Movatterモバイル変換


[0]ホーム

URL:


CN112834885A - Evaluation of Power Supply Line Insulation Condition Based on Identification of the Relationship between Power Supply Line Leakage Current and Humidity - Google Patents

Evaluation of Power Supply Line Insulation Condition Based on Identification of the Relationship between Power Supply Line Leakage Current and Humidity
Download PDF

Info

Publication number
CN112834885A
CN112834885ACN202110020333.0ACN202110020333ACN112834885ACN 112834885 ACN112834885 ACN 112834885ACN 202110020333 ACN202110020333 ACN 202110020333ACN 112834885 ACN112834885 ACN 112834885A
Authority
CN
China
Prior art keywords
leakage current
humidity
value
power supply
supply line
Prior art date
Legal status (The legal status is an assumption and is not a legal conclusion. Google has not performed a legal analysis and makes no representation as to the accuracy of the status listed.)
Granted
Application number
CN202110020333.0A
Other languages
Chinese (zh)
Other versions
CN112834885B (en
Inventor
黄明
李毅
何小平
李洪守
甘声曦
王云宇
王浩宁
蒋美康
龚延川
Current Assignee (The listed assignees may be inaccurate. Google has not performed a legal analysis and makes no representation or warranty as to the accuracy of the list.)
CHONGQING YUANHU TECHNOLOGY CO LTD
Wulong Power Supply Co of State Grid Chongqing Electric Power Co Ltd
State Grid Corp of China SGCC
Original Assignee
CHONGQING YUANHU TECHNOLOGY CO LTD
Wulong Power Supply Co of State Grid Chongqing Electric Power Co Ltd
State Grid Corp of China SGCC
Priority date (The priority date is an assumption and is not a legal conclusion. Google has not performed a legal analysis and makes no representation as to the accuracy of the date listed.)
Filing date
Publication date
Application filed by CHONGQING YUANHU TECHNOLOGY CO LTD, Wulong Power Supply Co of State Grid Chongqing Electric Power Co Ltd, State Grid Corp of China SGCCfiledCriticalCHONGQING YUANHU TECHNOLOGY CO LTD
Priority to CN202110020333.0ApriorityCriticalpatent/CN112834885B/en
Publication of CN112834885ApublicationCriticalpatent/CN112834885A/en
Application grantedgrantedCritical
Publication of CN112834885BpublicationCriticalpatent/CN112834885B/en
Activelegal-statusCriticalCurrent
Anticipated expirationlegal-statusCritical

Links

Images

Classifications

Landscapes

Abstract

The invention discloses a power supply line insulation state evaluation based on power supply line leakage current and humidity relation identification, which comprises the following steps: acquiring an environment humidity value and a leakage current value of a target line by using a humidity sensor and a leakage current sensor; inputting the environmental humidity value of the target circuit into a correlation model between the leakage current and the humidity to obtain a leakage current model predicted value; and calculating a difference value between the predicted value of the leakage current model and the leakage current value, judging that the target line is abnormal in insulation if the difference value is larger than a preset threshold value, and judging that the target line is normal in insulation if the difference value is smaller than or equal to the preset threshold value. The invention effectively evaluates the influence degree of the environment on the leakage current generated by the power supply line insulation, provides a reference basis for judging the real state of the power supply line insulation, can find the insulation fault of the power supply line of the power grid in rural areas in time and avoids electric shock accidents.

