Movatterモバイル変換


[0]ホーム

URL:


CN112994467B - Mixed modulation control method and circuit applied to primary side feedback flyback converter - Google Patents

Mixed modulation control method and circuit applied to primary side feedback flyback converter
Download PDF

Info

Publication number
CN112994467B
CN112994467BCN202110211185.0ACN202110211185ACN112994467BCN 112994467 BCN112994467 BCN 112994467BCN 202110211185 ACN202110211185 ACN 202110211185ACN 112994467 BCN112994467 BCN 112994467B
Authority
CN
China
Prior art keywords
voltage
switching frequency
regulating
voltage range
preset
Prior art date
Legal status (The legal status is an assumption and is not a legal conclusion. Google has not performed a legal analysis and makes no representation as to the accuracy of the status listed.)
Active
Application number
CN202110211185.0A
Other languages
Chinese (zh)
Other versions
CN112994467A (en
Inventor
周泽坤
Current Assignee (The listed assignees may be inaccurate. Google has not performed a legal analysis and makes no representation or warranty as to the accuracy of the list.)
BEIJING SUPLET POWER CO LTD
Original Assignee
BEIJING SUPLET POWER CO LTD
Priority date (The priority date is an assumption and is not a legal conclusion. Google has not performed a legal analysis and makes no representation as to the accuracy of the date listed.)
Filing date
Publication date
Application filed by BEIJING SUPLET POWER CO LTDfiledCriticalBEIJING SUPLET POWER CO LTD
Priority to CN202110211185.0ApriorityCriticalpatent/CN112994467B/en
Publication of CN112994467ApublicationCriticalpatent/CN112994467A/en
Application grantedgrantedCritical
Publication of CN112994467BpublicationCriticalpatent/CN112994467B/en
Activelegal-statusCriticalCurrent
Anticipated expirationlegal-statusCritical

Links

Images

Classifications

Landscapes

Abstract

The invention provides a mixed modulation control method and a circuit applied to a primary side feedback flyback converter, wherein the method comprises the steps of analyzing the range of regulation and control voltage output by an error amplifier in the primary side feedback flyback converter; the regulated voltage is in a first voltage range to represent that the current load is a heavy load, and the transient response speed of the system is ensured through a modulation mode of PFM; the regulated voltage is in a third voltage range to represent that the regulated voltage is currently a medium load, and the switching frequency of the system is fixed outside a sound range recognized by human ears in a PWM (pulse width modulation) mode, so that the noise problem is avoided; the regulated voltage is in the second voltage range, which means that the current load is light, and the switching loss is reduced by adopting a PFM modulation mode. By adopting the mixed modulation control mode, the system efficiency is improved and the load range is widened.

