Background
In real life, no matter in aspects of national defense and military, medical assistance, intelligent transportation, environmental monitoring, industry or agricultural control and the like, the WSN (wireless sensor network) is widely applied and plays an increasingly important role, while location-based services are a key core part of all applications, and a positioning target generally occurs in a noise environment, so that the measurement error is large, and the error is also large when the target positioning is realized by adopting a single TDOA (time difference of arrival) ranging technology. In order to improve the positioning accuracy of the algorithm, a hybrid positioning technology is usually adopted to estimate the position information of the target, and when the position information estimation is carried out for multiple moving targets at the same time, a positioning model combining TDOA and FDOA is usually required to estimate the speed and the position of the target, so that the positioning accuracy of the moving target is effectively improved. However, when a dynamic target is positioned, a large positioning deviation occurs in the sensor position error, and therefore the sensor position error becomes an important factor to be considered when estimating the target position.
In the prior art, when a multi-motion target is located by a TSWLS algorithm based on a TDOA/FDOA combined measurement technology and combined with a position error of a sensor, an experimental result shows that: the location estimate RMSE can only reach CRLB if the signal-to-noise ratio is high. Because the measurement error exists together with the sensor position error, the TSWLS algorithm has poor adaptability in terms of noise error, so that the positioning deviation is large and the accuracy is insufficient.
Further, the constrained total least square algorithm system proposed in the prior art considers all coefficient matrix noise in the positioning equation and solves the equation according to the newton iteration method, so as to obtain the position information of the target, and the experimental result shows that: compared with the TSWLS algorithm, the algorithm has better positioning performance and can reach CRLB under the condition of larger noise. The disadvantage is that the algorithm is based on TDOA ranging techniques to estimate the position information of a fixed object and is therefore not suitable for locating moving objects. Furthermore, by analyzing the main factors influencing the positioning performance of the TSWLS algorithm, the invention provides a moving object positioning algorithm based on TDOA/FDOA to correct the positioning error, and the positioning error can be reduced and the capability of adapting to the measurement noise can be improved without increasing the operation complexity.
Aiming at the problem of positioning of related information among multiple (group) targets, Yang Zeu, university of strategic support army information engineering, provides a positioning algorithm for coordinating target position and speed constraint. According to the relevance information of the position and the speed parameters between the targets, on the basis of an observation model combining Time Difference of Arrival (TDOA) and Frequency Difference of Arrival (FDOA), the relevance information of the distance and the speed between the targets is converted into inequality constraints for improving the positioning precision, and the estimation performance bound of the position and the speed of the targets containing the constraints is deduced. Compared with an unconstrained positioning algorithm, the provided algorithm has higher positioning precision and robustness to noise, and the performance of the algorithm can approach the positioning performance bound with constraint. The main problem is that a fixed multi-target positioning algorithm for collaborative constraint information is researched, but in actual positioning scenes and applications, the target position usually changes dynamically, so that the constraint condition may change dynamically within a specific range, and the maximum likelihood estimation algorithm has no advantage in dynamic target positioning.
Therefore, the position error and the measurement error of the sensor are analyzed in detail on the basis of the prior art, an Improved constrained total least square (ICTRS) algorithm is provided for estimating the position coordinates of a plurality of non-coincident moving targets, and a Lagrange multiplier is introduced into the algorithm and a BFGS formula of a quasi-Newton method is utilized to solve the CTLS target positioning problem. The experimental result shows that the algorithm has better positioning performance than the TSWLS algorithm, can greatly reduce the positioning deviation, has stronger adaptability to the measurement error and the sensor position error, and can reach CRLB even under the condition of larger noise error.
However, no matter the classic TSWLS, CTLS or ICTLS positioning algorithms, there is a fatal defect in positioning the target, which results in a large positioning deviation and a sharp drop in positioning performance. When the target is positioned on or close to any one coordinate axis of the set reference sensor, the positioning algorithm has larger positioning deviation, and the positioning performance is sharply reduced.
Disclosure of Invention
The invention aims to solve the technical problem of providing a multi-moving object positioning method for improving a TDOA/FDOA algorithm.
