Movatterモバイル変換


[0]ホーム

URL:


CN112851747A - Method for synthesizing quaternary ammonium base modified polypeptide - Google Patents

Method for synthesizing quaternary ammonium base modified polypeptide
Download PDF

Info

Publication number
CN112851747A
CN112851747ACN201911101870.7ACN201911101870ACN112851747ACN 112851747 ACN112851747 ACN 112851747ACN 201911101870 ACN201911101870 ACN 201911101870ACN 112851747 ACN112851747 ACN 112851747A
Authority
CN
China
Prior art keywords
quaternary ammonium
resin
polypeptide
modified polypeptide
base modified
Prior art date
Legal status (The legal status is an assumption and is not a legal conclusion. Google has not performed a legal analysis and makes no representation as to the accuracy of the status listed.)
Granted
Application number
CN201911101870.7A
Other languages
Chinese (zh)
Other versions
CN112851747B (en
Inventor
江峰
熊战魁
尹传龙
陶安进
余品香
Current Assignee (The listed assignees may be inaccurate. Google has not performed a legal analysis and makes no representation or warranty as to the accuracy of the list.)
Hybio Pharmaceutical Co Ltd
Original Assignee
Hybio Pharmaceutical Co Ltd
Priority date (The priority date is an assumption and is not a legal conclusion. Google has not performed a legal analysis and makes no representation as to the accuracy of the date listed.)
Filing date
Publication date
Application filed by Hybio Pharmaceutical Co LtdfiledCriticalHybio Pharmaceutical Co Ltd
Priority to CN201911101870.7ApriorityCriticalpatent/CN112851747B/en
Publication of CN112851747ApublicationCriticalpatent/CN112851747A/en
Application grantedgrantedCritical
Publication of CN112851747BpublicationCriticalpatent/CN112851747B/en
Activelegal-statusCriticalCurrent
Anticipated expirationlegal-statusCritical

Links

Images

Classifications

Landscapes

Abstract

The application belongs to the technical field of polypeptide synthesis and discloses a method for synthesizing quaternary ammonium base modified polypeptide. The synthesis method of the invention prepares polypeptide-solid phase resin with naked amino groups by a solid phase synthesis method; coupling quaternary ammonium hydroxide containing a quaternary ammonium structure or a derivative of the quaternary ammonium hydroxide with polypeptide-solid phase resin with naked amino to obtain quaternary ammonium hydroxide modified polypeptide resin; and (3) cracking the quaternary ammonium base modified polypeptide resin to obtain the quaternary ammonium base modified polypeptide crude peptide, and purifying to obtain the quaternary ammonium base modified polypeptide refined peptide. The synthesis method has the characteristics of high synthesis yield, mild synthesis conditions, simple process, easily obtained raw materials, stable process and the like, is suitable for large-scale industrial production of the quaternary ammonium base modified polypeptide, and the prepared quaternary ammonium base modified polypeptide has high purity and low impurity content and has wide application prospect in the industrial or medical field.

