Movatterモバイル変換


[0]ホーム

URL:


CN112896551B - Auxiliary calibration method for installation of aircraft avionics equipment - Google Patents

Auxiliary calibration method for installation of aircraft avionics equipment
Download PDF

Info

Publication number
CN112896551B
CN112896551BCN202110500763.2ACN202110500763ACN112896551BCN 112896551 BCN112896551 BCN 112896551BCN 202110500763 ACN202110500763 ACN 202110500763ACN 112896551 BCN112896551 BCN 112896551B
Authority
CN
China
Prior art keywords
plane
adjusting
point
adjustment
solving
Prior art date
Legal status (The legal status is an assumption and is not a legal conclusion. Google has not performed a legal analysis and makes no representation as to the accuracy of the status listed.)
Active
Application number
CN202110500763.2A
Other languages
Chinese (zh)
Other versions
CN112896551A (en
Inventor
郑博
于洋
谢云
刘克非
朱绪胜
冯辉
汤炜晨
倪城
苗星波
Current Assignee (The listed assignees may be inaccurate. Google has not performed a legal analysis and makes no representation or warranty as to the accuracy of the list.)
Chengdu Aircraft Industrial Group Co Ltd
Original Assignee
Chengdu Aircraft Industrial Group Co Ltd
Priority date (The priority date is an assumption and is not a legal conclusion. Google has not performed a legal analysis and makes no representation as to the accuracy of the date listed.)
Filing date
Publication date
Application filed by Chengdu Aircraft Industrial Group Co LtdfiledCriticalChengdu Aircraft Industrial Group Co Ltd
Priority to CN202110500763.2ApriorityCriticalpatent/CN112896551B/en
Publication of CN112896551ApublicationCriticalpatent/CN112896551A/en
Application grantedgrantedCritical
Publication of CN112896551BpublicationCriticalpatent/CN112896551B/en
Activelegal-statusCriticalCurrent
Anticipated expirationlegal-statusCritical

Links

Images

Classifications

Landscapes

Abstract

The invention relates to the technical field of aircraft assembly, in particular to a calibration auxiliary method for installation of aircraft avionics equipment, which comprises the steps of calculating the simulated pose coordinate of an adjusting point by resolving the simulated pose coordinate of the avionics equipment based on a pitch angle and a roll angle; solving a gasket specification model selection optimal scheme of an adjusting point through pose adjustment optimization; finally, the gasket adjustment is carried out according to the optimal embodiment. By the method, the problems of low efficiency, high labor intensity and large artificial error can be effectively solved.

