






技术领域technical field
本发明涉及星地融合领域,具体涉及一种面向星地融合网络的星载基站切换管理方法。The invention relates to the field of satellite-ground fusion, in particular to a satellite-ground fusion network-oriented switching management method for a satellite-borne base station.
背景技术Background technique
卫星网络能够覆盖到极限及边远区域,在重大自然灾害预防及救援工作中能够根据覆盖需求动态组网支撑应急服务,将卫星网络与地面网络进行融合构建天地一体信息网络支撑多样化的空间网络需求已成为空间信息网络发展的新趋势,然而,卫星通信系统与地面移动通信系统在部署环境、信道传播特征等方面存在很多差异,为两者的融合带来了许多挑战。The satellite network can cover extreme and remote areas. In the prevention and rescue of major natural disasters, it can dynamically form a network to support emergency services according to coverage requirements, and integrate the satellite network with the terrestrial network to build a space-ground integrated information network to support diverse space network needs. It has become a new trend in the development of space information networks. However, there are many differences between satellite communication systems and ground mobile communication systems in terms of deployment environment and channel propagation characteristics, which brings many challenges to the integration of the two.
长期看来,将地面基站与核心网的部分或全部功能逐步迁移到星上是发展趋势,由星载基站和卫星核心网管控节点组网形成星上的移动核心子网,通过卫星子网内的主控卫星管理星载基站,能够有效降低处理延时、提高用户体验。地面移动通信网络基础设施基本固定,基站与终端的相对位置变化主要由终端的移动性产生;对于卫星网络来说,不止终端具有移动特征,卫星也沿其轨道处于高速运动状态。由于星载基站相对于地面的高速运动,会导致终端在星载基站之间进行切换,星载基站和主控卫星处于不同的轨道,相互之间也会发生相对移动,使得星地融合网络必须处理星载基站的移动性管理问题,否则难以保证正常的通信需求。因此,星载基站的切换管理成为星地融合过程中需要考虑的关键问题。In the long run, it is a development trend to gradually migrate some or all of the functions of the ground base station and the core network to the satellite. The main control satellite manages the on-board base station, which can effectively reduce the processing delay and improve the user experience. The ground mobile communication network infrastructure is basically fixed, and the relative position change between the base station and the terminal is mainly caused by the mobility of the terminal; for satellite networks, not only the terminal has the characteristics of movement, but the satellite also moves at a high speed along its orbit. Due to the high-speed movement of the spaceborne base station relative to the ground, the terminal will switch between the spaceborne base stations. The spaceborne base station and the main control satellite are in different orbits and move relative to each other, making the satellite-ground fusion network necessary. Deal with the mobility management of the spaceborne base station, otherwise it is difficult to ensure normal communication requirements. Therefore, the handover management of the satellite-borne base station has become a key issue that needs to be considered in the process of satellite-ground fusion.
发明内容SUMMARY OF THE INVENTION
为了解决上述问题,本发明提供一种面向星地融合网络的星载基站切换管理方法,主要可以用于应用于星载基站、原主控卫星以及目标主控卫星之间,用于实现星载基站在不同卫星移动子网下的切换管理。In order to solve the above problems, the present invention provides an on-board base station switching management method oriented to a satellite-ground fusion network, which can be mainly applied to the on-board base station, the original main control satellite and the target main control satellite, and is used to realize the on-board base station switching management method. Handover management of base stations under different satellite mobile subnets.
本发明提供了一种面向星地融合网络的星载基站切换管理方法,包括星载基站的原主控卫星建立出切换选择的拍卖模型;所述原主控卫星向根据拍卖模型选择出的目标主控卫星发起切换申请,所述目标主控卫星分配资源,同时所述星载基站执行切换过程;所述星载基站与主控卫星完成上下行的数据转发。The present invention provides an on-board base station handover management method oriented to a satellite-ground fusion network. The main control satellite initiates a handover application, the target main control satellite allocates resources, and the on-board base station performs the handover process; the on-board base station and the main control satellite complete uplink and downlink data forwarding.
优选的,在建立出进行切换选择的拍卖模型前还包括星载基站根据测量配置进行切换测量,并周期性地生成测量数据,将所述测量数据通过星间链路发送到原主控卫星,所述原主控卫星通过星载基站的测量数据和自身的测量数据结果,基于切换触发策略执行切换触发判断,当触发生效时则建立切换选择的拍卖模型,否则不执行切换。Preferably, before the auction model for handover selection is established, the onboard base station also performs handover measurement according to the measurement configuration, and periodically generates measurement data, and sends the measurement data to the original master satellite through the inter-satellite link, The original main control satellite executes the handover trigger judgment based on the handover trigger strategy based on the measurement data of the on-board base station and its own measurement data results.
本发明的有益效果:Beneficial effects of the present invention:
1.本发明基于星间导频信号功率、星间链路生存时间以及卫星信道利用率进行切换触发和切换选择判断,能够降低星载基站切换频率以及实现网络系统负载均衡,同时基于拍卖模型设计切换选择算法,能够实现切换决策属性的总体效益最大化。。1. The present invention performs handover triggering and handover selection judgment based on inter-satellite pilot signal power, inter-satellite link survival time, and satellite channel utilization, which can reduce the frequency of on-board base station handovers and achieve network system load balance, and is designed based on an auction model. The handover selection algorithm can maximize the overall benefit of the handover decision attribute. .
2.本发明通过对切换过程业务数据转发功能设计,降低星载基站切换过程对于基站下用户终端的业务影响,降低切换带来的业务中断和减少网络丢包。2. By designing the service data forwarding function in the handover process, the present invention reduces the service impact of the handover process of the spaceborne base station on the user terminal under the base station, reduces the service interruption caused by the handover and reduces network packet loss.
附图说明Description of drawings
下面结合附图和具体实施方式对本发明做进一步详细的说明。The present invention will be described in further detail below with reference to the accompanying drawings and specific embodiments.