Description

Method for synthesizing quaternary ammonium base modified polypeptide
Technical Field
The invention belongs to the technical field of polypeptide synthesis, and particularly relates to a method for synthesizing a quaternary ammonium base modified polypeptide.
Background
Quaternary ammonium bases are a class of quaternary ammonium (-N) -containing bases+(CH3)3) The organic alkali with the structure, wherein carboxyl terminal (-COOH) is also present in molecules such as betaine, L-carnitine and the like, so that the molecules have the characteristic of two ions with different charges.
Substances with zwitterionic characteristics mostly have the characteristics of surfactants, and generally have the functions of washing, emulsifying, sterilizing and bacteriostasis in the fields of cosmetics and medicines. The positive charge end in the zwitterion can change the permeability of cell walls to achieve the effects of inhibiting and killing bacteria by adsorbing the zwitterion on the surface of a cell membrane of the negatively charged bacteria.
Under some conditions proteins or polypeptides readily form polymerization, and their low solubility in some organic solvents can create difficulties for their use in industrial or medical fields. In 2008, Xiao et al found that chemical modification of protein or polypeptide by small-molecule betaine (betaine) can increase protein solubility and prevent polypeptide polymerization for the first time. The solubility of the protein is obviously improved by carrying out betaine chemical modification on the N end of the protein. The research result provides a brand-new small molecule modification method for improving the enzyme solubility, and provides a new method for solving the application problem that the low solubility of protein or polypeptide is not beneficial to the industrial or medical field.
Bioconjugate chem.2008,19(6), pp 1113-1118 reported a method for modifying N-terminal cysteine polypeptide by thioesterification of betaine, but the raw materials used in the method are not commercialized and are not easily available. US5958886 reports a series of compounds for modifying L-carnitine with polypeptide, but the synthesis method of L-carnitine modified with polypeptide is not disclosed. EP0514359B1 provides a method for modifying the N end of amino acid by acetyl L-carnitine in a liquid phase, but the synthesis method has longer reaction time and more complicated separation and purification after reaction.
Disclosure of Invention
In view of the above, the present invention provides a method for synthesizing quaternary ammonium hydroxide modified polypeptide derivatives on a solid phase resin, which is easy to operate.
In order to realize the purpose of the invention, the invention adopts the following technical scheme:
a method for synthesizing a quaternary ammonium base modified polypeptide comprises the following steps:
1) preparing polypeptide-solid phase resin with naked amino groups by a solid phase synthesis method;
2) coupling quaternary ammonium hydroxide containing a quaternary ammonium structure or a derivative of the quaternary ammonium hydroxide with polypeptide-solid phase resin with naked amino to obtain quaternary ammonium hydroxide modified polypeptide resin;
3) and (3) cracking the quaternary ammonium base modified polypeptide resin to obtain the quaternary ammonium base modified polypeptide crude peptide, and purifying to obtain the quaternary ammonium base modified polypeptide refined peptide.
Further, the solid-phase synthesis in the step 1) is an Fmoc/tBu solid-phase synthesis method, and the carrier resin is any one of Wang resin, Rink Amide-MBHA resin, Rink Amide resin or Rink Amide-AM resin.
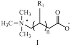
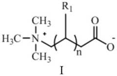
Further, the quaternary ammonium derivative in the step 2) has a structure shown in a formula I,
Figure BDA0002270110140000021
wherein n is 0, 1, R1H, OH or a saturated or unsaturated fatty acid containing 2 to 18 carbon atoms.
Further, in the step 2), the quaternary ammonium derivatives are L-carnitine, betaine, palmitoyl carnitine, lauroyl carnitine and acetyl L-carnitine.
Further, the molar ratio of the raw materials of the quaternary ammonium hydroxide and the quaternary ammonium hydroxide derivatives in the step 2) to the polypeptide is (1-8): 1.
further, the solvent for the coupling reaction in the step 2) is a mixed solution of any one or more of DMF, NMP, dichloromethane and DMSO in any proportion.
Further, a coupling agent for the coupling reaction in the step 2) is DIPEA + A + B or DIC + A, wherein A is HOBT or HOAT, and B is any one of PyBOP, PyAOP, HATU, HBTU or TBTU.
Further, the reaction temperature of the coupling reaction in the step 2) is 20-30 ℃, and the reaction time is 1-4 h.
Further, the lysis solution obtained in the step 3) is a mixture of more than two of TFA, H2O, PhOMe and TIS.
Further, the purification in the step 3) is reverse phase high performance liquid chromatography purification.
According to the technical scheme, the synthesis method of the quaternary ammonium base modified polypeptide prepares polypeptide-solid phase resin with naked amino groups by a solid phase synthesis method; coupling quaternary ammonium hydroxide containing a quaternary ammonium structure or a derivative of the quaternary ammonium hydroxide with polypeptide-solid phase resin with naked amino to obtain quaternary ammonium hydroxide modified polypeptide resin; and (3) cracking the quaternary ammonium base modified polypeptide resin to obtain the quaternary ammonium base modified polypeptide crude peptide, and purifying to obtain the quaternary ammonium base modified polypeptide refined peptide. The synthesis method has the characteristics of high synthesis yield, mild synthesis conditions, simple process, easily available raw materials, environmental friendliness, stable process and the like, is suitable for large-scale industrial production of the quaternary ammonium base modified polypeptide, and the prepared quaternary ammonium base modified polypeptide has high purity and low impurity content and has wide application prospect in the industrial or medical field.
Drawings
