Movatterモバイル変換


[0]ホーム

URL:


CN112901070B - Method for tracking horizontal well while drilling and control method for controlling drilling direction of drill bit - Google Patents

Method for tracking horizontal well while drilling and control method for controlling drilling direction of drill bit
Download PDF

Info

Publication number
CN112901070B
CN112901070BCN201911222570.4ACN201911222570ACN112901070BCN 112901070 BCN112901070 BCN 112901070BCN 201911222570 ACN201911222570 ACN 201911222570ACN 112901070 BCN112901070 BCN 112901070B
Authority
CN
China
Prior art keywords
reservoir
drilling
value
tracking
drill bit
Prior art date
Legal status (The legal status is an assumption and is not a legal conclusion. Google has not performed a legal analysis and makes no representation as to the accuracy of the status listed.)
Active
Application number
CN201911222570.4A
Other languages
Chinese (zh)
Other versions
CN112901070A (en
Inventor
吴让彬
李芳�
赵文苹
彭学红
华晓琴
梁涛
Current Assignee (The listed assignees may be inaccurate. Google has not performed a legal analysis and makes no representation or warranty as to the accuracy of the list.)
Petrochina Co Ltd
Original Assignee
Petrochina Co Ltd
Priority date (The priority date is an assumption and is not a legal conclusion. Google has not performed a legal analysis and makes no representation as to the accuracy of the date listed.)
Filing date
Publication date
Application filed by Petrochina Co LtdfiledCriticalPetrochina Co Ltd
Priority to CN201911222570.4ApriorityCriticalpatent/CN112901070B/en
Publication of CN112901070ApublicationCriticalpatent/CN112901070A/en
Application grantedgrantedCritical
Publication of CN112901070BpublicationCriticalpatent/CN112901070B/en
Activelegal-statusCriticalCurrent
Anticipated expirationlegal-statusCritical

Links

Images

Classifications

Landscapes

Abstract

The invention provides a method for tracking a horizontal well while drilling. The method for tracking the horizontal well while drilling comprises the following steps: s10: collecting logging data of a vertical well adjacent to a field designed horizontal well; s20: according to logging information, acquiring a logging curve corresponding to a reservoir of a vertical well and upper surrounding rock and lower surrounding rock adjacent to the reservoir, wherein the logging curve comprises a deep resistivity value RT curve; s30: determining a reservoir tracking index value; s50: establishing a relation graph between the depth dimension of the reservoir and the upper surrounding rock and the lower surrounding rock adjacent to the reservoir and the reservoir tracking index value according to the reservoir tracking index value and the depth of the drilling well into the vertical well; s60: and (3) according to the relation graph established in the step S50 and the deep resistivity value RT curve in the step S20, making a junction graph, and according to the junction graph, determining the limit value of the area where the reservoir is located. The technical scheme of the invention can confirm the limit value of the area where the reservoir is located in advance, and provides a basis for controlling the drilling direction of the drill bit by using the control system while drilling.

