Movatterモバイル変換


[0]ホーム

URL:


CN112950537A - Coronary blood flow reserve fraction acquisition system, method and medium - Google Patents

Coronary blood flow reserve fraction acquisition system, method and medium
Download PDF

Info

Publication number
CN112950537A
CN112950537ACN202110105368.4ACN202110105368ACN112950537ACN 112950537 ACN112950537 ACN 112950537ACN 202110105368 ACN202110105368 ACN 202110105368ACN 112950537 ACN112950537 ACN 112950537A
Authority
CN
China
Prior art keywords
coronary
model
medical image
coronary artery
acquiring
Prior art date
Legal status (The legal status is an assumption and is not a legal conclusion. Google has not performed a legal analysis and makes no representation as to the accuracy of the status listed.)
Pending
Application number
CN202110105368.4A
Other languages
Chinese (zh)
Inventor
房劬
赵夕
Current Assignee (The listed assignees may be inaccurate. Google has not performed a legal analysis and makes no representation or warranty as to the accuracy of the list.)
Shanghai Youmai Technology Co ltd
Original Assignee
Shanghai Youmai Technology Co ltd
Priority date (The priority date is an assumption and is not a legal conclusion. Google has not performed a legal analysis and makes no representation as to the accuracy of the date listed.)
Filing date
Publication date
Application filed by Shanghai Youmai Technology Co ltdfiledCriticalShanghai Youmai Technology Co ltd
Priority to CN202110105368.4ApriorityCriticalpatent/CN112950537A/en
Publication of CN112950537ApublicationCriticalpatent/CN112950537A/en
Priority to PCT/CN2021/137375prioritypatent/WO2022160973A1/en
Pendinglegal-statusCriticalCurrent

Links

Images

Classifications

Landscapes

Abstract

The invention provides a coronary blood flow reserve fraction acquisition system, a method and a medium. The coronary flow reserve acquisition system comprises: a medical image acquisition module for acquiring a medical image of a patient, the medical image comprising a cardiac region of the patient; the coronary artery model acquisition module is connected with the medical image acquisition module and is used for acquiring a first coronary artery model and a second coronary artery model of the patient according to the medical image; the first coronary model refers to an actual coronary model of a patient, and the second coronary model refers to a coronary model obtained after repairing at least one lesion of a coronary vessel of the patient; and the blood flow reserve fraction acquiring module is connected with the coronary model acquiring module and is used for acquiring the coronary blood flow reserve fraction of the patient according to the first coronary model and the second coronary model. Compared with the prior art, the coronary flow reserve fraction acquired by the coronary flow reserve fraction acquiring system has higher accuracy.