In order to more clearly illustrate the embodiments of the present invention or the technical solutions in the prior art, the drawings used in the description of the embodiments or the prior art will be briefly described below.
FIG. 1 shows a synthesis scheme for the synthesis method according to the invention;
FIG. 2 shows example 1 beta-GIACL-CONH2A crude peptide chromatogram;
FIG. 3 shows example 1 beta-GIACL-CONH2A chromatogram of the semen peptide;
FIG. 4 shows example 1 beta-GIACL-CONH2Mass spectrogram;
FIG. 5 shows example 2L-carnitine-IIGAC-CONH2A crude peptide chromatogram;
FIG. 6 shows example 2L-carnitine-IIGAC-CONH2A chromatogram of the semen peptide;
FIG. 7 shows example 2L-carnitine-IIGAC-CONH2Mass spectrogram;
FIG. 8 shows a chromatogram of Palmitoyl-L-carnitine-LCQATL-COOH of example 3;
FIG. 9 shows the mass spectrum of Palmitoyl-L-carnitine-LCQATL-COOH of example 3.
Detailed Description
The invention discloses a method for synthesizing quaternary ammonium base modified polypeptide. Those skilled in the art can modify the process parameters appropriately to achieve the desired results with reference to the disclosure herein. It is expressly intended that all such similar substitutes and modifications which would be obvious to one skilled in the art are deemed to be included in the invention. While the methods and products of the present invention have been described in terms of preferred embodiments, it will be apparent to those of ordinary skill in the art that variations and modifications of the methods described herein, as well as other suitable variations and combinations, may be made to implement and use the techniques of the present invention without departing from the spirit and scope of the invention.
In order to realize the purpose of the invention, the invention adopts the following technical scheme:
a method for synthesizing a quaternary ammonium base modified polypeptide comprises the following steps:
1) preparing polypeptide-solid phase resin with naked amino groups by a solid phase synthesis method;
2) coupling quaternary ammonium hydroxide containing a quaternary ammonium structure or a derivative of the quaternary ammonium hydroxide with polypeptide-solid phase resin with naked amino to obtain quaternary ammonium hydroxide modified polypeptide resin;
3) and (3) cracking the quaternary ammonium base modified polypeptide resin to obtain the quaternary ammonium base modified polypeptide crude peptide, and purifying to obtain the quaternary ammonium base modified polypeptide refined peptide.
The synthetic route of the synthetic method of the invention is shown in figure 1.
Further, the solid-phase synthesis in the step 1) is an Fmoc/tBu solid-phase synthesis method, and the carrier resin is any one of Wang resin, Rink Amide-MBHA resin, Rink Amide resin or Rink Amide-AM resin.
In some embodiments, the polypeptide-solid phase resin with naked amino groups is prepared by Fmoc/tBu solid phase synthesis using Rink Amide-AM resin as a carrier resin.
Further, the quaternary ammonium derivative in the step 2) has a structure shown in a formula I,
Figure BDA0002270110140000041
wherein n is 0, 1, R1H, OH or a saturated or unsaturated fatty acid containing 2 to 18 carbon atoms.
In some embodiments, n ═ 0, R in the quaternary ammonium derivatives1The structure of the quaternary ammonium derivative is shown as a formula II, namely the quaternary ammonium derivative is betaine;
Figure BDA0002270110140000042
in some embodiments, n ═ 1, R in the quaternary ammonium derivatives1OH, which is l-carnitine, and the structure of which is shown in formula III, i.e. the quaternary ammonium derivative is l-carnitine;
Figure BDA0002270110140000051
in some embodiments, n ═ 1, R in the quaternary ammonium derivatives1=OCOCH3Acetyl L-carnitine with a structure shown in a formula IV, namely the quaternary ammonium derivative is acetyl L-carnitine;
Figure BDA0002270110140000052
in some embodiments, n ═ 1, R in the quaternary ammonium derivatives1=OCO(CH2)14CH3The structure of the quaternary ammonium derivative is shown as a formula V, namely the quaternary ammonium derivative is lauroyl carnitine;
Figure BDA0002270110140000053
in some embodiments, n ═ 1 in the quaternary ammonium derivatives,R1=OCO(CH2)14CH3the structure of the quaternary ammonium derivative is shown as a formula VI, namely the quaternary ammonium derivative is palmitoyl carnitine;
Figure BDA0002270110140000054
further, the molar ratio of the raw materials of the quaternary ammonium hydroxide and the quaternary ammonium hydroxide derivatives in the step 2) to the polypeptide is (1-8): 1. in some embodiments, is 3: 1.
further, the solvent for the coupling reaction in the step 2) is a mixed solution of any one or more of DMF, NMP, dichloromethane and DMSO in any proportion. In some embodiments, the solvent of the coupling reaction is DMSO: NMP is a 1:1 mixed solution.
Further, the coupling agent in the coupling reaction in step 2) of the synthesis method of the present invention is DIPEA + a + B or DIC + a, wherein a is HOBT or HOAT, and B is any one of PyBOP, PyAOP, HATU, HBTU or TBTU.
In some embodiments, when betaine, acetyl-l-carnitine, palmitoyl-carnitine, or lauroyl-carnitine is coupled, the coupling agent is DIPEA + HOBT + HBTU. The molar ratio of quaternary ammonium base derivatives such as betaine, acetyl L-carnitine, palmitoyl carnitine or lauroyl carnitine, namely DIPEA, HOBT and HBTU is 1: 2.5: 1.5: 1.5.
in some embodiments, where l-carnitine is coupled, the coupling agent is DIC + HOBT, and the molar ratio of l-carnitine to DIC, HOB is 1: 1.5: 1.5.
furthermore, the reaction temperature of the coupling reaction in the step 2) of the synthesis method is 20-30 ℃, and the reaction time is 1-4 h. In some embodiments, the coupling reaction is most effective for 3 h.
Further, the lysis solution cleaved in step 3) of the synthesis method of the present invention is TFA or H2O, PhOMe and TIS.
In some embodiments, when a polypeptide is modified with a higher molecular weight quaternary ammonium base, such as palmitoyl carnitine, lauroyl carnitine, etc., the cleaved lysate is TFA H2And O:95: 5(v/v) lysate.
In some embodiments, when modified with a lower molecular weight quaternary ammonium base such as L-carnitine, acetyl L-carnitine, betaine, etc., the cleaved lysate is TFA H2(vi) lysates from TIS: PhOMe ═ 90:5:4:1 (v/v).