图1为本发明实施例的星载基站切换选择场景示意图;FIG. 1 is a schematic diagram of a handover selection scenario of an on-board base station according to an embodiment of the present invention;
图2为本发明实施例的一种面向星地融合网络的星载基站切换管理方法的流程图;FIG. 2 is a flowchart of a method for managing the handover of a satellite-borne base station for a satellite-ground fusion network according to an embodiment of the present invention;
图3为本发明实施例中的切换触发判断流程图;3 is a flow chart of handover trigger judgment in an embodiment of the present invention;
图4是本发明实施例中星载基站与主控卫星的切换测量过程图;Fig. 4 is the handover measurement process diagram of the on-board base station and the main control satellite in the embodiment of the present invention;
图5是本发明实施例中基于拍卖模型的切换选择算法的流程图;5 is a flowchart of a handover selection algorithm based on an auction model in an embodiment of the present invention;
图6是本发明实施例中切换过程中的上下行业务数据转发流程图;6 is a flowchart of uplink and downlink service data forwarding in a handover process in an embodiment of the present invention;
图7为本发明实施例中一种面向星地融合网络的星载基站切换管理系统架构图。FIG. 7 is an architectural diagram of an on-board base station handover management system for a satellite-ground fusion network according to an embodiment of the present invention.
具体实施方式Detailed ways
下面将结合本发明实施例中的附图,对本发明实施例中的技术方案进行清楚、完整地描述,显然,所描述的实施例仅仅是本发明一部分实施例,而不是全部的实施例。基于本发明中的实施例,本领域普通技术人员在没有做出创造性劳动前提下所获得的所有其他实施例,都属于本发明保护的范围。The technical solutions in the embodiments of the present invention will be clearly and completely described below with reference to the accompanying drawings in the embodiments of the present invention. Obviously, the described embodiments are only a part of the embodiments of the present invention, but not all of the embodiments. Based on the embodiments of the present invention, all other embodiments obtained by those of ordinary skill in the art without creative efforts shall fall within the protection scope of the present invention.
图1是本发明实施例的星载基站切换场景示意图,当星载基站运动到不同的移动子网的重叠覆盖区域,即面临不同子网下主控卫星的切换选择,整个切换场景由星载基站、星载基站连接的原主控卫星以及可能执行切换的目标主控卫星构成,具体的,图中所示包括一个原主控卫星和三个主控卫星,即主控卫星1、主控卫星2和主控卫星3,原主控卫星与当前的星载基站已经构建好连接,该星载基站作为待切换星载基站可能作出相应的切换动作,该待切换基站可能切换到主控卫星1、主控卫星2和主控卫星3。FIG. 1 is a schematic diagram of a handover scenario of an on-board base station according to an embodiment of the present invention. When the on-board base station moves to the overlapping coverage areas of different mobile subnets, that is, it faces the handover selection of the master satellite under different subnets, the entire handover scenario is determined by the on-board base station. The base station, the original main control satellite connected to the on-board base station, and the target main control satellite that may perform handover are composed. Specifically, the figure includes one original main control satellite and three main control satellites, namely main control satellite 1, main control satellite Satellite 2 and main control satellite 3, the original main control satellite and the current on-board base station have been connected, the on-board base station as the to-be-switched on-board base station may make corresponding switching actions, and the to-be-switched base station may be switched to the main control satellite 1. Main control satellite 2 and main control satellite 3.
图2为本发明实施例的一种面向星地融合网络的星载基站切换管理方法的流程图,该方法包括但不限于如下步骤:2 is a flowchart of a method for managing a satellite-borne base station handover management for a satellite-ground fusion network according to an embodiment of the present invention. The method includes but is not limited to the following steps:
101、星载基站的原主控卫星建立出切换选择的拍卖模型;101. The original master satellite of the on-board base station establishes an auction model for handover selection;
在本发明实施例中,在进行切换前,星载基站连接有一个原主控卫星,该原主控卫星将按照原主控卫星收到的切换测量参数,建立出切换选择的拍卖模型。In the embodiment of the present invention, before the handover, the onboard base station is connected to an original master satellite, and the original master satellite will establish an auction model for handover selection according to the handover measurement parameters received by the original master satellite.
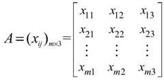
首先根据切换测量参数建立切换决策矩阵,将各切换测量参数作为影响切换决策的属性值,对于上述的3个切换决策属性,在存在m个备选主控卫星的情况下,初始的决策矩阵A如下所示:Firstly, a handover decision matrix is established according to the handover measurement parameters, and each handover measurement parameter is used as an attribute value that affects the handover decision. For the above three handover decision attributes, in the case of m candidate master satellites, the initial decision matrix A As follows:
其中,xij表示第i个备选主控卫星中的第j个属性的初始决策指标值。Among them, xij represents the initial decision-making index value of the j-th attribute in the i-th candidate main control satellite.
由于各切换测量参数在量纲和数量级上具有差异性,所以无法直接作为影响切换判决的属性值,需要对所有测量参数进行归一化处理,本发明采用极差变换法对切换测量参数进行处理。Since each handover measurement parameter has differences in dimension and order of magnitude, it cannot be directly used as an attribute value affecting the handover decision. All measurement parameters need to be normalized. The present invention uses the range transformation method to process the handover measurement parameters. .
极差变换法的基本过程是对数据进行归一化处理时,将各属性的指标值统一映射到区间[0,1]上,也就是说最好的属性指标值为1,最差的属性指标值为0。The basic process of the range transformation method is to uniformly map the index values of each attribute to the interval [0,1] when normalizing the data, that is to say, the best attribute index value is 1, and the worst attribute index value is 1. The indicator value is 0.
对于效益型属性的处理方式如下:The handling of benefit attributes is as follows:
对于成本型属性的处理方式如下:The handling of cost attributes is as follows:
其中,in,
效益型属性即正向指标表现取值越大越好,如导频信号强度P、链路生存时间T,成本型属性即负向指标投入成本越大越不利表现为取值越小越好,如主控卫星的信道利用率α。The benefit attribute means that the larger the value of the positive index, the better, such as the pilot signal strength P and the link survival time T, and the cost attribute is the negative index. The channel utilization α of the control satellite.