Description

Coronary blood flow reserve fraction acquisition system, method and medium
Technical Field
The invention belongs to the field of medical image processing, relates to a coronary flow reserve fraction acquisition system, and particularly relates to a system, a method and a medium for acquiring coronary flow dynamics indexes by processing medical images of heart coronary parts by using a computer image processing technology.
Background
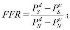
Myocardial ischemia is usually caused by coronary artery (coronary artery) stenosis, and can be serious and dangerous to the life of a patient. The Fractional Flow Reserve (FFR) is an effective measure of the blood supply to coronary arteries in humans. The coronary blood flow reserve fraction is the maximum blood flow Q obtained in the myocardial region of the blood vessel in the presence of coronary stenosisSMaximum blood flow Q that can be obtained theoretically normally in the same areaNThe ratio of (A) to (B) is as follows:
Figure BDA0002917517700000011
the prior art methods for obtaining FFR can be classified into invasive methods and non-invasive methods.
The method for obtaining the FFR in an invasive mode is characterized in that a pressure guide wire is invasively placed into a coronary artery vessel under the guidance of medical images, the pressure at the far end of a stenosis of the vessel and the pressure at the near end of the stenosis are respectively measured, and an FFR index is obtained through calculation. Invasive measurement methods are highly damaging to patients, limiting the clinical application of FFR indicators.
The method for acquiring the FFR in a non-invasive way acquires the FFR index according to the medical image of the patient. In practical application, QSAnd QNAll are difficult to obtain indexes which are generally considered to be clinically
Figure BDA0002917517700000012
Therefore, it is often used in actual clinical practice
Figure BDA0002917517700000013
Instead of the former
Figure BDA0002917517700000014
To calculate FFR, and the formula for obtaining FFR is
Figure BDA0002917517700000015
Namely: stenotic distal coronary mean pressure with maximal hyperemia of myocardium
Figure BDA0002917517700000016
And mean pressure of coronary artery and oral aorta
Figure BDA0002917517700000017
The ratio of (a) to (b). However, the inventor finds that in the practical application,
Figure BDA0002917517700000018
and
Figure BDA0002917517700000019
there often exist differences between them, utilizing
Figure BDA00029175177000000110
Instead of the former
Figure BDA00029175177000000111
Calculating FFR introduces additional errors that affect the accuracy of FFR. In particular, when the stenotic position of the coronary artery is farther from the aorta, the error is also large, and the accuracy of the FFR acquired at this time is low.
Disclosure of Invention
In view of the above-mentioned shortcomings of the prior art, the present invention aims to provide a coronary fractional flow reserve acquisition system, method and medium, which are used to solve the problem of low accuracy of FFR acquisition in the prior art.
To achieve the above and other related objects, a first aspect of the present invention provides a coronary fractional flow reserve acquisition system, comprising: a medical image acquisition module for acquiring a medical image of a patient, the medical image comprising a cardiac region of the patient; the coronary artery model acquisition module is connected with the medical image acquisition module and is used for acquiring a first coronary artery model and a second coronary artery model of the patient according to the medical image; the first coronary model refers to an actual coronary model of a patient, and the second coronary model refers to a coronary model obtained after repairing at least one lesion of a coronary vessel of the patient; and the blood flow reserve fraction acquiring module is connected with the coronary model acquiring module and is used for acquiring the coronary blood flow reserve fraction of the patient according to the first coronary model and the second coronary model.
In an embodiment of the first aspect, the coronary model obtaining module includes a first coronary model obtaining sub-module and a second coronary model obtaining sub-module; the first coronary artery model obtaining sub-module is connected with the medical image obtaining module and used for segmenting the medical image to obtain the first coronary artery model; the second coronary artery model obtaining submodule is connected with the first coronary artery model obtaining submodule and is used for simulating and repairing at least one lesion of a coronary artery blood vessel of a patient in the first coronary artery model to obtain a second coronary artery model; or the second coronary artery model acquisition submodule is connected with the medical image acquisition module and is used for performing simulation restoration on at least one lesion of a coronary artery blood vessel of the patient in the medical image and segmenting the medical image after simulation restoration to acquire the second coronary artery model.
In an embodiment of the first aspect, the second coronary model obtaining sub-module includes: the first coronary artery model acquisition submodule is used for acquiring coronary artery stenosis parameters in the first coronary artery model; and the first simulation repairing unit is connected with the first lesion parameter obtaining unit and used for modifying the stenosis part of the first coronary artery model according to the lesion parameters so as to obtain the second coronary artery model.
In an embodiment of the first aspect, the second coronary model obtaining sub-module includes: the second lesion parameter acquisition unit is connected with the image acquisition module and is used for acquiring lesion parameters related to coronary stenosis in the medical image; the second simulation restoration unit is connected with the second lesion parameter acquisition unit and used for modifying the stenosis part of the coronary vessel of the patient in the medical image according to the lesion parameters so as to acquire the medical image after simulation restoration; and the image segmentation unit is connected with the second simulation restoration unit and is used for segmenting the medical image after simulation restoration so as to obtain the second coronary model.
In an embodiment of the first aspect, the coronary model obtaining module includes a third coronary model obtaining sub-module and a fourth coronary model obtaining sub-module; the third coronary artery model acquisition submodule is connected with the medical image acquisition module and used for segmenting the medical image to acquire the first coronary artery model; the fourth coronary artery model obtaining submodule is connected with the third coronary artery model obtaining submodule and is used for carrying out virtual treatment on at least one lesion of a coronary artery blood vessel of a patient in the first coronary artery model so as to obtain the second coronary artery model; or the fourth coronary artery model acquisition submodule is connected with the medical image acquisition module and is used for carrying out virtual treatment on at least one lesion of a coronary artery vessel of the patient in the medical image and segmenting the medical image after the virtual treatment so as to acquire the second coronary artery model.
In an embodiment of the first aspect, the fractional flow reserve acquisition module includes: the actual blood flow obtaining unit is connected with the coronary model obtaining module and used for obtaining the actual maximum blood flow of a target blood supply area according to the first coronary model; the ideal blood flow obtaining unit is connected with the coronary model obtaining module and is used for obtaining the ideal maximum blood flow of the target blood supply area according to the second coronary model; and the reserve fraction acquiring unit is connected with the actual blood flow acquiring unit and the ideal blood flow acquiring unit and is used for acquiring the reserve fraction of the coronary blood flow according to the actual maximum blood flow and the ideal maximum blood flow of the target blood supply area.
In an embodiment of the first aspect, the fractional flow reserve acquisition module includes: the actual pressure acquisition unit is connected with the coronary artery model acquisition module and used for acquiring the actual average pressure of a target position in the maximal hyperemia state of the myocardium according to the first coronary artery model, wherein the target position refers to the narrow far end of the coronary artery; the ideal pressure acquisition unit is connected with the coronary artery model acquisition module and used for acquiring ideal average pressure of the target position in the maximal hyperemia state of the myocardium according to the second coronary artery model; and the reserve fraction acquiring unit is connected with the actual pressure acquiring unit and the ideal pressure acquiring unit and is used for acquiring the reserve fraction of the coronary blood flow according to the actual average pressure and the ideal average pressure of the target position.
In an embodiment of the first aspect, the coronary fractional flow reserve acquisition system further includes: the user interaction module is connected with the medical image acquisition module and/or the coronary model acquisition module, is used for displaying the medical image, the first coronary model and/or the second coronary model, and is used for acquiring a model generation instruction and/or a model editing instruction input by a user; the coronary model obtaining module obtains the second coronary model according to the model generating instruction, and/or the coronary model obtaining module edits the first coronary model and/or the second coronary model according to the model editing instruction.
A second aspect of the present invention provides a coronary flow reserve fraction acquiring method, including: acquiring a medical image of a patient, the medical image comprising a cardiac region of the patient; acquiring a first coronary model and a second coronary model of a patient according to the medical image; the first coronary model refers to an actual coronary model of a patient, and the second coronary model refers to a coronary model obtained after repairing at least one lesion of a coronary vessel of the patient; and acquiring the coronary blood flow reserve fraction of the patient according to the first coronary model and the second coronary model.
A third aspect of the present invention provides a computer-readable storage medium having stored thereon a computer program which, when being executed by a processor, implements the fractional coronary flow reserve acquisition method according to the second aspect of the present invention.
As described above, one technical solution of the coronary flow reserve fraction acquiring system, method and medium of the present invention has the following beneficial effects:
the coronary flow reserve acquisition system can acquire a first coronary model of a patient according to a medical image of the patient and acquire a second coronary model of the patient according to the medical image of the patient or the first coronary model. The first coronary model refers to an actual coronary model of the patient, and the second coronary model refers to a coronary model obtained after repairing at least one lesion of a coronary vessel of the patient. According to the first coronary artery model, the maximum blood flow Q which can be obtained in the myocardial area provided by the blood vessel under the condition that coronary artery has stenosis can be obtainedSAccording to the second coronary artery model, the maximum blood flow Q which can be obtained under the condition that the same region is theoretically normal can be obtainedNBased on QSAnd QNThe coronary blood flow reserve fraction of the patient can be directly obtained. Therefore, the coronary flow reserve fraction acquiring system does not adopt the method for acquiring the coronary flow reserve fraction
Figure BDA0002917517700000041
To replace
Figure BDA0002917517700000042
Therefore, no additional error is introduced, so the coronary flow reserve fraction obtained by the coronary flow reserve fraction obtaining system has higher accuracy compared with the prior art, and especially when the narrow position of the coronary artery is far away from the aorta, the coronary flow reserve fraction obtaining system has more obvious advantages.
Drawings
Fig. 1 is a schematic structural diagram of a coronary flow reserve fraction acquiring system according to an embodiment of the present invention.
Fig. 2A is a schematic structural diagram of a coronary artery model obtaining module in an embodiment of the coronary artery fractional flow reserve obtaining system according to the present invention.
Fig. 2B is a schematic structural diagram of a second coronary artery model obtaining sub-module of the coronary artery fractional flow reserve obtaining system in an embodiment of the invention.
Fig. 2C is a partial blood vessel illustration of a first coronary model of the coronary fractional flow reserve acquisition system according to an embodiment of the invention.
Fig. 2D is a partial blood vessel illustration of a second coronary model of the coronary fractional flow reserve acquisition system according to an embodiment of the invention.
Fig. 3A is a schematic structural diagram of a coronary artery model obtaining module in an embodiment of the coronary artery fractional flow reserve obtaining system according to the present invention.