The crude peptide obtained by the cracking in the step 3) of the preparation method is further purified to obtain the refined peptide, and the purification is preferably reversed-phase high performance liquid chromatography purification.
In some embodiments, the purification is specifically: gradient elution is carried out by taking reverse-phase octadecylsilane as a stationary phase, taking 0.1% acetic acid aqueous solution as a mobile phase A and acetonitrile as a mobile phase B.
The synthesis method of the quaternary ammonium base modified polypeptide prepares polypeptide-solid phase resin with naked amino by a solid phase synthesis method; coupling quaternary ammonium hydroxide containing a quaternary ammonium structure or a derivative of the quaternary ammonium hydroxide with polypeptide-solid phase resin with naked amino to obtain quaternary ammonium hydroxide modified polypeptide resin; and (3) cracking the quaternary ammonium base modified polypeptide resin to obtain the quaternary ammonium base modified polypeptide crude peptide, and purifying to obtain the quaternary ammonium base modified polypeptide refined peptide. The synthesis method has the characteristics of high synthesis yield, mild synthesis conditions, simple process, easily available raw materials, environmental friendliness, stable process and the like, is suitable for large-scale industrial production of the quaternary ammonium hydroxide modified polypeptide, and the prepared quaternary ammonium hydroxide modified polypeptide has high purity and low impurity content and has wide application prospects in the industrial or medical field.
In order to further understand the present invention, the technical solutions in the embodiments of the present invention will be clearly and completely described below with reference to the embodiments of the present invention, and it is obvious that the described embodiments are only a part of the embodiments of the present invention, and not all embodiments. All other embodiments, which can be derived by a person skilled in the art from the embodiments given herein without making any creative effort, shall fall within the protection scope of the present invention.
Abbreviations and English meanings in the specification and examples are as follows:
abbreviations and EnglishMeans of
betaineBetaine
L-carnitineL-carnitine
Palmitoyl-L-carnitinepalmitoyl-L-carnitine
SPPSSolid phase polypeptide synthesis
HOAt1-hydroxy-7-azobenzotriazol
Fmoc9-fluorenylmethoxycarbonyl group
DIPCDIDiisopropylcarbodiimide
HOBt1-hydroxybenzotriazoles
HATU2- (7-azobenzotriazol) -N, N, N ', N' -tetramethylurea hexafluorophosphate
HBTUbenzotriazole-N, N, N ', N' -tetramethyluronium hexafluorophosphate
DIPEAN, N-diisopropylethylamine
PyBOPBenzotriazol-1-yl-oxytripyrrolidinyl hexafluorophosphates
PyAOP(3H-1,2, 3-triazolo [4,5-b ]]Pyridin-3-yloxy) tris-1-pyrrolidinophosphonium hexafluorophosphate.
TBTUO-benzotriazole-N, N, N ', N' -tetramethyluronium tetrafluoroborate
DMFN, N-dimethylformamide
DCMMethylene dichloride
THFTetrahydrofuran (THF)
TFETrifluoroethanol
TFATrifluoroacetic acid
TAPhenylmethyl sulfide
PhOMePhenylmethyl ether
TISTri-isopropyl silane
DBLK20% piperidine/DMF (V/V) solution
tBuTert-butyl radical
NMPN-methyl pyrrolidone
Unless otherwise specified, the reagents involved in the examples of the present invention are all commercially available products, and all of them are commercially available.
Example 1: synthesis of beta-GIACL-CONH2(FW:574.32) for example, the examples are as follows:
Figure BDA0002270110140000081
step 1): preparation of polypeptide-solid phase resin with naked amino group
Taking 12.2g of Rink Amide-AM resin with the substitution degree of 0.41mmol/g, adding the Rink Amide-AM resin into a reactor, adding DMF to wash twice, then swelling the Rink Amide-AM resin with DMF for 30 minutes, removing Fmoc protective groups twice with 20% piperidine/DMF solution (DBLK), each time for 10 minutes, and washing six times with DMF after deprotection. 5.3g (15mmol) of Fmoc-Leu-OH, 3.05g (22.5mmol) of HOBT and 8.55g of HBTU (22.5mmol) were dissolved in 35ml of a mixed solution of NMP 1:1, and after activation with 4.85g (35.5mmol) of DIPEA in an ice-water bath for 3min, the mixture was loaded on a reaction column and reacted at room temperature for 2 hours. After the reaction is finished, washing the resin with 35mLDMF for 3 times, adding 20mLDBLK for deprotection for 5min +10min, washing the resin with 35mLDMF for 6 times, and sequentially coupling Fmoc-Cys (Trt) -OH, Fmoc-Ala-OH, Fmoc-Ile-OH and Fmoc-Gly-OH according to peptide sequence, wherein each amino acid is fed with 15mmol, HOBT is fed with 22.5mmol, HBTU is fed with 22.5mmol and DIPEA is fed with 35.5 mmol. After the coupling is finished, waiting for the next quaternary ammonium base modification reaction.
Step 2): introduction of betaine to the nitrogen terminus of a polypeptide
3.5g (30mmol) betaine, 6.1g (45mmol) HOBT and 17.1g HBTU (45mmol) were weighed out in 35ml DMSO: NMP ═ 1:1, adding 9.7g (75mmol) of DIPEA under the condition of ice water bath for activating for 3min, adding the mixture into a reactor for reacting for three hours, washing the mixture with DMF for three times after the reaction is finished, and washing the mixture with DCM for three times. The resin was shrunk with 35mL of methanol and suction dried to give 16.3g of peptide resin.
Step 3): betaine-polypeptide preparation
16.3g of the resin obtained in step 2) was put into a 250mL three-necked flask, 160mL of the prepared TFA H2O TIS PhOMe 90:5:4:1(v/v) was added, and the mixture was reacted at room temperature for 2 hours, and the resin was filtered under reduced pressure to collect the filtrate. The resin was washed with a small amount of TFA and the filtrates combined. The filtrate was slowly added to 1.6L of glacial methyl tert-butyl ether for precipitation, centrifuged, washed 3 times with 1.0L of glacial methyl tert-butyl ether, and dried under reduced pressure to give 2.92g of betaine-polypeptide derivative, with a crude peptide purity of 85.24% (FIG. 2).
Step 4): preparation of refined peptides