经过对切换判决属性进行的归一化处理,得到归一化决策矩阵B如下所示:After normalizing the handover decision attributes, the normalized decision matrix B is obtained as follows:
然后,计算切换决策属性的权重值,不同属性对于切换选择的影响程度是不同的,因此需要对不同的属性分配不同的权重系数,才能对切换决策属性的重要程度进行有效区分。Then, the weight values of the handover decision attributes are calculated. Different attributes have different influences on the handover selection. Therefore, different weight coefficients need to be assigned to different attributes to effectively distinguish the importance of the handover decision attributes.
具体的,考虑融合网络中每个主控卫星所处状态的不同,本发明基于离差最大化算法来确定影响切换选择的每个决策属性的权重。Specifically, considering the different states of each master satellite in the fusion network, the present invention determines the weight of each decision attribute that affects handover selection based on a dispersion maximization algorithm.
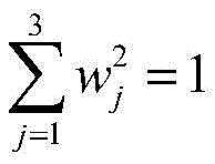
首先,设加权矩阵为C={w1,w2,w3},其中,wj表示每个切换决策属性的权重。对于归一化决策矩阵B经过权重向量加权,得到加权决策矩阵Ω=[wjrij]:First, let the weighting matrix be C={w1 ,w2 ,w3 }, wherewj represents the weight of each switching decision attribute. The normalized decision matrix B is weighted by the weight vector to obtain the weighted decision matrix Ω=[wj rij ]:
然后基于离差最大化的基本思想,若对第j个决策属性的属性值存在很大差异,则该属性应予以高度重视,分配较大的权重值,由此可得离差最大化法确定权重的目标函数:Then, based on the basic idea of maximizing dispersion, if there is a big difference in the attribute value of the jth decision attribute, this attribute should be highly valued and a larger weight value should be assigned. The objective function of the weights:
通过拉格朗日函数求上式的最优解,可得:Using the Lagrangian function to find the optimal solution of the above equation, we can get:
由上式可得,为目标函数的唯一最优解。将wj归一化处理:It can be obtained from the above formula, is the unique optimal solution of the objective function. Normalize wj :
最后得到满足条件的决策属性权重值:finally meet the conditions The decision attribute weight value of :
针对如图1所示的星载基站的切换选择场景,本发明根据备选主控卫星的切换决策属性及其权重值,引入博弈论中的拍卖模型,来解决星载基站如何在多个备选主控卫星之间进行切换选择的问题。首先,给出以下定义:Aiming at the handover selection scenario of the spaceborne base station as shown in FIG. 1, the present invention introduces the auction model in game theory according to the handover decision attributes and weight values of the candidate master satellites to solve how the spaceborne base station can be used in multiple standby base stations. The problem of switching between selected master satellites. First, the following definitions are given:
拍卖方:即接入星载基站的原主控卫星;Auctioneer: the original main control satellite connected to the onboard base station;
竞拍方:即待切换的星载基站周围可视的相邻主控卫星;Bidder: the adjacent main control satellites visible around the onboard base station to be switched;
拍卖商品:即运动到主控卫星重叠覆盖区域的星载基站;Auction goods: that is, the on-board base station that moves to the overlapping coverage area of the main control satellite;
买受方:即最终选择的切换目标主控卫星。Buyer: the final selected handover target master satellite.
星载基站运动到卫星网络重叠覆盖的区域,当原主控卫星检测到多个可切换的主控卫星,并且达到切换触发条件时,便向他们发起拍卖过程,此时,原主控卫星成为拍卖方,对于m个符合星载基站切换的主控卫星作为竞拍方参与竞拍,定义备选主控卫星i作为竞拍方的成本函数为:The satellite-borne base station moves to the overlapping coverage area of the satellite network. When the original master satellite detects multiple switchable master satellites and reaches the switching trigger condition, it initiates an auction process to them. At this time, the original master satellite becomes the The auctioneer, for m master satellites that meet the switching of on-board base stations as bidders to participate in the auction, define the cost function of the candidate master satellite i as the bidder as:
其中,rij为备选主控卫星i的第j个决策属性值,wj是第j个决策属性值的权重,通过上述离差最大化算法进行计算求得。Among them, rij is the jth decision attribute value of the candidate main control satellite i, and wj is the weight of the jth decision attribute value, which is calculated and obtained by the above dispersion maximization algorithm.
根据成本函数的定义,影响切换选择的决策属性值越大,拍卖的星载基站对于竞拍方的价值就越大,主控卫星的成本就越高,主控卫星将根据成本函数进行报价,因此,此时给出的投标价格就更具竞争力。According to the definition of the cost function, the larger the value of the decision-making attribute affecting the handover selection, the greater the value of the auctioned satellite base station to the bidder, and the higher the cost of the main control satellite. The main control satellite will make an offer according to the cost function, so , the bid price given at this time is more competitive.
本发明使用VCG准则设计切换选择的拍卖机制,VCG机制能够使得“投标真实估价”的策略是所有投标者的占优策略。参与竞拍的主控卫星根据自身网络属性值给出合适的估价,并以此作为竞标价,定义bi为备选主控卫星i作为竞拍方的出价,则竞拍者的最优策略就是真实报告自己的估价参与竞标,即bi=ci。The present invention uses the VCG criterion to design an auction mechanism for switching selection, and the VCG mechanism can make the strategy of "bidding true valuation" the dominant strategy of all bidders. The main control satellites participating in the auction give an appropriate estimate according to their own network attribute values, and use this as the bidding price, and define bi as the bid of the alternative main control satellite i as the bidder's bid, then the bidder's optimal strategy is the true report Participate in the bidding with your own valuation, iebi =ci .