In order to solve the technical problems, the invention adopts the following technical scheme:
a multi-moving object positioning method for improving TDOA/FDOA algorithm comprises the following steps:
step 1, setting K non-coincident moving targets in a three-dimensional space, namely a target 1 and atarget 2 … …, respectively, deploying M sensors in the three-dimensional space, namely a sensor 1 and asensor 2 … …, taking the sensor 1 as a reference sensor, and constructing an FDOA measurement vector of speed information of a target i:
wherein, i is 1,2 … … K, j is 1,2 … … M, r
j1,iFor the true value of the difference in distance from the object i to the sensor 1 and the sensor j,
the true distance between target i and sensor j,
is the true distance, Δ r, between the target i and the sensor 1
j1,iThe difference value between the actual value and the measured value of the distance difference between the target i and the sensor 1 and the sensor j is an error value;
step 2: constructing a TDOA/FDOA system of positioning equations for object i and sensor location information, introducing additional variables
Wherein u is
iIs the position of the target i and,
to transmitTrue position of sensor j
And
substituted type
And squaring the two sides, and obtaining a TDOA equation set after arrangement:
and step 3: will be provided with
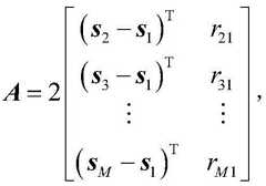
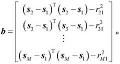
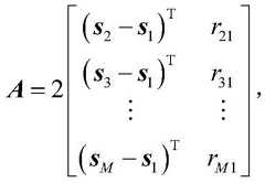
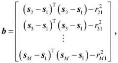
At the sensor noise position s
1And performing first-order Taylor series expansion, neglecting higher-order terms with more than two orders, entering a TDOA equation set to obtain a new equation set, differentiating the new equation set with time to obtain an FDOA equation set, and synthesizing the new equation set and the FDOA equation set to obtain a positioning equation set in a matrix form: (a + Δ a) θ ═ b + Δ b; in the formula (I), the compound is shown in the specification,
w=u
i-s
1,
data matrix
Data vector
Is r
1,iIs determined by the estimated value of (c),
is composed of
An estimated value of (d);
and 4, step 4: taking into account the errors of all coefficient matrices in the equation, and incorporating additional variables
And
and w and
constraint condition between, get constraint condition theta
TΣ
1θ=0,θ
TΣ
2θ=0;
And 5: constructing a value function of a vector theta to be solved, and changing the total least square solution of the vector theta for solving the positioning equation set into a CTLS solution;
step 6: introducing Lagrange multiplier technique lambda1And λ2Solving the problem of solving the CTLS constraint optimization minimum value to obtain the final estimated value of the vector theta
θ=[(A-D)TWθA+λ1Σ1+λ2Σ2]-1(A-D)TWθb (18)
Substituting equation (18) into θ againTΣ1θ=0,θTΣ2θ is 0 to yield:
θTΣ1θ=0,θTΣ2θ=0 (19);
where θ is an estimate of θ;
and 7: definition of λ ═ λ1 λ2]T,f=[f1 f2]TSolving λ in equation (19) using a quasi-newton iterative equation:
λ(k+1)=λ(k)-α(k)H(k)g(k) (21)
in the formula, λ
(k)K number of λIteration, α
(k)In order to be the step size,
H
(k)and updating the symmetric matrix of the corresponding dimension by a BFGS formula as follows:
let parameter delta be (0,1), sigma be (0,0.5), Wθ=Q-1Precision of 10-3Taking an initial point λ(1)=[0,0]TInitial matrix H(1)Is a unit matrix I, k is 0;
and 8: computing
If g | | |
(k)Stopping iteration if | | is less than or equal to epsilon, and outputting lambda
kAs an approximate solution;
and step 9: calculating a search direction p(k)=-H(k)g(k)And is provided with mkIs satisfied with f (λ)(k))+δmp(k)≤f(λ(k))+σδmg(k)Tp(k)The smallest non-negative integer of (c);
step 10: updating H by BFGS formula of quasi-Newton method(k+1)Setting k to k +1, and turning tostep 8;
step 11: lambda to be obtained finally
kOptimal value substitution
Thus, the optimal estimation value of the vector theta to be solved is obtained, wherein theta is the final estimation position information of the target i.
