






技术领域technical field
本发明属于机电一体化与自动化控制技术领域,尤其涉及一种多拼接面形变及平面度精细调整系统、方法、设备及应用。The invention belongs to the technical field of electromechanical integration and automatic control, and in particular relates to a system, method, equipment and application for fine adjustment of deformation and flatness of multiple splicing surfaces.
背景技术Background technique
目前,在工厂的零件加工或存储操作中,通常对加工面的平面度有较高的要求。一旦由于外界因素如负载、温度造成加工面的变形,零件的质量会大大下降,就会对工厂造成一定的经济损失和不良的社会影响。针对上述问题,研究多拼接面形变及平面度精细调整系统是必要的。At present, the flatness of the machined surface is usually high in the part processing or storage operation in the factory. Once the processing surface is deformed due to external factors such as load and temperature, the quality of the parts will be greatly reduced, which will cause certain economic losses and adverse social impacts to the factory. In view of the above problems, it is necessary to study the multi-splicing surface deformation and flatness fine adjustment system.
目前,采用运动控制器的控制系统具有响应速度快、应用灵活、适应性强等优点,但由于市场上的产品主要是针对通用的使用环境开发,对于本文的多拼接面形变及平面度精细调整目的不能满足,所以需要设计专用的运动控制系统来对其进行精确控制,以便针对多拼接面形变及平面度调整的特点,定制出符合要求的产品。目前控制系统设计中常用的方法是基于ARM+FPGA架构实现的,两者都是独立元件,且需要片外总线通信的方式,但这种实现方式会占用ARM和FPGA的之间通讯总线的资源,抗干扰能力差,影响通讯速度,且通讯传递结构较为复杂。对于多拼接面形变及平面度精细调整系统,由于其运动支链多、信号处理实时性要求高、运算量大,减少资源消耗、加快通讯速度是必须要保证的。At present, the control system using the motion controller has the advantages of fast response, flexible application and strong adaptability. However, since the products on the market are mainly developed for the general use environment, the deformation and flatness of the multi-splicing surface in this paper are finely adjusted. The purpose cannot be satisfied, so it is necessary to design a special motion control system to precisely control it, so as to customize products that meet the requirements according to the characteristics of multi-splicing surface deformation and flatness adjustment. At present, the commonly used method in control system design is based on ARM+FPGA architecture, both of which are independent components, and require off-chip bus communication, but this implementation will occupy the resources of the communication bus between ARM and FPGA , The anti-interference ability is poor, which affects the communication speed, and the communication transmission structure is more complicated. For the multi-splicing surface deformation and flatness fine adjustment system, due to its many motion branches, high real-time signal processing requirements, and large computational load, it must be guaranteed to reduce resource consumption and speed up communication speed.
通过上述分析,现有技术存在的问题及缺陷为:目前市场上的运动控制产品存在灵活性和扩展性差、可移植性差、自主可控性差等缺点,且控制系统设计中常规独立元件ARM+FPGA方式实现方式会占用资源,抗干扰能力差,影响速度。在工厂的流水线等加工操作中,常会由于外界因素造成加工面的形变及平面度的改变,增加零件不合格的数量,造成工厂经济损失,耗费人力物力。Through the above analysis, the problems and defects of the existing technology are: the current motion control products on the market have shortcomings such as poor flexibility and scalability, poor portability, and poor autonomous controllability, and the conventional independent components ARM+FPGA in the control system design The implementation method will occupy resources, have poor anti-interference ability, and affect the speed. In the processing operations such as the assembly line of the factory, the deformation of the processing surface and the change of the flatness are often caused by external factors, increasing the number of unqualified parts, causing economic losses to the factory and consuming manpower and material resources.
解决以上问题及缺陷的难度为:首先,在解决运动控制产品存在的扩展性差的问题时,需要同时考虑到硬件和软件的要求,并且在整个系统平台搭建的过程中也要做到最大化的灵活性和可扩展性;其次,一般而言,一个特定的运动控制产品需要有专门上位机软件与之配套使用,当上位机软件从一个运行环境移植到另一个环境时,进行多平台融合时存在一定的困难;目前,以ARM+FPGA作为核心处理器的运动控制系统已经成为运动控制技术发展的主流方向,技术较为成熟,而要开发的Zynq-7000 SoC多核异构处理器,市场上所应用的产品并不太多,相对而言,没有太多的经验借以参考;同时,系统不仅要实现对多组拼接面的同步调整,保证平面度要求,还要通过并联冗余机构的位姿解析,调整拼接面变形,对于系统控制方法及程序的设计都有更高的要求。The difficulty of solving the above problems and defects is: first, when solving the problem of poor scalability of motion control products, it is necessary to consider the requirements of hardware and software at the same time, and to maximize the process of building the entire system platform. Flexibility and scalability; secondly, generally speaking, a specific motion control product needs to be used with special host computer software. When the host computer software is transplanted from one operating environment to another environment, when multi-platform integration is performed There are certain difficulties; at present, the motion control system with ARM+FPGA as the core processor has become the mainstream direction of motion control technology development, and the technology is relatively mature, and the Zynq-7000 SoC multi-core heterogeneous processor to be developed is widely used in the market. There are not many applied products, relatively speaking, there is not much experience to refer to; at the same time, the system not only needs to realize the synchronous adjustment of multiple sets of splicing surfaces to ensure the flatness requirements, but also through the pose of the parallel redundant mechanism Analysis and adjustment of the deformation of the splicing surface have higher requirements for the design of the system control method and program.
解决以上问题及缺陷的意义为:国内研究的大多数运动控制系统开发成本低、控制精度不高,适用于对精度要求不高的企业。与其他运动控制技术进行对比之后,采用Zynq-7000 SoC作为核心处理器,可以简化系统设计,片内总线AXI将ARM Cortex-A9硬核处理器与Xilinx 7系列FPGA高速互联,具有高性能、高带宽、低延迟的优点,提高了系统的响应速度;FPGA的并行处理能力,不仅降低了硬件成本,也使得系统的设计更加灵活,可靠性、扩展性和可移植性都大大增强;同时方便根据企业的特殊工艺要求和技术要求进行性能的个性化定制,形成独特的产品,使系统的设计可以根据不同的设计要求而进行特殊定制;另外,利用多拼接面形变的平面度精细调整系统可以迅速而又准确地对多拼接面形变及平面度进行调整,可以大大减少工厂经济损失,并帮助企业建立良好的社会形象,从而带动社会和经济的发展。未来,运动控制技术将会朝着开放式、数字化、智能化、网络化、高速率、高精度、高可靠性的趋势发展。The significance of solving the above problems and defects is that most of the motion control systems researched in China have low development costs and low control accuracy, and are suitable for enterprises that do not require high accuracy. After comparing with other motion control technologies, Zynq-7000 SoC is used as the core processor, which can simplify the system design. The on-chip bus AXI interconnects the ARM Cortex-A9 hard core processor with the Xilinx 7 series FPGA at high speed. The advantages of bandwidth and low latency improve the response speed of the system; the parallel processing capability of FPGA not only reduces the hardware cost, but also makes the system design more flexible, and the reliability, scalability and portability are greatly enhanced; According to the special process requirements and technical requirements of the enterprise, the performance can be customized to form unique products, so that the design of the system can be specially customized according to different design requirements; And accurately adjusting the deformation and flatness of the multi-splicing surface can greatly reduce the economic loss of the factory, and help the enterprise to establish a good social image, thereby driving the development of society and economy. In the future, motion control technology will develop towards the trend of openness, digitization, intelligence, networking, high speed, high precision and high reliability.
发明内容SUMMARY OF THE INVENTION
针对现有技术存在的问题,本发明提供了一种多拼接面形变及平面度精细调整系统、方法、设备及应用。In view of the problems existing in the prior art, the present invention provides a system, method, device and application for fine adjustment of deformation and flatness of multiple splicing surfaces.
