Movatterモバイル変換


[0]ホーム

URL:


CN112989695A - Switch cabinet state evaluation method considering importance of power grid nodes - Google Patents

Switch cabinet state evaluation method considering importance of power grid nodes
Download PDF

Info

Publication number
CN112989695A
CN112989695ACN202110262187.2ACN202110262187ACN112989695ACN 112989695 ACN112989695 ACN 112989695ACN 202110262187 ACN202110262187 ACN 202110262187ACN 112989695 ACN112989695 ACN 112989695A
Authority
CN
China
Prior art keywords
state
switchgear
importance
evaluation
power grid
Prior art date
Legal status (The legal status is an assumption and is not a legal conclusion. Google has not performed a legal analysis and makes no representation as to the accuracy of the status listed.)
Granted
Application number
CN202110262187.2A
Other languages
Chinese (zh)
Other versions
CN112989695B (en
Inventor
彭欣
林钰
李茜
苏天赐
郑雅迪
张安安
Current Assignee (The listed assignees may be inaccurate. Google has not performed a legal analysis and makes no representation or warranty as to the accuracy of the list.)
Southwest Petroleum University
Original Assignee
Southwest Petroleum University
Priority date (The priority date is an assumption and is not a legal conclusion. Google has not performed a legal analysis and makes no representation as to the accuracy of the date listed.)
Filing date
Publication date
Application filed by Southwest Petroleum UniversityfiledCriticalSouthwest Petroleum University
Priority to CN202110262187.2ApriorityCriticalpatent/CN112989695B/en
Publication of CN112989695ApublicationCriticalpatent/CN112989695A/en
Application grantedgrantedCritical
Publication of CN112989695BpublicationCriticalpatent/CN112989695B/en
Expired - Fee Relatedlegal-statusCriticalCurrent
Anticipated expirationlegal-statusCritical

Links

Images

Classifications

Landscapes

Abstract

Translated fromChinese

一种计及电网节点重要度的开关柜状态评估方法,涉及开关柜技术领域。本发明具体步骤如下:开关柜监测信息源与状态量确定;多维状态量的归一化处理;分层状态评估模型的建立;电网节点重要度的计算;基于节点重要度对分层模型评估结果进行修正;状态量隶属度函数模型的建立并求解。本技术方案相比于其他开关柜状态评估方法,分别从开关柜自身的运行状态和考虑其所处的电网节点对整个电力系统的重要度两个角度出发,将后者作为修正开关柜状态评估的依据,克服了开关柜传统状态评估方法的局限性,并可以将最后的评估结果作为后续制定检修策略的重要指标。

Figure 202110262187

A switchgear state evaluation method considering the importance of power grid nodes relates to the technical field of switchgear. The specific steps of the invention are as follows: determination of switch cabinet monitoring information source and state quantity; normalization of multi-dimensional state quantities; establishment of a hierarchical state evaluation model; calculation of the importance of power grid nodes; Correction; establishment and solution of the state quantity membership function model. Compared with other switchgear state evaluation methods, this technical solution takes the latter as the revised switchgear state evaluation from two perspectives, the operating state of the switchgear itself and the importance of the grid node where it is located to the entire power system. It overcomes the limitations of the traditional state evaluation method of switchgear, and can use the final evaluation result as an important indicator for the subsequent formulation of maintenance strategies.