Description

Method for tracking horizontal well while drilling and control method for controlling drilling direction of drill bit
Technical Field
The invention relates to the field of horizontal well tracking while drilling, in particular to a horizontal well tracking while drilling method and a control method for controlling the drilling direction of a drill bit.
Background
In 1965-1975, logging-while-drilling technology began to appear abroad, but developed more slowly, and sporadic several patents showed that this period was also in the exploration phase of logging-while-drilling. The number of logging while drilling patent applications in 1975-1995 is relatively stable, and representative logging while drilling products are successively introduced by a plurality of logging companies in the world. For example, the 1978 Teleco company introduced the first reliable commercial logging-while-drilling instrument, using drilling fluid pressure pulses to transmit measurement data; electromagnetic wave resistivity logging while drilling instruments were marketed in 1984, and Anadrill corporation of Schlenz, 1993, introduced a first generation IDEAL geosteering system that integrates formation evaluation and geosteering. In 1995, foreign logging while drilling patent applications have presented the development of blowouts as a whole. However, the research of the logging-while-drilling technology in China starts later, and patent application in the field does not appear until about 2000, but the technology in the field in China is remarkably improved from 2005. From the above, most logging while drilling tracking technologies belong to patent technologies in industry, and belong to enterprise core assets, complexity and technical thresholds are high, and common professional technicians cannot touch the logging while drilling tracking technologies and cannot operate the logging while drilling tracking technologies.
From the professional development history, as more and more oil reservoirs are successfully discovered, the oil exploration and development industry has turned to developing more difficult and marginal oil reservoirs (i.e., smaller oil reservoirs, thinner oil reservoirs, fractured oil reservoirs and oil reservoirs with poor physical properties), and the previous geological evaluation conclusion of these oil reservoirs is poor, so the openness of these oil reservoirs is often neglected. Both technical and economic aspects present challenges to drilling plan design today. Large displacement, horizontal and multi-bottom wells, which were rare or absent for 15 years, have now been routinely used to increase the production and reserves of reservoirs with increasing emphasis on increasing popularity (AllenF, 1997). Among these, the second stage of UVD technology development occurs in mid nineties, and representative developments have been the development of azimuth measurement techniques, borehole imaging techniques, instrumented steering motors, and forward modeling programs to achieve accurate well placement by geosteering (BonnerS, 1998). Drilling efficiency means minimizing costs or losses by avoiding problems such as drill string damage, stuck drill pipe, fluid influx into the wellbore or lost circulation, and is also related to managing associated risk problems (e.g., wall instability) during drilling. A geomechanical model (MEM) can be used to integrate all the data (AldridW, 1998). Accurate determination of well placement means that the wellbore trajectory is directed in the optimal direction in the reservoir of interest, achieving the goal of maximizing well production. At the same time, due to economic constraints on finding high reservoir costs, it is often required that a well be able to drill to multiple targets, typically by drilling a long horizontal well section. If an unpredictable change in geology and formation cannot be quickly corrected for (e.g., fault level, standoff, or formation dip changes), it may result in a less valuable deviated or horizontal well. Inclination and azimuth data (especially borehole images) near the real-side bit may provide the best means for achieving the desired target. The prior instrument can generally reach a deviation range that the absolute vertical depth change is smaller than 2m and the relative depth change is smaller than 0.35 m. The wellbore can not only remain in a very thin zone, but also avoid collisions with other wellbores in the same zone (PogsonM, 1999). With the rapid development of communication technology, particularly the proposal of internet-based solutions, it has become realistic to transmit solutions to anywhere in the world in real time (brown, 2000). Real-time UWD well logging products now include projects such as high resolution resistivity, porosity, sonic travel time, borehole images, formation dip, annular pressure, leak and formation integrated testing (Rezmer-cooper, 2000). The accuracy of the well position can be greatly improved by using the logging while drilling technology. Combining new at bit inclination measurement (AMI) modules with sequential borehole measurements of Vision modules can optimize drilling control, improving drilling efficiency (VareoM, 1999).
