法。Another object of the present invention is to provide a computer-readable storage medium storing instructions that, when the instructions are executed on a computer, cause the computer to execute the method for removing lesions in dermatology.
结合上述的所有技术方案,本发明所具备的优点及积极效果为:Combined with all the above-mentioned technical solutions, the advantages and positive effects possessed by the present invention are:
本发明通过清理板、刮片、第一电机、水平轴、弹簧、安装块等结构,可以对患者皮肤进行清刮的同时避免对患者产生二次伤害,且不需要医护人员长时间手持清刮刀,减轻医护人员的负担,省时省力,再配合清理板对刮刀端部的清理,使其始终保持干净,有利于病人的治疗。By means of the cleaning plate, the scraper, the first motor, the horizontal shaft, the spring, the mounting block and other structures, the invention can scrape the patient's skin while avoiding secondary injury to the patient, and does not require medical staff to hold the scraper for a long time , reduce the burden of medical staff, save time and effort, and cooperate with the cleaning plate to clean the end of the scraper to keep it clean all the time, which is beneficial to the treatment of patients.
本发明通过底座底部的四角位置均安装有设有脚刹的万向轮可以移动底座。According to the invention, the base can be moved by installing universal wheels with foot brakes at the four corners of the bottom of the base.
本发明通过螺纹孔、螺母和螺栓的配合方便安装拆卸清理板。The present invention facilitates installation and disassembly of the cleaning plate through the cooperation of threaded holes, nuts and bolts.
本发明实时检测电子转子的实际转速,并根据实际转速以特设算法确定实际电压提前角;基于实际电压提前角控制驱动信号的生成,以生成的驱动信号控制向电机输出的三相电的电压,在电压的三相电驱动下能够提高电机的运转效率和保证驱动电机的运行可靠。The invention detects the actual rotational speed of the electronic rotor in real time, and determines the actual voltage advance angle with an ad hoc algorithm according to the actual rotational speed; controls the generation of a drive signal based on the actual voltage advance angle, and controls the voltage of the three-phase electricity output to the motor with the generated drive signal , Under the three-phase electric drive of the voltage, the operation efficiency of the motor can be improved and the reliable operation of the drive motor can be ensured.
本发明通过生成基准转换矩阵,并利用所述基准转换矩阵,消除基准偏差,解决了精确度的问题,能够实现滑块水平移动,进行刮板的移动的控制更准确。The invention solves the problem of accuracy by generating a reference transformation matrix and using the reference transformation matrix to eliminate the reference deviation, so that the slider can move horizontally, and the movement of the scraper can be controlled more accurately.
附图说明Description of drawings
为了更清楚地说明本申请实施例的技术方案,下面将对本申请实施例中所需要使用的附图做简单的介绍,显而易见地,下面所描述的附图仅仅是本申请的一些实施例,对于本领域普通技术人员来讲,在不付出创造性劳动的前提下还可以根据这些附图获得其他的附图。In order to explain the technical solutions of the embodiments of the present application more clearly, the following will briefly introduce the drawings that need to be used in the embodiments of the present application. Obviously, the drawings described below are only some embodiments of the present application. For those of ordinary skill in the art, other drawings can also be obtained from these drawings without creative effort.
图1是本发明实施例提供的用于皮肤科的病灶清刮装置的结构示意图。FIG. 1 is a schematic structural diagram of a lesion cleaning and scraping device for dermatology provided by an embodiment of the present invention.
图2是本发明实施例提供的水平轴、转筒和安装块的结构示意图。FIG. 2 is a schematic structural diagram of a horizontal shaft, a rotating drum and a mounting block provided by an embodiment of the present invention.
图3是本发明实施例提供的第二安装板和清理盒的侧视结构示意图。3 is a schematic side view of the structure of the second mounting plate and the cleaning box provided by the embodiment of the present invention.
图4是本发明实施例提供的用于皮肤科的病灶清刮方法流程图。FIG. 4 is a flowchart of a method for removing and scraping a lesion for dermatology provided by an embodiment of the present invention.
