Disclosure of Invention
The state evaluation work can rapidly analyze the running state of the equipment according to the current index state of the equipment, and further obtain the state trend of the equipment in a period of time in the future, so that targeted maintenance work is arranged, and the running reliability of the equipment is improved. However, the current state evaluation work on the power transformation equipment is performed based on historical operation and maintenance data, and the evaluation result reliability is low due to the lack of utilization of index online monitoring data. The invention provides a comprehensive state evaluation method of a power transformation device based on-line monitoring data according to the problem that the current state evaluation work of the power transformation device is single.
The invention is realized by the following technical scheme, and the method for evaluating the comprehensive state of the power transformation equipment comprises the following steps:
s1, importing the state index data processing result, dividing the abnormal data into abnormal data set caused by the abnormal work of the on-line monitoring device
Data set for representing abnormal state of power transformer
;
S2, power transformer state evaluation: data set for representing abnormal state of power transformer
Based on the classification of the status indicators, the processing of the indicator data,Constructing a layered evaluation system, establishing index weight by using an objective fusion weighting method, and obtaining a state evaluation result of the power transformer according to the index weight;
s3, state evaluation of the online monitoring device: dividing the running state of the on-line monitoring device into three grades of normal, abnormal and fault, and using abnormal data set caused by abnormal working of the on-line monitoring device
On the basis, the state evaluation comprises three steps of constructing a characterization relation between data of an abnormal mode and an abnormal state of the online monitoring device, characterizing the probability of the abnormal state, and finishing the state evaluation of the online monitoring device by using a membership function in a fuzzy evaluation theory.
Specifically, the classification of the status index at step S2: and analyzing and inducing the state indexes used in the state evaluation, and dividing the state indexes into quantitative indexes for representing the state by constant value data and sequence indexes for representing the state by continuous change data according to the index sources and the characteristics of the indexes.
Specifically, the processing of the index data at step S2: for quantitative indexes, processing by using a function according to the current threshold value of each grade; the sequence data is processed based on the proximity.
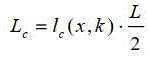
Specifically, the step S2 is to construct a hierarchical evaluation system: considering that the power transformer is complex in structure and various in components, a three-layer power transformer state evaluation system comprising a target layer, an index source layer and a state index layer is established from the perspective of index data sources.
Specifically, in step S2, an index weight is established by using an objective-subjective fusion weighting method, and a state evaluation result of the power transformer is obtained according to the index weight: calculating the basic weight of each index of each state index layer by using an analytic hierarchy process according to a set multilayer state evaluation system, and performing degradation variable weight operation on each index according to the degradation degree of each index on the basis to complete subjective and objective fusion weighting of each state index; and finally, coupling the processed indexes based on the calculated weight to obtain a state evaluation result of the power transformer.
Specifically, in step S3, the characterizing relationship between the data of the abnormal pattern and the abnormal state of the online monitoring device is constructed as follows: analyzing the relationship between the data of each abnormal mode and the abnormal state representation of the online monitoring device, and constructing the representation relationship between the data of the abnormal mode and the abnormal state of the online monitoring device; the abnormal mode comprises five types of interruption data, repeated data, jumping data, undersized data and outlier data.
Specifically, the abnormal state probability characterization in step S3: the occupation ratios of different abnormal mode data in the online data set are used for representing different abnormal occurrence probabilities of the device and representing the degree of membership of the device to a certain abnormal state.
Specifically, in step S3, the membership function in the fuzzy evaluation theory is used to complete the state evaluation of the online monitoring device: and (3) using a membership function quantification device in the fuzzy evaluation theory to quantify the membership degree of different state grades, and completing the state evaluation of the online monitoring device according to the maximum membership principle.
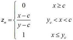
Specifically, the quantitative index processing procedure is as follows: carrying out uniform dimensionalization on the quantitative indexes to adapt to a state evaluation model of the power transformation equipment; respectively constructing quantitative index processing functions suitable for two conditions of negative degradation and positive degradation;
for the negative degradation indicator data, it is processed using the function shown in the formula (1),
for the positive degradation index data, the index data is processed by using a function shown in formula (2),
indicating fingerThe evaluation score of the standard transformation is calculated,
the value of the state index is represented,
is an attention value characterizing the upper limit of the fault index characteristic quantity.
