Movatterモバイル変換


[0]ホーム

URL:


CN112926143B - Method for evaluating available life of sacrificial anode system in ocean desilting environment - Google Patents

Method for evaluating available life of sacrificial anode system in ocean desilting environment
Download PDF

Info

Publication number
CN112926143B
CN112926143BCN202110076596.3ACN202110076596ACN112926143BCN 112926143 BCN112926143 BCN 112926143BCN 202110076596 ACN202110076596 ACN 202110076596ACN 112926143 BCN112926143 BCN 112926143B
Authority
CN
China
Prior art keywords
sacrificial anode
area
sacrificial
steel structure
sea mud
Prior art date
Legal status (The legal status is an assumption and is not a legal conclusion. Google has not performed a legal analysis and makes no representation as to the accuracy of the status listed.)
Active
Application number
CN202110076596.3A
Other languages
Chinese (zh)
Other versions
CN112926143A (en
Inventor
张文锋
陈韬
刘凯
王峰
赵金山
杨太年
李云飞
马悦
唐聪
Current Assignee (The listed assignees may be inaccurate. Google has not performed a legal analysis and makes no representation or warranty as to the accuracy of the list.)
CCCC First Harbor Engineering Co Ltd
Tianjin Port Engineering Institute Ltd of CCCC Frst Harbor Engineering Co Ltd
Tianjin Harbor Engineering Quality Inspection Center Co Ltd
Original Assignee
CCCC First Harbor Engineering Co Ltd
Tianjin Port Engineering Institute Ltd of CCCC Frst Harbor Engineering Co Ltd
Tianjin Harbor Engineering Quality Inspection Center Co Ltd
Priority date (The priority date is an assumption and is not a legal conclusion. Google has not performed a legal analysis and makes no representation as to the accuracy of the date listed.)
Filing date
Publication date
Application filed by CCCC First Harbor Engineering Co Ltd, Tianjin Port Engineering Institute Ltd of CCCC Frst Harbor Engineering Co Ltd, Tianjin Harbor Engineering Quality Inspection Center Co LtdfiledCriticalCCCC First Harbor Engineering Co Ltd
Priority to CN202110076596.3ApriorityCriticalpatent/CN112926143B/en
Publication of CN112926143ApublicationCriticalpatent/CN112926143A/en
Application grantedgrantedCritical
Publication of CN112926143BpublicationCriticalpatent/CN112926143B/en
Activelegal-statusCriticalCurrent
Anticipated expirationlegal-statusCritical

Links

Images

Classifications

Landscapes

Abstract

The invention discloses a method for evaluating the available life of a sacrificial anode system in an ocean desilting environment. The method comprehensively considers the efficiency of the buried sacrificial anode, the acquisition method of the consumption rate of the sacrificial anode in sea mud, the effective net recovery of the anode, the acquisition of the protective current required to be maintained by the steel structure after the back-silting and the like, is closer to the actual working condition of the steel structure sacrificial anode in the back-silting environment, and is beneficial to improving the accuracy of the evaluation of the service life of the steel structure sacrificial anode in the back-silting environment.

