

















技术领域technical field
本申请涉及终端技术领域,尤其涉及一种补偿方法及电子设备。The present application relates to the technical field of terminals, and in particular to a compensation method and electronic equipment.
背景技术Background technique
随着电子产品的普及,例如手机、电脑等电子设备越来越深入人们的生活,电子设备的屏幕也越做越大,为了方便携带,后来也出现了具有折叠屏的电子设备。With the popularization of electronic products, electronic devices such as mobile phones and computers are getting more and more popular in people's lives, and the screens of electronic devices are getting bigger and bigger. In order to facilitate portability, electronic devices with folding screens also appeared later.
为了给用户提供更好的显示体验,有机发光二极管(organic light emittingdiode,OLED)由于其具有自发光、高亮度、广视角、快速反应、以及RGB全彩组件皆可制作等特性,目前已被广泛应用于显示屏中。OLED利用有机材料电致发光的特性进行发光,而有机材料有寿命限制,因而随着显示屏的使用时间的增长,会存在材料衰竭和老化的问题。比如,当显示屏某些固定位置长时间显示相同且静止的图像画面时,这些位置的子像素对应的有机材料则会比其他位置的子像素对应的有机材料损耗的更厉害,而不同的子像素(R像素、G像素、B像素)对应的有机材料的衰减速度不一致,或者屏幕上的各个区域使用和时长不一致,都会造成显示屏上出现老化程度不均匀的问题,尤其是其中的蓝色子像素的材料衰减周期更短,老化更严重。类似的,LCD也可能存在这种老化程度不一致的问题,将LCD、OLED等应用在具有折叠屏的电子设备时,在具有折叠屏的电子设备处于折叠状态的情况下,用户对于各个屏幕的使用时长不一致,在完全展开屏幕时就会发现各个屏幕由于老化程度不均匀导致显示效果差异很大。In order to provide users with a better display experience, organic light emitting diodes (OLEDs) have been widely used due to their characteristics such as self-illumination, high brightness, wide viewing angle, fast response, and RGB full-color components can be manufactured. applied to the display. OLED utilizes the electroluminescent properties of organic materials to emit light, and organic materials have a limited lifespan. Therefore, with the increase of the use time of the display screen, there will be problems of material depletion and aging. For example, when certain fixed positions of the display screen display the same and still image for a long time, the organic materials corresponding to the sub-pixels at these positions will be more depleted than the organic materials corresponding to the sub-pixels at other positions, while different sub-pixels The attenuation speed of the organic materials corresponding to the pixels (R pixels, G pixels, B pixels) is inconsistent, or the use and duration of each area on the screen are inconsistent, which will cause the problem of uneven aging on the display, especially the blue color. The material decay period of the sub-pixel is shorter and the aging is more serious. Similarly, LCDs may also have this problem of inconsistent aging. When LCDs, OLEDs, etc. are applied to electronic devices with folding screens, when the electronic devices with folding screens are in a folded state, the user's use of each screen The duration is inconsistent. When the screen is fully unfolded, it will be found that the display effect of each screen is very different due to uneven aging.
目前针对折叠屏的补偿方案中,受限于折叠屏的电路结构,无法实现对想要补偿的区域进行有效补偿,例如,在电子设备弯折之后,可分为主屏、侧屏(也称为弯折区)和副屏,用户一般对这三个屏使用时长都不一致,导致主屏、侧屏和副屏的老化程度不一致,主屏的电路可以单独控制,而侧屏与副屏的电路一起控制,所以虽然可以通过电路补偿实现降低主屏与副屏的整体亮度差异,或者,降低主屏与侧屏之间的整体亮度差异,但是侧屏与副屏之间的亮度差异无法有效补偿。In the current compensation scheme for folding screens, limited by the circuit structure of the folding screen, it is impossible to effectively compensate the area to be compensated. For example, after the electronic device is bent, it can be divided into the main screen and the side screen (also called Bending area) and the secondary screen, users generally use these three screens for different periods of time, resulting in inconsistent aging degrees of the main screen, side screens, and secondary screens. The circuit of the main screen can be controlled separately, while the circuits of the side screen and the secondary screen can be controlled together. , so although the overall brightness difference between the main screen and the secondary screen can be reduced through circuit compensation, or the overall brightness difference between the main screen and the side screen can be reduced, but the brightness difference between the side screen and the secondary screen cannot be effectively compensated.
发明内容Contents of the invention
本申请提供了一种补偿方法与电子设备,用以实现降低电子设备的各屏幕区域之间的亮度的差异,使不同屏幕区域的显示效果一致。The present application provides a compensation method and an electronic device, which are used to reduce the difference in brightness between various screen areas of the electronic device, so that the display effects of different screen areas are consistent.
第一方面,本申请实施例提供一种补偿方法,该方法应用于具有显示屏的电子设备,显示屏包括第一屏幕区域、第二屏幕区域、以及第三屏幕区域,其中,第二屏幕区域与第三屏幕区域由同一伽玛参数控制亮度,该方法包括:电子设备分别确定第一屏幕区域、第二屏幕区域和第三屏幕区域在第一时刻的亮度;电子设备确定第一屏幕区域在第一时刻的亮度所对应的第一伽玛参数,并将第二屏幕区域和第三屏幕区域的第二伽玛参数设置为第一伽玛参数,当第三屏幕区域需要显示内容时,电子设备在第三屏幕区域增加蒙版图层,然后,电子设备根据第二屏幕区域和第三屏幕区域在第一时刻的亮度差值,将蒙版图层的透明度调整为第一透明度。In the first aspect, an embodiment of the present application provides a compensation method, which is applied to an electronic device with a display screen, and the display screen includes a first screen area, a second screen area, and a third screen area, wherein the second screen area The brightness of the third screen area is controlled by the same gamma parameter, and the method includes: the electronic device separately determines the brightness of the first screen area, the second screen area, and the third screen area at the first moment; the electronic device determines the brightness of the first screen area at The first gamma parameter corresponding to the brightness at the first moment, and set the second gamma parameter of the second screen area and the third screen area as the first gamma parameter, when the third screen area needs to display content, electronic The device adds a mask layer to the third screen area, and then the electronic device adjusts the transparency of the mask layer to the first transparency according to the brightness difference between the second screen area and the third screen area at the first moment.
本申请实施例中,由于第二屏幕区域与第三屏幕区域由同一伽玛参数控制亮度,所以调节该同一伽玛参数,可以降低第二屏幕区域和第三屏幕区域的亮度,采用第一屏幕区域对应的第一伽玛参数替换第二屏幕区域的第二伽玛参数,就可以将第二屏幕区域的亮度调整至与第一屏幕区域的亮度一致,而第三屏幕区域的亮度的调整量与第二屏幕区域的亮度的调整量相同,所以第三屏幕区域与第一屏幕区域之间仍存在亮度差值,然后,在第三屏幕区域增加蒙版图层,根据第二屏幕区域和第三屏幕区域在第一时刻的亮度差值,将蒙版图层的透明度调整为第一透明度,可以将第三屏幕区域的亮度调整为与第二屏幕区域相同,从而可实现降低电子设备的各屏幕区域之间的亮度的差异,使不同屏幕区域的显示效果一致。In the embodiment of this application, since the brightness of the second screen area and the third screen area are controlled by the same gamma parameter, adjusting the same gamma parameter can reduce the brightness of the second screen area and the third screen area, and the first screen area The first gamma parameter corresponding to the area replaces the second gamma parameter of the second screen area, so that the brightness of the second screen area can be adjusted to be consistent with the brightness of the first screen area, and the adjustment amount of the brightness of the third screen area The adjustment amount is the same as the brightness of the second screen area, so there is still a brightness difference between the third screen area and the first screen area. Then, add a mask layer in the third screen area, according to the second screen area and the third screen area. The brightness difference of the screen area at the first moment, adjust the transparency of the mask layer to the first transparency, and adjust the brightness of the third screen area to be the same as the second screen area, so as to realize the reduction of each screen area of the electronic device The brightness difference between them makes the display effect of different screen areas consistent.
一种可能的设计中,分别确定第一屏幕区域、第二屏幕区域和第三屏幕区域在第一时刻的亮度,包括:分别根据所述第一屏幕区域、所述第二屏幕区域、所述第三屏幕区域的初始亮度、亮屏状态的总时长、以及制作工艺参数,确定所述第一屏幕区域、所述第二屏幕区域和所述第三屏幕区域在第一时刻的亮度。如此,可便于实时确定三个屏幕区域的在第一时刻的亮度,从而实时对三个屏幕区域的亮度差异进行调整。In a possible design, respectively determining the brightness of the first screen area, the second screen area, and the third screen area at the first moment includes: respectively according to the first screen area, the second screen area, the The initial brightness of the third screen area, the total duration of the on-screen state, and manufacturing process parameters determine the brightness of the first screen area, the second screen area, and the third screen area at the first moment. In this way, it is convenient to determine the brightness of the three screen areas at the first moment in real time, so as to adjust the brightness differences of the three screen areas in real time.