Specifically, the sequence index processing procedure is as follows:
the method integrates related index data under the fault, and according to common faults of the power transformer, the method is divided into the following six faults: low-temperature overheating, medium-temperature overheating, high-temperature overheating, partial discharge, low-energy discharge and high-energy discharge; monitoring the index with DGA
、
、
、
、
The five gas concentrations are representative, and the DGA historical data of all faults form a fault data set
;
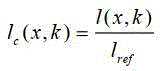
Calculating data of sampling points and fault data set in DGA index data set
The specific calculation mode of the proximity between the adjacent pixels is shown as formula (3),
in the formula (I), the compound is shown in the specification,
for DGA index historical data points
And fault data set
The degree of close proximity of (c) to each other,
are data points
And
in
The set of the nearest neighbors of the group,
is the nearest neighbor in the failure data set,
expressed is the euclidean distance in the index data,
refers to a failure data set
Selected subjectively from
A data point;
for fault data set
Computing its internal point relative to the fault data set
The relative neighbor degree of the self-body is calculated, the average value of the neighbor degree is obtained, and a fault data set is obtained
Reference proximity of
;
Failure data set of all data points
The relative neighbor degree is obtained by comparing the neighbor degree with the reference neighbor degree, the expression of the relative neighbor degree is shown as a formula (4),
finding fault data set existing in DGA monitoring index sequence data
The data points with the maximum relative proximity are used as the basis for intercepting the magnitude of the sequence data; when the relative proximity is higher, the more serious the state of the equipment is, the larger the sequence data quantity required for analyzing the state of the equipment is, and on the contrary, the smaller the intercepted sequence data quantity is; truncated sequence data length
The relation between the relative closeness and the degree of the relative closeness is shown in the formula (5),
in the formula
Scale length of the analyzed DGA online data;
transformation treatment of sequence data; according to the five gas indexes indicated above, the attention value of the gas is extracted from the current guide rule
Calculating a difference between the index and the attention value for each point in the truncated sequence data, and multiplying a coefficient by a side ratio between the difference and the corresponding attention value
Obtaining scores of various gas indexes
The specific transformation mode is shown as a formula (6),
in the formula (I), the compound is shown in the specification,iit indicates the kind of the gas or gases,ian integer having a value in the range of 1 to 5,ja sampling point representing an index of the gas,xjiindicates that the gas index isjThe value of the point(s) is,i1representing the starting gas sequence points of the analysis,L1refers to the length of the gas sequence analyzed.
In step S2, the subjective and objective combination weighting method refers to subjective weighting by the analytic hierarchy process and objective weighting by the index degradation degree, and includes the following steps:
(1) subjective weight setting
When the state of the power transformer is evaluated by using an analytic hierarchy process, according to a layered evaluation system obtained by the previous analysis, combining with expert experience to reasonably give the weight of each scheme in different layers on the basis, judging the advantages and disadvantages among different schemes and sequencing, and taking the basic weight of each index as the evaluation scale of the state of the power transformer;
(2) objective weight setting
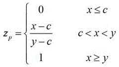
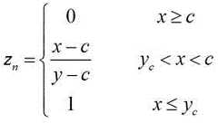
In the aspect of objective weight giving, a degradation variable weight theory is introduced, the weight of indexes which are seriously deviated from a normal value is increased, and the index information of partial or local degradation is embodied in the overall evaluation result of the transformer; the degradation is divided into two conditions of forward degradation and reverse degradation, the degradation degree of each index is calculated, the calculation mode of the forward degradation degree is shown as a formula (7), the calculation mode of the reverse degradation degree is shown as a formula (8),
in the formula (I), the compound is shown in the specification,
zpto indicate the degree of degradation under positive degradation,
znthe degradation degree is indicated under negative degradation,
in order to monitor the value of the state quantity,
is a starting index value of the state quantity,
is the value of attention for the indicator,
as the degree of deterioration of the index, y
cA negative degradation indicator attention value; coupling with the basic weight according to the deterioration degree of each index to obtain the weight after weight change, wherein the weight change formula is shown as a formula (9),
in the formula (I), the compound is shown in the specification,
is an index
The weight of the changed weight of (a),
is the basis weight for the index,
is referred to as
The item index is a function of the number of items,
for the number of the index categories, the index number,