Description

Method for evaluating available life of sacrificial anode system in ocean desilting environment
Technical Field
The invention belongs to the field of cathodic protection, and relates to an evaluation method for the usable life of a sacrificial anode system, in particular to an evaluation method for the usable life of a sacrificial anode system in an ocean desilting environment.
Background
The sacrificial anode cathodic protection is widely applied to corrosion prevention of a steel structure in a marine environment. At present, the commonly used sacrificial anode comprises three types, namely an aluminum alloy sacrificial anode, a magnesium alloy sacrificial anode and a zinc alloy sacrificial anode, wherein the aluminum alloy sacrificial anode is an anode type which is most applied in marine environment due to the characteristics of high actual capacitance, high cost performance, excellent performance in seawater and the like. When a sacrificial anode of an ocean steel structure (such as a steel pipe pile of a harbor wharf and the like) is designed and constructed, an aluminum alloy sacrificial anode (hereinafter referred to as a "sacrificial anode") with good working performance in a seawater environment is usually selected. However, there are a large number of desilting ports along the sea in China, and when the sacrificial anode is used in such a desilting environment, the sacrificial anode is often buried by sea mud to different degrees as the silting degree is increased. When a sacrificial anode designed for use in a marine environment is buried in sea mud and then passively used in a marine mud environment, the performance may be degraded or even prematurely fail. The sacrificial anode has good surface condition and uniform dissolution at the beginning of installation, but after a period of time, the surface is often covered by marine organisms (such as oysters, barnacles and the like), so that the non-uniform dissolution of the sacrificial anode can be promoted, and the service effect and the service life of the sacrificial anode can be influenced. Therefore, the steel structure sacrificial anode system needs to be periodically detected and evaluated so as to take treatment measures in time and guarantee the steel structure cathodic protection effect and the service life.
The annex F of the existing industry standard specification Water conservancy project building detection and evaluation technical Specification (JTS 304-2019) relates to the relevant content of sacrificial anode detection, but mainly aims at a steel structure sacrificial anode system in seawater, does not basically consider the relevant problems caused by siltation, and is not suitable for the evaluation of the service life of the steel structure sacrificial anode in the siltation environment.
Disclosure of Invention
Aiming at the problems, the invention provides a method for evaluating the available service life of a sacrificial anode system in an ocean desilting environment, which is used for periodically detecting a steel structure sacrificial anode in the ocean desilting environment so as to evaluate the working state and the residual service life of the sacrificial anode system, so that whether the sacrificial anode needs to be processed or not can be judged in time, and the normal operation and the service life of the sacrificial anode can be guaranteed.
The invention is realized by the following technical scheme:
a method for evaluating the available life of a sacrificial anode system in a marine desilting environment comprises the following steps:
the method comprises the following steps: determining a relationship between the volume element of the monolithic sacrificial anode and the effective net weight of the sacrificial anode;
step two: determining the consumption rate E of the sacrificial anode for burying the sea mudgn
Step three: calculating the required maintenance protection current I of the steel structure of the region to be measuredw
On-site measurement of water depth D of steel structure position of area to be measuredsObtaining the height H of the underwater regionsHeight H of mud lower zonenAnd obtaining the surface area S of the water level fluctuation area of the steel structure according to the shape of the steel structurebSurface area under water SxSurface area S under mudnThen according to the coating area S of the steel structure in the corresponding corrosion zonetCoating damage ratio fpAnd required maintenance of protection current density iwCalculating the required maintenance protection current I of the steel structure of the region to be measuredw
Iw=[(Sb-Stb)×iwb+Stb·fpb·iwb]+[(Sx-Stx)×iwx+Stx·fpx·iwx]+[(Sn-Stn)×iwn+Stn·fpn·iwn]
In the formula IwMaintaining protection current for the steel structure; sb,SxAnd SnThe surface areas of the steel structure water fluctuation area, the underwater area and the mud lower area are respectively; stb,StxAnd StnRespectively corresponding coating areas of the steel structure in a water level change area, a underwater area and a mud lower area; f. ofpb,fpxAnd fpnRespectively the coating damage rates of a water level change area, a submerged area and a mud lower area of the steel structure; i.e. iwb,iwxAnd iwnRespectively maintaining the protection current density for a water level change area, an underwater area and a mud area of the steel structure;
step four: calculating the available service life of the sacrificial anode system;
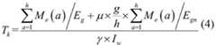
detecting volume elements C (a, b) of h sacrificial anodes in seawater of the area to be detected on site, and then respectively obtaining effective net weights M of the h sacrificial anodes according to the relationship between the volume elements of the single sacrificial anodes and the effective net weights of the sacrificial anodes determined in the step onee(a) Wherein, a is 1,2, …, h; b is 1, …, q, g sacrificial anodes in the sea mud of the area to be tested exist, and the available service life T of the sacrificial anode system of the area to be tested is determinedkThe calculation is as follows:
Figure BDA0002907738730000021