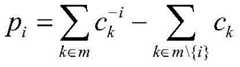
在星载基站可切换的主控卫星中,根据参与竞拍的主控卫星给出的竞标价,选择竞标价最高的主控卫星赢得竞拍。为保证原主控卫星以及备选的主控卫星愿意参与到该拍卖机制中并且按照真实估价进行竞拍,本发明根据VCG准则设计买受方的支付如下:Among the main control satellites with switchable on-board base stations, according to the bidding price given by the main control satellites participating in the auction, the main control satellite with the highest bid price is selected to win the auction. In order to ensure that the original main control satellite and the alternative main control satellite are willing to participate in the auction mechanism and bid according to the real evaluation price, the present invention designs the payment of the buyer according to the VCG criterion as follows:
其中第一项表示备选主控卫星i不参与拍卖时竞拍方的竞价和,第二项表示备选主控卫星i参与拍卖时其他竞拍方的竞价和。但是,当待切换的星载基站只有一个可切换的主控卫星时,按照该方式计算得到的pi的值为负,不满足拍卖机制的激励兼容的特性。为满足拍卖机制的这一特性,定义在该情况下pi值等于ci,即:The first item represents the bid sum of the bidders when the candidate main control satellite i does not participate in the auction, and the second item represents the bid sum of other bidders when the candidate main control satellite i participates in the auction. However, when the on-board base station to be switched has only one switchable master satellite, the value ofpi calculated in this way is negative, which does not satisfy the incentive compatibility characteristic of the auction mechanism. To satisfy this property of the auction mechanism, it is defined that the value ofpi is equal toci in this case, namely:
本发明所述的拍卖机制采用的是VCG支付准则,其机制设计是满足激励相容性以及个人理性的。The auction mechanism of the present invention adopts the VCG payment criterion, and its mechanism design satisfies incentive compatibility and individual rationality.
在一些实施例中,在建立出进行切换选择的拍卖模型前还可以包括步骤100、切换测量以及切换触发判断。In some embodiments, step 100 , handover measurement and handover trigger judgment may be further included before the auction model for handover selection is established.
具体的,切换测量阶段主要为切换选择提供数据支撑,地面终端切换主要以移动终端的接受信号强度作为测量对象,对应到卫星场景,将星载基站接受到的周围主控卫星发出的导频信号强度作为切换测量参数,同时为了实现星间资源的负载均衡和减少切换发生频率,将主控卫星的信道利用率和星间链路生存时间也纳入测量对象。Specifically, the handover measurement stage mainly provides data support for handover selection. The ground terminal handover mainly takes the received signal strength of the mobile terminal as the measurement object, corresponding to the satellite scene, and uses the pilot signal sent by the surrounding master satellites received by the onboard base station. The strength is used as a handover measurement parameter, and in order to achieve load balancing of inter-satellite resources and reduce the frequency of handovers, the channel utilization of the master satellite and the inter-satellite link lifetime are also included in the measurement objects.
图3给出了本发明优选实施例中的切换触发判断流程图,如图3所示,所述切换触发判断流程包括:Fig. 3 shows the handover trigger judgment flow chart in the preferred embodiment of the present invention. As shown in Fig. 3, the handover trigger judgment flow includes:
1001、星载基站根据测量配置进行切换测量,并周期性地生成测量数据;1001. The onboard base station performs handover measurement according to the measurement configuration, and periodically generates measurement data;
1002、将所述测量数据通过星间链路发送到原主控卫星;1002. Send the measurement data to the original master satellite through an inter-satellite link;
1003、所述原主控卫星通过星载基站的测量数据和自身的测量数据结果,基于切换触发策略执行切换触发判断;1003. The original main control satellite executes the handover trigger judgment based on the handover trigger strategy through the measurement data of the on-board base station and its own measurement data result;
1004、当触发生效时则进入步骤101,并建立切换选择的拍卖模型,否则不执行切换。1004. When the trigger takes effect, go to step 101, and establish an auction model for switching selection, otherwise, do not perform switching.
其中,所述切换测量信息包括星载基站可视范围内的主控卫星发出的导频信号强度P,与可视范围内的主控卫星星间链路生存时间T以及主控卫星自身的信道利用率α。The handover measurement information includes the pilot signal strength P sent by the main control satellite within the visible range of the onboard base station, the lifetime T of the inter-satellite link between the main control satellite and the channel of the main control satellite within the visible range. Utilization α.
图4是本发明实施例中星载基站与主控卫星的切换测量过程示意图,如图4所示,导频信号强度的测量在星载基站上完成,星载基站需要向主控卫星周期性报告测量信息,主控卫星同时测量与星载基站的星间链路生存时间以及自身信道利用率并汇总测量数据,从而基于测量数据进行切换判决。FIG. 4 is a schematic diagram of the handover measurement process between the on-board base station and the main control satellite in the embodiment of the present invention. As shown in FIG. 4 , the measurement of the pilot signal strength is completed on the on-board base station, and the on-board base station needs to periodically report to the main control satellite. The measurement information is reported, the main control satellite simultaneously measures the inter-satellite link lifetime with the on-board base station and its own channel utilization, and summarizes the measurement data, so as to make a handover decision based on the measurement data.