for equalizing the coefficients, when the degree of deterioration of the index is not important
On the contrary
。
Specifically, in step S3, the step of completing the state evaluation of the online monitoring device by using the membership function in the fuzzy evaluation theory is as follows:
1) for five data exception modes, respectively
Represents; order on-line monitoring device with monthly as time unit
Index (I)
The amount of data collected is
Respectively statistically satisfy
The data of the features has a ratio of
Indicating the probability of each type of abnormality;
2) definition comment set
Respectively indicating normal, abnormal and fault, setting weight coefficient set of index by using subjective weighting method
;
3) Taking the ratio of different abnormal mode data as independent variable, using triangular membership function to establish the quantization function between the index and the state comment, the expression of the membership function is shown as the following formula,
is an interval threshold of the membership function,
4) substituting each type of abnormal data into formula (10)- (12) obtaining a fuzzy state evaluation matrix
,
In the formula, the elements in the matrix
Is shown as
Index pair
Membership of status comments;
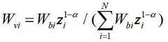
5) calculating the state evaluation result of the device, multiplying the weight set determined in the foregoing by the fuzzy state evaluation matrix to obtain the model evaluation result,
according to the maximum membership principle, taking
The state corresponding to the maximum value of the values is used as the evaluation result.
According to the method, based on the result of online data processing, state evaluation models are respectively established for the power transformer and the online monitoring device, so that a data-driven comprehensive state evaluation system of the power transformation equipment is formed. For the power transformer, the state indexes of the transformer are divided into two types of quantitative indexes and sequence indexes, different processing models are respectively established aiming at the quantitative indexes and the sequence indexes, and the problem that online monitoring data are difficult to utilize in a traditional power transformer evaluation model is solved; and establishing a transformer layered state evaluation system based on the processing result of the index data and considering different sources of the index data, and realizing the state evaluation of the transformer by using an objective and subjective combination weighting mode. For the online monitoring device, according to the processing result of the data, the representation between different abnormal states of the device and abnormal data is established, the proportion of the abnormal data is used for representing the abnormal probability of the device, and finally, the state evaluation of the online monitoring device is completed by using a fuzzy state evaluation theory, so that the comprehensive state evaluation of the power transformation equipment is realized.
Detailed Description
The present invention will be explained in further detail with reference to examples.
As shown in fig. 1, a method for evaluating the comprehensive state of a power transformation device includes the following steps:
s1, importing the state index data processing result, dividing the abnormal data into abnormal data set caused by the abnormal work of the on-line monitoring device
Data set for representing abnormal state of power transformer
: in the data cleaning stage, abnormal data in the online data are mined, different abnormal mode data existing in the online data of the power transformation equipment are separated, the abnormal mode data are divided into two types according to the types of the abnormal data, and the two types of the abnormal mode data are respectively abnormal data sets caused by the abnormal work of the online monitoring device
Data set for representing abnormal state of power transformer
. The index data is used as the basis of the state evaluation work, and the reliability of the state evaluation work can be increased through the cleaned data. Therefore, the comprehensive state evaluation system of the power transformation equipment is established on the basis that the index online data is subjected to cleaning treatment, and the cleaning result divides the online data into abnormal data sets caused by the abnormal work of the online monitoring device
Data set for representing abnormal state of power transformer
。
S2, power transformer state evaluation: data set for representing abnormal state of power transformer

And on the basis, classifying the state indexes, processing index data, constructing a layered evaluation system, establishing index weights by using an objective fusion weighting method, and obtaining a state evaluation result of the power transformer according to the index weights. The state evaluation work of the invention is considered to be carried out by fusing operation and maintenance test data and online monitoring data, and the online data has strong data flow characteristics. The method is different from the traditional method that only data at a certain moment is used for evaluation, index online data is introduced, the online data characteristics are processed according to the online data characteristics to adapt to state evaluation work, the reliability of the equipment state evaluation work is improved, and the continuous running state of the equipment within a certain period of time is evaluated.
