Movatterモバイル変換


[0]ホーム

URL:


CN112990561A - Industrial industry chain cooperative decision-making method based on workflow model - Google Patents

Industrial industry chain cooperative decision-making method based on workflow model
Download PDF

Info

Publication number
CN112990561A
CN112990561ACN202110239926.6ACN202110239926ACN112990561ACN 112990561 ACN112990561 ACN 112990561ACN 202110239926 ACN202110239926 ACN 202110239926ACN 112990561 ACN112990561 ACN 112990561A
Authority
CN
China
Prior art keywords
data
decision
output
industrial
model
Prior art date
Legal status (The legal status is an assumption and is not a legal conclusion. Google has not performed a legal analysis and makes no representation as to the accuracy of the status listed.)
Granted
Application number
CN202110239926.6A
Other languages
Chinese (zh)
Other versions
CN112990561B (en
Inventor
李攀硕
罗佳维
鲁仁全
周琪
Current Assignee (The listed assignees may be inaccurate. Google has not performed a legal analysis and makes no representation or warranty as to the accuracy of the list.)
Shaanxi Zhibang Shuchuang Information Technology Co ltd
Original Assignee
Guangdong University of Technology
Priority date (The priority date is an assumption and is not a legal conclusion. Google has not performed a legal analysis and makes no representation as to the accuracy of the date listed.)
Filing date
Publication date
Application filed by Guangdong University of TechnologyfiledCriticalGuangdong University of Technology
Priority to CN202110239926.6ApriorityCriticalpatent/CN112990561B/en
Publication of CN112990561ApublicationCriticalpatent/CN112990561A/en
Application grantedgrantedCritical
Publication of CN112990561BpublicationCriticalpatent/CN112990561B/en
Activelegal-statusCriticalCurrent
Anticipated expirationlegal-statusCritical

Links

Images

Classifications

Landscapes

Abstract

Translated fromChinese

本发明公开了一种基于工作流模型的工业产业链协同决策方法,采用深度学习方法对全产业链工作流进行建模,并利用工业大数据进行训练,相较于传统的针对单一领域的工作流建模方法,可以获得应用范围更广,覆盖多个产业流程的工作流模型,采用深度学习训练的方法也可以避免对其中复杂耦合关系的分析。另外,采用主成分分析法,通过对工业大数据进行分析,确定不同生产要素对产业链决策的影响权重,并根据分析结果和实际生产环境实时调节不同生产要素的权重比。最后,采用基于知识图谱的决策和人为修正相结合的方式进行最终的决策优化,并建立决策评价模型对决策结果进行闭环循环优化,相较于纯机器决策和纯人工决策更加全面。

Figure 202110239926

The invention discloses a collaborative decision-making method for an industrial industry chain based on a workflow model, which adopts a deep learning method to model the workflow of the entire industrial chain, and uses industrial big data for training. Compared with the traditional work for a single field The flow modeling method can obtain a workflow model with a wider range of applications and cover multiple industrial processes, and the deep learning training method can also avoid the analysis of complex coupling relationships. In addition, the principal component analysis method is used to analyze the industrial big data to determine the influence weights of different production factors on the decision-making of the industrial chain, and adjust the weight ratio of different production factors in real time according to the analysis results and the actual production environment. Finally, a combination of knowledge graph-based decision-making and human correction is used to optimize the final decision, and a decision evaluation model is established to optimize the decision result in a closed-loop cycle, which is more comprehensive than pure machine decision-making and pure manual decision-making.