Description

Power supply line insulation state assessment based on power supply line leakage current and humidity relation identification
Technical Field
The invention belongs to the field of leakage monitoring of electrical equipment of a power supply system, and provides power supply line insulation state assessment based on identification of a relation between leakage current and humidity of a power supply line.
Background
At present, a rural power grid adopts a three-level leakage protection mode, and the three-level leakage protection mode is respectively installed on a public transformer, an electric meter box and a client side or a two-level leakage protection mode skipping the electric meter box. At present, the wire arrangement of rural families is mostly hidden in a wall, and the line is easy to generate leakage current due to the influence of factors such as line quality, construction process and the like. In addition, the rural power grid adopts a three-phase four-wire system, and a 10kV power transmission line adopts 16mm2Or 25mm2Wire diameter and partially bare wire problems. Especially, rural power grids in mountainous areas are easily affected by natural disasters such as debris flow, tree breakage and rolling, and power transmission lines often have fault conditions such as electric leakage and short circuit.
Because rural power grid region is wide, the power consumption customer disperses, and is mostly single-phase power consumption. Therefore, when a fault occurs, the number of affected household users is usually small, and the fault is often not reported in time after the fault occurs, so that a fault line cannot be processed in time, and surrounding residents and animals are at risk of electric shock.
In conclusion, how to find the insulation fault of the power supply line of the power grid in the rural area in time becomes a problem which needs to be solved urgently by the technical personnel in the field.
Disclosure of Invention
Therefore, the invention aims to solve the problem of how to find the insulation fault of the power supply line of the power grid in rural areas in time and avoid electric shock accidents.
In order to solve the technical problems, the invention adopts the following technical scheme:
power supply line insulation state aassessment based on power supply line leakage current and humidity relation are discerned includes:
s1, acquiring an environment humidity value and a leakage current value of the target line by using the humidity sensor and the leakage current sensor;
s2, inputting the environmental humidity value of the target circuit into a correlation model between the leakage current and the humidity to obtain a leakage current model prediction value;
and S3, calculating a difference value between the predicted value of the leakage current model and the leakage current value, judging that the target line is abnormal in insulation if the difference value is larger than a preset threshold value, and judging that the target line is normal in insulation if the difference value is smaller than or equal to the preset threshold value.
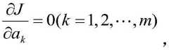
Preferably, the method for establishing the correlation model between the leakage current and the humidity includes:
and acquiring a historical environment humidity value set and a historical leakage current value set, obtaining a fitting equation between leakage current and humidity by using a mean square least square target fitting method, and establishing a correlation model between the leakage current and the humidity.
Preferably, the leakage current value is set to ylEnvironment humidity value of xiRemember yl=f(xi);
f(xi)=a1r1(x1)+a2r2(x2)+…+amrm(xm) (1)
r1(x1) To rm(xm) Is a set of linearly independent functions, ajThe undetermined coefficient is j is 1,2,3, …, m is less than n, n is the number of measurement times at different positions of the target line, and m is the number of elements in the linear independent group;
note the book
Figure BDA0002888375330000021
To select a1,a2,…,amLet J (a)1,a2,…,am) Minimum, using extreme requirements
Figure BDA0002888375330000022
Is obtained about a1,a2,…,amSystem of linear equations of
Figure BDA0002888375330000023
Namely, it is
Figure BDA0002888375330000024
Note the book
Figure BDA0002888375330000025
R represents a parameter matrix, A represents a pending coefficient matrix, and Y represents a leakage current matrix, and equation set (5) can be expressed as
RTRA=RTY (6)
When the function r is selected1(x),r2(x),…,rm(x) When linearly independent, R is full rank, RTR is reversible, so equation set (6) has a unique solution:
A=(RTR)-1RTY (7)
and obtaining a fitting equation between the leakage current and the humidity.
Compared with the prior art, the invention has the following advantages:
in order to solve the problems of insensitivity and unreliability of the insulation state evaluation of the power supply line of the conventional power system, the method comprises the steps of firstly utilizing a humidity sensor and a leakage current sensor to obtain environmental humidity data and leakage current data of power supply equipment, accumulating the environmental humidity data and the leakage current data in a certain time period, and then fitting to obtain a relation curve between the environmental humidity and the leakage current as the correlation characteristic between the leakage current and the environmental humidity of the power supply line. Substituting the newly acquired humidity and leakage current values into a fitting equation obtained in history for checking, and when the historical fitting characteristic is met, indicating that the insulation state of the line is intact; and when the historical fitting characteristic is not met, judging that the power supply equipment is abnormal in insulation, thereby realizing the evaluation of the insulation state of the power supply line. The invention effectively evaluates the influence degree of the environment on the leakage current generated by the power supply line insulation, provides a reference basis for judging the real state of the power supply line insulation, can find the insulation fault of the power supply line of the power grid in rural areas in time and avoids electric shock accidents.