in the formula, TkSacrifice the usable life of the anode system; me(a) Is the effective net weight of the sacrificial anode No. a; egThe consumption rate of the sacrificial anode in the seawater is considered; mu is the utilization rate of the sacrificial anode buried by the sea mud; h is the number of sacrificial anodes in the seawater of the area to be detected; g is the number (blocks) of sacrificial anodes buried in the sea mud in the area to be detected; gamma is a safety factor.
In the above technical solution, the specific steps of the first step are as follows:
firstly, sampling n sacrificial anodes in relevant areas on site, cleaning the surfaces of the sacrificial anodes, weighing and recording gross weight m of the sacrificial anodesiI is a sacrificial anode number, i is 1,2, …, n;
determining a volume calculation formula V (-) according to the shape of the sacrificial anode, and measuring and recording volume elements C (i, j) of the sacrificial anode sampled on site. Wherein i has the same meaning as above; j is the volume element number, j 1, …, k. The number of volume elements of the sacrificial anode is k, and k is more than 2;
thirdly, according to the gross weight m of the sacrificial anodeiVolume element C (i, j) and weight m of steel core and weld legxEstablishing a functional relation F (-) between the net weight and the volume element of the sacrificial anode by using mathematical methods such as linear regression, multiple linear regression or least square fitting;
measuring volume element C (t) of a certain sacrificial anode arranged on a steel structure in site, wherein t is 1, …, K; then according to the original gross weight M of the sacrificial anode0Calculating the effective net weight M of a sacrificial anodee
Me=F[C(t)]-(M0-mx)×(1-fl)t=1,2,…,K (1)
In the formula, MeEffective net weight (kg) for the sacrificial anode; f (-) is the function relation of the net weight and the volume element of the sacrificial anode; c (t) is the volume element (m) of the sacrificial anode; m0The original gross weight (kg) of the sacrificial anode; m isxThe weight (kg) of the steel core and the welding leg; f. oflIs the sacrificial anode utilization factor (%).
In the technical scheme, the consumption rate of the sacrificial anode buried by the sea mud is calculated by theory:
sacrificial anode consumption rate E for burying sea mudgnCalculating the formula:
Figure BDA0002907738730000031
in the formula, EgnConsumption rate of sacrificial anode for burying sea mud [ kg/(A. a)],QlAt the expense of the theoretical capacity (A.h/kg), eta of the anodesFor the current efficiency (%) of the sacrificial anode in seawater, KEgn1As a correction factor (0 < K)Egn1≤1)。
In the technical scheme, the consumption rate of the sea mud burying sacrificial anode is obtained through an indoor test:
sampling sea mud and sacrificial anode materials in relevant areas on site, and then obtaining the current efficiency eta of the sacrificial anode in the sea mud through an indoor electrochemical performance testnAnd according to the theoretical capacity QlCalculating the consumption rate E of the sacrificial anode buried in the sea mudgn
Figure BDA0002907738730000032
In the formula etanThe current efficiency (%) of the sacrificial anode in sea mud, K, was determined for laboratory experimentsEgn2As a correction factor (0 < K)Egn2Less than or equal to 1), and the other parameters are the same as above.
In the technical scheme, the consumption rate of the sea mud burying sacrificial anode is obtained through field tests:
in-situ mounting sacrificial anode and counter electrode test piece combination made of same materials in relevant field area, and then carrying out electrochemical performance test on the spot to obtain current efficiency eta of the sacrificial anode in sea mudxAnd according to the theoretical capacity QlCalculating the consumption rate E of the sacrificial anode buried in the sea mudgn
Figure BDA0002907738730000041
In the formula etaxThe current efficiency (%) of the sacrificial anode in sea mud, K, was measured for field testsEgn3As a correction factor (0 < K)Egn3Less than or equal to 1), and the other parameters are the same as above.
In the technical scheme, gamma is a safety coefficient and is 1.00-1.50.
The invention has the advantages and beneficial effects that:
the method can effectively solve the problem of quantitative evaluation of the available service life of the sacrificial anode system in the ocean desilting environment. The back-silting can raise the mud level near the steel structure and can also result in the sacrificial anode being buried by sea mud. After the sacrificial anode is buried by back silting, the efficiency of burying the sacrificial anode by sea mud is usually not considered, and the rise of the mud surface near the steel structure is also usually ignored, so that the factor that the demand of the protection current of the steel structure is reduced, and the calculated usable life of the sacrificial anode system is lower than the real usable life. Taking treatment measures in advance of the available lifetime will cause extra costs. The method comprehensively considers the efficiency of the buried sacrificial anode, the acquisition method of the consumption rate of the sacrificial anode in sea mud, the effective net recovery of the anode, the acquisition of the protective current required to be maintained by the steel structure after the back-silting and the like, is more close to the actual working condition of the steel structure sacrificial anode in the back-silting environment, is beneficial to improving the accuracy of the service life evaluation of the steel structure sacrificial anode in the back-silting environment, avoids extra cost caused by taking treatment measures too early, is convenient to take the treatment measures in time in reasonable time, and ensures that the cathodic protection effect and the service life of the steel structure are guaranteed under the economical and applicable conditions.
Drawings
FIG. 1 is a flow chart of the evaluation of the service life of a steel structure sacrificial anode in an ocean desilting environment.
FIG. 2 is a schematic view of a sacrificial anode system of a certain bent frame of a steel pipe pile in a wharf in an embodiment.
For a person skilled in the art, other relevant figures can be obtained from the above figures without inventive effort.
Detailed Description
In order that those skilled in the art will better understand the technical solutions of the present invention, the technical solutions of the present invention are further described below with reference to specific examples.