Figure 202110239926

Description

Industrial industry chain cooperative decision-making method based on workflow model
Technical Field
The invention relates to the technical field of intelligent decision, in particular to an industrial industry chain cooperative decision method based on a workflow model.
Background
With the continuous progress of society, the new generation of artificial intelligence technology will continuously attack and conquer around the directions of big data intelligence, group intelligence, industrial autonomous intelligent systems and the like, and construct the ecological environment of knowledge groups, technical groups and product groups from the levels of basic theory, support systems, key technologies, innovative applications and the like.
However, most of the conventional intelligent decision-making technologies are oriented to a single industrial field, and the adaptive decision-making technology for the industrial chain cooperative workflow is still insufficient in application. Therefore, considering the characteristics of various time-varying industrial situations, incomplete node information and the need of multi-process node dynamic cooperation in an industrial chain in the industrial field, the invention researches knowledge and situation-driven adaptive interaction decision and optimization based on an industrial chain cross-domain workflow model.
Disclosure of Invention
The invention aims to overcome the defects of the prior art and provide the workflow model-based industrial chain collaborative decision-making method which is wider in application range, can avoid analysis of complex coupling relations and is more comprehensive in decision-making.
In order to achieve the purpose, the technical scheme provided by the invention is as follows:
an industrial industry chain collaborative decision-making method based on a workflow model comprises the following steps:
s1, establishing a full-industry chain cooperative workflow model based on industrial big data and deep learning;
s2, determining decision weight based on principal component analysis;
s3, making an interactive decision based on the knowledge graph and artificial correction;
and S4, performing decision feedback optimization based on the evaluation system.
Further, the specific process of step S1 is as follows;
s1-1, establishing a neural network model based on deep learning:
firstly, counting the input and output characteristics of each node in an industrial chain, and determining the number of data input ports and data output ports of a workflow model and the format and the characteristics of input and output data of each port;
the data output ports are divided into two types, the data output by the first type of output port needs to be processed again, and the data output by the first type of output port is distributed to each node in the industrial chain again; the data output by the second output port is the processed final data, and is not required to be distributed again, but is directly used in the subsequent decision making process;
then, establishing a deep learning neural network model according to the counted port number of the workflow model, wherein the port number of an input and output layer of the neural network model is determined according to the number of data input ports and output ports of the counted workflow model; the input data ports with the same data format and characteristics are combined into a neural network model input layer port, and the output data ports with the same data format and characteristics are combined into a neural network output layer port aiming at the output data needing to be processed again; output data ports which do not need to be processed again are not merged;
s1-2, setting a training set to train the neural network:
training a neural network model by utilizing industrial big data, wherein the industrial big data comprise production data of each node of an industrial chain, environment perception data of each sensor node, material data of each production and sales link and order data, and the production data, the environment perception data, the material data and the order data are arranged into an input data set of the neural network according to formats; and taking the data after the input data are processed according to the traditional flow as an output data set corresponding to the neural network.
Further, in step S2, the data output by the collaborative workflow model established in step S1 is analyzed by using a principal component analysis method to determine the influence weight of each production element on the decision, and the specific steps are as follows:
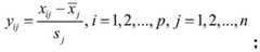
s2-1, raw data standardization:
if n data which are directly output and do not need to be processed are arranged in the output ports of the workflow model, the data output by the n output ports are arranged into an n-dimensional vector form, p times of data are collected by the n output ports, and p is more than n, then the p n-dimensional vectors can be combined into an n multiplied by p matrix, as follows:
Figure BDA0002961718040000031
then, the elements in the matrix are normalized as follows:
Figure BDA0002961718040000032
wherein:
Figure BDA0002961718040000033
the following normalized matrix Y can be obtained:
Figure BDA0002961718040000034
s2-2, calculating a covariance matrix of the normalized data:
for the above n-dimensional data, the covariance matrix is calculated by the following calculation formula:
Figure BDA0002961718040000035
where H is the covariance matrix, cov denotes the covariance of two variables, y1=[y11,y21,…,yp1]T,y2=[y12,y22,…,yp2]TBy analogy, yn=[y1n,y2n,…,ypn]T