本发明是这样实现的,一种多拼接面形变及平面度精细调整方法,所述多拼接面形变及平面度精细调整方法包括:The present invention is realized in this way, a method for fine adjustment of deformation and flatness of multiple splicing surfaces, and the method for fine adjustment of deformation and flatness of multiple splicing surfaces includes:
激光雷达测试拼接面的各个靶标点的坐标值,并通过RS422接口传给专用运动控制卡的ARM微处理器,ARM微处理器计算拼接面平面度,若平面度发生变化,先确定发生变形的拼接面,并解算出各支链需要调整的位移量,通过片内高速总线AXI传送给FPGA中的伺服驱动与位移检测IP;The laser radar tests the coordinate values of each target point on the splicing surface, and transmits it to the ARM microprocessor of the special motion control card through the RS422 interface. The ARM microprocessor calculates the flatness of the splicing surface. If the flatness changes, first determine the deformed one. splicing surface, and calculate the displacement amount that needs to be adjusted for each branch chain, and transmit it to the servo drive and displacement detection IP in the FPGA through the on-chip high-speed bus AXI;
FPGA的伺服驱动与位移检测IP将需要调整的位移量转换为对应交流伺服电机的方向及脉冲数发送给伺服驱动装置,伺服驱动装置驱动电控升降台上的伺服电机正反运转,控制拼接面平台的上下运动,利用安装在电控升降台上的增量式直线光栅传感器实时检测电控升降台的位移信息反馈给ARM端;The servo drive and displacement detection IP of the FPGA converts the displacement amount to be adjusted into the direction and pulse number of the corresponding AC servo motor and sends it to the servo drive device. The servo drive device drives the servo motor on the electronically controlled elevator to run forward and reverse to control the splicing surface For the up and down movement of the platform, the incremental linear grating sensor installed on the electronically controlled lifting platform is used to detect the displacement information of the electronically controlled lifting platform in real time and feed it back to the ARM terminal;
ARM端接收信息后,将解算出的各支链需要调整的位移量与增量式直线光栅传感器检测到的电控升降台的位移量进行比较,若两者差值不在允许的误差范围内,再次发送控制指令,控制电机运转,直至误差达到设计的精度要求,形成内闭环反馈系统;After the ARM terminal receives the information, it compares the calculated displacement of each branch that needs to be adjusted with the displacement of the electronically controlled lifting platform detected by the incremental linear grating sensor. If the difference between the two is not within the allowable error range, Send the control command again to control the operation of the motor until the error reaches the design accuracy requirement, forming an inner closed-loop feedback system;
拼接面平台在其可允许的运动范围内,每次调整完成后,通过激光雷达测量拼接面的各个靶标点坐标值,传给ARM端,ARM端计算平面度,若未在精度范围内,重复上述过程,直至多组拼接面平台的位姿达到调整系统的精度要求,形成外闭环反馈系统;The splicing surface platform is within its allowable range of motion. After each adjustment is completed, the coordinate values of each target point on the splicing surface are measured by the lidar, and transmitted to the ARM side. The ARM side calculates the flatness. If it is not within the accuracy range, repeat The above process is carried out until the poses of the multi-group splicing surface platforms meet the accuracy requirements of the adjustment system, forming an external closed-loop feedback system;
在电机运动过程中,若某电控升降台运动到达限位,或者完成上述调整运动,则向专用运动控制卡发送信号,触发中断,使交流伺服电机停止运转,控制系统停止运行;During the movement of the motor, if the movement of an electronically controlled lifting platform reaches the limit, or the above adjustment movement is completed, a signal will be sent to the special motion control card to trigger an interruption, so that the AC servo motor will stop running, and the control system will stop running;
某些拼接面因温度、负载等引起变形,则由ARM端根据形变状态,拟合出最佳的运动方案,在拼接面可允许的运动范围内,完成各拼接面的形变调整;同时,也可精确调整系统总的平面度,ARM端可控制多组拼接面运动,使系统达到理想的位姿状态;Some splicing surfaces are deformed due to temperature, load, etc., the ARM end fits the best motion plan according to the deformation state, and completes the deformation adjustment of each splicing surface within the allowable motion range of the splicing surface; The overall flatness of the system can be adjusted precisely, and the ARM side can control the movement of multiple groups of splicing surfaces, so that the system can achieve an ideal posture state;
多拼接面形变及平面度精细调整方法对多个拼接面都为同步调整,同一时间能完成对多个拼接面的控制,在短时间内即可完成对拼接面的形变及平面度的调整,调整效率高。The multi-splicing surface deformation and flatness fine adjustment method is synchronously adjusted for multiple splicing surfaces, and the control of multiple splicing surfaces can be completed at the same time, and the deformation and flatness adjustment of the splicing surfaces can be completed in a short time. The adjustment efficiency is high.
进一步,所述多拼接面形变及平面度精细调整方法采用双闭环测量反馈的方法,增量式直线光栅传感器实时测量电控升降台的位移量,将数据反馈至专用运动控制卡中进行调节,保证单条支链的运动精度≤0.5μm;激光雷达对调整平面的整体平面度进行测量反馈,在总面积为75m2~150m2时优化调整系统的平面度精度可达到≤4.5mm。Further, the multi-splicing surface deformation and flatness fine adjustment method adopts the method of double closed-loop measurement feedback, the incremental linear grating sensor measures the displacement of the electronically controlled lifting platform in real time, and feeds back the data to the special motion control card for adjustment, Ensure that the motion accuracy of a single branch chain is less than or equal to 0.5μm; the laser radar measures and feeds back the overall flatness of the adjustment plane. When the total area is 75m2 to 150m2 , the flatness accuracy of the optimized adjustment system can reach ≤4.5mm.
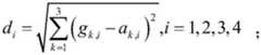
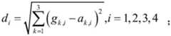
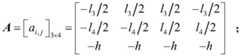
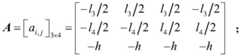
进一步,所述多拼接面形变及平面度精细调整方法采用并联冗余机构的位姿解析算法,以拼接面平台的几何中心为原点建立动态坐标系O-XYZ,以平台原点在地面上的对应点为原点建立静态坐标系O′-X′Y′Z′;拼接面四个靶标点Bi(i=1,2,3,4)与静态坐标系下对应点Ai(i=1,2,3,4)之间的距离表示为li(i=1,2,3,4),动态坐标原点O与静态坐标原点O′之间的距离为h;在运动过程中,动坐标系相对于静态参考坐标系的姿态用姿态角α、β、γ描述;根据坐标旋转变换可得,动坐标系到静态参考坐标系的坐标变换矩阵为:Further, the multi-splicing surface deformation and flatness fine adjustment method adopts the position and attitude analysis algorithm of the parallel redundant mechanism, establishes the dynamic coordinate system O-XYZ with the geometric center of the splicing surface platform as the origin, and takes the correspondence of the platform origin on the ground. The point is the origin to establish a static coordinate system O'-X'Y'Z'; the four target points Bi (i=1, 2, 3, 4) of the splicing surface and the corresponding point Ai (i=1, 4) under the static coordinate system The distance between 2,3,4) is expressed as li (i=1,2,3,4), and the distance between the dynamic coordinate origin O and the static coordinate origin O' is h; during the movement, the moving coordinate The attitude of the system relative to the static reference coordinate system is described by the attitude angles α, β, γ; according to the coordinate rotation transformation, the coordinate transformation matrix from the moving coordinate system to the static reference coordinate system is:
根据并联机构结构可知,Bi(i=1,2,3,4)在动坐标系下的坐标向量构成矩阵B表示为:According to the structure of the parallel mechanism, the coordinate vector composition matrix B of Bi (i=1, 2, 3, 4) in the moving coordinate system is expressed as:
Ai(i=1,2,3,4)在静态参考坐标系下的坐标向量构成矩阵A表示为:The coordinate vectors of Ai (i=1, 2, 3, 4) in the static reference coordinate system form a matrix A expressed as:
拼接面四个靶标点Bi(i=1,2,3,4)在静态参考坐标系下的坐标向量构成矩阵G表示为:The coordinate vector composition matrix G of the four target points Bi (i=1, 2, 3, 4) on the splicing surface in the static reference coordinate system is expressed as:
G=[gi,j]3×4=R·B;G=[gi,j ]3×4 =R·B;
那么拼接面4条运动支链的运动长度为:Then the motion length of the four motion branches on the splicing surface is:
完成机构的逆解,已知各靶标点的目标姿态,求各运动支链的运动距离。The inverse solution of the mechanism is completed, the target posture of each target point is known, and the motion distance of each motion branch is calculated.
本发明的另一目的在于提供一种计算机设备,所述计算机设备包括存储器和处理器,所述存储器存储有计算机程序,所述计算机程序被所述处理器执行时,使得所述处理器执行如下步骤:Another object of the present invention is to provide a computer device, the computer device includes a memory and a processor, the memory stores a computer program, and when the computer program is executed by the processor, the processor executes the following step:
激光雷达测试拼接面的各个靶标点的坐标值,并通过RS422接口传给专用运动控制卡的ARM微处理器,ARM微处理器计算拼接面平面度,若平面度发生变化,先确定发生变形的拼接面,并解算出各支链需要调整的位移量,通过片内高速总线AXI传送给FPGA中的伺服驱动与位移检测IP;The laser radar tests the coordinate values of each target point on the splicing surface, and transmits it to the ARM microprocessor of the special motion control card through the RS422 interface. The ARM microprocessor calculates the flatness of the splicing surface. If the flatness changes, first determine the deformed one. splicing surface, and calculate the displacement amount that needs to be adjusted for each branch chain, and transmit it to the servo drive and displacement detection IP in the FPGA through the on-chip high-speed bus AXI;
FPGA的伺服驱动与位移检测IP将需要调整的位移量转换为对应交流伺服电机的方向及脉冲数发送给伺服驱动装置,伺服驱动装置驱动电控升降台上的伺服电机正反运转,控制拼接面平台的上下运动,利用安装在电控升降台上的增量式直线光栅传感器实时检测电控升降台的位移信息反馈给ARM端;The servo drive and displacement detection IP of the FPGA converts the displacement amount to be adjusted into the direction and pulse number of the corresponding AC servo motor and sends it to the servo drive device. The servo drive device drives the servo motor on the electronically controlled elevator to run forward and reverse to control the splicing surface For the up and down movement of the platform, the incremental linear grating sensor installed on the electronically controlled lifting platform is used to detect the displacement information of the electronically controlled lifting platform in real time and feed it back to the ARM terminal;
ARM端接收信息后,将解算出的各支链需要调整的位移量与增量式直线光栅传感器检测到的电控升降台位移量进行比较,若两者差值不在允许的误差范围内,再次发送控制指令,控制电机运转,直至误差达到设计的精度要求,形成内闭环反馈系统;After the ARM terminal receives the information, it compares the calculated displacement of each branch that needs to be adjusted with the displacement of the electronically controlled lifting platform detected by the incremental linear grating sensor. Send control commands to control the operation of the motor until the error reaches the design accuracy requirements, forming an inner closed-loop feedback system;
拼接面平台在其可允许的运动范围内,每次调整完成后,通过激光雷达测量拼接面的各个靶标点坐标值,传给ARM端,ARM端计算平面度,若未在精度范围内,重复上述过程,直至多组拼接面平台的位姿达到调整系统的精度要求,形成外闭环反馈系统;The splicing surface platform is within its allowable range of motion. After each adjustment is completed, the coordinate values of each target point on the splicing surface are measured by the lidar, and transmitted to the ARM side. The ARM side calculates the flatness. If it is not within the accuracy range, repeat The above process is carried out until the poses of the multi-group splicing surface platforms meet the accuracy requirements of the adjustment system, forming an external closed-loop feedback system;
在电机运动过程中,若某电控升降台运动到达限位,或者完成上述调整运动,则向专用运动控制卡发送信号,触发中断,使交流伺服电机停止运转,控制系统停止运行。During the movement of the motor, if the movement of an electronically controlled lifting platform reaches the limit, or the above adjustment movement is completed, a signal will be sent to the special motion control card to trigger an interruption, so that the AC servo motor will stop running, and the control system will stop running.