The crude peptide obtained in step 3 was purified by high performance liquid chromatography through a 15cm × 25cm preparative column. Taking reverse-phase octadecylsilane as a stationary phase, taking 0.1% acetic acid aqueous solution as a mobile phase A, taking acetonitrile as a mobile phase B, and eluting a gradient phase A: 70% -30%, elution preparation flow rate: 70-80 ml/min; detection wavelength: 220 nm; the desired peak fraction was collected, concentrated and lyophilized to obtain 2.41g of pure product with purity of 99.57%, yield of 82.5% and molecular weight FW:574.32 (FIGS. 3 and 4).
Example 2: synthesis of L-carnitine-IIGAC-CONH2(FW:617.8)
Figure BDA0002270110140000091
Step 1): preparation of polypeptide-solid phase resin with naked amino group
Taking 24.4g of Rink Amide-AM resin with the substitution degree of 0.41mmol/g, adding the Rink Amide-AM resin into a reactor, adding DMF to wash twice, then swelling the Rink Amide-AM resin with DMF for 30 minutes, removing Fmoc protective groups twice with 20% piperidine/DMF solution (DBLK), each time for 10 minutes, and washing six times with DMF after deprotection. 17.57g (30mmol) of Fmoc-Cys (Trt) -OH and 6.10g (45mmol) of HOBT were dissolved in 60ml of DMF, and after 5.7g (45mmol) of DIC was added in an ice-water bath to activate the mixture for 3min, the mixture was put into a reaction column and reacted at room temperature for 2 hours. And after the reaction is finished, washing the resin by using 70mLDMF for 3 times, adding 70mLDBLK for deprotection for 5min +10min, washing the resin by using 70mLDMF for 6 times, and sequentially coupling, Fmoc-Ala-OH, Fmoc-Gly-OH, Fmoc-Ile-OH and Fmoc-Ile-OH according to the peptide sequence, wherein each amino acid is fed by 30mmol, HOBT is fed by 45mmol, and DIC is fed by 45 mmol. After the coupling is finished, waiting for the next quaternary ammonium base modification reaction.
Step 2): introduction of L-carnitine into the nitrogen end of polypeptide
Weighing 4.84g (30mmol) of L-carnitine, 6.10g (45mmol) of HOBT, 60ml of DMSO, NMP 1:1, adding 5.7g (45mmol) of DIC under ice water bath for activation for 3min, adding the mixture into a reaction column, and reacting at room temperature for 3 h. After the reaction was complete, it was washed three times with DMF and three times with DCM. The resin was shrunk with 70mL of methanol and suction dried to give 31.4g of peptide resin.
Step 3): preparation of L-carnitine-polypeptide
31.4g of the resin obtained in step 3 was put into a 500mL three-necked flask, 350mL of previously prepared TFA, H2O, TIS, PhOMe, 90:5:4:1(v/v) was added, and the mixture was reacted at room temperature for 2 hours, followed by filtration of the resin under reduced pressure to collect the filtrate. The resin was washed with a small amount of TFA and the filtrates combined. The filtrate was slowly added to 3.5L of glacial methyl tert-butyl ether for precipitation, centrifuged, washed 3 times with 1.0L of glacial methyl tert-butyl ether and dried under reduced pressure to give 6.5g of L-carnitine-polypeptide derivative in a crude peptide purity of 75.75% (FIG. 5).
Step 4): preparation of refined peptides
The crude peptide obtained in step 4 was purified by high performance liquid chromatography through a 15cm × 25cm preparative column. Taking reverse-phase octadecylsilane as a stationary phase, taking 0.1% acetic acid aqueous solution as a mobile phase A, taking acetonitrile as a mobile phase B, and eluting a gradient phase A: 65% -25%, elution preparation flow rate: 70-80 ml/min; detection wavelength: 220 nm; the desired peak fraction was collected, concentrated and lyophilized to obtain 5.8g of a pure product having a purity of 98.35%, a yield of 93.85% and a molecular weight M of 618.34 (fig. 6 and 7).
Example 3: synthesis of Palmitoyl-L-carbonitine-LCQATL-COOH (FW:1031.37)
Figure BDA0002270110140000101
Step 1): preparation of polypeptide-solid phase resin with naked amino group
Taking 1.22g of Fmoc-Leu-wang resin with the substitution degree of 0.40mmol/g, adding the Fmoc-Leu-wang resin into a reactor, adding DMF to wash twice, then swelling the mixture with DMF for 30 minutes, removing Fmoc protective groups twice with 20% piperidine/DMF solution (DBLK) for 10 minutes each time, and washing the mixture with DMF for six times after deprotection. 0.596g (1.5mmol) of Fmoc-Thr (tBu) -OH and 0.304g (2.25mmol) of HOBT were dissolved in 5ml of DMF, and 0.28g (2.25mmol) of DIC was added thereto in an ice-water bath for 3min of activation, and then the mixture was put into a reaction column and reacted at room temperature for 2 hours. After the reaction is finished, washing the resin by using 10mLDMF for 3 times, adding 10mLDBLK for deprotection for 5min +10min, washing the resin by using 10mLDMF for 6 times, and sequentially coupling Fmoc-Ala-OH, Fmoc-Gln (Trt) -OH, Fmoc-Cys (Trt) -OH and Fmoc-Leu-OH according to the peptide sequence, wherein each amino acid is fed by 1.5mmol, HOBT is fed by 2.25mmol and DIC is fed by 2.25 mmol. After the coupling is finished, waiting for the next quaternary ammonium base modification reaction.
Step 2): introduction of palmitoyl-L-carnitine into the nitrogen terminal of a polypeptide
0.60g (1.5.mmol) palmitoyl-L-carnitine hydrochloride 0.304g (2.25mmol) HOBT, 5ml DMSO NMP ═ 1:1, adding 0.28g (2.25mmol) of DIC under ice water bath for activation for 3min, adding the mixture into a reaction column, and reacting at room temperature for 3 h. After the reaction was complete, it was washed three times with DMF and three times with DCM. The resin was shrunk with 10mL of methanol and suction dried to give 1.93g of peptide resin.
Step 3): preparation of palmitoyl-L-carnitine-polypeptide
1.93g of the resin obtained in step 3 was put into a 50mL three-necked flask, and prepared TFA, H2O (95: 5(v/v)20mL, was added thereto, and the mixture was reacted at room temperature for 2 hours, and the resin was filtered under reduced pressure to collect the filtrate. The resin was washed with a small amount of TFA and the filtrates combined. The filtrate was slowly added to 200mL of glacial methyl tert-butyl ether for precipitation, centrifuged, washed 3 times with 50mL of glacial methyl tert-butyl ether, and dried under reduced pressure to give 0.526g of palmitoyl-L-carnitine-polypeptide derivative, crude peptide purity 96.56% (FIGS. 8 and 9).

