Movatterモバイル変換


[0]ホーム

URL:


CN112925674B - Power monitoring big data backup method and system - Google Patents

Power monitoring big data backup method and system
Download PDF

Info

Publication number
CN112925674B
CN112925674BCN202110187507.2ACN202110187507ACN112925674BCN 112925674 BCN112925674 BCN 112925674BCN 202110187507 ACN202110187507 ACN 202110187507ACN 112925674 BCN112925674 BCN 112925674B
Authority
CN
China
Prior art keywords
data
backup
unit department
department terminal
network disk
Prior art date
Legal status (The legal status is an assumption and is not a legal conclusion. Google has not performed a legal analysis and makes no representation as to the accuracy of the status listed.)
Active
Application number
CN202110187507.2A
Other languages
Chinese (zh)
Other versions
CN112925674A (en
Inventor
朱静儒
Current Assignee (The listed assignees may be inaccurate. Google has not performed a legal analysis and makes no representation or warranty as to the accuracy of the list.)
Yunnan Datang International Nalan Hydropower Development Co Ltd
Original Assignee
Yunnan Datang International Nalan Hydropower Development Co Ltd
Priority date (The priority date is an assumption and is not a legal conclusion. Google has not performed a legal analysis and makes no representation as to the accuracy of the date listed.)
Filing date
Publication date
Application filed by Yunnan Datang International Nalan Hydropower Development Co LtdfiledCriticalYunnan Datang International Nalan Hydropower Development Co Ltd
Priority to CN202110187507.2ApriorityCriticalpatent/CN112925674B/en
Publication of CN112925674ApublicationCriticalpatent/CN112925674A/en
Application grantedgrantedCritical
Publication of CN112925674BpublicationCriticalpatent/CN112925674B/en
Activelegal-statusCriticalCurrent
Anticipated expirationlegal-statusCritical

Links

Images

Classifications

Landscapes

Abstract

The invention provides a power monitoring big data backup method and a system, wherein the method comprises the following steps: uploading the data to be backed up to a network disk corresponding to the terminal of the department of the unit for data backup; monitoring the data backup process of the unit department terminal in real time in the data backup process of each unit department terminal, and judging whether the data backup process of the unit department terminal is stopped or not; judging whether the unit department terminal completes normal data backup or not according to whether the unit department terminal sends a data backup completion receipt or not; and the data management terminal sends the data which are not backed up and remain at the department terminal of the unit to a data uploading module corresponding to the data management terminal, and the data which are not backed up and remain are uploaded to a network disk corresponding to the department terminal of the unit through the data uploading module. The system comprises modules corresponding to the method steps.