Figure 202110262187

Description

Switch cabinet state evaluation method considering importance of power grid nodes
Technical Field
The invention relates to the field of switch cabinet state overhaul, in particular to a switch cabinet state assessment method.
Background
With the rapid development of social economy, the requirement of people on power supply reliability is higher and higher, and the switch cabinet is used as main electrical equipment in a power distribution network, and the running state of the switch cabinet is normal or not, so that the running effect of the whole power grid and the power consumption quality of vast users are directly related. The switch cabinet integrates various electrical elements, has a compact structure and small space gap, equipment is in a sealed and electrified state, and the switch cabinet is easy to generate partial discharge, abnormal temperature rise and the like under the operating condition of high voltage and high current after long-term operation. Therefore, the operation state of the switch cabinet is accurately evaluated, a targeted operation and maintenance strategy is made in time, and the method has important significance for ensuring the normal operation of the switch cabinet.
The existing switch cabinet state evaluation method mainly comprises the following steps that firstly, a state evaluation method based on a guide rule is adopted, state quantity is selected according to results of on-line monitoring, operation maintenance, tests and the like, then deduction is carried out according to deduction standards specified by the guide rule, and the state grade of the switch cabinet is determined according to the deduction standards, but only starting from equipment, the problems of large workload and low efficiency exist; currently, many researches are carried out on evaluation methods based on multi-information fusion, and the methods firstly select state quantities to establish an index system, then adopt a related method of information fusion to carry out the fusion of multi-type information, and finally obtain an evaluation result; the state evaluation method based on classification and regression is a state evaluation method based on big data analysis, and related methods of machine learning, such as a bayesian network, a support vector machine and the like, are widely adopted, but the defects of the methods are obvious, the reliability of electrical equipment such as a switch cabinet and the like is relatively high, the data of defects and fault states are deficient, training samples are insufficient, and the accuracy of the model is not ideal.
At present, the state evaluation of the switch cabinet is based on the state quantity of the switch cabinet, and the node position of the switch cabinet in the power distribution network is not considered.
Disclosure of Invention
The problem to be solved by the invention is to introduce the importance of the power grid node where the switch cabinet is located into the state evaluation of the switch cabinet as the correction of the evaluation result, so that the state quantity of the switch cabinet is combined with the importance of the power grid node where the switch cabinet is located.
The invention provides a switch cabinet state evaluation method considering power grid node importance, which comprises the following specific steps:
1) determining a monitoring information source and a state quantity;
in order to avoid the over-subjectivity of the state quantity selection of the switch cabinet, the state quantity monitored by the switch cabinet is determined according to a Q/GDW645-2011 distribution network equipment state evaluation guide rule and a southern power grid company-Guangdong power grid-equipment state evaluation and risk evaluation technology guide rule.
Further: with the development of sensor technology, information sources are mainly obtained in four modes of family information, online monitoring, operation inspection and routine test;
further: the state quantity of the switch cabinet is divided into five parts, namely equipment information, insulating property, hexafluoroation annual leakage rate, mechanical property and current carrying capacity, and the lower surface of each part corresponds to the corresponding state quantity;
further: the state grades are divided into five grades in order to reflect the accuracy of the result: a (excellent), B (excellent), C (medium), D (poor) and E (poor);
2) normalization processing of the multidimensional state quantity;
because the data types of the various state quantities are different, normalization processing is adopted, a half-ridge model is used for evaluating the quantitative state quantities, and a proportional model is used for the operation years of the switch cabinet;
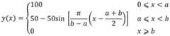
further: the half-ridge model is divided into a rising half-ridge model and a falling half-ridge model. The former is used for evaluating a state quantity with a larger numerical value and the latter is used for evaluating a state quantity with a smaller numerical value, and the formulas are respectively as follows:
Figure BDA0002970486110000021
Figure BDA0002970486110000022
wherein a and b represent upper and lower score thresholds, respectively.
Further: for the fusion of the operation years, multiplying by a coefficient KTThe formula is as follows:
KT(100-years of operation x 0.3)/100
Further: the determination of the state quantity scoring threshold value is based on corresponding national standard and industry standard.
Further: after the evaluation scores of the state quantities are obtained, normalization processing is carried out on the evaluation scores in order to facilitate the subsequent data fusion process: the result is uniformly divided by 100 and transformed into the [0,1] interval.
3) Establishing a layered state evaluation model;
taking the state evaluation components selected in the step 1) as parent layers, taking the state quantity corresponding to each evaluation component as sub-layers, determining each state evaluation result by the sub-layers, and taking the average value of the state score values of all the sub-layers as the state evaluation score value of the parent layer when the state score value of each sub-layer is greater than 0.7; and if not, taking the minimum value in the sub-layer state score values as the state evaluation score value of the parent layer.