Claims (10)

1. A method for synthesizing a quaternary ammonium base modified polypeptide comprises the following steps:
1) preparing polypeptide-solid phase resin with naked amino groups by a solid phase synthesis method;
2) coupling quaternary ammonium hydroxide containing a quaternary ammonium structure or a derivative of the quaternary ammonium hydroxide with polypeptide-solid phase resin with naked amino to obtain quaternary ammonium hydroxide modified polypeptide resin;
3) and (3) cracking the quaternary ammonium base modified polypeptide resin to obtain the quaternary ammonium base modified polypeptide crude peptide, and purifying to obtain the quaternary ammonium base modified polypeptide refined peptide.
2. The method of claim 1, wherein the solid phase synthesis in step 1) is Fmoc/tBu solid phase synthesis method, and the carrier resin is any one of Wang resin, Rink Amide-MBHA resin, Rink Amide resin, or Rink Amide-AM resin.
3. The method of claim 1, wherein the quaternary ammonium derivative of step 2) has a structure of formula I,
Figure FDA0002270110130000011
wherein n is 0, 1, R1H, OH or a saturated or unsaturated fatty acid containing 2 to 18 carbon atoms.
4. The method of claim 3, wherein the quaternary ammonium derivative of step 2) is L-carnitine, betaine, palmitoyl carnitine, lauroyl carnitine, acetyl L-carnitine.
5. The method of claim 1, wherein the molar ratio of the starting quaternary ammonium hydroxide and quaternary ammonium hydroxide derivative in step 2) to the polypeptide is (1-8): 1.
6. the synthesis method according to claim 1, wherein the solvent for the coupling reaction in step 2) is a mixed solution of any one or more of DMF, NMP, dichloromethane and DMSO in any proportion.
7. The synthesis method of claim 1, wherein the coupling reagent in the coupling reaction in step 2) is DIPEA + A + B or DIC + A, wherein A is HOBT or HOAT, and B is any one of PyBOP, PyAOP, HATU, HBTU or TBTU.
8. The synthesis method of claim 1, wherein the coupling reaction in step 2) is carried out at a reaction temperature of 20-30 ℃ for 1-4 h.
9. The method of claim 1, wherein the cleaved lysate of step 3) is a mixture of two or more of TFA, H2O, PhOMe, and TIS.
10. The synthetic method of claim 1 wherein the purification of step 3) is by reverse phase high performance liquid chromatography.
CN201911101870.7A2019-11-122019-11-12Method for synthesizing polypeptide modified by quaternary ammonium base derivativeActiveCN112851747B (en)

