Movatterモバイル変換


[0]ホーム

URL:


CN112901070A - Horizontal well tracking while drilling method and control method for controlling drilling direction of drill bit - Google Patents

Horizontal well tracking while drilling method and control method for controlling drilling direction of drill bit
Download PDF

Info

Publication number
CN112901070A
CN112901070ACN201911222570.4ACN201911222570ACN112901070ACN 112901070 ACN112901070 ACN 112901070ACN 201911222570 ACN201911222570 ACN 201911222570ACN 112901070 ACN112901070 ACN 112901070A
Authority
CN
China
Prior art keywords
reservoir
drilling
gzzs
value
tracking
Prior art date
Legal status (The legal status is an assumption and is not a legal conclusion. Google has not performed a legal analysis and makes no representation as to the accuracy of the status listed.)
Granted
Application number
CN201911222570.4A
Other languages
Chinese (zh)
Other versions
CN112901070B (en
Inventor
吴让彬
李芳�
赵文苹
彭学红
华晓琴
梁涛
Current Assignee (The listed assignees may be inaccurate. Google has not performed a legal analysis and makes no representation or warranty as to the accuracy of the list.)
Petrochina Co Ltd
Original Assignee
Petrochina Co Ltd
Priority date (The priority date is an assumption and is not a legal conclusion. Google has not performed a legal analysis and makes no representation as to the accuracy of the date listed.)
Filing date
Publication date
Application filed by Petrochina Co LtdfiledCriticalPetrochina Co Ltd
Priority to CN201911222570.4ApriorityCriticalpatent/CN112901070B/en
Publication of CN112901070ApublicationCriticalpatent/CN112901070A/en
Application grantedgrantedCritical
Publication of CN112901070BpublicationCriticalpatent/CN112901070B/en
Activelegal-statusCriticalCurrent
Anticipated expirationlegal-statusCritical

Links

Images

Classifications

Landscapes

Abstract

The invention provides a method for tracking a horizontal well while drilling. The method for tracking the horizontal well while drilling comprises the following steps: s10: collecting logging information of a vertical well adjacent to a horizontal well designed on site; s20: acquiring a reservoir of a vertical well and logging curves corresponding to upper surrounding rocks and lower surrounding rocks adjacent to the reservoir according to logging information, wherein the logging curves comprise a deep resistivity value RT curve; s30: determining a reservoir tracking index value; s50: establishing a relation curve graph between the depth size of the reservoir and upper and lower surrounding rocks adjacent to the reservoir and the reservoir tracking index value according to the reservoir tracking index value and the depth of the drilling well into the vertical well; s60: and (4) making an intersection graph according to the relation graph established in the step S50 and the deep resistivity value RT curve in the step S20, and determining the limit value of the region of the reservoir according to the intersection graph. The technical scheme of the invention can confirm the limit value of the area where the reservoir is located in advance, and provides a basis for controlling the drilling direction of the drill bit by utilizing a control system while drilling in the follow-up process.