本发明的另一目的在于提供一种实施所述多拼接面形变及平面度精细调整方法的多拼接面形变及平面度精细调整系统,所述多拼接面形变及平面度精细调整系统包括:拼接面平台、专用运动控制卡、拼接面伺服驱动及光栅检测扩展卡、双闭环测量反馈装置、伺服驱动装置、电控升降台以及人机交互模块;Another object of the present invention is to provide a multi-splicing surface deformation and flatness fine adjustment system for implementing the multi-splicing surface deformation and flatness fine adjustment method. The multi-splicing surface deformation and flatness fine adjustment system includes: splicing Surface platform, special motion control card, splicing surface servo drive and grating detection expansion card, double closed-loop measurement feedback device, servo drive device, electronically controlled lifting platform and human-computer interaction module;
每组平台机构包括拼接面、四条运动支链和相对应的四个靶标点;每条运动支链采用电控升降台作为驱动部件,电控升降台采用伺服驱动装置作为驱动元件,通过丝杠和楔块结构将电机的旋转转换为负载平台竖直方向的运动;Each group of platform mechanisms includes a splicing surface, four moving branches and four corresponding target points; each moving branch adopts an electronically controlled lifting table as a driving component, and the electronically controlled lifting table adopts a servo drive device as a driving element, through the lead screw And the wedge block structure converts the rotation of the motor into the vertical motion of the load platform;
专用运动控制卡,包括运动控制板卡及其嵌入式程序,采用多核异构处理器Zynq-7000处理平台,作为该系统核心部分,为调整系统提供信号处理和控制的硬件平台,并结合其嵌入式程序实现对各条运动支链精准调整,并完成对控制系统的反馈调节;The special motion control card, including the motion control board and its embedded program, adopts the multi-core heterogeneous processor Zynq-7000 processing platform, as the core part of the system, provides a hardware platform for signal processing and control for the adjustment system, combined with its embedded The type program realizes the precise adjustment of each motion branch chain, and completes the feedback adjustment of the control system;
拼接面伺服驱动及光栅检测扩展卡,将电机信号调理电路、限位信号调理电路、光栅信号调理电路等硬件模块集成一体,并采用PCIE接口与专用运动控制卡连接,便于拼接面的扩展;The splicing surface servo drive and grating detection expansion card integrates the motor signal conditioning circuit, limit signal conditioning circuit, grating signal conditioning circuit and other hardware modules, and uses the PCIE interface to connect with the special motion control card, which is convenient for the expansion of the splicing surface;
双闭环测量反馈装置,包括增量式直线光栅传感器和激光雷达,增量式直线光栅传感器安装在电控升降台上,激光雷达通过RS-422接口与专用运动控制卡通信;Double closed-loop measurement feedback device, including incremental linear grating sensor and lidar, the incremental linear grating sensor is installed on the electronically controlled lifting platform, and the lidar communicates with the special motion control card through the RS-422 interface;
伺服驱动装置,包括伺服驱动器和交流伺服电机,其与拼接面伺服驱动及光栅检测扩展卡相连,伺服驱动器驱动交流伺服电机转动,控制电控升降台及拼接面平台运动;人机交互模块,采用触摸显示屏,与专用运动控制卡通过RS-232接口通信。Servo drive device, including servo driver and AC servo motor, which is connected with the splicing surface servo drive and grating detection expansion card, the servo driver drives the AC servo motor to rotate, and controls the movement of the electronically controlled lifting platform and the splicing surface platform; the human-computer interaction module, using Touch screen, communicate with special motion control card through RS-232 interface.
进一步,所述专用运动控制卡与拼接面平台之间,通过拼接面扩展模块连接,拼接面扩展模块包括拼接面伺服驱动及光栅检测扩展卡、伺服驱动装置、电控升降台以及增量式直线光栅传感器,拼接面伺服驱动及光栅检测扩展卡与专用运动控制卡是基于PCIE总线结构,电控升降台是固定在拼接面平台的下方。Further, the special motion control card and the splicing surface platform are connected through the splicing surface expansion module, and the splicing surface expansion module includes the splicing surface servo drive and grating detection expansion card, servo drive device, electronically controlled lifting platform and incremental linear The grating sensor, the splicing surface servo drive and the grating detection expansion card and the special motion control card are based on the PCIE bus structure, and the electronically controlled lifting platform is fixed under the splicing surface platform.
进一步,所述专用运动控制卡结构包括Zynq-7z020核心模块、RS-422接口、JTAG接口、RS-232接口、PCIE接口、电源模块及其它外设接口;Zynq-7z020核心模块采用Xilinx的Zynq-7000 SoC多核异构处理器,该芯片为全可编程片上系统,将ARM Cortex-A9硬核处理器与Xilinx 7系列FPGA整合,通过片内总线AXI高速互联。Further, the special motion control card structure includes Zynq-7z020 core module, RS-422 interface, JTAG interface, RS-232 interface, PCIE interface, power supply module and other peripheral interfaces; Zynq-7z020 core module adopts Xilinx's Zynq- 7000 SoC multi-core heterogeneous processor, this chip is a fully programmable system-on-chip, which integrates ARM Cortex-A9 hard-core processor and Xilinx 7 series FPGA, and is interconnected at high speed through the on-chip bus AXI.
进一步,FPGA逻辑电路,负责完成交流伺服电机的驱动、光栅信号的采集处理、AXI-Lite总线协议以及PCIE接口扩展功能;Further, the FPGA logic circuit is responsible for completing the drive of the AC servo motor, the acquisition and processing of the grating signal, the AXI-Lite bus protocol and the expansion of the PCIE interface;
ARM微处理器,交流伺服电机的控制、光栅信号的反馈处理、并联冗余机构的位姿解析算法以及串口通信。ARM microprocessor, control of AC servo motor, feedback processing of grating signal, pose analysis algorithm of parallel redundant mechanism and serial communication.
进一步,所述拼接面伺服驱动及光栅检测扩展卡,包括光栅信号调理电路、电机信号调理电路、限位信号调理电路、PCIE接口、电源模块、隔离电路及差分电路;通过PCIE接口与专用运动控制卡相连,通过电机信号调理电路控制驱动装置,经过光栅信号调理电路反馈光栅检测值,限位信号调理电路捕捉限位信息,传给专用运动控制卡;将伺服驱动及光栅检测的硬件信号调理都集成于该扩展卡。Further, the splicing surface servo drive and grating detection expansion card includes grating signal conditioning circuit, motor signal conditioning circuit, limit signal conditioning circuit, PCIE interface, power module, isolation circuit and differential circuit; through the PCIE interface and special motion control The card is connected, the drive device is controlled by the motor signal conditioning circuit, the grating detection value is fed back through the grating signal conditioning circuit, and the limit signal conditioning circuit captures the limit information and transmits it to the special motion control card; the hardware signal conditioning of the servo drive and grating detection are all integrated in this expansion card.
本发明的另一目的在于提供一种机电一体化与自动化控制系统,所述机电一体化与自动化控制系统用于实现所述的多拼接面形变及平面度精细调整方法。Another object of the present invention is to provide a mechatronics and automatic control system, which is used to realize the method for fine adjustment of the deformation and flatness of the multi-splicing surfaces.
结合上述的所有技术方案,本发明所具备的优点及积极效果为:Combined with all the above-mentioned technical solutions, the advantages and positive effects possessed by the present invention are:
(1)本发明采用与传统基于ARM+FPGA架构实现的控制系统不同的设计方法,采用Xilinx的Zynq-7000 SoC多核异构处理器,该芯片为全可编程片上系统,ARM硬核处理器与Xilinx 7系列FPGA通过片内总线AXI高速互联,以提供相对较高的系统性能并减少资源消耗;(1) The present invention adopts a different design method from the traditional control system based on ARM+FPGA architecture, and adopts the Zynq-7000 SoC multi-core heterogeneous processor of Xilinx, which is a fully programmable Xilinx 7 series FPGAs are interconnected at high speed through the on-chip bus AXI to provide relatively high system performance and reduce resource consumption;
(2)本发明在专用运动控制卡中集成了并联冗余机构的位姿解析算法,能实现各种场合对拼接面的变形及平面度的精确调整,达到系统理想的平面度要求;(2) The present invention integrates the position and attitude analysis algorithm of the parallel redundant mechanism in the special motion control card, which can realize the precise adjustment of the deformation of the splicing surface and the flatness in various occasions, and achieve the ideal flatness requirement of the system;
(3)本发明专用运动控制卡与拼接面伺服驱动及光栅检测扩展卡之间基于PCIE总线结构,不仅通讯速度快,还便于拼接面的扩展,根据需求增加或减少拼接面,使系统更具灵活性、可扩展性、通用性;(3) Based on the PCIE bus structure between the special motion control card of the present invention and the splicing surface servo drive and grating detection expansion card, not only the communication speed is fast, but also the expansion of the splicing surface is convenient. Flexibility, scalability, versatility;
(4)本发明设计了双闭环测量反馈装置,增量式直线光栅保证了单条运动支链的精度,误差范围可控制在0.5μm;激光雷达优化系统的整体平面度,在总面积为75m2~150m2时优化调整系统的平面度精度可达到≤4.5mm,从而满足系统的设计精度。(4) The present invention designs a double closed-loop measurement feedback device, and the incremental linear grating ensures the accuracy of a single motion branch chain, and the error range can be controlled within 0.5 μm; the overall flatness of the laser radar optimization system is75m2 in total area When ~150m2 , the flatness accuracy of the optimized adjustment system can reach ≤4.5mm, thus meeting the design accuracy of the system.