图5是本发明实施例提供的通过驱动模块利用第二电机进行驱动流程图。FIG. 5 is a flowchart of driving with a second motor provided by a driving module according to an embodiment of the present invention.
图6是本发明实施例提供的通过路径纠偏模块利用路径纠偏程序依据滑块移动路径的水平程度进行滑块移动路径的纠偏流程图。FIG. 6 is a flowchart of rectifying the moving path of the slider according to the horizontal degree of the moving path of the slider by using the path rectifying program by the path rectifying module according to the embodiment of the present invention.
图7是本发明实施例提供的用于皮肤科的病灶清刮系统结构框图。FIG. 7 is a structural block diagram of a system for removing and scraping a lesion for dermatology according to an embodiment of the present invention.
图中:1、底座;2、立柱;3、第一滑槽;4、第二电机;5、丝杆;6、横板;7、第二滑槽;8、螺纹杆;9、转把;10、滑块;11、第一安装板;12、水平轴;13、转筒;14、连接杆;15、第一电机;16、安装块;17、凹槽;18、刮片;19、弹簧;20、第二安装板;21、清理板;22、海绵;23、移动模块;24、驱动模块;25、中央控制模块;26、转把转动模块;27、滑块移动模块;28、移动路径采集模块;29、路径检测模块;30、路径纠偏模块;31、刮片移动模块;32、病灶清刮模块。In the picture: 1. Base; 2. Upright column; 3. The first chute; 4. The second motor; 5. The screw rod; 6. The horizontal plate; 7. The second chute; 8. The threaded rod; ; 10, slider; 11, first mounting plate; 12, horizontal axis; 13, drum; 14, connecting rod; 15, first motor; 16, mounting block; 17, groove; 18, scraper; 19 20, the second mounting plate; 21, the cleaning plate; 22, the sponge; 23, the moving module; 24, the drive module; 25, the central control module; 29, a path detection module; 30, a path correction module; 31, a scraper moving module; 32, a lesion cleaning and scraping module.
具体实施方式Detailed ways
为了使本发明的目的、技术方案及优点更加清楚明白,以下结合实施例,对本发明进行进一步详细说明。应当理解,此处所描述的具体实施例仅仅用以解释本发明,并不用于限定本发明。In order to make the objectives, technical solutions and advantages of the present invention clearer, the present invention will be further described in detail below with reference to the embodiments. It should be understood that the specific embodiments described herein are only used to explain the present invention, but not to limit the present invention.
针对现有技术存在的问题,本发明提供了一种用于皮肤科的病灶清刮装置,下面结合附图对本发明作详细的描述。In view of the problems existing in the prior art, the present invention provides a lesion cleaning and scraping device for dermatology. The present invention will be described in detail below with reference to the accompanying drawings.
如图1至图3所示,本发明实施例提供的用于皮肤科的病灶清刮装置中的底座1的顶部转动安装有竖直设置的立柱2,立柱2的一侧滑动安装有水平设置的横板6,横板6的底部滑动安装有滑块10,滑块10的底端焊接有两个竖直设置的第一安装板11,两个第一安装板11之间转动安装有水平轴12,滑块10的一侧焊接有连接杆14,连接杆14的底端安装有第一电机15,第一电机15的输出轴与水平轴12传动连接,滑块10的一侧焊接有第二安装板20,第二安装板20位于水平轴12的一侧,第二安装板20靠近水平轴12的一侧通过螺栓安装有清理板21,水平轴12上套设有转筒13,转筒13上环形阵列安装有多个安装块16,安装块16的一端开设有凹槽17,凹槽17内滑动安装有刮片18,凹槽17内壁上固定连接有弹簧19,弹簧19的一端与刮片18固定连接,清理板21为U型结构,清理板21内壁上安装有海绵22,刮片18的一端直径值略小于清理板21内径值。As shown in FIG. 1 to FIG. 3 , the top of the base 1 in the dermatology lesion cleaning device provided by the embodiment of the present invention is rotatably installed with a vertically arranged
立柱2的一侧开设有竖直设置的第一滑槽3,第一滑槽3内的底部安装有第二电机4,第一滑槽3内转动安装有竖直设置的丝杆5,第二电机4的输出轴与丝杆5传动连接,横板6滑动安装于第一滑槽3内,且横板6与丝杆5螺纹连接,可以使横板6沿竖直方向进行移动。One side of the
横板6底部开设有水平设置的第二滑槽7,横板6的一端转动安装有水平设置的螺纹杆8,螺纹杆8的一端与第二滑槽7内壁转动连接,螺纹杆8的另一端焊接有转把9,滑块10滑动安装于第二滑槽7内,且滑块10与螺纹杆8传动连接,可以使滑块10沿水平方向进行移动。A horizontally arranged second chute 7 is provided at the bottom of the
底座1底部的四角位置均安装有设有脚刹的万向轮,可以移动底座1。The four corners of the bottom of the base 1 are equipped with universal wheels with foot brakes, which can move the base 1 .