Further, the step 1 specifically includes the following steps:
let the i-th target's true position and speed be recorded as u
iAnd
order to
The real coordinates of the sensor are represented,
which is indicative of the true speed of the sensor,
and
respectively representing the true position and velocity of the jth sensor [. ]]
0Is []True value of [ ·]
TIs []The transposition operation of (1);
the sensor with j equal to 1 is used as the reference sensor, so the real distance between the target i and the sensor j is
The actual and measured values of the difference in distance from the object i to the sensors 1 and j are respectively
The TDOA-form measurement vector of the target i-position information is recorded as
ri=[r21,i,r31,i,…,rM1,i]T=ri0+Δri (3)
FDOA measurement of target velocity information:
further, thestep 3 comprises the following steps:
will be provided with
At the sensor noise position s
1And performing first-order Taylor series expansion on the position, neglecting higher-order terms above the second order, and obtaining after arrangement:
a general formula (6) is
Substituting formula (5) to obtain:
differentiating equation (7) with respect to time to obtain the FDOA equation set:
integrating (7) and (8) to obtain a positioning equation system in a matrix form:
(A+ΔA)θ=b+Δb (9)
in the formula (I), the compound is shown in the specification,
w=u
i-s
1,
data matrix
Data vector
Further, thestep 4 comprises the following steps:
taking into account all of the equationsError in coefficient matrix, combined with additional variables
And
and w and
and (4) estimating the target position information by adopting a CTLS positioning algorithm under the constraint condition. The cost function of the candidate vector θ can be configured as:
J(θ)=(Aθ-b)TWθ(Aθ-b) (10)
wherein J (θ) is a cost function of θ, W
θIs a weighting matrix. Theta is an estimated value of theta, and theta is an optimized value of theta. Due to the introduced variables
And
and w and
since there is a certain constraint relationship, equation (11) needs to be solved by combining the constraint condition. The constraint conditions are obtained by integrating (11) and (4)
Transforming the formula (12) to obtain the formula (10), and arranging to obtain the constraint condition in a matrix form:
θTΣ1θ=0,θTΣ2θ=0 (13)
in the formula (I), the compound is shown in the specification,
o is a 4 × 4 all-0 matrix, sigma
11=Σ
12=Σ
22=diag{1,1,1,-1}。
Further, thestep 5 comprises the following steps:
the overall least squares solution for vector θ becomes the CTLS solution:
S.t.θTΣ1θ=0,θTΣ2θ=0 (15)
partially differentiating theta and then letting
After finishing, obtaining:
2[(A-D)TWθA+λ1Σ1+λ2Σ2]θ-2(A-D)TWθb=0 (16)
further, thestep 6 comprises the following steps:
equation (16) is a quadratic constraint non-convex optimization problem, and solving the problem comprises the steps of firstly solving partial differential of equation (16) on theta and then enabling equation (16) to be subjected to partial differential
After finishing, obtaining:
2[(A-D)TWθA+λ1Σ1+λ2Σ2]θ-2(A-D)TWθb=0 (17)
in the formula (I), the compound is shown in the specification,
l-8 is the dimension of the vector theta,
Q=E(nn
T) Is an initial weighting matrixAnd n ═ Δ β
T,Δα
T]
TAs random noise, F
1,…,F
LA coefficient matrix which is a disturbance matrix delta A, delta b; thus, the final estimate of vector θ is
θ=[(A-D)TWθA+λ1Σ1+λ2Σ2]-1(A-D)TWθb (18)
Substituting equation (18) into constraint equation (13) again yields:
θTΣ1θ=0,θTΣ2θ=0 (19)
formula (19) relates to1And λ2By solving the system of equations to obtain λ1And λ2And substituting the position information into the formula (18) to obtain the final estimated position information of the target i.
After the technical scheme is adopted, compared with the prior art, the invention has the following advantages:
the invention provides a correction constraint total least square algorithm-ICTLS (information communication technology) aiming at the problems of low precision and large calculation amount of the traditional algorithm when a plurality of dynamic targets are positioned. Constraint conditions are considered comprehensively and systematically by the algorithm, and a Lagrange multiplier technology and a quasi-Newton BFGS iterative formula are introduced, so that the calculation of a Hessian matrix is avoided, the calculation amount is greatly reduced, and the positioning accuracy is improved.
The present invention will be described in detail below with reference to the accompanying drawings and examples.
Detailed Description
The principles and features of this invention are described below in conjunction with the following drawings, which are set forth by way of illustration only and are not intended to limit the scope of the invention.
The working principle of the invention is as follows:
(1) setting K moving targets which are not overlapped mutually in a three-dimensional space, deploying M sensors, and constructing a measurement vector of target information:
(1.1) let the i-th target's true position and velocity be u
iAnd
also deploying M sensors in three-dimensional space, order
The real coordinates of the sensor are represented,
which is indicative of the true speed of the sensor,
and
respectively representing the true position and velocity of the jth sensor [. ]]
0Is []True value of [ ·]
TIs []The transpose operation of (1).