Description

Auxiliary calibration method for installation of aircraft avionics equipment
Technical Field
The invention relates to the technical field of aircraft assembly, in particular to a calibration auxiliary method for installation of aircraft avionics equipment.
Background
The calibration work of the installation pose of the aircraft avionics equipment is very important for the performance of the efficiency of the aircraft avionics equipment. The current installation pose calibration work is usually carried out by adopting a method of measuring and adjusting multiple rounds of repetition and successive iteration. Each iteration needs to install a calibration tool, observe the position of the center of the cross reticle in the collimating telescope on the target circle, analyze and calculate the deflection angle of the avionic device, disassemble the tool and adjust the gasket, and finally install the tool and observe the position of the center of the cross reticle in the collimating telescope on the target circle.
The main work content comprises:
(1) yaw angle calibration adjustment
A worker observes the position of the center of the cross in the collimating telescope on the target circle by slightly moving the equipment base, finally adjusts the center of the cross to be close to the center of the target circle, marks the adjusting position of the avionic equipment base by scribing, and completes course adjustment.
(2) Pitch and roll calibration adjustment
The pitching and rolling adjustment difficulty is high, workers can assemble, disassemble and assemble the calibration tool by observing the position of the cross center of the collimating telescope on the target circle on the calibration tool, try to increase and decrease gaskets with different thicknesses at different adjusting points by combining experience and analysis of the deflection angle, recover to assemble the calibration tool, continue to observe the position change of the cross center, repeatedly disassemble and assemble the calibration tool and adjust the quantity and thickness of the gaskets, and finally adjust the pitch angle and the roll angle to the technical indexes.
The adjusting gasket is used for calculating the deflection angle of the avionics equipment according to analysis and increasing and decreasing gaskets with different specifications at different adjusting points according to experience. The set points are located on the equipment mounting base, A, B, C being three set points. The gasket thickness is typically 0.1, 0.2, 0.5 or 0.8 mm. The current method needs multiple iterations, and the iteration times are uncontrollable due to the problems of visual observation errors, insufficient experience of operators and the like, and the working efficiency is low.
Disclosure of Invention
In order to solve the technical problems, the invention provides a calibration auxiliary method for mounting aircraft avionics equipment, which can effectively solve the problems of low efficiency, high labor intensity and large artificial error by automatically calculating the simulation pose coordinates of the adjusting points and solving the specification selection of the washers of the adjusting points.
The invention is realized by adopting the following technical scheme:
an auxiliary calibration method for installation of aircraft avionics equipment is characterized by comprising the following steps: the method comprises the following steps:
a. installing a calibration tool;
b. reading a pitch angle omega and a roll angle lambda;
c. calculating the simulation pose coordinate of the adjusting point through avionics equipment simulation pose coordinate calculation based on the pitch angle and the roll angle;
d. solving a gasket specification model selection optimal scheme of the adjusting points by using the simulated pose coordinates of the adjusting points obtained by calculation and by pose adjustment optimization;
e. and disassembling the calibration tool, and adjusting the gasket according to the optimal scheme.
The step c specifically comprises the following steps:
c1connecting three adjusting points A, B and C on the mounting base to determine a plane ABC, and determining a normal vector of the plane ABC according to the pitch angle omega and the roll angle lambda
Figure 333142DEST_PATH_IMAGE001
Solving is carried out to obtain the normal vector of the plane ABC
Figure 312599DEST_PATH_IMAGE002
c2Let B adjust point locate at coordinate origin, Y axis direction be aircraft course direction, let xC=xB=0;
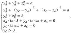
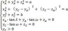
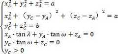
c3I.e. B = (x)B,yB,zB)=(0,0,0),C=(xC,yC,zC)=(0,yC,zC),A=(xA,yA,zA) Then, there is a system of equations:
Figure 92336DEST_PATH_IMAGE003
wherein a and B are known quantities, a is the square of the distance between the adjusting point A and the adjusting point B and the distance between the adjusting point A and the adjusting point C, and B is the square of the distance between the adjusting point B and the adjusting point C, and the unit is mm2
c4The specific equation is as follows:
Figure 487545DEST_PATH_IMAGE004
solving a set of A, C coordinate values satisfying the condition, namely B = (0, 0, 0) and the solved A = (x) according to the equationA,yA,zA)、C=(0,yC,zC)。
Said step c1The method specifically comprises the following steps:
c11abstracting the installation base to be a plane ABC, wherein the pitch angle is an included angle omega between the projection of a normal vector of the plane ABC on the YOZ surface and the Z axis under the aircraft coordinate, and the roll angle is an included angle lambda between the projection of a normal vector of the plane ABC on the XOZ surface and the Z axis under the aircraft coordinate;
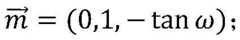
c12making an included angle omega between the auxiliary plane alpha and the Z axis, wherein the auxiliary plane alpha is vertical to the plane YOZ and the plane alpha equation is as follows: y-z · tan ω =0, normal vector
Figure 114967DEST_PATH_IMAGE005