S2-3, solving the eigenvalue of the covariance matrix:
constructing a characteristic equation | H- λ I of a covariance matrix Hn0, λ is the eigenvalue to be solved, InIs an n-dimensional identity matrix. Solving the above equation can obtain the eigenvalue lambda12,...,λn
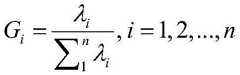
S2-4, determining the contribution rate of each component in the output data:
the contribution ratio of each component in the n-dimensional vector is calculated by the following formula:
Figure BDA0002961718040000041
where Gi is the contribution rate of the ith component in the n-dimensional vector.
Further, the specific process of step S3 is as follows:
according to task requirements, analyzing the current working situation and the dynamic environment information of the industrial chain according to the obtained industrial chain data; if the incomplete industrial chain information exists, searching for standard constraints, historical data and the like under the current situation according to the knowledge graph to carry out reasoning and information estimation;
then, based on the contribution rate of each production element component to the decision calculated in step S2, a decision function having the form of a linear optimization strategy as follows is established:
Figure BDA0002961718040000042
wherein, Fi(x) A decision function corresponding to the ith production element, and D (x) a preliminary decision result for comprehensively considering all the production elements;
and then, judging the rationality, the production efficiency and the economic benefit factors of the preliminary decision result through artificial experience, and if the judgment decision has defects, manually correcting the preliminary decision result.
Further, the specific process of step S4 is as follows:
in the step, a decision evaluation model is adopted to express the relation between the real-time dynamic characteristics of the industrial chain and the final decision, and the quality of the decision made in the last step is evaluated. Establishing evaluation indexes and models of decision functionality, reliability and efficiency corresponding to specific industrial chain conditions by analyzing the corresponding relation between the historical conditions and the historical decisions of the industrial chain and the subsequent progress of the decisions;
and then, aiming at the decision made in the step S3, inputting the decision into a decision evaluation system for analysis to obtain comprehensive quality evaluation of the decision, and timely adjusting the decision process in the step II according to the evaluation result to form feedback optimization of the final decision result.
Compared with the prior art, the principle and the advantages of the scheme are as follows:
1. the workflow modeling method has the advantages that the deep learning method is adopted to model the workflow of the whole industrial chain, industrial big data are used for training, compared with the traditional workflow modeling method aiming at a single field, the workflow modeling method is wider in application range and covers multiple industrial processes, and the deep learning training method is adopted to avoid analysis of complex coupling relations.
2. In the invention, a principal component analysis method is adopted, the influence weight of different production elements on industrial chain decision is determined by analyzing industrial big data, and the weight ratio of the different production elements is adjusted in real time according to the analysis result and the actual production environment.
3. And a decision evaluation model is established to carry out closed-loop circulation optimization on the decision result, so that the decision is more comprehensive compared with a pure machine decision and a pure manual decision.
Drawings
In order to more clearly illustrate the embodiments of the present invention or the technical solutions in the prior art, the services required for the embodiments or the technical solutions in the prior art will be briefly described below, it is obvious that the drawings in the following description are only some embodiments of the present invention, and for those skilled in the art, other drawings can be obtained according to these drawings without creative efforts.
FIG. 1 is a schematic flow chart of a workflow model-based industrial chain collaborative decision-making method according to the present invention;
fig. 2 is a schematic diagram of establishing and merging data ports of input and output layers of a neural network.
Detailed Description
The invention will be further illustrated with reference to specific examples:
as shown in fig. 1, the method for collaborative decision-making of an industrial chain based on a workflow model according to this embodiment includes the following steps:
s1, establishing a full industry chain cooperative workflow model based on industrial big data and deep learning, and the specific process is as follows:
s1-1, establishing a neural network model based on deep learning:
firstly, counting the input and output characteristics of each node in an industrial chain, and determining the number of data input ports and data output ports of a workflow model and the format and the characteristics of input and output data of each port;
the data output ports are divided into two types, the data output by the first type of output port needs to be processed again, and the data output by the first type of output port is distributed to each node in the industrial chain again; the data output by the second output port is the processed final data, and is not required to be distributed again, but is directly used in the subsequent decision making process;