(1.2) using the sensor with j equal to 1 as the reference sensor, the real distance between the target i and the sensor j is
The actual and measured values of the difference in distance from the object i to the sensors 1 and j are respectively
The TDOA-form measurement vector of the target i-position information is recorded as
ri=[r21,i,r31,i,…,rM1,i]T=ri0+Δri (3)
FDOA measurement of target velocity information:
(2) constructing a TDOA/FDOA location equation set for the object and sensor location information to estimate the object's velocity and position:
(2.1) introduction of additional variables
Handle
And
substituting the formula (4), squaring the two sides, and finishing to obtainTo the TDOA system of equations:
(2.2) mixing
At the sensor noise position s
1And performing first-order Taylor series expansion on the position, neglecting higher-order terms above the second order, and obtaining after arrangement:
a general formula (6) is
Substituting formula (5) to obtain:
differentiating equation (7) with respect to time to obtain the FDOA equation set:
(2.3) integrating the equations (7) and (8) to obtain a positioning equation system in a matrix form:
(A+ΔA)θ=b+Δb (9)
(3) constructing a global constraint condition according to the relation between the target and the additional variable, introducing a Lagrange multiplier, and solving a positioning equation by adopting a quasi-Newton BFGS iterative formula:
(3.1) taking into account the errors present in all the coefficient matrices in the equation, and incorporating additional variables
And
and w and
and (4) estimating the target position information by adopting a CTLS positioning algorithm under the constraint condition. The cost function of the candidate vector θ can be configured as:
J(θ)=(Aθ-b)TWθ(Aθ-b) (10)
(3.2) solving the constraint condition of the comprehensive formula (11) and (4)
(3.3) the overall least squares solution of vector θ becomes the CTLS solution:
S.t.θTΣ1θ=0,θTΣ2θ=0 (14)
(3.4) partial differentiation of θ and then letting
After finishing, obtaining:
2[(A-D)TWθA+λ1Σ1+λ2Σ2]θ-2(A-D)TWθb=0 (15)
(3.5) definition of λ ═ λ1 λ2]T,f=[f1 f2]TAnd solving lambda by adopting a quasi-Newton iterative formula.
(4) In a specific scene, for example, when the target i is exactly located on a coordinate axis, a first step of primary estimation of the TSWLS algorithm is adopted to obtain a target position, and then the reference sensor and the rotating coordinate axis are reselected according to the estimated target position to correct the defects of the TSWLS algorithm:
(4.1) referring to the positioning scene and model establishment in the step (1), and expressing a measurement equation based on a TDOA algorithm as follows:
r=r0+Δr (16)
wherein r is ═ r2,k,r3,k,…,rM,k]T,Δr=[Δr2,k,Δr3,k,…,ΔrM,k]TThe error vector is measured randomly as a Gaussian whose mean is zero, and the covariance matrix is Qt。
Introducing additional variables
Placing it in
Performs expansion of a first order Taylor series, and only retains Δ s
kLinear terms, which after sorting can yield:
(4.2) order
In combination with the full pseudolinearity equation of equation (17), one can derive the equation for the vector
The localization equation of (c):
(4.3) when vector
Can be regarded as the estimation error ofIs that
A random vector fluctuating up and down nearby, so that the estimated vector
Can be expressed as:
(4.4) define reference Sensors for further analysis why reselect
When the coordinate axes are rotated for the first time, phi is 45 degrees, the coordinate axes are rotated clockwise with the z-axis as the rotation axis, and the rotation angle alpha is pi/4. Then the ith sensor located under the new coordinate system can be expressed as:
in the second rotation of the coordinate axes, let θ ≈ 55 ° to pass through the origin of coordinates and be perpendicular to the plane
Is clockwise rotated with the rotation angle β being 55 pi/180, and the cosine direction of the rotation axis is
nz0. The ith sensor can be expressed as:
(4.5) equations under the new coordinate System
The WLS estimation result of
Thus, the estimated position of the target under the new coordinate system is
Wherein pi is diag { sgn (u '(1: 3) -s')k) And sgn (×) is a sign function.