c13Making an included angle lambda between an auxiliary plane beta and a beta vertical plane XOZ and a Z axis, wherein the plane beta equation is as follows: x-z · tan λ =0, normal vector
Figure 937429DEST_PATH_IMAGE006
c14Normal vector of plane ABC
Figure 204463DEST_PATH_IMAGE007
Calculating the normal vector of the plane ABC for the intersection direction of the plane alpha and the plane beta
Figure 403363DEST_PATH_IMAGE008
The step d specifically comprises the following steps:
d1a, B, C solving for the adjustment of the setpoint;
d2solving for a minimum gasket combination number.
Said step d1Concrete bagComprises the following steps:
d11from the simulated pose coordinates of the adjustment points, i.e.:
A=(xA,yA,zA)、B=(0,0,0)、C=(0,yC,zC) And the point C is the coordinate of a point which is close to the adjusting point of the machine head side, and the coordinate after the adjustment by adding the gasket is as follows:
A′=(xA′,yA′,zA′)=(xA,yA,zA+TA),
B′=(xB′,yB′,zB′)=(0,0,TB),
C′=(xC′,yC′,zC′)=(0,yC,zC+TC),
wherein, TA、TB、TCA, B, C, the adjustment amount of each adjustment point is less than 3mm, let TA=0.1k1,TB=0.1k2,TC=0.1k3And k is1、k2、k3Is a non-negative integer no greater than 30;
d12establishing an objective function:
Figure 134558DEST_PATH_IMAGE010
wherein,
Figure 127922DEST_PATH_IMAGE011
,zA′=zA+0.1k1,zB′=0.1k2,zC′=zC+0.1k3substituting to obtain information about the variable k1、k2、k3The objective function of (1);
d13setting the constraint conditions:
Figure 882252DEST_PATH_IMAGE012
wherein m = -xA,n=yC-yA,p=-xA,q=-yA,xA、yA、zA、yCAnd zCThe value of the signal is known and,
HA′B′=zA-zB+0.1(k1-k2),
HA′C′=zA–zC+0.1(k1-k3),
substituting into the constraint to obtain the variable k1、k2、k3The constraint function of (2);
d14solving the optimal solution of the objective function according to the constraint condition.
Said step d14The method specifically comprises the following steps:
step 1: given S2Setting an initial value S20=1000;
Step 2: traverse k1、k2、k3=int,0≤k1、k2、k3All values less than 30 are substituted into the constraint condition, and the total traversal 30 is carried out3(ii) a condition; wherein int refers to the integer;
step 3: determining the obtained k1、k2、k3Whether all constraints are satisfied, if so, k at that time1、k2、k3Substituting the value of the target function into the target function, entering the next step, and otherwise, continuing to circulate;
step 4: judging whether S is present2i<S2i-1If true, the objective function is assigned a value of S2iOtherwise, continue to loop through all k1、k2、k3After the value is taken, k which enables the objective function to be minimum is finally obtained1、k2、k3And taking the value of an integer.
Said step d2The solving of the minimum gasket combination number specifically comprises the following steps:
d21according to step d1The adjustment amount of each adjustment point obtained by the solution in (1), namely TA=0.1k1=t1,TB=0.1k2=t2,TC=0.1k3=t3
d22Order:
t1=0.1a1+0.2b1+0.5c1+0.8d1
t2=0.1a2+0.2b2+0.5c2+0.8d2
t3=0.1a3+0.2b3+0.5c3+0.8d3
wherein, ai、bi、ci、diI =1, 2, 3, the parameter represents the number of washers with different specifications at different adjusting points, and 0.1, 0.2, 0.5, 0.8 are the specifications of the washers respectively;
d23establishing an objective function: gi=min(ai+bi+ci+di) I is an adjustment point;
d24setting the constraint conditions:
ti=0.1ai+0.2bi+0.5ci+0.8di
d25solving the optimal solution of the objective function according to the constraint condition.
Said step d25The solving method of (2) is as follows:
Step1:ai=INT(ti/0.8);
step 2: judgment of mu1=MOD(ti0.8) is zero, if it is, Gi=aiOtherwise, entering the next step;
Step3:bi=INT(μ1/0.5);
step 4: judgment of mu2=MOD(μ10.5) is zero, if it is, Gi=ai+biOtherwise, entering the next step;
Step5:ci=INT(μ2/0.2);
step 6: judgment of mu3=MOD(μ20.2) is zero, if it is, Gi=ai+bi+ciOtherwise, entering the next step;
Step7:di=INT(μ30.1), then Gi=ai+bi+ci+diSo as to obtain the quantity of the washers with different specifications at each adjusting point;
wherein INT denotes the integer: the integer part of the result obtained by dividing the two numbers, MOD being the remainder: the fractional part of the result of the division of the two numbers is multiplied by the divisor.
Compared with the prior art, the invention has the beneficial effects that:
1. the auxiliary method can quickly form an optimal gasket adjusting scheme through automatic calculation, guides pose calibration operation, enables single adjustment to meet the requirement of installation technical indexes, does not need multiple iterations, is high in efficiency, and can effectively solve the problem that iteration times are uncontrollable due to naked eye observation errors, insufficient experience of operators and the like.
2. An accurate optimized mathematical model is established according to the actual condition of the equipment cushioning adjustment quantity, an optimized equation is solved by a node traversing method, and a global optimal solution can be found at reasonable calculation cost.
3. In the method, the purpose of least resource configuration is adopted, an optimized model is established according to the constraint relation between the gasket specification and the adjustment amount, and the optimal gasket configuration global optimal scheme is solved according to the principle that the gasket specification is large first and then small.
4. In the method, a set of coordinates of the adjusting points A and B, C are determined according to the read pitch angle omega and roll angle lambda to simulate the pose of the avionics equipment base, so that basic data are provided for a subsequent washer adjusting method, the data source is more accurate, and the accuracy of a subsequent calculation result is ensured.
5. In the method, a group of simulation coordinates of the attitude of the installation base are given by the normal vector of the plane ABC, so that the problem that the specific coordinates of the adjusting point relative to the aircraft coordinate system cannot be obtained can be effectively solved.