Description

Horizontal well tracking while drilling method and control method for controlling drilling direction of drill bit
Technical Field
The invention relates to the field of horizontal well tracking while drilling, in particular to a horizontal well tracking while drilling method and a control method for controlling a drilling direction of a drill bit.
Background
In 1965-1975, logging while drilling technology began to emerge abroad, but the development was slow, and sporadic patents show that the period is still in the exploration phase of logging while drilling. The number of patent applications for logging while drilling in 1975-1995 is relatively stable, and representative logging while drilling products are successively introduced by international logging companies. For example, in 1978, Teleo corporation introduced the first reliable commercial logging-while-drilling instrument that transmitted measurement data using drilling fluid pressure pulses; in 1984, electromagnetic wave resistivity logging while drilling instruments were marketed, and in 1993, Anadrill corporation of SrenBeishi introduced a first generation IDEAL geosteering system integrating formation evaluation and geosteering. To date in 1995, foreign logging while drilling patent applications have presented the development of a blowout preventer as a whole. However, the research of the logging-while-drilling technology in China is started late, and patent applications in the field do not appear until about 2000 years, but the technology in the field is remarkably improved from 2005. Therefore, the logging while drilling tracking technology mostly belongs to patent technologies in the industry, belongs to core assets of enterprises, and has high complexity and technical threshold, and common professionals cannot touch the technology and even operate the technology.
From the professional development history, as more and more reservoirs are successfully discovered, the oil exploration and development industry has turned to developing more difficult and marginal reservoirs (i.e., smaller reservoirs, thinner reservoirs, fractured reservoirs, and poorly performing reservoirs) for which previous geological evaluation conclusions were poor and therefore the reservoir openings were often ignored. Both technical and economic aspects present challenges to the design of drilling solutions today. Extended reach, horizontal and multibottom wells, which were rare or not at all 15 years ago, have now become increasingly widely appreciated for conventional use in increasing the production and reserves of oil reservoirs (AllenF, 1997). Of these, the second stage of UVD technology development occurred in the mid-nineties, with representative developments in azimuth measurement technology, borehole imaging technology, instrumented steering motors, and forward modeling programs to achieve accurate well placement via geosteering (BonnerS, 1998). Drilling efficiency means cost minimization or loss by avoiding problems such as drill string damage, stuck drill, fluid influx into the wellbore or loss, and also relates to managing associated risk issues (e.g., wellbore wall instability issues) in the drilling process. The geomechanical model (MEM) can be used to synthesize all data (AldredW, 1998). Accurately determining the well location means steering the well trajectory in the reservoir of interest in the optimal direction to achieve the goal of maximizing well production. At the same time, due to economic constraints of finding costly reserves, it is often desirable to drill a well to multiple targets, typically by drilling long horizontal intervals. If correct corrections cannot be made quickly for unforeseen changes in geology and structure (e.g., fault level, offset, or formation dip changes), then deviated or horizontal wells will be of low value. Inclination and azimuth data (particularly borehole images) near the live-side bit may provide the best means to achieve the desired target. At present, the above-mentioned instruments can generally reach a deviation range of absolute vertical depth variation less than 2m and relative depth variation less than 0.35 m. The wellbore can not only be maintained in a very thin zone, but also avoid conflicts with other wellbores in the same zone (PogsonM, 1999). With the rapid development of communication technology, and in particular the introduction of internet-based solutions, it has become practical to deliver solutions anywhere in the world in real time (brown, 2000). Real-time UWD logging products now include items for high resolution resistivity, porosity, acoustic travel time, borehole images, formation dip, annular pressure, leakage, and formation integrity testing (Rezmer-Cooperl, 2000). The accuracy of the well location can be greatly improved by utilizing the logging while drilling technology. Combining the new type of in-bit inclination measurement (AMI) module with the continuous borehole measurements of the Vision module can optimize drilling control and improve drilling efficiency (VareoM, 1999).
In the prior art, in the field of horizontal well tracking while drilling, a logging while drilling system is generally utilized to realize on-site horizontal well trajectory control and dynamic tracking. Although the logging-while-drilling system can accurately control the track of a horizontal well, the control method is complex and the control cost is high, so that a professional technician can be employed for operation. Due to the limited number of field professionals, there is often a shortage of professionals and drilling is not possible. This reduces the efficiency of drilling and increases the cost of reservoir development. Therefore, a set of control method for the drilling direction of the drill bit, which is simple in operation and low in cost, needs to be researched.
Disclosure of Invention
The invention mainly aims to provide a horizontal well tracking while drilling method, which can judge the drilling condition of a reservoir in real time and improve the drilling rate of the reservoir.
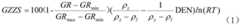