Description

Power monitoring big data backup method and system
Technical Field
The invention provides a power monitoring big data backup method and system, and belongs to the technical field of power monitoring.
Background
In the technical field of power distribution, the safety of a power monitoring system is directly related to power supply, and the power monitoring system is a guarantee for normal operation of daily life and production of people. The existing power monitoring system often has the problem of data storage saturation due to the existence of a large amount of data, so that the problem of big data storage is often solved by selecting a plurality of modes. For example, data backup is performed, however, in the data backup process, a problem often occurs that data backup is suspended due to a failure of a subsystem or a module performing data backup, and data backup cannot be continued.
Disclosure of Invention
The invention provides a power monitoring big data backup method and a power monitoring big data backup system, which are used for solving the problems that a terminal of a department of a unit cannot continue data backup because of data backup suspension pause caused by faults:
a power monitoring big data backup method is provided, a data management terminal of a power monitoring system comprises a plurality of data storage areas formed by taking data types as division principles, and the method comprises the following steps:
when the data management terminal detects that the data storage amount in the data storage area exceeds a preset storage amount threshold value, sending a data backup instruction to each unit department terminal of data calling and application of the data storage area exceeding the storage amount threshold value; after receiving the data backup instruction, each unit department performs data extraction on a data management terminal, acquires data to be backed up, and uploads the data to be backed up to a network disk corresponding to the unit department terminal for data backup; the data transmitted by the power monitoring system and stored in the data storage area are marked with data generation dates;
monitoring the data backup process of the unit department terminal in real time in the data backup process of each unit department terminal, and judging whether the data backup process of the unit department terminal is stopped or not;
when the data backup of the unit department terminal is stopped, judging whether the unit department terminal completes normal data backup according to whether the unit department terminal sends a data backup completion receipt;
when the data management terminal monitors that the unit department terminal does not finish data backup, the data management terminal sends the data which are not backed up and left at the unit department terminal to a data uploading module corresponding to the data management terminal, and the data which are not backed up and left at the unit department terminal are uploaded to a network disk corresponding to the unit department terminal through the data uploading module.
The data management terminal manages and stores the power operation data acquired by the power monitoring system, and supports each unit department to inquire, extract and call the required power monitoring data through the unit department terminal.
Further, when the data backup of the unit department terminal is stopped under monitoring, whether the unit department terminal normally completes the data backup is judged according to whether the unit department terminal sends a data backup completion receipt; the method comprises the following steps:
when the data backup of the unit department terminal is monitored to stop, the data management terminal determines whether a receipt for completing the data backup sent by the unit department terminal is received within a preset receipt receiving time period;
when the receipt for completing the data backup is received, stopping monitoring the unit department terminal aiming at the data backup process;
and when the data management terminal does not receive the receipt for completing the data backup sent by the unit department terminal within the receipt receiving time period, determining whether the unit department terminal completes the data backup according to the data backup condition of the unit department terminal.
Further, when the data management terminal does not receive a receipt for completing data backup sent by the unit department terminal within the receipt receiving time period, determining whether the unit department terminal completes data backup according to the data backup situation of the unit department terminal, including:
scanning the network disk data corresponding to the unit department terminal, and acquiring the backup quantity corresponding to the backup data currently uploaded to the network disk by the unit department terminal;
comparing the data volume corresponding to the backup data currently uploaded to the network disk by the unit department terminal with the data volume corresponding to the data to be backed up acquired by the unit department from the extracted data management terminal; if the data volume corresponding to the backup data uploaded to the network disk by the unit department terminal is the same as the data volume corresponding to the data to be backed up, determining that the unit department terminal completes data backup; if the data quantity corresponding to the backup data currently uploaded to the network disk by the unit department terminal is less than the data quantity corresponding to the data to be backed up, determining that the unit department terminal does not complete data backup;
after the data management terminal determines that the unit department terminal completes data backup, the data management terminal stops monitoring the unit department terminal for a data backup process and generates a data backup completion record sheet corresponding to the unit department terminal; when the unit department terminal eliminates the fault to generate a finished data backup receipt and sends the finished data backup receipt to the data management terminal, the finished data backup receipt replaces the data backup finishing record list;
after the data management terminal determines that the unit department terminal does not finish data backup, scanning a network disk corresponding to the unit department terminal, and acquiring a data generation date marked in data correspondingly stored in the network disk when the unit department terminal stops data uploading, wherein the data generation date is used as a node date;
the data management terminal packs all data to be backed up between the node date and the data generation date of the backup cut-off data corresponding to the data to be backed up of the department terminal into unfinished backup data packets and sends the unfinished backup data packets to the data uploading module; and simultaneously, sending a data uploading continuing instruction to a network disk corresponding to the terminal of the department of the unit.
Further, when the data management terminal monitors that the unit department terminal does not complete data backup, the data management terminal sends the data of the unit department terminal left without backup to a data uploading module corresponding to the data management terminal, and uploads the data of the unit department terminal left without backup to a network disk corresponding to the unit department terminal through the data uploading module, including:
after the network disk corresponding to the unit department terminal receives the data uploading continuing instruction, generating a dynamic verification code by using a network disk login password and a data generation date marked in the data correspondingly stored in the network disk when the unit department terminal stops uploading the data, and sending the dynamic verification code to a background server of the power monitoring system;
after the background server receives the dynamic verification code, the dynamic verification code is locked, and the locked dynamic verification code is only allowed to be sent and is not allowed to be accessed and extracted;
after receiving the unfinished backup data packet, the data uploading module sends a dynamic verification code acquisition request to a background server and performs security authentication with the background server; when the data uploading module passes the safety certification of the background server, the dynamic verification code is sent to the data uploading module;
the data uploading module sends the dynamic verification code to the network disk, and the dynamic verification code sent by the data uploading module is compared with the dynamic verification code generated by the network disk for the last time through the network disk;
when the dynamic verification code sent by the data uploading module is consistent with the dynamic verification code generated by the network disk for the last time, the network disk and the data uploading module establish data transmission; after the network disk and the data uploading module establish data transmission, the data uploading module uploads the data in the unfinished backup data packet to the network disk.
When the dynamic verification code sent by the data uploading module by the network disk is inconsistent with the dynamic verification code generated by the network disk for the last time, the network disk refuses to establish data transmission with the data uploading module; after receiving a request of refusing to establish data transmission from the network disk, the data uploading module acquires the latest dynamic verification code from the background again and performs security authentication with the network disk, if the data uploading module does not pass the security authentication of the network disk for three times continuously, the data uploading module defaults to no longer perform data uploading on unfinished backup data packets, and the unfinished backup data packets are reserved; meanwhile, sending a data backup receipt finished by the department terminal to the data management terminal; and after the terminal of the department of the unit recovers the data uploading function again, the unfinished backup data packet is called from the data uploading module terminal, and the data in the unfinished backup data packet is uploaded to the network disk.
Further, after the network disk corresponding to the unit department terminal receives the instruction of continuing to upload data, a dynamic verification code is generated by the network disk login password and the data generation date marked in the data correspondingly stored in the network disk when the unit department terminal stops uploading the data, and the dynamic verification code is sent to a background server of the power monitoring system, and the method includes the following steps:
the method comprises the following steps that a dynamic verification code is generated by a network disk at a preset time interval by utilizing a network disk login password and a data generation date marked in data correspondingly stored in the network disk when a unit department terminal stops uploading the data, and the newly generated dynamic verification code is sent to a background server, wherein the dynamic verification code is generated by the following formula:
Figure BDA0002943551890000031
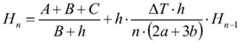
wherein Hn Represents the generated dynamic authentication code, and Hn Is an upward rounding function; a represents the number corresponding to the year in the data generation date marked in the data correspondingly stored in the network disk when the unit department terminal stops uploading the data; b represents the number corresponding to the month in the data generation date marked in the data correspondingly stored in the network disk when the unit department terminal stops uploading the data; c represents the number corresponding to the date of data generation marked in the data correspondingly stored in the network disk when the unit department terminal stops uploading the data; h represents the sum of the digital parts in the network disk login password; n represents the generation times of the current dynamic verification code; hn-1 Represents the dynamic verification code generated at the n-1 th time, and when n is equal to 1, Hn-1 (1.5A +2B)/(2B + 0.5C); a represents the number corresponding to the clock of the corresponding time generated by the current generated dynamic verification code, wherein the clock is defined by a 24-hour rule; b represents the number corresponding to the second of the corresponding time generated by the current dynamic verification code; delta T represents the time interval of the dynamic verification code replacement of the network disk;
and after receiving the newly generated dynamic verification code, the background server replaces the original dynamic verification code with the newly generated dynamic verification code and deletes the original dynamic verification code.
A power monitoring big data backup system is provided, a data management terminal of the power monitoring system comprises a plurality of data storage areas formed by taking data types as division principles, and the big data backup system comprises:
the backup module is used for sending a data backup instruction to each unit department terminal for data calling and application in the data storage area exceeding the storage threshold when the data management terminal detects that the data storage amount in the data storage area exceeds the preset storage threshold; after receiving the data backup instruction, each unit department performs data extraction on a data management terminal, and after acquiring data to be backed up, the data to be backed up is uploaded to a network disk corresponding to the unit department terminal for data backup; the data transmitted by the power monitoring system and stored in the data storage area are marked with data generation dates;
the first judging module is used for monitoring the data backup process of the unit department terminal in real time in the data backup process of each unit department terminal and judging whether the data backup process of the unit department terminal is stopped or not;
a second judging module, when the data backup of the unit department terminal is stopped, judging whether the unit department terminal normally completes the data backup according to whether the unit department terminal sends a data backup completion receipt;
and the sending module is used for sending the data which are not backed up and remain in the unit department terminal to the data uploading module corresponding to the data management terminal by the data management terminal when the data management terminal monitors that the unit department terminal does not finish data backup, and uploading the data which are not backed up and remain in the unit department terminal to the network disk corresponding to the unit department terminal by the data uploading module.
The data management terminal manages and stores the power operation data acquired by the power monitoring system, and supports each unit department to inquire, extract and call the required power monitoring data through the unit department terminal.
Further, the second determining module includes:
the receipt determining module is used for determining whether a receipt for completing data backup sent by the unit department terminal is received within a preset receipt receiving time period or not by the data management terminal when the data backup of the unit department terminal is monitored to be stopped;
the stopping module is used for stopping monitoring the unit department terminal aiming at the data backup process when the receipt for completing the data backup is received;
and the completion determining module is used for determining whether the unit department terminal completes data backup according to the data backup condition of the unit department terminal when the data management terminal does not receive the completion data backup receipt sent by the unit department terminal in the receipt receiving time period.
Further, the completion determination module includes:
the scanning module is used for scanning the network disk data corresponding to the unit department terminal and acquiring the backup quantity corresponding to the backup data currently uploaded to the network disk by the unit department terminal;
the comparison and judgment module is used for comparing the data volume corresponding to the backup data currently uploaded to the network disk by the unit department terminal with the data volume corresponding to the data to be backed up acquired by the unit department from the extracted data management terminal; if the data volume corresponding to the backup data uploaded to the network disk by the unit department terminal is the same as the data volume corresponding to the data to be backed up, determining that the unit department terminal completes data backup; if the data volume corresponding to the backup data uploaded to the network disk by the unit department terminal currently is less than the data volume corresponding to the data to be backed up, determining that the unit department terminal does not complete data backup;
the data management terminal is used for determining whether the unit department terminal completes data backup or not, and then monitoring the unit department terminal for a data backup process; when the unit department terminal eliminates the fault to generate a finished data backup receipt and sends the finished data backup receipt to the data management terminal, the finished data backup receipt replaces the data backup finishing record list;
a generation date acquisition module, configured to scan a network disk corresponding to the unit department terminal after the data management terminal determines that the unit department terminal does not complete data backup, acquire a data generation date labeled in data stored in the network disk correspondingly when the unit department terminal stops data uploading, and use the data generation date as a node date; the data backup principle is that backup is carried out according to the time sequence of data generation;
the data management terminal is used for receiving the data to be backed up from the node date to the data generation date of the backup cut-off data corresponding to the data to be backed up required by the department terminal, and sending the data to the data uploading module; and simultaneously, sending a data uploading continuing instruction to a network disk corresponding to the terminal of the department of the unit.
Further, the sending module includes:
the verification code generation module is used for generating a dynamic verification code by using a network disk login password corresponding to the unit department terminal and a data generation date marked in data correspondingly stored in the network disk when the unit department terminal stops uploading the data after the network disk corresponding to the unit department terminal receives a data uploading continuing instruction, and sending the dynamic verification code to a background server of the power monitoring system;
the locking module is used for locking the dynamic verification code after the background server receives the dynamic verification code, and the locked dynamic verification code is only allowed to be sent but not to be accessed and extracted;
the safety authentication module is used for sending a dynamic verification code acquisition request to a background server after the data uploading module receives the unfinished backup data packet, and carrying out safety authentication with the background server; when the data uploading module passes the safety certification of the background server, the dynamic verification code is sent to the data uploading module;
the comparison module is used for sending the dynamic verification code to the network disk by the data uploading module and comparing the dynamic verification code sent by the data uploading module with the dynamic verification code generated by the network disk for the last time by the network disk;
the establishing module is used for establishing data transmission between the network disk and the data uploading module when the dynamic verification code sent by the data uploading module by the network disk is consistent with the dynamic verification code generated by the network disk for the last time; after the network disk and the data uploading module establish data transmission, the data uploading module uploads the data in the unfinished backup data packet to the network disk.
When the dynamic verification code sent by the data uploading module by the network disk is inconsistent with the dynamic verification code generated by the network disk for the last time, the network disk refuses to establish data transmission with the data uploading module; after receiving a request of refusing to establish data transmission from the network disk, the data uploading module acquires the latest dynamic verification code from the background again and performs security authentication with the network disk, if the data uploading module does not pass the security authentication of the network disk for three times continuously, the default is that data uploading is not performed on unfinished backup data packets any more, and the unfinished backup data packets are reserved; meanwhile, sending a data backup receipt finished by the department terminal to the data management terminal; and after the terminal of the department of the unit recovers the data uploading function again, the unfinished backup data packet is called from the data uploading module terminal, and the data in the unfinished backup data packet is uploaded to the network disk.