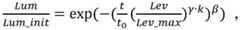
一种可能的设计中,采用如下公式确定所述第一屏幕区域、所述第二屏幕区域和所述第三屏幕区域中任一屏幕区域在第一时刻的亮度:其中,所述Lum为所述屏幕区域从出厂时刻到所述第一时刻的屏幕亮度,所述Lum_init为所述屏幕区域在出厂时刻的最大亮度,t为所述屏幕区域从出厂时刻到所述第一时刻处于亮屏状态的总时长,t0为所述屏幕区域的理论最大发光时长,Lev为所述屏幕区域包括的各发光单元中在第一时刻亮度最大的发光单元的亮度,Lev_max为所述屏幕区域包括的各发光单元中在出厂时刻的亮度最大的发光单元;所述γ为第一制作工艺参数,k为第二制作工艺参数,β为第三制作工艺参数。In a possible design, the brightness of any screen area in the first screen area, the second screen area, and the third screen area at the first moment is determined by using the following formula: Wherein, the Lum is the screen brightness of the screen area from the time of delivery to the first time, the Lum_init is the maximum brightness of the screen area at the time of delivery, and t is the brightness of the screen area from the time of delivery to the first time. The total duration of being in the bright screen state at the first moment,t0 is the theoretical maximum light-emitting duration of the screen area, Lev is the brightness of the light-emitting unit with the highest brightness at the first moment among the light-emitting units included in the screen area, and Lev_max is Among the light-emitting units included in the screen area, the light-emitting unit with the highest brightness at the time of delivery; the γ is the first manufacturing process parameter, k is the second manufacturing process parameter, and β is the third manufacturing process parameter.
一种可能的设计中,在分别确定第一屏幕区域、第二屏幕区域和第三屏幕区域在第一时刻的亮度之后,在确定第一屏幕区域在第一时刻的亮度所对应的第一伽玛参数之前,还包括:确定第二屏幕区域的亮度大于第一屏幕区域的亮度、且小于第三屏幕区域的亮度。在这种情况下,可以分别对亮度较大的第二屏幕区域和第三屏幕区域的亮度进行调整,以降低第二屏幕区域和第三屏幕区域的亮度分别与第一屏幕区域的亮度之间的差异。In a possible design, after determining the brightness of the first screen area, the second screen area and the third screen area at the first moment respectively, after determining the first gamma corresponding to the brightness of the first screen area at the first moment Before the M parameter, it also includes: determining that the brightness of the second screen area is greater than the brightness of the first screen area and smaller than the brightness of the third screen area. In this case, the brightness of the second screen area and the third screen area with higher brightness can be adjusted respectively to reduce the difference between the brightness of the second screen area and the third screen area and the brightness of the first screen area. difference.
一种可能的设计中,确定第一屏幕区域在第一时刻的亮度所对应的第一伽玛参数,可根据第一屏幕区域在第一时刻的亮度所对应的灰阶值、以及第一对应关系,确定第一屏幕区域在第一时刻的亮度所对应的第一伽玛参数,其中,第一对应关系包括伽玛参数与灰阶值的对应关系。这样可以简便的确定第一屏幕区域的伽玛参数。In a possible design, determining the first gamma parameter corresponding to the brightness of the first screen area at the first moment can be based on the gray scale value corresponding to the brightness of the first screen area at the first moment and the first corresponding relationship, to determine the first gamma parameter corresponding to the brightness of the first screen area at the first moment, wherein the first correspondence relationship includes the correspondence relationship between the gamma parameter and the grayscale value. In this way, the gamma parameter of the first screen area can be easily determined.
一种可能的设计中,将第二屏幕区域和第三屏幕区域的第二伽玛参数设置为第一伽玛参数,可包括:从内部存储器中的配置文件读取第二屏幕区域和第三屏幕区域的第二伽玛参数的存储位置;删除第二伽玛参数的存储位置中的第二伽玛参数,并将第一伽玛参数写入到第二伽玛参数的存储位置中。In a possible design, setting the second gamma parameter of the second screen area and the third screen area as the first gamma parameter may include: reading the second screen area and the third gamma parameter from a configuration file in the internal memory. The storage location of the second gamma parameter in the screen area; delete the second gamma parameter in the storage location of the second gamma parameter, and write the first gamma parameter into the storage location of the second gamma parameter.
一种可能的设计中,在第三屏幕区域增加蒙版图层之前,该方法还可以包括:确定第三屏幕区域支持蒙版图层特性。也就是说,在第三屏幕区域支持蒙版图层特性的情况下,增加蒙版图层;在第三屏幕区域不支持蒙版图层特性的情况下,不作任何操作。In a possible design, before adding the mask layer in the third screen area, the method may further include: determining that the third screen area supports the feature of the mask layer. That is to say, if the third screen area supports the feature of the mask layer, the mask layer is added; if the third screen area does not support the feature of the mask layer, no operation is performed.
一种可能的设计中,电子设备根据第二屏幕区域和第三屏幕区域在第一时刻的亮度差值,将蒙版图层的透明度调整为第一透明度,可以包括:电子设备根据第二屏幕区域和第三屏幕区域在第一时刻的亮度差值,确定亮度差值占第三屏幕区域的初始亮度的百分比;将百分比作为第一透明度;将蒙版图层的透明度调整为第一透明度。其中,蒙版图层的透明度可以取值0-100,透明度的取值为0时,表示完全透明,透明度的取值为100,表示完全不透明,通过将第二屏幕区域和第三屏幕区域之间的亮度差值占第三屏幕区域的初始亮度的百分比,作为第一透明度,可以将第三屏幕区域的亮度降低该亮度差值,从而实现将第三屏幕区域的亮度降低至与第一屏幕区域一致。In a possible design, the electronic device adjusts the transparency of the mask layer to the first transparency according to the brightness difference between the second screen area and the third screen area at the first moment, which may include: the electronic device adjusts the transparency of the mask layer according to the second screen area and the brightness difference of the third screen area at the first moment, determine the percentage of the brightness difference to the initial brightness of the third screen area; use the percentage as the first transparency; adjust the transparency of the mask layer to the first transparency. Among them, the transparency of the mask layer can take a value of 0-100. When the value of the transparency is 0, it means that it is completely transparent, and when the value of the transparency is 100, it means that it is completely opaque. The brightness difference of the third screen area accounts for the percentage of the initial brightness of the third screen area. As the first transparency, the brightness of the third screen area can be reduced by the brightness difference, thereby reducing the brightness of the third screen area to the same as the first screen area. unanimous.
一种可能的设计中,电子设备在第三屏幕区域增加蒙版图层之前,该方法还可以包括:获取第三屏幕区域的显示信息;根据第三屏幕区域的显示信息,确定蒙版图层的图层参数;图层参数包括分辨率、方向、尺寸、透明度中的一种或多种;在第三屏幕区域增加蒙版图层之后,该方法还可以包括:设置蒙版图层的图层参数。In a possible design, before the electronic device adds the mask layer in the third screen area, the method may further include: acquiring display information of the third screen area; determining the image of the mask layer according to the display information of the third screen area Layer parameters; the layer parameters include one or more of resolution, direction, size, and transparency; after the mask layer is added in the third screen area, the method may further include: setting the layer parameters of the mask layer.
一种可能的设计中,上述方法还包括:在确定蒙版图层的图层参数发生变化时,确定出变化后图层参数;根据变化后图层参数,设置蒙版图层的图层参数。如此,可在蒙版图层的图层参数发生变化时,及时对蒙版图层的图层参数进行更新。In a possible design, the above method further includes: when it is determined that the layer parameters of the mask layer are changed, determining the changed layer parameters; and setting the layer parameters of the mask layer according to the changed layer parameters. In this way, when the layer parameters of the mask layer change, the layer parameters of the mask layer can be updated in time.
一种可能的设计中,上述方法还包括:当电子设备的屏幕方向发生变化或者屏幕分辨率发生变化时,确定出变化后方向或者变化后分辨率所对应的第一蒙版属性;第一蒙版属性包括显示屏的高和宽、蒙版图层的坐标、蒙版图层的高和宽;将蒙版图层的蒙版属性调整为第一蒙版属性。如此,在电子设备的屏幕方向发生变化或者屏幕分辨率发生变化时,适应性的调整蒙版图层的蒙版属性,以便实现蒙版图层适应第三屏幕区域的变化。In a possible design, the above method further includes: when the screen orientation of the electronic device changes or the screen resolution changes, determining the first mask attribute corresponding to the changed orientation or the changed resolution; The plate attribute includes the height and width of the display screen, the coordinates of the mask layer, and the height and width of the mask layer; the mask attribute of the mask layer is adjusted to be the first mask attribute. In this way, when the orientation of the screen of the electronic device changes or the resolution of the screen changes, the mask attribute of the mask layer is adaptively adjusted so that the mask layer can adapt to the change of the third screen area.
一种可能的设计中,该方法还可以包括:当确定第三屏幕区域与第二屏幕区域的亮度差值发生变化时,确定变化后亮度差值占第三屏幕区域的初始亮度的百分比,作为第二透明度;将蒙版图层的透明度调整为第二透明度。如此,可在第三屏幕区域与第二屏幕区域的亮度差值发生变化时,及时对蒙版图层的透明度进行更新,及时降低各屏幕区域之间的亮度的差异,使不同屏幕区域的显示效果一致。In a possible design, the method may further include: when it is determined that the brightness difference between the third screen area and the second screen area changes, determining the percentage of the changed brightness difference in the initial brightness of the third screen area, as Secondary Transparency; adjusts the transparency of the mask layer to Secondary Transparency. In this way, when the brightness difference between the third screen area and the second screen area changes, the transparency of the mask layer can be updated in time, and the brightness difference between each screen area can be reduced in time, so that the display effect of different screen areas unanimous.
一种可能的设计中,当第三屏幕区域关闭显示时,删除蒙版图层。如此,第三屏幕区域在不显示时删除蒙版图层,可以节省系统开销。In a possible design, when the display of the third screen area is turned off, the mask layer is deleted. In this way, the mask layer is deleted when the third screen area is not displayed, which can save system overhead.
一种可能的设计中,当电子设备的屏幕方向发生变化或者屏幕分辨率发生变化时,根据变化后方向或者变化后分辨率调整蒙版图层的分辨率。从而可以实现蒙版图层适应第三屏幕区域的变化,避免出现第三屏幕区域的实际显示区域与屏幕分辨率不匹配的问题。In a possible design, when the screen orientation or screen resolution of the electronic device changes, the resolution of the mask layer is adjusted according to the changed orientation or the changed resolution. Therefore, the mask layer can adapt to the change of the third screen area, and avoid the problem that the actual display area of the third screen area does not match the screen resolution.