4) Calculating the importance of the power grid nodes;
the power network can be regarded as being composed of nodes and branches, and the positions of the fulcrums in the power grid are different, and the load capacity of the fulcrums is different, so that the positions of the nodes of the fulcrums and the load capacity of the fulcrums can be used as two indexes for measuring the importance of the power grid nodes.
Further: the positions of the grid nodes are divided into three types. The first type is a structural node, which is characterized in that the node is positioned on a main line of a power grid, and particularly when the main line has a fault, the node can carry out load transfer through the switch cabinet, and the switch cabinet also has the function of serving as a tie switch; the second type is an important load node, and the node is responsible for switching on and off important loads in the power distribution network, such as large-scale precision instruments with higher power supply requirements, main operation equipment of an offshore platform and the like; the third type of nodes are edge nodes, and the third type of nodes are mainly responsible for supplying power to living facilities and the like and can bear the influence caused by short-time power failure maintenance;
further: the load capacity of the power grid nodes is measured according to the percentage of the node load capacity in the rated capacity of the switch cabinet, and is divided into three grades, wherein the load capacity is less than 50%, 50% -75% and more than 75%;
further: the importance of the power grid node is determined by two factors, namely the node position and the node load, and the calculation formula is as follows:
Cn=0.7Ln+0.3Pn
wherein C isnRepresenting the node importance correction coefficient for correcting the evaluation result of the switch cabinet state, LnAs a node position importance parameter, PnIs a node load parameter.
5) Correcting the evaluation result of the hierarchical model based on the importance of the nodes;
the score value of the hierarchical evaluation model calculated in the step 3) and the node importance C calculated in the step 4) are comparednAnd multiplying to obtain the corrected state evaluation score value.
6) Establishing and solving a state quantity membership function model;
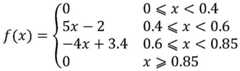
substituting the result of the hierarchical evaluation model modified in the step 5), namely the score values of all parts into the membership function of each state grade, and determining the state grade of the equipment according to the maximum membership principle, wherein the membership function formula is as follows:
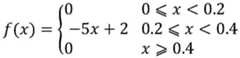
class A
Figure BDA0002970486110000031
Grade B
Figure BDA0002970486110000032
C, etcStage
Figure BDA0002970486110000033
Grade D
Figure BDA0002970486110000041
Grade E
Figure BDA0002970486110000042
Compared with the existing switch cabinet state evaluation scheme, the switch cabinet state evaluation method considering the importance degree of the power grid nodes has the following gain effects: according to the traditional state evaluation of single-source information, only the operation inspection information or test information of equipment is considered, part of obtained data has no timeliness, along with the development of an online monitoring technology, an evaluation method based on multi-dimensional information fusion can enrich information sources, and an evaluation model can have higher robustness and accuracy. Meanwhile, the method solves the problem that the traditional evaluation method lacks consideration on the overall operation condition of the power grid, introduces the concept of node importance into the evaluation as a correction of an evaluation result, and can take the evaluation result as an important index for subsequently formulating a maintenance strategy.
Drawings
FIG. 1 is a flow chart of the present invention
FIG. 2 is a hierarchical evaluation model of the switch cabinet
Detailed Description
The following further describes embodiments of the present invention with reference to the drawings.
The invention relates to a switch cabinet state evaluation method considering grid node importance, which comprises the following steps as shown in figure 1:
1. determining a monitoring information source and a state quantity;
in order to obtain the multidimensional data of the switch cabinet, the monitoring information sources are family information, online monitoring, operation inspection and routine tests respectively. And dividing the state quantities into five parts according to the characteristics of the state quantities, wherein each part at least comprises one state quantity, and the corresponding state quantities are as follows:
there are two state quantities for family information acquisition: the handover test yield and the family defect rate are respectively marked as F1 and F2;
the state quantity obtained by on-line monitoring is three: the voltage value of the local discharge monitoring transient state ground, the voltage value of the local discharge monitoring ultrasonic wave and the temperature of the conductive connection point are respectively marked as PD1, PD2 and TR;
the state quantity obtained by the operation inspection is two: the operating years and the readings of the sulfur hexafluoride gas pressure indicator are respectively recorded as Y, SF;
the routine test obtains five state quantities: the insulation resistance value, the grounding resistance value, the opening operation TIME, the closing operation TIME and the main loop direct current resistance are respectively marked as R1, R2, TIME1, TIME2 and R3;
2. carrying out multi-dimensional state quantity normalization processing;
because the data types of the state quantities are different, normalization processing is adopted, a half-ridge model is used for evaluating quantitative state quantities, and a proportional model is used for fusing the operation years of the switch cabinet;
further: the half-ridge model is divided into a rising half-ridge model and a falling half-ridge model. The former is used for evaluating a state quantity with a larger numerical value and the latter is used for evaluating a state quantity with a smaller numerical value, and the formulas are respectively as follows:
Figure BDA0002970486110000051
Figure BDA0002970486110000052
wherein a and b represent upper and lower score thresholds, respectively.