S2-1, classification of state indexes: the invention analyzes the state index used in the inductive state evaluation, and divides the index into a quantitative index representing the state by constant value data and a sequence index representing the state by continuous change data according to the index source and the characteristics.
S2-2, index data processing: different types of indexes have different characteristics, and different processing modes are formulated for the two types of indexes respectively, so that the method is suitable for state evaluation work. For quantitative indexes, processing by using a function according to the current threshold value of each grade; the invention provides a method for processing sequence data based on the proximity. In the state evaluation work, index data processing is generally required to be converted into a scoring form so as to adapt to evaluation; for quantitative indexes from operation and maintenance tests, the method takes the positive degradation and negative degradation characteristics of the indexes into consideration, and respectively uses different functions for processing; for sequence indexes from online monitoring, the invention counts historical fault information and establishes a fault data set of equipment
Extracting a data set
The sequence index is converted into a scoring form by calculating the closeness of the data points in the data base.
S2-3, constructing a layered evaluation system: considering that the power transformer is complex in structure and various in components, the invention establishes a three-layer power transformer state evaluation system comprising a target layer, an index source layer and a state index layer from the viewpoint of index data sources.
S2-4, establishing index weight by using an objective fusion weighting method and obtaining a state evaluation result of the power transformer according to the index weight: calculating the basic weight of each index of each state index layer by using an analytic hierarchy process according to a set multilayer state evaluation system, and performing degradation variable weight operation on each index according to the degradation degree of each index on the basis to complete subjective and objective fusion weighting of each state index; and finally, coupling the processed indexes based on the calculated weight to obtain a state evaluation result of the power transformer. For the constructed multilayer state evaluation system of the power transformer, the basic weight of a state index layer is calculated by using an AHP method; on the basis, considering a plurality of indexes of the transformer, the actual operation state of the equipment is difficult to be reflected only by the basic weight, therefore, the invention carries out degradation weight changing processing on the basic weight based on the degradation degree of the indexes so as to highlight the influence of the degradation indexes on the operation state of the equipment.
S3, state evaluation of the online monitoring device: dividing the running state of the on-line monitoring device into three grades of normal, abnormal and fault, and using abnormal data set caused by abnormal working of the on-line monitoring device
On the basis, the state evaluation comprises three steps of constructing a characterization relation between data of an abnormal mode and an abnormal state of the online monitoring device, characterizing the probability of the abnormal state, and finishing the state evaluation of the online monitoring device by using a membership function in a fuzzy evaluation theory.
S3-1, constructing a characterization relation between the data of the abnormal mode and the abnormal state of the online monitoring device: the analysis result of the online monitoring data shows that the online data set contains abnormal data of various different modes, the invention analyzes the relationship between the data of each abnormal mode and the abnormal state representation of the online monitoring device, and constructs the representation relationship between the data of the abnormal mode and the abnormal state of the online monitoring device. The method respectively counts the characterization relations between the abnormal states of the device and the five abnormalities of the interrupt data, the repeated data, the jump data, the undersized data and the outlier data, and takes the five abnormalities as the indexes for evaluating the state of the device.
S3-2, abnormal state probability characterization: the proportion of various abnormal mode data reflects the probability of abnormal fault of the device from the side surface, and the proportion of different abnormal mode data in an online data set is used for representing the different abnormal probability of the device and simultaneously representing the degree of membership of the device to a certain abnormal state.
S3-3, using membership function in fuzzy evaluation theory to complete the state evaluation of the on-line monitoring device: considering the ambiguity among different state grades of the state, the feasibility of dividing the state of the device by using a threshold value alone is low, so the method uses the membership degree function quantification device in the fuzzy evaluation theory to quantify the membership degree of the device to different state grades, and completes the state evaluation of the online monitoring device according to the maximum membership degree principle.
The specific steps of processing different types of index data in step S2-2 are as follows:
(1) quantitative index
1) The quantitative index is also a numerical index, which means that a specific index numerical value is obtained by measuring actual state quantity, the data of the index has quantitative representation on the quality of the state, but the quantitative index is uniformly scaled by considering the magnitude of the measured data of different indexes and the relation between the measured data of different indexes and the representation of the state degradation direction, so as to adapt to a state evaluation model of the power transformation equipment.