第二安装板20的一侧开设有两个螺纹孔,清理板21的两侧均安装有螺母,螺纹孔与螺母之间通过螺栓连接,方便安装清理板21。Two threaded holes are provided on one side of the second mounting
如图4所示,本发明实施例提供的用于皮肤科的病灶清刮方法包括以下步骤:As shown in FIG. 4 , the method for removing and scraping lesions for dermatology provided by an embodiment of the present invention includes the following steps:
S101,通过移动模块利用万向轮进行任意角度的移动;通过驱动模块利用第二电机进行驱动,第二电机的输出轴带动丝杆转动,以及通过丝杆转动带动横板的运动;所述横板的运动包括横板上升或是横板下降;S101, use the universal wheel to move at any angle through the moving module; use the second motor to drive through the driving module, and the output shaft of the second motor drives the screw to rotate, and the rotation of the screw drives the movement of the horizontal plate; the horizontal The movement of the board includes the horizontal board rising or the horizontal board falling;
S102,通过中央控制模块利用主控机控制各个模块正常运行;通过转把转动模块利用转把转动程序进行转把的转动,带动螺纹杆进行转动;S102, the central control module utilizes the main control computer to control the normal operation of each module; the handle rotation module utilizes the handle rotation program to rotate the handle to drive the threaded rod to rotate;
S103,通过滑块移动模块利用滑块移动程序将滑块进行移动;通过移动路径采集模块路径移动路径采集程序进行滑块移动的路径的采集;S103, use the slider moving program to move the slider through the slider moving module; collect the path moved by the slider through the path moving path collecting program of the moving path collecting module;
S104,通过路径检测模块利用路径监测程序进行采集的滑块移动路径的水平程度的检测,得到滑块移动路径的水平程度;S104, the path detection module uses a path monitoring program to detect the level of the moving path of the slider collected, to obtain the level of the moving path of the slider;
S105,通过路径纠偏模块利用路径纠偏程序依据滑块移动路径的水平程度进行滑块移动路径的纠偏,进行滑块的水平移动;S105, the path rectification module uses a path rectification program to rectify the slider movement path according to the horizontal degree of the slider movement path, so as to perform the horizontal movement of the slider;
S106,通过刮片移动模块利用刮片移动程序通过滑块的移动带动刮片的移动;通过病灶清刮模块利用病灶清刮程序在刮片的移动下进行病灶清刮。S106 , the scraper moving module uses the scraper movement program to drive the scraper to move through the movement of the slider; the lesion scraping module uses the lesion scraping procedure to clean the lesions under the movement of the scraper.
如图5所示,步骤S101中,本发明实施例提供的通过驱动模块利用第二电机进行驱动,包括:As shown in FIG. 5, in step S101, the driving module provided by the embodiment of the present invention uses the second motor to drive, including:
S201,检测电机转子的实际转速;S201, detecting the actual rotational speed of the motor rotor;
S202,基于所述实际转速,以特设公式计算出实际电压提前角;S202, based on the actual rotational speed, calculate the actual voltage advance angle with an ad hoc formula;
S203,控制直轴电流趋近于0;S203, control the direct-axis current to approach 0;
S204,基于所述实际电压提前角生成驱动信号,以所述驱动信号控制向电机输出的三相电压。S204: Generate a drive signal based on the actual voltage advance angle, and use the drive signal to control the three-phase voltage output to the motor.