In order to achieve the above object, according to one aspect of the present invention, there is provided a horizontal well tracking while drilling method, comprising the steps of: s10: collecting logging information of a vertical well adjacent to a horizontal well designed on site; s20: acquiring a reservoir of a vertical well and logging curves corresponding to upper surrounding rocks and lower surrounding rocks adjacent to the reservoir according to logging information, wherein the logging curves comprise a deep resistivity value RT curve; s30: determining a reservoir tracking index value (GZZS); s50: establishing a relation curve graph between the depth size of the reservoir and upper and lower surrounding rocks adjacent to the reservoir and the reservoir tracking index value (GZZS) by taking the reservoir tracking index value (GZZS) as a vertical coordinate and the depth of a drilling well drilled into a vertical well as a horizontal coordinate; s60: and making an intersection graph according to the relation graph established in the step S50 and the deep resistivity value RT curve in the step S20, and determining a first limit value A and a second limit value B of the area where the reservoir is located according to the intersection graph, wherein the first limit value A is larger than the second limit value B.
Further, the reservoir tracking index value (gzqs) satisfies the following formula:
Figure RE-GDA0002571435280000021
wherein, GR, RT and DEN are obtained by logging curves, and GZZS is a reservoir tracking index value; GR is the natural gamma value, in API; GRminExtracting the smallest GR in the data, wherein the unit is API; GRmaxExtracting the largest GR in the data, wherein the unit is API; RT is the deep resistivity value in ohm.m; rhozIs the density value of the reservoir framework and has the unit of g/cm3;ρlIs the density of the fluid in the reservoir, and has the unit of g/cm3(ii) a DEN is compensation density value and the unit is g/cm3
Further, the vertical well is a pilot hole adjacent to the horizontal well.
Further, the reservoir skeleton density value ρ in step S30zAnd fluid density values ρ in the reservoirlThe method is obtained by analyzing the logging curve and the test data of the oil reservoir.
According to another aspect of the present invention, there is provided a control method of controlling a drilling direction of a drill bit according to a reservoir tracking index value (gzqs), the control method including the steps of: s80: according to the horizontal well tracking while drilling method, a first limit value A and a second limit value B of the area where the reservoir is located are obtained; s90: and controlling the drilling direction of the drill bit by using the while-drilling control system.
Further, the control method further comprises the following steps: when the drill bit continuously drills for a distance D, corresponding and continuous reservoir tracking index values (GZZS) are obtained through real-time calculation, and when the reservoir tracking index values (GZZS) meet the conditions: and controlling the drill bit to drill into the lower surrounding rock when the GZZS is less than or equal to A, the GZZS is more than or equal to B and the percentage of the GZZS is more than or equal to C.
Further, the control method further comprises the following steps: when the drill bit continuously drills for a distance D, corresponding and continuous reservoir tracking index values (GZZS) are obtained through real-time calculation, and when the reservoir tracking index values (GZZS) meet the conditions: and controlling the drill bit to drill into the upper surrounding rock when the GZZS is less than or equal to B and the percentage of the GZZS is more than or equal to C.
Further, C is not less than 75%.
Further, D is more than or equal to 5 m.
Further, a is 19.1 and B is 4.5.
By applying the technical scheme of the invention, the first limit value A and the second limit value B of the area where the reservoir is located are confirmed in advance by collecting the logging information of the vertical well adjacent to the horizontal well designed on site, so that a basis is provided for subsequently utilizing the while-drilling control system to control the drilling direction of the drill bit.
Drawings
The accompanying drawings, which are incorporated in and constitute a part of this application, illustrate embodiments of the invention and, together with the description, serve to explain the invention and not to limit the invention. In the drawings:
FIG. 1 shows a flow chart of an embodiment of a control method for controlling the drilling direction of a drill bit according to the invention;
fig. 2 shows the junction diagram established in step S60 in fig. 1; and
fig. 3 shows a schematic diagram of the borehole trajectory after the drilling direction of the horizontal well is adjusted in step S90 in fig. 1.
Detailed Description
It should be noted that the embodiments and features of the embodiments in the present application may be combined with each other without conflict. The present invention will be described in detail below with reference to the embodiments with reference to the attached drawings.
It is noted that, unless otherwise indicated, all technical and scientific terms used herein have the same meaning as commonly understood by one of ordinary skill in the art to which this application belongs.
In the present invention, unless specified to the contrary, use of the terms of orientation such as "upper, lower, top, bottom" or the like, generally refer to the orientation as shown in the drawings, or to the component itself in a vertical, perpendicular, or gravitational orientation; likewise, for ease of understanding and description, "inner and outer" refer to the inner and outer relative to the profile of the components themselves, but the above directional words are not intended to limit the invention.
The invention provides a method for tracking a horizontal well while drilling, which comprises the following steps: s10: collecting logging information of a vertical well adjacent to a horizontal well designed on site; s20: acquiring a reservoir of a vertical well and logging curves corresponding to upper surrounding rocks and lower surrounding rocks adjacent to the reservoir according to logging information, wherein the logging curves comprise a deep resistivity value RT curve; s30: determining a reservoir tracking index value (GZZS); s50: establishing a relation curve graph between the depth size of the reservoir and upper and lower surrounding rocks adjacent to the reservoir and the reservoir tracking index value (GZZS) by taking the reservoir tracking index value (GZZS) as a vertical coordinate and the depth of a drilling well drilled into a vertical well as a horizontal coordinate; s60: and making an intersection graph according to the relation graph established in the step S50 and the deep resistivity value RT curve in the step S20, and determining a first limit value A and a second limit value B of the area where the reservoir is located according to the intersection graph, wherein the first limit value A is larger than the second limit value B.