一种可能的设计中,当电子设备开启截屏或录屏功能时,若确定待截取内容包括蒙版图层,则从待截取内容中删除蒙版图层,并对已删除蒙版图层的待截取内容执行截屏或录屏功能。In one possible design, when the screen capture or screen recording function is enabled on the electronic device, if it is determined that the content to be captured includes a mask layer, the mask layer is deleted from the content to be captured, and the content to be captured of the deleted mask layer is Perform screen capture or screen recording functions.
通过该设计,当截屏或录屏之后的内容屏幕亮度具有一致性的电子设备中播放时,可以避免出现蒙版图层所在区域的亮度较暗,而其他地方的亮度偏亮的情况。Through this design, when the screen capture or screen recording is played on an electronic device with consistent screen brightness, it can avoid the situation that the brightness of the area where the mask layer is located is darker, while the brightness of other places is brighter.
一种可能的设计中,当电子设备需要向外设显示器分享显示内容时,若确定待分享内容包括蒙版图层,则从待分享内容中删除蒙版图层,并向外设显示器分享已删除蒙版图层的待分享内容。In one possible design, when the electronic device needs to share the displayed content with the external display, if it is determined that the content to be shared includes a mask layer, the mask layer is deleted from the content to be shared, and the deleted mask layer is shared with the external display. The content to be shared on the layout layer.
通过该设计,可以避免在屏幕亮度具有一致性的外设显示器播放分享的内容时,出现蒙版图层所在区域的亮度较暗,而其他地方的亮度偏亮的情况。This design can avoid the situation where the brightness of the area where the mask layer is located is darker while the brightness of other areas is brighter when the shared content is played on an external display with consistent screen brightness.
第二方面,本申请实施例提供一种补偿方法,该方法应用于具有显示屏的电子设备,显示屏包括第一屏幕区域、第二屏幕区域、以及第三屏幕区域,方法包括:电子设备分别确定第一屏幕区域、第二屏幕区域和第三屏幕区域在第一时刻的亮度;当第二屏幕区域需要显示内容时,在第二屏幕区域增加第一蒙版图层,并根据第一屏幕区域和第二屏幕区域在第一时刻的第一亮度差值,将第一蒙版图层的透明度调整为第二透明度;当第三屏幕区域需要显示内容时,在第三屏幕区域增加第二蒙版图层,并根据第一屏幕区域和第三屏幕区域在第一时刻的第二亮度差值,将第二蒙版图层的透明度调整为第三透明度。In the second aspect, the embodiment of the present application provides a compensation method, which is applied to an electronic device with a display screen, the display screen includes a first screen area, a second screen area, and a third screen area, and the method includes: the electronic device respectively Determine the brightness of the first screen area, the second screen area, and the third screen area at the first moment; when the second screen area needs to display content, add the first mask layer to the second screen area, and according to the first screen area and the first brightness difference of the second screen area at the first moment, adjust the transparency of the first mask layer to the second transparency; when the third screen area needs to display content, add the second mask image in the third screen area layer, and adjust the transparency of the second mask layer to the third transparency according to the second brightness difference between the first screen area and the third screen area at the first moment.
本申请实施例中,电子设备通过分别在第二屏幕区域和第三屏幕区域增加蒙版图层,可以分别调节第二屏幕区域和第三屏幕区域对应的蒙版图层的透明度,可以使第二屏幕区域的亮度调整至与第一屏幕区域的亮度一致,第三屏幕区域的亮度也调整至与第一屏幕区域的亮度一致,从而实现降低电子设备的各屏幕区域之间的亮度的差异,使不同屏幕区域的显示效果一致。In the embodiment of the present application, the electronic device can respectively adjust the transparency of the mask layers corresponding to the second screen area and the third screen area by adding mask layers in the second screen area and the third screen area, and can make the second screen area The brightness of the area is adjusted to be consistent with the brightness of the first screen area, and the brightness of the third screen area is also adjusted to be consistent with the brightness of the first screen area, so as to reduce the difference in brightness between the screen areas of the electronic device and make different The display effect of the screen area is consistent.
一种可能的设计中,分别确定第一屏幕区域、第二屏幕区域和第三屏幕区域在第一时刻的亮度,包括:分别根据所述第一屏幕区域、所述第二屏幕区域、所述第三屏幕区域的初始亮度、亮屏状态的总时长、以及制作工艺参数,确定所述第一屏幕区域、所述第二屏幕区域和所述第三屏幕区域在第一时刻的亮度。如此,可便于实时确定三个屏幕区域的在第一时刻的亮度,从而实时对三个屏幕区域的亮度差异进行调整。In a possible design, respectively determining the brightness of the first screen area, the second screen area, and the third screen area at the first moment includes: respectively according to the first screen area, the second screen area, the The initial brightness of the third screen area, the total duration of the on-screen state, and manufacturing process parameters determine the brightness of the first screen area, the second screen area, and the third screen area at the first moment. In this way, it is convenient to determine the brightness of the three screen areas at the first moment in real time, so as to adjust the brightness differences of the three screen areas in real time.
一种可能的设计中,采用如下公式确定所述第一屏幕区域、所述第二屏幕区域和所述第三屏幕区域中任一屏幕区域在第一时刻的亮度:其中,所述Lum为所述屏幕区域从出厂时刻到所述第一时刻的屏幕亮度,所述Lum_init为所述屏幕区域在出厂时刻的最大亮度,t为所述屏幕区域从出厂时刻到所述第一时刻处于亮屏状态的总时长,t0为所述屏幕区域的理论最大发光时长,Lev为所述屏幕区域包括的各发光单元中在第一时刻亮度最大的发光单元的亮度,Lev_max为所述屏幕区域包括的各发光单元中在出厂时刻的亮度最大的发光单元;所述γ为第一制作工艺参数,k为第二制作工艺参数,β为第三制作工艺参数。In a possible design, the brightness of any screen area in the first screen area, the second screen area, and the third screen area at the first moment is determined by using the following formula: Wherein, the Lum is the screen brightness of the screen area from the time of delivery to the first time, the Lum_init is the maximum brightness of the screen area at the time of delivery, and t is the brightness of the screen area from the time of delivery to the first time. The total duration of being in the bright screen state at the first moment,t0 is the theoretical maximum light-emitting duration of the screen area, Lev is the brightness of the light-emitting unit with the highest brightness at the first moment among the light-emitting units included in the screen area, and Lev_max is Among the light-emitting units included in the screen area, the light-emitting unit with the highest brightness at the time of delivery; the γ is the first manufacturing process parameter, k is the second manufacturing process parameter, and β is the third manufacturing process parameter.
一种可能的设计中,在分别确定第一屏幕区域、第二屏幕区域和第三屏幕区域在第一时刻的亮度之后,还包括:确定第二屏幕区域的亮度大于第一屏幕区域的亮度、且小于第三屏幕区域的亮度。在这种情况下,可以分别对亮度较大的第二屏幕区域和第三屏幕区域的亮度进行调整,以降低第二屏幕区域和第三屏幕区域的亮度分别与第一屏幕区域的亮度之间的差异。In a possible design, after respectively determining the brightness of the first screen area, the second screen area and the third screen area at the first moment, it further includes: determining that the brightness of the second screen area is greater than the brightness of the first screen area, And less than the brightness of the third screen area. In this case, the brightness of the second screen area and the third screen area with higher brightness can be adjusted respectively to reduce the difference between the brightness of the second screen area and the third screen area and the brightness of the first screen area. difference.
一种可能的设计中,在第二屏幕区域增加第一蒙版图层之前,该方法还可以包括:确定第二屏幕区域支持蒙版图层特性。也就是说,在第三屏幕区域支持蒙版图层特性的情况下,增加第一蒙版图层;在第三屏幕区域不支持蒙版图层特性的情况下,不作任何操作。In a possible design, before adding the first mask layer to the second screen area, the method may further include: determining that the second screen area supports the feature of the mask layer. That is to say, if the third screen area supports the feature of the mask layer, add the first mask layer; if the third screen area does not support the feature of the mask layer, no operation is performed.
一种可能的设计中,在第三屏幕区域增加第二蒙版图层之前,该方法还可以包括:确定第三屏幕区域支持蒙版图层特性。也就是说,在第三屏幕区域支持蒙版图层特性的情况下,增加第二蒙版图层;在第三屏幕区域不支持蒙版图层特性的情况下,不作任何操作。In a possible design, before adding the second mask layer to the third screen area, the method may further include: determining that the third screen area supports the mask layer feature. That is to say, if the third screen area supports the feature of the mask layer, add the second mask layer; if the third screen area does not support the feature of the mask layer, no operation is performed.
一种可能的设计中,根据第一屏幕区域和第二屏幕区域在第一时刻的第一亮度差值,将第一蒙版图层的透明度调整为第二透明度,包括:根据第一屏幕区域和第二屏幕区域在第一时刻的第一亮度差值,确定第一亮度差值占第二屏幕区域的初始亮度的第一百分比;将第一百分比作为第二透明度;将第一蒙版图层的透明度调整为第二透明度。通过将第一屏幕区域和第二屏幕区域之间的第一亮度差值占第二屏幕区域的初始亮度的第一百分比,作为第二透明度,可以将第二屏幕区域的亮度降低该第一亮度差值,从而实现将第二屏幕区域的亮度降低至与第一屏幕区域一致。In a possible design, adjusting the transparency of the first mask layer to the second transparency according to the first brightness difference between the first screen area and the second screen area at the first moment includes: according to the first screen area and For the first brightness difference value of the second screen area at the first moment, determine the first percentage of the first brightness difference value in the initial brightness of the second screen area; use the first percentage as the second transparency; use the first Adjust the transparency of the mask layer to the second transparency. By using the first brightness difference between the first screen area and the second screen area as the first percentage of the initial brightness of the second screen area as the second transparency, the brightness of the second screen area can be reduced by the first percentage A brightness difference value, so as to reduce the brightness of the second screen area to be consistent with that of the first screen area.