本发明实施例提供的特设公式是在所述实际转速、额定转速、基准电压提前角和所述实际电压提前角之间建立的公式。The ad hoc formula provided by the embodiment of the present invention is a formula established between the actual rotational speed, the rated rotational speed, the reference voltage advance angle, and the actual voltage advance angle.
本发明实施例提供的特设公式为:The ad hoc formula provided by the embodiment of the present invention is:
其中,an为实际电压提前角,Nn为实际转速,Nr为电机的额定转速,ar为与所述额定转速Nr对应的基准电压提前角。Wherein, an is the actual voltage advance angle, Nnis the actual rotational speed, Nr is the rated rotational speed of the motor, and ar is the reference voltage advance angle corresponding to the rated rotational speed Nr .
如图6所示,步骤S105中,本发明实施例提供的通过路径纠偏模块利用路径纠偏程序依据滑块移动路径的水平程度进行滑块移动路径的纠偏,包括:As shown in FIG. 6 , in step S105, the path correction module provided by the embodiment of the present invention uses a path correction program to correct the slider movement path according to the level of the slider movement path, including:
S301,获取从惯性测量组合相对于主惯性测量组合的方位差;S301, obtaining the azimuth difference of the slave inertial measurement combination relative to the main inertial measurement combination;
S302,采集主惯性测量组合和从惯性测量组合的加速度计信息;S302, collect the accelerometer information of the master inertial measurement combination and the slave inertial measurement combination;
S303,计算主惯性测量组合和从惯性测量组合的不水平度;S303, calculate the unlevelness of the master inertial measurement combination and the slave inertial measurement combination;
S304,根据所述方位差和所述不水平度,计算从惯性测量组合到主惯性测量组合的基准转换矩阵;S304, according to the azimuth difference and the unlevelness, calculate the reference conversion matrix from the inertial measurement combination to the main inertial measurement combination;
S305,当主惯性测量组合切换至从惯性测量组合后,利用所述基准转换矩阵,消除运载器惯性导航数据的基准偏差。S305 , after the master inertial measurement combination is switched to the slave inertial measurement combination, use the reference transformation matrix to eliminate the reference deviation of the inertial navigation data of the vehicle.
本发明实施例提供的计算主惯性测量组合的不水平度的公式为:The formula for calculating the unlevelness of the main inertial measurement combination provided by the embodiment of the present invention is:
其中,为主惯性测量组合的俯仰不水平度,ψ01为主惯性测量组合的偏航不水平度,T1为累积时间,g0为当地重力加速度,δWy1*为主惯性测量组合的y轴加速度计输出数据,δWz1*为主惯性测量组合的Z轴加速度计输出数据;in, is the pitch unlevelness of the main inertial measurement combination, ψ01 is the yaw unevenness of the main inertial measurement combination, T1 is the accumulation time,g0 is the local gravitational acceleration, δWy1* They -axis acceleration of the main inertial measurement combination The output data of the accelerometer, δWz1* the output data of the Z-axis accelerometer combined with the main inertial measurement;
所述计算从惯性测量组合的不水平度的公式为:The formula for calculating the unlevelness combined from the inertial measurements is:
其中,为从惯性测量组合的俯仰不水平度,ψ02为从惯性测量组合的偏航不水平度,T1为累积时间,g0为当地重力加速度,δWy2*为从惯性测量组合的y轴加速度计输出数据,δWz2*为从惯性测量组合的Z轴加速度计输出数据。in, is the pitch unlevelness combined from the inertial measurement, ψ02 is the yaw unlevelness combined from the inertial measurement, T1 is the accumulation time,g0 is the local gravitational acceleration,δWy2* is the y-axis acceleration combined from the inertial measurement output data, δWz2* is the Z-axis accelerometer output data combined from the inertial measurement.