It should be noted that GZZS represents the reservoir tracking index value, and GZZS is an abbreviation of the first pinyin letter of "tracking index" in the reservoir tracking index value.
According to the steps, the first limit value A and the second limit value B of the area where the reservoir is located are confirmed in advance by collecting logging information of the vertical well adjacent to the horizontal well designed on site, and a basis is provided for subsequently utilizing a while-drilling control system to control the drilling direction of the drill bit.
Specifically, the reservoir tracking index value (gzqs) satisfies the following formula:
Figure RE-GDA0002571435280000041
wherein, GR, RT and DEN are obtained by logging curves, and GZZS is a reservoir tracking index value; GR is the natural gamma value, in API; GRminExtracting the smallest GR in the data, wherein the unit is API; GRmaxExtracting the largest GR in the data, wherein the unit is API; RT is the deep resistivity value in ohm.m; rhozIs the density value of the reservoir framework and has the unit of g/cm3;ρlIs the density of the fluid in the reservoir, and has the unit of g/cm3(ii) a DEN is compensation density value and the unit is g/cm3
Preferably, the vertical well is a pilot hole adjacent to a horizontal well designed on site.
The pilot borehole is a borehole that is provided to determine an accurate horizon by taking quasi-stratigraphic data (including lithology, physical property, electrical property, and oil-bearing property data of a stratigraphic) under the condition that the geological conditions of the borehole location are not clear. That is, the logging data of the pilot hole well is more similar to the logging data of the field-designed horizontal well than other adjacent vertical wells of the field-designed horizontal well. The first limit value A and the second limit value B are determined more accurately according to the logging information of the pilot hole.
Specifically, the reservoir skeleton density value ρ in step S30zAnd fluid density values ρ in the reservoirlThe method is obtained by analyzing the logging curve and the test data of the oil reservoir.
The invention also provides a control method for controlling the drilling direction of the drill bit, which controls the drilling direction of the drill bit according to the reservoir tracking index value (GZZS), and comprises the following steps: s80: according to the horizontal well tracking while drilling method, a first limit value A and a second limit value B of the area where the reservoir is located are obtained; s90: and controlling the drilling direction of the drill bit by using the while-drilling control system.
Specifically, before step S90, the control method further includes the steps of: when the drill bit continuously drills for a distance D, corresponding and continuous reservoir tracking index values (GZZS) are obtained through real-time calculation, and when the reservoir tracking index values (GZZS) meet the conditions: and controlling the drill bit to drill into the lower surrounding rock when the GZZS is less than or equal to A, the GZZS is more than or equal to B and the percentage of the GZZS is more than or equal to C.
Specifically, before step S90, the control method further includes the steps of: when the drill bit continuously drills for a distance D, corresponding and continuous reservoir tracking index values (GZZS) are obtained through real-time calculation, and when the reservoir tracking index values (GZZS) meet the conditions: and controlling the drill bit to drill into the upper surrounding rock when the GZZS is less than or equal to B and the percentage of the GZZS is more than or equal to C.
The method comprises the following steps that a drill bit guide mechanism is arranged at the upper end of a drill bit, the drill bit guide mechanism is used for changing the drilling direction of the drill bit, a while-drilling control system is connected with the drill bit guide mechanism, the while-drilling control system can read related electrical parameters of a reservoir in real time and calculate a tracking index value (GZZS) by using the related electrical parameters, and judges whether the reservoir tracking index value (GZZS) meets the condition or not, and when the reservoir tracking index value (GZZS) does not meet the condition, drilling is continued according to a designed track; and if the conditions are met, further controlling the drill bit to drill into the upper surrounding rock or the lower surrounding rock according to the tracking index value (GZZS), so as to determine the drilling direction.
According to the arrangement, the while-drilling control system can control the drilling track of the drill bit in the reservoir in real time according to the reservoir tracking index value (GZZS), and correct the drilling track of the drill bit, so that the drilling rate of the reservoir is improved, and the single well yield is further improved. The control method is simple to control, low in use cost and high in reservoir drilling rate, and can be popularized in a large scale in an area.
The following describes a detailed method for controlling the drill bit drilling direction according to the reservoir tracking index value (gzqs) by taking a horizontal well tracking application of a certain oil field reservoir as an example and combining fig. 1, fig. 2, fig. 3 and table 1.
Firstly, collecting logging information of a pilot hole well of a horizontal well before drilling the horizontal well so as to obtain logging information of a reservoir stratum and adjacent upper surrounding rocks and lower surrounding rocks of the reservoir stratum, wherein the horizontal well to be drilled is a W well, and an adjacent well is an F well.
And secondly, acquiring a reservoir of the vertical well and logging curves corresponding to upper surrounding rocks and lower surrounding rocks adjacent to the reservoir according to the logging information, wherein the logging curves comprise a deep resistivity value RT curve.