Priority Applications (1)

Application NumberPriority DateFiling DateTitle
CN201911101870.7ACN112851747B (en)2019-11-122019-11-12Method for synthesizing polypeptide modified by quaternary ammonium base derivative

Applications Claiming Priority (1)

Application NumberPriority DateFiling DateTitle
CN201911101870.7ACN112851747B (en)2019-11-122019-11-12Method for synthesizing polypeptide modified by quaternary ammonium base derivative

Publications (2)

Publication NumberPublication Date
CN112851747Atrue CN112851747A (en)2021-05-28
CN112851747B CN112851747B (en)2024-03-05

Family

ID=75984622

Family Applications (1)

Application NumberTitlePriority DateFiling Date
CN201911101870.7AActiveCN112851747B (en)2019-11-122019-11-12Method for synthesizing polypeptide modified by quaternary ammonium base derivative

Country Status (1)

CountryLink
CN (1)CN112851747B (en)

Citations (5)

* Cited by examiner, † Cited by third party
Publication numberPriority datePublication dateAssigneeTitle
EP0514359A2 (en)*1991-05-161992-11-19Sigma-Tau Industrie Farmaceutiche Riunite S.p.A.Alkanoyl L-carnitine amides with aminoacids and pharmaceutical compositions containing same, for promoting regeneration of the nervous tissue, inhibiting neuronal degeneration, enhancing the processes of learning and memory, and for the treatment of coma
US5958886A (en)*1998-01-131999-09-28Sigma-Tau Pharmaceuticals, Inc.Carnitine-containing peptides and a method for using the same
CN103288951A (en)*2013-06-192013-09-11深圳翰宇药业股份有限公司Preparation method of liraglutide
CN106928313A (en)*2015-12-312017-07-07深圳翰宇药业股份有限公司A kind of synthetic method of the terminal modified peptides of C-
CN109265512A (en)*2018-09-252019-01-25清华大学The preparation method of protein conjugate based on pyridine dicarbaldehyde