本发明的拼接面伺服驱动及光栅检测扩展卡,将电机信号调理电路、限位信号调理电路、光栅信号调理电路等硬件模块集成一体,并留有PCIE接口,便于拼接面的扩展;伺服驱动装置,包括伺服驱动器和交流伺服电机,其与拼接面伺服驱动及光栅检测扩展卡相连,伺服驱动器接收到对拼接面平台的控制信息,驱动交流伺服电机转动,使调整平台机构运动到目标位姿;拼接面平台会因温度、负载等引起变形,通过对变形状态分析,拟合出最佳的运动方案,使四条支链运动量为最小,从而完成拼接面的变形调整;拼接面平台在其可允许的运动范围内,进行各自变形调整的同时,还要保证最终的多组拼接面位姿达到系统要求的平面度范围。The splicing surface servo drive and grating detection expansion card of the present invention integrates hardware modules such as a motor signal conditioning circuit, a limit signal conditioning circuit, a grating signal conditioning circuit, etc., and has a PCIE interface, which is convenient for the expansion of the splicing surface; the servo drive device , including a servo driver and an AC servo motor, which are connected with the splicing surface servo drive and the grating detection expansion card. The servo driver receives the control information on the splicing surface platform, drives the AC servo motor to rotate, and makes the adjustment platform mechanism move to the target pose; The splicing surface platform will be deformed due to temperature, load, etc. Through the analysis of the deformation state, the best motion scheme is fitted to minimize the movement of the four branch chains, so as to complete the deformation adjustment of the splicing surface; the splicing surface platform can allow Within the range of motion, while performing the respective deformation adjustments, it is also necessary to ensure that the final poses of the multi-group splicing surfaces meet the flatness range required by the system.
本发明专用运动控制卡采用Xilinx的Zynq-7000 SoC多核异构处理器,该芯片为全可编程片上系统,将ARM Cortex-A9硬核处理器与Xilinx 7系列FPGA进行完美整合,二者通过片内总线AXI高速互联,以提供相对较高的系统性能、灵活性;拼接面伺服驱动及光栅检测扩展卡与专用运动控制卡是基于PCIE总线结构,具有可扩展性,可根据需要,增加或减少控制的拼接面;双闭环测量反馈装置采用双闭环反馈的方法,使调整系统的精度得到双重保证;增量式直线光栅传感器实时测量电控升降台的位移量,将数据反馈至专用运动控制卡中进行调节,保证单条支链的运动精度;激光雷达测量调整平面的各靶标点坐标值,反馈给专用运动控制卡,由ARM微处理器计算出整体平面度,以优化调整系统的控制精度;伺服驱动装置采用交流伺服电机作为驱动元件,功率大、灵敏度高,在拼接面因外界因素产生较大变形的情况下,也可平稳可靠地控制拼接面运动。The special motion control card of the present invention adopts the Zynq-7000 SoC multi-core heterogeneous processor of Xilinx. The chip is a fully programmable system-on-chip, which perfectly integrates the ARM Cortex-A9 hard-core processor and the Xilinx 7 series FPGA. The internal bus AXI high-speed interconnection provides relatively high system performance and flexibility; the splicing surface servo drive and grating detection expansion card and special motion control card are based on the PCIE bus structure, which is scalable and can be increased or decreased according to needs. Controlled splicing surface; double closed-loop measurement feedback device adopts double closed-loop feedback method, so that the accuracy of the adjustment system can be double guaranteed; incremental linear grating sensor measures the displacement of the electronically controlled lifting platform in real time, and feeds back the data to the special motion control card Adjustment is carried out in the middle to ensure the motion accuracy of a single branch chain; the laser radar measures the coordinate value of each target point on the adjustment plane, and feeds it back to the special motion control card, and the ARM microprocessor calculates the overall flatness to optimize the control accuracy of the adjustment system; The servo drive device adopts AC servo motor as the driving element, which has high power and high sensitivity, and can control the movement of the splicing surface stably and reliably even when the splicing surface is greatly deformed due to external factors.
附图说明Description of drawings
为了更清楚地说明本申请实施例的技术方案,下面将对本申请实施例中所需要使用的附图做简单的介绍,显而易见地,下面所描述的附图仅仅是本申请的一些实施例,对于本领域普通技术人员来讲,在不付出创造性劳动的前提下还可以根据这些附图获得其他的附图。In order to explain the technical solutions of the embodiments of the present application more clearly, the following will briefly introduce the drawings that need to be used in the embodiments of the present application. Obviously, the drawings described below are only some embodiments of the present application. For those of ordinary skill in the art, other drawings can also be obtained from these drawings without creative effort.
图1是本发明实施例提供的多拼接面形变及平面度精细调整方法流程图。FIG. 1 is a flowchart of a method for fine adjustment of deformation and flatness of multiple splicing surfaces provided by an embodiment of the present invention.
图2是本发明实施例提供的多拼接面形变及平面度精细调整系统的结构示意图;2 is a schematic structural diagram of a multi-splicing surface deformation and flatness fine adjustment system provided by an embodiment of the present invention;
图3是本发明实施例提供的专用运动控制卡结构示意图。FIG. 3 is a schematic structural diagram of a dedicated motion control card provided by an embodiment of the present invention.
图4是本发明实施例提供的拼接面伺服驱动及光栅检测扩展卡结构示意图。FIG. 4 is a schematic structural diagram of a splicing plane servo drive and grating detection expansion card provided by an embodiment of the present invention.
图5是本发明实施例提供的单条支链运动轨迹图。FIG. 5 is a motion trajectory diagram of a single branch chain provided by an embodiment of the present invention.
图6是本发明实施例提供的拼接面平台仿真结果图。FIG. 6 is a simulation result diagram of a splicing plane platform provided by an embodiment of the present invention.
图7是本发明实施例提供的拼接面调整前与调整后的虚拟样机YZ方向视图。FIG. 7 is a YZ direction view of a virtual prototype before and after adjustment of a splicing plane provided by an embodiment of the present invention.
具体实施方式Detailed ways
为了使本发明的目的、技术方案及优点更加清楚明白,以下结合实施例,对本发明进行进一步详细说明。应当理解,此处所描述的具体实施例仅仅用以解释本发明,并不用于限定本发明。In order to make the objectives, technical solutions and advantages of the present invention clearer, the present invention will be further described in detail below with reference to the embodiments. It should be understood that the specific embodiments described herein are only used to explain the present invention, but not to limit the present invention.
针对现有技术存在的问题,本发明提供了一种多拼接面形变及平面度精细调整系统、方法、设备及应用,下面结合附图对本发明作详细的描述。In view of the problems existing in the prior art, the present invention provides a system, method, device and application for fine adjustment of multi-splicing surface deformation and flatness. The present invention is described in detail below with reference to the accompanying drawings.
如图1所示,本发明提供的多拼接面形变及平面度精细调整方法包括以下步骤:As shown in Figure 1, the multi-splicing surface deformation and flatness fine adjustment method provided by the present invention comprises the following steps:
S101:激光雷达测试拼接面的各个靶标点的坐标值,并通过RS422接口传给专用运动控制卡的ARM微处理器,ARM微处理器计算拼接面平面度,若平面度发生变化,先确定发生变形的拼接面,并解算出各支链需要调整的位移量,通过片内高速总线AXI传送给FPGA中的伺服驱动与位移检测IP;S101: The laser radar tests the coordinate values of each target point on the splicing surface, and transmits it to the ARM microprocessor of the special motion control card through the RS422 interface. The ARM microprocessor calculates the flatness of the splicing surface. If the flatness changes, first determine the occurrence The deformed splicing surface, and the displacement amount that needs to be adjusted for each branch chain is calculated, and transmitted to the servo drive and displacement detection IP in the FPGA through the on-chip high-speed bus AXI;
S102:FPGA的伺服驱动与位移检测IP将需要调整的位移量转换为对应交流伺服电机的方向及脉冲数发送给伺服驱动装置,伺服驱动装置驱动电控升降台上的伺服电机正反运转,控制拼接面平台的上下运动,利用安装在电控升降台上的增量式直线光栅传感器实时检测电控升降台的位移信息反馈给ARM端;S102: The servo drive and displacement detection IP of the FPGA converts the displacement amount to be adjusted into the direction and pulse number of the corresponding AC servo motor and sends it to the servo drive device. The servo drive device drives the servo motor on the electronically controlled lifting platform to run forward and reverse. The up and down movement of the splicing surface platform uses the incremental linear grating sensor installed on the electronically controlled lifting platform to detect the displacement information of the electronically controlled lifting platform in real time and feed it back to the ARM end;
S103:ARM端接收信息后,将解算出的各支链需要调整的位移量与增量式直线光栅传感器检测到的电控升降台位移量进行比较,若两者差值不在允许的误差范围内,再次发送控制指令,控制电机运转,直至误差达到设计的精度要求,形成内闭环反馈系统;S103: After the ARM terminal receives the information, it compares the calculated displacement of each branch that needs to be adjusted with the displacement of the electronically controlled lifting platform detected by the incremental linear grating sensor. If the difference between the two is not within the allowable error range , send the control command again to control the operation of the motor until the error reaches the design accuracy requirement, forming an inner closed-loop feedback system;
S104:拼接面平台在其可允许的运动范围内,每次调整完成后,通过激光雷达测量拼接面的各个靶标点坐标值,传给ARM端,ARM端计算平面度,若未在精度范围内,重复上述过程,直至多组拼接面平台的位姿达到调整系统的精度要求,形成外闭环反馈系统;S104: The splicing surface platform is within its allowable motion range. After each adjustment is completed, the coordinate values of each target point on the splicing surface are measured by the lidar and transmitted to the ARM side, which calculates the flatness. If it is not within the accuracy range , and repeat the above process until the poses of the multi-group splicing surface platforms meet the accuracy requirements of the adjustment system, forming an external closed-loop feedback system;
S105:在电机运动过程中,若某电控升降台运动到达限位,或者完成上述调整运动,则向专用运动控制卡发送信号,触发中断,使交流伺服电机停止运转,控制系统停止运行。S105: During the movement of the motor, if the movement of an electronically controlled lifting platform reaches the limit, or the above adjustment movement is completed, a signal is sent to the special motion control card to trigger an interruption, so that the AC servo motor stops running and the control system stops running.