Resulting in a sudden increase in estimation error when the target is at or near the reference sensor. On the basis of keeping a closed-form solution, the optimization algorithm effectively reduces the position estimation error by reselecting the reference sensor and the rotating coordinate system, corrects the defects of the TSWLS algorithm and comprehensively improves the positioning performance of the TSWLS algorithm.
The effects of the invention can be further illustrated by simulation:
A. simulation conditions
In order to verify the feasibility of the ICTLS algorithm for positioning a plurality of dynamic targets, the invention designs a simulation experiment of three target positioning scenes. In order to compare and analyze the positioning performance of the ICTLS algorithm in detail, the simulation experiment in the text compares and analyzes the simulation results of the three positioning algorithms of TSWLS, CTLS, and ICTLS. Firstly, a single dynamic target is positioned, and the real position and speed of the target are respectively
And
② locating two different dynamic targets, except for target
In addition to the true position and velocity of another objectAre respectively as
And
positioning two different static targets, assuming two targets
And
speed is zero and selected close to
Sensor (2)
Is a reference sensor. The distribution of the positions of the targets and sensors in space is shown in fig. 1. The experiment assumes that there are 6 observation sensors in three-dimensional space, and the specific positions and velocities of the sensors are shown in table 1. The simulation experiment of multi-target positioning is carried out by taking two targets as an example, and the simulation experiment can be extended to more targets. The real positions of two targets to be positioned are respectively
And
the two target speeds are respectively
And
let the position error of the sensor be a Gaussian random process with zero mean and the covariance matrix be
And
respectively, the position and velocity error variances of the sensor, an
The matrix R ═ diag [1,1,1,2,2,2,10,10,10,40,40,40,20,20,20,3,3,3]. The measurement errors based on TDOA and FDOA are Gaussian random vectors with zero mean value, and the covariance matrix is
And
for measuring time difference and frequency difference variance, respectively
And J is a (M-1) × (M +1) square matrix with a major diagonal element of 1 and other elements of 0.5.
TABLE 1 location distribution of targets and sensors in space
Aiming at the positioning algorithm in a specific scene, the performance of the positioning target of the optimization algorithm and the TSWLS algorithm is compared through simulation experiments in two positioning scenes. Two positioning scenarios are: a special positioning scene, namely that the target is positioned at or close to a reference sensor; and secondly, randomly positioning scenes, namely randomly distributing the target and the sensor in a three-dimensional space.
Firstly, in a special positioning scene, 2 targets to be positioned are distributed in a monitoring area, and one target is a short-distance target
The other is a distant target
The two targets to be positioned estimate the target position information from the data measured by 6 sensors in the area, the real position coordinates of the sensors are shown in table 2, and the distribution of the target sensors in space is shown in fig. 7.
TABLE 2 true position of sensor
Positioning targets in a random scene, wherein 100 target sources to be positioned are randomly distributed in a set space, and the target sources are randomly distributed in a cube with the side length of 600 m. Likewise, 100 sensors are randomly distributed in a cube with a side length of 200m, and the centers of the two cubes coincide. And randomly selecting 6 sensors and 1 target as a positioning scene. The distribution of targets and sensors in space is shown in fig. 10.
B. Emulated content
In order to verify the feasibility of the ICTLS algorithm in locating a plurality of dynamic targets, 10000 Monte Carlo experiments are run on a PC, and the RMSE of the ICTLS algorithm and the TSWLS and CTLS methods for target position and speed estimation is compared. The RMSE of the target estimated position and velocity is defined as follows:
wherein: P-RMSE and V-RMSE represent the RMSE, u, of the estimated position and velocity of the target, respectivelyi(l) The estimation result of the first Monte Carlo experiment is shown.
5000 Monte Carlo experiments are run on a PC (personal computer) aiming at experiments under two positioning scenes in a specific scene, and the positioning performance of the algorithm is analyzed by comparing the MSE and the deviation of the position estimation of the two algorithms. The MSE and bias of the position estimate are defined as
In the formula u
lBit u
lAnd L is 5000. The position error variance of the sensor is
And covariance matrix
The variance of the mean measurement error is
Having a covariance matrix of
And R is an (M-1) × (M-1) matrix with a main diagonal element of 1 and other elements of 0.5; it is assumed that the measurement error is independent of the position error of the sensor.