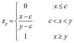
2) In order to adapt to the actual condition of the fault characteristic quantity of the power transformation equipment, the invention constructs quantitative index processing functions which are suitable for the conditions of negative degradation and positive degradation respectively, as shown in figures 2 and 3.
As for the index having a higher measurement value, that is, the negative degradation index data, the function is processed using the function shown in the formula (1), and the function curve is shown in the left side of fig. 2.
For the index with better measurement value, namely the positive degradation index data, the index data is processed by using the function shown in the formula (2), and the function curve is shown on the right of fig. 3.
An evaluation score representing the conversion of the index,
the value of the state index is represented,
to characterize the attention value of the upper limit of the failure index feature quantity, the positive degradation index is expressed by the formula (2)For example, when the closer the measurement of the index amount is to the attention value, the more serious the state of the index is, the lower the index score is, and the fault or abnormal state operation is easy to occur; when the index quantity is measured to be close to
And when the index is in a serious deviation state, the index state score is close to or 0, and the transformer equipment needs to be immediately subjected to related test maintenance.
(2) Sequence index
1) The sequence index refers to state data converted from online monitoring data, and the index is usually formed by a series of index values and reflects the state condition of the operation index in a period of time. The type data has strong data flow characteristics, so that the continuity of the data needs to be considered when the type data is processed, and the closer the sampling time is, the more obvious the reflecting effect on the state is; the invention provides a method based on the proximity degree to process online sequence data;
2) the method integrates related index data under the fault, and can be divided into the following six faults according to common faults of the power transformer: low-temperature overheating, medium-temperature overheating, high-temperature overheating, partial discharge, low-energy discharge and high-energy discharge; monitoring the index with DGA
、
、
、
、
The five gas concentrations are representative, and the DGA historical data of all faults form a fault data set
;
3) Calculating data of sampling points and fault data set in DGA index data set
The specific calculation mode of the proximity between the adjacent pixels is shown as formula (3),
in the formula (I), the compound is shown in the specification,
for DGA index historical data points
And fault data set
The degree of close proximity of (c) to each other,
are data points
And
in
The set of the nearest neighbors of the group,
is the nearest neighbor in the failure data set,
expressed is the euclidean distance in the index data,
refers to a failure data set
Selected subjectively from
A data point;
4) for fault data set
Computing its internal point relative to the fault data set
The relative neighbor degree of the self-body is calculated, the average value of the neighbor degree is obtained, and a fault data set is obtained
Reference proximity of
;
5) Failure data set of all data points
The relative neighbor degree is obtained by comparing the neighbor degree with the reference neighbor degree, the expression of the relative neighbor degree is shown as a formula (4),
6) finding fault data set existing in DGA monitoring index sequence data
The data points with the maximum relative proximity are used as the basis for intercepting the magnitude of the sequence data; when the relative proximity is larger, the state of the equipment is more strict at the momentIf the data is important, the larger the sequence data quantity required for analyzing the state of the data is, and otherwise, the smaller the intercepted sequence data quantity is; truncated sequence data length
The relation between the relative closeness and the degree of the relative closeness is shown in the formula (5),
in the formula
Scale length of the analyzed DGA online data;
7) transformation treatment of sequence data; according to the five gas indexes indicated above, the attention value of the gas is extracted from the current guide rule
Calculating a difference between the index and the attention value for each point in the truncated sequence data, and multiplying a coefficient by a side ratio between the difference and the corresponding attention value
Obtaining scores of various gas indexes
The specific transformation mode is shown as a formula (6),
in the formula (I), the compound is shown in the specification,iit indicates the kind of the gas or gases,ian integer having a value in the range of 1 to 5,ja sampling point representing an index of the gas,xjiindicates that the gas index isjThe value of the point(s) is,i1representing the starting gas sequence points of the analysis,L1refers to the gas being analysedThe length of the sequence.
The layered state evaluation system provided in step S2-3 of the present invention is specifically a three-layer power transformer comprehensive state evaluation system including a target layer, a data source layer, and a state index layer. The evaluation result of the overall running state of the transformer is a target layer and is also a final target of state evaluation; in the data source layer, setting three categories of an electrical test, an insulating oil test and online monitoring according to different data sources for evaluation; and finally, an index layer reflecting the running state of the transformer, wherein the index layer is composed of state indexes contained in corresponding data sources. Fig. 4 shows a system for evaluating the overall state of the power transformer.