本发明提供的多拼接面形变及平面度精细调整方法业内的普通技术人员还可以采用其他的步骤实施,图1的本发明提供的多拼接面形变及平面度精细调整方法仅仅是一个具体实施例而已。Those skilled in the art of the multi-splicing surface deformation and flatness fine adjustment method provided by the present invention can also implement other steps to implement, and the multi-splicing surface deformation and flatness fine adjustment method provided by the present invention in FIG. 1 is only a specific embodiment. That's it.
本发明多拼接面形变及平面度精细调整系统主要实现对拼接面的变形及整体平面度的精确调整。当拼接面由于外界因素发生变形或者平面度改变,操作该精细调整系统,控制拼接面的四条运动支链,该运动支链即由伺服电机驱动的电控升降台,且在支链运动过程中,通过安装在电控升降台上的直线光栅传感器实时反馈拼接面实际运动的上下位移,达到闭环控制的目的。当多组拼接面每完成一次平面度调整,使用激光雷达测量各靶标点坐标值,在ARM中计算出平面度,若不在误差范围内,继续控制支链运动,直至满足设计要求,采用双闭环模式,使控制系统更精准。The multi-splicing surface deformation and flatness fine adjustment system of the present invention mainly realizes the precise adjustment of the deformation of the splicing surface and the overall flatness. When the splicing surface is deformed or the flatness is changed due to external factors, the fine adjustment system is operated to control the four moving branches of the splicing surface. , Through the linear grating sensor installed on the electronically controlled lifting platform, the real-time feedback of the up and down displacement of the actual movement of the splicing surface is achieved to achieve the purpose of closed-loop control. When the flatness adjustment of multiple groups of splicing surfaces is completed, the coordinate value of each target point is measured by lidar, and the flatness is calculated in the ARM. If it is not within the error range, the branch chain movement is continued to be controlled until the design requirements are met, and double closed loops are adopted. mode to make the control system more precise.
如图2所示,本发明提供的多拼接面形变及平面度精细调整系统包括:拼接面平台、专用运动控制卡、拼接面伺服驱动及光栅检测扩展卡、双闭环测量反馈装置、伺服驱动装置、电控升降台以及人机交互模块。As shown in FIG. 2, the multi-splicing surface deformation and flatness fine adjustment system provided by the present invention includes: a splicing surface platform, a special motion control card, a splicing surface servo drive and a grating detection expansion card, a double closed-loop measurement feedback device, and a servo drive device. , electronically controlled lifting platform and human-computer interaction module.
每组平台机构包括拼接面、四条运动支链和相对应的四个靶标点;每条运动支链采用电控升降台作为驱动部件,电控升降台采用伺服驱动装置作为驱动元件,通过丝杠和楔块结构将电机的旋转转换为负载平台竖直方向的运动。Each group of platform mechanisms includes a splicing surface, four moving branches and four corresponding target points; each moving branch adopts an electronically controlled lifting table as a driving component, and the electronically controlled lifting table adopts a servo drive device as a driving element, through the lead screw And the wedge structure converts the rotation of the motor into the vertical motion of the load platform.
专用运动控制卡,包括运动控制板卡及其嵌入式程序,采用多核异构处理器Zynq-7000处理平台,作为该系统核心部分,主要为调整系统提供信号处理和控制的硬件平台,并结合其嵌入式程序实现对各条运动支链精准调整,并完成对控制系统的反馈调节。Special motion control card, including motion control board and its embedded program, adopts multi-core heterogeneous processor Zynq-7000 processing platform. The embedded program realizes the precise adjustment of each motion branch chain, and completes the feedback adjustment of the control system.
拼接面伺服驱动及光栅检测扩展卡,将电机信号调理电路、限位信号调理电路、光栅信号调理电路等硬件模块集成一体,并采用PCIE接口与专用运动控制卡连接,便于拼接面的扩展。The splicing surface servo drive and grating detection expansion card integrates hardware modules such as motor signal conditioning circuit, limit signal conditioning circuit, grating signal conditioning circuit, etc., and uses PCIE interface to connect with special motion control card, which is convenient for expansion of splicing surface.
双闭环测量反馈装置,包括增量式直线光栅传感器和激光雷达,增量式直线光栅传感器安装在电控升降台上,激光雷达通过RS-422接口与专用运动控制卡通信。Double closed-loop measurement feedback device, including incremental linear grating sensor and lidar, the incremental linear grating sensor is installed on the electronically controlled lifting platform, and the lidar communicates with the special motion control card through the RS-422 interface.
伺服驱动装置,包括伺服驱动器和交流伺服电机,其与拼接面伺服驱动及光栅检测扩展卡相连,伺服驱动器驱动交流伺服电机转动,控制电控升降台及拼接面平台运动;Servo drive device, including servo driver and AC servo motor, which is connected with the splicing surface servo drive and grating detection expansion card, the servo driver drives the AC servo motor to rotate, and controls the movement of the electronically controlled lifting platform and the splicing surface platform;
人机交互模块,采用触摸显示屏,与专用运动控制卡通过RS-232接口通信。The human-computer interaction module adopts a touch screen and communicates with the special motion control card through the RS-232 interface.
进一步,专用运动控制卡与拼接面平台之间,通过拼接面扩展模块连接,拼接面扩展模块包括拼接面伺服驱动及光栅检测扩展卡、伺服驱动装置、电控升降台以及增量式直线光栅传感器,拼接面伺服驱动及光栅检测扩展卡与专用运动控制卡是基于PCIE总线结构,电控升降台是固定在拼接面平台的下方,该设计使系统具有可扩展性,可根据需要,增加或减少控制的拼接面。Further, the special motion control card and the splicing surface platform are connected through the splicing surface expansion module. The splicing surface expansion module includes the splicing surface servo drive and grating detection expansion card, servo drive device, electronically controlled lifting platform and incremental linear grating sensor. , The splicing surface servo drive and grating detection expansion card and special motion control card are based on the PCIE bus structure, and the electronically controlled lifting platform is fixed under the splicing surface platform. This design makes the system scalable, which can be increased or decreased according to needs. Controlled splicing plane.
该系统采用双闭环测量反馈的方法,使调整系统的精度得到双重保证;增量式直线光栅传感器实时测量电控升降台的位移量,将数据反馈至专用运动控制卡中进行调节,保证单条支链的运动精度≤0.5μm;激光雷达对调整平面的整体平面度进行测量反馈,在总面积为75m2~150m2时优化调整系统的平面度精度可达到≤4.5mm。The system adopts the method of double closed-loop measurement and feedback, so that the accuracy of the adjustment system can be double guaranteed; the incremental linear grating sensor measures the displacement of the electronically controlled lifting platform in real time, and feeds back the data to the special motion control card for adjustment, ensuring that a single support The motion accuracy of the chain is less than or equal to 0.5μm; the laser radar measures the overall flatness of the adjustment plane, and the flatness accuracy of the optimized adjustment system can reach ≤4.5mm when the total area is 75m2 to 150m2 .
本发明的多拼接面形变及平面度精细调整系统的调整方法包括:The adjustment method of the multi-splicing surface deformation and flatness fine adjustment system of the present invention includes:
(1)激光雷达测试拼接面的各个靶标点的坐标值,并通过RS422接口传给专用运动控制卡的ARM微处理器,ARM微处理器计算拼接面平面度,若平面度发生变化,先确定发生变形的拼接面,并解算出各支链需要调整的位移量,通过片内高速总线AXI传送给FPGA中的伺服驱动与位移检测IP;(1) The laser radar tests the coordinate values of each target point on the splicing surface, and transmits it to the ARM microprocessor of the special motion control card through the RS422 interface. The ARM microprocessor calculates the flatness of the splicing surface. If the flatness changes, first determine the The deformed splicing surface is calculated, and the displacement amount that needs to be adjusted for each branch chain is calculated, and transmitted to the servo drive and displacement detection IP in the FPGA through the on-chip high-speed bus AXI;
(2)FPGA的伺服驱动与位移检测IP将需要调整的位移量转换为对应交流伺服电机的方向及脉冲数发送给伺服驱动装置,伺服驱动装置驱动电控升降台上的伺服电机正反运转,控制拼接面平台的上下运动,利用安装在电控升降台上的增量式直线光栅传感器实时检测电控升降台的位移信息反馈给ARM端;(2) The servo drive and displacement detection IP of the FPGA converts the displacement amount to be adjusted into the direction and pulse number of the corresponding AC servo motor and sends it to the servo drive device. The servo drive device drives the servo motor on the electronically controlled elevator to run forward and reverse. Control the up and down movement of the splicing surface platform, and use the incremental linear grating sensor installed on the electronically controlled lifting platform to detect the displacement information of the electronically controlled lifting platform in real time and feed it back to the ARM end;
(3)ARM端接收信息后,将解算出的各支链需要调整的位移量与增量式直线光栅传感器检测到的电控升降台位移量进行比较,若两者差值不在允许的误差范围内,再次发送控制指令,控制电机运转,直至误差达到设计的精度要求,形成内闭环反馈系统;(3) After the ARM terminal receives the information, it compares the calculated displacement of each branch that needs to be adjusted with the displacement of the electronically controlled lifting platform detected by the incremental linear grating sensor. If the difference between the two is not within the allowable error range Inside, send the control command again to control the operation of the motor until the error reaches the design accuracy requirements, forming an internal closed-loop feedback system;
(4)拼接面平台在其可允许的运动范围内,每次调整完成后,用激光雷达测量拼接面的各个靶标点坐标值,传给ARM端,ARM端计算平面度,若未在精度范围内,重复上述过程,直至多组拼接面平台的位姿达到调整系统的精度要求,形成外闭环反馈系统;(4) The splicing surface platform is within its allowable range of motion. After each adjustment is completed, use lidar to measure the coordinate values of each target point on the splicing surface, and transmit it to the ARM side. The ARM side calculates the flatness. If it is not within the accuracy range Inside, repeat the above process until the poses of the multi-group splicing surface platforms meet the accuracy requirements of the adjustment system, forming an external closed-loop feedback system;
(5)在电机运动过程中,若某电控升降台运动到达限位,或者完成某次运动,则向专用运动控制卡发送信号,触发中断,使交流伺服电机停止运转,控制系统停止运行;(5) During the movement of the motor, if an electronically controlled lifting platform moves to the limit or completes a certain movement, it will send a signal to the special motion control card to trigger an interruption to stop the AC servo motor and the control system.