6. In the method, the gasket adjusting algorithm specifically comprises the steps of solving the adjusting quantity of the adjusting pad and solving the minimum gasket combination number, so that the result is more accurate.
Drawings
The invention will be described in further detail with reference to the following description taken in conjunction with the accompanying drawings and detailed description, in which:
FIG. 1 is a schematic flow diagram of the present invention;
FIG. 2 is a schematic diagram of a simulation coordinate system and adjustment points according to the present invention;
FIG. 3 is a schematic diagram of determining a plane ABC normal vector in the present invention.
Detailed Description
Example 1
As a basic embodiment of the invention, the invention comprises a calibration assistance method for the installation of an aircraft avionics device, comprising the following steps:
a. and (6) installing a calibration tool.
b. Observing the position of the center of a cross reticle in the collimating telescope on a target circle, and reading a pitch angle omega and a roll angle lambda; the pitch angle is an included angle omega between the projection of a normal vector of a plane where the avionics equipment base is located on an YOZ plane and a Z axis under the aircraft coordinate; the roll angle is an included angle lambda between the projection of a normal vector of a plane where the avionics device base is located and an XOZ plane under the aircraft coordinate and a Z axis.
c. And calculating the simulation pose coordinate of the adjusting point by the avionics equipment simulation pose coordinate calculation based on the pitch angle and the roll angle.
d. And solving the optimal gasket specification model selection scheme of the adjusting points by using the simulated pose coordinates of the adjusting points obtained by calculation and by pose adjustment optimization.
e. And disassembling the calibration tool, and implementing gasket adjustment according to the optimal scheme to finish calibration.
Example 2
As a preferred embodiment of the invention, the invention comprises a calibration assistance method for the installation of an aircraft avionics device, with reference to the attached figure 1 of the specification, comprising the following steps:
a. and (6) installing a calibration tool.
b. The pitch angle ω and roll angle λ are read.
c. And calculating the simulation pose coordinate of the adjusting point by the avionics equipment simulation pose coordinate calculation based on the pitch angle and the roll angle. The method comprises the following specific steps:
c1three set points A, B on the mounting base are connected to a plane ABC, defined as reference to the description of FIG. 2 and the description of FIG. 3, (where point A is not necessarily in the plane XOY; point C is in the YOZ plane, but not necessarily in the Y axis, since the yaw angle has been calibrated). Normal vector to plane ABC according to pitch angle omega and roll angle lambda
Figure 432313DEST_PATH_IMAGE007
Solving is carried out for describing the space state of the installation base, and the method specifically comprises the following steps:
c11abstracting the installation base to be a plane ABC, wherein the pitch angle is an included angle omega between the projection of a normal vector of the plane ABC on the YOZ surface and the Z axis under the aircraft coordinate, and the roll angle is an included angle lambda between the projection of a normal vector of the plane ABC on the XOZ surface and the Z axis under the aircraft coordinate;
c12making an included angle omega between the auxiliary plane alpha and the auxiliary plane alpha vertical to the plane YOZ and the Z axis, and according to the definition of the pitch angle, obtaining a plane alpha equation as follows: y-z @ tan ω =0, normal vector
Figure 955698DEST_PATH_IMAGE005
c13Making an included angle lambda between the auxiliary plane beta and the auxiliary plane beta vertical to the XOZ and the Z axis, and according to the roll angle definition, obtaining a plane beta equation as follows: x-z. tan. lambda =0, normal vector
Figure 385542DEST_PATH_IMAGE006
c14Normal vector of plane ABC
Figure 627168DEST_PATH_IMAGE001
Calculating the normal vector of the plane ABC for the intersection direction of the plane alpha and the plane beta
Figure 964608DEST_PATH_IMAGE008
c2A, B, C is anThree adjusting points on the base can not obtain the specific coordinates of the adjusting points relative to the plane coordinate system, but can pass through the normal vector of the plane ABC
Figure 608079DEST_PATH_IMAGE013
A set of simulated coordinates of the mounting base pose is given. At this time, the B adjusting point can be positioned at the origin of coordinates, the Y-axis direction is the aircraft course direction, and the yaw angle is adjusted by slight shaking, so that the yaw angle is approximate to xC=xB=0。
c3The coordinate system is in agreement with the aircraft coordinate system, only the origin of coordinates is translated. Let B = (x)B,yB,zB)=(0,0,0),C=(xC,yC,zC)=(0,yC,zC),A=(xA,yA,zA) Then, there is a system of equations:
Figure 943246DEST_PATH_IMAGE003
wherein a and B are known quantities, a is the square of the distance between the adjusting point A and the adjusting point B and the distance between the adjusting point A and the adjusting point C, and B is the square of the distance between the adjusting point B and the adjusting point C, and the unit is mm2
c4The specific equation is as follows:
Figure 485216DEST_PATH_IMAGE004
solving a set of A, C coordinate values satisfying the condition, namely B = (0, 0, 0) and the solved A = (x) according to the equationA,yA,zA)、C=(0,yC,zC)。
d. And solving the optimal gasket specification model selection scheme of the adjusting points by using the simulated pose coordinates of the adjusting points obtained by calculation and by pose adjustment optimization. The method specifically comprises the following steps:
d1a, B, C calculation of adjustment quantity of adjustment pointSolving;
d2solving for a minimum gasket combination number.
Wherein said step d1The solving algorithm is as follows:
model object: the avionics equipment is adjusted to be as horizontal as possible by increasing the thickness of the adjusting point gasket;
and (3) model constraint: the adjustment amount of each adjusting point is less than 3 mm; the adjusted pitch angle and roll angle meet the given design requirements, namely the adjusted pitch angle and yaw angle are less than 3'.
The method specifically comprises the following steps:
d11from the simulated pose coordinates of the adjustment points, i.e.:
A=(xA,yA,zA)、B=(0,0,0)、C=(0,yC,zC) And the point C is a coordinate close to a machine head side adjusting point, and in order to ensure that the normal vector direction of the plane ABC obtained subsequently points to the upper side of the plane XOY, the coordinate after adjustment by adding a gasket is as follows:
A′=(xA′,yA′,zA′)=(xA,yA,zA+TA),
B′=(xB′,yB′,zB′)=(0,0,TB),
C′=(xC′,yC′,zC′)=(0,yC,zC+TC),
wherein, TA、TB、TCThe adjustment amounts of A, B, C points are respectively, the minimum gasket thickness is 0.1mm, the adjustment amount of each adjustment point is less than 3mm, and T isA=0.1k1,TB=0.1k2,TC=0.1k3And k is1、k2、k3Is a non-negative integer no greater than 30.
d12Abstracting an objective function according to the model objective as:
Figure 564031DEST_PATH_IMAGE015
wherein,
Figure 62008DEST_PATH_IMAGE016
Figure 833655DEST_PATH_IMAGE017
the constraint conditions are as follows:
(1)k1、k2、k3int, all are non-negative integers, and k is not less than 01、k2、k3< 30; wherein int refers to the integer;
(2) the technical requirement is that the adjusted pitch and roll angles are less than 3 ', i.e. | ω | < η, | λ | < η, η = 3',
the final mathematical expression of the specific constraints is solved as follows:
Figure 846611DEST_PATH_IMAGE018
Figure 729116DEST_PATH_IMAGE019
let-xA=m,yC-yA=n,zC-zA+TC-TA=HA′C′,-xA=p,-yA=q,-zA+TB-TA=HA′B′
Wherein m, n, p, q are known constants,
HA′B′=zA-zB+0.1(k1-k2),
HA′C′=zA–zC+0.1(k1-k3),
normal vector of plane ABC:
Figure 81600DEST_PATH_IMAGE020
Figure 24148DEST_PATH_IMAGE021
projection on plane YOZ is
Figure 275132DEST_PATH_IMAGE022
(Vector)
Figure 695749DEST_PATH_IMAGE023
The included angle between the Z axis and the Z axis is the pitch angle
Figure 168319DEST_PATH_IMAGE025
Figure 281768DEST_PATH_IMAGE021
Projection on plane XOZ is
Figure 269316DEST_PATH_IMAGE026
(Vector)
Figure 493624DEST_PATH_IMAGE027
The included angle between the Z axis and the Z axis is the transverse roll angle
Figure 555121DEST_PATH_IMAGE028
According to the technical requirements | ω | < η, | λ | < η, η = 3'.
Finally, the adjustment problem of the shim is abstracted to the following optimization problem:
an objective function:
Figure 652521DEST_PATH_IMAGE029
wherein
Figure 65048DEST_PATH_IMAGE011
,zA′=zA+0.1k1,zB′=0.1k2,zC′=zC+0.1k3Substituting to obtain information about the variable k1、k2、k3The objective function of (1);
d13setting the constraint conditions:
Figure 93046DEST_PATH_IMAGE030
wherein m = -xA,n=yC-yA,p=-xA,q=-yA,xA、yA、zA、yCAnd zCThe value of the signal is known and,
HA′B′=zA-zB+0.1(k1-k2),
HA′C′=zA–zC+0.1(k1-k3) Substituted into the constraint to obtain the variable k1、k2、k3The constraint function of (2).
d14Solving the optimal solution of the objective function according to the constraint conditions, which comprises the following specific steps:
step 1: given S2Setting an initial value S20=1000;
Step 2: traverse k1、k2、k3=int,0≤k1、k2、k3All values less than 30 are substituted into the constraint condition, and the total traversal 30 is carried out3(ii) a condition; wherein int refers to the integer;
step 3: determining the obtained k1、k2、k3Whether all constraints are satisfied, if so, k at that time1、k2、k3Substituting the value of the target function into the target function, entering the next step, and otherwise, continuing to circulate;
step 4: judging whether S is present2i<S2i-1If true, the objective function is assigned a value of S2iOtherwise, continue to loop through all k1、k2、k3After the value is taken, k which enables the objective function to be minimum is finally obtained1、k2、k3Integer fetchThe value is obtained.
Wherein said step d2The solving of the minimum gasket combination number specifically comprises the following steps:
d21according to step d1The adjustment amount of each adjustment point obtained by the solution in (1), namely TA=0.1k1=t1,TB=0.1k2=t2,TC=0.1k3=t3
d22Order:
t1=0.1a1+0.2b1+0.5c1+0.8d1
t2=0.1a2+0.2b2+0.5c2+0.8d2
t3=0.1a3+0.2b3+0.5c3+0.8d3
wherein, ai、bi、ci、diI =1, 2, 3, the parameter representing the number of washers of each specification at different set points, said 0.1, 0.2, 0.5, 0.8 being the washer specification, respectively, as set forth in the following table:
Figure 274629DEST_PATH_IMAGE032
d23establishing an objective function: gi=min(ai+bi+ci+di) I is an adjustment point;
d24setting the constraint conditions:
ti=0.1ai+0.2bi+0.5ci+0.8di
d25solving the optimal solution of the objective function according to the constraint conditions, wherein the specific solving method comprises the following steps:
Step1:ai=INT(ti/0.8);
step 2: judgment of mu1=MOD(ti0.8) is zero, if it is, Gi=aiOtherwise, entering the next step;
Step3:bi=INT(μ1/0.5);
step 4: judgment of mu2=MOD(μ10.5) is zero, if it is, Gi=ai+biOtherwise, entering the next step;
Step5:ci=INT(μ2/0.2);
step 6: judgment of mu3=MOD(μ20.2) is zero, if it is, Gi=ai+bi+ciOtherwise, entering the next step;
Step7:di=INT(μ30.1), then Gi=ai+bi+ci+diThereby obtaining the quantity of the washers with different specifications at each adjusting point. Wherein INT denotes the integer: the integer part of the result obtained by dividing the two numbers, MOD being the remainder: the fractional part of the result of the division of the two numbers is multiplied by the divisor.
e. And disassembling the calibration tool, and adjusting the gasket according to the optimal scheme.
In summary, after reading the present disclosure, those skilled in the art should make various other modifications without creative efforts according to the technical solutions and concepts of the present disclosure, which are within the protection scope of the present disclosure.