Example one
A method for evaluating the available life of a sacrificial anode system in an ocean desilting environment comprises the following steps of obtaining the effective net weight of a sacrificial anode, obtaining the consumption rate of a sacrificial anode buried by sea mud, obtaining the maintenance protection current required by a steel structure, calculating the available life of the sacrificial anode system and the like:
(1) sacrificial anode effective net weight gain
The method comprises the steps of firstly sampling a plurality of sacrificial anodes from a steel structure and cleaning the surfaces of the sacrificial anodes, then measuring the net weight and the volume elements of each sacrificial anode, establishing a functional relation between the net weight and the volume elements of each sacrificial anode through a mathematical method, and combining parameters such as the original gross weight (kg), the weight (kg) of a steel core and a welding leg of each sacrificial anode, the utilization coefficient of each sacrificial anode and the like according to the functional relation to obtain the relation between the volume elements of the single sacrificial anode and the effective net weight of each sacrificial anode. The net weight of the sacrificial anode refers to the weight of the sacrificial anode body after the surface is cleaned, namely the gross weight of the sacrificial anode minus the weight of the steel core and the welding leg. The sacrificial anode volume element refers to elements such as side length, perimeter, height and the like used for calculating the volume of the sacrificial anode. The method comprises the following specific steps of:
firstly, sampling n sacrificial anodes in relevant areas on site, cleaning the surfaces of the sacrificial anodes, weighing and recording the gross weight m of the sacrificial anodesiI is the sacrificial anode number, i is 1,2, …, n.
Determining a volume calculation formula V (-) according to the shape of the sacrificial anode, and measuring and recording volume elements C (i, j) of the sacrificial anode sampled on site. Wherein i has the same meaning as above; j is the volume element number, j 1, …, k. The number of the sacrificial anode volume elements is k, and k is larger than 2.
Thirdly, according to the gross weight m of the sacrificial anodeiVolume element C (i, j), steel core and leg weight mxAnd through linear regression,And establishing a functional relation F (-) of the net weight of the sacrificial anode and the volume element by a mathematical method such as multivariate linear regression or least square fitting.
Measuring volume element C (t) of a certain sacrificial anode arranged on a steel structure in site, wherein t is 1, …, K; then according to the original gross weight M of the sacrificial anode0Calculating the effective net weight M of a sacrificial anodee
Me=F[C(t)]-(M0-mx)×(1-fl)t=1,2,…,K(1)
In the formula, MeIs the effective net weight (kg) of the sacrificial anode; f (-) is the function relation of the net weight and the volume element of the sacrificial anode; c (t) is the volume element (m) of the sacrificial anode; m0The original gross weight (kg) of the sacrificial anode; m isxThe weight (kg) of the steel core and the welding leg; f. oflCoefficient (%) was used for the sacrificial anode.
(2) Sacrificial anode consumption rate E for burying sea mudgnObtaining
The consumption rate of the sea mud burying sacrificial anode can be obtained through theoretical calculation, indoor tests or field tests, and is concretely obtained as follows.
And (4) theoretical calculation. Sacrificial anode consumption rate E for burying sea mudgnCalculating the formula:
Figure BDA0002907738730000061
in the formula, EgnSacrificial anode consumption rate for burying sea mud [ kg/(A. a)],QlIs the theoretical capacity (A.h/kg) of the sacrificial anode etasFor the current efficiency (%) of the sacrificial anode in seawater, KEgn1As a correction factor (0 < K)Egn1≤1)。
And secondly, obtaining in an indoor test. Sampling sea mud and sacrificial anode materials in relevant areas on site, and then obtaining the current efficiency eta of the sacrificial anode in the sea mud through an indoor electrochemical performance testnAnd according to the theoretical capacity QlCalculating the consumption rate E of the sacrificial anode buried in the sea mudgn
Figure BDA0002907738730000062
In the formula etanThe current efficiency (%) of the sacrificial anode in sea mud, K, was determined for laboratory experimentsEgn2As a correction factor (0 < K)Egn2Less than or equal to 1), and the other parameters are the same as above.
And thirdly, obtaining through field test. In-situ mounting sacrificial anode and counter electrode test piece combination made of same materials in relevant field area, and then carrying out electrochemical performance test on the spot to obtain current efficiency eta of the sacrificial anode in sea mudxAnd according to the theoretical capacity QlCalculating the consumption rate E of the sacrificial anode buried in the sea mudgn
Figure BDA0002907738730000063
In the formula etaxThe current efficiency (%) of the sacrificial anode in sea mud, K, was measured for field testsEgn3As a correction factor (0 < K)Egn3Less than or equal to 1), and the other parameters are the same as above.
(3) Maintaining protection current I required by steel structurewObtaining
On-site measurement of water depth D of steel structure position of area to be measuredsObtaining the height H of the underwater regionsHeight H of mud lower zonenAnd obtaining the surface area S of the water level change area of the steel structure according to the shape of the steel structurebSurface area of underwater region SxAnd the area S of the mud lower zonen. Then according to the coating area S of the steel structure in the corresponding corrosion zonetCoating damage ratio fpAnd required maintenance of protection current density iwCalculating the required maintenance protection current I of the steel structure of the region to be measuredw
Iw=[(Sb-Stb)×iwb+Stb·fpb·iwb]+[(Sx-Stx)×iwx+Stx·fpx·iwx]+[(Sn-Stn)×iwn+Stn·fpn·iwn](3)