The subjective and objective combination weighting method in step S2-4 of the present invention refers to subjective weighting by the analytic hierarchy process and objective weighting that varies according to the degree of index degradation. The method mainly comprises the following steps:
(1) subjective weight setting
Analytic Hierarchy Process (AHP) is a subjective method of empowerment that organically combines expert experience with mathematics. When the AHP is used for state evaluation of the power transformer, the weight of each scheme in different layers is reasonably given according to the layered evaluation system obtained by the previous analysis and combining with expert experience on the basis, the advantages and disadvantages among different schemes are judged and ranked, and the basic weight of each index is used as the evaluation scale of the state of the power transformer.
According to the operation experience of the existing power transformer, the existing judgment matrix setting criteria are combined, pairwise comparison is carried out on each index in the matrix, the importance degrees in the matrix are respectively recorded as 1-9, and the judgment matrix importance degrees are shown in table 1.
TABLE 1 judgment matrix construction basis
(2) Objective weight setting
Due to the fact that the transformer is complex in structure and large in state quantity, overhaul tests and online monitoring data are independent, when certain index of the transformer is degraded or has local faults, the index is often reflected in the change of a small amount of indexes, if the index is still considered based on a comprehensive integral weight setting method, after basic weight calculation, the final evaluation result of the transformer is still normal, and the real influence of the degradation index on the overall state of equipment cannot be highlighted.
Therefore, in the aspect of objective weight assignment, the invention proposes to introduce a degradation variable weight theory, increase the weight of the index which is seriously deviated from the normal value, and reflect the index information of partial or local degradation in the overall evaluation result of the transformer.
As is known from the foregoing analysis, the degradation is divided into two cases, namely, forward degradation and reverse degradation, and the first step of using the degradation weight varying theory is to calculate the degradation degree of each index. The positive degradation degree is calculated according to equation (7), the negative degradation degree is calculated according to equation (8),
in the formula (I), the compound is shown in the specification,
zpto indicate the degree of degradation under positive degradation,
znthe degradation degree is indicated under negative degradation,
in order to monitor the value of the state quantity,
is a starting index value of the state quantity,
is the value of attention for the indicator,
as the degree of deterioration of the index, y
cIs a negative deterioration fingerA noting value; coupling with the basic weight according to the deterioration degree of each index to obtain the weight after weight change, wherein the weight change formula is shown as a formula (9),
in the formula (I), the compound is shown in the specification,
is an index
The weight of the changed weight of (a),
is the basis weight for the index,
is referred to as
The item index is a function of the number of items,
for the number of the index categories, the index number,
for equalizing the coefficients, when the degree of deterioration of the index is not important
On the contrary
。
The step S3-1 of constructing a characterization relationship between the data of the abnormal mode and the abnormal state of the online monitoring device is specifically as follows:
data interruption: the abnormality is usually represented as data loss, the abnormality duration is calculated according to the day, and the abnormality duration is mainly characterized by communication interruption caused by complex operation conditions.
Data repetition: such anomalies are typically negative or extreme values if they are caused by a communication interruption, or a random value within the valid range, typically other than 0, if the sensor fails.
Data jumping: the monitored values of the equipment change in stages, resulting in sudden increases or decreases in the monitored values, usually for a period of time.
The data is too small: generally, due to the fact that the sensitivity of a sensor of the monitoring equipment is reduced, correct feedback on the index of a normal level cannot be achieved.
Outlier data: also called singular points, refer to numerical values with large deviation from the statistical mean, and the change of the operation condition is the main reason for the abnormality.
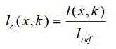
In the step S3-3, the membership function in the fuzzy evaluation theory is used for completing the state evaluation of the online monitoring device, and the method specifically comprises the following steps:
1) for the five data abnormal patterns analyzed in the preamble, the method comprises
Represents; order on-line monitoring device with monthly as time unit
Index (I)
The amount of data collected is
Respectively statistically satisfy
The data of the features has a ratio of
And indicates the probability of each type of abnormality occurrence.