一种可能的设计中,在第二屏幕区域增加第一蒙版图层之前,该方法还可以包括:获取第二屏幕区域的显示信息;根据第二屏幕区域的显示信息,确定第一蒙版图层的图层参数;图层参数包括第一蒙版图层的分辨率、方向、尺寸、透明度中的一种或多种;在第三屏幕区域增加第一蒙版图层之后,该方法还可以包括:设置第一蒙版图层的图层参数。In a possible design, before adding the first mask layer to the second screen area, the method may further include: acquiring display information of the second screen area; determining the first mask layer according to the display information of the second screen area The layer parameters; the layer parameters include one or more of the resolution, direction, size, and transparency of the first mask layer; after adding the first mask layer to the third screen area, the method may also include: Set the layer parameters for the first mask layer.
一种可能的设计中,上述方法还包括:在确定第一蒙版图层的图层参数发生变化时,确定出第一变化后图层参数;根据第一变化后图层参数,设置第一蒙版图层的第一图层参数。如此,可在第一蒙版图层的图层参数发生变化时,及时对第一蒙版图层的图层参数进行更新。In a possible design, the above method also includes: when it is determined that the layer parameters of the first mask layer change, determine the first changed layer parameters; according to the first changed layer parameters, set the first mask layer The first layer parameter of the layout layer. In this way, when the layer parameters of the first mask layer change, the layer parameters of the first mask layer can be updated in time.
一种可能的设计中,上述方法还包括:当电子设备的屏幕方向发生变化或者屏幕分辨率发生变化时,确定出变化后方向或者变化后分辨率所对应的第一蒙版属性;第一蒙版属性包括显示屏的高和宽、第一蒙版图层的坐标、一蒙版图层的高和宽;将第一蒙版图层的蒙版属性调整为第一蒙版属性。如此,在电子设备的屏幕方向发生变化或者屏幕分辨率发生变化时,适应性的调整第一蒙版图层的蒙版属性,以便实现第一蒙版图层适应第二屏幕区域的变化。In a possible design, the above method further includes: when the screen orientation of the electronic device changes or the screen resolution changes, determining the first mask attribute corresponding to the changed orientation or the changed resolution; The plate attribute includes the height and width of the display screen, the coordinates of the first mask layer, and the height and width of a mask layer; the mask attribute of the first mask layer is adjusted to the first mask attribute. In this way, when the screen orientation of the electronic device changes or the screen resolution changes, the mask attribute of the first mask layer is adaptively adjusted, so as to realize that the first mask layer adapts to the change of the second screen area.
一种可能的设计中,该方法还可以包括:当确定第二屏幕区域与第一屏幕区域的亮度差值发生变化时,确定出变化后亮度差值占第二屏幕区域的初始亮度的百分比,作为第四透明度;将第一蒙版图层的透明度调整为第四透明度。如此,可在第一屏幕区域与第二屏幕区域的亮度差值发生变化时,及时对第二屏幕区域的第一蒙版图层的透明度进行更新,及时降低各屏幕区域之间的亮度的差异,使不同屏幕区域的显示效果一致。In a possible design, the method may further include: when it is determined that the brightness difference between the second screen area and the first screen area changes, determining the percentage of the changed brightness difference to the initial brightness of the second screen area, As the fourth transparency; adjust the transparency of the first mask layer to the fourth transparency. In this way, when the brightness difference between the first screen area and the second screen area changes, the transparency of the first mask layer in the second screen area can be updated in time, and the brightness difference between the screen areas can be reduced in time. Make the display effect of different screen areas consistent.
一种可能的设计中,根据第一屏幕区域和第三屏幕区域在第一时刻的第二亮度差值,将第二蒙版图层的透明度调整为第三透明度,包括:根据第一屏幕区域和第三屏幕区域在第一时刻的第二亮度差值,确定第二亮度差值占第三屏幕区域的初始亮度的第二百分比;将第二百分比作为第三透明度;将第二蒙版图层的透明度调整为第三透明度。通过将第一屏幕区域和第三屏幕区域之间的第二亮度差值占第三屏幕区域的初始亮度的第二百分比,作为第三透明度,可以将第三屏幕区域的亮度降低该第二亮度差值,从而实现将第三屏幕区域的亮度降低至与第一屏幕区域一致。In a possible design, according to the second brightness difference between the first screen area and the third screen area at the first moment, the transparency of the second mask layer is adjusted to the third transparency, including: according to the first screen area and the third screen area For the second brightness difference value of the third screen area at the first moment, determine the second percentage of the second brightness difference value in the initial brightness of the third screen area; use the second percentage as the third transparency; use the second Adjust the transparency of the mask layer to a third transparency. By using the second brightness difference between the first screen area and the third screen area as a second percentage of the initial brightness of the third screen area as the third transparency, the brightness of the third screen area can be reduced by the second percentage. Two brightness difference values, so as to reduce the brightness of the third screen area to be consistent with that of the first screen area.
一种可能的设计中,在第三屏幕区域增加第二蒙版图层之前,该方法还可以包括:获取第三屏幕区域的显示信息;根据第三屏幕区域的显示信息,确定第二蒙版图层的图层参数;图层参数包括第二蒙版图层的分辨率、方向、尺寸、透明度中的一种或多种;在第三屏幕区域增加第二蒙版图层之后,还包括:设置第二蒙版图层的图层参数。In a possible design, before adding the second mask layer in the third screen area, the method may further include: acquiring display information of the third screen area; determining the second mask layer according to the display information of the third screen area The layer parameters; the layer parameters include one or more of the resolution, direction, size, and transparency of the second mask layer; after adding the second mask layer in the third screen area, it also includes: setting the second mask layer Layer parameters for the mask layer.
一种可能的设计中,上述方法还包括:在确定第一蒙版图层的图层参数发生变化时,确定出第二变化后图层参数;根据第二变化后图层参数,设置第二蒙版图层的图层参数。如此,可在第二蒙版图层的图层参数发生变化时,及时对第二蒙版图层的图层参数进行更新。In a possible design, the above method further includes: when determining that the layer parameters of the first mask layer are changed, determining the second changed layer parameters; according to the second changed layer parameters, setting the second mask layer Layer parameters for the layout layer. In this way, when the layer parameters of the second mask layer change, the layer parameters of the second mask layer can be updated in time.
一种可能的设计中,上述方法还包括:当电子设备的屏幕方向发生变化或者屏幕分辨率发生变化时,确定出变化后方向或者变化后分辨率所对应的第二蒙版属性;第二蒙版属性包括显示屏的高和宽、第二蒙版图层的坐标、二蒙版图层的高和宽,电子设备将第二蒙版图层的蒙版属性调整为第二蒙版属性。如此,在电子设备的屏幕方向发生变化或者屏幕分辨率发生变化时,适应性的调整第二蒙版图层的蒙版属性,以便实现第二蒙版图层适应第三屏幕区域的变化。In a possible design, the above method further includes: when the screen orientation of the electronic device changes or the screen resolution changes, determining the second mask attribute corresponding to the changed orientation or the changed resolution; The plate attribute includes the height and width of the display screen, the coordinates of the second mask layer, and the height and width of the second mask layer, and the electronic device adjusts the mask attribute of the second mask layer to the second mask attribute. In this way, when the screen orientation of the electronic device changes or the screen resolution changes, the mask attribute of the second mask layer is adaptively adjusted, so as to realize that the second mask layer adapts to the change of the third screen area.
一种可能的设计中,该方法还可以包括:当确定第三屏幕区域与第一屏幕区域的亮度差值发生变化时,确定出变化后亮度差值占第三屏幕区域的初始亮度的百分比,作为第五透明度;将第二蒙版图层的透明度调整为第五透明度。如此,可在第一屏幕区域与第三屏幕区域的亮度差值发生变化时,及时对第三屏幕区域的第二蒙版图层的透明度进行更新,及时降低各屏幕区域之间的亮度的差异,使不同屏幕区域的显示效果一致。In a possible design, the method may further include: when it is determined that the brightness difference between the third screen area and the first screen area changes, determining the percentage of the changed brightness difference to the initial brightness of the third screen area, As Fifth Transparency; adjust the transparency of the second mask layer to Fifth Transparency. In this way, when the brightness difference between the first screen area and the third screen area changes, the transparency of the second mask layer in the third screen area can be updated in time, and the brightness difference between the screen areas can be reduced in time. Make the display effect of different screen areas consistent.
一种可能的设计中,当第二屏幕区域关闭显示时,删除第一蒙版图层;当第三屏幕区域关闭显示时,删除第二蒙版图层。如此,第二屏幕区域和第三屏幕区域中任一屏幕区域在不显示时,删除相应屏幕区域对应的蒙版图层,可以节省系统开销。In a possible design, when the display of the second screen area is turned off, the first mask layer is deleted; when the display of the third screen area is turned off, the second mask layer is deleted. In this way, when any one of the second screen area and the third screen area is not displayed, the mask layer corresponding to the corresponding screen area is deleted, which can save system overhead.
一种可能的设计中,当电子设备的屏幕方向发生变化或者屏幕分辨率发生变化时,根据变化后方向或者变化后分辨率分别调整第一蒙版图层和第二蒙版图层的分辨率。从而可以实现蒙版图层适应相应的屏幕区域的分辨率变化,避免出现屏幕区域的实际显示区域与屏幕分辨率不匹配的问题。In a possible design, when the screen orientation or screen resolution of the electronic device changes, the resolutions of the first mask layer and the second mask layer are respectively adjusted according to the changed orientation or the changed resolution. Therefore, the mask layer can adapt to the resolution change of the corresponding screen area, and avoid the problem that the actual display area of the screen area does not match the screen resolution.