Description

Mixed modulation control method and circuit applied to primary side feedback flyback converter
Technical Field
The invention relates to the technical field of power electronics, in particular to a hybrid modulation control method and a circuit applied to a primary side feedback flyback converter.
Background
In recent years, the number and variety of electronic products are increasing to meet various demands of people in the communication field, the computer field and the consumer electronics field, and the demand of power management chips matched with the electronic products is also showing a growing trend, wherein the switching power supply products are the absolute mainstream of the power management chip market due to higher power density, higher efficiency and smaller volume, and high conversion efficiency, low static power consumption, large load capacity and wide load range. The rapid development of the consumer electronics market places ever-increasing demands on switching power supply technology. For such switching power supplies that convert high-voltage mains electricity into low-voltage power supplies, reliability, efficiency and cost are very important performance indexes, so the primary-side feedback flyback converter has the advantages of high reliability and the like due to the simple principle, low cost and the omission of an optical coupling element, and is widely applied to various AC-DC switching power supply products.
The output voltage of the conventional primary-side feedback flyback converter changes due to the change of the load, so a common control mode includes adjusting the on duty ratio of a power tube in a circuit or the system switching frequency by using a feedback loop, so that the output voltage is stabilized at a preset value. The duty ratio for controlling the conduction of the power tube and the system switching Frequency correspond to two different Modulation modes, namely Pulse Width Modulation (PWM) and Pulse Frequency Modulation (PFM).
PWM is a modulation mode with fixed switching frequency, usually an oscillator is used to generate fixed switching frequency, and then the duty ratio is adjusted to change the charging time of the primary side inductor to match the load output by the system; the fixed control mode of the switching frequency is not beneficial to the optimization of the system efficiency, especially under the condition of light load, the output ripple of the system is small, the change is slow, the regulation can be stable without high switching frequency, and the overhigh switching frequency causes great switching loss of a power tube, especially under the condition that the input voltage and the output voltage are high, the input energy is seriously wasted, and the system efficiency is reduced. The PFM is a modulation mode for realizing stable output voltage by changing the switching frequency of a system according to load change; the PFM control method has the technical problems of large output voltage ripple, narrow load range and the like.
Disclosure of Invention
In view of this, the present invention provides a hybrid modulation control method and circuit applied to a primary feedback flyback converter, which are intended to achieve the purposes of improving system efficiency and widening load range through hybrid modulation of PWM and PFM.
In order to achieve the above object, the following solutions are proposed:
in a first aspect, a hybrid modulation control method applied to a primary feedback flyback converter is provided, which includes:
acquiring a regulation voltage output by an error amplifier in the primary side feedback flyback converter;
if the regulating voltage is in a first voltage range or a second voltage range, adopting a modulation mode of PFM;
if the regulating voltage is in a third voltage range, adopting a PWM (pulse-width modulation) mode, wherein the maximum value in the third voltage range is smaller than the minimum value in the first voltage range, and the minimum value in the third voltage range is larger than the maximum value in the second voltage range;
and if the regulating voltage is smaller than a preset voltage threshold, controlling the switching frequency of the system to be a preset lowest switching frequency, and setting the peak current limit threshold voltage of the main edge to be a preset lowest voltage.
Preferably, the modulation mode of the PFM when the regulated voltage is within the first voltage range includes:
when the regulating voltage is in a first voltage range, setting the peak current threshold voltage of the main edge as a preset highest voltage, wherein the switching frequency of the control system is higher if the regulating voltage is higher, the switching frequency of the control system is a preset highest switching frequency when the regulating voltage is the maximum value in the first voltage range, the switching frequency of the control system is a preset middle switching frequency when the regulating voltage is the minimum value in the first voltage range, and the middle switching frequency is lower than the highest switching frequency.
Preferably, the modulation mode of the PFM when the regulated voltage is within the second voltage range includes:
when the regulating voltage is within a second voltage range, setting the peak current threshold voltage of the main side as a preset lowest voltage, wherein the switching frequency of the control system is higher when the regulating voltage is higher, the switching frequency of the control system is a preset middle switching frequency when the regulating voltage is the maximum value within the second voltage range, and the switching frequency of the control system is the lowest switching frequency when the regulating voltage is the minimum value within the second voltage range.
Preferably, the PWM modulation method when the regulated voltage is in the third voltage range includes:
when the regulating voltage is in a third voltage range, the switching frequency of the control system is a preset intermediate switching frequency, the intermediate switching frequency is greater than the lowest switching frequency, the larger the regulating voltage is, the larger the peak current limit threshold voltage of the main edge is, and when the regulating voltage is in the third voltage range, the value interval of the peak current limit threshold voltage of the main edge is (the preset lowest voltage, the preset highest voltage).
In a second aspect, a hybrid modulation control circuit applied to a primary-side feedback flyback converter is provided, which includes:
the acquisition unit is used for acquiring the regulation voltage output by the error amplifier in the primary side feedback flyback converter;
the PFM unit is used for adopting a modulation mode of PFM if the regulating and controlling voltage is in a first voltage range or a second voltage range;
the PWM unit is used for adopting a PWM modulation mode if the regulating and controlling voltage is in a third voltage range, wherein the maximum value in the third voltage range is smaller than the minimum value in the first voltage range, and the minimum value in the third voltage range is larger than the maximum value in the second voltage range;
and the extreme light load control unit is used for controlling the switching frequency of the system to be a preset lowest switching frequency and setting the peak current limit threshold voltage of the main edge to be a preset lowest voltage if the regulating voltage is smaller than a preset voltage threshold.
Preferably, the PFM unit comprises:
the heavy-load control unit is used for setting the peak current limit threshold voltage of the main edge to be the preset highest voltage when the regulating voltage is in the first voltage range, the larger the regulating voltage is, the larger the switching frequency of the control system is, the switching frequency of the control system is the preset highest switching frequency when the regulating voltage is at the maximum value in the first voltage range, the switching frequency of the control system is the preset middle switching frequency when the regulating voltage is at the minimum value in the first voltage range, and the middle switching frequency is smaller than the highest switching frequency.
Preferably, the PFM unit comprises:
and the light load control unit is used for setting the peak current limit threshold voltage of the main edge as a preset lowest voltage when the regulating voltage is in a second voltage range, controlling the switching frequency of the system to be higher when the regulating voltage is higher, controlling the switching frequency of the system to be a preset middle switching frequency when the regulating voltage is the maximum value in the second voltage range, and controlling the switching frequency of the system to be the lowest switching frequency when the regulating voltage is the minimum value in the second voltage range.
Preferably, the PWM unit is specifically configured to: when the regulating voltage is in a third voltage range, the switching frequency of the control system is a preset intermediate switching frequency, the intermediate switching frequency is greater than the lowest switching frequency, the larger the regulating voltage is, the larger the peak current limit threshold voltage of the main edge is, and when the regulating voltage is in the third voltage range, the value interval of the peak current limit threshold voltage of the main edge is (the preset lowest voltage, the preset highest voltage).
Preferably, the unit for controlling the switching frequency of the system comprises: the circuit comprises a narrow pulse circuit, a counter, an RS latch, a first NOT gate, a second NOT gate, an OR gate, a variable current generating circuit, an electronic switch, a capacitor and a comparator;
the input end of the narrow pulse circuit is used for receiving a grid control signal of a main-side power tube, the output end of the narrow pulse circuit is respectively connected with the reset end of the counter and the reset end of the RS latch, and the rising edge of the grid control signal triggers the narrow pulse circuit to generate and output a high-level narrow pulse;
the output end of the RS latch is connected with the input end of the first NOT gate, and the output end of the first NOT gate is used as the output end of a clock signal;
the output end of the first not gate is also connected with the input end of the second not gate, the output end of the second not gate is connected with one input end of the or gate, and the other input end of the or gate is connected with the output end of the comparator;
the output end of the OR gate is connected with the control end of the electronic switch, the current input end of the electronic switch is connected with the non-inverting input end of the comparator, the current output end of the electronic switch is grounded, the electronic switch is switched on when the signal of the control end of the electronic switch is at a high level, and the electronic switch is switched off when the signal of the control end of the electronic switch is at a low level;
the output end of the counter is connected with the set end of the RS latch, and the counter is used for counting the narrow pulses output by the comparator and turning the output from a low level to a high level when the counting result is N;
the output end of the variable current generating circuit is respectively connected with the current input end of the electronic switch and one end of the capacitor, the other end of the capacitor is grounded, the input end of the variable current generating circuit receives the regulating voltage, and the variable current generating circuit regulates the output current value according to the regulating voltage so as to control the switching frequency of the system.
Compared with the prior art, the technical scheme of the invention has the following advantages:
the mixed modulation control method and the circuit applied to the primary side feedback flyback converter provided by the technical scheme comprise the steps of analyzing the range of a regulation voltage output by an error amplifier in the primary side feedback flyback converter; the regulated voltage is in a first voltage range to represent that the current load is a heavy load, and the transient response speed of the system is ensured through a modulation mode of PFM; the regulated voltage is in a third voltage range to represent that the regulated voltage is currently a medium load, and the switching frequency of the system is fixed outside a sound range recognized by human ears in a PWM (pulse width modulation) mode, so that the noise problem is avoided; the regulation voltage is in the second voltage range, which indicates that the load is light at present, and by adopting a modulation mode of PFM, although the switching frequency of the system is reduced to be in a noise range, the noise problem is negligible due to the reduction of the peak current of the main side. When the regulated voltage is smaller than the preset voltage threshold value, the current load is extremely light, and the switching frequency of the system and the peak current limit threshold voltage of the main side are fixed at the corresponding minimum values, so that the load response is ensured and the switching loss is low. By adopting the mixed modulation control mode, the system efficiency is improved and the load range is widened.
Drawings
In order to more clearly illustrate the embodiments of the present invention or the technical solutions in the prior art, the drawings used in the description of the embodiments or the prior art will be briefly described below, it is obvious that the drawings in the following description are only embodiments of the present invention, and for those skilled in the art, other drawings can be obtained according to the provided drawings without creative efforts.
Fig. 1 is a schematic structural diagram of a primary side feedback flyback converter according to an embodiment of the present invention;
FIG. 2 is a schematic diagram of knee voltage;
fig. 3 is a flowchart of a hybrid modulation control method applied to a primary side feedback flyback converter according to an embodiment of the present invention;
FIG. 4 is a diagram of f according to an embodiment of the present inventionSWAnd VPEAKSchematic diagrams of the relationship with VC, respectively;
fig. 5 is a schematic diagram of a hybrid modulation control circuit applied to a primary side feedback flyback converter according to an embodiment of the present invention;
fig. 6 is a schematic diagram of a unit for controlling a switching frequency of a system according to an embodiment of the present invention.
Detailed Description
The technical solutions in the embodiments of the present invention will be clearly and completely described below with reference to the drawings in the embodiments of the present invention, and it is obvious that the described embodiments are only a part of the embodiments of the present invention, and not all of the embodiments. All other embodiments, which can be derived by a person skilled in the art from the embodiments given herein without making any creative effort, shall fall within the protection scope of the present invention.