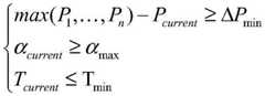
具体的,切换触发过程决定切换过程何时发生,基于测量汇总数据,导频信号强度反映了星间距离远近,信道利用率反映了主控卫星负载情况,星间链路生存时间决定了主控卫星的剩余服务时间,本发明提出的切换触发策略同时考虑星间距离、卫星负载以及链路生存时间,若当前服务主控卫星的导频信号功率低于门限值或者主控卫星的信道利用率低于门限值或者链路生存时间低于门限值时,星间切换被触发。因此,基于上述测量参数的切换触发策略包括Specifically, the handover triggering process determines when the handover process occurs. Based on the measurement summary data, the pilot signal strength reflects the distance between satellites, the channel utilization reflects the load of the main control satellite, and the inter-satellite link survival time determines the main control satellite. The remaining service time of the satellite, the handover trigger strategy proposed by the present invention simultaneously considers the inter-satellite distance, satellite load and link survival time, if the pilot signal power of the current serving main control satellite is lower than the threshold value or the channel utilization of the main control satellite When the rate is lower than the threshold value or the link lifetime is lower than the threshold value, the inter-satellite handover is triggered. Therefore, the handover triggering strategy based on the above measurement parameters includes
其中,Pi是星载基站可视的第i颗主控卫星发出的导频信号功率,Pcurrent是星载基站当前连接的主控卫星导频信号功率,ΔPmin是切换触发的门限导频信号功率,αcurrent是当前连接主控卫星的信道利用率,αmax是主控卫星的最大门限信道利用率,Tcurrent是星载基站与当前连接主控卫星的星间链路生存时间,Tmin是星间链路生存时间最小门限值。Among them, Pi is the pilot signal power of the i-th master satellite visible to the on-board base station, Pcurrent is the pilot signal power of the master satellite currently connected to the on-board base station, and ΔPmin is the threshold pilot frequency triggered by handover Signal power, αcurrent is the channel utilization rate currently connected to the main control satellite, αmax is the maximum threshold channel utilization rate of the main control satellite, Tcurrent is the lifetime of the inter-satellite link between the onboard base station and the currently connected main control satellite, Tmin is the minimum threshold value of the lifetime of the inter-satellite link.
102、所述原主控卫星向根据拍卖模型选择出的目标主控卫星发起切换申请;102. The original main control satellite initiates a handover application to the target main control satellite selected according to the auction model;
在本实施例中,根据建立的模型进入拍卖流程,在星载基站可视的备选主控卫星中选出最优的目标主控卫星;原主控卫星则向选择出的最优的目标主控卫星发起切换申请。In this embodiment, the auction process is entered according to the established model, and the optimal target main control satellite is selected from the candidate main control satellites visible to the onboard base station; the original main control satellite is directed to the selected optimal target. The master satellite initiates a handover application.
图5是本发明实施例中基于拍卖模型的切换选择算法的流程图,如图5所示,所述切换选择过程包括:FIG. 5 is a flowchart of a handover selection algorithm based on an auction model in an embodiment of the present invention. As shown in FIG. 5 , the handover selection process includes:
1021、满足切换触发条件,进入拍卖流程;1021. The switching trigger condition is met, and the auction process is entered;
其中,当星载基站运动到网络重叠覆盖区域,原主控卫星基于切换测量参数判断网络环境满足切换触发条件。Among them, when the satellite-borne base station moves to the overlapping coverage area of the network, the original master satellite determines that the network environment satisfies the handover trigger condition based on the handover measurement parameters.
1022、拍卖方(原主控卫星)检测到多个竞拍方(备选主控卫星);1022. The auctioneer (original main control satellite) detects multiple bidders (alternate main control satellites);
在这个过程中,原主控卫星通过搜索发现当前卫星移动子网中可提供切换的m个备选主控卫星,这些m个备选主控卫星都可以作为竞拍方进行拍卖;当然,在一些优选实施例中,可以采用一些筛选方法剔除部分的备选主控卫星。In this process, the original main control satellite finds m candidate main control satellites that can provide handover in the current satellite mobile subnet through search, and these m candidate main control satellites can be auctioned as bidders; of course, in some In a preferred embodiment, some of the candidate master satellites may be eliminated by some screening methods.
在这个过程中,原主控卫星根据待切换星载基站的测量信息,提出对将要切换的主控卫星的网络要求(限制信息),具体表现为:目标主控卫星的导频信号强度,主控卫星与星载基站的星间链路生存时间以及主控卫星的信道利用率等。此时,原主控卫星成为拍卖方。In this process, the original main control satellite puts forward the network requirements (restriction information) for the main control satellite to be switched according to the measurement information of the onboard base station to be switched. The specific manifestations are: the pilot signal strength of the target main control satellite, the main The survival time of the inter-satellite link between the control satellite and the on-board base station and the channel utilization rate of the main control satellite, etc. At this point, the original master satellite becomes the auctioneer.
1023、拍卖方将所有拍卖信息发送给所有竞拍方;1023. The auctioneer sends all auction information to all bidders;
其中,拍卖方(原主控卫星)将拍卖信息发送给所有的m个符合切换条件的备选主控卫星。Among them, the auction party (the original main control satellite) sends the auction information to all m candidate main control satellites that meet the switching conditions.
1024、判断竞拍方是否收到消息;1024. Determine whether the bidder has received the message;
1025、若备选主控卫星没有收到拍卖信息,则进入由定时器控制的等待过程,并返回步骤1023等待拍卖方下一次发送拍卖信息。1025. If the candidate master satellite does not receive the auction information, enter the waiting process controlled by the timer, and return to step 1023 to wait for the auction party to send the auction information next time.
1026、若备选主控卫星收到拍卖信息则进入竞拍环节,竞拍方根据成本函数出价并发送给拍卖方;1026. If the candidate main control satellite receives the auction information, it will enter the auction link, and the bidder will bid according to the cost function and send it to the auctioneer;
其中,备选主控卫星根据成本函数公式计算出进行本次切换的成本价格,将该消息再发送给拍卖方。此时的备选主控卫星成为竞拍方。Among them, the candidate main control satellite calculates the cost price for this handover according to the cost function formula, and then sends the message to the auctioneer. At this time, the candidate main control satellite becomes the bidder.
1027、选择报价最高的竞拍方作为切换目标并根据支付规则进行支付;1027. Select the bidder with the highest bid as the switching target and pay according to the payment rules;
其中,原主控卫星(拍卖方)收到来自备选主控卫星(竞拍方)的报价,选择报价最高的作为切换目标,并根据上述支付规则进行支付。Among them, the original main control satellite (the auctioneer) receives the quotation from the alternative main control satellite (bidder), selects the highest bid as the switching target, and pays according to the above payment rules.
支付完成中,原主控卫星与选定的目标主控卫星进入切换执行流程。When the payment is completed, the original master satellite and the selected target master satellite enter the handover execution process.