The depth range of the reservoir is 2458.75m-2463m, the depth range of the upper surrounding rock is 2450m-2458.63m, the depth range of the lower surrounding rock is 2463.13m-2471m, and the obtained specific data of the natural gamma value GR, the deep resistivity value RT and the compensation density value DEN of the reservoir and the upper and lower surrounding rocks are shown in Table 1.
TABLE 1 reservoir and GZZS calculation data table of surrounding rock above and below reservoir
Figure RE-GDA0002571435280000051
Figure RE-GDA0002571435280000061
Figure RE-GDA0002571435280000071
Figure RE-GDA0002571435280000081
Figure RE-GDA0002571435280000091
Figure RE-GDA0002571435280000101
Figure RE-GDA0002571435280000111
According to the well logging curve and the experimental data analysis of the oil reservoir, the reservoir framework density rho z of the region is 2.75g/cm3, and the fluid density rho l is 0.75g/cm3
Then, determining a reservoir tracking index value (GZZS);
specifically, the ρ z, ρ l, GR, RT, and DEN are substituted into a reservoir tracking index value (gzqs) calculation formula to obtain a reservoir tracking index value (gzqs), which is shown in table 1:
the calculation method is shown in the following formula (1):
Figure RE-GDA0002571435280000112
then, establishing a relation curve graph between the depth size of the reservoir and upper and lower surrounding rocks adjacent to the reservoir and the reservoir tracking index value (GZZS) by taking the reservoir tracking index value (GZZS) as a vertical coordinate and the depth of the drilling well drilling into the vertical well as a horizontal coordinate;
and obtaining an intersection graph of the reservoir tracking index value and the deep resistivity value RT curve according to the relation curve graph, wherein the intersection graph is specifically shown in FIG. 2.
Note that the abscissa in fig. 2 is the deep resistivity value RT and the ordinate is the reservoir tracking index value (GZZS).
As shown in fig. 2, according to the junction graph, a first threshold a and a second threshold B of the region of the reservoir are determined, where a is 19.1 and B is 4.5. The differentiation of data is utilized to see that the original RT data in the intersection diagram has poor differentiation on a reservoir stratum and upper and lower surrounding rocks thereof, the differentiation of the reservoir stratum is good, the reservoir stratum is determined when the preliminary differentiation limit positioning GZZS is more than 19.1, the lower surrounding rock is determined when the GZZS is more than 4.5 and less than or equal to 19.1, and the upper surrounding rock is determined when the GZZS is less than or equal to 4.5.
When the logging-while-drilling data is continuous for 5 meters, more than 80% of 40 data meet the following conditions: and when GZZS is more than 4.5 and less than or equal to 19.1, the drill bit tilts downwards and drills into the lower surrounding rock, and the angle of the drill bit needs to be adjusted to drill upwards into the reservoir stratum.
When the logging-while-drilling data is continuous for 5 meters, more than 80% of 40 data meet the following conditions: and when the GZZS is less than or equal to 4.5, the drill bit is tilted upwards and drills into the upper surrounding rock, and the angle of the drill bit needs to be adjusted to drill downwards into the reservoir stratum.
As shown in fig. 3, in the drilling process of the W well, the drill bit enters the reservoir again after being adjusted for 3 times, the drilling rate of the reservoir is increased to over 90% and is obviously higher than that of a 65% reservoir in the area, the tracking result shows that the on-site horizontal well trajectory adjustment and dynamic tracking can be realized only by using the reservoir tracking index value (gzqs), the use cost is low, the reservoir drilling rate is high, and the W well drilling method can be popularized in the area on a large scale.
From the above description, it can be seen that the above-described embodiments of the present invention achieve the following technical effects: by collecting logging information of a vertical well adjacent to a horizontal well designed on site, a first limit value A and a second limit value B of an area where a reservoir is located are confirmed in advance, and a basis is provided for subsequently utilizing a while-drilling control system to control the drilling direction of a drill bit. The control system while drilling can control the drilling track of the drill bit in the reservoir in real time according to the reservoir tracking index value (GZZS), and correct the drilling track of the drill bit, so that the drilling rate of the reservoir is improved, and the single well yield is further improved. The control method is simple to control, low in use cost and high in reservoir drilling rate, and can be popularized in a large scale in an area.
It is to be understood that the above-described embodiments are only a few, but not all, embodiments of the present invention. All other embodiments, which can be derived by a person skilled in the art from the embodiments given herein without making any creative effort, shall fall within the protection scope of the present invention.
It is noted that the terminology used herein is for the purpose of describing particular embodiments only and is not intended to be limiting of example embodiments according to the present application. As used herein, the singular is intended to include the plural unless the context clearly dictates otherwise, and it should be further understood that the terms "comprises" and/or "comprising," when used in this specification, specify the presence of features, steps, operations, devices, components, and/or combinations thereof.
It should be noted that the terms "first," "second," and the like in the description and claims of this application and in the drawings described above are used for distinguishing between similar elements and not necessarily for describing a particular sequential or chronological order. It is to be understood that the data so used is interchangeable under appropriate circumstances such that the embodiments of the application described herein are capable of operation in sequences other than those illustrated or described herein.
The above description is only a preferred embodiment of the present invention and is not intended to limit the present invention, and various modifications and changes may be made by those skilled in the art. Any modification, equivalent replacement, or improvement made within the spirit and principle of the present invention should be included in the protection scope of the present invention.