Claims (7)

1. An auxiliary calibration method for installation of aircraft avionics equipment is characterized by comprising the following steps: the method comprises the following steps:
a. installing a calibration tool;
b. reading a pitch angle omega and a roll angle lambda;
c. calculating the simulation pose coordinate of the adjusting point through avionics equipment simulation pose coordinate calculation based on the pitch angle and the roll angle;
d. solving a gasket specification model selection optimal scheme of the adjusting points by using the simulated pose coordinates of the adjusting points obtained by calculation and by pose adjustment optimization;
e. disassembling the calibration tool, and adjusting the gasket according to the optimal scheme;
the step c specifically comprises the following steps:
c1connecting three adjusting points A, B and C on the mounting base to determine a plane ABC, and determining a normal vector of the plane ABC according to the pitch angle omega and the roll angle lambda
Figure FDA0003121421370000011
Solving is carried out to obtain the normal vector of the plane ABC
Figure FDA0003121421370000012
c2Let B adjust point locate at coordinate origin, Y axis direction be aircraft course direction, let xC=xB=0;
c3I.e. B ═ xB,yB,zB)=(0,0,0),C=(xC,yC,zC)=(0,yC,zC),A=(xA,yA,zA) Then, there is a system of equations:
Figure FDA0003121421370000013
wherein a and B are known quantities, a is the square of the distance between the adjusting point A and the adjusting point B and the distance between the adjusting point A and the adjusting point C, and B is the square of the distance between the adjusting point B and the adjusting point C, and the unit is mm2
c4The specific equation is as follows:
Figure FDA0003121421370000014
according to the equation, a set of A, C coordinate values satisfying the condition, namely B ═ 0, 0, 0, and the solved A ═ xA,yA,zA)、C=(0,yC,zC)。
2. An aircraft avionics installation calibration aiding method as claimed in claim 1, characterized in that: the steps areStep c1The method specifically comprises the following steps:
c11abstracting the installation base to be a plane ABC, wherein the pitch angle is an included angle omega between the projection of a normal vector of the plane ABC on the YOZ surface and the Z axis under the aircraft coordinate, and the roll angle is an included angle lambda between the projection of a normal vector of the plane ABC on the XOZ surface and the Z axis under the aircraft coordinate;
c12making an included angle omega between the auxiliary plane alpha and the Z axis, wherein the auxiliary plane alpha is vertical to the plane YOZ and the plane alpha equation is as follows: y-z ═ tan ω 0, normal vector
Figure FDA0003121421370000021
c13Making an included angle lambda between an auxiliary plane beta and a beta vertical plane XOZ and a Z axis, wherein the plane beta equation is as follows: x-z ═ tan λ ═ 0, normal vector
Figure FDA0003121421370000022
c14Normal vector of plane ABC
Figure FDA0003121421370000023
Calculating the normal vector of the plane ABC for the intersection direction of the plane alpha and the plane beta
Figure FDA0003121421370000024
3. An aircraft avionics installation calibration aiding method as claimed in any one of claims 1 or 2, characterized in that: the step d specifically comprises the following steps:
d1a, B, C solving for the adjustment of the setpoint;
d2solving for a minimum gasket combination number.
4. An aircraft avionics installation calibration aiding method as claimed in claim 3, characterized in that: said step d1The method specifically comprises the following steps:
d11from the simulated pose coordinates of the adjustment points, i.e.
A=(xA,yA,zA)、B=(0,0,0)、C=(0,yC,zC) And the point C is the coordinate of a point which is close to the adjusting point of the machine head side, and the coordinate after the adjustment by adding the gasket is as follows:
A′=(xA′,yA′,zA′)=(xA,yA,zA+TA),
B′=(xB′,yB′,zB′)=(0,0,TB),
C′=(xC′,yC′,zC′)=(0,yC,zC+TC),
wherein, TA、TB、TCA, B, C, the adjustment amount of each adjustment point is less than 3mm, let TA=0.1k1,TB=0.1k2,TC=0.1k3And k is1、k2、k3Is a non-negative integer no greater than 30;
d12establishing an objective function:
Figure FDA0003121421370000025
wherein,
Figure FDA0003121421370000026
zA′=zA+0.1k1,zB′=0.1k2,zC′=zC+0.1k3substituting to obtain information about the variable k1、k2、k3The objective function of (1);
d13setting the constraint conditions:
Figure FDA0003121421370000031
wherein m is-xA,n=yC-yA,p=-xA,q=-yA,xA、yA、zA、yCAnd zCThe value is known;
HA′B′=zA-zB+0.1(k1-k2),
HA′C′=zA–zC+0.1(k1-k3),
substituting into the constraint to obtain the variable k1、k2、k3The constraint function of (2);
d14solving the optimal solution of the objective function according to the constraint condition.
5. An aircraft avionics installation calibration aiding method as claimed in claim 4, characterized in that: said step d14The method specifically comprises the following steps:
step 1: given S2Setting an initial value S20=1000;
Step 2: traverse k1、k2、k3=int,0≤k1、k2、k3All values less than 30 are substituted into the constraint condition, and the total traversal 30 is carried out3(ii) a condition; wherein int refers to the integer;
step 3: determining the obtained k1、k2、k3Whether all constraints are satisfied, if so, k at that time1、k2、k3Substituting the value of the target function into the target function, entering the next step, and otherwise, continuing to circulate;
step 4: judging whether S is present2i<S2i-1If true, the objective function is assigned a value of S2iOtherwise, continue to loop through all k1、k2、k3After the value is taken, k which enables the objective function to be minimum is finally obtained1、k2、k3And taking the value of an integer.
6. An aircraft avionics installation calibration aid as claimed in any one of claims 4 or 5The method is characterized in that: said step d2The solving of the minimum gasket combination number specifically comprises the following steps:
d21according to step d1The adjustment amount of each adjustment point obtained by the solution in (1), namely TA=0.1k1=t1,TB=0.1k2=t2
TC=0.1k3=t3
d22Order:
t1=0.1a1+0.2b1+0.5c1+0.8d1
t2=0.1a2+0.2b2+0.5c2+0.8d2
t3=0.1a3+0.2b3+0.5c3+0.8d3wherein a isi、bi、ci、diI is 1, 2 and 3, the parameter represents the number of gaskets with various specifications at different adjusting points, and the 0.1, 0.2, 0.5 and 0.8 are respectively the specifications of the gaskets;
d23establishing an objective function: gi=min(ai+bi+ci+di) I is an adjustment point;
d24setting the constraint conditions: t is ti=0.1ai+0.2bi+0.5ci+0.8di
d25Solving the optimal solution of the objective function according to the constraint condition.
7. An aircraft avionics installation calibration aiding method as claimed in claim 6, characterized in that: said step d25The solving method of (2) is as follows:
Step1:ai=INT(ti/0.8);
step 2: judgment of mu1=MOD(ti0.8) is zero, if it is, Gi=aiOtherwise, entering the next step;
Step3:bi=INT(μ1/0.5);
step 4: judgment of mu2=MOD(μ10.5) is zero, if it is, Gi=ai+biOtherwise, entering the next step;
Step5:ci=INT(μ2/0.2);
step 6: judgment of mu3=MOD(μ20.2) is zero, if it is, Gi=ai+bi+ciOtherwise, entering the next step;
Step7:di=INT(μ30.1), then Gi=ai+bi+ci+diSo as to obtain the quantity of the washers with different specifications at each adjusting point;
wherein INT denotes the integer: the integer part of the result of the division of the two numbers; MOD is taking the rest: the fractional part of the result of the division of the two numbers is multiplied by the divisor.
CN202110500763.2A2021-05-082021-05-08Auxiliary calibration method for installation of aircraft avionics equipmentActiveCN112896551B (en)