Further, the verification code generation module includes:
the generating module is used for generating a dynamic verification code by using a network disk login password and a data generation date marked in the data correspondingly stored in the network disk when the unit department terminal stops uploading the data at a preset time interval by the network disk, and sending the newly generated dynamic verification code to the background server, wherein the dynamic verification code is generated by the following formula:
Figure BDA0002943551890000061
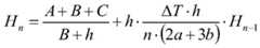
wherein Hn Represents the generated dynamic authentication code, and Hn Is an upward rounding function; a represents the number corresponding to the year in the data generation date marked in the data correspondingly stored in the network disk when the unit department terminal stops uploading the data; b represents the number corresponding to the month in the data generation date marked in the data correspondingly stored in the network disk when the unit department terminal stops uploading the data; c represents the mark in the data correspondingly stored in the network disk when the unit department terminal stops uploading the dataThe date of generation of the data of (a) is a number corresponding to the date of generation of the date; h represents the sum of the digital parts in the network disk login password; n represents the generation times of the current dynamic verification code; hn-1 Represents the dynamic verification code generated at the (n-1) th time, and when n is equal to 1, Hn-1 (1.5A +2B)/(2B + 0.5C); a represents the number corresponding to the clock of the corresponding time generated by the current generated dynamic verification code, wherein the clock is defined by a 24-hour rule; b represents the number corresponding to the second of the corresponding time generated by the current dynamic verification code; delta T represents the time interval of the dynamic verification code replacement of the network disk;
and the replacing module is used for replacing the original dynamic verification code by using the newly generated dynamic verification code and deleting the original dynamic verification code after the background server receives the newly generated dynamic verification code.
The invention has the beneficial effects that:
in the method and the system for backing up the big data of the power monitoring system, when a unit department terminal cannot complete the current data backup due to faults, unfinished backup data is stored in an independent data uploading module and bypasses a unit department terminal machine to upload the independent data of a network disk corresponding to the unit department terminal until the data backup work corresponding to the unit department terminal is completed. By the method, when a data long-distance transmission fault occurs at a terminal of a department of a unit, data backup can still be completed through the third-party independent module, the data backup efficiency and the success rate are effectively improved, the data which need to be deleted in the data management terminal after the data storage area of the data management terminal exceeds the storage capacity threshold can be achieved, and 100% of data backup at the terminal of the department of the unit can be achieved.
Drawings
FIG. 1 is a flow chart of the method of the present invention;
fig. 2 is a schematic structural diagram of the system of the present invention.
Detailed Description
The preferred embodiments of the present invention will be described in conjunction with the accompanying drawings, and it will be understood that they are described herein for the purpose of illustration and explanation and not limitation.
The invention provides an efficient power monitoring big data backup method, a data management terminal of a power monitoring system comprises a plurality of data storage areas formed by taking data types as division principles, and the method comprises the following steps:
s1, when the data management terminal detects that the data storage quantity in the data storage area exceeds a preset storage quantity threshold value, sending a data backup instruction to each unit department terminal of data calling and application of the data storage area exceeding the storage quantity threshold value; after receiving the data backup instruction, each unit department performs data extraction on a data management terminal, and after acquiring data to be backed up, the data to be backed up is uploaded to a network disk corresponding to the unit department terminal for data backup; the data transmitted by the power monitoring system and stored in the data storage area are marked with data generation dates;
s2, monitoring the data backup process of the unit department terminal in real time in the process of data backup of each unit department terminal, and judging whether the data backup process of the unit department terminal is stopped or not;
s3, when the data backup of the unit department terminal is monitored to stop, judging whether the unit department terminal completes the normal data backup according to whether the unit department terminal sends a data backup completion receipt;
and S4, when the data management terminal monitors that the unit department terminal does not finish data backup, the data management terminal sends the data which are not backed up and are left by the unit department terminal to a data uploading module corresponding to the data management terminal, and the data which are not backed up and are left by the unit department terminal are uploaded to a network disk corresponding to the unit department terminal through the data uploading module.
The data management terminal manages and stores the power operation data acquired by the power monitoring system, and supports each unit department to inquire, extract and call the required power monitoring data through the unit department terminal.
The effect of the above technical scheme is as follows: in the constitution of backup of big data of the power monitoring system, when a unit department terminal cannot complete current data backup due to failure, unfinished backup data is stored in an independent data uploading module and bypasses a unit department terminal machine to upload independent data to a network disk corresponding to the unit department terminal until the data backup work corresponding to the unit department terminal is completed. By the method, when a data long-distance transmission fault occurs at a terminal of a department of a unit, data backup can still be completed through the third-party independent module, so that the data backup efficiency and the success rate are effectively improved, the data which needs to be deleted in the data management terminal after a data storage area of the data management terminal exceeds a storage threshold value can be obtained, and 100% of data backup interrupted at the department of the unit can be realized.
According to one embodiment of the present invention, when it is monitored that the data backup of the unit department terminal is stopped, whether the unit department terminal normally completes the data backup is determined according to whether the unit department terminal sends a data backup completion receipt; the method comprises the following steps:
s301, when monitoring that the data backup of the unit department terminal is stopped, the data management terminal determines whether a receipt for completing the data backup sent by the unit department terminal is received within a preset receipt receiving time period;
s302, when the receipt for completing the data backup is received, stopping monitoring the data backup process of the unit department terminal;
and S303, when the data management terminal does not receive the receipt for completing the data backup sent by the unit department terminal in the receipt receiving time period, determining whether the unit department terminal completes the data backup according to the data backup condition of the unit department terminal.
When the data management terminal does not receive the receipt for completing the data backup sent by the unit department terminal within the receipt receiving time period, determining whether the unit department terminal completes the data backup according to the data backup condition of the unit department terminal, wherein the step of determining whether the unit department terminal completes the data backup comprises the following steps:
s3031, scanning the network disk data corresponding to the unit department terminal, and acquiring the backup quantity corresponding to the backup data currently uploaded to the network disk by the unit department terminal;
s3032, comparing the data volume corresponding to the backup data currently uploaded to the network disk by the unit department terminal with the data volume corresponding to the data to be backed up acquired by the unit department from the extracted data management terminal; if the data volume corresponding to the backup data uploaded to the network disk by the unit department terminal is the same as the data volume corresponding to the data to be backed up, determining that the unit department terminal completes data backup; if the data volume corresponding to the backup data uploaded to the network disk by the unit department terminal currently is less than the data volume corresponding to the data to be backed up, determining that the unit department terminal does not complete data backup;
s3033, after the data management terminal determines that the unit department terminal completes data backup, the data management terminal stops monitoring the unit department terminal for a data backup process and generates a data backup completion record sheet corresponding to the unit department terminal; when the unit department terminal eliminates the fault to generate a finished data backup receipt and sends the finished data backup receipt to the data management terminal, the finished data backup receipt replaces the data backup finishing record list;