如图7所示,本发明实施例提供的用于皮肤科的病灶清刮系统包括:As shown in FIG. 7 , the system for removing and scraping lesions for dermatology provided by an embodiment of the present invention includes:
移动模块23、驱动模块24、中央控制模块25、转把转动模块26、滑块移动模块27、移动路径采集模块28、路径检测模块29、路径纠偏模块30、刮片移动模块31、病灶清刮模块32;
移动模块23,与中央控制模块25连接,用于通过万向轮进行任意角度的移动;The moving
驱动模块24,与中央控制模块25连接,用于通过第二电机进行驱动,第二电机的输出轴带动丝杆转动,以及通过丝杆转动带动横板的运动;所述横板的运动包括横板上升或是横板下降;The
中央控制模块25,与移动模块23、驱动模块24、转把转动模块26、滑块移动模块27、移动路径采集模块28、路径检测模块29、路径纠偏模块30、刮片移动模块31、病灶清刮模块32连接,用于通过主控机控制各个模块正常运行;The
转把转动模块26,与中央控制模块25连接,用于通过转把转动程序进行转把的转动,带动螺纹杆进行转动;The
滑块移动模块27,与中央控制模块25连接,用于通过滑块移动程序将滑块进行移动;The
移动路径采集模块28,与中央控制模块25连接,用于通过移动路径采集程序进行滑块移动的路径的采集;The moving
路径检测模块29,与中央控制模块25连接,用于通过路径监测程序进行采集的滑块移动路径的水平程度的检测,得到滑块移动路径的水平程度;The
路径纠偏模块30,与中央控制模块25连接,用于通过路径纠偏程序依据滑块移动路径的水平程度进行滑块移动路径的纠偏,进行滑块的水平移动;The
刮片移动模块31,与中央控制模块25连接,用于通过刮片移动程序通过滑块的移动带动刮片的移动;The
病灶清刮模块32,与中央控制模块25连接,用于通过病灶清刮程序在刮片的移动下进行病灶清刮。The lesion cleaning and scraping
本发明实施例在使用时,首先通过万向轮将底座1移动到患者处,然后通过第二电机4的输出轴转动带动丝杆5转动,丝杆5带动横板6,使其上升或下降,然后转动转把9,通过转把9带动螺纹杆8转动,使滑块10沿水平方向进行移动,滑块10带动第一安装板11和连接杆14,第一安装板11带动水平轴12,水平轴12带动转筒13,转筒13带动安装块16,安装块16带动刮片18,对其位置进行调整,在通过刮片15的输出轴转动带动水平轴12转动,水平轴12带动转筒13,转筒13带动安装块16,安装块16带动刮片18,即可进行病灶清刮,同时通过弹簧19的作用,可以减小刮片18对患者皮肤的压迫力,避免对其病灶处产生二次伤害,当刮片18进入清理板21内与海绵22接触后,即可对刮片18端部进行清理,使其在对病灶处清刮时处于洁净的状态,有利于患者的治疗。When the embodiment of the present invention is used, the base 1 is first moved to the patient through the universal wheel, and then the output shaft of the second motor 4 is rotated to drive the
在本发明的描述中,除非另有说明,“多个”的含义是两个或两个以上;术语“上”、“下”、“左”、“右”、“内”、“外”、“前端”、“后端”、“头部”、“尾部”等指示的方位或位置关系为基于附图所示的方位或位置关系,仅是为了便于描述本发明和简化描述,而不是指示或暗示所指的装置或元件必须具有特定的方位、以特定的方位构造和操作,因此不能理解为对本发明的限制。此外,术语“第一”、“第二”、“第三”等仅用于描述目的,而不能理解为指示或暗示相对重要性。In the description of the present invention, unless otherwise stated, "plurality" means two or more; the terms "upper", "lower", "left", "right", "inner", "outer" The orientation or positional relationship indicated by , "front end", "rear end", "head", "tail", etc. are based on the orientation or positional relationship shown in the accompanying drawings, and are only for the convenience of describing the present invention and simplifying the description, not An indication or implication that the referred device or element must have a particular orientation, be constructed and operate in a particular orientation, is not to be construed as a limitation of the invention. Furthermore, the terms "first," "second," "third," etc. are used for descriptive purposes only and should not be construed to indicate or imply relative importance.