Priority Applications (1)

Application NumberPriority DateFiling DateTitle
CN202110500763.2ACN112896551B (en)2021-05-082021-05-08Auxiliary calibration method for installation of aircraft avionics equipment

Applications Claiming Priority (1)

Application NumberPriority DateFiling DateTitle
CN202110500763.2ACN112896551B (en)2021-05-082021-05-08Auxiliary calibration method for installation of aircraft avionics equipment

Publications (2)

Publication NumberPublication Date
CN112896551A CN112896551A (en)2021-06-04
CN112896551Btrue CN112896551B (en)2021-09-07

Family

ID=76109090

Family Applications (1)

Application NumberTitlePriority DateFiling Date
CN202110500763.2AActiveCN112896551B (en)2021-05-082021-05-08Auxiliary calibration method for installation of aircraft avionics equipment

Country Status (1)

CountryLink
CN (1)CN112896551B (en)

Families Citing this family (2)

* Cited by examiner, † Cited by third party
Publication numberPriority datePublication dateAssigneeTitle
CN116225040B (en)*2023-03-272024-07-12成都飞机工业(集团)有限责任公司Automatic attitude adjustment method for aircraft based on inertial navigation system
CN116552802B (en)*2023-06-162025-09-16中国飞机强度研究所Method for monitoring ground lifting pose of whole aircraft in aircraft structural strength test

Citations (3)

* Cited by examiner, † Cited by third party
Publication numberPriority datePublication dateAssigneeTitle
CN104792340A (en)*2015-05-152015-07-22哈尔滨工业大学Star sensor installation error matrix and navigation system star-earth combined calibration and correction method
CN107148639A (en)*2015-09-152017-09-08深圳市大疆创新科技有限公司 Method and device for determining location information of tracking target, tracking device and system
CN111578866A (en)*2020-06-162020-08-25大连理工大学Spatial pose calibration method for multi-line laser sensor combined measurement

Family Cites Families (15)