In the prior art, in the field of horizontal well tracking while drilling, a logging while drilling system is generally utilized to realize on-site horizontal well track control and dynamic tracking. While logging while drilling systems are capable of precisely controlling the trajectory of a horizontal well, their control methods are complex and costly, and therefore can only be operated by a professional. Due to the limited number of field professionals, there is often a shortage of professionals and drilling work is not possible. This reduces the efficiency of the well drilling and increases the cost of reservoir development. Therefore, a set of control method for the drilling direction of the drill bit, which is simple to operate and low in cost, needs to be researched.
Disclosure of Invention
The invention mainly aims to provide a method for tracking a horizontal well while drilling, which can judge the drilling condition of a reservoir in real time and improve the drilling rate of the reservoir.
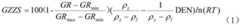
To achieve the above object, according to one aspect of the present invention, there is provided a method of tracking a horizontal well while drilling, the method of tracking a horizontal well while drilling comprising the steps of: s10: collecting logging data of a vertical well adjacent to a field designed horizontal well; s20: according to logging information, acquiring a logging curve corresponding to a reservoir of a vertical well and upper surrounding rock and lower surrounding rock adjacent to the reservoir, wherein the logging curve comprises a deep resistivity value RT curve; s30: determining a reservoir tracking index value (gzs); s50: establishing a relation graph between the depth dimension of the reservoir and the upper and lower surrounding rocks adjacent to the reservoir and the reservoir tracking index value (GZZS) by taking the reservoir tracking index value (GZZS) as an ordinate and the depth of the drilling well into the vertical well as an abscissa; s60: and (3) according to the relation graph established in the step S50 and the deep resistivity value RT curve in the step S20, a first limit value A and a second limit value B of the area where the reservoir is located are determined according to the intersection graph, wherein the first limit value A is larger than the second limit value B.
Further, the reservoir tracking index value (gzs) satisfies the following formula:
Figure RE-GDA0002571435280000021
wherein GR, RT, DEN is obtained by logging curves, and GZZS is a reservoir tracking index value; GR is a natural gamma value, and the unit is API; GR (glass fibre reinforced plastics)min For extracting the minimum GR in the data, the unit is API; GR (glass fibre reinforced plastics)max For extracting the maximum GR in the data, the unit is API; RT is a deep resistivity value, and the unit is ohm-meter; ρz Is the skeleton density value of the reservoir, and the unit is g/cm3 ;ρl Is the density of fluid in the reservoir in g/cm3 The method comprises the steps of carrying out a first treatment on the surface of the DEN is a compensation density value in g/cm3
Further, the vertical well is a pilot well adjacent to the horizontal well.
Further, the reservoir skeleton density value ρ in step S30z And fluid in the reservoirDensity value ρl Is obtained by analysis according to the logging curve and the test data of the oil reservoir.
According to another aspect of the present invention, there is provided a control method of controlling a drilling direction of a drill bit according to a reservoir tracking index value (gzs), the control method comprising the steps of: s80: according to the method for tracking the horizontal well while drilling, a first limit value A and a second limit value B of an area where a reservoir is located are obtained; s90: and controlling the drilling direction of the drill bit by using the control system while drilling.
Further, the control method further comprises the following steps: when the drill bit continuously drills a distance D, corresponding and continuous reservoir tracking index values (GZZZS) are obtained through real-time calculation, and when the reservoir tracking index values (GZZS) meet the conditions: and when GZZS is less than or equal to A and GZZS is more than or equal to B and the percentage of GZZS is more than or equal to C, controlling the drill bit to drill into the lower surrounding rock.
Further, the control method further comprises the following steps: when the drill bit continuously drills a distance D, corresponding and continuous reservoir tracking index values (GZZZS) are obtained through real-time calculation, and when the reservoir tracking index values (GZZS) meet the conditions: and when GZZS is less than or equal to B and the percentage of GZZS is more than or equal to C, controlling the drill bit to drill into the upper surrounding rock.
Further, C is not less than 75%.
Further, D is not less than 5m.
Further, a=19.1, b=4.5.