For the operating life, multiplying by a factor KTThe formula is as follows:
KT(100-years of operation x 0.3)/100
After the evaluation scores of the state quantities are obtained, normalization processing is carried out on the evaluation scores in order to facilitate the subsequent data fusion process: the result is uniformly divided by 100 and transformed into the [0,1] interval.
The determination of the state quantity scoring threshold value is based on corresponding national standard and industry standard. As shown in table 1:
TABLE 1
Figure BDA0002970486110000053
Figure BDA0002970486110000061
Substituting the state quantities except the operation age in the step 1 and the threshold value in the table 1 into the half-ridge model, dividing the result by 100, and performing normalization processing to obtain the results corresponding to the state quantities, wherein the results are respectively as follows: FF1, FF2, FPD1, FPD2, FTR, FSF, FR1, FR2, FTIME1, FTIME2, FR 3.
Substituting the state quantity of the operation age into the proportional model to obtain KT(Y)。
3. Establishing a layered state evaluation model;
as shown in fig. 2, the state evaluation components selected in step 1 are used as parent layers, the state quantity corresponding to each evaluation component is used as a sub-layer, each state evaluation result is determined by the sub-layer, and when the state score values of the sub-layers are all larger than 0.7, the state evaluation score value of the parent layer is the average value of the state score values of all the sub-layers; and if not, taking the minimum value in the sub-layer state score values as the state evaluation score value of the parent layer. Substituting the result obtained in the step 2 into the layered state evaluation model, wherein the result is as follows: [ FS1 FS2 FS3 FS4 FS5 ].
4. Calculating the importance of the power grid nodes;
the power network can be regarded as being composed of nodes and branches, and because the positions of the fulcrums in the power grid are different, and the load capacity of the fulcrums is different, the positions of the nodes of the fulcrums and the load capacity of the fulcrums are used as two indexes for measuring the importance of the power grid nodes.
The positions of the grid nodes are divided into three types. The first type is a structural node, which is characterized in that the node is located in a main line of a power grid, and particularly when the main line has a fault, the node can carry out load transfer through the switch cabinet, and the switch cabinet also serves as a tie switch; the second type is an important load node, and the node is responsible for switching on and off important loads in the power distribution network, such as large-scale precision instruments with higher power supply requirements, main operation equipment of an offshore platform and the like; the third type of nodes are edge nodes, and the third type of nodes are mainly responsible for supplying power to living facilities and the like and can bear the influence caused by short-time power failure maintenance;
the load capacity of the power grid nodes is measured according to the percentage of the node load capacity in the rated capacity of the switch cabinet, and is divided into three grades, wherein the load capacity is less than 50%, 50% -75% and more than 75%;
two parameter selection principles of measuring the importance of the power grid node where the switch cabinet is located and the load capacity are shown in table 2:
TABLE 2
Figure BDA0002970486110000062
Figure BDA0002970486110000071
The calculation formula is as follows:
Cn=0.7Ln+0.3Pn
wherein C isnRepresenting the node importance correction coefficient for correcting the evaluation result of the switch cabinet state, LnAs a node position importance parameter, PnIs a node load parameter. C1 is obtained by calculation according to the node position and the load capacity of the switch cabinet;
5. correcting the evaluation result of the hierarchical model based on the importance of the nodes;
and (4) multiplying the hierarchical evaluation model score value [ FS1 FS2 FS3 FS4 FS5] obtained in the step (3) with the node importance degree C1 obtained in the step (4) to obtain a corrected state evaluation score value [ FS11 FS12 FS13 FS14 FS15 ].
6. Establishing and solving a state quantity membership function model;
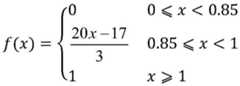
substituting the result of the hierarchical evaluation model corrected in the step 5, namely the score value [ FS11 FS12 FS13 FS14 FS15] of each component into a membership function of each state grade, wherein the formula of the membership function is as follows:
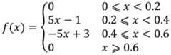
class A
Figure BDA0002970486110000072
Grade B
Figure BDA0002970486110000073
Grade C
Figure BDA0002970486110000074
Grade D
Figure BDA0002970486110000075
Grade E
Figure BDA0002970486110000076
Obtaining a membership matrix:
Figure BDA0002970486110000077
according to the maximum membership rule, taking the maximum value of each row (taking the first row as an example): MAX [ FS11A FS11B FS11C FS11D FS11E ], the state corresponding to the maximum value is the state of the component.
Then multiplying the minimum value in the score values of all the parts by the calculation result K of the proportional model of the operation ageT(Y), finally substituting into the membership function to obtain the overall state evaluation grade membership matrix of the switch cabinet as follows: [ FSA FSB FSC FSD FSE]Taking MAX FSA FSB FSC FSD FSE according to the maximum membership rule]Maximum valueThe corresponding state is the overall state of the switchgear.
The switch cabinet state evaluation method considering the importance of the power grid nodes is a specific embodiment of the invention, has the substantial characteristics and progress of the invention, not only considers the state quantity of the switch cabinet, but also combines the influence factors of the importance of the power grid nodes, and the evaluation result can be used for guiding the formulation of the subsequent maintenance sequence. It will be appreciated by persons skilled in the art that the above embodiments are illustrative only and not intended to be limiting, and that changes and modifications may be made to the above embodiments without departing from the true spirit of the invention and the scope of the appended claims.