Referring to fig. 1, a schematic structural diagram of a primary side feedback flyback converter applying the hybrid modulation control method provided by the present invention is shown. By acquiring the output voltage V of the reactionOUTKnee voltage VAUX|IS=0And the voltage is sent to an Error Amplifier (EA) to generate a regulated voltage VC after amplification, a modulation mode is determined by the mixed modulation control circuit according to the regulated voltage VC, and the opening time or the switching period of the power tube Q1 on the main side is controlled, so that the output voltage V is ensuredOUTThe stability of (2). Driver in fig. 1 is a driving circuit, which performs driving capability enhancement and corresponding timing control on the signal CV _ CLK generated by the RS latch, so that the power transistor Q1 can be normally turned on and off by the signal CV _ CLK. T represents a transformer; vDDIndicating the inside of the chipA supply voltage; cOLoad capacitance representing secondary output terminal of transformer for suppressing output ripple, CAUXA load capacitance representing an auxiliary winding terminal of the transformer; np represents the number of turns of exciting inductance of the primary winding of the transformer; n is a radical ofSRepresenting the number of turns of the exciting inductance of the secondary winding of the transformer; n is a radical ofAUXRepresenting the number of turns of the excitation inductance of the auxiliary winding of the transformer; rCSRepresenting a main side current sampling resistor; OP denotes an operational amplifier; dAUXA freewheeling diode representing the auxiliary winding end of the transformer.
Knee voltage
Figure BDA0002952389330000061
The voltage V of the auxiliary winding Is zero at the moment when the secondary current Is becomes zeroAUXA specific value of (a); referring to FIG. 2, Knee-Voltage is Knee Voltage, and the Voltage V of the auxiliary winding is at this timeAUXIs specifically a value of
Figure BDA0002952389330000062
Wherein N isAUXNumber of exciting inductance turns, V, for auxiliary windingdIs the forward conduction voltage, N, of a freewheeling diode DoSThe number of turns of the exciting inductance of the secondary winding of the transformer is set. Ip represents the current of the primary side.
The output voltage of the primary feedback flyback converter can be expressed as:
Figure BDA0002952389330000063
Figure BDA0002952389330000064
wherein, VINFor bus voltage, TONFor the turn-on time, R, of the power transistor Q1 in one switching cycleLIs a load resistance, TSWIs the switching period, L, of the power tube Q1PExcitation inductance as primary side, IPKIs the peak current limit of the main side, i.e. the maximum achievable peak current. The regulation mechanism of the system isRegulating other variables, such as T, by negative feedback according to the regulated voltage VC in response to the magnitude of the output voltageSWOr is TONMaintaining the output voltage VOUTThe stability of (2). Due to the output voltage VOUTRepresents RLThus, the regulation voltage VC also reflects RL(ii) a level of (d); the higher the regulated voltage VC, the heavier the system load.
When the PWM modulation mode is adopted, the system keeps the switching period T of the power tube Q1 as shown in formula (1)SWRegulating T according to the regulated voltage VC without changing (i.e. keeping the switching frequency of the system constant)ONIs made such that V is the proportion of the on-time to the periodOUTConstant; peak current limit in the process IPKIs associated with TONThe linear variation is a fixed frequency control mode.
When a PFM modulation mode is adopted, the system keeps the peak current limit threshold voltage of the main side unchanged, and therefore I is enabled to be constantPKThe change is not changed; and adjusting the switching period T of the power tube Q1 according to the regulated voltage VCSWThereby making VOUTConstant, it is a frequency conversion control mode. The invention combines the mixed modulation control mode of PWM and PFM, so that the load range and the light load efficiency of the system are greatly improved.
Referring to fig. 3, a hybrid modulation control method applied to a primary feedback flyback converter provided in this embodiment may include the following steps:
s31: and acquiring the regulation voltage output by the error amplifier in the primary side feedback flyback converter.
The non-inverting input end of the error amplifier is used for inputting a set voltage VREF, and the sampling holding current transmits the collected knee voltage reflecting the output voltage to the inverting input end of the error amplifier. The error amplifier outputs a regulated voltage VC. After the mixed modulation control circuit obtains the regulated voltage VC, subsequent analysis is carried out, the load level is determined, and then a corresponding modulation mode is executed.
S32: if the adjusting voltage is in the first voltage range or in the second voltage range, the modulation mode of PFM is adopted.
The first voltage range and the second voltage range are both predetermined. The first voltage range corresponds to heavy loads and the second voltage range corresponds to light loads. The transient response speed of the system is ensured by a modulation mode of PFM during heavy load; and when the load is light, the switching loss is reduced and the system efficiency is improved by a PFM modulation mode.
S33: if the regulating voltage is in the third voltage range, a PWM (pulse-width modulation) mode is adopted.
The maximum value in the third voltage range is less than the minimum value in the first voltage range. The minimum value in the third voltage range is greater than the maximum value in the second voltage range. The third voltage range is also preset and corresponds to the medium load; i.e., medium load is lighter than heavy load and heavier than light load. And the switching frequency of the system is fixed beyond the sound range (2 KHz-20 KHz) identified by human ears by a PWM (pulse-width modulation) mode during medium load, so that the noise problem is avoided.
S34: and if the regulated voltage is smaller than the preset voltage threshold, controlling the switching frequency of the system to be the preset lowest switching frequency, and setting the peak current limit threshold voltage of the main edge to be the preset lowest voltage.
When the regulated voltage is smaller than the preset voltage threshold, it indicates that the current load is an extremely light load, that is, the system is in a state of maximum work conduction, and in order to maintain necessary energy transmission, the switching frequency of the system and the peak current threshold voltage of the main side are both fixed at corresponding minimum values, wherein the minimum value at which the switching frequency of the system is fixed needs to be a compromise between better load response and lower switching loss.
System switching frequency fSWAnd the peak current limiting threshold voltage V of the main sidePEAKThe variation with the regulated voltage VC is shown in fig. 4. When the regulated voltage VC is in the first voltage range (i.e., [ V3, V4 ]]Interval), the peak current limit threshold voltage V of the main side is setPEAKIs a preset maximum voltage VPEAKmaxAnd the larger the regulation voltage VC is, the higher the switching frequency f of the control system isSWThe larger; when the regulated voltage VC is the maximum value V4 in the first voltage range, the switching frequency f of the system is controlledSWAt a predetermined maximum switching frequency fSWMAX(ii) a When the regulated voltage VC is the minimum value V3 in the first voltage range, the switching frequency f of the system is controlledSWTo a predetermined intermediate switching frequency fSWPWM. Intermediate switching frequency fSWPWMLess than the highest switching frequency fSWMAX