By adopting the technical scheme, the first limit value A and the second limit value B of the area where the reservoir is positioned are confirmed in advance by collecting the logging data of the vertical well adjacent to the horizontal well designed on site, and a basis is provided for controlling the drilling direction of the drill bit by using the control system while drilling.
Drawings
The accompanying drawings, which are included to provide a further understanding of the invention and are incorporated in and constitute a part of this specification, illustrate embodiments of the invention and together with the description serve to explain the invention. In the drawings:
FIG. 1 illustrates a flow chart of an embodiment of a control method for controlling the direction of penetration of a drill bit according to the present invention;
fig. 2 shows a junction diagram established in step S60 in fig. 1; and
fig. 3 shows a schematic diagram of the borehole trajectory after the drilling direction of the horizontal well is adjusted in step S90 in fig. 1.
Detailed Description
It should be noted that, in the case of no conflict, the embodiments and features in the embodiments may be combined with each other. The invention will be described in detail below with reference to the drawings in connection with embodiments.
It is noted that all technical and scientific terms used herein have the same meaning as commonly understood by one of ordinary skill in the art to which this application belongs unless otherwise indicated.
In the present invention, unless otherwise indicated, terms of orientation such as "upper, lower, top, bottom" are used generally with respect to the orientation shown in the drawings or with respect to the component itself in the vertical, upright or gravitational direction; also, for ease of understanding and description, "inner and outer" refers to inner and outer relative to the profile of each component itself, but the above-mentioned orientation terms are not intended to limit the present invention.
The invention provides a method for tracking a horizontal well while drilling, which comprises the following steps: s10: collecting logging data of a vertical well adjacent to a field designed horizontal well; s20: according to logging information, acquiring a logging curve corresponding to a reservoir of a vertical well and upper surrounding rock and lower surrounding rock adjacent to the reservoir, wherein the logging curve comprises a deep resistivity value RT curve; s30: determining a reservoir tracking index value (gzs); s50: establishing a relation graph between the depth dimension of the reservoir and the upper and lower surrounding rocks adjacent to the reservoir and the reservoir tracking index value (GZZS) by taking the reservoir tracking index value (GZZS) as an ordinate and the depth of the drilling well into the vertical well as an abscissa; s60: and (3) according to the relation graph established in the step S50 and the deep resistivity value RT curve in the step S20, a first limit value A and a second limit value B of the area where the reservoir is located are determined according to the intersection graph, wherein the first limit value A is larger than the second limit value B.
It should be noted that gzs represents a reservoir tracking index value, and gzs is an abbreviation of the first pinyin of "tracking index" in the reservoir tracking index value.
According to the steps, through collecting logging data of a vertical well adjacent to a horizontal well designed on site, a first threshold value A and a second threshold value B of an area where a reservoir is located are confirmed in advance, and a basis is provided for controlling the drilling direction of a drill bit by using a control system while drilling.
Specifically, the reservoir tracking index value (gzs) satisfies the following formula:
Figure RE-GDA0002571435280000041
wherein GR, RT, DEN is obtained by logging curves, and GZZS is a reservoir tracking index value; GR is a natural gamma value, and the unit is API; GR (glass fibre reinforced plastics)min For extracting the minimum GR in the data, the unit is API; GR (glass fibre reinforced plastics)max For extracting the maximum GR in the data, the unit is API; RT is a deep resistivity value, and the unit is ohm-meter; ρz Is the skeleton density value of the reservoir, and the unit is g/cm3 ;ρl Is the density of fluid in the reservoir in g/cm3 The method comprises the steps of carrying out a first treatment on the surface of the DEN is a compensation density value in g/cm3
Preferably, the vertical well is a pilot well adjacent to a horizontal well designed in the field.
The pilot well is a well provided for determining an accurate horizon in order to obtain accurate stratum data (including lithology, physical properties, electrical properties and oil-bearing data of stratum) when the geological condition of the well position is not clear. That is, the log data of the pilot well is more similar to the log data of the field designed horizontal well than other adjacent vertical wells of the field designed horizontal well. According to logging information of the pilot well, the determined first limit value A and the determined second limit value B are more accurate.
Specifically, the reservoir skeletal density value ρ in step S30z And a fluid density value ρ in the reservoirl Is obtained by analysis according to the logging curve and the test data of the oil reservoir.