then, establishing a deep learning neural network model according to the counted port number of the workflow model, wherein the port number of an input and output layer of the neural network model is determined according to the number of data input ports and output ports of the counted workflow model; the input data ports with the same data format and characteristics are combined into a neural network model input layer port, and the output data ports with the same data format and characteristics are combined into a neural network output layer port aiming at the output data needing to be processed again; output data ports which do not need to be processed again are not merged;
s1-2, setting a training set to train the neural network:
training a neural network model by utilizing industrial big data, wherein the industrial big data comprise production data of each node of an industrial chain, environment perception data of each sensor node, material data of each production and sales link and order data, and the production data, the environment perception data, the material data and the order data are arranged into an input data set of the neural network according to formats; and taking the data after the input data are processed according to the traditional flow as an output data set corresponding to the neural network.
S2, analyzing the data output by the collaborative workflow model established in the step S1 by using a principal component analysis method to determine the influence weight of each production element on the decision, and the specific steps are as follows:
s2-1, raw data standardization:
if n data which are directly output and do not need to be processed are arranged in the output ports of the workflow model, the data output by the n output ports are arranged into an n-dimensional vector form, p times of data are collected by the n output ports, and p is more than n, then the p n-dimensional vectors can be combined into an n multiplied by p matrix, as follows:
Figure BDA0002961718040000071
then, the elements in the matrix are normalized as follows:
Figure BDA0002961718040000072
wherein:
Figure BDA0002961718040000073
the following normalized matrix Y can be obtained:
Figure BDA0002961718040000074
s2-2, calculating a covariance matrix of the normalized data:
for the above n-dimensional data, the covariance matrix is calculated by the following calculation formula:
Figure BDA0002961718040000075
where H is the covariance matrix, cov denotes the covariance of two variables, y1=[y11,y21,…,yp1]T,y2=[y12,y22,…,yp2]TBy analogy, yn=[y1n,y2n,…,ypn]T
S2-3, solving the eigenvalue of the covariance matrix:
constructing a characteristic equation | H- λ I of a covariance matrix Hn0, λ is the eigenvalue to be solved, InIs an n-dimensional identity matrix. Solving the above equation can obtain the eigenvalue lambda12,...,λn
S2-4, determining the contribution rate of each component in the output data:
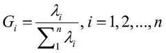
the contribution ratio of each component in the n-dimensional vector is calculated by the following formula:
Figure BDA0002961718040000081
where Gi is the contribution rate of the ith component in the n-dimensional vector.
S3, making an interactive decision based on knowledge graph and artificial correction:
according to task requirements, analyzing the current working situation and the dynamic environment information of the industrial chain according to the obtained industrial chain data; if the incomplete industrial chain information exists, searching for standard constraints, historical data and the like under the current situation according to the knowledge graph to carry out reasoning and information estimation;
then, based on the contribution rate of each production element component to the decision calculated in step S2, a decision function having the form of a linear optimization strategy as follows is established:
Figure BDA0002961718040000082
wherein, Fi(x) A decision function corresponding to the ith production element, and D (x) a preliminary decision result for comprehensively considering all the production elements;
and then, judging the rationality, the production efficiency and the economic benefit factors of the preliminary decision result through artificial experience, and if the judgment decision has defects, manually correcting the preliminary decision result.
S4, carrying out decision feedback optimization based on an evaluation system:
expressing the relation between the real-time dynamic characteristics of the industrial chain and the final decision by adopting a decision evaluation model, and evaluating the quality of the decision made in the last step; establishing evaluation indexes and models of decision functionality, reliability and efficiency corresponding to specific industrial chain conditions by analyzing the corresponding relation between the historical conditions and the historical decisions of the industrial chain and the subsequent progress of the decisions;
and then, aiming at the decision made in the step S3, inputting the decision into a decision evaluation system for analysis to obtain comprehensive quality evaluation of the decision, and timely adjusting the decision process in the step II according to the evaluation result to form feedback optimization of the final decision result.
The above-mentioned embodiments are merely preferred embodiments of the present invention, and the scope of the present invention is not limited thereto, so that variations based on the shape and principle of the present invention should be covered within the scope of the present invention.