In the formula IwMaintaining a protective current (A) for the steel structure; sb,SxAnd SnSurface areas (m) of water fluctuation zone, underwater zone and mud lower zone of steel structure2);Stb,StxAnd StnRespectively corresponding coating areas (m) of the steel structure in the water level fluctuation area, the underwater area and the mud lower area2);fpb,fpxAnd fpnThe coating damage rates (%) of the water level fluctuation area, the underwater area and the mud area of the steel structure are respectively (%); i.e. iwb,iwxAnd iwnRespectively for maintaining the protective current density (A/m) of the water level fluctuation area, the underwater area and the mud area of the steel structure2)。
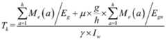
(4) Sacrificial anode system useful life calculation
Detecting volume elements C (a, b) of h sacrificial anodes in seawater of an area to be detected on site, and then respectively substituting the volume elements C (a, b) into formula (1) effective net weight calculation formulas to obtain effective net weights M of the h sacrificial anodese(a) In that respect Wherein, a is 1,2, …, h; b is 1, …, q. G sacrificial anodes in sea mud of the area to be tested exist, so that the available service life T of the sacrificial anode system of the area to be testedkThe calculation is as follows:
Figure BDA0002907738730000071
in the formula, TkUseful life (a) for the sacrificial anode system; me(a) Is the effective net weight (kg) of the sacrificial anode No. a; egFor sacrificing the consumption rate of the anode in the seawater [ kg/(A. a)];EgnSacrificial anode consumption rate for burying sea mud [ kg/(A. a)](ii) a Mu is the utilization rate of the sacrificial anode buried by the sea mud (mu is more than or equal to 0 and less than or equal to 1); h is the number (block) of sacrificial anodes in the seawater of the area to be detected; g is the number (blocks) of sacrificial anodes buried in the sea mud in the area to be detected; gamma is a safety coefficient and is usually 1.00-1.50.
Example two
The steel pipe pile of a wharf adopts aluminum alloy sacrificial anode cathodic protection, the design protection age is 20 years, and the steel pipe pile runs for 5 years till now. Each of the A, B shafts of the row frame of the wharf is provided with 3 sacrificial anodes (an upper layer, a middle layer and a lower layer respectively), each of C, D shafts is provided with 2 sacrificial anodes (an upper layer and a lower layer respectively), and each of E, F, G, H, K shafts is provided with 1 sacrificial anode. During the inspection, the mud surface is raised due to the desilting, and the lower anodes of A, B shafts of the three bent steel pipe piles and the anodes of G, H, K shafts of the three bent steel pipe piles are buried by sea mud. The sacrificial anode system of a certain bent of the steel pipe pile at the wharf is shown in figure 2. And looking up the obtained data according to the mud surface elevation measurement and the design data, and calculating to obtain the coating and bare steel area of the water level fluctuation area, the underwater area and the mud lower area, which is shown in table 1. Table 1 shows the coating and bare steel area of different zones of a certain bent steel pipe pile and the required maintenance protection current.
The sacrificial anode specification is (220+260) mm multiplied by 230mm multiplied by 1000 mm; gross weight of sacrificial anode M0158.8 kg; steel core and leg weight mx12.5 kg; theoretical capacity Q of sacrificial anodel2889Ah/kg, current efficiency etas90%, the sacrificial anode corrects factor K in sea mudEgn1Is 0.65; sacrificial anode utilization factor flIs 90%; the utilization rate mu of the sacrificial anode buried by the sea mud is 0.95; the safety factor gamma is 1.05. The shelf sacrificial anode system was evaluated for useful life.
TABLE 1 coating of different zones and bare steel area of certain steel pipe pile with bent frame and its required protective current
Figure BDA0002907738730000072
Figure BDA0002907738730000081
According to the method for evaluating the usable life of the steel structure sacrificial anode in the ocean desilting environment, the specific data processing steps of the embodiment are as follows:
(1) obtaining the effective net weight of the sacrificial anode:
firstly, sampling 3 sacrificial anodes (serial numbers 1-3) on site, and measuring the dimensions and gross weights of the sacrificial anodes, which are shown in a table 2;
determining the volume according to the shape of the sacrificial anode, wherein the volume calculation formula is as follows:
Vy=(Ws+Wx)×hy×Ly (5)
wherein, VyIs the sacrificial anode volume (cm)3),WsIs sacrificial width (cm), W on anodexIs the width (cm), h under the sacrificial anodeyIs sacrificial anode height (cm), LyIs the sacrificial anode length (cm).
TABLE 2 sacrificial anode size and effective Net weight
Figure BDA0002907738730000082
Figure BDA0002907738730000091
Thirdly, establishing a functional relation between the effective net weight of the sacrificial anode and volume elements through linear fitting according to the gross weight of the sacrificial anode No. 1-3, the size of the sacrificial anode, the steel core and the welding weight as follows:
Mex=0.0035×(Ws+Wx)×hy×Ly-61.034 (6)
wherein M isexThe other parameters are the same as formula (5) for sacrificing the effective net weight (kg) of the anode. The effective net weight of sacrificial anodes No. 4-10 was calculated according to formula (6) and the dimensions of the sacrificial anodes in Table 2, and the results are shown in Table 2.
(2) Sacrificial anode consumption rate E for burying sea mudgnObtaining
According to the formula (2-1), the consumption rate E of the sacrificial anode buried in the sea mud is calculatedgnThe concentration was 5.18 kg/(A.a).
(3) Maintaining protection current I required by steel structurewObtaining
According to the calculation of the formula (3), the total maintenance protection current of a certain bent steel pipe pile is 26.485A, and the specific table is shown in table 1.
(4) Sacrificial anode system useful life calculation
The shelf sacrificial anode system has a usable life of 14.2 years according to the calculation of the formula (4).
The invention has been described in an illustrative manner, and it is to be understood that any simple variations, modifications or other equivalent changes which can be made by one skilled in the art without departing from the spirit of the invention fall within the scope of the invention.