The invention also provides a control method for controlling the drilling direction of the drill bit, which controls the drilling direction of the drill bit according to the reservoir tracking index value (GZZS), and comprises the following steps: s80: according to the method for tracking the horizontal well while drilling, a first limit value A and a second limit value B of an area where a reservoir is located are obtained; s90: and controlling the drilling direction of the drill bit by using the control system while drilling.
Specifically, before step S90, the control method further includes the steps of: and when the bit continuously drills a distance D, corresponding and continuous reservoir tracking index values (GZZS) are obtained through real-time calculation, and when the reservoir tracking index values meet the conditions (GZZS): and when GZZS is less than or equal to A and GZZS is more than or equal to B and the percentage of GZZS is more than or equal to C, controlling the drill bit to drill into the lower surrounding rock.
Specifically, before step S90, the control method further includes the steps of: when the drill bit continuously drills a distance D, corresponding and continuous reservoir tracking index values (GZZZS) are obtained through real-time calculation, and when the reservoir tracking index values (GZZS) meet the conditions: and when GZZS is less than or equal to B and the percentage of GZZS is more than or equal to C, controlling the drill bit to drill into the upper surrounding rock.
The upper end of the drill bit is provided with a drill bit guiding mechanism, the drill bit guiding mechanism is used for changing the drilling direction of a drill bit, the while-drilling control system is connected with the drill bit guiding mechanism, the while-drilling control system can read relevant electrical parameters of a reservoir in real time, calculate tracking index values (GZZSs) based on the parameters, judge whether the reservoir tracking index values (GZZZSs) meet the conditions, and continuously drill according to a design track when the reservoir tracking index values (GZZSs) are judged not to meet the conditions; if the conditions are met, the drill bit is further controlled to drill into the upper surrounding rock or the lower surrounding rock according to the tracking index value (GZZS), so that the drilling direction is clear.
According to the setting, the while-drilling control system can control the drilling track of the drill bit in the reservoir according to the reservoir tracking index value (GZZS) in real time and correct the drilling track of the drill bit, so that the drilling meeting rate of the reservoir is improved, and the single well yield is further improved. The control method is simple to control, low in use cost and high in reservoir drilling meeting rate, and can be popularized in a large scale in an area.
A control method for controlling the drilling direction of a drill bit according to a reservoir tracking index value (gzs) will be described in detail with reference to fig. 1, 2, 3 and table 1, taking a horizontal well tracking application of a certain oilfield reservoir as an example.
Firstly, collecting logging information of a pilot well of a horizontal well before drilling, so as to obtain logging information of a reservoir and adjacent upper surrounding rock and lower surrounding rock, wherein the horizontal well to be drilled is a W well, and the temporary well is an F well.
And secondly, according to logging information, acquiring logging curves corresponding to the reservoir of the vertical well and the upper surrounding rock and the lower surrounding rock adjacent to the reservoir, wherein the logging curves comprise deep resistivity RT curves.
The depth range of the reservoir is 2458.75m-2463m, the depth range of the upper surrounding rock is 2450m-2458.63m, the depth range of the lower surrounding rock is 2463.13m-2471m, and the specific data of the natural gamma value GR, the deep resistivity value RT and the compensation density value DEN of the reservoir and the upper and lower surrounding rocks are shown in Table 1.
Table 1 reservoir and its upper and lower surrounding rock gzs calculation data table
Figure RE-GDA0002571435280000051
Figure RE-GDA0002571435280000061
Figure RE-GDA0002571435280000071
Figure RE-GDA0002571435280000081
Figure RE-GDA0002571435280000091
Figure RE-GDA0002571435280000101
Figure RE-GDA0002571435280000111
According to the well logging curve and the test data analysis of the oil reservoir, the reservoir skeleton density ρz of the region is 2.75g/cm3, and the fluid density ρl is 0.75g/cm3
Then, determining a reservoir tracking index value (gzs);
specifically, the ρz and ρ l, GR, RT, DEN are substituted into a reservoir tracking index value (gzs) calculation formula to obtain a reservoir tracking index value (gzs), and specific data are shown in table 1:
the calculation method is shown in the following formula (1):
Figure RE-GDA0002571435280000112