Fig. 3B is a schematic structural diagram of a second coronary artery model obtaining sub-module of the coronary artery fractional flow reserve obtaining system according to an embodiment of the present invention.
Fig. 4A is a schematic structural diagram of a coronary artery model obtaining module in an embodiment of the coronary artery fractional flow reserve obtaining system according to the present invention.
Fig. 4B is a schematic structural diagram of a coronary artery model obtaining module in an embodiment of the coronary artery fractional flow reserve obtaining system according to the present invention.
Fig. 5A is a schematic structural diagram of a fractional flow reserve acquisition module in an embodiment of the coronary artery fractional flow reserve acquisition system according to the present invention.
Fig. 5B is a schematic structural diagram of a fractional flow reserve acquisition module in an embodiment of the coronary artery fractional flow reserve acquisition system according to the present invention.
Fig. 6 is a flowchart illustrating a coronary flow reserve acquisition method according to an embodiment of the invention.
Description of the element reference numerals
1 coronary blood flow reserve fraction acquisition system
11 medical image acquisition module
12 coronary artery model acquisition module
121 first coronary artery model obtaining submodule
122 second coronary model obtaining submodule
1221 first lesion parameter acquiring unit
1222 first analog repair unit
1223 second lesion parameter acquiring unit
1224 second analog repair unit
1225 image segmentation unit
123 third coronary artery model obtaining submodule
124 fourth coronary model obtaining submodule
13 fractional flow reserve acquisition module
131 actual blood flow obtaining unit
132 ideal blood flow obtaining unit
133 reserve fraction acquisition unit
134 actual pressure acquisition unit
135 ideal pressure acquisition unit
136 reserve fraction acquiring unit
S61-S63
Detailed Description
The embodiments of the present invention are described below with reference to specific embodiments, and other advantages and effects of the present invention will be easily understood by those skilled in the art from the disclosure of the present specification. The invention is capable of other and different embodiments and of being practiced or of being carried out in various ways, and its several details are capable of modification in various respects, all without departing from the spirit and scope of the present invention. It is to be noted that the features in the following embodiments and examples may be combined with each other without conflict.
It should be noted that the drawings provided in the following embodiments are only for illustrating the basic idea of the present invention, and the drawings only show the components related to the present invention rather than being drawn according to the number, shape and size of the components in actual implementation, and the type, number and proportion of the components in actual implementation may be changed arbitrarily, and the layout of the components may be more complicated. Moreover, in this document, relational terms such as "first," "second," and the like may be used solely to distinguish one entity or action from another entity or action without necessarily requiring or implying any actual such relationship or order between such entities or actions.
In practical application, QSAnd QNAll are difficult to obtain indexes which are generally considered to be clinically
Figure BDA0002917517700000061
Therefore, it is often used in actual clinical practice
Figure BDA0002917517700000062
Instead of the former
Figure BDA0002917517700000063
To calculate FFR, and the formula for obtaining FFR is
Figure BDA0002917517700000064
Namely: stenotic distal coronary mean pressure with maximal hyperemia of myocardium
Figure BDA0002917517700000065
And mean pressure of coronary artery and oral aorta
Figure BDA0002917517700000066
The ratio of (a) to (b). However, the inventors have found in practical applications that use
Figure BDA0002917517700000067
Instead of the former
Figure BDA0002917517700000068
Calculating FFR relies on three assumptions, specifically:
Figure BDA0002917517700000069
at this time, let R beS=RNTo obtain
Figure BDA00029175177000000610
Then assume that
Figure BDA00029175177000000611
To obtain
Figure BDA00029175177000000612
Last hypothesis
Figure BDA00029175177000000613
To obtain
Figure BDA00029175177000000614
In the above formula, Q denotes maximum blood flow, P denotes pressure, R denotes coronary microcirculation resistance, subscript S denotes actual presence of stenosis of the coronary, subscript N denotes ideal absence of stenosis of the coronary, superscript a denotes proximal end of the stenosis location (usually coronary artery ostium aortic location), superscript d denotes distal end of the stenosis location, superscript v denotes vein location, for example,
Figure BDA00029175177000000615
which represents the pressure of the vein in the actual situation,
Figure BDA00029175177000000616
representing the pressure at the distal end of the stenosis site of the coronary in an ideal case. Thus, use is made of
Figure BDA00029175177000000617
Instead of the former
Figure BDA00029175177000000618
To calculate FFR depends on RS=RN
Figure BDA00029175177000000619
And
Figure BDA00029175177000000620
these three assumptions (equivalent to
Figure BDA00029175177000000621
This assumption), however, the above three assumptions are often not strictly true in practical applications, especially
Figure BDA00029175177000000622
This assumption is made. When the stenosis of the coronary artery is located farther from the aorta, it is assumed that
Figure BDA00029175177000000623
A large error is introduced resulting in a low accuracy of the obtained FFR.
In response to this problem, the present invention provides a coronary flow reserve fraction acquisition system. The coronary flow reserve acquisition system can acquire a first coronary model of a patient according to a medical image of the patient and acquire a second coronary model of the patient according to the medical image of the patient or the first coronary model. The first coronary model refers to an actual coronary model of the patient, and the second coronary model refers to a coronary model obtained after repairing at least one lesion of a coronary vessel of the patient. According to the first coronary artery model, the maximum blood flow Q which can be obtained in the myocardial area provided by the blood vessel under the condition that coronary artery has stenosis can be obtainedSAccording to the second coronary artery model, the maximum blood flow Q which can be obtained under the condition that the same region is theoretically normal can be obtainedNBased on QSAnd QNThe coronary blood flow reserve fraction of the patient can be directly obtained. Therefore, the coronary flow reserve fraction acquiring system does not adopt the method for acquiring the coronary flow reserve fraction
Figure BDA0002917517700000071
To replace
Figure BDA0002917517700000072
So that no additional error is introduced in the system,therefore, the coronary flow reserve fraction acquired by the coronary flow reserve fraction acquiring system has higher accuracy compared with the prior art, and especially when the narrow position of the coronary artery is far away from the aorta, the coronary flow reserve fraction acquiring system has more obvious advantages.
Referring to fig. 1, in an embodiment of the present invention, the coronary flowreserve acquisition system 1 includes a medical image acquisition module 11, a coronarymodel acquisition module 12, and a flowreserve acquisition module 13.
The medical image acquisition module 11 is configured to acquire a medical image of a patient, the medical image of the patient including a cardiac region of the patient. The medical image is preferably a CT angiography (CTA) image, and may be a CT perfusion image, a flat scan CT image, a DSA angiography image, or a medical image of a heart region obtained by scanning imaging such as X-ray, nuclear magnetic resonance, ultrasound, PET, SPECT, etc., or an intravascular image (e.g., optical coherence imaging, intravascular ultrasound), etc.
The coronary arterymodel obtaining module 12 is connected to the medical image obtaining module 11, and is configured to obtain a first coronary artery model and a second coronary artery model of the patient according to the medical image of the patient, where the first coronary artery model is an actual coronary artery model of the patient, and the first coronary artery model includes at least one stenosis of the patient. The second coronary model is obtained after repairing at least one lesion of the coronary vessel of the patient. The coronarymodel obtaining module 12 may obtain the second coronary model according to the first coronary model, and may also obtain the second coronary model according to the medical image of the patient. In a specific application, the coronarymodel obtaining module 12 may perform an algorithm automatic repair, a user manual repair, or a combination thereof on at least one lesion of the coronary vessel of the patient.
The fractional flowreserve acquisition module 13 is connected to the coronarymodel acquisition module 12, and is configured to acquire a fractional flow reserve of the coronary artery of the patient according to the first coronary model and the second coronary model.
As can be seen from the above description, the coronary flow reserve fraction acquiring system of the present embodiment acquires the coronary flow reserve fraction of the patient according to the first coronary model and the second coronary model, instead of using the first coronary model and the second coronary model
Figure BDA0002917517700000081
To replace
Figure BDA0002917517700000082
To obtain the coronary flow reserve fraction of the patient so that no additional error is introduced. Therefore, the coronary flow reserve fraction obtained in this embodiment has higher accuracy compared to the prior art, and especially when the stenosis position of the coronary artery is far from the aorta, the advantage of the coronary flow reserve fraction obtaining system of this embodiment is more obvious.
In an embodiment of the present invention, the medical image of the patient is a 3D image, and the 3D image is, for example, an image including three-dimensional voxel information obtained by imaging methods such as CT and nuclear magnetic resonance, or a three-dimensional image obtained by processing and calculating a plurality of two-dimensional images (e.g., DSA) from different angles. In this embodiment, the first coronary model and the second coronary model are both three-dimensional geometric models of coronary artery.
In an embodiment of the present invention, the coronary model obtaining module includes a first coronary model obtaining sub-module and a second coronary model obtaining sub-module.
Optionally, referring to fig. 2A, the first coronary artery model obtaining sub-module 121 is connected to the medical image obtaining module 11, and is configured to segment the medical image to obtain the first coronary artery model. The second coronary artery model obtaining sub-module 122 is connected to the first coronary artery model obtaining sub-module 121, and is configured to perform simulated repair on at least one lesion of a coronary artery of the patient in the first coronary artery model to obtain the second coronary artery model.
The first coronary model obtaining sub-module 121 may employ a neural network based image segmentation model (e.g., U-Net, V-Net, etc.) to segment the medical image to obtain the first coronary model. Specifically, the first coronary artery model obtaining sub-module 121 inputs the medical image into the image segmentation model, and obtains the first coronary artery model according to the output of the image segmentation model.
The first coronary-artery-model obtaining sub-module 121 may also segment the medical image by using a threshold method to obtain the first coronary-artery model. Specifically, the first coronary artery model obtaining sub-module 121 obtains a gray value range of a coronary artery blood vessel, and obtains all voxel points (or pixel points) located in the gray value range from the medical image, where a set formed by the voxel points (or pixel points) is the first coronary artery model.
Referring to fig. 2B, one implementation structure of the second coronary model obtaining sub-module 122 includes a first lesionparameter obtaining unit 1221 and a firstsimulation repairing unit 1222.
The first lesionparameter obtaining unit 1221 is connected to the first coronary model obtaining sub-module 121, and is configured to obtain a lesion parameter related to coronary stenosis in the first coronary model. The lesion parameters are, for example, a stenosis location of a coronary artery, a vessel centerline of the stenosis location, a cross section of a proximal end of the stenosis, and a cross section of a distal end of the stenosis (or, a vessel diameter of the proximal end of the stenosis, and a vessel diameter of the distal end of the stenosis). In a specific application, the first lesionparameter obtaining unit 1221 may use a stenosis detection algorithm to obtain at least one stenosis position in the first coronary artery model, and use an existing geometric method to obtain a vessel centerline, a cross section of a proximal end of the stenosis, and a cross section of a distal end of the stenosis (or a vessel diameter of the proximal end of the stenosis and a vessel diameter of the distal end of the stenosis) of the stenosis position.