Claims (6)

1. A method for evaluating the available life of a sacrificial anode system in a marine desilting environment is characterized by comprising the following steps:
the method comprises the following steps: determining a relationship between the volume element of the monolithic sacrificial anode and the effective net weight of the sacrificial anode;
step two: determining the consumption rate E of the sacrificial anode buried in sea mudgn
Step three: determining the required maintenance protection current I of the steel structure of the region to be measuredw
On-site measurement of water depth D of steel structure position of area to be measuredsObtaining the height H of the underwater regionsHeight H of area under muddy soilnAnd obtaining the surface area S of the water level fluctuation area of the steel structure according to the shape of the steel structurebSurface area under water SxSurface area S under mudnThen according to the coating area S of the steel structure in the corresponding corrosion zonetCoating damage ratio fpAnd required maintenance of protection current density iwCalculating the required maintenance protection current I of the steel structure of the region to be measuredw
Iw=[(Sb-Stb)×iwb+Stb·fpb·iwb]+[(Sx-Stx)×iwx+Stx·fpx·iwx]+[(Sn-Stn)×iwn+Stn·fpn·iwn]
In the formula IwMaintaining protection current for the steel structure; sb,SxAnd SnThe surface areas of the steel structure water fluctuation area, the underwater area and the mud lower area are respectively; s. thetb,StxAnd StnRespectively corresponding coating areas of the steel structure in a water level change area, a underwater area and a mud lower area; f. ofpb,fpxAnd fpnAre respectively of steel constructionCoating damage rates of the water level change area, the underwater area and the mud area; i.e. iwb,iwxAnd iwnRespectively maintaining the protection current density for a water level change area, an underwater area and a mud area of the steel structure;
step four: calculating the available service life of the sacrificial anode system;
detecting volume elements C (a, b) of h sacrificial anodes in seawater of the area to be detected on site, and then respectively obtaining effective net weights M of the h sacrificial anodes according to the relationship between the volume elements of the single sacrificial anodes and the effective net weights of the sacrificial anodes determined in the step onee(a) Wherein, a is 1,2, …, h; b is 1, …, q, g sacrificial anodes in the sea mud of the area to be tested exist, and the available service life T of the sacrificial anode system of the area to be tested is determinedkThe calculation is as follows:
Figure FDA0003500547670000011
in the formula, TkSacrifice the usable life of the anode system; me(a) Is the effective net weight of the sacrificial anode No. a; egThe consumption rate of the sacrificial anode in the seawater is considered; mu is the utilization rate of the sacrificial anode buried by the sea mud; h is the number of sacrificial anodes in the seawater of the area to be detected; g is the number (blocks) of sacrificial anodes buried in the sea mud in the area to be detected; gamma is a safety factor.
2. The method for evaluating the usable life of the sacrificial anode system in the marine desilting environment according to claim 1, wherein: the specific steps of the first step are as follows:
firstly, sampling n sacrificial anodes in relevant areas on site, cleaning the surfaces of the sacrificial anodes, weighing and recording gross weight m of the sacrificial anodesiI is a sacrificial anode number, i is 1,2, …, n;
determining a volume calculation formula V (-) according to the shape of the sacrificial anode, and simultaneously measuring and recording volume elements C (i, j) of the sacrificial anode sampled on site, wherein the meaning of i is the same as that of the sacrificial anode; j is the number of volume elements, j is 1, …, k, the number of volume elements of the sacrificial anode is k, and k is more than 2;
thirdly, according to the gross weight m of the sacrificial anodeiVolume element C (i, j) and weight m of steel core and weld legxEstablishing a functional relationship F (-) of net weight and volume elements of the sacrificial anode by a mathematical method of linear regression, multiple linear regression or least square fitting;
measuring volume element C (t) of a certain sacrificial anode arranged on a steel structure in site, wherein t is 1, …, K; then according to the original gross weight M of the sacrificial anode0Calculating the effective net weight M of a sacrificial anodee
Me=F[C(t)]-(M0-mx)×(1-fl)t=1,2,…,K
In the formula, MeIs the effective net weight of the sacrificial anode; f (-) is the function relation of the net weight and the volume element of the sacrificial anode; c (t) is a volume element of the sacrificial anode; m0The original gross weight of the sacrificial anode; m isxThe weight of the steel core and the welding leg is adopted; f. oflThe coefficients are utilized for the sacrificial anode.
3. The method for evaluating the available life of the sacrificial anode system for the marine desilting environment according to claim 1, wherein: the consumption rate of the sacrificial anode buried by the sea mud is obtained by theoretical calculation:
sacrificial anode consumption rate E for burying sea mudgnCalculating the formula:
Figure FDA0003500547670000021
in the formula, EgnSacrificial anode consumption rate, Q, for sea mud buriallAt the expense of the theoretical capacity of the anode, etasTo sacrifice the current efficiency of the anode in seawater, KEgn1Is a correction factor.
4. The method for evaluating the usable life of the sacrificial anode system in the marine desilting environment according to claim 1, wherein: the consumption rate of the sea mud burying sacrificial anode is obtained by indoor tests:
sea mud and sacrificial anode material for sampling relevant area on siteObtaining the current efficiency eta of the sacrificial anode in the sea mud through an indoor electrochemical performance testnAnd according to the theoretical capacity QlCalculating the consumption rate E of the sacrificial anode buried in the sea mudgn
Figure FDA0003500547670000022
In the formula etanThe current efficiency, K, of the sacrificial anode in sea mud was measured for laboratory testsEgn2Is a correction factor.
5. The method for evaluating the available life of the sacrificial anode system for the marine desilting environment according to claim 1, wherein: the consumption rate of the sea mud burying sacrificial anode is obtained by field tests:
in-situ mounting sacrificial anode and counter electrode test piece combination made of same materials in relevant field area, and then carrying out electrochemical performance test on the spot to obtain current efficiency eta of the sacrificial anode in sea mudxAnd according to the theoretical capacity QlCalculating the consumption rate E of the sacrificial anode buried in the sea mudgn
Figure FDA0003500547670000031
In the formula etaxThe current efficiency, K, of the sacrificial anode in sea mud was measured for field testsEgn3Is a correction factor.
6. The method for evaluating the usable life of the sacrificial anode system in the marine desilting environment according to claim 1, wherein: gamma is a safety coefficient, and is 1.00-1.50.
CN202110076596.3A2021-01-202021-01-20Method for evaluating available life of sacrificial anode system in ocean desilting environmentActiveCN112926143B (en)