Claims (10)

1. A horizontal well tracking while drilling method is characterized by comprising the following steps:
s10: collecting logging information of a vertical well adjacent to a horizontal well designed on site;
s20: acquiring a reservoir of the vertical well and logging curves corresponding to upper surrounding rocks and lower surrounding rocks adjacent to the reservoir according to the logging information, wherein the logging curves comprise a deep resistivity value RT curve;
s30: determining a reservoir tracking index value (GZZS);
s50: establishing a relation curve graph between the depth size of the reservoir and upper and lower surrounding rocks adjacent to the reservoir and the reservoir tracking index value (GZZS) by taking the reservoir tracking index value (GZZS) as a vertical coordinate and the depth of a drilling well drilled into the vertical well as a horizontal coordinate;
s60: and making a junction graph according to the relation graph established in the step S50 and the deep resistivity value RT curve in the step S20, and determining a first limit value A and a second limit value B of the area where the reservoir is located according to the junction graph, wherein the first limit value A is greater than the second limit value B.
2. The horizontal well tracking while drilling method according to claim 1, wherein the reservoir tracking index value (GZZS) satisfies the following formula:
Figure RE-FDA0002571435270000011
wherein, GR, RT and DEN are all obtained by the logging curves, and GZZS is a reservoir tracking index value; the GR is a natural gamma value and the unit is API; the GRminExtracting the gamma value with the minimum value in the data, wherein the unit is API; the GRmaxThe unit is API for extracting the gamma value with the largest value in the data; the RT is a deep resistivity value with the unit of ohm meter; the rhozIs the density value of the reservoir framework and has the unit of g/cm3(ii) a The rholIs the fluid density in said reservoirg/cm3(ii) a DEN is a compensation density value with the unit of g/cm3
3. The horizontal well tracking while drilling method according to claim 1, wherein the vertical well is a pilot hole adjacent to the horizontal well.
4. The horizontal well tracking while drilling method according to claim 1, wherein the reservoir skeleton density value p in the step S30 iszAnd fluid density values ρ in the reservoirlThe method is obtained according to the logging curve and the experimental data analysis of the oil reservoir.
5. A control method for controlling a drilling direction of a drill bit, the control method controlling the drilling direction of the drill bit based on a reservoir tracking index value (GZZS), the control method comprising the steps of:
s80: the horizontal well tracking while drilling method according to any one of claims 1 to 4, wherein a first limit value A and a second limit value B of an area where a reservoir is located are obtained;
s90: and controlling the drilling direction of the drill bit by using the while-drilling control system.
6. The control method according to claim 5, characterized by further comprising the steps of:
when the drill bit continuously drills for a distance D, corresponding and continuous reservoir tracking index values (GZZS) are obtained through real-time calculation, and when the reservoir tracking index values (GZZS) meet the conditions: and controlling the drill bit to drill into the lower surrounding rock when the GZZS is less than or equal to A, the GZZS is more than or equal to B and the percentage of the GZZS is more than or equal to C.
7. The control method according to claim 5, characterized by further comprising the steps of:
when the drill bit continuously drills for a distance D, obtaining a corresponding and continuous reservoir tracking index value (GZZS) through real-time calculation, and when the reservoir tracking index value (GZZS) meets the condition: and controlling the drill bit to drill into the upper surrounding rock when the GZZS is less than or equal to B and the percentage of the GZZS is more than or equal to C.
8. The control method according to claim 6 or 7, wherein C is 75% or more.
9. The control method according to claim 6 or 7, wherein D is not less than 5 m.
10. The control method according to claim 6, wherein a is 19.1 and B is 4.5.
CN201911222570.4A2019-12-032019-12-03Method for tracking horizontal well while drilling and control method for controlling drilling direction of drill bitActiveCN112901070B (en)