Drawings
For purposes of promoting a better understanding of the objects, aspects and advantages of the invention, reference will now be made in detail to the present invention as illustrated in the accompanying drawings, in which:
FIG. 1 is a flow chart of power supply line insulation status evaluation based on power supply line leakage current and humidity relationship identification disclosed in the present invention;
FIG. 2 is a schematic diagram of a humidity sensor and a leakage current sensor for obtaining an ambient humidity value and a leakage current value of a target line;
fig. 3 is a schematic diagram of a fitting equation between the leakage current and the humidity obtained by a method of fitting an object using a least square mean square method.
Detailed Description
The present invention will be described in further detail with reference to the accompanying drawings.
As shown in fig. 1, the power supply line insulation state evaluation based on the power supply line leakage current and humidity relationship identification includes:
s1, acquiring an environment humidity value and a leakage current value of the target line by using the humidity sensor and the leakage current sensor;
s2, inputting the environmental humidity value of the target circuit into a correlation model between the leakage current and the humidity to obtain a leakage current model prediction value;
and S3, calculating a difference value between the predicted value of the leakage current model and the leakage current value, judging that the target line is abnormal in insulation if the difference value is larger than a preset threshold value, and judging that the target line is normal in insulation if the difference value is smaller than or equal to the preset threshold value.
In the schematic diagram of measuring the ambient humidity and the leakage current of the three-phase power supply line shown in fig. 2, the key component is a leakage current sensor, which is a detection element composed of an iron core and a secondary coil wound on the iron core, a power phase line and a neutral line pass through an annular iron core to form a primary coil N1 of a transformer, a winding wound on the annular iron core forms a secondary coil N2 of the transformer, and under normal conditions, the sum of the phasor of the primary coil current of the leakage current sensor is zero, and the secondary side induced current is also zero; when the insulation of the electric equipment is damaged and electric leakage occurs, if a person contacts with the electrified part, the human body forms a loop through the ground, and the vector sum of the current flowing through the primary coil of the leakage current sensor is not equal to zero (unbalanced current flows through the electric loop).
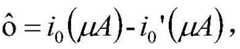
In the invention, the actual environment humidity value measured by the humidity sensor is W (%), and the leakage current value measured by the leakage current sensor is i0(μA)。
At this time, the predicted value of the leakage current model corresponding to the environmental humidity W (%) is i0' (μ A) calculating a difference between the predicted value of the leakage current model and the leakage current value
Figure BDA0002888375330000041
The preset threshold value is
Figure BDA0002888375330000042
If i0(μA)>i0' (μ A) and
Figure BDA0002888375330000043
the target line insulation is abnormal.
In specific implementation, the method for establishing the correlation model between the leakage current and the humidity comprises the following steps:
and acquiring a historical environment humidity value set and a historical leakage current value set, obtaining a fitting equation between leakage current and humidity by using a mean square least square target fitting method, and establishing a correlation model between the leakage current and the humidity.
As shown in FIG. 3, in the specific implementation, the leakage current value is set to ylEnvironment humidity value of xiRemember yl=f(xi);
f(xi)=a1r1(x1)+a2r2(x2)+…+amrm(xm) (1)
r1(x1) To rm(xm) Is a set of linearly independent functions, ajThe undetermined coefficient is j is 1,2,3, …, m is less than n, n is the number of measurement times at different positions of the target line, and m is the number of elements in the linear independent group;
note the book
Figure BDA0002888375330000044
To select a1,a2,…,amLet J (a)1,a2,…,am) Minimum, using extreme requirements
Figure BDA0002888375330000045
Is obtained about a1,a2,…,amSystem of linear equations of
Figure BDA0002888375330000046
Namely, it is
Figure BDA0002888375330000047
Note the book
Figure BDA0002888375330000051
R represents a parameter matrix, A represents a pending coefficient matrix, and Y represents a leakage current matrix, and equation set (5) can be expressed as
RTRA=RTY (6)
When the function r is selected1(x),r2(x),…,rm(x) When linearly independent, R is full rank, RTR is reversible, so equation set (6) has a unique solution:
A=(RTR)-1RTY (7)
and obtaining a fitting equation between the leakage current and the humidity.
Finally, it is noted that the above-mentioned embodiments illustrate rather than limit the invention, and that, while the invention has been described with reference to preferred embodiments thereof, it will be understood by those skilled in the art that various changes in form and details may be made therein without departing from the spirit and scope of the invention as defined by the appended claims.