One implementation of the stenosis detection algorithm is: according to the coronary artery blood vessel obtained by segmentation and the central line thereof, the diameters or the cross sections of different positions of the blood vessel are calculated along the central line, and the position of which the diameter or the cross section is smaller than a threshold value is selected as the narrow position of the coronary artery.
Another implementation of the stenosis detection algorithm is: the first coronary model of the patient is processed using an AI stenosis detection model to obtain the location of the coronary stenosis. The AI stenosis detection model is a trained deep learning network model, the training data of which comprises a plurality of coronary images marked with stenosis positions, and the stenosis positions of the coronary images can be marked manually in specific application; the training of the AI stenosis detection model can be implemented by using the existing training mode, which is not described herein in any more detail.
The firstsimulation repairing unit 1222 is connected to the first lesionparameter obtaining unit 1221, and is configured to modify the stenosis position of the first coronary artery model according to the lesion parameters to obtain an ideal blood vessel of the stenosis position when no stenosis lesion occurs, so as to obtain the second coronary artery model.
Specifically, for any stenosis position B, the firstsimulation repair unit 1222 may generate a geometric body with a specific shape, such as a cylinder, a truncated cone, etc., by using the center line of the blood vessel of the stenosis position B as a symmetry axis and using the cross section of the proximal end of the stenosis and the cross section of the distal end of the stenosis as end surfaces, and use the geometric body with the specific shape to replace the blood vessel of the stenosis position B to obtain the second coronary model. Alternatively, the firstsimulation repairing unit 1222 may use the center line of the blood vessel at the stenosis position B as a symmetry axis, generate a geometry with a specific shape according to the diameter of the blood vessel at the proximal end of the stenosis and the diameter of the blood vessel at the distal end of the stenosis, and replace the blood vessel at the stenosis position B with the geometry with the specific shape to obtain the second coronary model. For example, please refer to fig. 2C and 2D, wherein fig. 2C is a diagram illustrating an example of a blood vessel at a stenosis position in a first coronary model, and fig. 2D is a diagram illustrating a result of modifying the blood vessel at the stenosis position shown in fig. 2C.
Optionally, referring to fig. 3A, the first coronary artery model obtaining sub-module 121 is connected to the medical image obtaining module 11, and is configured to segment the medical image to obtain the first coronary artery model. The second coronary artery model obtaining sub-module 122 is connected to the medical image obtaining module 11, and is configured to perform simulated repair on at least one lesion of a coronary artery blood vessel of the patient in the medical image, and segment the medical image after the simulated repair to obtain the second coronary artery model.
Referring to fig. 3B, one implementation structure of the second coronary model obtaining sub-module 122 includes a second lesionparameter obtaining unit 1223, a secondsimulation repairing unit 1224, and animage segmentation unit 1225.
The second lesionparameter acquiring unit 1223 is connected to the image acquiring module 11, and is configured to acquire a lesion parameter related to coronary stenosis in the medical image. The lesion parameters are, for example, a stenosis location of a coronary artery, a vessel centerline of the stenosis location, a cross section of a proximal end of the stenosis, and a cross section of a distal end of the stenosis (or, a vessel diameter of the proximal end of the stenosis, and a vessel diameter of the distal end of the stenosis). In a specific application, the second lesionparameter obtaining unit 1223 may use a stenosis detection algorithm to obtain at least one stenosis position in the medical image, and use an existing geometric method to obtain a vessel centerline, a cross section of a proximal end of the stenosis, and a cross section of a distal end of the stenosis (or a vessel diameter of the proximal end of the stenosis and a vessel diameter of the distal end of the stenosis) of the stenosis position.
The secondsimulated repair unit 1224 is connected to the second lesionparameter obtaining unit 1223, and is configured to modify the stenosis of the coronary vessel of the patient in the medical image according to the lesion parameter, so as to obtain the medical image after the simulated repair. The secondsimulation repair unit 1224 modifies the stenosis of the coronary vessel of the patient similarly to thefirst simulation unit 1222, and the details are not repeated here.
Theimage segmentation unit 1225 is connected to the secondsimulated repair unit 1224, and is configured to segment the medical image after the simulated repair to obtain the second coronary model. Specifically, theimage segmentation unit 1225 may segment the medical image after the simulated restoration by using an image segmentation model based on a neural network or a thresholding method.
According to the above description, the embodiment provides a method for obtaining a second coronary model by automatically repairing coronary vascular disease of a patient by using an algorithm, and in a specific application, the second coronary model may be directly used to obtain a coronary blood flow reserve fraction of the patient, or may be further modified manually on the basis of the second coronary model to obtain a more accurate second coronary model.
In an embodiment of the present invention, the coronary model obtaining module includes a third coronary model obtaining sub-module and a fourth coronary model obtaining sub-module.
Optionally, referring to fig. 4A, the third coronary artery model obtaining sub-module 123 is connected to the medical image obtaining module 11, and is configured to segment the medical image to obtain the first coronary artery model. The fourth coronary arterymodel obtaining submodule 124 is connected to the third coronary arterymodel obtaining submodule 123, and is configured to perform virtual treatment on at least one lesion of a coronary artery blood vessel of the patient in the first coronary artery model, so as to obtain the second coronary artery model. The manner of segmenting the medical image to obtain the first coronary artery model is similar to that of the first coronary arterymodel obtaining submodule 121, and details are not repeated here.
After the first coronary artery model is obtained, the fourth coronary arterymodel obtaining submodule 124 obtains the stenosis position of the coronary artery in the first coronary artery model by using a stenosis detection algorithm, based on this, the fourth coronary arterymodel obtaining submodule 124 performs virtual treatment on at least one stenosis position of the coronary artery blood vessel of the patient, the virtual treatment method is, for example, a virtual stent implantation technology or a virtual balloon dilatation technology, and the obtained coronary artery model after the virtual treatment is completed is the second coronary artery model.
Specifically, the virtual stent implantation technology means that the fourth coronary arterymodel obtaining submodule 124 implants a virtual stent into the stenosis position, so that the blood vessel at the stenosis position returns to a normal state under the supporting action of the virtual stent, thereby implementing the virtual treatment.
The virtual balloon dilatation technique means that the fourth coronary arterymodel obtaining submodule 124 implants a virtual balloon type implant into the stenosis position, a load is arranged in the virtual balloon type implant, and after the virtual balloon type implant is implanted into the blood vessel three-dimensional model, the internal load of the virtual balloon type implant expands under the action of external force to enable the balloon type implant to generate plastic deformation, so that the blood vessel at the stenosis position is supported to expand outwards and finally returns to a normal state, and the virtual treatment is achieved. Wherein the method of load expansion in the virtual balloon-type implant includes, but is not limited to, inflating it.
Optionally, referring to fig. 4B, the third coronary artery model obtaining sub-module 123 is connected to the medical image obtaining module 11, and is configured to segment the medical image to obtain the first coronary artery model. The fourth coronary artery model obtaining sub-module 124 is connected to the medical image obtaining module 11, and is configured to perform virtual treatment on at least one lesion of a coronary artery blood vessel of the patient in the medical image, and segment the medical image after the virtual treatment to obtain the second coronary artery model.
Referring to fig. 5A, in an embodiment of the present invention, the fractional flowreserve acquisition module 13 includes an actual bloodflow acquisition unit 131, an ideal bloodflow acquisition unit 132, and a fractionalreserve acquisition unit 133.
The actual bloodflow obtaining unit 131 is connected to the coronarymodel obtaining module 12, and is configured to obtain an actual maximum blood flow Q of the target blood supply area according to the first coronary modelSWherein the actual bloodflow obtaining unit 131 obtains QSIncluding but not limited to fluid dynamics simulation, deep learning, etc.
The ideal bloodflow obtaining unit 132 is connected to the coronarymodel obtaining module 12, and is used for obtaining the ideal maximum blood flow Q of the target blood supply area according to the second coronary modelNWherein the ideal bloodflow obtaining unit 132 obtains QNIncluding but not limited to fluid dynamics simulation, deep learning, etc.
The reservefraction acquiring unit 133 is connected to the actual bloodflow acquiring unit 131 and the ideal bloodflow acquiring unit 132, and is used for acquiring the actual maximum blood flow and the ideal maximum blood flow of the target blood supply regionThe coronary flow reserve fraction, wherein the coronary flow reserve fraction
Figure BDA0002917517700000111
As can be seen from the above description, the present embodiment can directly obtain the actual maximum blood flow Q of the target blood supply areaSAnd ideal maximum blood flow rate QNAnd according to QSAnd QNTo obtain the coronary flow reserve fraction. In the course of which no use is made
Figure BDA0002917517700000112
To replace
Figure BDA0002917517700000113
No additional error is introduced.
The inventor finds out through research and practice that,
Figure BDA0002917517700000114
the value of (A) is equal to the ratio of the average pressure in the actual stenotic distal coronary artery under the maximal hyperemia state of the myocardium to the average pressure at the position without stenotic lesion under the ideal condition, and the ratio of the average pressure at the position without stenotic lesion under the ideal condition cannot be obtained in the prior art, so that the value can be selected for use
Figure BDA0002917517700000115
To replace
Figure BDA0002917517700000121
To address this problem, referring to fig. 5B, in an embodiment of the present invention, thefraction obtaining module 13 includes an actualpressure obtaining unit 134, an idealpressure obtaining unit 135, and a reservefraction obtaining unit 136.
The actualpressure obtaining unit 134 is connected to the coronary arterymodel obtaining module 12, and is configured to obtain an actual average pressure of the target position in a maximal hyperemia state of the myocardium according to the first coronary artery model
Figure BDA0002917517700000122
Wherein the target position is a narrow distal end of a coronary artery, and the actualpressure obtaining unit 134 obtains
Figure BDA0002917517700000123
Including but not limited to fluid dynamics simulation, deep learning, etc.
The idealpressure obtaining unit 135 is connected to the coronarymodel obtaining module 12, and is configured to obtain an ideal average pressure of the target position in the maximal hyperemia state of the myocardium according to the second coronary model
Figure BDA0002917517700000124
The idealpressure obtaining unit 135 obtains
Figure BDA0002917517700000125
Including but not limited to fluid dynamics simulation, deep learning, etc.
The reservefraction acquiring unit 136 is connected to the actualpressure acquiring unit 134 and the idealpressure acquiring unit 135, and is used for acquiring the actual average pressure according to the target position
Figure BDA0002917517700000126
And ideal average pressure
Figure BDA0002917517700000127
Obtaining the coronary flow reserve fraction, wherein the coronary flow reserve fraction
Figure BDA0002917517700000128
As can be seen from the above description, the present embodiment can directly obtain the actual average pressure of the target position in the maximal hyperemia state of the myocardium
Figure BDA0002917517700000129
And mean pressure
Figure BDA00029175177000001210
And according to
Figure BDA00029175177000001211
And
Figure BDA00029175177000001212
to obtain the coronary flow reserve fraction. In the course of which no use is made
Figure BDA00029175177000001213
To replace
Figure BDA00029175177000001214
No additional error is introduced.
In an embodiment of the invention, the coronary flow reserve acquisition system further includes a user interaction module.