then, taking a reservoir tracking index value (GZZS) as an ordinate and taking the depth of drilling into a vertical well as an abscissa, and establishing a relation graph between the depth dimension of the reservoir and the upper and lower surrounding rocks adjacent to the reservoir and the reservoir tracking index value (GZZS);
and obtaining an intersection diagram of the reservoir tracking index value and the deep resistivity value RT curve according to the relation curve graph, and particularly shown in figure 2.
Note that the abscissa in fig. 2 is the deep resistivity value RT, and the ordinate is the reservoir tracking index value (gzs).
As shown in fig. 2, a first threshold value a and a second threshold value B of the region of the reservoir are determined according to the intersection map, wherein a=19.1 and b=4.5. The dissimilarity of the data is utilized to see that the original RT data in the intersection diagram has poor dissimilarity to the reservoir and the upper and lower surrounding rocks thereof, the dissimilarity of the reservoir is good, the reservoir is positioned by preliminary dissimilarity limit when GZZZS is more than 19.1, the lower surrounding rock is 4.5< GZZZS is less than or equal to 19.1, and the upper surrounding rock is positioned by GZZS is less than or equal to 4.5.
When logging while drilling data continue 5 meters, more than 80% of 40 data satisfy the following conditions: when GZZS is 4.5< and is less than or equal to 19.1, the drill bit is tilted downwards to drill into the lower surrounding rock, and the angle of the drill bit needs to be adjusted to drill upwards into the reservoir.
When logging while drilling data continue 5 meters, more than 80% of 40 data satisfy the following conditions: when GZZS is less than or equal to 4.5, the drill bit is tilted upwards to drill into the upper surrounding rock, and the angle of the drill bit needs to be adjusted to drill downwards into the reservoir.
As shown in FIG. 3, in the drilling process of the W well, the drill bit enters the reservoir again after 3 times of adjustment, the drilling rate of the reservoir is improved to be more than 90%, the drilling rate of the reservoir is obviously higher than that of 65% of the reservoir in the area, the tracking result shows that the on-site horizontal well track adjustment and dynamic tracking can be realized only by using the reservoir tracking index value (GZZZS), the use cost is low, the drilling rate of the reservoir is high, and the method can be popularized in the area on a large scale.
From the above description, it can be seen that the above embodiments of the present invention achieve the following technical effects: by collecting logging data of a vertical well adjacent to a horizontal well designed on site, a first threshold value A and a second threshold value B of an area where a reservoir is located are confirmed in advance, and a basis is provided for controlling the drilling direction of a drill bit by using a control system while drilling. The while-drilling control system can control the drilling track of the drill bit in the reservoir according to the reservoir tracking index value (GZZS) in real time and correct the drilling track of the drill bit, so that the drilling meeting rate of the reservoir is improved, and the single well yield is further improved. The control method is simple to control, low in use cost and high in reservoir drilling meeting rate, and can be popularized in a large scale in an area.
It will be apparent that the embodiments described above are merely some, but not all, embodiments of the invention. All other embodiments, which can be made by those skilled in the art based on the embodiments of the present invention without making any inventive effort, shall fall within the scope of the present invention.
It is noted that the terminology used herein is for the purpose of describing particular embodiments only and is not intended to be limiting of example embodiments in accordance with the present application. As used herein, the singular is also intended to include the plural unless the context clearly indicates otherwise, and furthermore, it is to be understood that the terms "comprises" and/or "comprising" when used in this specification are taken to specify the presence of stated features, steps, operations, devices, components, and/or combinations thereof.
It should be noted that the terms "first," "second," and the like in the description and claims of the present application and the above figures are used for distinguishing between similar objects and not necessarily for describing a particular sequential or chronological order. It is to be understood that the data so used may be interchanged where appropriate such that embodiments of the present application described herein may be implemented in sequences other than those illustrated or described herein.
The above description is only of the preferred embodiments of the present invention and is not intended to limit the present invention, but various modifications and variations can be made to the present invention by those skilled in the art. Any modification, equivalent replacement, improvement, etc. made within the spirit and principle of the present invention should be included in the protection scope of the present invention.