s3034, after the data management terminal determines that the unit department terminal does not finish data backup, scanning a network disk corresponding to the unit department terminal, and acquiring data generation date marked in data correspondingly stored in the network disk when the unit department terminal stops data uploading, wherein the data generation date is used as a node date;
s3035, the data management terminal packs all data to be backed up between the node date and the data generation date of the backup cut-off data corresponding to the data to be backed up required by the unit department terminal into unfinished backup data packets, and sends the unfinished backup data packets to the data uploading module; and simultaneously, sending a data uploading continuing instruction to a network disk corresponding to the terminal of the department of the unit.
The effect of the above technical scheme is: the accuracy of detection whether the backup data is completed or not is effectively improved, all data corresponding to the detected node date are contained in the data packet for completing the backup, data omission can be effectively avoided, incomplete data backup is prevented, and the integrity of the data backup is effectively improved.
In an embodiment of the present invention, when the data management terminal monitors that the unit department terminal does not complete data backup, the data management terminal sends the remaining data that is not backed up by the unit department terminal to a data uploading module corresponding to the data management terminal, and uploads the remaining data that is not backed up by the data uploading module to a network disk corresponding to the unit department terminal, the method includes:
s401, after receiving a data uploading continuing instruction, a network disk corresponding to the unit department terminal generates a dynamic verification code by a network disk login password and a data generation date marked in data correspondingly stored in the network disk when the unit department terminal stops uploading the data, and sends the dynamic verification code to a background server of the power monitoring system;
s402, after receiving the dynamic verification code, the background server locks the dynamic verification code, and the locked dynamic verification code is only allowed to be sent and is not allowed to be accessed and extracted;
s403, after receiving the unfinished backup data packet, the data uploading module sends a dynamic verification code acquisition request to a background server, and performs security authentication with the background server; when the data uploading module passes the safety certification of the background server, the dynamic verification code is sent to the data uploading module;
s404, the data uploading module sends the dynamic verification code to the network disk, and the dynamic verification code sent by the data uploading module is compared with the dynamic verification code generated by the network disk for the last time through the network disk;
s405, when the dynamic verification code sent by the data uploading module is consistent with the dynamic verification code generated by the network disk for the last time, the network disk and the data uploading module establish data transmission; after the network disk and the data uploading module establish data transmission, the data uploading module uploads the data in the unfinished backup data packet to the network disk.
When the dynamic verification code sent by the data uploading module by the network disk is inconsistent with the dynamic verification code generated by the network disk for the last time, the network disk refuses to establish data transmission with the data uploading module; after receiving a request of refusing to establish data transmission from the network disk, the data uploading module acquires the latest dynamic verification code from the background again and performs security authentication with the network disk, if the data uploading module does not pass the security authentication of the network disk for three times continuously, the default is that data uploading is not performed on unfinished backup data packets any more, and the unfinished backup data packets are reserved; meanwhile, sending a data backup receipt finished by the department terminal to the data management terminal; and after the terminal of the department of the unit recovers the data uploading function again, the unfinished backup data packet is called from the terminal of the data uploading module, and the data in the unfinished backup data packet is uploaded to the network disk.
After receiving a data uploading continuing instruction, the network disk corresponding to the unit department terminal generates a dynamic verification code by using a network disk login password and data generation date marked in data correspondingly stored in the network disk when the unit department terminal stops uploading the data, and sends the dynamic verification code to a background server of the power monitoring system, and the method comprises the following steps:
s4011, the network disk generates a dynamic verification code at preset time intervals by using a network disk login password and a data generation date marked in the data correspondingly stored in the network disk when the unit department terminal stops uploading the data, and transmits the newly generated dynamic verification code to a background server, wherein the dynamic verification code is generated by the following formula:
Figure BDA0002943551890000101
wherein Hn Represents the generated dynamic authentication code, and Hn Is an upward rounding function; a represents a number corresponding to the year in the data generation date marked in the data correspondingly stored in the network disk when the unit department terminal stops uploading the data; b represents the number corresponding to the month in the data generation date marked in the data correspondingly stored in the network disk when the unit department terminal stops uploading the data; c represents the number corresponding to the date of data generation marked in the data correspondingly stored in the network disk when the unit department terminal stops uploading the data; h represents the sum of the digital parts in the network disk login password; n represents the generation times of the current dynamic verification code; hn-1 Represents the dynamic verification code generated at the n-1 th time, and when n is equal to 1, Hn-1 (1.5A +2B)/(2B + 0.5C); a represents the number corresponding to the clock of the corresponding time generated by the current generated dynamic verification code, wherein the clock is defined by a 24-hour rule; b represents the number corresponding to the second of the corresponding time generated by the current dynamic verification code; delta T represents the time interval of the dynamic verification code replacement of the network disk;
s4012, after receiving the newly generated dynamic verification code, the background server replaces the original dynamic verification code with the newly generated dynamic verification code and deletes the original dynamic verification code.
The effect of the above technical scheme is as follows: when the unit department terminal cannot complete the current data backup due to the failure, the uncompleted backup data is stored in an independent data uploading module and bypasses a unit department terminal machine, and the network disk corresponding to the unit department terminal is uploaded with independent data until the data backup work corresponding to the unit department terminal is completed. By the method, when a data long-distance transmission fault occurs at a terminal of a department of a unit, data backup can still be completed through the third-party independent module, so that the data backup efficiency and the success rate are effectively improved, the data which needs to be deleted in the data management terminal after a data storage area of the data management terminal exceeds a storage threshold value can be obtained, and 100% of data backup interrupted at the department of the unit can be realized.
Meanwhile, the security authentication mode between the data uploading module and the network disk can effectively improve the security of data transmission, and prevent other malicious third parties from obtaining the dynamic verification code and logging in the network disk to steal the data in the network disk. On the other hand, the dynamic verification code obtained by the formula can be generated by combining the node date and the dynamic time when the data uploading is stopped, so that the random variability and the generation flexibility of the dynamic verification code are effectively improved, the generation rule of the dynamic verification code obtained by a malicious third party can be effectively prevented from imitating the generation of the dynamic verification code, and the safety and the reliability of data transmission are further effectively improved.
An embodiment of the present invention provides an efficient power monitoring big data backup system, and as shown in fig. 2, a data management terminal of the power monitoring system includes a plurality of data storage areas formed by using data types as division principles, and the big data backup system includes:
the backup module is used for sending a data backup instruction to each unit department terminal for data calling and application in the data storage area exceeding the storage threshold when the data management terminal detects that the data storage amount in the data storage area exceeds the preset storage threshold; after receiving the data backup instruction, each unit department performs data extraction on a data management terminal, and after acquiring data to be backed up, the data to be backed up is uploaded to a network disk corresponding to the unit department terminal for data backup; the data transmitted by the power monitoring system and stored in the data storage area are marked with data generation dates;
the first judging module is used for monitoring the data backup process of the unit department terminal in real time in the data backup process of each unit department terminal and judging whether the data backup process of the unit department terminal is stopped or not;
a second judging module, when the data backup of the unit department terminal is stopped, judging whether the unit department terminal normally completes the data backup according to whether the unit department terminal sends a data backup completion receipt;
and the sending module is used for sending the data which are not backed up and remain in the unit department terminal to the data uploading module corresponding to the data management terminal by the data management terminal when the data management terminal monitors that the unit department terminal does not finish data backup, and uploading the data which are not backed up and remain in the unit department terminal to the network disk corresponding to the unit department terminal by the data uploading module.