以上所述,仅为本发明较优的具体的实施方式,但本发明的保护范围并不局限于此,任何熟悉本技术领域的技术人员在本发明揭露的技术范围内,凡在本发明的精神和原则之内所作的任何修改、等同替换和改进等,都应涵盖在本发明的保护范围之内。The above are only preferred specific embodiments of the present invention, but the protection scope of the present invention is not limited thereto. Any modifications, equivalent replacements and improvements made within the spirit and principle should be covered within the protection scope of the present invention.
| Application Number | Priority Date | Filing Date | Title | 
|---|---|---|---|
| CN202110411788.5ACN112998813A (en) | 2021-04-16 | 2021-04-16 | Focus scraping device for dermatology department and control method | 
| Application Number | Priority Date | Filing Date | Title | 
|---|---|---|---|
| CN202110411788.5ACN112998813A (en) | 2021-04-16 | 2021-04-16 | Focus scraping device for dermatology department and control method | 
| Publication Number | Publication Date | 
|---|---|
| CN112998813Atrue CN112998813A (en) | 2021-06-22 | 
| Application Number | Title | Priority Date | Filing Date | 
|---|---|---|---|
| CN202110411788.5AWithdrawnCN112998813A (en) | 2021-04-16 | 2021-04-16 | Focus scraping device for dermatology department and control method | 
| Country | Link | 
|---|---|
| CN (1) | CN112998813A (en) | 
| Publication number | Priority date | Publication date | Assignee | Title | 
|---|---|---|---|---|
| CN113425379A (en)* | 2021-06-30 | 2021-09-24 | 施振兴 | Scraper for dermatological department | 
| Publication number | Priority date | Publication date | Assignee | Title | 
|---|---|---|---|---|
| US5116346A (en)* | 1989-10-27 | 1992-05-26 | Acuderm, Inc. | Disposable dermal curette | 
| CN104467572A (en)* | 2014-12-01 | 2015-03-25 | 广东威灵电机制造有限公司 | Motor driving method and device | 
| CN106802150A (en)* | 2017-03-01 | 2017-06-06 | 北京航天自动控制研究所 | Datum drift removing method and device | 
| CN106859733A (en)* | 2017-03-09 | 2017-06-20 | 董秀慧 | A kind of dept. of dermatology focus scraper | 
| CN209074699U (en)* | 2018-09-13 | 2019-07-09 | 昆明医科大学第一附属医院 | A kind of portable skin section sampling scraper | 
| CN109998608A (en)* | 2019-04-29 | 2019-07-12 | 周敏 | A kind of type lesion easy to use for dermatology scrapes clearly device | 
| CN209377686U (en)* | 2018-08-01 | 2019-09-13 | 王业坤 | A kind of skin disease lesion scraper | 
| CN210749314U (en)* | 2019-07-10 | 2020-06-16 | 罗玮 | Dermatology focus scraper | 
| CN211749901U (en)* | 2019-11-11 | 2020-10-27 | 徐皓龙 | Device is scraped with focus to dermatology | 
| CN211749909U (en)* | 2020-03-03 | 2020-10-27 | 王晓莉 | Clinical wart body scraping device for dermatology department | 
| CN112353457A (en)* | 2020-11-10 | 2021-02-12 | 西安交通大学医学院第二附属医院 | Focus curettage device for dermatology | 
| Publication number | Priority date | Publication date | Assignee | Title | 
|---|---|---|---|---|
| US5116346A (en)* | 1989-10-27 | 1992-05-26 | Acuderm, Inc. | Disposable dermal curette | 
| CN104467572A (en)* | 2014-12-01 | 2015-03-25 | 广东威灵电机制造有限公司 | Motor driving method and device | 
| CN106802150A (en)* | 2017-03-01 | 2017-06-06 | 北京航天自动控制研究所 | Datum drift removing method and device | 
| CN106859733A (en)* | 2017-03-09 | 2017-06-20 | 董秀慧 | A kind of dept. of dermatology focus scraper | 
| CN209377686U (en)* | 2018-08-01 | 2019-09-13 | 王业坤 | A kind of skin disease lesion scraper | 
| CN209074699U (en)* | 2018-09-13 | 2019-07-09 | 昆明医科大学第一附属医院 | A kind of portable skin section sampling scraper | 