When the regulated voltage VC is in a third voltage range (i.e. (V2, V3)) to control the switching frequency f of the systemSWTo a predetermined intermediate switching frequency fSWPWMAnd the larger the regulation voltage VC is, the peak current limit threshold voltage V of the main edge is setPEAKThe larger. When the regulated voltage VC is in a second voltage range, the peak current of the main side limits the threshold voltage VPEAKHas a value interval of (V)PEAKmin,VPEAKmax),VPEAKmaxAt a predetermined maximum voltage, VPEAKminIs a preset minimum voltage. Intermediate switching frequency fSWPWMGreater than the lowest switching frequency fSWMIN。VPEAKInfluences the turn-on time, V, of the power tube Q1PEAKThe larger the pulse width, the longer the power transistor Q1 is turned on in one cycle, and the output voltage is kept stable by adjusting the pulse width.
When the regulated voltage VC is in the second voltage range (i.e., [ V1, V2 ]]Interval), the peak current limit threshold voltage V of the main side is setPEAKIs a preset minimum voltage VPEAKminAnd the larger the regulation voltage VC is, the higher the switching frequency f of the control system isSWThe larger. When the regulated voltage VC is the maximum value V2 in the third voltage range, the switching frequency f of the system is controlledSWTo a predetermined intermediate switching frequency fSWPWM(ii) a When the regulated voltage VC is the minimum value V1 in the third voltage range, the switching frequency f of the system is controlledSWAt a predetermined minimum switching frequency fSWMIN. The preset voltage threshold is the minimum value V1 of the third voltage range.
The peak current limit threshold voltage V of the main edge corresponding to different regulated voltages VC can be obtained through the following formulaPEAK
Figure BDA0002952389330000081
Wherein, VPEAKmin、VPEAKmaxV2, V3, V4 and k are parameters previously designed according to the system. When different systems apply the strategy of the invention, the technicians in the field can adjust the relevant parameters according to the actual requirements. VPEAKmaxAnd VPEAKminThe maximum current and the minimum current which can flow through the main side are respectively determined. Normally, V4 is determined by the highest value of the tuning voltage VC, V1, V2, V3 may be set to 0.25V4, 0.5V4, 0.75V4, respectively, or the proportions may be adjusted appropriately so that the intervals [ V1, V2 ]]、[V2,V3]、[V3,V4]The light load, the medium load and the heavy load can be represented correctly respectively.
And fSWMAXIs the highest switching frequency of the system, determined by the application; f. ofSWMINThe lowest switching frequency of the system represents the limit that the system can process; f. ofSWPWMIt is usually set well above the noise range, for example from 25-30 KHz.
The regulation voltage VC is generated by an error amplifier and its main function is to characterize the deviation between the actual output voltage and the set value. Because the inverting input terminal of the error amplifier inputs a AND output voltage VOUTProportional voltage, the final purpose of the entire control loop is to clamp the non-inverting and inverting inputs of the error amplifier to the same voltage by negative feedback, i.e.:
Figure BDA0002952389330000091
wherein R is1Is a first divider resistor, R2Is a second divider resistor.
Under the modulation mode of the hybrid modulation control method provided by the invention, the load range of the system is greatly widened and can be expressed as:
Figure BDA0002952389330000092
wherein, IOUT_MAXIs the maximum value of the output current, IOUT_MINFor minimum value of output current, outputThe current also represents the load RLThe size of (d); i isP_peakmaxIs the maximum value of the peak current of the main side and is IP_peakminIs the minimum value of the peak current of the main side, the peak current of the main side and VPEAKIs in direct proportion.
For a single PWM modulation scheme or a single PFM modulation scheme, the obtained load ranges are respectively determined by
Figure BDA0002952389330000093
And
Figure BDA0002952389330000094
determining; the mixed modulation control mode provided by the invention can obtain the product of the two modes, and the product is properly set
Figure BDA0002952389330000095
And
Figure BDA0002952389330000096
the ratio of (2) can greatly widen the load range of the system. In addition, the PFM control mode is adopted under the condition of light load, the switching frequency can be reduced, so that the switching loss is well reduced, the light load efficiency of the system is improved, and the system has higher output efficiency in the whole load range.
While, for purposes of simplicity of explanation, the foregoing method embodiments have been described as a series of acts or combination of acts, it will be appreciated by those skilled in the art that the present invention is not limited by the illustrated ordering of acts, as some steps may occur in other orders or concurrently with other steps in accordance with the invention.
The following are embodiments of circuits of the invention that may be used to implement embodiments of methods of the invention. For details not disclosed in the circuit embodiments of the present invention, reference is made to the method embodiments of the present invention.
Referring to fig. 5, the hybrid modulation control circuit applied to the primary-side feedback flyback converter provided in this embodiment includes: anacquisition unit 51, aPFM unit 52, aPWM unit 53 and an extremely lightload control unit 54.
The obtainingunit 51 is configured to obtain a regulated voltage output by an error amplifier in the primary feedback flyback converter.
ThePFM unit 52 is configured to adopt a modulation scheme of PFM if the regulated voltage is within the first voltage range or within the second voltage range.
And thePWM unit 53 is configured to adopt a PWM modulation method if the regulated voltage is within the third voltage range. The maximum value in the third voltage range is smaller than the minimum value in the first voltage range; the minimum value in the third voltage range is greater than the maximum value in the second voltage range.
And an extreme lightload control unit 54, configured to control the system switching frequency to be a preset minimum switching frequency if the regulated voltage is smaller than a preset voltage threshold, and set a peak current limit threshold voltage of the main edge to be a preset minimum voltage.
In some embodiments, thePFM unit 52 includes: heavy load control unit and light load control unit. And the heavy load control unit is used for setting the peak current limit threshold voltage of the main edge as the preset highest voltage when the regulating voltage is in the first voltage range, and controlling the switching frequency of the system to be larger if the regulating voltage is larger. When the regulated voltage is the maximum value in the first voltage range, controlling the switching frequency of the system to be the preset highest switching frequency; when the regulated voltage is the minimum value in the first voltage range, controlling the switching frequency of the system to be a preset intermediate switching frequency; the intermediate switching frequency is less than the highest switching frequency.
And the light load control unit is used for setting the peak current limit threshold voltage of the main edge as a preset lowest voltage when the regulating voltage is in a second voltage range, controlling the switching frequency of the system to be higher when the regulating voltage is higher, controlling the switching frequency of the system to be a preset middle switching frequency when the regulating voltage is the maximum value in the second voltage range, and controlling the switching frequency of the system to be the lowest switching frequency when the regulating voltage is the minimum value in the second voltage range.