Claims (5)

1. An industrial industry chain collaborative decision-making method based on a workflow model is characterized by comprising the following steps:
s1, establishing a full-industry chain cooperative workflow model based on industrial big data and deep learning;
s2, determining decision weight based on principal component analysis;
s3, making an interactive decision based on the knowledge graph and artificial correction;
and S4, performing decision feedback optimization based on the evaluation system.
2. The workflow model-based industrial chain collaborative decision-making method according to claim 1, wherein the specific process of the step S1 is as follows;
s1-1, establishing a neural network model based on deep learning:
firstly, counting the input and output characteristics of each node in an industrial chain, and determining the number of data input ports and data output ports of a workflow model and the format and the characteristics of input and output data of each port;
the data output ports are divided into two types, the data output by the first type of output port needs to be processed again, and the data output by the first type of output port is distributed to each node in the industrial chain again; the data output by the second output port is the processed final data, and is not required to be distributed again, but is directly used in the subsequent decision making process;
then, establishing a deep learning neural network model according to the counted port number of the workflow model, wherein the port number of an input and output layer of the neural network model is determined according to the number of data input ports and output ports of the counted workflow model; the input data ports with the same data format and characteristics are combined into a neural network model input layer port, and the output data ports with the same data format and characteristics are combined into a neural network output layer port aiming at the output data needing to be processed again; output data ports which do not need to be processed again are not merged;
s1-2, setting a training set to train the neural network:
training a neural network model by utilizing industrial big data, wherein the industrial big data comprise production data of each node of an industrial chain, environment perception data of each sensor node, material data of each production and sales link and order data, and the production data, the environment perception data, the material data and the order data are arranged into an input data set of the neural network according to formats; and taking the data after the input data are processed according to the traditional flow as an output data set corresponding to the neural network.
3. The method as claimed in claim 1, wherein the step S2 is implemented by analyzing the data outputted from the collaborative workflow model established in the step S1 by principal component analysis, and determining the influence weight of each production element on the decision, the method comprises the following steps:
s2-1, raw data standardization:
if n data which are directly output and do not need to be processed are arranged in the output ports of the workflow model, the data output by the n output ports are arranged into an n-dimensional vector form, p times of data are collected by the n output ports, and p is more than n, then the p n-dimensional vectors can be combined into an n multiplied by p matrix, as follows:
Figure FDA0002961718030000021
then, the elements in the matrix are normalized as follows:
Figure FDA0002961718030000022
wherein:
Figure FDA0002961718030000023
the following normalized matrix Y can be obtained:
Figure FDA0002961718030000024
s2-2, calculating a covariance matrix of the normalized data:
for the above n-dimensional data, the covariance matrix is calculated by the following calculation formula:
Figure FDA0002961718030000031
where H is the covariance matrix, cov denotes the covariance of two variables, y1=[y11,y21,…,yp1]T,y2=[y12,y22,…,yp2]TBy analogy, yn=[y1n,y2n,…,ypn]T
S2-3, solving the eigenvalue of the covariance matrix:
constructing a characteristic equation | H- λ I of a covariance matrix Hn0, λ is the eigenvalue to be solved, InIs an n-dimensional identity matrix; solving the above equation can obtain the eigenvalue lambda12,...,λn
S2-4, determining the contribution rate of each component in the output data:
the contribution ratio of each component in the n-dimensional vector is calculated by the following formula:
Figure FDA0002961718030000032
where Gi is the contribution rate of the ith component in the n-dimensional vector.
4. The workflow model-based industrial chain collaborative decision-making method according to claim 1, wherein the specific process of the step S3 is as follows:
according to task requirements, analyzing the current working situation and the dynamic environment information of the industrial chain according to the obtained industrial chain data; if the incomplete industrial chain information exists, searching for standard constraints, historical data and the like under the current situation according to the knowledge graph to carry out reasoning and information estimation;
then, based on the contribution rate of each production element component to the decision calculated in step S2, a decision function having the form of a linear optimization strategy as follows is established:
Figure FDA0002961718030000033
wherein, Fi(x) A decision function corresponding to the ith production element, and D (x) a preliminary decision result for comprehensively considering all the production elements;
and then, judging the rationality, the production efficiency and the economic benefit factors of the preliminary decision result through artificial experience, and if the judgment decision has defects, manually correcting the preliminary decision result.
5. The workflow model-based industrial chain collaborative decision-making method according to claim 1, wherein the specific process of the step S4 is as follows:
expressing the relation between the real-time dynamic characteristics of the industrial chain and the final decision by adopting a decision evaluation model, and evaluating the quality of the decision made in the last step; establishing evaluation indexes and models of decision functionality, reliability and efficiency corresponding to specific industrial chain conditions by analyzing the corresponding relation between the historical conditions and the historical decisions of the industrial chain and the subsequent progress of the decisions;
and then, aiming at the decision made in the step S3, inputting the decision into a decision evaluation system for analysis to obtain comprehensive quality evaluation of the decision, and timely adjusting the decision process in the step II according to the evaluation result to form feedback optimization of the final decision result.
CN202110239926.6A2021-03-042021-03-04Industrial industry chain cooperative decision-making method based on workflow modelActiveCN112990561B (en)