| CN109998608A (en)* | 2019-04-29 | 2019-07-12 | 周敏 | A kind of type lesion easy to use for dermatology scrapes clearly device | 
| CN210749314U (en)* | 2019-07-10 | 2020-06-16 | 罗玮 | Dermatology focus scraper | 
| CN211749901U (en)* | 2019-11-11 | 2020-10-27 | 徐皓龙 | Device is scraped with focus to dermatology | 
| CN211749909U (en)* | 2020-03-03 | 2020-10-27 | 王晓莉 | Clinical wart body scraping device for dermatology department | 
| CN112353457A (en)* | 2020-11-10 | 2021-02-12 | 西安交通大学医学院第二附属医院 | Focus curettage device for dermatology | 
| Publication number | Priority date | Publication date | Assignee | Title | 
|---|---|---|---|---|
| CN113425379A (en)* | 2021-06-30 | 2021-09-24 | 施振兴 | Scraper for dermatological department | 
| Publication | Publication Date | Title | 
|---|---|---|
| CN102824255A (en) | Dual-core medical electric bed controller | |
| CN112998813A (en) | Focus scraping device for dermatology department and control method | |
| CN101411631A (en) | Controlling mechanism of five-freedom degree vertebral column minimally invasive robot | |
| CN209659475U (en) | A kind of myoelectricity movement signal video information image acquisition device | |
| CN204995501U (en) | CT imaging system is restrainted to multi -functional awl | |
| CN104771834A (en) | Treatment and rehabilitation chair for senile psychosis | |
| CN209570152U (en) | A guide rail detection device based on computer vision | |
| CN209980797U (en) | A device based on artificial intelligence for medical assistant consultation and rehabilitation guidance follow-up | |
| CN112440858B (en) | A kind of outdoor carriage expansion adjustment mechanism and using method | |
| CN208935675U (en) | It is a kind of to facilitate the skin disease physiotherapeutical instrument for adjusting angle | |
| CN215937670U (en) | Endoscope detector operation panel | |
| CN210784728U (en) | Three-dimensional leading truck of CT puncture | |
| CN113927376A (en) | Vibration control method and control device of grinding tool based on busbar contact surface | |
| CN112263257B (en) | Intelligent electrocardiogram acquisition robot | |
| CN212522338U (en) | An auxiliary device for thyroid detection with adjustable width | |
| CN210567301U (en) | A mobile stand for a computer all-in-one machine | |
| CN114851172A (en) | An exoskeleton robot human-computer interaction force detection device | |
| CN213129505U (en) | Electrocardiogram auxiliary frame for medical treatment | |
| CN222444166U (en) | People stream ultrasonic monitor | |
| CN214231294U (en) | Auxiliary medical image diagnosis device with static elimination function | |
| CN210383981U (en) | Urethral calculus removing device | |
| CN215128833U (en) | Device for improving performance detection efficiency of molybdenum target drone for mammary gland | |
| CN220396929U (en) | Geothermal new energy equipment convenient to adjust | |
| CN221409513U (en) | Console CT controller fixed bolster | |
| CN217447830U (en) | Movable base for intelligent ultrasonic system | 
| Date | Code | Title | Description | 
|---|---|---|---|
| PB01 | Publication | ||
| PB01 | Publication | ||
| SE01 | Entry into force of request for substantive examination | ||
| SE01 | Entry into force of request for substantive examination | ||
| WW01 | Invention patent application withdrawn after publication | ||
| WW01 | Invention patent application withdrawn after publication | Application publication date:20210622 |