The PWM unit is specifically used for: when the regulated voltage is in the third voltage range, the switching frequency of the control system is a preset intermediate switching frequency, the intermediate switching frequency is greater than the lowest switching frequency, the larger the regulated voltage is, the larger the peak current limit threshold voltage of the main edge is set to be, and when the regulated voltage is in the second voltage range, the value interval of the peak current limit threshold voltage of the main edge is (the preset lowest voltage, the preset highest voltage).
The hybrid modulation control circuit comprises a unit for controlling the switching frequency of the system, and referring to fig. 6, the unit generates a clock signal CV _ CLK with a certain pulse width according to the regulated voltage VC, so as to determine the switching period of the power tube Q1 on the main side; the unit includes: a narrow pulse circuit, a counter, an RS latch, a first not gate INV1, a second not gate INV2, an OR gate OR, a variable current generating circuit, an electronic switch MS, a capacitor C, and a comparator COMP;
the input end of the narrow pulse circuit is used for receiving a GATE control signal GATE _ CTR (namely an input signal of a Driver) of the power tube Q1 on the main side; and the output end of the narrow pulse circuit is respectively connected with the reset end of the counter and the reset end of the RS latch. When the rising edge of the GATE control signal GATE _ CTR comes, the narrow pulse circuit is triggered to generate and output a high-level narrow pulse.
The output end of the RS latch is connected to the input end of the first not gate INV 1. An output end of the first not gate INV1 serves as an output end of the clock signal CV _ CLK, and is used for outputting the clock signal CV _ CLK. The output end of the first not gate INV is also connected with the input end of a second notgate INV 2; the output end of the second not gate INV2 is connected to one input end of the OR gate OR; the other input terminal of OR gate OR is connected to the output terminal of comparator COMP. The output end of the OR gate OR is connected with the control end of the electronic switch MS; the current input end of the electronic switch MS is connected with the non-inverting input end of the comparator COMP, and the current output end of the electronic switch MS is grounded. When the signal of the control end of the electronic switch MS is high level, the electronic switch is conducted; and when the signal of the control end of the electronic switch MS is low level, the electronic switch is switched off.
An inverting input end of the comparator COMP is used for inputting a reference voltage; the output end of the comparator COMP is also connected to the input end of the counter. The output end of the counter is connected with the set end of the RS latch; the counter is used for counting the narrow pulses output by the comparator COMP and inverting the output from a low level to a high level when the counting result is N.
The output end of the variable current generating circuit is respectively connected with the current input end of the electronic switch MS and one end of the capacitor C; the other end of the capacitor C is grounded. The input end of the variable current generating circuit receives the regulation voltage VC; the variable circuit generating circuit regulates the output current value I according to the regulated voltage VCEATo control the system switching frequency. The variable current generating circuit obtains a current value I according to the regulated voltage VCEACan be represented by the following formula:
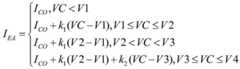
Figure BDA0002952389330000121
wherein, ICO、V1、V2、V3、V4、k1、k2All are preset parameters, and different system applications can automatically adjust related parameters by using the strategy of the invention.
The working principle of the unit shown in fig. 6 is described in detail below: when the rising edge of the GATE control signal GATE _ CTR comes, the narrow pulse circuit is triggered to generate and output a high-level narrow pulse, the count of the counter is cleared, the output of the RS latch is enabled to be at a low level, and then CV _ CLK is set to be at a high level. After CV _ CLK is set to high, electronic switch MS is turned off and current I controlled by regulated voltage VCEAThe capacitor C is charged, and when the voltage of the capacitor C is higher than the reference voltage Vref, the output of the comparator COMP is inverted to a high level. When the comparator COMP outputs high level, the electronic switch MS is turned on, and the voltage on the capacitor C is pulled down to zero immediately, and IEAThe capacitor C will be recharged. During repeated charging and discharging of the capacitor C, the output of the comparator COMP appears as a narrow pulse. The counter will count the narrow pulses output by the comparator COMP, and when the N narrow pulses are counted, the output of the counter will be inverted from low level to high level, so that the RS latch outputs high level, pulling the CV _ CLK low, and ending one timing period of the unit.
From the description of fig. 6, the system switching frequency can be expressed as:
Figure BDA0002952389330000122
wherein f isswTo the system switching frequency, C1The size of the capacitance C. For the primary side feedback flyback converter, the value range of the system switching frequency is [ f [ ]SWMIN,fSWMAX]The switching frequency range of the system can be controlled by changing the counting period N of the counter and the size C of the capacitor C1And the reference voltage Vref of the comparator is set, so that the use of off-chip capacitor is avoided, and the cost of the system is greatly saved.
For the circuit embodiments, since they substantially correspond to the method embodiments, reference may be made to the partial description of the method embodiments for relevant points. The above described circuit embodiments are merely illustrative, wherein the units illustrated as separate components may or may not be physically separate. Some or all of the modules may be selected according to actual needs to achieve the purpose of the solution of the present embodiment. One of ordinary skill in the art can understand and implement it without inventive effort.
In this document, relational terms such as first and second, and the like may be used solely to distinguish one entity or action from another entity or action without necessarily requiring or implying any actual such relationship or order between such entities or actions. Also, the terms "comprises," "comprising," or any other variation thereof, are intended to cover a non-exclusive inclusion, such that a process, method, article, or apparatus that comprises a list of elements does not include only those elements but may include other elements not expressly listed or inherent to such process, method, article, or apparatus. Without further limitation, an element defined by the phrase "comprising an … …" does not exclude the presence of other identical elements in a process, method, article, or apparatus that comprises the element.
The embodiments in the present description are mainly described as different from other embodiments, the same and similar parts in the embodiments may be referred to each other, and the features described in the embodiments in the present description may be replaced with each other or combined with each other.
The previous description of the disclosed embodiments is provided to enable any person skilled in the art to make or use the present invention. Various modifications to these embodiments will be readily apparent to those skilled in the art, and the generic principles defined herein may be applied to other embodiments without departing from the spirit or scope of the invention. Thus, the present invention is not intended to be limited to the embodiments shown herein but is to be accorded the widest scope consistent with the principles and novel features disclosed herein.