The data management terminal manages and stores the power operation data acquired by the power monitoring system, and supports each unit department to inquire, extract and call the required power monitoring data through the unit department terminal.
The second judging module comprises:
the receipt determining module is used for determining whether a receipt for completing data backup sent by the unit department terminal is received within a preset receipt receiving time period or not when the data backup of the unit department terminal is monitored to be stopped;
the stopping module is used for stopping monitoring the unit department terminal aiming at the data backup process when receiving the data backup completion receipt;
and the completion determining module is used for determining whether the unit department terminal completes data backup according to the data backup condition of the unit department terminal when the data management terminal does not receive the completion data backup receipt sent by the unit department terminal in the receipt receiving time period.
The completion determination module includes:
the scanning module is used for scanning the network disk data corresponding to the unit department terminal and acquiring the backup quantity corresponding to the backup data currently uploaded to the network disk by the unit department terminal;
the comparison and judgment module is used for comparing the data volume corresponding to the backup data currently uploaded to the network disk by the unit department terminal with the data volume corresponding to the data to be backed up acquired by the unit department from the extracted data management terminal; if the data volume corresponding to the backup data uploaded to the network disk by the unit department terminal is the same as the data volume corresponding to the data to be backed up, determining that the unit department terminal completes data backup; if the data volume corresponding to the backup data uploaded to the network disk by the unit department terminal currently is less than the data volume corresponding to the data to be backed up, determining that the unit department terminal does not complete data backup;
the data management terminal is used for determining whether the unit department terminal completes data backup or not, and generating a data backup completion record sheet corresponding to the unit department terminal; when the unit department terminal eliminates the fault to generate a finished data backup receipt and sends the finished data backup receipt to the data management terminal, the finished data backup receipt replaces the data backup finishing record list;
a generation date acquisition module, configured to scan a network disk corresponding to the unit department terminal after the data management terminal determines that the unit department terminal does not complete data backup, acquire a data generation date labeled in data stored in the network disk correspondingly when the unit department terminal stops data uploading, and use the data generation date as a node date; the data backup principle is that backup is carried out according to the time sequence of data generation;
the data management terminal is used for receiving the data to be backed up from the node date to the data generation date of the backup cut-off data corresponding to the data to be backed up required by the unit department terminal, and sending the data to the data uploading module; and simultaneously, sending a data uploading continuing instruction to a network disk corresponding to the terminal of the department of the unit.
The sending module comprises:
the verification code generation module is used for generating a dynamic verification code by using a network disk login password corresponding to the unit department terminal and a data generation date marked in data correspondingly stored in the network disk when the unit department terminal stops uploading the data after the network disk corresponding to the unit department terminal receives a data uploading continuing instruction, and sending the dynamic verification code to a background server of the power monitoring system;
the locking module is used for locking the dynamic verification code after the background server receives the dynamic verification code, and the locked dynamic verification code is only allowed to be sent and is not allowed to be accessed and extracted;
the safety certification module is used for sending a dynamic verification code acquisition request to a background server after the data uploading module receives the unfinished backup data packet, and carrying out safety certification on the data uploading module and the background server; when the data uploading module passes the safety certification of the background server, the dynamic verification code is sent to the data uploading module;
the comparison module is used for sending the dynamic verification code to the network disk by the data uploading module and comparing the dynamic verification code sent by the data uploading module with the dynamic verification code generated by the network disk for the last time by the network disk;
the establishing module is used for establishing data transmission between the network disk and the data uploading module when the dynamic verification code sent by the data uploading module by the network disk is consistent with the dynamic verification code generated by the network disk for the last time; after the network disk and the data uploading module establish data transmission, the data uploading module uploads the data in the unfinished backup data packet to the network disk.
When the dynamic verification code sent by the data uploading module by the network disk is inconsistent with the dynamic verification code generated by the network disk for the last time, the network disk refuses to establish data transmission with the data uploading module; after receiving a request of refusing to establish data transmission from the network disk, the data uploading module acquires the latest dynamic verification code from the background again and performs security authentication with the network disk, if the data uploading module does not pass the security authentication of the network disk for three times continuously, the default is that data uploading is not performed on unfinished backup data packets any more, and the unfinished backup data packets are reserved; meanwhile, sending a data backup receipt finished by the department terminal to the data management terminal; and after the terminal of the department of the unit recovers the data uploading function again, the unfinished backup data packet is called from the data uploading module terminal, and the data in the unfinished backup data packet is uploaded to the network disk.
The verification code generation module comprises:
the generating module is used for generating a dynamic verification code by using a network disk login password and a data generation date marked in the data correspondingly stored in the network disk when the unit department terminal stops uploading the data at a preset time interval by the network disk, and sending the newly generated dynamic verification code to the background server, wherein the dynamic verification code is generated by the following formula:
Figure BDA0002943551890000131
wherein Hn Represents the generated dynamic authentication code, and Hn Is an upward rounding function; a represents a number corresponding to the year in the data generation date marked in the data correspondingly stored in the network disk when the unit department terminal stops uploading the data; b represents the number corresponding to the month in the data generation date marked in the data correspondingly stored in the network disk when the unit department terminal stops uploading the data; c represents the number corresponding to the date of data generation marked in the data correspondingly stored in the network disk when the unit department terminal stops uploading the data; h represents the sum of the digital parts in the network disk login password; n represents the generation times of the current dynamic verification code; hn-1 Represents the dynamic verification code generated at the n-1 th time, and when n is equal to 1, Hn-1 (1.5A +2B)/(2B + 0.5C); a represents the number corresponding to the clock of the corresponding time generated by the current generated dynamic verification code, wherein the clock is defined by a 24-hour rule; b representsA number corresponding to seconds corresponding to the time generated by the current dynamic verification code; delta T represents the time interval of the dynamic verification code replacement of the network disk;
and the replacing module is used for replacing the original dynamic verification code by using the newly generated dynamic verification code and deleting the original dynamic verification code after the background server receives the newly generated dynamic verification code.
The effect of the above technical scheme is: in the big data backup system of the power monitoring system, in the constitution of backup of big data of the power monitoring system, when a unit department terminal cannot complete current data backup due to a fault, unfinished backup data is stored in an independent data uploading module and bypasses a unit department terminal machine, and independent data uploading is performed on a network disk corresponding to the unit department terminal until data backup work corresponding to the unit department terminal is completed. By the method, when a data long-distance transmission fault occurs at a terminal of a department of a unit, data backup can still be completed through the third-party independent module, the data backup efficiency and the success rate are effectively improved, the data which need to be deleted in the data management terminal after the data storage area of the data management terminal exceeds the storage capacity threshold can be achieved, and 100% of data backup interrupted in the department of the unit can be achieved.
It will be apparent to those skilled in the art that various changes and modifications may be made in the present invention without departing from the spirit and scope of the invention. Thus, if such modifications and variations of the present invention fall within the scope of the claims of the present invention and their equivalents, the present invention is also intended to include such modifications and variations.