103、所述目标主控卫星分配资源,同时所述星载基站执行切换过程;103. The target master satellite allocates resources, while the onboard base station performs a handover process;
其中,原主控卫星向目标主控卫星发起切换申请后,目标主控卫星为允许的星载基站分配信道资源,并通过原主控卫星向星载基站发送切换请求消息,同时原主控卫星停止发送下行业务数据,暂存至原主控卫星存储器;星载基站接收切换请求,并停止发送基站上行业务数据,暂存至星载基站存储器,同时与目标主控卫星建立连接。Among them, after the original main control satellite initiates a handover application to the target main control satellite, the target main control satellite allocates channel resources to the allowed on-board base station, and sends a handover request message to the on-board base station through the original main control satellite. Stop sending downlink business data and temporarily store it in the original main control satellite memory; the onboard base station receives the handover request, stops sending the base station uplink business data, temporarily stores it in the spaceborne base station memory, and establishes a connection with the target main control satellite at the same time.
104、所述星载基站与主控卫星完成上下行的数据转发。104. The on-board base station and the main control satellite complete uplink and downlink data forwarding.
在该技术方案中,星载基站完成在目标主控卫星下的连接建立,向原主控卫星发送切换成功消息,同时将暂存的上行业务数据转发至目标主控卫星;原主控卫星接收到切换成功消息,释放与所述星载基站的连接资源,同时将原主控卫星侧余留的下行业务数据转发至目标主控卫星。In this technical solution, the onboard base station completes the connection establishment under the target main control satellite, sends a handover success message to the original main control satellite, and at the same time forwards the temporarily stored uplink service data to the target main control satellite; the original main control satellite receives the The handover success message releases the connection resources with the on-board base station, and at the same time forwards the remaining downlink service data on the original main control satellite side to the target main control satellite.
图6是本发明实施例中切换过程中的上下行业务数据转发流程图,如图6所示,所述数据转发流程包括:FIG. 6 is a flowchart of uplink and downlink service data forwarding in a handover process in an embodiment of the present invention. As shown in FIG. 6 , the data forwarding process includes:
1041、原主控卫星传递目标主控卫星切换请求,缓存下行业务数据;1041. The original master satellite transmits the target master satellite handover request, and caches downlink service data;
1042、星载基站接收切换请求,缓存上行业务数据;1042. The onboard base station receives the handover request and caches the uplink service data;
1043、星载基站切换成功,创建与目标主控卫星的数据转发隧道,转发切换过程中缓存的上行业务数据;1043. The on-board base station is successfully handed over, and a data forwarding tunnel with the target master satellite is created to forward the upstream service data buffered during the handover process;
1044、原主控卫星收到切换成功消息,创建与目标主控卫星的数据转发隧道,转发切换过程中缓存的下行业务数据;1044. The original main control satellite receives the handover success message, creates a data forwarding tunnel with the target main control satellite, and forwards the downlink service data buffered during the handover process;
1045、数据传输完毕,目标主控卫星关闭与星载基站和原主控卫星的数据转发隧道。1045. After the data transmission is completed, the target main control satellite closes the data forwarding tunnel with the onboard base station and the original main control satellite.
另一方面,为了实现本发明的面向星地融合网络的星载基站切换管理方法,本发明还提供一种面向星地融合网络的星载基站切换管理系统,基于5G核心网管理功能设计,如图7所示,所述系统包括:On the other hand, in order to implement the satellite-ground fusion network-oriented on-board base station handover management method of the present invention, the present invention also provides a satellite-ground fusion network-oriented satellite-borne base station handover management system, based on the 5G core network management function design, such as As shown in Figure 7, the system includes:
切换管理功能(HOMF),主要功能有对星载基站切换流程的管理、切换过程中状态转移维护、星载基站切换信息管理、与星载基站管理功能通信接口以及与用户面功能通信接口。切换管理模块主要负责对切换消息的具体处理实现。在切换过程中,保证星载基站的状态正确,处理流程完整,维护星载基站的切换信息。同时,在切换过程中会涉及到星载基站余留数据的转发,因此需要实现HOMF与UPF之间的接口交互;Handover management function (HOMF), the main functions include the management of the handover process of the spaceborne base station, the maintenance of state transition during the handover process, the management of the handover information of the spaceborne base station, the communication interface with the management function of the spaceborne base station and the communication interface with the user plane function. The handover management module is mainly responsible for the specific processing and realization of the handover message. During the handover process, it is ensured that the state of the spaceborne base station is correct, the processing flow is complete, and the handover information of the spaceborne base station is maintained. At the same time, the forwarding of the remaining data of the satellite base station will be involved in the handover process, so it is necessary to realize the interface interaction between the HOMF and the UPF;
星载基站管理功能(SGMF),主要功能是管理星载基站的接入和退出、与星载基站的连接保持以及切换控制面消息的处理与转发。SGMF基于星载基站存活列表维护当前连接的基站状态,用于管理基站信息。同时SGMF解析星载基站发送到主控卫星的切换消息并将其发送到HOMF进行处理以及将来自HOMF处理完的数据发送到星载基站或者发送到目的主控卫星;The spaceborne base station management function (SGMF), the main function is to manage the access and exit of the spaceborne base station, the connection maintenance with the spaceborne base station, and the processing and forwarding of handover control plane messages. The SGMF maintains the status of the currently connected base station based on the live list of the on-board base station, and is used to manage the base station information. At the same time, the SGMF parses the handover message sent by the onboard base station to the master satellite and sends it to the HOMF for processing, and sends the processed data from the HOMF to the onboard base station or to the destination master satellite;
改进的用户平面功能(UPF),基于5G用户平面功能进行修改,在承担原有5G用户面功能的同时,用于实现基站切换时的余留终端业务数据转发过程,在星载基站的切换过程中,有一部分终端上行业务数据已经发送到了星载基站,但此时星载基站正在与目的主控卫星建立通信链路,因此需要通过星间链路转发这部分数据到目的卫星,为了转发这部分数据,需要建立一个临时从星载基站到目的主控卫星的数据隧道。同时另一部下行业务数据需要从原主控卫星发送到星载基站,同样建立从原主控卫星到目的主控卫星的数据隧道进行转发。通过这一设计,有助于减少切换过程对星载基站下接入终端的影响,降低业务中断和网络丢包率。The improved user plane function (UPF) is modified based on the 5G user plane function. While assuming the original 5G user plane function, it is used to realize the remaining terminal service data forwarding process during base station handover, and the handover process of the spaceborne base station. Among them, some of the terminal uplink service data has been sent to the satellite base station, but at this time the satellite base station is establishing a communication link with the destination master satellite, so it is necessary to forward this part of the data to the destination satellite through the inter-satellite link. For some data, a temporary data tunnel needs to be established from the on-board base station to the destination master satellite. At the same time, another downlink service data needs to be sent from the original main control satellite to the onboard base station, and a data tunnel from the original main control satellite to the destination main control satellite is also established for forwarding. Through this design, it helps to reduce the impact of the handover process on the access terminal under the spaceborne base station, and reduces the service interruption and network packet loss rate.