Optionally, the user interaction module is connected to the medical image acquisition module and/or the coronary model acquisition module for displaying the medical image and/or the first coronary model. And the user inputs corresponding parameter labeling instructions by using a tool provided by the user interaction module through observing the medical image and/or the first coronary model. The coronary artery model obtaining module obtains lesion parameters related to coronary artery stenosis in the medical image and/or the first coronary artery model according to a parameter marking instruction input by a user. For example, a user may input a parameter annotation instruction through an input device such as a mouse by using a tool such as a brush and an eraser provided by the user interaction module (for example, a corresponding tool icon may be clicked by using the mouse, and the parameter annotation instruction may be input in a manner of dragging, clicking, or frame-selecting), so as to annotate parameters such as a stenosis position, a stenosis proximal end, a stenosis distal end, a blood vessel center line, a cross section of the stenosis proximal end, and/or a cross section of the stenosis distal end in the medical image and/or the first coronary artery model, and the coronary artery model obtaining module may obtain the corresponding lesion parameter according to a labeling result of the user.
In addition, when the coronary artery model obtaining module adopts an algorithm to automatically obtain the lesion parameters, the user interaction module is further configured to label the lesion parameters in the medical image and/or the first coronary artery model, and a user inputs a corresponding parameter modification instruction by using a tool provided by the user interaction module by observing the lesion parameters labeled in the medical image and/or the first coronary artery model label. And the coronary model acquisition module modifies the lesion parameters automatically acquired by the algorithm according to a parameter modification instruction input by a user. For example, when the user observes that the blood vessel center line automatically acquired by the algorithm is not accurate enough, a parameter modification instruction may be input by using an input device such as a mouse and a tool such as a painting brush and an eraser provided by the user interaction module (for example, the parameter modification instruction may be input by clicking a corresponding tool icon with the mouse and dragging, clicking, or frame-selecting the corresponding tool icon), so as to adjust the blood vessel center line in the medical image and/or the first coronary artery model. Preferably, the user interaction module further provides a control point for a user, and the user can edit the spline curve, the curved surface, the entity and the like by selecting and dragging the control point through a mouse.
Optionally, the user interaction module is connected to the medical image acquisition module for displaying the medical image. The user inputs corresponding model generation instructions by observing the medical image using the tool provided by the user interaction module. The coronary model generation module is used for segmenting the medical image according to a model generation instruction input by a user so as to obtain the first coronary model. For example, a user may input a model generation instruction through an input device such as a mouse by using a tool such as a brush or an eraser provided by the user interaction module (for example, a corresponding tool icon may be clicked by using the mouse, and the model generation instruction may be input in a manner of dragging, clicking, or frame selection), so as to segment the medical image, thereby segmenting coronary vessels from the medical image, and obtaining the first coronary model.
In addition, when the coronary model obtaining module adopts an algorithm to automatically obtain the first coronary model, the user interaction interface is further used for displaying the first coronary model. And the user inputs a corresponding model editing instruction by using a tool provided by the user interaction module by observing the first coronary model. And the coronary model generating module edits the first coronary model according to a model editing instruction input by a user. For example, when the user observes that the boundary of the first coronary artery model is inaccurate, a tool such as a brush or an eraser provided by the user interaction module may be used to input a model editing instruction through an input device such as a mouse (for example, the corresponding tool icon may be clicked through the mouse, and the model editing instruction may be input in a manner of dragging, clicking, or frame selection) so as to adjust the boundary of the first coronary artery model.
Optionally, the user interaction module is connected to the medical image acquisition module for displaying the medical image. The user inputs corresponding model generation instructions by observing the medical image using the tool provided by the user interaction module. And the coronary model generation module is used for repairing at least one lesion of a coronary vessel of a patient in the medical image according to a model generation instruction input by a user and segmenting the repaired medical image to obtain the second coronary model. For example, when a user observes a stenosis in the medical image, a tool such as a brush or an eraser provided by the user interaction module may be used to input a model generation instruction (for example, the corresponding tool icon may be clicked by using a mouse, and the model generation instruction may be input by dragging, clicking, or frame-selecting) through an input device such as a mouse, so as to modify a vessel centerline, a vessel cross-section, and/or a vessel wall of at least one stenosis position in the medical image, so as to restore a normal state of the vessel centerline, the vessel cross-section, and/or the vessel wall of the at least one stenosis position, so as to repair the lesion of the at least one stenosis position; after the repair is completed, a user can continue to input the model generation instruction by using a tool such as a painting brush and an eraser provided by the user interaction module through an input device such as a mouse to segment the medical image, so that coronary vessels are segmented from the medical image to obtain the second coronary model.
Optionally, the user interaction module is connected to the coronary model obtaining module, and is configured to display the first coronary model. The first coronary module can be automatically generated by an algorithm or manually generated by a user through a model generation instruction. And the user inputs a corresponding model generation instruction by using a tool provided by the user interaction module through observing the first coronary model. And the coronary model generation module is used for repairing at least one lesion of a coronary vessel of a patient in the first coronary model according to a model generation instruction input by a user so as to obtain the second coronary model. For example, when a user observes a stenosis in the first coronary artery model, a tool such as a brush and an eraser provided by the user interaction module may be used to input a model generation instruction through an input device such as a mouse to modify a vessel centerline, a vessel cross-section, and/or a vessel wall of at least one stenosis position in the first coronary artery model (for example, the corresponding tool icon may be clicked by using the mouse, and the model generation instruction may be input in a dragging, clicking, or frame selecting manner, and the like), so that the vessel centerline, the vessel cross-section, and/or the vessel wall of the at least one stenosis position may be restored to a normal state, thereby repairing the lesion of the at least one stenosis position, and obtaining the second coronary artery model after the repair.
Optionally, the user interaction module is connected to the coronary model obtaining module, and is configured to display the second coronary model. And the second coronary model is automatically obtained by the coronary model obtaining module by adopting an algorithm. And the user inputs a corresponding model editing instruction by using a tool provided by the user interaction module by observing the second coronary model. And the coronary model generating module edits the second coronary model according to a model editing instruction input by a user. For example, when the user observes that the boundary of the second coronary artery model is inaccurate, a tool such as a brush or an eraser provided by the user interaction module may be used to input a model editing instruction through an input device such as a mouse (for example, the corresponding tool icon may be clicked through the mouse, and the model editing instruction may be input in a manner of dragging, clicking, or frame selection) so as to adjust the boundary of the second coronary artery model.
In an embodiment of the present invention, the user interaction module is further configured to receive an automatic repair instruction input by a user, so as to trigger the coronary artery model obtaining module to automatically repair the first coronary artery model and/or the medical image. For example, when the user inputs the automatic repair instruction by clicking a certain stenosis position C with a mouse, the simulated repair module starts to repair the stenosis at the stenosis position C according to the automatic repair instruction.
Based on the above description of the coronary flow reserve fraction acquiring system, the present invention further provides a coronary flow reserve fraction acquiring method, and the coronary flow reserve fraction can be realized by using the coronary flow reserve fraction acquiring system shown in fig. 1. Referring to fig. 6, in an embodiment of the present invention, the method for obtaining coronary flow reserve fraction includes:
s61, a medical image of the patient is acquired, the medical image including a cardiac region of the patient.
S62, acquiring a first coronary artery model and a second coronary artery model of the patient according to the medical image; the first coronary model refers to an actual coronary model of the patient, and the second coronary model refers to a coronary model obtained after repairing at least one lesion of a coronary vessel of the patient.
S63, obtaining the coronary blood flow reserve fraction of the patient according to the first coronary model and the second coronary model.
Based on the above description of the coronary flow reserve fraction acquiring method, the present invention also provides a computer-readable storage medium having stored thereon a computer program which, when executed by a processor, implements the coronary flow reserve fraction acquiring method shown in fig. 6.
The protection scope of the coronary flow reserve fraction calculation method according to the present invention is not limited to the execution sequence of the steps listed in the embodiment, and all the schemes of adding, subtracting, and replacing the steps in the prior art according to the principle of the present invention are included in the protection scope of the present invention.
The invention also provides a coronary flow reserve fraction acquiring system, which can realize the coronary flow reserve fraction acquiring method, but the device for realizing the coronary flow reserve fraction acquiring method comprises but is not limited to the structure of the coronary flow reserve fraction acquiring system, and all structural modifications and replacements in the prior art made according to the principle of the invention are included in the protection scope of the invention.
The coronary flow reserve acquisition system can acquire a first coronary model of a patient according to a medical image of the patient and acquire a second coronary model of the patient according to the medical image of the patient or the first coronary model. The first coronary model refers to an actual coronary model of the patient, and the second coronary model refers to a coronary model obtained after repairing at least one lesion of a coronary vessel of the patient. According to the first coronary artery model, the maximum blood flow Q which can be obtained in the myocardial area provided by the blood vessel under the condition that coronary artery has stenosis can be obtainedSAccording to the second coronary artery model, the maximum blood flow Q which can be obtained under the condition that the same region is theoretically normal can be obtainedNBased on QSAnd QNThe coronary blood flow reserve fraction of the patient can be directly obtained. Therefore, the coronary flow reserve fraction acquiring system does not adopt the method for acquiring the coronary flow reserve fraction
Figure BDA0002917517700000151
To replace
Figure BDA0002917517700000152
Therefore, no additional error is introduced, so the coronary flow reserve fraction obtained by the coronary flow reserve fraction obtaining system has higher accuracy compared with the prior art, and especially when the narrow position of the coronary artery is far away from the aorta, the coronary flow reserve fraction obtaining system has more obvious advantages.
In conclusion, the present invention effectively overcomes various disadvantages of the prior art and has high industrial utilization value.
The foregoing embodiments are merely illustrative of the principles and utilities of the present invention and are not intended to limit the invention. Any person skilled in the art can modify or change the above-mentioned embodiments without departing from the spirit and scope of the present invention. Accordingly, it is intended that all equivalent modifications or changes which can be made by those skilled in the art without departing from the spirit and technical spirit of the present invention be covered by the claims of the present invention.