Claims (10)

1. A power monitoring big data backup method is characterized in that a data management terminal of a power monitoring system comprises a plurality of data storage areas formed by taking data types as division principles, and the method comprises the following steps:
when the data management terminal detects that the data storage amount in the data storage area exceeds a preset storage amount threshold value, sending a data backup instruction to each unit department terminal of data calling and application of the data storage area exceeding the storage amount threshold value; after receiving the data backup instruction, each unit department performs data extraction on a data management terminal, acquires data to be backed up, and uploads the data to be backed up to a network disk corresponding to the unit department terminal for data backup; the data transmitted by the power monitoring system and stored in the data storage area are marked with data generation dates;
monitoring the data backup process of the unit department terminal in real time in the data backup process of each unit department terminal, and judging whether the data backup process of the unit department terminal is stopped or not;
when the data backup of the unit department terminal is stopped, judging whether the unit department terminal completes normal data backup according to whether the unit department terminal sends a data backup completion receipt;
when the data management terminal monitors that the unit department terminal does not complete data backup, the data management terminal sends the data which are not backed up in the unit department terminal to a data uploading module corresponding to the data management terminal, and the data which are not backed up in the unit department terminal are uploaded to a network disk corresponding to the unit department terminal through the data uploading module.
2. The method according to claim 1, wherein when it is monitored that the data backup of the unit department terminal is stopped, it is determined whether the unit department terminal normally completes the data backup according to whether the unit department terminal transmits a data backup completion receipt; the method comprises the following steps:
when monitoring that the data backup of the unit department terminal is stopped, the data management terminal determines whether a finished data backup receipt sent by the unit department terminal is received within a preset receipt receiving time period;
when the receipt for completing the data backup is received, stopping monitoring the unit department terminal aiming at the data backup process;
and when the data management terminal does not receive the receipt for completing the data backup sent by the unit department terminal in the receipt receiving time period, determining whether the unit department terminal completes the data backup according to the data backup condition of the unit department terminal.
3. The method of claim 2, wherein when the data management terminal does not receive a response to complete data backup sent by the unit department terminal within the response receipt receiving period, determining whether the unit department terminal completes data backup according to the data backup situation of the unit department terminal comprises:
scanning the network disk data corresponding to the unit department terminal, and acquiring the backup quantity corresponding to the backup data currently uploaded to the network disk by the unit department terminal;
comparing the data volume corresponding to the backup data currently uploaded to the network disk by the unit department terminal with the data volume corresponding to the data to be backed up acquired by the unit department from the extracted data management terminal; if the data volume corresponding to the backup data uploaded to the network disk by the unit department terminal is the same as the data volume corresponding to the data to be backed up, determining that the unit department terminal completes data backup; if the data quantity corresponding to the backup data currently uploaded to the network disk by the unit department terminal is less than the data quantity corresponding to the data to be backed up, determining that the unit department terminal does not complete data backup;
after the data management terminal determines that the unit department terminal completes data backup, the data management terminal stops monitoring the unit department terminal for a data backup process and generates a data backup completion record sheet corresponding to the unit department terminal; when the unit department terminal eliminates the fault to generate a finished data backup receipt and sends the finished data backup receipt to the data management terminal, the finished data backup receipt replaces the data backup finishing record list;
after the data management terminal determines that the unit department terminal does not finish data backup, scanning a network disk corresponding to the unit department terminal, and acquiring a data generation date marked in data correspondingly stored in the network disk when the unit department terminal stops data uploading, wherein the data generation date is used as a node date;
the data management terminal packs all data to be backed up between the node date and the data generation date of the backup cut-off data corresponding to the data to be backed up of the department terminal into unfinished backup data packets and sends the unfinished backup data packets to the data uploading module; and simultaneously, sending a data uploading continuing instruction to a network disk corresponding to the terminal of the department of the unit.
4. The method of claim 1, wherein when the data management terminal monitors that the unit department terminal does not complete data backup, the data management terminal sends the data of the unit department terminal that is not backed up to a data upload module corresponding to the data management terminal, and uploads the data of the unit department terminal that is not backed up to a network disk corresponding to the unit department terminal through the data upload module, the method comprises:
after the network disk corresponding to the unit department terminal receives the data uploading continuing instruction, generating a dynamic verification code by using a network disk login password and a data generation date marked in the data correspondingly stored in the network disk when the unit department terminal stops uploading the data, and sending the dynamic verification code to a background server of the power monitoring system;
after the background server receives the dynamic verification code, the dynamic verification code is locked, and the locked dynamic verification code is only allowed to be sent and is not allowed to be accessed and extracted;
after receiving the unfinished backup data packet, the data uploading module sends a dynamic verification code acquisition request to a background server and carries out security authentication with the background server; when the data uploading module passes the safety certification of the background server, the dynamic verification code is sent to the data uploading module;
the data uploading module sends the dynamic verification code to the network disk, and the dynamic verification code sent by the data uploading module is compared with the dynamic verification code generated by the network disk at the last time through the network disk;
when the dynamic verification code sent by the data uploading module is consistent with the dynamic verification code generated by the network disk for the last time, the network disk and the data uploading module establish data transmission; after the network disk and the data uploading module establish data transmission, the data uploading module uploads the data in the unfinished backup data packet to the network disk.
5. The method of claim 4, wherein after receiving the instruction to continue uploading data, the network disk corresponding to the unit department terminal generates a dynamic verification code from a network disk login password and a data generation date marked in data stored in the network disk when the unit department terminal stops uploading data, and sends the dynamic verification code to a background server of the power monitoring system, and the method comprises:
the method comprises the following steps that a dynamic verification code is generated by the network disk at preset time intervals by utilizing a network disk login password and data generation dates marked in data correspondingly stored in the network disk when a unit department terminal stops uploading the data, and the newly generated dynamic verification code is sent to a background server, wherein the dynamic verification code is generated by the following formula:
Figure FDA0002943551880000031
wherein Hn Represents the generated dynamic authentication code, and Hn Is an upward rounding function; a represents the number corresponding to the year in the data generation date marked in the data correspondingly stored in the network disk when the unit department terminal stops uploading the data; b represents the number corresponding to the month in the data generation date marked in the data correspondingly stored in the network disk when the unit department terminal stops uploading the data; c representsWhen the unit department terminal stops uploading data, the data marked in the data stored in the network disk correspondingly generates numbers corresponding to date; h represents the sum of the digital parts in the network disk login password; n represents the generation times of the current dynamic verification code; hn-1 Represents the dynamic verification code generated at the n-1 th time, and when n is equal to 1, Hn-1 (1.5A +2B)/(2B + 0.5C); a represents the number corresponding to the clock of the corresponding time generated by the current generated dynamic verification code, wherein the clock is defined by a 24-hour rule; b represents the number corresponding to the second of the corresponding time generated by the current dynamic verification code; delta T represents the time interval of the dynamic verification code replacement of the network disk;
and after receiving the newly generated dynamic verification code, the background server replaces the original dynamic verification code with the newly generated dynamic verification code and deletes the original dynamic verification code.
6. The power monitoring big data backup system is characterized in that a data management terminal of the power monitoring system comprises a plurality of data storage areas formed by taking data types as division principles, and the big data backup system comprises:
the backup module is used for sending data backup instructions to the terminals of all unit departments for data calling and application in the data storage area exceeding a preset storage threshold when the data management terminal detects that the data storage amount in the data storage area exceeds the preset storage threshold; after receiving the data backup instruction, each unit department performs data extraction on a data management terminal, acquires data to be backed up, and uploads the data to be backed up to a network disk corresponding to the unit department terminal for data backup; the data transmitted by the power monitoring system and stored in the data storage area are marked with data generation dates;
the first judging module is used for monitoring the data backup process of the unit department terminal in real time in the data backup process of each unit department terminal and judging whether the data backup process of the unit department terminal is stopped or not;
a second judging module, when the data backup of the unit department terminal is stopped, judging whether the unit department terminal normally completes the data backup according to whether the unit department terminal sends a data backup completion receipt;
and the sending module is used for sending the data which are not backed up and remain in the unit department terminal to the data uploading module corresponding to the data management terminal by the data management terminal when the data management terminal monitors that the unit department terminal does not finish data backup, and uploading the data which are not backed up and remain to the network disk corresponding to the unit department terminal by the data uploading module.
7. The system according to claim 6, wherein the second determining module comprises:
the receipt determining module is used for determining whether a receipt for completing data backup sent by the unit department terminal is received within a preset receipt receiving time period or not when the data backup of the unit department terminal is monitored to be stopped;
the stopping module is used for stopping monitoring the unit department terminal aiming at the data backup process when the receipt for completing the data backup is received;
and the completion determining module is used for determining whether the unit department terminal completes data backup according to the data backup condition of the unit department terminal when the data management terminal does not receive the completion data backup receipt sent by the unit department terminal in the receipt receiving time period.
8. The system of claim 7, wherein the completion determination module comprises:
the scanning module is used for scanning the network disk data corresponding to the unit department terminal and acquiring the backup quantity corresponding to the backup data currently uploaded to the network disk by the unit department terminal;
the comparison and judgment module is used for comparing the data volume corresponding to the backup data currently uploaded to the network disk by the unit department terminal with the data volume corresponding to the data to be backed up acquired by the unit department from the extracted data management terminal; if the data volume corresponding to the backup data uploaded to the network disk by the unit department terminal is the same as the data volume corresponding to the data to be backed up, determining that the unit department terminal completes data backup; if the data quantity corresponding to the backup data currently uploaded to the network disk by the unit department terminal is less than the data quantity corresponding to the data to be backed up, determining that the unit department terminal does not complete data backup;
the data management terminal is used for determining whether the unit department terminal completes data backup or not, and then monitoring the unit department terminal for a data backup process; when the unit department terminal eliminates the fault to generate a finished data backup receipt and sends the finished data backup receipt to the data management terminal, the finished data backup receipt replaces the data backup finishing record list;
a generation date acquisition module, configured to scan a network disk corresponding to the unit department terminal after the data management terminal determines that the unit department terminal does not complete data backup, acquire a data generation date labeled in data stored in the network disk correspondingly when the unit department terminal stops data uploading, and use the data generation date as a node date;
the data management terminal is used for receiving the data to be backed up from the node date to the data generation date of the backup cut-off data corresponding to the data to be backed up required by the department terminal, and sending the data to the data uploading module; and simultaneously, sending a data uploading continuing instruction to a network disk corresponding to the terminal of the department of the unit.
9. The system of claim 6, wherein the sending module comprises:
the verification code generation module is used for generating a dynamic verification code by using a network disk login password corresponding to the unit department terminal and a data generation date marked in data correspondingly stored in the network disk when the unit department terminal stops uploading the data after the network disk corresponding to the unit department terminal receives a data uploading continuing instruction, and sending the dynamic verification code to a background server of the power monitoring system;
the locking module is used for locking the dynamic verification code after the background server receives the dynamic verification code, and the locked dynamic verification code is only allowed to be sent but not to be accessed and extracted;
the safety authentication module is used for sending a dynamic verification code acquisition request to a background server after the data uploading module receives the unfinished backup data packet, and carrying out safety authentication with the background server; when the data uploading module passes the safety certification of the background server, the dynamic verification code is sent to the data uploading module;
the comparison module is used for sending the dynamic verification code to the network disk by the data uploading module and comparing the dynamic verification code sent by the data uploading module with the dynamic verification code generated by the network disk for the last time by the network disk;
the establishing module is used for establishing data transmission between the network disk and the data uploading module when the dynamic verification code sent by the data uploading module by the network disk is consistent with the dynamic verification code generated by the network disk for the last time; after the network disk and the data uploading module establish data transmission, the data uploading module uploads the data in the unfinished backup data packet to the network disk.
10. The system of claim 9, wherein the verification code generation module comprises:
the generating module is used for generating a dynamic verification code by using a network disk login password and a data generation date marked in the data correspondingly stored in the network disk when the unit department terminal stops uploading the data at a preset time interval by the network disk, and sending the newly generated dynamic verification code to the background server, wherein the dynamic verification code is generated by the following formula:
Figure FDA0002943551880000051
wherein Hn Represents the generated dynamic authentication code, and Hn Is an upward rounding function; a represents the number corresponding to the year in the data generation date marked in the data correspondingly stored in the network disk when the unit department terminal stops uploading the data; b represents the number corresponding to the month in the data generation date marked in the data correspondingly stored in the network disk when the unit department terminal stops uploading the data; c represents the number corresponding to the date of data generation marked in the data correspondingly stored in the network disk when the unit department terminal stops uploading the data; h represents the sum of the digital parts in the network disk login password; n represents the generation times of the current dynamic verification code; hn-1 Represents the dynamic verification code generated at the n-1 th time, and when n is equal to 1, Hn-1 (1.5A +2B)/(2B + 0.5C); a represents the number corresponding to the clock of the corresponding time generated by the current generated dynamic verification code, wherein the clock is defined by a 24-hour rule; b represents the number corresponding to the second of the corresponding time generated by the current dynamic verification code; delta T represents the time interval of the dynamic verification code replacement of the network disk;
and the replacing module is used for replacing the original dynamic verification code by using the newly generated dynamic verification code and deleting the original dynamic verification code after the background server receives the newly generated dynamic verification code.
CN202110187507.2A2021-02-182021-02-18Power monitoring big data backup method and systemActiveCN112925674B (en)