Priority Applications (1)

Application NumberPriority DateFiling DateTitle
CN202110076596.3ACN112926143B (en)2021-01-202021-01-20Method for evaluating available life of sacrificial anode system in ocean desilting environment

Applications Claiming Priority (1)

Application NumberPriority DateFiling DateTitle
CN202110076596.3ACN112926143B (en)2021-01-202021-01-20Method for evaluating available life of sacrificial anode system in ocean desilting environment

Publications (2)

Publication NumberPublication Date
CN112926143A CN112926143A (en)2021-06-08
CN112926143Btrue CN112926143B (en)2022-06-03

Family

ID=76164651

Family Applications (1)

Application NumberTitlePriority DateFiling Date
CN202110076596.3AActiveCN112926143B (en)2021-01-202021-01-20Method for evaluating available life of sacrificial anode system in ocean desilting environment

Country Status (1)

CountryLink
CN (1)CN112926143B (en)

Families Citing this family (2)

* Cited by examiner, † Cited by third party
Publication numberPriority datePublication dateAssigneeTitle
CN113718262A (en)*2021-07-282021-11-30中国船舶重工集团公司第七二五研究所Sacrificial anode online monitoring and service life predicting device for ship ballast tank
CN114075671B (en)*2021-11-162023-04-25青岛双瑞海洋环境工程股份有限公司High-resistivity environment sacrificial anode protection effect test method and device

Citations (10)

* Cited by examiner, † Cited by third party
Publication numberPriority datePublication dateAssigneeTitle
US4288302A (en)*1973-01-261981-09-08Diamond Shamrock Technologies S.A.Method for electrowinning metal
CA1228327A (en)*1983-09-151987-10-20The Dow Chemical CompanyImpressed current cathodic protection system employing cobalt spinel structured anode
CN101109087A (en)*2007-08-222008-01-23青岛双瑞防腐防污工程有限公司Anodic sacrifice protection method of steel reinforced concrete bridge pier
CN101122028A (en)*2007-07-312008-02-13中国船舶重工集团公司第七二五研究所 Preparation method of metal oxide anode for cathodic protection of reinforced concrete
WO2013062233A1 (en)*2011-10-282013-05-02주식회사 화승알앤에이Cathodic protection system for a concrete structure using an underwater sacrificial anode and a sacrificial anode attached to a protective jacket
CN103643238A (en)*2013-11-272014-03-19中交天津港湾工程研究院有限公司Device for guaranteeing normal operation of sacrificial anode
CN104060279A (en)*2014-05-202014-09-24北京市燃气集团有限责任公司Effectiveness criterion and residual life prediction method of sacrificial anode and cathode protection system
CN105698849A (en)*2016-01-202016-06-22北京化工大学 A failure analysis method for zinc-based sacrificial anode
CN106498968A (en)*2015-11-132017-03-15中交天津港湾工程研究院有限公司The application of concrete caisson outer cladding corrosion-resistant metallic material structure
CN108286249A (en)*2018-01-092018-07-17大连科迈尔防腐科技有限公司 A tensioned impressed current cathodic protection system and its installation and arrangement method

Family Cites Families (6)

* Cited by examiner, † Cited by third party
Publication numberPriority datePublication dateAssigneeTitle
CN2813639Y (en)*2004-08-032006-09-06中国海洋大学Dead anode protector for steel reinforced concrete structures
CN101538076A (en)*2009-04-082009-09-23张云峰Environment-friendly waste water processing method and equipment
CN101831657B (en)*2010-05-202012-04-18中国海洋大学 Sea mud/seawater biofuel cell system for metal corrosion cathodic protection
CN103321218B (en)*2013-05-302016-01-27上海大禺预制构件有限公司Prestressed centrifugally Corrosion-resistant hollow square pile
NO20160374A1 (en)*2016-03-032017-09-04Vetco Gray Scandinavia AsSystem and method for cathodic protection by distributed sacrificial anodes
CN108396323B (en)*2018-03-262020-11-20中国海洋大学 A method for cathodic protection of bare steel structures in seawater

Patent Citations (10)