一种可能的设计中,当电子设备开启截屏或录屏功能时,若确定待截取内容包括第一蒙版图层,则从待截取内容中删除第一蒙版图层,并对已删除第一蒙版图层的待截取内容执行截屏或录屏功能;若确定待截取内容包括第二蒙版图层,则从待截取内容中删除第二蒙版图层,并对已删除第二蒙版图层的待截取内容执行截屏或录屏功能。In a possible design, when the electronic device starts the screen capture or screen recording function, if it is determined that the content to be captured includes the first mask layer, then delete the first mask layer from the content to be captured, and delete the deleted first mask layer. If it is determined that the content to be intercepted includes the second mask layer, then delete the second mask layer from the content to be intercepted, and the deleted second mask layer to be intercepted The content performs screen capture or screen recording functions.
通过该设计,当截屏或录屏之后的内容屏幕亮度具有一致性的电子设备中播放时,可以避免出现蒙版图层所在区域的亮度较暗,而其他地方的亮度偏亮的情况。Through this design, when the screen capture or screen recording is played on an electronic device with consistent screen brightness, it can avoid the situation that the brightness of the area where the mask layer is located is darker, while the brightness of other places is brighter.
一种可能的设计中,当电子设备需要向外设显示器分享显示内容时,若确定待分享内容包括第一蒙版图层,则从待分享内容中删除第一蒙版图层,并向外设显示器分享已删除第一蒙版图层的待分享内容;若确定待分享内容包括第二蒙版图层,则从待分享内容中删除第二蒙版图层,并向外设显示器分享已删除第二蒙版图层的待分享内容。In a possible design, when the electronic device needs to share the displayed content with the external display, if it is determined that the content to be shared includes the first mask layer, then delete the first mask layer from the content to be shared, and send the content to the external display Share the content to be shared with the deleted first mask layer; if it is determined that the content to be shared includes the second mask layer, delete the second mask layer from the content to be shared, and share the deleted second mask image to the external display Layer's content to be shared.
通过该设计,可以避免在屏幕亮度具有一致性的外设显示器播放分享的内容时,出现蒙版图层所在区域的亮度较暗,而其他地方的亮度偏亮的情况。This design can avoid the situation where the brightness of the area where the mask layer is located is darker while the brightness of other areas is brighter when the shared content is played on an external display with consistent screen brightness.
第三方面,本申请实施例还提供一种电子设备。该电子设备包括显示屏,所述显示屏包括第一屏幕区域、第二屏幕区域、以及与所述第二屏幕区域具有同一驱动电路结构的第三屏幕区域,一个或多个处理器;存储器;一个或多个程序;其中所述一个或多个程序被存储在所述存储器中,所述一个或多个程序包括指令,当所述指令被所述电子设备执行时,使得所述电子设备执行上述第一方面及其第一方面任一可能设计的技术方案,或者,执行上述第二方面及其第二方面任一可能设计的技术方案。In a third aspect, the embodiment of the present application further provides an electronic device. The electronic device includes a display screen, the display screen includes a first screen area, a second screen area, and a third screen area having the same driving circuit structure as the second screen area, one or more processors; a memory; one or more programs; wherein the one or more programs are stored in the memory, the one or more programs comprising instructions which, when executed by the electronic device, cause the electronic device to perform The above-mentioned first aspect and any possible technical solution of the first aspect thereof, or execute the above-mentioned second aspect and any possible technical solution of the second aspect thereof.
第四方面,本申请实施例还提供一种电子设备,所述电子设备包括执行上述第一方面或者第一方面的任意一种可能的设计的方法的模块/单元;这些模块/单元可以通过硬件实现,也可以通过硬件执行相应的软件实现。In the fourth aspect, the embodiment of the present application also provides an electronic device, the electronic device includes modules/units that perform any one of the possible design methods of the above-mentioned first aspect or the first aspect; these modules/units can be implemented through hardware It can also be realized by executing corresponding software through hardware.
第五方面,本申请实施例还提供一种芯片,所述芯片与电子设备中的存储器耦合,用于调用存储器中存储的计算机程序并执行本申请实施例第一方面及其第一方面任一可能设计的技术方案,或者,执行上述第二方面及其第二方面任一可能设计的技术方案;本申请实施例中“耦合”是指两个部件彼此直接或间接地结合。In the fifth aspect, the embodiment of the present application further provides a chip, the chip is coupled with the memory in the electronic device, and is used to call the computer program stored in the memory and execute the first aspect of the embodiment of the present application and any one of the first aspects thereof. A technical solution that may be designed, or a technical solution that implements the above second aspect and any possible design of the second aspect thereof; in the embodiment of the present application, "coupling" means that two components are directly or indirectly combined with each other.
第六方面,本申请实施例还提供一种计算机可读存储介质,所述计算机可读存储介质存储有计算机可执行指令,所述计算机可执行指令用于使所述计算机执行本申请实施例第一方面及其第一方面任一可能设计的技术方案,或者,执行上述第二方面及其第二方面任一可能设计的技术方案。In the sixth aspect, the embodiment of the present application further provides a computer-readable storage medium, the computer-readable storage medium stores computer-executable instructions, and the computer-executable instructions are used to make the computer execute the first method of the embodiment of the present application. One aspect and any possible design technical solution of the first aspect thereof, or implement the above-mentioned second aspect and any possible design technical solution of the second aspect thereof.
第七方面,本申请实施例的中一种程序产品,包括程序指令,当所述程序指令在电子设备上运行时,使得所述电子设备执行本申请实施例第一方面及其第一方面任一可能设计的技术方案,或者,执行上述第二方面及其第二方面任一可能设计的技术方案。In the seventh aspect, a program product in the embodiment of the present application includes program instructions, and when the program instructions are run on the electronic device, the electronic device executes the first aspect of the embodiment of the present application and any of the first aspects thereof. A technical solution that may be designed, or a technical solution that implements the above second aspect and any possible design of the second aspect.
附图说明Description of drawings
图1a为本申请实施例提供的一种手机完全展开时的形状示意图;Figure 1a is a schematic diagram of the shape of a mobile phone provided in the embodiment of the present application when it is fully expanded;
图1b为本申请实施例提供的一种手机部分折叠时的形状示意图;Fig. 1b is a schematic diagram of the shape of a partially folded mobile phone provided by the embodiment of the present application;
图1c为本申请实施例提供的一种手机完全折叠时的形状示意图;Figure 1c is a schematic diagram of the shape of a fully folded mobile phone provided by the embodiment of the present application;
图1d为本申请实施例提供的一种手机主屏、侧屏以及副屏之间的亮度差异示意图;Figure 1d is a schematic diagram of the brightness difference between the main screen, side screen and secondary screen of a mobile phone provided by the embodiment of the present application;
图1e为本申请实施例供的手机100的软件结构示意图;Figure 1e is a schematic diagram of the software structure of the
图2为本申请实施例供的手机100的硬件结构示意图;FIG. 2 is a schematic diagram of the hardware structure of the
图3a为本申请实施例提供的手机100的一种软件结构示意图;FIG. 3a is a schematic diagram of a software structure of the
图3b为本申请实施例提供的手机100的另一软件结构示意图;FIG. 3b is a schematic diagram of another software structure of the
图4为本申请实施例提供的一种创建蒙版图层过程的时序图;FIG. 4 is a sequence diagram of a process of creating a mask layer provided by an embodiment of the present application;
图5为本申请实施例提供的改变蒙版图层的透明度的过程示意图;Fig. 5 is a schematic diagram of the process of changing the transparency of the mask layer provided by the embodiment of the present application;
图6为本申请实施例提供的手机100的屏幕分辨率的示意图;FIG. 6 is a schematic diagram of the screen resolution of the
图7为本申请实施例提供的改变蒙版图层的分辨率的示意图;FIG. 7 is a schematic diagram of changing the resolution of a mask layer provided by an embodiment of the present application;
图8为本申请实施例提供的手机折叠状态变化时手机分辨率变化的示意图;Fig. 8 is a schematic diagram of the change of the resolution of the mobile phone when the folded state of the mobile phone is changed according to the embodiment of the present application;
图9为本申请实施例提供的截屏场景的示意图;FIG. 9 is a schematic diagram of a screenshot scene provided by an embodiment of the present application;
图10为本申请实施例提供的录屏或多显示器场景的示意图;FIG. 10 is a schematic diagram of a screen recording or a multi-monitor scene provided by an embodiment of the present application;
图11为本申请实施例提供的一种补偿方法的流程示意图;Fig. 11 is a schematic flow chart of a compensation method provided by the embodiment of the present application;
图12为本申请实施例提供的另一种补偿方法的流程示意图;Fig. 12 is a schematic flowchart of another compensation method provided by the embodiment of the present application;
图13为本申请实施例供的一种电子设备的结构示意图。FIG. 13 is a schematic structural diagram of an electronic device provided in an embodiment of the present application.
具体实施方式detailed description
下面将结合本申请实施例中的附图,对本申请实施例中的技术方案进行清楚、完整地描述。显然,所描述的实施例仅仅是本申请一部分实施例,并不是全部的实施例。基于本申请中的实施例,本领域普通技术人员在没有做出创造性劳动前提下所获得的所有其他实施例,都属于本申请保护的范围。The technical solutions in the embodiments of the present application will be clearly and completely described below in conjunction with the drawings in the embodiments of the present application. Apparently, the described embodiments are only some of the embodiments of this application, not all of them. Based on the embodiments in this application, all other embodiments obtained by persons of ordinary skill in the art without making creative efforts belong to the scope of protection of this application.