Priority Applications (1)

Application NumberPriority DateFiling DateTitle
CN202110187507.2ACN112925674B (en)2021-02-182021-02-18Power monitoring big data backup method and system

Applications Claiming Priority (1)

Application NumberPriority DateFiling DateTitle
CN202110187507.2ACN112925674B (en)2021-02-182021-02-18Power monitoring big data backup method and system

Publications (2)

Publication NumberPublication Date
CN112925674A CN112925674A (en)2021-06-08
CN112925674Btrue CN112925674B (en)2022-07-26

Family

ID=76171488

Family Applications (1)

Application NumberTitlePriority DateFiling Date
CN202110187507.2AActiveCN112925674B (en)2021-02-182021-02-18Power monitoring big data backup method and system

Country Status (1)

CountryLink
CN (1)CN112925674B (en)

Citations (3)

* Cited by examiner, † Cited by third party
Publication numberPriority datePublication dateAssigneeTitle
US7478101B1 (en)*2003-12-232009-01-13Networks Appliance, Inc.System-independent data format in a mirrored storage system environment and method for using the same
CN103229165A (en)*2010-08-122013-07-31安全第一公司Systems and methods for secure remote storage
CN107690623A (en)*2015-05-282018-02-13甲骨文国际公司 Automated anomaly detection and resolution system

Family Cites Families (1)

* Cited by examiner, † Cited by third party
Publication numberPriority datePublication dateAssigneeTitle
US11627639B2 (en)*2015-01-262023-04-11Ievgen VerzunMethods and apparatus for HyperSecure last mile communication

Patent Citations (3)

* Cited by examiner, † Cited by third party
Publication numberPriority datePublication dateAssigneeTitle
US7478101B1 (en)*2003-12-232009-01-13Networks Appliance, Inc.System-independent data format in a mirrored storage system environment and method for using the same
CN103229165A (en)*2010-08-122013-07-31安全第一公司Systems and methods for secure remote storage
CN107690623A (en)*2015-05-282018-02-13甲骨文国际公司 Automated anomaly detection and resolution system

Also Published As

Publication numberPublication date
CN112925674A (en)2021-06-08

Similar Documents

PublicationPublication DateTitle
CN107193490B (en)Distributed data storage system and method based on block chain
CN111476171A (en)Distributed object recognition system and method and edge computing equipment
WO2019047070A1 (en)Database maintenance method and system
CN106933843A (en)database heartbeat detecting method and device
CN118227415B (en) A blockchain-based archive information monitoring and management system
CN109918261A (en) Fault monitoring method, apparatus, device, and computer-readable storage medium
CN113485824A (en)API (application programming interface) interface management method of integrated operation and maintenance platform
CN116743603B (en)Safe operation and maintenance method and system for private cloud platform information system
CN111092960A (en)Distributed data acquisition system and operation method thereof
CN112686568A (en)Operation and maintenance strategy generation processing method, device, system, equipment and storage medium
CN112910868A (en)Enterprise network security management method and device, computer equipment and storage medium
CN112925674B (en)Power monitoring big data backup method and system
CN113872764B (en)Vehicle digital certificate management method and device
WO2022160698A1 (en)Communication method, system, and apparatus for metering automation system, and computer device
CN109495499B (en)Encryption algorithm-based communication protocol bidirectional verification automatic test tool and method
CN102801538A (en)Authentication and accounting method, device and system for local area network user, and network equipment
CN109039427B (en)Ship monitoring management device
CN106411987A (en)File uploading monitoring method and apparatus
CN112165476B (en)Method for distributed storage of privileged account passwords based on host agent
CN116701535A (en)Cross-platform task cooperation method based on block chain
CN110830281B (en) A hot backup method and system based on mesh network structure
CN115293769A (en)Dynamic management and check node system based on block chain
CN110310128B (en)False registration user filtering method and system
CN114154965A (en)Collaborative law enforcement and case handling management method and system based on block chain
CN116346378A (en) An edge device network and its usage method and device

Legal Events

DateCodeTitleDescription
PB01Publication
PB01Publication
SE01Entry into force of request for substantive examination
SE01Entry into force of request for substantive examination
TA01Transfer of patent application right

Effective date of registration:20220701

Address after:661507 Nalan power station, Nalan village, Mengla Town, Jinping County, Honghe Hani and Yi Autonomous Prefecture, Yunnan Province

Applicant after:YUNNAN DATANG INTERNATIONAL NALAN HYDROPOWER DEVELOPMENT Co.,Ltd.

Address before:100080 1505-270, 15th floor, 1 Zhongguancun Street, Haidian District, Beijing

Applicant before:Beijing Jiuhe Technology Co.,Ltd.

TA01Transfer of patent application right
GR01Patent grant
GR01Patent grant

[8]ページ先頭

©2009-2025 Movatter.jp