Claims (9)

Translated fromChinese
1.一种计及电网节点重要度的开关柜状态评估方法,其特征在于,包括以下步骤:1. a switchgear state assessment method taking into account the importance of power grid nodes, is characterized in that, comprising the following steps:1)监测信息源与状态量的确定,信息源是指获取状态评估数据的渠道,进而确定开关柜状态评估所需的状态量信息,再根据状态量的特点,将这些状态量分为五大部件,每个部件下包含相应的状态量。1) Determination of monitoring information sources and state quantities. Information sources refer to the channels for obtaining state assessment data, and then determine the state quantity information required for switchgear state assessment, and then divide these state quantities into five components according to the characteristics of the state quantities. , each component contains the corresponding state quantity.2)多维状态量的归一化处理,由于各状态量的数据类型不同,采用归一化处理,对于定量状态量,运用半岭模型进行评价,对于开关柜的运行年限做归一化处理,采用比例模型。2) Normalization processing of multi-dimensional state quantities. Due to the different data types of each state quantity, normalization processing is adopted. For quantitative state quantities, the semi-ridge model is used for evaluation, and the operating years of the switchgear are normalized. Use a scale model.3)分层状态评估模型的建立,将步骤1)中选取的五大部件作为父层,每个评价部件对应的状态量作为子层,每个状态评价结果由其子层决定,由各子层的得分值得到父层的得分值。3) The establishment of the hierarchical state evaluation model, the five major components selected in step 1) are used as the parent layer, the state quantity corresponding to each evaluation component is used as the sub-layer, and the evaluation result of each state is determined by its sub-layer, which is determined by each sub-layer. The score value of gets the score value of the parent layer.4)电网节点重要度的计算,将每个开关柜作为电网中的一个节点,根据每个节点所处的位置与承担负荷的多少两个因素作为衡量节点重要度的指标,并进行计算得出节点重要度的数值。4) Calculation of the importance of power grid nodes, taking each switch cabinet as a node in the power grid, and calculating the importance of nodes according to the location of each node and the amount of load it bears. The value of the node importance.5)基于步骤4)得到的节点重要度计算结果对步骤3)得到的分层评估结果模型进行修正。5) Based on the node importance calculation result obtained in step 4), modify the hierarchical evaluation result model obtained in step 3).6)状态量隶属度函数模型的建立并求解,将步骤5)中修正后得到的结果,即各部件修正后的得分值代入每个状态等级的隶属度函数,根据最大隶属度原则,确定设备的状态等级。6) The establishment and solution of the state quantity membership function model, and the result obtained after the correction in step 5), that is, the corrected score value of each component, is substituted into the membership function of each state level, and is determined according to the principle of maximum membership. The status level of the device.2.根据权利要求1所述的一种计及电网节点重要度的开关柜状态评估方法,其特征在于述的信息源包括家族信息、在线监测、运行巡检、例行试验四类方式。2 . The switchgear state assessment method according to claim 1 , wherein the information sources include family information, online monitoring, operation inspection, and routine tests. 3 .3.根据权利要求1所述的一种计及电网节点重要度的开关柜状态评估方法,其特征在于,分为五大部件,各状态部件及其对应的状态量如下:3. The switchgear state assessment method according to claim 1, characterized in that, it is divided into five major components, and each state component and its corresponding state quantity are as follows:设备信息包括以下三个:运行年限、交接试验合格率、家族缺陷率;Equipment information includes the following three: operating years, handover test pass rate, family defect rate;绝缘性能包括以下四个:局部放电监测暂态地电压值、局部放电监测超声波值、绝缘电阻值、接地电阻值;The insulation performance includes the following four: partial discharge monitoring transient ground voltage value, partial discharge monitoring ultrasonic value, insulation resistance value, grounding resistance value;SF6气体包括以下一个:六氟化硫气体年泄漏率;SF6 gas includes one of the following: annual leakage rate of sulfur hexafluoride gas;机械性能包括以下两个:分闸操作时间、合闸操作时间;Mechanical properties include the following two: opening operation time, closing operation time;载流能力包括以下两个:主回路直流电阻、导电连接点温度。