目前的具有显示屏的电子设备,其中显示屏可以包括多个屏幕区域,例如以显示屏包括第一屏幕区域、第二屏幕区域、以及第三屏幕区域为例,其中,第二屏幕区域与第三屏幕区域可以由同一伽玛参数控制亮度,同一伽玛参数控制亮度也可以是通过第二屏幕区域与第三屏幕区域的同一驱动电路来控制实现。由于通过同一伽玛参数控制第二屏幕区域与第三屏幕区域的亮度,使得第二屏幕区域的调整量与第三屏幕区域的调整量相同,所以,如果第二屏幕区域与第三屏幕区域之间存在亮度差异,这种通过同一伽玛参数控制亮度的方式可以降低第二屏幕区域与第一屏幕区域之间的亮度差异、以及降低第三屏幕区域与第一屏幕区域之间的亮度差异,并不能降低第二屏幕区域与第三屏幕区域之间的亮度差异。为了降低显示屏包括的各屏幕区域之间的亮度差异,以下实施例中提供一种补偿方法,用以实现降低电子设备的各屏幕区域之间的亮度的差异,使不同屏幕区域的显示效果一致。In the current electronic equipment with a display screen, the display screen may include a plurality of screen areas, for example, the display screen includes a first screen area, a second screen area, and a third screen area as an example, wherein the second screen area and the first screen area The brightness of the three screen areas can be controlled by the same gamma parameter, and the brightness control by the same gamma parameter can also be realized by controlling the brightness of the second screen area and the third screen area by the same driving circuit. Since the brightness of the second screen area and the third screen area are controlled by the same gamma parameter, the adjustment amount of the second screen area is the same as the adjustment amount of the third screen area, so if the second screen area and the third screen area There is a brightness difference between them, this method of controlling brightness through the same gamma parameter can reduce the brightness difference between the second screen area and the first screen area, and reduce the brightness difference between the third screen area and the first screen area, The brightness difference between the second screen area and the third screen area cannot be reduced. In order to reduce the brightness difference between the various screen areas included in the display screen, a compensation method is provided in the following embodiment, which is used to reduce the brightness difference between the various screen areas of the electronic device, so that the display effects of different screen areas are consistent .
需要说明的是,本申请实施例中各个屏幕区域的亮度指的是屏幕区域的实际亮度。以主屏与副屏之间的亮度存在差异为例进行说明,即在主屏的亮度与副屏的亮度不一致时,即使对主屏和副屏设置同样的亮度参数(例如,主屏的亮度参数指主屏的实际亮度与主屏在出厂时的最大亮度(也可以称为初始亮度)的百分比,可以简称亮度百分比)时,主屏的亮度与副屏的亮度并不一定是一样的,举个例子,以主屏的最大亮度为500nit,副屏的最大亮度为400nit为例,用户将主屏和副屏的亮度参数都设置为50%,实际上,主屏的亮度为250nit,副屏的亮度为200nit,所以,主屏的亮度和副屏的亮度显示效果并不一致。而下文中,为了方便说明,以主屏、副屏、侧屏的初始最大亮度一致为例进行说明,这样下文中除特别说明外,主屏、副屏、侧屏的亮度都可以用亮度参数来表示,也就是,采用亮度百分比的方式来说明。It should be noted that the brightness of each screen area in the embodiment of the present application refers to the actual brightness of the screen area. Take the difference in brightness between the main screen and the secondary screen as an example, that is, when the brightness of the main screen is inconsistent with that of the secondary screen, even if the same brightness parameter is set for the primary screen and secondary screen (for example, the brightness parameter of the primary screen refers to the brightness parameter of the primary screen). When the actual brightness is the percentage of the maximum brightness of the main screen when it leaves the factory (also called the initial brightness), it can be referred to as the brightness percentage), the brightness of the main screen is not necessarily the same as the brightness of the secondary screen. For example, the brightness of the main screen The maximum brightness is 500nit, and the maximum brightness of the secondary screen is 400nit. For example, the user sets the brightness parameters of the main screen and secondary screen to 50%. In fact, the brightness of the main screen is 250nit, and the brightness of the secondary screen is 200nit. Therefore, the brightness of the main screen The brightness and the brightness display effect of the secondary screen are not consistent. In the following, for the convenience of explanation, the initial maximum brightness of the main screen, secondary screen, and side screen is consistent as an example. In this way, unless otherwise specified, the brightness of the main screen, secondary screen, and side screen can be represented by brightness parameters. , that is, it is described in terms of brightness percentage.
本申请实施例中的电子设备,可以为手机、平板电脑(pad)、笔记本电脑等。该电子设备可以是具有不同屏幕区域(或显示区域)的电子设备,不同的屏幕区域可以折叠,可以拉伸,也可以部分显示。以电子设备为具有折叠屏的手机为例,手机的折叠屏可以采用一个一体的柔性显示屏,也可以采用至少两个刚性屏以及位于两个刚性屏之间的一个柔性屏组成的显示屏。本申请实施例提供的折叠屏以包括三部分为例,如图1a、1b以及1c所示,折叠屏可包括第一屏111、第二屏112、以及连接第一屏111和第二屏113的可弯折区112。The electronic device in the embodiment of the present application may be a mobile phone, a tablet computer (pad), a notebook computer, and the like. The electronic device may be an electronic device with different screen areas (or display areas), and different screen areas may be folded, stretched, or partially displayed. Taking the electronic device as a mobile phone with a folding screen as an example, the folding screen of the mobile phone may use an integrated flexible display, or may use a display composed of at least two rigid screens and a flexible screen between the two rigid screens. The folding screen provided in the embodiment of the present application includes three parts as an example. As shown in FIGS. The
下面结合附图对手机的折叠屏处于不同状态下的形状进行说明。The shapes of the folding screen of the mobile phone in different states will be described below with reference to the accompanying drawings.
图1a示出了手机在完全展开时的形状示意图。如图1a中所示,在手机展开时,手机的壳体120展开,同时,折叠屏110也展开。其中,折叠屏110可以包括第一屏111、可弯折区112以及第二屏113,在手机的折叠屏110被完全展开时,第一屏111、可弯折区112以及第二屏113连接成一个整屏幕,此时,重力传感器可以检测到第一屏111和第二屏113之间的夹角a为180°(实际的折叠角度可能无法达到180°,以实际上报的折叠角度为准)。Figure 1a shows a schematic diagram of the shape of the mobile phone when it is fully unfolded. As shown in FIG. 1a, when the mobile phone is unfolded, the
本申请实施例中,当第一屏111或者第二屏113发生旋转时,该折叠屏110可通过可弯折区112进行折叠,在手机的折叠屏被部分折叠时可参见图1b,完全折叠后的形状可参见图1c。In the embodiment of the present application, when the
如图1b以及1c所示,在手机折叠时,手机的壳体120也折叠;同时,折叠屏110也折叠。图1b以及1c中示例性示出了折叠屏110在手机折叠时位于外露的一侧,应理解,手机折叠时也可以是壳体120外露,而折叠屏110位于内侧,折叠屏110也可以是外露一部分。As shown in Figures 1b and 1c, when the mobile phone is folded, the
手机的折叠屏110从完全展开到被完全折叠的过程中,第一屏111与第二屏113之间的夹角a越来越小。如图1a所示,在折叠屏110完全展开时,第一屏111与第二屏113之间的夹角为180°。如图1b所示,在手机的折叠屏110被部分折叠时,重力传感器180E可以检测到第一屏111和第二屏113之间的夹角为40°。如1c所示,在手机的折叠屏110被完全折叠时,传感器检测到第一屏111和第二屏113之间的夹角为0度(实际的折叠角度可能无法达到0°,以实际上报的折叠角度为准),此时第一屏111与第二屏113在手机折叠时位于外露的一侧。When the
当手机被折叠时,以第二屏113面向用户为例进行说明,第二屏113面向用户称为主屏,第一屏111在背面称为副屏,可弯折区112可称为侧屏,在手机被折叠时,由于在不同的使用场景和用户对主副屏的使用习惯,比如,用户习惯在手机被折叠时使用主屏,而副屏处于息屏状态,手机使用一段时间后就会发现主屏、侧屏、副屏的使用时间长短不一,就会导致主屏、侧屏、副屏的老化程度不一致的问题。When the mobile phone is folded, take the
一般主屏使用时长最多,因显示材料损耗使像素的发光效率受到影响,从而使得主屏的发光材料老化最快,副屏的使用时长低于主屏,侧屏为折叠区域,长时间不使用,老化程度最低。示例的,以三个屏的初始亮度表示为100%为例,在使用一段时间之后,如图1d所示,主屏的亮度为94.8%,副屏的亮度为98.2%,侧屏的亮度为100%。当手机完全展开时,主屏、侧屏、副屏组成一个屏幕,用户面向整个屏幕,在整个屏幕显示时,用户就会发现整个屏幕不同区域的显示亮度不一致问题。Generally, the main screen is used for the longest time. Due to the loss of display materials, the luminous efficiency of the pixels is affected, so that the luminous material of the main screen ages the fastest. The use time of the secondary screen is lower than that of the main screen. The side screen is a folding area. lowest. For example, taking the initial brightness of the three screens as 100% as an example, after a period of use, as shown in Figure 1d, the brightness of the main screen is 94.8%, the brightness of the secondary screen is 98.2%, and the brightness of the side screen is 100% %. When the mobile phone is fully unfolded, the main screen, side screen, and secondary screen form a screen, and the user faces the entire screen. When the entire screen is displayed, the user will find that the display brightness of different areas of the entire screen is inconsistent.