Claims (3)

1. Power supply line insulation state aassessment based on power supply line leakage current and humidity relation are discerned, its characterized in that includes:
s1, acquiring an environment humidity value and a leakage current value of the target line by using the humidity sensor and the leakage current sensor;
s2, inputting the environmental humidity value of the target circuit into a correlation model between the leakage current and the humidity to obtain a leakage current model prediction value;
and S3, calculating a difference value between the predicted value of the leakage current model and the leakage current value, judging that the target line is abnormal in insulation if the difference value is larger than a preset threshold value, and judging that the target line is normal in insulation if the difference value is smaller than or equal to the preset threshold value.
2. The method for evaluating the insulation state of the power supply line based on the identification of the relation between leakage current and humidity of the power supply line is characterized in that the method for establishing the correlation model between the leakage current and the humidity comprises the following steps:
and acquiring a historical environment humidity value set and a historical leakage current value set, obtaining a fitting equation between leakage current and humidity by using a mean square least square target fitting method, and establishing a correlation model between the leakage current and the humidity.
3. The power supply line insulation state assessment based on power supply line leakage current and humidity relationship identification as claimed in claim 2, wherein let the leakage current value be ylEnvironment humidity value of xiRemember yl=f(xi);
f(xi)=a1r1(x1)+a2r2(x2)+…+amrm(xm) (1)
r1(x1) To rm(xm) Is a set of linearly independent functions, ajThe undetermined coefficient is j is 1,2,3, …, m is less than n, n is the number of measurement times at different positions of the target line, and m is the number of elements in the linear independent group;
note the book
Figure FDA0002888375320000011
To select a1,a2,…,amLet J (a)1,a2,…,am) Minimum, using extreme requirements
Figure FDA0002888375320000012
Is obtained about a1,a2,…,amOfSystem of equations of nature
Figure FDA0002888375320000013
Namely, it is
Figure FDA0002888375320000014
Note the book
Figure FDA0002888375320000021
R represents a parameter matrix, A represents a pending coefficient matrix, and Y represents a leakage current matrix, and equation set (5) can be expressed as
RTRA=RTY (6)
When the function r is selected1(x),r2(x),…,rm(x) When linearly independent, R is full rank, RTR is reversible, so equation set (6) has a unique solution:
A=(RTR)-1RTY (7)
and obtaining a fitting equation between the leakage current and the humidity.
CN202110020333.0A2021-01-072021-01-07Power supply line insulation state assessment based on power supply line leakage current and humidity relation identificationActiveCN112834885B (en)

Priority Applications (1)

Application NumberPriority DateFiling DateTitle
CN202110020333.0ACN112834885B (en)2021-01-072021-01-07Power supply line insulation state assessment based on power supply line leakage current and humidity relation identification

Applications Claiming Priority (1)

Application NumberPriority DateFiling DateTitle
CN202110020333.0ACN112834885B (en)2021-01-072021-01-07Power supply line insulation state assessment based on power supply line leakage current and humidity relation identification

Publications (2)

Publication NumberPublication Date
CN112834885Atrue CN112834885A (en)2021-05-25
CN112834885B CN112834885B (en)2022-08-26

Family

ID=75928201

Family Applications (1)

Application NumberTitlePriority DateFiling Date
CN202110020333.0AActiveCN112834885B (en)2021-01-072021-01-07Power supply line insulation state assessment based on power supply line leakage current and humidity relation identification

Country Status (1)

CountryLink
CN (1)CN112834885B (en)

Citations (7)

* Cited by examiner, † Cited by third party
Publication numberPriority datePublication dateAssigneeTitle
CN103135033A (en)*2013-02-012013-06-05江苏省电力公司电力科学研究院Insulator saturation damped maximum leakage current prediction method under non-temperature difference condition
CN104459489A (en)*2014-12-052015-03-25深圳供电局有限公司Method for identifying contamination degree of post insulator
CN105137265A (en)*2015-08-262015-12-09芜湖市凯鑫避雷器有限责任公司Insulator leakage current prediction method
WO2016057946A1 (en)*2014-10-102016-04-14Halliburton Energy Services, Inc.Electrode -based tool measurement corrections based on leakage currents estimated using a predetermined internal impedance model table
CN108629520A (en)*2018-05-102018-10-09国网辽宁省电力有限公司鞍山供电公司A kind of ultra-high-tension power transmission line operating status appraisal procedure under microclimate environment
CN108680604A (en)*2018-05-182018-10-19云南电网有限责任公司电力科学研究院A kind of suspension insulator pollution degree monitoring system and method
CN110609220A (en)*2019-09-272019-12-24国网江苏省电力有限公司盐城供电分公司 A detection and evaluation system for transmission cable insulation status based on multiple signal acquisition and analysis