Priority Applications (1)

Application NumberPriority DateFiling DateTitle
CN201911222570.4ACN112901070B (en)2019-12-032019-12-03Method for tracking horizontal well while drilling and control method for controlling drilling direction of drill bit

Applications Claiming Priority (1)

Application NumberPriority DateFiling DateTitle
CN201911222570.4ACN112901070B (en)2019-12-032019-12-03Method for tracking horizontal well while drilling and control method for controlling drilling direction of drill bit

Publications (2)

Publication NumberPublication Date
CN112901070Atrue CN112901070A (en)2021-06-04
CN112901070B CN112901070B (en)2023-06-30

Family

ID=76104152

Family Applications (1)

Application NumberTitlePriority DateFiling Date
CN201911222570.4AActiveCN112901070B (en)2019-12-032019-12-03Method for tracking horizontal well while drilling and control method for controlling drilling direction of drill bit

Country Status (1)

CountryLink
CN (1)CN112901070B (en)

Cited By (1)

* Cited by examiner, † Cited by third party
Publication numberPriority datePublication dateAssigneeTitle
CN115704270A (en)*2021-08-132023-02-17中国石油天然气股份有限公司Clastic rock horizontal well track adjusting method based on LWD resistivity logging

Citations (7)

* Cited by examiner, † Cited by third party
Publication numberPriority datePublication dateAssigneeTitle
US20060090934A1 (en)*2004-10-282006-05-04Williams Danny TFormation dip geo-steering method
CN103573250A (en)*2013-07-222014-02-12中国石油天然气股份有限公司Method for calculating distance from horizontal well hole to upper and lower interfaces of stratum
CN104265279A (en)*2014-07-302015-01-07中国石油集团川庆钻探工程有限公司Logging-while-drilling curve prediction method under fault condition
US20150377003A1 (en)*2014-06-252015-12-31Hunt Advanced Drilling Technologies, LLCSystem and method for surface steerable drilling to provide formation mechanical analysis
CN105464592A (en)*2015-03-312016-04-06中国石油化工股份有限公司江汉油田分公司勘探开发研究院Shale gas horizontal well geosteering method
CN106437512A (en)*2016-08-312017-02-22中国石油集团渤海钻探工程有限公司Tracking-while-drilling controlling method for landing track of shale gas horizontal well
US20190169986A1 (en)*2014-06-062019-06-06Quantico Energy Solutions, LlcReal-time synthetic logging for optimization of drilling, steering, and stimulation