Claims (9)

1. A method for tracking a horizontal well while drilling, the method comprising the steps of:
s10: collecting logging data of a vertical well adjacent to a field designed horizontal well;
s20: according to the logging information, acquiring a logging curve corresponding to a reservoir of the vertical well and upper surrounding rock and lower surrounding rock adjacent to the reservoir, wherein the logging curve comprises a deep resistivity value RT curve;
s30: determining a reservoir tracking index value that satisfies the following equation:
Figure FDA0004151800290000011
wherein GR, RT, DEN is derived from the log, and gzs is a reservoir tracking index value; the GR is a natural gamma value, and the unit is an API; the GR ismin The unit is API for extracting the gamma value with the minimum value in the data; the GR ismax To extract the numberThe gamma value with the largest value in the unit of API; the RT is a deep resistivity value, and the unit is ohm-meter; said ρz Is the skeleton density value of the reservoir, and the unit is g/cm3 The method comprises the steps of carrying out a first treatment on the surface of the Said ρl For the density of the fluid in the reservoir, in g/cm3 The method comprises the steps of carrying out a first treatment on the surface of the The DEN is a compensation density value, and the unit is g/cm3
S40: establishing a relation graph between the depth dimension of the reservoir and the upper and lower surrounding rocks adjacent to the reservoir and the reservoir tracking index value by taking the reservoir tracking index value as an ordinate and the depth of drilling into the vertical well as an abscissa;
s50: and (3) according to the relation graph established in the step S40 and the deep resistivity value RT curve in the step S20, a first limit value A and a second limit value B of the area where the reservoir is located are determined according to the intersection graph, wherein the first limit value A is larger than the second limit value B.
2. The method of tracking while drilling of a horizontal well of claim 1, wherein the vertical well is a pilot well adjacent to the horizontal well.
3. The method of horizontal well tracking while drilling according to claim 1, wherein the reservoir skeletal density value ρ in step S30z And a fluid density value ρ in the reservoirl Is obtained by analyzing the logging curve and the test data of the oil reservoir.
4. A control method for controlling the drilling direction of a drill bit, the control method controlling the drilling direction of the drill bit according to a reservoir tracking index value, the control method comprising the steps of:
s60: a method of horizontal well tracking while drilling according to any one of claims 1 to 3, obtaining a first threshold value a and a second threshold value B for the region in which the reservoir is located;
s70: and controlling the drilling direction of the drill bit by using the control system while drilling.
5. The control method according to claim 4, characterized in that the control method further comprises the steps of:
when the drill bit continuously drills a distance D, corresponding and continuous reservoir tracking index values are obtained through real-time calculation, and when the reservoir tracking index values meet the conditions: and when GZZS is less than or equal to A and GZZS is more than or equal to B and the percentage of GZZS is more than or equal to C, controlling the drill bit to drill into the lower surrounding rock.
6. The control method according to claim 4, characterized in that the control method further comprises the steps of:
and when the drill bit continuously drills a distance D, corresponding and continuous reservoir tracking index values are obtained through real-time calculation, and when the reservoir tracking index values meet the conditions: and when GZZS is less than or equal to B and the percentage of GZZS is more than or equal to C, controlling the drill bit to drill into the upper surrounding rock.
7. The control method according to claim 5 or 6, wherein C is not less than 75%.
8. The control method according to claim 5 or 6, wherein D is 5m or more.
9. The control method according to claim 5, characterized in that a=19.1 and b=4.5.
CN201911222570.4A2019-12-032019-12-03Method for tracking horizontal well while drilling and control method for controlling drilling direction of drill bitActiveCN112901070B (en)