Priority Applications (1)

Application NumberPriority DateFiling DateTitle
CN202110239926.6ACN112990561B (en)2021-03-042021-03-04Industrial industry chain cooperative decision-making method based on workflow model

Applications Claiming Priority (1)

Application NumberPriority DateFiling DateTitle
CN202110239926.6ACN112990561B (en)2021-03-042021-03-04Industrial industry chain cooperative decision-making method based on workflow model

Publications (2)

Publication NumberPublication Date
CN112990561Atrue CN112990561A (en)2021-06-18
CN112990561B CN112990561B (en)2023-01-20

Family

ID=76352703

Family Applications (1)

Application NumberTitlePriority DateFiling Date
CN202110239926.6AActiveCN112990561B (en)2021-03-042021-03-04Industrial industry chain cooperative decision-making method based on workflow model

Country Status (1)

CountryLink
CN (1)CN112990561B (en)

Cited By (3)

* Cited by examiner, † Cited by third party
Publication numberPriority datePublication dateAssigneeTitle
CN113506001A (en)*2021-07-152021-10-15广东电网有限责任公司中山供电局Intelligent management and control auxiliary decision method for lean safety risk of operation site
CN113988786A (en)*2021-10-222022-01-28安徽农业大学 An enterprise collaborative manufacturing decision-making method based on two-layer heterogeneous graph neural network
CN115471108A (en)*2022-09-272022-12-13陈浩川Data analysis decision method and system and big data resource center

Citations (5)

* Cited by examiner, † Cited by third party
Publication numberPriority datePublication dateAssigneeTitle
US20040078105A1 (en)*2002-09-032004-04-22Charles MoonSystem and method for workflow process management
CN109031949A (en)*2018-07-062018-12-18广东工业大学A kind of intelligent manufacturing system cooperative control method
CN111144554A (en)*2019-12-312020-05-12暨南大学 Intelligent response method, device, medium and equipment based on module decomposition
WO2020141882A1 (en)*2019-01-042020-07-09에스케이 주식회사Explainable artificial intelligence modeling and simulation system and method
CN111756653A (en)*2020-06-042020-10-09北京理工大学 Multi-coflow scheduling method based on deep reinforcement learning of graph neural network

Patent Citations (5)

* Cited by examiner, † Cited by third party
Publication numberPriority datePublication dateAssigneeTitle
US20040078105A1 (en)*2002-09-032004-04-22Charles MoonSystem and method for workflow process management
CN109031949A (en)*2018-07-062018-12-18广东工业大学A kind of intelligent manufacturing system cooperative control method
WO2020141882A1 (en)*2019-01-042020-07-09에스케이 주식회사Explainable artificial intelligence modeling and simulation system and method
CN111144554A (en)*2019-12-312020-05-12暨南大学 Intelligent response method, device, medium and equipment based on module decomposition
CN111756653A (en)*2020-06-042020-10-09北京理工大学 Multi-coflow scheduling method based on deep reinforcement learning of graph neural network

Non-Patent Citations (2)

* Cited by examiner, † Cited by third party
Title
刘政等: "钻床设备知识图谱的构建及应用", 《电子技术与软件工程》*
王元斗: "基于Deep-Q-network的多智能体强化学习的多目标工作流调度方法研究", 《中国优秀硕士学位论文全文数据库信息科技辑》*

Cited By (6)

* Cited by examiner, † Cited by third party
Publication numberPriority datePublication dateAssigneeTitle
CN113506001A (en)*2021-07-152021-10-15广东电网有限责任公司中山供电局Intelligent management and control auxiliary decision method for lean safety risk of operation site
CN113506001B (en)*2021-07-152024-05-17广东电网有限责任公司中山供电局Smart management and control auxiliary decision-making method for safety risk lean of operation site
CN113988786A (en)*2021-10-222022-01-28安徽农业大学 An enterprise collaborative manufacturing decision-making method based on two-layer heterogeneous graph neural network
CN113988786B (en)*2021-10-222024-08-13安徽农业大学Enterprise collaborative manufacturing decision-making method based on double-layer heterogeneous graph neural network
CN115471108A (en)*2022-09-272022-12-13陈浩川Data analysis decision method and system and big data resource center
CN115471108B (en)*2022-09-272023-09-01中交西北投资发展有限公司Data analysis decision-making method, system and large data resource center