(6)某些拼接面因温度、负载等引起变形,则由ARM端根据形变状态,拟合出最佳的运动方案,在拼接面可允许的运动范围内,完成各拼接面的形变调整;同时,也可精确调整系统总的平面度,ARM端可控制多组拼接面运动,使系统达到理想的位姿状态;(6) Some splicing surfaces are deformed due to temperature, load, etc., the ARM end fits the best motion plan according to the deformation state, and completes the deformation adjustment of each splicing surface within the allowable motion range of the splicing surface; At the same time, the overall flatness of the system can also be adjusted precisely, and the ARM side can control the movement of multiple groups of splicing surfaces, so that the system can achieve an ideal posture state;
(7)多拼接面形变及平面度精细调整方法对多个拼接面都为同步调整,同一时间能完成对多个拼接面的控制,在短时间内即可完成对拼接面的形变及平面度的调整,调整效率高。(7) The fine adjustment method of deformation and flatness of multiple splicing surfaces is synchronously adjusted for multiple splicing surfaces, and the control of multiple splicing surfaces can be completed at the same time, and the deformation and flatness of the splicing surfaces can be completed in a short time. adjustment, and the adjustment efficiency is high.
如图3所示,为专用运动控制卡结构示意图,包括Zynq-7z020核心模块、RS-422接口、JTAG接口、RS-232接口、PCIE接口、电源模块及其它外设接口;Zynq-7z020核心模块采用Xilinx的Zynq-7000 SoC多核异构处理器,该芯片为全可编程片上系统,将ARM Cortex-A9硬核处理器与Xilinx 7系列FPGA进行完美整合,二者通过片内总线AXI高速互联,以提供相对较高的系统性能、灵活性。As shown in Figure 3, it is a schematic diagram of the structure of the special motion control card, including Zynq-7z020 core module, RS-422 interface, JTAG interface, RS-232 interface, PCIE interface, power module and other peripheral interfaces; Zynq-7z020 core module Using Xilinx's Zynq-7000 SoC multi-core heterogeneous processor, the chip is an all-programmable system-on-chip, which perfectly integrates the ARM Cortex-A9 hard-core processor and the Xilinx 7 series FPGA. The two are interconnected at high speed through the on-chip bus AXI. In order to provide relatively high system performance and flexibility.
FPGA逻辑电路,负责完成交流伺服电机的驱动、光栅信号的采集处理、AXI-Lite总线协议以及PCIE接口扩展等功能。FPGA logic circuit is responsible for completing the functions of AC servo motor drive, raster signal acquisition and processing, AXI-Lite bus protocol and PCIE interface expansion.
ARM微处理器,主要负责交流伺服电机的控制、光栅信号的反馈处理、并联冗余机构的位姿解析算法以及串口通信等。The ARM microprocessor is mainly responsible for the control of the AC servo motor, the feedback processing of the grating signal, the pose analysis algorithm of the parallel redundant mechanism, and the serial communication.
本实施例中,所述专用运动控制卡集成了并联冗余机构的位姿解析算法,以拼接面平台的几何中心为原点建立动态坐标系O-XYZ,以平台原点在地面上的对应点为原点建立静态坐标系O′-X′Y′Z′;拼接面四个靶标点Bi(i=1,2,3,4)与静态坐标系下对应点Ai(i=1,2,3,4)之间的距离表示为li(i=1,2,3,4),动态坐标原点O与静态坐标原点O′之间的距离为h;在运动过程中,动坐标系相对于静态参考坐标系的姿态用姿态角α、β、γ描述;根据坐标旋转变换可得,动坐标系到静态参考坐标系的坐标变换矩阵为:In this embodiment, the special motion control card integrates the pose analysis algorithm of the parallel redundant mechanism, and takes the geometric center of the splicing surface platform as the origin to establish the dynamic coordinate system O-XYZ, and takes the corresponding point of the platform origin on the ground as the The origin establishes a static coordinate system O'-X'Y'Z'; the four target points Bi (i=1, 2, 3, 4) on the splicing plane and the corresponding point Ai (i=1, 2, 4) in the static coordinate system 3,4) is expressed as li (i=1,2,3,4), and the distance between the dynamic coordinate origin O and the static coordinate origin O' is h; during the movement, the moving coordinate system is relatively The attitude in the static reference coordinate system is described by the attitude angles α, β, γ; according to the coordinate rotation transformation, the coordinate transformation matrix from the moving coordinate system to the static reference coordinate system is:
根据并联机构结构可知,Bi(i=1,2,3,4)在动坐标系下的坐标向量构成矩阵B表示为:According to the structure of the parallel mechanism, the coordinate vector composition matrix B of Bi (i=1, 2, 3, 4) in the moving coordinate system is expressed as:
Ai(i=1,2,3,4)在静态参考坐标系下的坐标向量构成矩阵A表示为:The coordinate vectors of Ai (i=1, 2, 3, 4) in the static reference coordinate system form a matrix A expressed as:
拼接面四个靶标点Bi(i=1,2,3,4)在静态参考坐标系下的坐标向量构成矩阵G表示为:The coordinate vector composition matrix G of the four target points Bi (i=1, 2, 3, 4) on the splicing surface in the static reference coordinate system is expressed as:
G=[gi,j]3×4=R·B;G=[gi,j ]3×4 =R·B;
那么拼接面4条运动支链的运动长度为:Then the motion length of the four motion branches on the splicing surface is:
完成机构的逆解,已知各靶标点的目标姿态,求各运动支链的运动距离。The inverse solution of the mechanism is completed, the target posture of each target point is known, and the motion distance of each motion branch is calculated.
如图4所示,为拼接面伺服驱动及光栅检测扩展卡结构示意图,包括光栅信号调理电路、电机信号调理电路、限位信号调理电路、PCIE接口、电源模块、隔离电路及差分电路;通过PCIE接口与专用运动控制卡相连,通过电机信号调理电路控制驱动装置,经过光栅信号调理电路反馈光栅检测值,限位信号调理电路捕捉限位信息,传给专用运动控制卡;将伺服驱动及光栅检测的硬件信号调理都集成于该扩展卡,使系统更具有灵活性,同时提高效率,易于操作。As shown in Figure 4, it is a schematic diagram of the structure of the splicing surface servo drive and grating detection expansion card, including grating signal conditioning circuit, motor signal conditioning circuit, limit signal conditioning circuit, PCIE interface, power module, isolation circuit and differential circuit; The interface is connected to the special motion control card, the drive device is controlled by the motor signal conditioning circuit, the grating detection value is fed back through the grating signal conditioning circuit, and the limit signal conditioning circuit captures the limit information and transmits it to the special motion control card; Servo drive and grating detection All hardware signal conditioning is integrated into the expansion card, making the system more flexible, while improving efficiency and easy operation.
下面结合测试对本发明的技术效果作详细的描述。The technical effects of the present invention will be described in detail below in conjunction with tests.
本实际测试单条支链运动量的实验数据如表1所示:The experimental data of the actual test of the movement of a single branch chain are shown in Table 1:
表1:Table 1:
单条支链运动控制测试结果表明,所设计的多拼接面形变及平面度精细调整系统实现了基于直线光栅传感器的闭环反馈控制,保证单条支链的运动精度≤0.5μm。采用高精度直线光栅传感器反馈调节,极大地提高了由交流伺服电机驱动的调整机构支链的运动精度,为拼接面的形变及平面度的精细控制奠定了基础。The test results of the motion control of a single branch chain show that the designed multi-splicing surface deformation and flatness fine adjustment system realizes the closed-loop feedback control based on the linear grating sensor, and ensures that the motion accuracy of a single branch chain is less than or equal to 0.5μm. The use of high-precision linear grating sensor feedback adjustment greatly improves the motion accuracy of the branch chain of the adjustment mechanism driven by the AC servo motor, laying a foundation for the fine control of the deformation and flatness of the splicing surface.
系统平面度测试数据如表2所示,表中的测试数据以拼接面的1-2号靶标点为原点,以1-2号靶标点指向1-1号靶标点的直线为y轴正方向,以1号拼接面的法向量作为z轴正方向,x轴通过右手定则确定。The system flatness test data is shown in Table 2. The test data in the table takes the No. 1-2 target point of the splicing surface as the origin, and the straight line from the No. 1-2 target point to the No. 1-1 target point is the positive direction of the y-axis. , the normal vector of No. 1 splicing plane is used as the positive direction of the z-axis, and the x-axis is determined by the right-hand rule.