C. Simulation result
FIG. 2 shows the positioning performance of the three positioning algorithms TSWLS, CTLS and ICTLS when positioning a single dynamic target, and the comparison of the RMSE and CRLB of the target position velocity estimation bias. The curves in the figure show that: for the estimation of the target position, the method includes
In time, the RMSE of the position estimation biases of the three positioning algorithms can all reach CRLB. However, the three positioning algorithms of TSWLS, CTLS and ICTLS are respectively in
The RMSE of the temporal position estimation error is gradually higher than CRLB. The reason why the three positioning algorithms of TSWLS, CTLS and ICTLS have different thresholds is that the WLS result deviation of the first step of the TSWLS positioning algorithm is increased along with the increase of noise errors, so that the final positioning accuracy is poor and the robustness is weak;although the CTLS positioning algorithm integrally considers factors such as measurement errors and position errors of the sensors, the additional variables introduced are not considered
With target position coordinates
The relation between the CTLS and the CTLS cannot reach the optimal solution because the correlation between the measurement noise and the position error of the sensor is not considered; in the ICTLS positioning algorithm, the correlation between measurement noise and the position error of the sensor is considered on the basis of the CTLS algorithm, the introduced additional variable is subjected to approximate processing, the estimation error of the first step is reduced, meanwhile, the correlation between the introduced variable and the target position is considered in the positioning algorithm, and the optimal solution can be achieved under the constraint condition.
Therefore, the ICTLS positioning algorithm in the text is optimal in positioning dynamic target performance among the three positioning algorithms. (ii) target speed estimation aspect when
In the process, the RMSE of the speed estimation of the three positioning algorithms of TSWLS, CTLS and ICTLS can reach CRLB, and the threshold values of the three positioning algorithms are respectively 2.5dBm
2,5dBm
2,7.5dBm
2Therefore, the position estimation threshold values corresponding to the three positioning algorithms are respectively larger than the speed estimation threshold values. Therefore, the three positioning algorithms have a poorer noise adaptation capability for speed estimation when positioning a dynamic target than for position estimation, and the randomness of estimation errors is increased.
FIG. 3 depicts the RMSE and CRLB alignment of the three TSWLS, CTLS and ICTLS localization algorithms to the target position and velocity estimation errors when localizing a plurality of dynamic targets. The RMSE curves for the position and velocity estimate bias in FIG. 3, the upper curve being the positioning target
The lower curve is a positioning target
RMSE curve of (2). The two dynamic targets are positioned according to the curves in the graph
And
the estimation of the ICTLS positioning algorithm no matter the position or the speed has higher precision and stronger robustness than other two algorithms, and even if the measurement error and the sensor position error are larger, the CRLB can also be achieved. In addition, TSWLS and CTLS positioning algorithms obtained from curves in the graph are used for positioning close-range targets
The threshold value occurring in the estimation of the target position or velocity is larger than that of a distant target
The threshold of (a) is small, which indicates that the performance of the TSWLS and CTLS positioning algorithms for positioning close-range targets is poor, mainly due to the fact that the noise interaction between close-range targets is large and the correlation of noise errors is not considered.
FIG. 4 depicts the results of RMSE versus CRLB comparisons of position estimation errors for three positioning algorithms TSWLS, CTLS, and ICTLS in locating two static targets. For long distance targets
When in use
The RMSE of all three positioning algorithms can reach CRLB even in
The RMSE of the three positioning algorithms increases along with the increase of the error noise power, but under the condition of the same noise power increment, the static state positioning algorithms have the same noise power incrementThe RMSE increment of the target position estimation error is smaller than that of the dynamic target position estimation error because the static target is positioned without parameters such as speed frequency and the like, so that the mutual influence among the participating operation variables is weakened, and the calculation efficiency and the positioning precision are improved. However, locating objects closer to the reference sensor
The thresholds for the TSWLS and CTLS positioning algorithms are significantly higher than the target
The threshold of (a) is small, and the positioning performance of the positioning algorithm is poor when positioning the target close to the reference sensor.
Fig. 8 depicts the MSE and bias of 2 algorithms for close range target position estimation as a function of sensor position error variance under certain scenarios. As can be seen from the figures, the,
while the threshold for the optimization algorithm in this context is-10 dBm
2The optimization algorithm is improved by 30dBm compared with the threshold value of the TSWLS algorithm
2And the robustness is stronger. In addition, when
The time context optimization algorithm reduces the estimation bias by about 8dB compared to the TSWLS algorithm. Therefore, the optimization algorithm shows higher positioning accuracy and stronger robustness when positioning a close-range target.