Claims (10)

1. A coronary flow reserve fraction acquiring system, comprising:
a medical image acquisition module for acquiring a medical image of a patient, the medical image comprising a cardiac region of the patient;
the coronary artery model acquisition module is connected with the medical image acquisition module and is used for acquiring a first coronary artery model and a second coronary artery model of the patient according to the medical image; the first coronary model refers to an actual coronary model of a patient, and the second coronary model refers to a coronary model obtained after repairing at least one lesion of a coronary vessel of the patient;
and the blood flow reserve fraction acquiring module is connected with the coronary model acquiring module and is used for acquiring the coronary blood flow reserve fraction of the patient according to the first coronary model and the second coronary model.
2. The coronary flow reserve fraction acquisition system according to claim 1, wherein the coronary model acquisition module comprises a first coronary model acquisition submodule and a second coronary model acquisition submodule;
the first coronary artery model obtaining sub-module is connected with the medical image obtaining module and used for segmenting the medical image to obtain the first coronary artery model;
the second coronary artery model obtaining submodule is connected with the first coronary artery model obtaining submodule and is used for simulating and repairing at least one lesion of a coronary artery blood vessel of a patient in the first coronary artery model to obtain a second coronary artery model; or,
the second coronary artery model acquisition submodule is connected with the medical image acquisition module and used for performing simulation restoration on at least one lesion of a coronary artery vessel of a patient in the medical image and segmenting the medical image after simulation restoration to acquire the second coronary artery model.
3. The coronary flow reserve acquisition system of claim 2, wherein the second coronary model acquisition submodule comprises:
the first coronary artery model acquisition submodule is used for acquiring coronary artery stenosis parameters in the first coronary artery model;
and the first simulation repairing unit is connected with the first lesion parameter obtaining unit and used for modifying the stenosis part of the first coronary artery model according to the lesion parameters so as to obtain the second coronary artery model.
4. The coronary flow reserve acquisition system of claim 2, wherein the second coronary model acquisition submodule comprises:
the second lesion parameter acquisition unit is connected with the image acquisition module and is used for acquiring lesion parameters related to coronary stenosis in the medical image;
the second simulation restoration unit is connected with the second lesion parameter acquisition unit and used for modifying the stenosis part of the coronary vessel of the patient in the medical image according to the lesion parameters so as to acquire the medical image after simulation restoration;
and the image segmentation unit is connected with the second simulation restoration unit and is used for segmenting the medical image after simulation restoration so as to obtain the second coronary model.
5. The coronary flow reserve fraction acquisition system of claim 1, wherein the coronary model acquisition module comprises a third coronary model acquisition submodule and a fourth coronary model acquisition submodule;
the third coronary artery model acquisition submodule is connected with the medical image acquisition module and used for segmenting the medical image to acquire the first coronary artery model;
the fourth coronary artery model obtaining submodule is connected with the third coronary artery model obtaining submodule and is used for carrying out virtual treatment on at least one lesion of a coronary artery blood vessel of a patient in the first coronary artery model so as to obtain the second coronary artery model; or
The fourth coronary artery model obtaining submodule is connected with the medical image obtaining module and used for carrying out virtual treatment on at least one lesion of a coronary artery vessel of a patient in the medical image and segmenting the medical image after the virtual treatment so as to obtain the second coronary artery model.
6. The coronary flow reserve acquisition system of claim 1, wherein the flow reserve acquisition module comprises:
the actual blood flow obtaining unit is connected with the coronary model obtaining module and used for obtaining the actual maximum blood flow of a target blood supply area according to the first coronary model;
the ideal blood flow obtaining unit is connected with the coronary model obtaining module and is used for obtaining the ideal maximum blood flow of the target blood supply area according to the second coronary model;
and the reserve fraction acquiring unit is connected with the actual blood flow acquiring unit and the ideal blood flow acquiring unit and is used for acquiring the reserve fraction of the coronary blood flow according to the actual maximum blood flow and the ideal maximum blood flow of the target blood supply area.
7. The coronary flow reserve acquisition system of claim 1, wherein the flow reserve acquisition module comprises:
the actual pressure acquisition unit is connected with the coronary artery model acquisition module and used for acquiring the actual average pressure of a target position in the maximal hyperemia state of the myocardium according to the first coronary artery model, wherein the target position refers to the narrow far end of the coronary artery;
the ideal pressure acquisition unit is connected with the coronary artery model acquisition module and used for acquiring ideal average pressure of the target position in the maximal hyperemia state of the myocardium according to the second coronary artery model;
and the reserve fraction acquiring unit is connected with the actual pressure acquiring unit and the ideal pressure acquiring unit and is used for acquiring the reserve fraction of the coronary blood flow according to the actual average pressure and the ideal average pressure of the target position.
8. The coronary fractional flow reserve acquisition system of claim 1, further comprising:
the user interaction module is connected with the medical image acquisition module and/or the coronary model acquisition module, is used for displaying the medical image, the first coronary model and/or the second coronary model, and is used for acquiring a model generation instruction and/or a model editing instruction input by a user; the coronary model obtaining module obtains the second coronary model according to the model generating instruction, and/or the coronary model obtaining module edits the first coronary model and/or the second coronary model according to the model editing instruction.
9. A coronary flow reserve fraction acquiring method is characterized by comprising the following steps:
acquiring a medical image of a patient, the medical image comprising a cardiac region of the patient;
acquiring a first coronary model and a second coronary model of a patient according to the medical image; the first coronary model refers to an actual coronary model of a patient, and the second coronary model refers to a coronary model obtained after repairing at least one lesion of a coronary vessel of the patient;
and acquiring the coronary blood flow reserve fraction of the patient according to the first coronary model and the second coronary model.
10. A computer-readable storage medium having stored thereon a computer program, characterized in that: the computer program when executed by a processor implements the fractional coronary flow reserve acquisition method of claim 9.
CN202110105368.4A2021-01-262021-01-26Coronary blood flow reserve fraction acquisition system, method and mediumPendingCN112950537A (en)