在本发明实施例中,星载基站的原主控卫星建立出切换选择的拍卖模型需要星载基站管理功能(SGMF)与切换管理功能(HOMF)共同实现,星载基站管理功能(SGMF)根据测量配置进行切换测量,并周期性地生成测量数据,将所述测量数据通过星间链路发送到原主控卫星;切换管理功能(HOMF)基于切换触发策略执行切换触发判断,当触发生效时则建立切换选择的拍卖模型,否则不执行切换。同时,切换管理功能(HOMF)控制原主控卫星向根据拍卖模型选择出的目标主控卫星发起切换申请,所述目标主控卫星分配资源,同时所述星载基站执行切换过程;改进的用户平面功能(UPF)控制所述星载基站与主控卫星完成上下行的数据转发。In the embodiment of the present invention, the establishment of an auction model for handover selection by the original master satellite of the spaceborne base station requires the joint realization of the spaceborne base station management function (SGMF) and the handover management function (HOMF). The spaceborne base station management function (SGMF) is based on The measurement configuration performs handover measurement, and periodically generates measurement data, and sends the measurement data to the original master satellite through the inter-satellite link; the handover management function (HOMF) executes the handover trigger judgment based on the handover trigger policy, and when the trigger takes effect Then establish the auction model of the handover selection, otherwise the handover is not performed. At the same time, the handover management function (HOMF) controls the original main control satellite to initiate a handover application to the target main control satellite selected according to the auction model, the target main control satellite allocates resources, and the onboard base station performs the handover process; the improved user The plane function (UPF) controls the on-board base station and the master satellite to complete uplink and downlink data forwarding.
在本发明的描述中,需要理解的是,术语“同轴”、“底部”、“一端”、“顶部”、“中部”、“另一端”、“上”、“一侧”、“顶部”、“内”、“外”、“前部”、“中央”、“两端”等指示的方位或位置关系为基于附图所示的方位或位置关系,仅是为了便于描述本发明和简化描述,而不是指示或暗示所指的装置或元件必须具有特定的方位、以特定的方位构造和操作,因此不能理解为对本发明的限制。In the description of the present invention, it should be understood that the terms "coaxial", "bottom", "one end", "top", "middle", "the other end", "upper", "one side", "top" "," "inside", "outside", "front", "center", "both ends", etc. indicate the orientation or positional relationship based on the orientation or positional relationship shown in the accompanying drawings, only for the convenience of describing the present invention and The description is simplified rather than indicating or implying that the device or element referred to must have a particular orientation, be constructed and operate in a particular orientation, and therefore should not be construed as limiting the invention.
在本发明中,除非另有明确的规定和限定,术语“安装”、“设置”、“连接”、“固定”、“旋转”等术语应做广义理解,例如,可以是固定连接,也可以是可拆卸连接,或成一体;可以是机械连接,也可以是电连接;可以是直接相连,也可以通过中间媒介间接相连,可以是两个元件内部的连通或两个元件的相互作用关系,除非另有明确的限定,对于本领域的普通技术人员而言,可以根据具体情况理解上述术语在本发明中的具体含义。In the present invention, unless otherwise expressly specified and limited, terms such as "installation", "arrangement", "connection", "fixation" and "rotation" should be understood in a broad sense, for example, it may be a fixed connection or a It can be a detachable connection, or integrated; it can be a mechanical connection or an electrical connection; it can be directly connected or indirectly connected through an intermediate medium, it can be the internal connection of two elements or the interaction relationship between the two elements, Unless otherwise clearly defined, those of ordinary skill in the art can understand the specific meanings of the above terms in the present invention according to specific situations.
尽管已经示出和描述了本发明的实施例,对于本领域的普通技术人员而言,可以理解在不脱离本发明的原理和精神的情况下可以对这些实施例进行多种变化、修改、替换和变型,本发明的范围由所附权利要求及其等同物限定。Although embodiments of the present invention have been shown and described, it will be understood by those skilled in the art that various changes, modifications, and substitutions can be made in these embodiments without departing from the principle and spirit of the invention and modifications, the scope of the present invention is defined by the appended claims and their equivalents.