Fig. 9 presents the MSE and bias of 2 algorithms for remote target position estimation as a function of sensor position error variance. As can be seen from the graph, when
In time, the MSEs for the position estimation of the positioning algorithm in 2 can all reach the CRLB. The noise thresholds for the TSWLS algorithm and the optimization algorithm are-10 dBm, respectively
2And-5 dBm
2Obviously, the optimization algorithm has stronger robustness than the TSWLS algorithm. In addition, the optimization algorithm is also better thanThe TSWLS algorithm has a small deviation in the position estimate. In conclusion, when the remote target is positioned, the optimization algorithm also shows better positioning performance.
FIG. 11 depicts the MSE and bias of the 2 algorithms on the target position estimate as a function of the variance of the sensor position error when the target and sensor are randomly distributed. According to the curve in the figure, when
Or

The MSE for the target position estimate by the TSWLS algorithm suddenly deviates from CRLB and the deviation also increases dramatically, indicating that the target being located at this time may be just at or near the reference sensor, resulting in an increased estimation error. In contrast, the optimization algorithm herein can reach CRLB at the error threshold, and the optimization algorithm reduces the position estimation MSE by 4dBm and 7dBm respectively compared with the TSWLS algorithm at the error variance point of the two sensor positions, and also reduces the position estimation error by 7dBm and 6dBm respectively, mainly because the optimization algorithm corrects the defects in the TSWLS algorithm by reselecting the reference sensor and rotating the coordinate system. However, the optimization algorithm in the same positioning scenario locates the target a little longer than the TSWLS algorithm, because the optimization algorithm introduces an increase in the amount of computation due to the re-selection of the reference sensor and the rotating coordinate system. Comprehensively, when randomly distributed targets are positioned by using randomly distributed sensors, the overall performance of the optimization algorithm on positioning the targets is superior to that of the TSWLS algorithm.
Fig. 12 shows the average MSE and the variance of the target position estimate with 2 positioning algorithms as a function of the number of sensors, which increased gradually from 3 to 8 in the experiment. At the same time, the average position error variance of the sensor is set to
The settings of other parameters were the same as in the above experiment. The experimental result shows that the MSE and the deviation of the target position estimation of the 2 algorithms are reduced along with the increase of the number of the sensors, particularly the number of the sensors is 3The MSE and bias of the position estimate decrease sharply when the number of sensors increases to 5, but the change will be slower when the number of sensors increases from 6 to 8, which is why 6 sensors are set to locate the target in the above experiment.
And (3) synthesizing the simulation results and analysis, and providing an ICTLS positioning algorithm on the basis of the TSWLS and CTLS positioning algorithms aiming at the positioning problems of a plurality of non-coincident dynamic targets. The ICTLS positioning algorithm provided by the invention corrects two defect problems in the TSWLS algorithm: firstly, the deviation of the WLS estimation result increases along with the increase of noise errors; secondly, the calculation error caused by the nonlinear operation introduced in the WLS in the second step is larger, thereby reducing the precision of the positioning algorithm. The ICTLS algorithm provided in the text modifies the relation between the additional variables and the target position coordinates which are not considered to be introduced in the CTLS algorithm, and establishes global constraint conditions according to the relation between the target and the additional variables; meanwhile, a Lagrange multiplier technology is introduced to solve a positioning equation, calculation of a Hessian matrix is avoided through a BFGS iterative formula of a quasi-Newton method, and the calculated amount is reduced so as to accelerate the convergence speed. Simulation experiments show that under the condition of moderate measurement errors and sensor position errors, the ICTLS positioning algorithm has smaller RMSE than TSWLS and CTLS positioning algorithms, and shows higher positioning accuracy and stronger robustness.
Aiming at a specific scene, the TSWLS optimized positioning algorithm provided by the patent solves the hidden danger problem existing in various positioning algorithms, namely, estimation error is increased suddenly when a target is positioned at or close to a reference sensor. On the basis of keeping a closed-form solution, the optimization algorithm effectively reduces the position estimation error by reselecting the reference sensor and the rotating coordinate system, corrects the defects of the TSWLS algorithm and comprehensively improves the positioning performance of the TSWLS algorithm.
The foregoing is illustrative of the best mode of the invention and details not described herein are within the common general knowledge of a person of ordinary skill in the art. The scope of the present invention is defined by the appended claims, and any equivalent modifications based on the technical teaching of the present invention are also within the scope of the present invention.