Patent Citations (7)

* Cited by examiner, † Cited by third party
Publication numberPriority datePublication dateAssigneeTitle
CN103135033A (en)*2013-02-012013-06-05江苏省电力公司电力科学研究院Insulator saturation damped maximum leakage current prediction method under non-temperature difference condition
WO2016057946A1 (en)*2014-10-102016-04-14Halliburton Energy Services, Inc.Electrode -based tool measurement corrections based on leakage currents estimated using a predetermined internal impedance model table
CN104459489A (en)*2014-12-052015-03-25深圳供电局有限公司Method for identifying contamination degree of post insulator
CN105137265A (en)*2015-08-262015-12-09芜湖市凯鑫避雷器有限责任公司Insulator leakage current prediction method
CN108629520A (en)*2018-05-102018-10-09国网辽宁省电力有限公司鞍山供电公司A kind of ultra-high-tension power transmission line operating status appraisal procedure under microclimate environment
CN108680604A (en)*2018-05-182018-10-19云南电网有限责任公司电力科学研究院A kind of suspension insulator pollution degree monitoring system and method
CN110609220A (en)*2019-09-272019-12-24国网江苏省电力有限公司盐城供电分公司 A detection and evaluation system for transmission cable insulation status based on multiple signal acquisition and analysis

Also Published As

Publication numberPublication date
CN112834885B (en)2022-08-26

Similar Documents

PublicationPublication DateTitle
US10768212B2 (en)System and method for detecting theft of electricity with integrity checks analysis
Peppanen et al.Leveraging AMI data for distribution system model calibration and situational awareness
US8000913B2 (en)System and method for providing power distribution system information
Safigianni et al.Measurements of electric and magnetic fields due to the operation of indoor power distribution substations
US10746768B2 (en)System and method for detecting theft of electricity
CN103698653A (en)System and method for detecting earth fault of sheath of single-core power cable on basis of circulation measurement
Mišák et al.Testing of a covered conductor’s fault detectors
CN110108983B (en)Intelligent cable state online measurement and control management method
Yaman et al.An Internet of Things (IoT) based monitoring system for oil-immersed transformers
CN111328375A (en)System and method for detecting power theft using a meter data solution set
CN103761577A (en)Capacitive type device auxiliary decision making system based on risk assessment and condition evaluation
CN112834885A (en) Evaluation of Power Supply Line Insulation Condition Based on Identification of the Relationship between Power Supply Line Leakage Current and Humidity
Tippannavar et al.Smart transformer-An analysis of recent technologies for monitoring transformer
Calcara et al.Mapping resilience of distribution networks against heatwaves
CN213275771U (en)Explosion-proof ground resistance on-line monitoring device
Zaitsev et al.Line electrical transmission damage identification tool in distributors electrical networks
KR102082819B1 (en)management system of pole transformer
Soluyanov et al.Development of Regulatory Documents for the Calculation of Electrical Loads of Residential Buildings Using Big Data
Sanjay et al.Artificial Intelligence based Power Fault Detection and Power Restoration
CN113884941A (en) Device and method for locating leakage current of meter box
Sathish et al.Auto Operation and Monitoring of Transformer using IoT Applications
Maslanyj et al.Investigation and identification of sources of residential magnetic field exposures in the United Kingdom childhood cancer study (UKCCS)
Naumov et al.About Electric Energy Additional Losses Reduction at the Phase Currents Unbalancing in the 0.38 kV Operating Networks
JP7181971B1 (en) Electrical equipment inspection system, electrical equipment inspection device, electrical equipment inspection method and electrical equipment inspection program
US20250093227A1 (en)Machine learning based system to detect fluid leaks in an electrical apparatus

Legal Events

DateCodeTitleDescription
PB01Publication
PB01Publication
SE01Entry into force of request for substantive examination
SE01Entry into force of request for substantive examination
GR01Patent grant
GR01Patent grant

[8]ページ先頭

©2009-2025 Movatter.jp