Patent Citations (5)

* Cited by examiner, † Cited by third party
Publication numberPriority datePublication dateAssigneeTitle
EP0514359A2 (en)*1991-05-161992-11-19Sigma-Tau Industrie Farmaceutiche Riunite S.p.A.Alkanoyl L-carnitine amides with aminoacids and pharmaceutical compositions containing same, for promoting regeneration of the nervous tissue, inhibiting neuronal degeneration, enhancing the processes of learning and memory, and for the treatment of coma
US5958886A (en)*1998-01-131999-09-28Sigma-Tau Pharmaceuticals, Inc.Carnitine-containing peptides and a method for using the same
CN103288951A (en)*2013-06-192013-09-11深圳翰宇药业股份有限公司Preparation method of liraglutide
CN106928313A (en)*2015-12-312017-07-07深圳翰宇药业股份有限公司A kind of synthetic method of the terminal modified peptides of C-
CN109265512A (en)*2018-09-252019-01-25清华大学The preparation method of protein conjugate based on pyridine dicarbaldehyde

Non-Patent Citations (5)

* Cited by examiner, † Cited by third party
Title
XIAO等: "Increasing solubility of proteins and peptides by site-specific modification with betaine", 《BIOCONJUGATE CHEMISTRY》*
XIAO等: "Increasing solubility of proteins and peptides by site-specific modification with betaine", 《BIOCONJUGATE CHEMISTRY》, vol. 19, no. 6, 23 May 2008 (2008-05-23), pages 1113 - 1118*
吕玉健等: "两亲性结构修饰的非天然氨基酸及二肽的合成", 《解放军药学学报》, vol. 27, no. 5, pages 337 - 379*
吴梧桐: "《生物化学 第2版》", 31 January 2010, 中国医药科技出版社, pages: 43*
郎格尔: "《细胞穿透肽 研究方法与实验指南》", 30 September 2016, 世界图书出版西安有限公司, pages: 353 - 365*

Also Published As

Publication numberPublication date
CN112851747B (en)2024-03-05

Similar Documents

PublicationPublication DateTitle
EP2757107B1 (en)Method for solid phase synthesis of liraglutide
CN106928313B (en)Synthesis method of C-terminal modified peptide
CN101279998B (en)Preparation of C-terminal ethylamine polypeptides and derivates thereof
CN101104638B (en)Solid phase synthetic technique for thymosin alpha1
CN104788546A (en)Preparation method of linear peptides containing 24 amino acid residues
CN101857629A (en)Solid-phase synthesis method of Bremelanotide
CN107540728A (en)Ring(Phe‑Pro‑lle‑Phe‑Pro‑Pro‑Leu‑Val)The preparation method of peptide
CN112321699A (en)Synthesis method of semaglutide
KR20210102362A (en) Improved process for making plecanatide
CN111620928A (en)Large-scale synthesis method of hexapeptide
CN110903352A (en)Preparation method of cetrorelix
CN102875654B (en)Method for preparing conotoxin polypeptide Eb1.6
CN110642936B (en)Method for preparing teriparatide
CN112062811B (en)Synthetic method of vilacatide
CN112851747A (en)Method for synthesizing quaternary ammonium base modified polypeptide
WO2018126525A1 (en)Method for preparing hexapeptide, and product thereof
CN103242443A (en)Preparation method for thymosin [alpha]1 and analogues thereof
CN108047305B (en) A kind of synthetic method of tetradecylaminobutyryl valinamide butyric acid urea trifluoroacetate
CN103965293B (en)High-purity bivalirudin and industrial preparation method thereof
CN103923210A (en)Solid-phase synthesis method of thymalfasin
CN106749611B (en) A kind of preparation method of exenatide and product thereof
CN111378009A (en)Preparation method of octreotide
CN113321723A (en)Preparation method of thymalfasin
CN101538317B (en) Thrombin direct inhibitor polypeptide hydrate salt and synthesis method
CN118255837A (en)Method for synthesizing illegal stand

Legal Events

DateCodeTitleDescription
PB01Publication
PB01Publication
SE01Entry into force of request for substantive examination
SE01Entry into force of request for substantive examination
GR01Patent grant
GR01Patent grant

[8]ページ先頭

©2009-2025 Movatter.jp