The current carrying capacity includes the following two: the main circuit DC resistance and the temperature of the conductive connection point.4.根据权利要求1所述的一种计及电网节点重要度的开关柜状态评估方法,其特征在于,状态等级的划分为了体现结果的准确性,划分为五个等级:A(优)、B(良)、C(中)、D(较差)、E(差)。4. The switchgear state assessment method according to claim 1, characterized in that, the division of state levels is divided into five levels in order to reflect the accuracy of the results: A (excellent), B (good), C (moderate), D (poor), E (poor).5.根据权利要求1所述的一种计及电网节点重要度的开关柜状态评估方法,其特征在于,所述归一化处理中半岭模型计算公式如下:5. The switchgear state assessment method according to claim 1, wherein the calculation formula of the half-ridge model in the normalization process is as follows:对于评价数值越大越优良的状态量,其归一化公式如下:For the state quantity whose evaluation value is larger and better, its normalization formula is as follows:
Figure FDA0002970486100000021
Figure FDA0002970486100000021
对于评价数值越小越优良的状态量,其归一化公式如下:For the state quantity whose evaluation value is smaller and better, its normalization formula is as follows:
Figure FDA0002970486100000022
Figure FDA0002970486100000022
其中,a和b分别代表上、下限评分阈值。Among them, a and b represent the upper and lower scoring thresholds, respectively.6.根据权利要求1所述的一种计及电网节点重要度的开关柜状态评估方法,其特征在于,所述对运行年限做归一化处理的比例模型,计算公式如下:6. A switchgear state assessment method considering the importance of power grid nodes according to claim 1, characterized in that, the scale model of the normalized processing is performed on the operating years, and the calculation formula is as follows:KT=(100-运行年数×0.3)/100KT = (100-years of operation × 0.3)/100其中,KT为运行年限归一化后所得系数。Among them, KT is the coefficient obtained after normalization of operating years.7.根据权利要求1所述的一种计及电网节点重要度的开关柜状态评估方法,其特征在于,电网节点重要度的计算公式为:7. The switchgear state assessment method according to claim 1, characterized in that the calculation formula of the importance of power grid nodes is:Cn=0.7Ln+0.3PnCn =0.7Ln +0.3Pn其中Cn代表节点重要度修正系数,用于修正开关柜状态评估结果,Ln为节点位置重要度参数,Pn为节点负荷参数。Among them, Cn represents the node importance correction coefficient, which is used to correct the status evaluation result of the switchgear, Ln is the node position importance parameter, and Pn is the node load parameter.8.根据权利要求1所述的一种计及电网节点重要度的开关柜状态评估方法,其特征在于,每个等级的隶属度函数为:8. The switchgear state assessment method according to claim 1, characterized in that the membership function of each level is:A等级
Figure FDA0002970486100000023
A grade
Figure FDA0002970486100000023
B等级
Figure FDA0002970486100000024
Grade B
Figure FDA0002970486100000024
C等级
Figure FDA0002970486100000031
C grade
Figure FDA0002970486100000031
D等级
Figure FDA0002970486100000032
D grade
Figure FDA0002970486100000032
E等级
Figure FDA0002970486100000033
Grade E
Figure FDA0002970486100000033
9.如权利要求1-8任一项所述的计及电网节点重要度的开关柜状态评估方法,其特征在于,所述将电网节点重要度与开关柜状态评估相结合。9 . The switchgear state evaluation method according to any one of claims 1 to 8 , wherein the power grid node importance is combined with the switchgear state evaluation. 10 .
CN202110262187.2A2021-03-102021-03-10Switch cabinet state evaluation method considering importance of power grid nodesExpired - Fee RelatedCN112989695B (en)