本申请实施例中可以采用伽玛(gamma)校准的方式,对主屏、侧屏以及副屏的亮度差异进行补偿,需要说明的是,目前对具有折叠屏的电子设备采用gamma校准的方式调整各个屏的亮度时,受限于电路结构,侧屏只能与主屏一起调整,或者,侧屏只能与副屏一起调整。如果电子设备折叠时,侧屏随着主屏一起转动,那么侧屏与主屏中各像素的驱动电路可以一起控制,即可以通过控制驱动电路来同时调节主屏与侧屏的亮度。如果电子设备折叠时,侧屏随着副屏一起转动,那么侧屏与副屏中各像素的驱动电路可以一起控制,即可以通过控制驱动电路来同时调节副屏与侧屏的亮度。以下实施例中,以侧屏与副屏一起调整为例进行说明。In the embodiment of the present application, the method of gamma calibration can be used to compensate the brightness difference of the main screen, the side screen and the secondary screen. When the brightness of the screen is limited by the circuit structure, the side screen can only be adjusted together with the main screen, or the side screen can only be adjusted together with the secondary screen. If the side screen rotates together with the main screen when the electronic device is folded, the driving circuits of each pixel in the side screen and the main screen can be controlled together, that is, the brightness of the main screen and the side screen can be adjusted simultaneously by controlling the driving circuit. If the side screen rotates together with the secondary screen when the electronic device is folded, the drive circuits of the pixels in the side screen and the secondary screen can be controlled together, that is, the brightness of the secondary screen and the side screen can be adjusted simultaneously by controlling the drive circuit. In the following embodiments, the adjustment of the side screen and the secondary screen is taken as an example for illustration.
以对图1d中所示的主屏、侧屏以及副屏之间的亮度差异进行补偿为例,采用伽玛(gamma)校准方式对侧屏与副屏的亮度进行调节,比如,使图1d中的侧屏与副屏的亮度分别降低3.4%,如图1e所示,侧屏的亮度为96.6%,副屏的亮度为94.8%,也就是说,经过gamma校准之后,副屏与主屏的亮度一致,但是侧屏仍不能与主屏、副屏的亮度一致。Taking the compensation for the brightness difference between the main screen, the side screen and the secondary screen shown in Figure 1d as an example, the brightness of the side screen and the secondary screen is adjusted using a gamma calibration method, for example, making the The brightness of the side screen and the secondary screen are respectively reduced by 3.4%. As shown in Figure 1e, the brightness of the side screen is 96.6%, and the brightness of the secondary screen is 94.8%. That is to say, after gamma calibration, the brightness of the secondary screen and the main screen Consistent, but the brightness of the side screen still cannot be consistent with the brightness of the main screen and the secondary screen.
以副屏的亮度为98.2%,侧屏的亮度为100%为例,采用gamma校准方式将侧屏与副屏的亮度分别降低3.4%的过程为:一般gamma参数的取值为2.1~2.3,与灰阶(0~255)存在对应关系,而灰阶表示了亮度的级别。示例的,以主屏的初始亮度为500nit(对应灰阶值为255)、副屏的初始亮度为400nit为例,在电子设备使用一段时间之后,主屏的亮度降低至400nit,对应的灰阶值为204,根据gamma参数(2.1~2.3)与灰阶(0~255)的对应关系,可以确定出主屏的gamma参数为2.26;副屏的亮度降低至300nit,对应的灰阶值为191,根据gamma参数(2.1~2.3)与灰阶(0~255)的对应关系,可以确定出主屏的gamma参数为2.25。需要说明的是,每个屏的灰阶值大小与该屏的初始亮度有关,初始亮度不同的两个屏是某一时刻的亮度所对应的灰阶值可能不同。Taking the brightness of the secondary screen as 98.2% and the brightness of the side screen as 100% as an example, the process of reducing the brightness of the side screen and the secondary screen by 3.4% by using the gamma calibration method is as follows: the general value of the gamma parameter is 2.1~2.3, There is a corresponding relationship with the gray scale (0-255), and the gray scale represents the level of brightness. For example, take the initial brightness of the main screen as 500nit (corresponding gray scale value is 255) and the initial brightness of the secondary screen as 400nit. 204. According to the corresponding relationship between the gamma parameter (2.1-2.3) and the grayscale (0-255), it can be determined that the gamma parameter of the main screen is 2.26; the brightness of the secondary screen is reduced to 300nit, and the corresponding grayscale value is 191. According to the gamma The corresponding relationship between the parameters (2.1-2.3) and the grayscale (0-255) can determine that the gamma parameter of the main screen is 2.25. It should be noted that the gray scale value of each screen is related to the initial brightness of the screen, and two screens with different initial brightness may have different gray scale values corresponding to the brightness at a certain moment.
需要说明的是,副屏与侧屏通过同一伽玛参数控制亮度,在需要对侧屏与副屏进行伽玛校准方式一起调节亮度时,一般以对副屏的伽玛参数进行调节为基准,来实现同时调整副屏与侧屏的亮度,即副屏与侧屏的亮度的调节量是相同的。举例来说,副屏的亮度为95%,侧屏的亮度为98%,以副屏的亮度为95%所对应的伽玛参数为2.29为例,当将副屏的伽玛参数调整为2.28时,副屏的亮度降低为92%,亮度总共降低了3%,那么侧屏的亮度也降低3%,即侧屏此时的亮度为95%。It should be noted that the secondary screen and the side screen control the brightness through the same gamma parameter. When the gamma calibration method of the side screen and the secondary screen is required to adjust the brightness together, the gamma parameter of the secondary screen is generally adjusted as a benchmark. To achieve simultaneous adjustment of the brightness of the secondary screen and the side screen, that is, the adjustment amount of the brightness of the secondary screen and the side screen is the same. For example, the brightness of the secondary screen is 95%, the brightness of the side screen is 98%, taking the gamma parameter corresponding to the brightness of 95% of the secondary screen as 2.29 as an example, when the gamma parameter of the secondary screen is adjusted to 2.28 , the brightness of the secondary screen is reduced to 92%, and the brightness is reduced by 3% in total, so the brightness of the side screen is also reduced by 3%, that is, the brightness of the side screen at this time is 95%.
内部存储器的配置文件中存储有主屏、副屏的当前亮度对应的gamma参数,根据主屏的当前亮度对应的灰阶值、以及伽玛参数与灰阶值的对应关系,可确定主屏的当前亮度(94.8%)对应的第一伽玛参数,然后从内部存储器的配置文件中读取副屏的当前亮度(96.6%)对应的第二gamma参数的存储位置,将第一gamma参数写入到配置文件中第二gamma参数的存储位置,也就是说,用第一gamma参数来替换第二gamma参数,使得副屏的亮度降低至与主屏一致,即降低至94.8%,从而实现副屏的亮度降低3.4%,那么侧屏的亮度也降低3.4%。The gamma parameters corresponding to the current brightness of the main screen and the secondary screen are stored in the configuration file of the internal memory. According to the gray scale value corresponding to the current brightness of the main screen and the corresponding relationship between the gamma parameter and the gray scale value, the current brightness of the main screen can be determined ( 94.8%) corresponding to the first gamma parameter, then read the storage location of the second gamma parameter corresponding to the current brightness (96.6%) of the secondary screen from the configuration file of the internal memory, and write the first gamma parameter to the configuration file The storage location of the second gamma parameter in , that is, replace the second gamma parameter with the first gamma parameter, so that the brightness of the secondary screen is reduced to be consistent with the main screen, that is, reduced to 94.8%, so that the brightness of the secondary screen is reduced by 3.4 %, then the brightness of the side screen is also reduced by 3.4%.
本申请实施例提供一种补偿方法,用于在电子设备包括的多个屏(如主屏、侧屏、副屏)之间存在老化程度的差异时,比如主屏、副屏、侧屏之间存在亮度差异时,可以对亮度衰减较低的屏进行亮度补偿,以使各个屏的亮度显示效果一致。The embodiment of the present application provides a compensation method for when there is a difference in aging degree between multiple screens (such as the main screen, side screen, and secondary screen) included in the electronic device, for example, there is a difference between the main screen, the secondary screen, and the side screen. When there is a difference in brightness, brightness compensation can be performed on the screen with lower brightness attenuation, so that the brightness display effect of each screen is consistent.
以主屏的亮度大于副屏的亮度,副屏的亮度大于侧屏的亮度为例,本申请实施例有多种可能实现对亮度衰减较低的屏进行亮度补偿的方式,可以包括但不限于以下几种:For example, the brightness of the main screen is greater than that of the secondary screen, and the brightness of the secondary screen is greater than that of the side screens. In the embodiment of the present application, there are many ways to realize brightness compensation for the screen with lower brightness attenuation, which may include but not limited to the following Several:
方式1,可以对侧屏、副屏一起进行gamma校准,可以使侧屏与副屏的亮度降低同样的亮度值,比如,副屏的亮度降低至与主屏的亮度一致,但是侧屏的亮度仍高于主屏的亮度,可结合蒙版图层调节侧屏的亮度,该蒙版图层用于将侧屏的亮度继续降低至与主屏的亮度一致。本申请实施例中为了便于描述将用来调节亮度的图层称为蒙版图层,在其它可能的实施例中,还可以有其它名称,具体不做限定。Method 1, you can perform gamma calibration on the side screen and the auxiliary screen together, and reduce the brightness of the side screen and the auxiliary screen by the same brightness value. For example, the brightness of the auxiliary screen is reduced to the same brightness as the main screen, but the brightness of the side screen remains the same. The brightness of the side screen is higher than that of the main screen, and the brightness of the side screen can be adjusted in combination with the mask layer. The mask layer is used to continue to reduce the brightness of the side screen to be consistent with the brightness of the main screen. In the embodiment of the present application, for the convenience of description, the layer used to adjust the brightness is called a mask layer. In other possible embodiments, it may have other names, which are not specifically limited.