Claims (8)

1. A hybrid modulation control circuit applied to a primary feedback flyback converter is characterized by comprising:
the acquisition unit is used for acquiring the regulation voltage output by the error amplifier in the primary side feedback flyback converter;
the PFM unit is used for adopting a modulation mode of PFM if the regulating and controlling voltage is in a first voltage range or a second voltage range;
the PWM unit is used for adopting a PWM modulation mode if the regulating and controlling voltage is in a third voltage range, wherein the maximum value in the third voltage range is smaller than the minimum value in the first voltage range, and the minimum value in the third voltage range is larger than the maximum value in the second voltage range;
the extreme light load control unit is used for controlling the switching frequency of the system to be a preset lowest switching frequency and setting the peak current limit threshold voltage of the main edge to be a preset lowest voltage if the regulating voltage is smaller than a preset voltage threshold;
the unit for controlling the switching frequency of the system comprises: the circuit comprises a narrow pulse circuit, a counter, an RS latch, a first NOT gate, a second NOT gate, an OR gate, a variable current generating circuit, an electronic switch, a capacitor and a comparator;
the input end of the narrow pulse circuit is used for receiving a grid control signal of a main-side power tube, the output end of the narrow pulse circuit is respectively connected with the reset end of the counter and the reset end of the RS latch, and the rising edge of the grid control signal triggers the narrow pulse circuit to generate and output a high-level narrow pulse;
the output end of the RS latch is connected with the input end of the first NOT gate, and the output end of the first NOT gate is used as the output end of a clock signal;
the output end of the first not gate is also connected with the input end of the second not gate, the output end of the second not gate is connected with one input end of the or gate, and the other input end of the or gate is connected with the output end of the comparator;
the output end of the OR gate is connected with the control end of the electronic switch, the current input end of the electronic switch is connected with the non-inverting input end of the comparator, the current output end of the electronic switch is grounded, the electronic switch is switched on when the signal of the control end of the electronic switch is at a high level, and the electronic switch is switched off when the signal of the control end of the electronic switch is at a low level;
the output end of the counter is connected with the set end of the RS latch, the counter is used for counting the narrow pulses output by the comparator and outputting the narrow pulses which are turned from low level to high level when the counting result is N, and the N is a positive integer which is more than or equal to 1;
the output end of the variable current generating circuit is respectively connected with the current input end of the electronic switch and one end of the capacitor, the other end of the capacitor is grounded, the input end of the variable current generating circuit receives the regulating voltage, and the variable current generating circuit regulates the output current value according to the regulating voltage so as to control the switching frequency of the system.
2. The circuit of claim 1, wherein the PFM unit comprises:
the heavy-load control unit is used for setting the peak current limit threshold voltage of the main edge to be the preset highest voltage when the regulating voltage is in the first voltage range, the larger the regulating voltage is, the larger the switching frequency of the control system is, the switching frequency of the control system is the preset highest switching frequency when the regulating voltage is at the maximum value in the first voltage range, the switching frequency of the control system is the preset middle switching frequency when the regulating voltage is at the minimum value in the first voltage range, and the middle switching frequency is smaller than the highest switching frequency.
3. The circuit of claim 1, wherein the PFM unit comprises:
and the light load control unit is used for setting the peak current limit threshold voltage of the main edge as a preset lowest voltage when the regulating voltage is in a second voltage range, controlling the switching frequency of the system to be higher when the regulating voltage is higher, controlling the switching frequency of the system to be a preset middle switching frequency when the regulating voltage is the maximum value in the second voltage range, and controlling the switching frequency of the system to be the lowest switching frequency when the regulating voltage is the minimum value in the second voltage range.
4. The circuit according to claim 1, wherein the PWM unit is specifically configured to:
and the intermediate load control unit is used for controlling the switching frequency of the system to be a preset intermediate switching frequency when the regulating and controlling voltage is within a third voltage range, the intermediate switching frequency is greater than the lowest switching frequency, the larger the regulating and controlling voltage is, the larger the threshold voltage of the peak current limit of the main edge is set to be, and the value interval of the threshold voltage of the peak current limit of the main edge is (the preset lowest voltage, the preset highest voltage) when the regulating and controlling voltage is within the third voltage range.
5. A hybrid modulation control method applied to a primary feedback flyback converter, characterized in that, applied to the hybrid modulation control circuit of claim 1, it comprises:
acquiring a regulation voltage output by an error amplifier in the primary side feedback flyback converter;
if the regulating voltage is in a first voltage range or a second voltage range, adopting a modulation mode of PFM;
if the regulating voltage is in a third voltage range, adopting a PWM (pulse-width modulation) mode, wherein the maximum value in the third voltage range is smaller than the minimum value in the first voltage range, and the minimum value in the third voltage range is larger than the maximum value in the second voltage range;
and if the regulating voltage is smaller than a preset voltage threshold, controlling the switching frequency of the system to be a preset lowest switching frequency, and setting the peak current limit threshold voltage of the main edge to be a preset lowest voltage.
6. The method of claim 5, wherein the modulation scheme of the PFM when the regulated voltage is within the first voltage range comprises:
when the regulating voltage is in a first voltage range, setting the peak current threshold voltage of the main edge as a preset highest voltage, wherein the switching frequency of the control system is higher if the regulating voltage is higher, the switching frequency of the control system is a preset highest switching frequency when the regulating voltage is the maximum value in the first voltage range, the switching frequency of the control system is a preset middle switching frequency when the regulating voltage is the minimum value in the first voltage range, and the middle switching frequency is lower than the highest switching frequency.
7. The method of claim 5, wherein the modulation scheme of the PFM when the regulated voltage is within the second voltage range comprises:
when the regulating voltage is within a second voltage range, setting the peak current threshold voltage of the main side as a preset lowest voltage, wherein the switching frequency of the control system is higher when the regulating voltage is higher, the switching frequency of the control system is a preset middle switching frequency when the regulating voltage is the maximum value within the second voltage range, and the switching frequency of the control system is the lowest switching frequency when the regulating voltage is the minimum value within the second voltage range.
8. The method of claim 5, wherein the PWM modulation when the regulated voltage is within a third voltage range comprises:
when the regulating voltage is in a third voltage range, the switching frequency of the control system is a preset intermediate switching frequency, the intermediate switching frequency is greater than the lowest switching frequency, the larger the regulating voltage is, the larger the peak current limit threshold voltage of the main edge is, and when the regulating voltage is in the third voltage range, the value interval of the peak current limit threshold voltage of the main edge is (the preset lowest voltage, the preset highest voltage).
CN202110211185.0A2021-02-252021-02-25Mixed modulation control method and circuit applied to primary side feedback flyback converterActiveCN112994467B (en)