Priority Applications (1)

Application NumberPriority DateFiling DateTitle
CN201911222570.4ACN112901070B (en)2019-12-032019-12-03Method for tracking horizontal well while drilling and control method for controlling drilling direction of drill bit

Applications Claiming Priority (1)

Application NumberPriority DateFiling DateTitle
CN201911222570.4ACN112901070B (en)2019-12-032019-12-03Method for tracking horizontal well while drilling and control method for controlling drilling direction of drill bit

Publications (2)

Publication NumberPublication Date
CN112901070A CN112901070A (en)2021-06-04
CN112901070Btrue CN112901070B (en)2023-06-30

Family

ID=76104152

Family Applications (1)

Application NumberTitlePriority DateFiling Date
CN201911222570.4AActiveCN112901070B (en)2019-12-032019-12-03Method for tracking horizontal well while drilling and control method for controlling drilling direction of drill bit

Country Status (1)

CountryLink
CN (1)CN112901070B (en)

Families Citing this family (1)

* Cited by examiner, † Cited by third party
Publication numberPriority datePublication dateAssigneeTitle
CN115704270A (en)*2021-08-132023-02-17中国石油天然气股份有限公司Clastic rock horizontal well track adjusting method based on LWD resistivity logging

Family Cites Families (7)

* Cited by examiner, † Cited by third party
Publication numberPriority datePublication dateAssigneeTitle
US7191850B2 (en)*2004-10-282007-03-20Williams Danny TFormation dip geo-steering method
CN103573250B (en)*2013-07-222016-08-10中国石油天然气股份有限公司Method for calculating distance from horizontal well hole to upper and lower interfaces of stratum
US10677052B2 (en)*2014-06-062020-06-09Quantico Energy Solutions LlcReal-time synthetic logging for optimization of drilling, steering, and stimulation
US11106185B2 (en)*2014-06-252021-08-31Motive Drilling Technologies, Inc.System and method for surface steerable drilling to provide formation mechanical analysis
CN104265279B (en)*2014-07-302017-05-10中国石油集团川庆钻探工程有限公司Logging-while-drilling curve prediction method under fault condition
CN105464592B (en)*2015-03-312018-01-12中国石油化工股份有限公司江汉油田分公司勘探开发研究院A kind of shale gas horizontal well geosteering method
CN106437512B (en)*2016-08-312018-09-18中国石油集团渤海钻探工程有限公司A kind of shale gas horizontal well landing path drilling tracking regulation and control method

Also Published As

Publication numberPublication date
CN112901070A (en)2021-06-04

Similar Documents

PublicationPublication DateTitle
CN108008469B (en) Horizontal well geosteering modeling method based on well-seismic combination
CN104847264B (en)A kind of method and apparatus realizing geosteering
CN103774989B (en)Treat that drilling well Trajectory Design horizontal well geosteering analyzes method with boring dynamic modeling
US20150370934A1 (en)Completion design based on logging while drilling (lwd) data
CN106154322B (en)Log curve correction method and apparatus
US9182510B2 (en)Methods and systems of incorporating pseudo-surface pick locations in seismic velocity models
US9347293B2 (en)Method and system of displaying data associated with drilling a borehole
CN106894761A (en)Using the geosteering method of the geosteering model of time-domain seismic volume
RU2720115C1 (en)Method of automated geological survey of wells and system for its implementation
CN108625782A (en)A kind of horizontal well inclination section geosteering method
WO2015178945A1 (en)Improving well survey performance
EP2737170B1 (en)Method and system of correlating a measured log to a predicted log
CN118065974A (en) An engineering early warning method based on shale oil horizontal well drilling
CN112901070B (en)Method for tracking horizontal well while drilling and control method for controlling drilling direction of drill bit
CN104251135B (en)Highly-deviated well space in-place method
CN117908105B (en) A method and device for constructing a seismic velocity body
US11703610B2 (en)Enhanced inversion imaging
CN116879945A (en)Stratum pinch-out line prediction method based on geological-seismic combination
CN115704270A (en)Clastic rock horizontal well track adjusting method based on LWD resistivity logging
CN115826035A (en)Geosteering method and device based on seismic data forward simulation
Chenglin et al.Subsurface Visualization and Quantitative Mapping Service To Manage Production Steering and Reserve Assessment of Dynamic Remaining Oil
CN119878147A (en)Method for improving drilling meeting rate of oil and gas reservoir
CN115961884A (en)Method for calculating reservoir apparent dip angle by using well trajectory data

Legal Events

DateCodeTitleDescription
PB01Publication
PB01Publication
SE01Entry into force of request for substantive examination
SE01Entry into force of request for substantive examination
GR01Patent grant
GR01Patent grant

[8]ページ先頭

©2009-2025 Movatter.jp