| Application Number | Priority Date | Filing Date | Title |
|---|---|---|---|
| CN202110102616.XACN112887012B (en) | 2021-01-26 | 2021-01-26 | Satellite-ground converged network-oriented satellite-borne base station switching management method |
| Application Number | Priority Date | Filing Date | Title |
|---|---|---|---|
| CN202110102616.XACN112887012B (en) | 2021-01-26 | 2021-01-26 | Satellite-ground converged network-oriented satellite-borne base station switching management method |
| Publication Number | Publication Date |
|---|---|
| CN112887012A CN112887012A (en) | 2021-06-01 |
| CN112887012Btrue CN112887012B (en) | 2022-07-12 |
| Application Number | Title | Priority Date | Filing Date |
|---|---|---|---|
| CN202110102616.XAActiveCN112887012B (en) | 2021-01-26 | 2021-01-26 | Satellite-ground converged network-oriented satellite-borne base station switching management method |
| Country | Link |
|---|---|
| CN (1) | CN112887012B (en) |
| Publication number | Priority date | Publication date | Assignee | Title |
|---|---|---|---|---|
| CN113347674B (en)* | 2021-06-04 | 2022-03-18 | 广州爱浦路网络技术有限公司 | Ground and satellite integrated link switching method and system |
| CN113691598B (en)* | 2021-08-15 | 2022-11-25 | 南京理工大学 | Cooperative caching method for satellite-ground converged network |
| CN113852407B (en)* | 2021-09-26 | 2023-12-29 | 中国电子科技集团公司第五十四研究所 | Satellite communication system based on 5G lan architecture and terminal switching method |
| CN113853000B (en)* | 2021-09-27 | 2023-12-29 | 中国电子科技集团公司第五十四研究所 | Inter-satellite switching method for low-orbit satellite system |
| Publication number | Priority date | Publication date | Assignee | Title |
|---|---|---|---|---|
| EP3525009A2 (en)* | 2017-12-20 | 2019-08-14 | Shanghai Astronomical Observatory, Chinese Academy of Sciences | Satellite positioning method and satellite positioning system |
| CN110972217A (en)* | 2018-09-30 | 2020-04-07 | 电信科学技术研究院有限公司 | Satellite base station access control method, device and readable storage medium |
| CN111356185A (en)* | 2018-12-21 | 2020-06-30 | 电信科学技术研究院有限公司 | Switching control method and equipment |
| WO2020192416A1 (en)* | 2019-03-26 | 2020-10-01 | 华为技术有限公司 | Switching method and apparatus in satellite communication |
| Publication number | Priority date | Publication date | Assignee | Title |
|---|---|---|---|---|
| CN111356192B (en)* | 2018-12-21 | 2021-10-29 | 大唐移动通信设备有限公司 | Switching control method and equipment |
| CN112235838B (en)* | 2020-08-25 | 2022-10-18 | 国网浙江省电力有限公司绍兴供电公司 | Multi-mode terminal self-adaptive switching method in power wireless heterogeneous network |
| Publication number | Priority date | Publication date | Assignee | Title |
|---|---|---|---|---|
| EP3525009A2 (en)* | 2017-12-20 | 2019-08-14 | Shanghai Astronomical Observatory, Chinese Academy of Sciences | Satellite positioning method and satellite positioning system |
| CN110972217A (en)* | 2018-09-30 | 2020-04-07 | 电信科学技术研究院有限公司 | Satellite base station access control method, device and readable storage medium |
| CN111356185A (en)* | 2018-12-21 | 2020-06-30 | 电信科学技术研究院有限公司 | Switching control method and equipment |
| WO2020192416A1 (en)* | 2019-03-26 | 2020-10-01 | 华为技术有限公司 | Switching method and apparatus in satellite communication |
| Title |
|---|
| 天地一体化信息网络发展与展望;汪春霆;翟立君;徐晓帆;《无线电通信技术》;20201031;全文* |
| Publication number | Publication date |
|---|---|
| CN112887012A (en) | 2021-06-01 |
| Publication | Publication Date | Title |
|---|---|---|
| CN112887012B (en) | Satellite-ground converged network-oriented satellite-borne base station switching management method | |
| CN112333796B (en) | Multi-user switching method based on evolutionary game in software defined satellite network system | |
| US11765645B2 (en) | Method and system for multi-access edge computing (MEC) selection and load balancing | |
| CN112702772B (en) | A terminal handover method for satellite-ground fusion network | |
| CN113038387B (en) | Switching judgment method based on Q learning in low orbit satellite network | |
| WO2023040022A1 (en) | Computing and network collaboration-based distributed computation offloading method in random network | |
| CN103987103B (en) | A kind of vehicle self-organizing network route selection method based on game theory | |
| Yang | A task offloading solution for internet of vehicles using combination auction matching model based on mobile edge computing | |
| CN112566142A (en) | QoS guarantee-based LEO satellite network reliability routing method | |
| CN116980028A (en) | User terminal network switching access method based on star-ground fusion network | |
| CN115173926B (en) | Communication method and communication system for satellite-earth fusion relay network based on auction mechanism | |
| CN113422636A (en) | On-satellite routing optimization method | |
| Liu et al. | A stateless design of satellite–terrestrial integrated core network and its deployment strategy | |
| Alsheyab et al. | Near-optimal resource allocation algorithms for 5G+ cellular networks | |
| CN119676783A (en) | Vehicle network switching method, device and electronic equipment in vehicle networking environment | |
| Liu et al. | Design and analysis of cooperative multicast-unicast transmission scheme in hybrid satellite-terrestrial networks | |
| Cai et al. | Mobile tasks in STIVNs: a multi-hop-transmission assisted on-demand task offloading scheme | |
| CN117221948A (en) | Network selection and power control method oriented to dense scene | |
| Chowdhury | Superactive: a priority, latency, and SLA-aware resource management scheme for software defined space-air-ground integrated networks | |
| CN112203309B (en) | Joint task unloading and caching method based on server cooperation | |
| Shouyao et al. | A load balance local LEO satellite network AP selection strategy | |
| Tahir et al. | Communication-aware consistent edge selection for mobile users and autonomous vehicles | |
| Wu et al. | Energy‐efficient link scheduling in time‐variant dual‐hop 60GHz wireless networks | |
| CN114116233A (en) | Edge server configuration method and system based on AP clustering algorithm and multi-objective optimization algorithm | |
| Zhao et al. | Graph Reinforcement Learning Based Multi-Hotspot Region UAV Dynamic Scheduling in Mobile Edge Computing |
| Date | Code | Title | Description |
|---|---|---|---|
| PB01 | Publication | ||
| PB01 | Publication | ||
| SE01 | Entry into force of request for substantive examination | ||
| SE01 | Entry into force of request for substantive examination | ||
| GR01 | Patent grant | ||
| GR01 | Patent grant |