2) Definition comment set
Respectively indicating normal, abnormal and fault, setting weight coefficient set of index by using subjective weighting method
。
3) Taking the ratio of different abnormal mode data as independent variable, using triangular membership function to establish the quantization function between the index and the state comment, the expression of the membership function is shown as the following formula,
is an interval threshold of the membership function,
4) substituting the proportion of each type of abnormal data into the formulas (10) - (12) to obtain a fuzzy state evaluation matrix
,
In the formula, the elements in the matrix
Is shown as
Index pair
Membership of status comments.
5) Calculating the state evaluation result of the device, multiplying the weight set determined in the foregoing by the fuzzy state evaluation matrix to obtain the model evaluation result,
according to the maximum membership principle, taking
The state corresponding to the maximum value of the values is used as the evaluation result.
Application case
A method for evaluating the comprehensive state of a power transformation device comprises the following steps:
1. the effectiveness of the comprehensive state evaluation method for the 220kV oil-immersed power transformation equipment (SSZ 11-180000/220) is verified, the equipment is put into operation at 2011 for 6 months, and comprehensive evaluation is carried out by combining online monitoring data and historical test data of the equipment.
2. Performing state evaluation on the power transformer, taking 90-quarter group data as a detection object for DGA online indexes, calling the latest offline test data when the data processing result judges that data reflecting the abnormal state of equipment exists, and performing the state evaluation on the transformer by using the method; table 2 shows the data related to the test indexes for a certain time.
TABLE 2 Transformer test data
3. Determining the basic weight of each index by using an AHP method, and carrying out consistency test on random consistent indexes of each layer
And proving that the set judgment matrix meets the requirements, and calculating subjective evaluation weights of all indexes, wherein the subjective evaluation weights are shown in a table 3.
TABLE 3 basic weightings of evaluation indexes of transformers
After data processing, DGA index abnormal values are found in online monitoring data of 7 months and 19 days, and relevant index data are shown in a table 4.
TABLE 4 Online DGA data for transformer 7 months and 19 days
The detection shows that the degree of adjacency of the day-changing DGA data and the fault data set is the maximum and is 0.64%; therefore, according to the formula (5), with the day-changing as a starting point, DGA sequence index data of 14 dates are respectively extracted forwards and backwards and are evaluated and differentiated; meanwhile, scoring treatment is carried out on the corresponding quantitative indexes to obtain index scoring and differentiation results shown in the table 5.
TABLE 5 grading of related indexes for transformer evaluation
The deterioration degrees of all the indexes are calculated according to the expressions (7) to (8), and the deterioration weight change operation is performed on the indexes by using the expression (9) based on the basic weight, and the deterioration degrees and the weight coefficients of the indexes are shown in table 6.
TABLE 6 degradation degree and Final weight coefficient of evaluation index
The final state of the power transformer is 63.81 after the evaluation model calculation, and the power transformer is in an abnormal state, and the maintenance work should be scheduled as soon as possible. Through operation and maintenance, the actual conditions of the transformer are as follows: the abnormal change of the main-transformer total hydrocarbon is found in the 7-month 17-day oil chromatographic measurement, and the abnormal change and the synchronization are carried out
And
a growing trend also occurs; the inspection shows that the contact surface of the tap switch is locally oxidized and corroded due to poor contact of the tap switch, so that the contact resistance is increased, the transformer is locally overheated, and after the tap switch is replaced in time, all indexes of the transformer return to normal.
4. And (3) evaluating the state of the online monitoring device: taking the annual index monitoring amount of the equipment as an object, and processing the abnormal data set obtained by data processing
The ratios of different abnormal pattern data are respectively counted and used as the representation of the abnormal probability of the device, and the corresponding probability and weight are obtained and shown in table 7.
TABLE 7 device anomaly probability and weight thereof
5. Calculating a masquerade evaluation matrix of each anomaly pair comment set: the matrix information is shown in table 8.
TABLE 8 fuzzy State evaluation matrix
Through the calculation of the formula (14), the membership vector of the transformer online monitoring device to the state comment set is finally obtained
I.e. the equipment's on-line monitoring device operationIn an abnormal state, a manufacturer should be contacted to carry out related maintenance work in time.