Patent Citations (7)

* Cited by examiner, † Cited by third party
Publication numberPriority datePublication dateAssigneeTitle
US20060090934A1 (en)*2004-10-282006-05-04Williams Danny TFormation dip geo-steering method
CN103573250A (en)*2013-07-222014-02-12中国石油天然气股份有限公司Method for calculating distance from horizontal well hole to upper and lower interfaces of stratum
US20190169986A1 (en)*2014-06-062019-06-06Quantico Energy Solutions, LlcReal-time synthetic logging for optimization of drilling, steering, and stimulation
US20150377003A1 (en)*2014-06-252015-12-31Hunt Advanced Drilling Technologies, LLCSystem and method for surface steerable drilling to provide formation mechanical analysis
CN104265279A (en)*2014-07-302015-01-07中国石油集团川庆钻探工程有限公司Logging-while-drilling curve prediction method under fault condition
CN105464592A (en)*2015-03-312016-04-06中国石油化工股份有限公司江汉油田分公司勘探开发研究院Shale gas horizontal well geosteering method
CN106437512A (en)*2016-08-312017-02-22中国石油集团渤海钻探工程有限公司Tracking-while-drilling controlling method for landing track of shale gas horizontal well

Non-Patent Citations (1)

* Cited by examiner, † Cited by third party
Title
姚永君等: "水平井地质导向技术在鲁克沁油田的应用", 《吐哈油气》*

Cited By (1)

* Cited by examiner, † Cited by third party
Publication numberPriority datePublication dateAssigneeTitle
CN115704270A (en)*2021-08-132023-02-17中国石油天然气股份有限公司Clastic rock horizontal well track adjusting method based on LWD resistivity logging

Also Published As

Publication numberPublication date
CN112901070B (en)2023-06-30

Similar Documents

PublicationPublication DateTitle
RU2687668C1 (en)Method and system for combined tracking of a well drilling process
CN103046868B (en)Integrated geosteering method for horizontal well
US7359845B2 (en)Method and system for predictive stratigraphy images
US10330825B2 (en)Complex fracture network mapping
CN108008469B (en) Horizontal well geosteering modeling method based on well-seismic combination
CN106894761B (en)Utilize the geosteering method of the geosteering model of time-domain seismic volume
WO2016168957A1 (en)Automated trajectory and anti-collision for well planning
US20150370934A1 (en)Completion design based on logging while drilling (lwd) data
CN106154322B (en)Log curve correction method and apparatus
US9182510B2 (en)Methods and systems of incorporating pseudo-surface pick locations in seismic velocity models
RU2720115C1 (en)Method of automated geological survey of wells and system for its implementation
RU2638961C2 (en)Method and device of balanced signals production to determine formation characteristics
CN115434688B (en)Drilling curve control method for logging while drilling of horizontal well
EP2737170B1 (en)Method and system of correlating a measured log to a predicted log
CN119535563B (en) A geosteering parameter modeling method suitable for complex thin layers
CN118065974A (en) An engineering early warning method based on shale oil horizontal well drilling
CN112901070A (en)Horizontal well tracking while drilling method and control method for controlling drilling direction of drill bit
US20240035366A1 (en)Use of self-organizing-maps with logging-while-drilling data to delineate reservoirs in 2d and 3d well placement models
CN115434636A (en) Well deviation adjustment method for horizontal wells before landing based on double constraints of marker layers and included angles
Djefel et al.Driving technology for geosteering decisions: Halliburton geosteering
US20210405240A1 (en)Enhanced inversion imaging
CN105484732B (en)Processing method for horizontal well drilling geosteering work progress well depth
US20250154861A1 (en)Three-dimensional reservoir mapping for drilling hydrocarbon wells
CN115704270A (en)Clastic rock horizontal well track adjusting method based on LWD resistivity logging
Chenglin et al.Subsurface Visualization and Quantitative Mapping Service To Manage Production Steering and Reserve Assessment of Dynamic Remaining Oil

Legal Events

DateCodeTitleDescription
PB01Publication
PB01Publication
SE01Entry into force of request for substantive examination
SE01Entry into force of request for substantive examination
GR01Patent grant
GR01Patent grant

[8]ページ先頭

©2009-2025 Movatter.jp