* Cited by examiner, † Cited by third party
Publication numberPriority datePublication dateAssigneeTitle
US3683668A (en)*1971-01-261972-08-15Sperry Rand CorpCompass calibrator
JP3541586B2 (en)*1996-10-242004-07-14三菱電機株式会社 Vibration control mechanism for pointing control device
JPH11331085A (en)*1998-05-181999-11-30Toshiba Corp Angle correction device for optical communication equipment
US6644081B1 (en)*2002-02-152003-11-11Joseph Keith BerrySystem and method for adjusting helicopter blade trim tabs
DE102004013441A1 (en)*2004-03-182005-10-13Beissbarth Gmbh Measuring method and measuring device for determining the spatial position of a wheel rim and wheel alignment device
WO2009126905A1 (en)*2008-04-112009-10-15Karem Aircraft, Inc.Tilt actuation for a rotorcraft
CN101286059B (en)*2008-05-292010-06-02上海交通大学 Sequence Compensation Method for On-line Measurement Data Acquisition, Calibration and Negligence Error
CN103901852B (en)*2014-03-272016-10-05浙江大学A kind of aircraft is fitted to each other face digitized cushioning method
CN105069281B (en)*2015-07-172018-01-05中国空间技术研究院Spacecraft orbit maneuver motor installation parameter optimization method based on Runge Kutta algorithm
RU2635820C1 (en)*2016-05-112017-11-16Открытое акционерное общество Московский научно-производственный комплекс "Авионика" имени О.В. Успенского (ОАО МНПК "Авионика")Method of correction of platform-free inertial navigation system
CN108375352A (en)*2018-01-312018-08-07歌尔股份有限公司The method of adjustment of two plan-positions based on the depth of parallelism, apparatus and system
CN109190282B (en)*2018-09-192020-05-22西安交通大学 A method for assembling and adjusting a closed chain mechanism, its control device, and a mechanical device
CN110672006A (en)*2019-08-212020-01-10成都飞机工业(集团)有限责任公司Positioning system and method for digital positioning during aircraft assembly
CN111221356A (en)*2020-04-212020-06-02贵州航天天马机电科技有限公司Automatic monitoring and adjusting device and method for levelness of transfer erecting rack
CN111498142B (en)*2020-05-062021-12-14南京航空航天大学 A method for installation and calibration of aircraft avionics products

Patent Citations (3)

* Cited by examiner, † Cited by third party
Publication numberPriority datePublication dateAssigneeTitle
CN104792340A (en)*2015-05-152015-07-22哈尔滨工业大学Star sensor installation error matrix and navigation system star-earth combined calibration and correction method
CN107148639A (en)*2015-09-152017-09-08深圳市大疆创新科技有限公司 Method and device for determining location information of tracking target, tracking device and system
CN111578866A (en)*2020-06-162020-08-25大连理工大学Spatial pose calibration method for multi-line laser sensor combined measurement

Non-Patent Citations (1)

* Cited by examiner, † Cited by third party
Title
移动机器人组合感知系统及其配准方法改进;付梦印等;《兵工学报》;20110615;第32卷(第6期);全文*

Also Published As

Publication numberPublication date
CN112896551A (en)2021-06-04

Similar Documents

PublicationPublication DateTitle
CN105737762B (en)A kind of blade of aviation engine profile measurement method
CN112896551B (en)Auxiliary calibration method for installation of aircraft avionics equipment
CN107121123B (en)Satellite precision single machine measurement method
CN109184213A (en)Steel grid construction technique based on BIM setting-out and 3-D scanning
CN101832737B (en)HUD (Heads-Up Display) digitized bore-sighting method applied to plane general assembly
CN114239170B (en)Error compensation method for aircraft assembly
CN101858754B (en)Inertial navigation level measurement method applied to airplane general assembly
CN104899378A (en)Digital installation method for high-rise steel structure based on BIM and three-dimensional measurement
Geng et al.A novel welding path planning method based on point cloud for robotic welding of impeller blades
CN104101326B (en)A kind of shield attitude method for automatic measurement based on space geometry analysis and device
CN101865653A (en) A Method of Measuring 1# Frame Accuracy Applied in Aircraft General Assembly
CN106443062B (en)Unmanned plane speed measurement method, device and unmanned plane
CN103791878A (en)Numerically-controlled machine tool geometric accuracy identification method
JP2017037460A (en)Machining system and machining method
CN111498142A (en) A method for installation and calibration of aircraft avionics products
CN103925854B (en)A kind of guided missile level measurement method based on three-dimensional coordinate transfer principle
JP2016200463A (en) Measuring method using total station and control device for total station
CN106403810A (en)Field calibrating method for laser tracking digital flexible assembly measurement system
Yang et al.A cost-effective non-orthogonal 3D measurement system
CN112361957A (en)Method for measuring and adjusting spatial position relationship of multiple positioners
RU2469924C2 (en)Method of wing assembly
CN114719790A (en)Method for adjusting horizontal straightness of split equipment by using laser tracker
CN118622352A (en) A method for monitoring the alignment state of hydraulic support
CN113048972A (en)Mine engineering machinery attitude position determining method and system
CN111309049B (en) A five-meter small-scale high-precision guidance method for a virtual target of a micro air vehicle

Legal Events

DateCodeTitleDescription
PB01Publication
PB01Publication
SE01Entry into force of request for substantive examination
SE01Entry into force of request for substantive examination
GR01Patent grant
GR01Patent grant

[8]ページ先頭

©2009-2025 Movatter.jp