Priority Applications (1)

Application NumberPriority DateFiling DateTitle
CN202110262187.2ACN112989695B (en)2021-03-102021-03-10Switch cabinet state evaluation method considering importance of power grid nodes

Applications Claiming Priority (1)

Application NumberPriority DateFiling DateTitle
CN202110262187.2ACN112989695B (en)2021-03-102021-03-10Switch cabinet state evaluation method considering importance of power grid nodes

Publications (2)

Publication NumberPublication Date
CN112989695Atrue CN112989695A (en)2021-06-18
CN112989695B CN112989695B (en)2022-02-08

Family

ID=76334864

Family Applications (1)

Application NumberTitlePriority DateFiling Date
CN202110262187.2AExpired - Fee RelatedCN112989695B (en)2021-03-102021-03-10Switch cabinet state evaluation method considering importance of power grid nodes

Country Status (1)

CountryLink
CN (1)CN112989695B (en)

Cited By (2)

* Cited by examiner, † Cited by third party
Publication numberPriority datePublication dateAssigneeTitle
CN113887750A (en)*2021-08-232022-01-04浙江华云电力工程设计咨询有限公司Switch cabinet state evaluation method based on improved long-term and short-term memory network
CN114123512A (en)*2021-12-012022-03-01山东汇能电气有限公司High tension switchgear remote control system based on it is intelligent

Citations (6)

* Cited by examiner, † Cited by third party
Publication numberPriority datePublication dateAssigneeTitle
US20110191058A1 (en)*2009-08-112011-08-04Certusview Technologies, LlcLocating equipment communicatively coupled to or equipped with a mobile/portable device
CN105158657A (en)*2015-08-262015-12-16芜湖市凯鑫避雷器有限责任公司High-voltage switch cabinet partial discharge online monitoring system
CN108009937A (en)*2016-11-012018-05-08中国电力科学研究院A kind of appraisal procedure of distribution main equipment health status
CN108683256A (en)*2018-05-232018-10-19重庆祥泰电气有限公司Intelligent power distribution cabinet with on-line measurement function
CN109324270A (en)*2018-08-072019-02-12国网山东省电力公司淄博供电公司 An intelligent online monitoring system for high-voltage switchgear
CN111697705A (en)*2020-07-102020-09-22西南石油大学Power distribution integrated device based on multi-source information control

Patent Citations (6)

* Cited by examiner, † Cited by third party
Publication numberPriority datePublication dateAssigneeTitle
US20110191058A1 (en)*2009-08-112011-08-04Certusview Technologies, LlcLocating equipment communicatively coupled to or equipped with a mobile/portable device
CN105158657A (en)*2015-08-262015-12-16芜湖市凯鑫避雷器有限责任公司High-voltage switch cabinet partial discharge online monitoring system
CN108009937A (en)*2016-11-012018-05-08中国电力科学研究院A kind of appraisal procedure of distribution main equipment health status
CN108683256A (en)*2018-05-232018-10-19重庆祥泰电气有限公司Intelligent power distribution cabinet with on-line measurement function
CN109324270A (en)*2018-08-072019-02-12国网山东省电力公司淄博供电公司 An intelligent online monitoring system for high-voltage switchgear
CN111697705A (en)*2020-07-102020-09-22西南石油大学Power distribution integrated device based on multi-source information control