Priority Applications (1)

Application NumberPriority DateFiling DateTitle
CN202110211185.0ACN112994467B (en)2021-02-252021-02-25Mixed modulation control method and circuit applied to primary side feedback flyback converter

Applications Claiming Priority (1)

Application NumberPriority DateFiling DateTitle
CN202110211185.0ACN112994467B (en)2021-02-252021-02-25Mixed modulation control method and circuit applied to primary side feedback flyback converter

Publications (2)

Publication NumberPublication Date
CN112994467A CN112994467A (en)2021-06-18
CN112994467Btrue CN112994467B (en)2022-03-25

Family

ID=76350622

Family Applications (1)

Application NumberTitlePriority DateFiling Date
CN202110211185.0AActiveCN112994467B (en)2021-02-252021-02-25Mixed modulation control method and circuit applied to primary side feedback flyback converter

Country Status (1)

CountryLink
CN (1)CN112994467B (en)

Families Citing this family (1)

* Cited by examiner, † Cited by third party
Publication numberPriority datePublication dateAssigneeTitle
CN113608015B (en)*2021-08-112024-04-09南京导纳能科技有限公司Counting circuit for lightning stroke action of lightning arrester

Citations (5)

* Cited by examiner, † Cited by third party
Publication numberPriority datePublication dateAssigneeTitle
JP2001161065A (en)*1999-09-212001-06-12Sharp Corp Switching power supply device and AC adapter using the same
CN101515756A (en)*2008-02-182009-08-26昂宝电子(上海)有限公司Multimode method and system for high-efficiency power control
CN104040861A (en)*2012-02-032014-09-10富士电机株式会社Control Device For Resonance-type Dc-dc Converter
CN105141155A (en)*2015-10-202015-12-09东南大学Control system for improving dynamic performance of multi-mode digital primary flyback converter
CN106208751A (en)*2015-04-302016-12-07福州瑞芯微电子股份有限公司Inverse-excitation type switch power-supply and control method thereof

Family Cites Families (1)

* Cited by examiner, † Cited by third party
Publication numberPriority datePublication dateAssigneeTitle
US9401637B2 (en)*2013-03-132016-07-26Alpha And Omega Semiconductor IncorporatedSwitching regulator with adaptive PWM/PFM modulator

Patent Citations (5)

* Cited by examiner, † Cited by third party
Publication numberPriority datePublication dateAssigneeTitle
JP2001161065A (en)*1999-09-212001-06-12Sharp Corp Switching power supply device and AC adapter using the same
CN101515756A (en)*2008-02-182009-08-26昂宝电子(上海)有限公司Multimode method and system for high-efficiency power control
CN104040861A (en)*2012-02-032014-09-10富士电机株式会社Control Device For Resonance-type Dc-dc Converter
CN106208751A (en)*2015-04-302016-12-07福州瑞芯微电子股份有限公司Inverse-excitation type switch power-supply and control method thereof
CN105141155A (en)*2015-10-202015-12-09东南大学Control system for improving dynamic performance of multi-mode digital primary flyback converter

Also Published As

Publication numberPublication date
CN112994467A (en)2021-06-18

Similar Documents

PublicationPublication DateTitle
US10284096B2 (en)Current converter with control on the primary winding side and compensation of the propagation delay
US9998012B2 (en)Voltage peak detection circuit and detection method
US8624572B2 (en)Switching control circuit and switching power-supply apparatus
US8582319B2 (en)Control arrangement for a resonant mode power converter
US9362833B2 (en)Constant voltage constant current control circuits and methods with improved load regulation
US7026851B2 (en)PWM controller having frequency jitter for power supplies
US8456868B2 (en)Controller for a resonant switched-mode power converter
CN102130593B (en) Charge mode control device for resonant converter
US8599581B2 (en)Primary-side regulated modulation controller with improved transient response and audile noise
JP5400833B2 (en) Switching power supply circuit, semiconductor device, LED lighting device
EP2081288A1 (en)Control unit for a resonant power converter
CN106911252A (en) Power control module for electronic converter, related integrated circuit, electronic converter and method
US20130077358A1 (en)Controller with constant current limit
CN209748411U (en)Electronic system and controller for operating a converter
CN102904449A (en) Provides regulation circuitry for power converter cable compensation
US11139734B2 (en)DC/DC power converter
CN104283420B (en)Voltage conversion controller with voltage drop compensation function and voltage conversion circuit
CN209913707U (en)Self-adaptive turn-off time timer with adjustable switching frequency
CN110971134A (en)Rectifier diode voltage drop compensation system of non-isolated switch power supply
CN110247563A (en)AC-DC conversion circuit and method and charger
US20230076899A1 (en)Digital nonlinear transformation for voltage-mode control of a power converter
CN112994467B (en)Mixed modulation control method and circuit applied to primary side feedback flyback converter
US5995381A (en)Pulse width modulation controlled switching regulator
SenguptaPWM and PFM operation of DC/DC converters for portable applications
CN112787518A (en)Current mode staggered control converter and control chip

Legal Events

DateCodeTitleDescription
PB01Publication
PB01Publication
SE01Entry into force of request for substantive examination
SE01Entry into force of request for substantive examination
GR01Patent grant
GR01Patent grant

[8]ページ先頭

©2009-2025 Movatter.jp