表2:Table 2:
激光雷达对调整平面的各个靶标点进行测量反馈,在ARM端计算整体平面度,测试结果表明,在总面积为75m2~150m2时优化调整系统的平面度精度可达到≤4.5mm,满足系统对平面度的要求范围,这表明多拼接面形变及平面度精细调整系统在基本的控制功能、稳定性、精度等方面达到了设计要求,证明了该系统设计的有效性。The laser radar measures and feedbacks each target point of the adjustment plane, and calculates the overall flatness on the ARM side. The test results show that the flatness accuracy of the optimized adjustment system can reach ≤4.5mm when the total area is 75m2 ~ 150m2 , which meets the requirements of the system. The range of requirements for flatness shows that the multi-splicing surface deformation and flatness fine adjustment system has reached the design requirements in terms of basic control functions, stability, and accuracy, proving the effectiveness of the system design.
如图5所示,为本发明实施例提供的单条支链运动轨迹图,依次绘制出了单条支链的运动距离-时间、速度-时间和加速度-时间的曲线图。如图中所示,单条支链的运动轨迹为梯形速度曲线,运动状态可分为三个阶段,第一阶段,速度按照设定的加速度值从零匀加速到最大速度;第二阶段,加速度为零值,速度保持已达到的最大速度值运行;第三阶段,按设定的加速度减速到零,此时达到要求的目标位置。对于交流伺服电机而言,加减速的过程不仅有利于电机的平稳运行,也是克服共振和堵转,获取较大力矩,提高控制精度的一种有效方式。As shown in FIG. 5 , the movement trajectory diagram of a single branch chain provided by the embodiment of the present invention sequentially draws the movement distance-time, speed-time, and acceleration-time curves of a single branch chain. As shown in the figure, the motion trajectory of a single branch chain is a trapezoidal velocity curve, and the motion state can be divided into three stages. In the first stage, the speed is accelerated from zero to the maximum speed according to the set acceleration value; in the second stage, the acceleration At zero value, the speed keeps running at the maximum speed value that has been reached; in the third stage, it decelerates to zero according to the set acceleration, and reaches the required target position at this time. For AC servo motors, the process of acceleration and deceleration is not only conducive to the smooth operation of the motor, but also an effective way to overcome resonance and stall, obtain larger torque, and improve control accuracy.
如图6所示,为拼接面平台仿真结果图,为了得到直观的可视化结构模型,实现控制系统的设计,由于机构的控制中各个构件的模型较为复杂,而在控制时一般不会考虑,所以在设计时使用了拼接面平台机构的基本数据进行设计。首先应建立上下平台的模型,通过解析算法求出各支链向量,最后在MATLAB中绘制系统的上下平台以及支链得到的平台模型。As shown in Figure 6, it is the simulation result of the splicing surface platform. In order to obtain an intuitive visual structure model and realize the design of the control system, because the model of each component in the control of the mechanism is relatively complex, it is generally not considered in the control, so In the design, the basic data of the splicing surface platform mechanism is used for design. First of all, the model of the upper and lower platforms should be established, and the vectors of each branch chain should be obtained through the analytical algorithm. Finally, the upper and lower platforms of the system and the platform model obtained by the branch chain should be drawn in MATLAB.
如图7所示,为拼接面调整前与调整后的虚拟样机YZ方向视图,基于MATLAB软件自行设计并实现了多拼接面形变及平面度精细调整系统虚拟仿真平台,完成了调整机构的运动规划及三维模型的构建和运动控制仿真。从仿真结果可看出,调整系统对拼接面有较好的变形及平面度控制功能,实现对多组拼接面的精细调整。As shown in Figure 7, for the YZ direction views of the virtual prototype before and after adjustment of the splicing surface, based on MATLAB software, the virtual simulation platform of the multi-splicing surface deformation and flatness fine adjustment system was designed and realized, and the motion planning of the adjustment mechanism was completed. And 3D model construction and motion control simulation. It can be seen from the simulation results that the adjustment system has good deformation and flatness control functions on the splicing surface, and realizes fine adjustment of multiple sets of splicing surfaces.
应当注意,本发明的实施方式可以通过硬件、软件或者软件和硬件的结合来实现。硬件部分可以利用专用逻辑来实现;软件部分可以存储在存储器中,由适当的指令执行系统,例如微处理器或者专用设计硬件来执行。本领域的普通技术人员可以理解上述的设备和方法可以使用计算机可执行指令和/或包含在处理器控制代码中来实现,例如在诸如磁盘、CD或DVD-ROM的载体介质、诸如只读存储器(固件)的可编程的存储器或者诸如光学或电子信号载体的数据载体上提供了这样的代码。本发明的设备及其模块可以由诸如超大规模集成电路或门阵列、诸如逻辑芯片、晶体管等的半导体、或者诸如现场可编程门阵列、可编程逻辑设备等的可编程硬件设备的硬件电路实现,也可以用由各种类型的处理器执行的软件实现,也可以由上述硬件电路和软件的结合例如固件来实现。It should be noted that the embodiments of the present invention may be implemented by hardware, software, or a combination of software and hardware. The hardware portion may be implemented using special purpose logic; the software portion may be stored in memory and executed by a suitable instruction execution system, such as a microprocessor or specially designed hardware. Those of ordinary skill in the art will appreciate that the apparatus and methods described above may be implemented using computer-executable instructions and/or embodied in processor control code, for example on a carrier medium such as a disk, CD or DVD-ROM, such as a read-only memory Such code is provided on a programmable memory (firmware) or a data carrier such as an optical or electronic signal carrier. The device and its modules of the present invention can be implemented by hardware circuits such as very large scale integrated circuits or gate arrays, semiconductors such as logic chips, transistors, etc., or programmable hardware devices such as field programmable gate arrays, programmable logic devices, etc., It can also be implemented by software executed by various types of processors, or by a combination of the above-mentioned hardware circuits and software, such as firmware.
以上所述,仅为本发明的具体实施方式,但本发明的保护范围并不局限于此,任何熟悉本技术领域的技术人员在本发明揭露的技术范围内,凡在本发明的精神和原则之内所作的任何修改、等同替换和改进等,都应涵盖在本发明的保护范围之内。The above are only specific embodiments of the present invention, but the protection scope of the present invention is not limited to this. Any person skilled in the art is within the technical scope disclosed by the present invention, and all within the spirit and principle of the present invention Any modifications, equivalent replacements and improvements made within the scope of the present invention should be included within the protection scope of the present invention.
| Application Number | Priority Date | Filing Date | Title |
|---|---|---|---|
| CN202110053791.4ACN112904803B (en) | 2021-01-15 | 2021-01-15 | Multi-splicing-surface deformation and flatness fine adjustment system, method, equipment and application |
| Application Number | Priority Date | Filing Date | Title |
|---|---|---|---|
| CN202110053791.4ACN112904803B (en) | 2021-01-15 | 2021-01-15 | Multi-splicing-surface deformation and flatness fine adjustment system, method, equipment and application |
| Publication Number | Publication Date |
|---|---|
| CN112904803A CN112904803A (en) | 2021-06-04 |
| CN112904803Btrue CN112904803B (en) | 2022-05-03 |
| Application Number | Title | Priority Date | Filing Date |
|---|---|---|---|
| CN202110053791.4AActiveCN112904803B (en) | 2021-01-15 | 2021-01-15 | Multi-splicing-surface deformation and flatness fine adjustment system, method, equipment and application |
| Country | Link |
|---|---|
| CN (1) | CN112904803B (en) |
| Publication number | Priority date | Publication date | Assignee | Title |
|---|---|---|---|---|
| CN115026876B (en)* | 2022-07-07 | 2025-07-22 | 浙江大学 | Six-degree-of-freedom parallel platform controller design method and control system based on Zynq and HLS |
| CN118049979B (en)* | 2024-04-16 | 2024-06-18 | 四川图林科技有限责任公司 | Harmonic oscillator de-duplication leveling and flatness detection method of hemispherical resonator gyroscope |
| Publication number | Priority date | Publication date | Assignee | Title |
|---|---|---|---|---|
| CN201519991U (en)* | 2009-11-16 | 2010-07-07 | 重庆理工大学 | Multifunctional profiling sewing device |
| CN202061998U (en)* | 2011-05-03 | 2011-12-07 | 吴江全胜机电有限公司 | Combined mould for manufacturing stainless steel kickplates |
| CN103655102A (en)* | 2013-09-03 | 2014-03-26 | 史建刚 | Self-adaption balance control system and method for flexible surgery operation supporting device |
| CN103946732A (en)* | 2011-09-26 | 2014-07-23 | 微软公司 | Video display modification based on sensor input for a see-through near-to-eye display |
| CN204163002U (en)* | 2014-09-11 | 2015-02-18 | 中铁工程设计咨询集团有限公司 | A kind of novel super-tonnage is turned and is put down hinge structure and swivel structure |
| WO2015095872A1 (en)* | 2013-12-20 | 2015-06-25 | Afl Telecommunications Llc | Splice-on optical connector for outside plant drop cable |
| CN104766798A (en)* | 2015-03-27 | 2015-07-08 | 西安电子科技大学 | Methods of Improving SiC/SiO2 Interface Roughness |
| CN104848818A (en)* | 2015-05-28 | 2015-08-19 | 中国工程物理研究院总体工程研究所 | Stewart platform attitude measurement device and measurement method |
| CN105004252A (en)* | 2015-06-26 | 2015-10-28 | 宁波海迈克精密机械制造有限公司 | Detection method for verticality between splicing surface of long and thin workpiece with square cross section and reference surface |
| CN105353726A (en)* | 2015-12-04 | 2016-02-24 | 江苏大学 | Special-purpose controller of electronic press, and control method |