Non-Patent Citations (5)

* Cited by examiner, † Cited by third party
Title
YANG GUANG等: "Design of On-line Temperature Measurement System for High Voltage Switch Cabinet", 《PROCEEDINGS OF THE 3RD INTERNATIONAL CONFERENCE ON MECHANICAL ENGINEERING AND INTELLIGENT》*
张安安 等: "基于数学形态学和分形理论的电缆局放识别", 《电子科技大学学报》*
李晏君: "考虑可靠性的含风电配电网多目标快速重构研究", 《中国优秀硕士学位论文全文数据库 工程科技Ⅱ辑》*
李静宇: "基于复杂网络理论的含风电电力系统安全性评价研究", 《中国博士学位论文全文数据库 工程科技Ⅱ辑》*
谢静 等: "基于模糊分层理论的高压开关柜状态评估算法", 《高电压技术》*

Cited By (2)

* Cited by examiner, † Cited by third party
Publication numberPriority datePublication dateAssigneeTitle
CN113887750A (en)*2021-08-232022-01-04浙江华云电力工程设计咨询有限公司Switch cabinet state evaluation method based on improved long-term and short-term memory network
CN114123512A (en)*2021-12-012022-03-01山东汇能电气有限公司High tension switchgear remote control system based on it is intelligent

Also Published As

Publication numberPublication date
CN112989695B (en)2022-02-08

Similar Documents

PublicationPublication DateTitle
CN112989695B (en)Switch cabinet state evaluation method considering importance of power grid nodes
CN110188309B (en)Oil-immersed power transformer defect early warning method based on hidden Markov model
Jin-qiangFault prediction of a transformer bushing based on entropy weight TOPSIS and gray theory
CN113341347B (en) A dynamic detection method for distribution transformer fault based on AOELM
CN114460445A (en) A Transformer Aging Unavailability Evaluation Method Considering Aging Threshold and Life
CN111460727A (en)Method for predicting service life of transformer by using multiple parameters
CN106503884A (en)A kind of method that health state evaluation is carried out to switch cubicle
CN113466520B (en) A method for online identification of inaccurate electric energy meters
CN114050293B (en) A working condition identification method for a solid oxide fuel cell system
CN115453445A (en) An automatic detection device, method and medium for an overload protection electric meter
CN116243230A (en)On-line fault diagnosis method for voltage transformer
CN115684857A (en) A method, device and computer equipment for evaluating insulation performance of UHV transformers
CN114779029B (en)CVT internal insulation online evaluation method fusing group redundancy association and structural parameters
Gautam et al.Identifying transformer oil criticality using fuzzy logic approach
CN113052249B (en) Transformer winding fault type identification method based on support vector machine and current deviation coefficient
CN112990730B (en)Method for enhancing electric quantity correlation characteristics by utilizing artificial acquisition failure
CN114019365B (en) A fault diagnosis method for on-load tap changer based on gas in oil detection technology
CN114156865B (en) A method for low-voltage distribution network topology generation and fault prediction considering state perception
CN114594344B (en) A method and system for locating and identifying faults in a transmission line
CN116466067A (en) A Gray Theory-Based Early Warning Method for the Remaining Life of Composite Insulator Silicone Rubber Materials
CN115542008A (en)Method and system for monitoring abnormity of loop resistor of GIS (gas insulated switchgear)
CN115906420A (en) A method and system for evaluating the state of a rural power grid transformer
CN114462692A (en)Power grid old and old equipment technical improvement strategy optimization and adjustment method
CN112578315A (en)Control loop disconnection fault judgment method based on matrix diagram
CN112383059A (en)Method and device for evaluating reliability of alternating current-direct current hybrid power distribution network

Legal Events

DateCodeTitleDescription
PB01Publication
PB01Publication
SE01Entry into force of request for substantive examination
SE01Entry into force of request for substantive examination
GR01Patent grant
GR01Patent grant
CF01Termination of patent right due to non-payment of annual fee

Granted publication date:20220208

CF01Termination of patent right due to non-payment of annual fee

[8]ページ先頭

©2009-2025 Movatter.jp