Priority Applications (2)

Application NumberPriority DateFiling DateTitle
CN202110105368.4ACN112950537A (en)2021-01-262021-01-26Coronary blood flow reserve fraction acquisition system, method and medium
PCT/CN2021/137375WO2022160973A1 (en)2021-01-262021-12-13Coronary fractional flow reserve obtaining system and method, and medium

Applications Claiming Priority (1)

Application NumberPriority DateFiling DateTitle
CN202110105368.4ACN112950537A (en)2021-01-262021-01-26Coronary blood flow reserve fraction acquisition system, method and medium

Publications (1)

Publication NumberPublication Date
CN112950537Atrue CN112950537A (en)2021-06-11

Family

ID=76237184

Family Applications (1)

Application NumberTitlePriority DateFiling Date
CN202110105368.4APendingCN112950537A (en)2021-01-262021-01-26Coronary blood flow reserve fraction acquisition system, method and medium

Country Status (2)

CountryLink
CN (1)CN112950537A (en)
WO (1)WO2022160973A1 (en)

Cited By (8)

* Cited by examiner, † Cited by third party
Publication numberPriority datePublication dateAssigneeTitle
CN113397579A (en)*2021-07-232021-09-17上海友脉科技有限责任公司Hemodynamics analysis device, method, medium, and electronic device
CN113408152A (en)*2021-07-232021-09-17上海友脉科技有限责任公司Coronary artery bypass transplantation simulation system, method, medium and electronic device
CN114742821A (en)*2022-05-182022-07-12深圳睿心智能医疗科技有限公司Fractional flow reserve measuring method and device based on medical image
CN114820566A (en)*2022-05-182022-07-29深圳睿心智能医疗科技有限公司 Microcirculation resistance coefficient measurement method and device based on medical imaging
WO2022160973A1 (en)*2021-01-262022-08-04上海杏脉信息科技有限公司Coronary fractional flow reserve obtaining system and method, and medium
CN114882099A (en)*2022-04-222022-08-09中国人民解放军陆军第九五〇医院Coronary blood vessel blood supply amount analysis device and operation method
CN116509361A (en)*2023-04-272023-08-01深圳睿心智能医疗科技有限公司Method, device, system and storage medium for determining fractional flow reserve
CN119887765A (en)*2025-03-272025-04-25吉林大学Calculation method and system based on real-time blood vessel image fractional flow reserve