* Cited by examiner, † Cited by third party
Publication numberPriority datePublication dateAssigneeTitle
US4288302A (en)*1973-01-261981-09-08Diamond Shamrock Technologies S.A.Method for electrowinning metal
CA1228327A (en)*1983-09-151987-10-20The Dow Chemical CompanyImpressed current cathodic protection system employing cobalt spinel structured anode
CN101122028A (en)*2007-07-312008-02-13中国船舶重工集团公司第七二五研究所 Preparation method of metal oxide anode for cathodic protection of reinforced concrete
CN101109087A (en)*2007-08-222008-01-23青岛双瑞防腐防污工程有限公司Anodic sacrifice protection method of steel reinforced concrete bridge pier
WO2013062233A1 (en)*2011-10-282013-05-02주식회사 화승알앤에이Cathodic protection system for a concrete structure using an underwater sacrificial anode and a sacrificial anode attached to a protective jacket
CN103643238A (en)*2013-11-272014-03-19中交天津港湾工程研究院有限公司Device for guaranteeing normal operation of sacrificial anode
CN104060279A (en)*2014-05-202014-09-24北京市燃气集团有限责任公司Effectiveness criterion and residual life prediction method of sacrificial anode and cathode protection system
CN106498968A (en)*2015-11-132017-03-15中交天津港湾工程研究院有限公司The application of concrete caisson outer cladding corrosion-resistant metallic material structure
CN105698849A (en)*2016-01-202016-06-22北京化工大学 A failure analysis method for zinc-based sacrificial anode
CN108286249A (en)*2018-01-092018-07-17大连科迈尔防腐科技有限公司 A tensioned impressed current cathodic protection system and its installation and arrangement method

Non-Patent Citations (4)

* Cited by examiner, † Cited by third party
Title
Influence of sea mud state on the anodic behavior of Al-Zn-In-Mg-Ti sacrificial anode;Hongxia Wan 等;《Ocean Engineering》;20170317;第11-17页*
Part-II: Optimum designing of cathodic protection systems of marine platforms;Dr. Kazim Altaf;《Proceedings of 2019 16th International Bhurban Conference on Applied Sciences & Technology》;20090112;第842-845页*
天津港 30 万吨级原油码头外加电流阴极保护设计;陈韬 等;《中国港湾建设》;20120430;第123-126页*
浅谈高桩码头钢管牺牲阳极阴极保护;李强;《研究与探讨》;20140331;第379-381页*

Also Published As

Publication numberPublication date
CN112926143A (en)2021-06-08

Similar Documents

PublicationPublication DateTitle
CN112926143B (en)Method for evaluating available life of sacrificial anode system in ocean desilting environment
US4800165A (en)Method of detecting corrosion rate of member of steel material
Stephenson et al.Rates and patterns of erosion on inter‐tidal shore platforms, Kaikoura Peninsula, South Island, New Zealand
Hartt2012 Frank Newman Speller Award: Cathodic Protection of Offshore Structures—History and Current Status
CA2560319A1 (en)Quantitative transient analysis of localized corrosion
CN209979463U (en)Marine environment monitoring equipment
GregoryMonitoring the effect of sacrificial anodes on the large iron artefacts on the Duart Point wreck, 1997
Sofiani et al.A hybrid probabilistic-deterministic framework for prediction of characteristic size of corrosion pits in low-carbon steel following long-term seawater exposure
Videm et al.Electrochemical behavior of steel in concrete and evaluation of the corrosion rate
Pangrazzi et al.Cathodic polarization and protection of simulated prestressed concrete pilings in seawater
Trenhaile et al.Shore platform processes in eastern Canada
RichardsIn-situ preservation—application of a process-based approach to the management of underwater cultural heritage
Moses et al.Intertidal cohesive foreshores: Erosion rates and processes illustrated by a shore platform at Warden Point, Kent, UK
CN115613038A (en)Sacrificial anode performance detection method and device
MorleyThe corrosion and protection of steel‐piled structures
Werenskiold et al.New Tool for CP inspection
Barrett et al.Cathodic Protection Experience in Cook Inlet, Alaska
PalmerField Soil Corrosivity Testing--Engineering Considerations
Robbins et al.Comparative lead-210, cesium-137 and pollen geochronologies of recent sediments of Lakes Erie and Ontario
DrachUtilization of Copper Alloys for Marine Applications
Vélez et al.Assessment of Corrosion in Prestressed Concrete Piles in Marine Environment with Acoustic Emission
Sutherland et al.Toe scour at seawalls: monitoring, prediction and mitigation
Charman et al.A device for measuring downwearing rates on cohesive shore platforms
Chaves et al.Failure Prediction of Mild-Steel Welds Due to Climate Change Influenced Marine Corrosion
Stockert et al.Electrochemical measurements and short-term-in-situ exposure testing

Legal Events

DateCodeTitleDescription
PB01Publication
PB01Publication
SE01Entry into force of request for substantive examination
SE01Entry into force of request for substantive examination
GR01Patent grant
GR01Patent grant

[8]ページ先頭

©2009-2025 Movatter.jp