| CN205928533U (en)* | 2016-06-29 | 2017-02-08 | 苏州东菱振动试验仪器有限公司 | Large -scale mesa of high plane degree |
| CN106408514A (en)* | 2016-08-30 | 2017-02-15 | 中国航天空气动力技术研究院 | Method for automatically retrieving splicing boundary surface corresponding relation from three-dimensional multi-block grid |
| CN107283142A (en)* | 2017-06-30 | 2017-10-24 | 北京兴信易成机电工程有限公司 | A kind of axle of robot the 7th is installed, adjusted and detection method |
| CN206821068U (en)* | 2017-05-31 | 2017-12-29 | 深圳蓝普科技有限公司 | Pcb board docking structure |
| CN206843920U (en)* | 2017-07-03 | 2018-01-05 | 张金青 | A road surface smoothness detection device |
| CN108121833A (en)* | 2016-11-29 | 2018-06-05 | 沈阳新松机器人自动化股份有限公司 | A kind of redundant degree of freedom robot is against solution method |
| CN108375665A (en)* | 2018-02-02 | 2018-08-07 | 东北大学 | A kind of large size deep tunnel group three-dimensional physical model pilot system and method |
| CN207747296U (en)* | 2017-11-28 | 2018-08-21 | 苏州沃思诺自动化科技有限公司 | One group for adjusting mold plane degree and pinpoint auxiliary tool |
| CN108827247A (en)* | 2018-06-01 | 2018-11-16 | 中国科学院光电研究院 | Field stitching method based on three film explorer mechanical interleaving assemblies |
| CN108879106A (en)* | 2018-06-15 | 2018-11-23 | 西安电子科技大学 | Dual reflector antenna shape face method of real-time adjustment based on best fit |
| CN109032073A (en)* | 2018-06-13 | 2018-12-18 | 东莞时谛智能科技有限公司 | Foot shoe tree model construction system based on image reconstruction and parameterization |
| CN109556540A (en)* | 2018-11-07 | 2019-04-02 | 西安电子科技大学 | A kind of contactless object plane degree detection method based on 3D rendering, computer |
| CN110410276A (en)* | 2019-08-06 | 2019-11-05 | 上海市机电设计研究院有限公司 | Prefabricated rings for wind power towers with adjustable vertical seams |
| Publication number | Priority date | Publication date | Assignee | Title |
|---|---|---|---|---|
| CN105223910A (en)* | 2015-09-28 | 2016-01-06 | 芜湖日升重型机床有限公司 | The application of a kind of PLC in numerical control flat head apparatus |
| EP3354525B1 (en)* | 2017-01-26 | 2021-01-13 | Volvo Car Corporation | Arrangement and method for mitigating a forward collision between road vehicles |
| US10649439B2 (en)* | 2017-09-21 | 2020-05-12 | Hangzhou Regenovo Biotechnology Co., Ltd. | On-line monitoring method and system for three-dimensional printing |
| Publication number | Priority date | Publication date | Assignee | Title |
|---|---|---|---|---|
| CN201519991U (en)* | 2009-11-16 | 2010-07-07 | 重庆理工大学 | Multifunctional profiling sewing device |
| CN202061998U (en)* | 2011-05-03 | 2011-12-07 | 吴江全胜机电有限公司 | Combined mould for manufacturing stainless steel kickplates |
| CN103946732A (en)* | 2011-09-26 | 2014-07-23 | 微软公司 | Video display modification based on sensor input for a see-through near-to-eye display |
| CN103655102A (en)* | 2013-09-03 | 2014-03-26 | 史建刚 | Self-adaption balance control system and method for flexible surgery operation supporting device |
| WO2015095872A1 (en)* | 2013-12-20 | 2015-06-25 | Afl Telecommunications Llc | Splice-on optical connector for outside plant drop cable |
| CN204163002U (en)* | 2014-09-11 | 2015-02-18 | 中铁工程设计咨询集团有限公司 | A kind of novel super-tonnage is turned and is put down hinge structure and swivel structure |
| CN104766798A (en)* | 2015-03-27 | 2015-07-08 | 西安电子科技大学 | Methods of Improving SiC/SiO2 Interface Roughness |
| CN104848818A (en)* | 2015-05-28 | 2015-08-19 | 中国工程物理研究院总体工程研究所 | Stewart platform attitude measurement device and measurement method |
| CN105004252A (en)* | 2015-06-26 | 2015-10-28 | 宁波海迈克精密机械制造有限公司 | Detection method for verticality between splicing surface of long and thin workpiece with square cross section and reference surface |
| CN105353726A (en)* | 2015-12-04 | 2016-02-24 | 江苏大学 | Special-purpose controller of electronic press, and control method |
| CN205928533U (en)* | 2016-06-29 | 2017-02-08 | 苏州东菱振动试验仪器有限公司 | Large -scale mesa of high plane degree |
| CN106408514A (en)* | 2016-08-30 | 2017-02-15 | 中国航天空气动力技术研究院 | Method for automatically retrieving splicing boundary surface corresponding relation from three-dimensional multi-block grid |
| CN108121833A (en)* | 2016-11-29 | 2018-06-05 | 沈阳新松机器人自动化股份有限公司 | A kind of redundant degree of freedom robot is against solution method |
| CN206821068U (en)* | 2017-05-31 | 2017-12-29 | 深圳蓝普科技有限公司 | Pcb board docking structure |
| CN107283142A (en)* | 2017-06-30 | 2017-10-24 | 北京兴信易成机电工程有限公司 | A kind of axle of robot the 7th is installed, adjusted and detection method |
| CN206843920U (en)* | 2017-07-03 | 2018-01-05 | 张金青 | A road surface smoothness detection device |
| CN207747296U (en)* | 2017-11-28 | 2018-08-21 | 苏州沃思诺自动化科技有限公司 | One group for adjusting mold plane degree and pinpoint auxiliary tool |
| CN108375665A (en)* | 2018-02-02 | 2018-08-07 | 东北大学 | A kind of large size deep tunnel group three-dimensional physical model pilot system and method |
| CN108827247A (en)* | 2018-06-01 | 2018-11-16 | 中国科学院光电研究院 | Field stitching method based on three film explorer mechanical interleaving assemblies |
| CN109032073A (en)* | 2018-06-13 | 2018-12-18 | 东莞时谛智能科技有限公司 | Foot shoe tree model construction system based on image reconstruction and parameterization |
| CN108879106A (en)* | 2018-06-15 | 2018-11-23 | 西安电子科技大学 | Dual reflector antenna shape face method of real-time adjustment based on best fit |
| CN109556540A (en)* | 2018-11-07 | 2019-04-02 | 西安电子科技大学 | A kind of contactless object plane degree detection method based on 3D rendering, computer |
| CN110410276A (en)* | 2019-08-06 | 2019-11-05 | 上海市机电设计研究院有限公司 | Prefabricated rings for wind power towers with adjustable vertical seams |
| Title |
|---|
| Automatic level and bender control for hot finishing mill using flatness measurement of steel strip;Ilhwan Noh;《2017 IEEE Conference on Control Technology and Applications (CCTA)》;20171231;第1218-1222页* |
| 超大型T型拼接平台与水平面的夹角及其平面度检测与调试方法研究;赵春智等;《工程建设》;20151231;第45-48页* |
| Publication number | Publication date |
|---|---|
| CN112904803A (en) | 2021-06-04 |
| Publication | Publication Date | Title |
|---|---|---|
| CN111331367B (en) | Intelligent Assembly Control System | |
| CN104102226B (en) | Control system and control method | |
| CN112904803B (en) | Multi-splicing-surface deformation and flatness fine adjustment system, method, equipment and application | |
| CN101281073B (en) | A mechanical sensor array calibration device and its working method | |
| CN106862908B (en) | A kind of full-automatic assembly interconnection method based on air flotation technology | |
| CN107009348A (en) | A kind of multi-configuration rope driving parallel robot and its spatial pose method for solving | |
| CN201242687Y (en) | Synchronous drive control device for lifting platform position | |
| CN102837311B (en) | Low speed Full-automatic spot gluing machine people servo controller in a kind of five axles | |
| CN102830641B (en) | Three-axis full-automatic high-speed dispensing robot servo control system | |
| CN104260093A (en) | Delta parallel-connection manipulator control system | |
| CN105487462A (en) | PLC motion control module function verification device and verification method | |
| CN203275955U (en) | Motion control system of chip mounter | |
| CN103838184A (en) | Motion control system of chip mounter | |
| CN109343363B (en) | Motion measurement and control system based on optical calculation | |
| CN109282833B (en) | Automatic calibration device and calibration method for plumb line coordinatograph | |
| CN102841558B (en) | Five-axis full-automatic high speed dispensing robot servo-control system | |
| CN105965511A (en) | A Five-axis Manipulator Control System for Injection Molding Machine | |
| CN102835936B (en) | Robot for cleaning wall surface control system | |
| CN202837918U (en) | Three-axis full-automatic high speed adhesive dispensing robot servo control system | |
| CN211956163U (en) | Cricket control experiment system based on resistance screen position detection | |
| CN108858145A (en) | A kind of double-flexibility robot Synchronous motion control apparatus and method | |
| CN105059564B (en) | A kind of method of large scale equipment automatic centering | |
| CN104133391A (en) | Dual-motor loading mechanism electric load simulator | |
| CN2662152Y (en) | Solar tracking controller | |
| CN202837914U (en) | Five-axis medium-low speed full-automatic adhesive dispensing robot servo controller |
| Date | Code | Title | Description |
|---|---|---|---|
| PB01 | Publication | ||
| PB01 | Publication | ||
| SE01 | Entry into force of request for substantive examination | ||
| SE01 | Entry into force of request for substantive examination | ||
| GR01 | Patent grant | ||
| GR01 | Patent grant |