Families Citing this family (2)

* Cited by examiner, † Cited by third party
Publication numberPriority datePublication dateAssigneeTitle
CN116051458A (en)*2022-11-232023-05-02杭州脉流科技有限公司Method and computer device for estimating post-operative coronary fractional flow reserve based on pre-operative coronary angiography images
CN116313101B (en)*2023-04-182025-09-05华北电力大学(保定) A method, system, device and medium for determining coronary artery blood flow reserve fraction

Citations (5)

* Cited by examiner, † Cited by third party
Publication numberPriority datePublication dateAssigneeTitle
CN103270513A (en)*2010-08-122013-08-28哈特弗罗公司 Methods and systems for patient-specific blood flow modeling
CN104081401A (en)*2011-11-102014-10-01西门子公司Method and system for multi-scale anatomical and functional modeling of coronary circulation
CN105249954A (en)*2014-06-302016-01-20西门子公司Method and system for prediction of post-stenting hemodynamic metrics for treatment planning of arterial stenosis
CN106659399A (en)*2014-05-052017-05-10西门子保健有限责任公司Method and system for non-invasive functional assessment of coronary artery stenosis using flow computations in diseased and hypothetical normal anatomical models
US20180089829A1 (en)*2015-05-122018-03-29Singapore Health Services Pte LtdMedical image processing methods and systems

Family Cites Families (3)

* Cited by examiner, † Cited by third party
Publication numberPriority datePublication dateAssigneeTitle
CN109846500B (en)*2019-03-152025-01-24杭州晟视科技有限公司 A method and device for determining coronary blood flow reserve fraction
CN111134651B (en)*2019-12-092022-03-08杭州脉流科技有限公司Method, device and system for calculating fractional flow reserve based on intracavity images and computer storage medium
CN112950537A (en)*2021-01-262021-06-11上海友脉科技有限责任公司Coronary blood flow reserve fraction acquisition system, method and medium

Patent Citations (5)

* Cited by examiner, † Cited by third party
Publication numberPriority datePublication dateAssigneeTitle
CN103270513A (en)*2010-08-122013-08-28哈特弗罗公司 Methods and systems for patient-specific blood flow modeling
CN104081401A (en)*2011-11-102014-10-01西门子公司Method and system for multi-scale anatomical and functional modeling of coronary circulation
CN106659399A (en)*2014-05-052017-05-10西门子保健有限责任公司Method and system for non-invasive functional assessment of coronary artery stenosis using flow computations in diseased and hypothetical normal anatomical models
CN105249954A (en)*2014-06-302016-01-20西门子公司Method and system for prediction of post-stenting hemodynamic metrics for treatment planning of arterial stenosis
US20180089829A1 (en)*2015-05-122018-03-29Singapore Health Services Pte LtdMedical image processing methods and systems

Cited By (11)

* Cited by examiner, † Cited by third party
Publication numberPriority datePublication dateAssigneeTitle
WO2022160973A1 (en)*2021-01-262022-08-04上海杏脉信息科技有限公司Coronary fractional flow reserve obtaining system and method, and medium
CN113397579A (en)*2021-07-232021-09-17上海友脉科技有限责任公司Hemodynamics analysis device, method, medium, and electronic device
CN113408152A (en)*2021-07-232021-09-17上海友脉科技有限责任公司Coronary artery bypass transplantation simulation system, method, medium and electronic device
CN114882099A (en)*2022-04-222022-08-09中国人民解放军陆军第九五〇医院Coronary blood vessel blood supply amount analysis device and operation method
CN114742821A (en)*2022-05-182022-07-12深圳睿心智能医疗科技有限公司Fractional flow reserve measuring method and device based on medical image
CN114820566A (en)*2022-05-182022-07-29深圳睿心智能医疗科技有限公司 Microcirculation resistance coefficient measurement method and device based on medical imaging
CN114742821B (en)*2022-05-182025-04-04深圳睿心智能医疗科技有限公司 Blood flow reserve fraction measurement method and device based on medical imaging
CN114820566B (en)*2022-05-182025-08-22深圳睿心智能医疗科技有限公司 Microcirculatory resistance coefficient measurement method and device based on medical imaging
CN116509361A (en)*2023-04-272023-08-01深圳睿心智能医疗科技有限公司Method, device, system and storage medium for determining fractional flow reserve
CN119887765A (en)*2025-03-272025-04-25吉林大学Calculation method and system based on real-time blood vessel image fractional flow reserve
CN119887765B (en)*2025-03-272025-06-24吉林大学 Method and system for calculating blood flow reserve fraction based on real-time vascular images

Also Published As

Publication numberPublication date
WO2022160973A1 (en)2022-08-04

Similar Documents

PublicationPublication DateTitle
CN112950537A (en)Coronary blood flow reserve fraction acquisition system, method and medium
JP6918912B2 (en) Image processing equipment, image processing methods, and programs
US12236600B2 (en)Vascular characteristic determination based on multiple images identifying a common vascular segment with correspondence modeling of a vascular tree
JP7304367B2 (en) Stent expansion display, system and method
CN109074870B (en)System and method for identifying and modeling unresolved vessels
CN108186038B (en)System for calculating coronary blood flow reserve fraction based on arteriography image
CN106659399B (en)Method and system for non-invasive functional assessment of coronary artery stenosis using flow calculations in diseased and hypothetical normal anatomical models
KR101910233B1 (en)Systems and methods for numerically evaluating vasculature
CN104837407B (en)Blood vessel analysis device, medical image diagnosis device, and blood vessel analysis method
CN106537392B (en)Method and system for hemodynamic computation in coronary arteries
JP7023715B2 (en) A programmable processor-based computer device of an intravascular imaging system for detecting how the system operates to determine stent strut coverage within a blood vessel and the area where the stent is placed.
JP6362851B2 (en) Blood vessel analysis device, blood vessel analysis program, and blood vessel analysis device operating method
EP3160335A1 (en)Apparatus for determining a fractional flow reserve value
JP6382304B2 (en) Medical imaging system
JP6749917B2 (en) iFR-CT
JP6726714B2 (en) Method of operating system for detecting intravascular probe marker, and method of operating system for superimposing and registering angiographic data and intravascular data acquired for a blood vessel
Kousera et al.Patient-specific coronary stenoses can be modeled using a combination of OCT and flow velocities to accurately predict hyperemic pressure gradients
CN115115735B (en)Rapid calculation system of endothelial dynamic strain based on multi-phase coronary CT contrast
CN105662451B (en)A kind of aorta images treating method and apparatus
EP4408297A1 (en)Intraluminal ultrasound vessel segment identification and associated devices, systems, and methods
JP2015217113A (en)Blood vessel analysis device, medical image diagnostic device, blood vessel analysis method, and blood vessel analysis program
JP6675458B2 (en) Blood vessel analysis device, blood vessel analysis method, and blood vessel analysis program
CN113408152B (en)Coronary artery bypass grafting simulation system, method, medium and electronic equipment
EP4623833A1 (en)Providing feedback during balloon angioplasty
Hulzebosch et al.Three-dimensional reconstruction of stenosed coronary artery segments with assessment of the flow impedance

Legal Events

DateCodeTitleDescription
PB01Publication
PB01Publication
SE01Entry into force of request for substantive examination
SE01Entry into force of request for substantive examination
RJ01Rejection of invention patent application after publication

Application publication date:20210611

RJ01Rejection of invention patent application after publication

[8]ページ先頭

©2009-2025 Movatter.jp