Also Published As

Publication numberPublication date
CN112990561B (en)2023-01-20

Similar Documents

PublicationPublication DateTitle
CN112990561A (en)Industrial industry chain cooperative decision-making method based on workflow model
US12182700B2 (en)Method for deriving fault diagnosis rules of blast furnace based on deep neural network
CN112070279B (en)Product processing control method based on digital twin technology
CN114595773A (en)Multi-source heterogeneous twin data fusion method and system based on factory production process
CN113536670A (en) A Federated Transfer Learning Approach for Remaining Life Prediction of Group Products
CN118278779B (en)Mine digital twin evolution method and system based on production data correction
CN105488297A (en)Method for establishing complex product optimization design agent model based on small sample
CN113536671A (en) A Lithium Battery Life Prediction Method Based on LSTM
CN116880201A (en) Water network channel status control system based on fuzzy neural network
CN111142488A (en)Process industrial optimization method based on working condition comparison driving
Sansana et al.Hybrid modeling for improved extrapolation and transfer learning in the chemical processing industry
Wang et al.Time series prediction with incomplete dataset based on deep bidirectional echo state network
CN119493393A (en) A method for processing intelligent model data applied to metal smelting
CN113779724B (en) A method and system for intelligent prediction of faults of filling and packaging machine
CN115081301A (en) A Dynamic Evolution Method of Carbon Emissions Based on Hybrid PSO-MKPLS
CN119090192A (en) A method and system for optimizing electric energy meter production decision based on genetic algorithm
CN118047359A (en)Control method and system for iron phosphate preparation equipment
Zaiets et al.The synthesis of strategies for the efficient performance of sophisticated technological complexes based on the cognitive simulation modelling
CN108763816A (en) A building safety detection method based on correlation analysis
CN114924490A (en)Model collinearity analysis and processing method in model predictive control
Han et al.Feed concentration forecasting using closed-loop input error and deep learning
CN119026674B (en) A multi-stage human-machine attribute value alignment method and system based on large model
Garcia et al.Physics-informed digital twin design for supporting the selection of process settings in continuous manufacturing, with a focus in fiberboard production
Wang et al.Causal Graph Attention Networks for Quality Prediction of Mass Customization Production Process
RuizPredictive Models in Engineering Design Using Statistical Methods

Legal Events

DateCodeTitleDescription
PB01Publication
PB01Publication
SE01Entry into force of request for substantive examination
SE01Entry into force of request for substantive examination
GR01Patent grant
GR01Patent grant
TR01Transfer of patent right

Effective date of registration:20250108

Address after:518000 1104, Building A, Zhiyun Industrial Park, No. 13, Huaxing Road, Henglang Community, Longhua District, Shenzhen, Guangdong Province

Patentee after:Shenzhen Hengyuan Zhida Information Technology Co.,Ltd.

Country or region after:China

Address before:510062 Dongfeng East Road, Yuexiu District, Guangzhou, Guangdong 729

Patentee before:GUANGDONG University OF TECHNOLOGY

Country or region before:China

TR01Transfer of patent right
TR01Transfer of patent right

Effective date of registration:20250122

Address after:10601, Building 1, Baoyi Daming Palace International, No. 379 Taiyuan Road, Weiyang District, Xi'an City, Shaanxi Province, China 710016

Patentee after:Shaanxi Zhibang Shuchuang Information Technology Co.,Ltd.

Country or region after:China

Address before:518000 1104, Building A, Zhiyun Industrial Park, No. 13, Huaxing Road, Henglang Community, Longhua District, Shenzhen, Guangdong Province

Patentee before:Shenzhen Hengyuan Zhida Information Technology Co.,Ltd.

Country or region before:China

TR01Transfer of patent right

[8]ページ先頭

©2009-2025 Movatter.jp