以图1d所示的折叠屏为例,对侧屏和副屏分别进行gamma校准,可以将侧屏和副屏的亮度均降低3.4%,即侧屏的亮度降低为96.6%,副屏的亮度降低为94.8%。为侧屏创建蒙版图层,通过调节蒙版图层的透明度为1.8%可以将侧屏的亮度继续降低1.8%,即侧屏的亮度降低为94.8%。这样通过gamma校准和蒙版图层的方式结合可以降低三个屏之间的亮度差异,从而使三个屏的显示效果一致。Taking the folding screen shown in Figure 1d as an example, performing gamma calibration on the side screen and the sub-screen respectively can reduce the brightness of the side screen and the sub-screen by 3.4%, that is, the brightness of the side screen is reduced to 96.6%, and the brightness of the sub-screen is 96.6%. The reduction was 94.8%. Create a mask layer for the side screen. By adjusting the transparency of the mask layer to 1.8%, the brightness of the side screen can be further reduced by 1.8%, that is, the brightness of the side screen is reduced to 94.8%. In this way, the combination of gamma calibration and mask layer can reduce the brightness difference between the three screens, so that the display effects of the three screens are consistent.
方式2,分别为副屏和侧屏创建蒙版图层,通过调节侧屏的蒙版图层的透明度可使侧屏亮度降低至与主屏的亮度一致,通过调节副屏的蒙版图层的透明度可使副屏亮度降低至与主屏的亮度一致。Method 2: Create mask layers for the secondary screen and side screen respectively. By adjusting the transparency of the mask layer of the side screen, the brightness of the side screen can be reduced to be consistent with the brightness of the main screen. By adjusting the transparency of the mask layer of the secondary screen, the The brightness of the secondary screen is reduced to match the brightness of the main screen.
以图1d所示的折叠屏为例,主屏的亮度为94.8%,侧屏的亮度为100%,副屏的亮度为98.2%,为侧屏创建蒙版图层并设置透明度为5.2%,为副屏创建蒙版图层并设至透明度为3.4%,从而副屏和副屏的亮度均可以降低为94.8%。通过蒙版图层调节透明度可以将亮度较高的两个屏的亮度降低,从而降低三个屏之间的亮度差异,从而使三个屏的显示效果一致。Taking the folding screen shown in Figure 1d as an example, the brightness of the main screen is 94.8%, the brightness of the side screen is 100%, and the brightness of the secondary screen is 98.2%. Create a mask layer for the side screen and set the transparency to 5.2%. Create a mask layer for the screen and set the transparency to 3.4%, so that the brightness of both the secondary screen and the secondary screen can be reduced to 94.8%. Adjusting the transparency through the mask layer can reduce the brightness of the two screens with higher brightness, thereby reducing the brightness difference between the three screens, so that the display effects of the three screens are consistent.
上述蒙版图层覆盖在显示画面的初始图层之上,即在初始图层的上层,通过设置蒙版图层的透明度实现亮度补偿,透明度的值设置为0%,表示该蒙版图层是完全透明的,透明度的值设置为100%,表示完全不透明,透明度的值设置在0%和100%之间,数值越大,透明度越低。The above mask layer is overlaid on the initial layer of the display screen, that is, on the upper layer of the initial layer, brightness compensation is realized by setting the transparency of the mask layer, and the value of transparency is set to 0%, indicating that the mask layer is completely transparent Yes, the value of transparency is set to 100%, which means it is completely opaque. The value of transparency is set between 0% and 100%. The larger the value, the lower the transparency.
需要说明的是,本申请实施例中所涉及的蒙版图层,主要通过改变透明度实现对屏幕亮度的调整,蒙版图层可以与具有其它功能的图层进行叠加使用,对具有其它功能的图层的功能不产生影响。如果蒙版图层叠加在其他图层之上,且蒙版图层的透明度的值大于0,只会影响到存在蒙版图层的区域的亮度。It should be noted that the mask layer involved in the embodiment of the present application mainly realizes the adjustment of screen brightness by changing the transparency, and the mask layer can be superimposed with layers with other functions. function has no effect. If the mask layer is superimposed on other layers, and the transparency value of the mask layer is greater than 0, it will only affect the brightness of the area where the mask layer exists.
本申请实施例涉及的多个,是指大于或等于两个。A plurality referred to in the embodiment of the present application means greater than or equal to two.
需要说明的是,本文中术语“和/或”,仅仅是一种描述关联对象的关联关系,表示可以存在三种关系,例如,A和/或B,可以表示:单独存在A,同时存在A和B,单独存在B这三种情况。另外,本文中字符“/”,如无特殊说明,一般表示前后关联对象是一种“或”的关系。且在本申请实施例的描述中,“第一”、“第二”等词汇,仅用于区分描述的目的,而不能理解为指示或暗示相对重要性,也不能理解为指示或暗示顺序。It should be noted that the term "and/or" in this article is only an association relationship describing associated objects, which means that there can be three relationships, for example, A and/or B can mean: A exists alone, and A exists at the same time and B, there are three cases of B alone. In addition, the character "/" in this article, unless otherwise specified, generally indicates that the contextual objects are an "or" relationship. Moreover, in the description of the embodiments of the present application, terms such as "first" and "second" are only used for the purpose of distinguishing descriptions, and cannot be understood as indicating or implying relative importance, nor can they be understood as indicating or implying order.
以下介绍电子设备和用于使用这样的电子设备的实施例。在本申请一些实施例中,电子设备可以是包含显示屏的便携式终端,诸如手机、平板电脑等。便携式电子设备的示例性实施例包括但不限于搭载或者其它操作系统的便携式电子设备。上述便携式电子设备也可以是其它便携式电子设备,例如数码相机。还应当理解的是,在本申请其他一些实施例中,上述电子设备也可以不是便携式电子设备,而是具有显示屏的台式计算机等。Electronic devices and embodiments for using such electronic devices are described below. In some embodiments of the present application, the electronic device may be a portable terminal including a display screen, such as a mobile phone, a tablet computer, and the like. Exemplary embodiments of portable electronic devices include, but are not limited to Or portable electronic devices with other operating systems. The aforementioned portable electronic device may also be other portable electronic devices, such as a digital camera. It should also be understood that, in some other embodiments of the present application, the above-mentioned electronic device may not be a portable electronic device, but a desktop computer with a display screen or the like.
下文以电子设备是手机为例,图2示出了手机100的硬件结构示意图。Hereinafter, the electronic device is a mobile phone as an example, and FIG. 2 shows a schematic diagram of the hardware structure of the
手机100可以包括处理器110,外部存储器接口120,内部存储器121,通用串行总线(universal serial bus,USB)接口130,充电管理模块140,电源管理模块141,电池142,天线1,天线2,移动通信模块150,无线通信模块160,音频模块170,扬声器170A,受话器170B,麦克风170C,耳机接口170D,传感器模块180,按键190,马达191,指示器192,摄像头193,显示屏194,以及用户标识模块(subscriber identification module,SIM)卡接口195等。其中传感器模块180可以包括压力传感器180A,陀螺仪传感器180B,气压传感器180C,磁传感器180D,加速度传感器180E,距离传感器180F,接近光传感器180G,指纹传感器180H,温度传感器180J,触摸传感器180K,环境光传感器180L,骨传导传感器180M等。The
处理器110可以包括一个或多个处理单元,例如:处理器110可以包括应用处理器(application processor,AP),调制解调处理器,图形处理器(graphics processingunit,GPU),图像信号处理器(image signal processor,ISP),控制器,存储器,视频编解码器,数字信号处理器(digital signal processor,DSP),基带处理器,和/或神经网络处理器(neural-network processing unit,NPU)等。其中,不同的处理单元可以是独立的器件,也可以集成在一个或多个处理器中。The
其中,控制器可以是手机100的神经中枢和指挥中心。控制器可以根据指令操作码和时序信号,产生操作控制信号,完成取指令和执行指令的控制。Wherein, the controller may be the nerve center and command center of the
处理器110中还可以设置存储器,用于存储指令和数据。在一些实施例中,处理器110中的存储器为高速缓冲存储器。该存储器可以保存处理器110刚用过或循环使用的指令或数据。如果处理器110需要再次使用该指令或数据,可从所述存储器中直接调用。避免了重复存取,减少了处理器110的等待时间,因而提高了系统的效率。A memory may also be provided in the
处理器100可以运行本申请实施例提供的补偿算法的软件代码,实现对电子设备的各个屏的亮度差异进行补偿的过程。The
USB接口130是符合USB标准规范的接口,具体可以是Mini USB接口,Micro USB接口,USB Type C接口等。USB接口130可以用于连接充电器为手机100充电,也可以用于手机100与外围设备之间传输数据。The USB interface 130 is an interface conforming to the USB standard specification, specifically, it may be a Mini USB interface, a Micro USB interface, a USB Type C interface, and the like. The USB interface 130 can be used to connect a charger to charge the
充电管理模块140用于从充电器接收充电输入。电源管理模块141用于连接电池142,充电管理模块140与处理器110。电源管理模块141接收电池142和/或充电管理模块140的输入,为处理器110,内部存储器121,外部存储器,显示屏194,摄像头193,和无线通信模块160等供电。The charging management module 140 is configured to receive a charging input from a charger. The power management module 141 is used for connecting the battery 142 , the charging management module 140 and the
手机100的无线通信功能可以通过天线1,天线2,移动通信模块150,无线通信模块160,调制解调处理器以及基带处理器等实现。The wireless communication function of the
天线1和天线2用于发射和接收电磁波信号。手机100中的每个天线可用于覆盖单个或多个通信频带。不同的天线还可以复用,以提高天线的利用率。例如:可以将天线1复用为无线局域网的分集天线。在另外一些实施例中,天线可以和调谐开关结合使用。Antenna 1 and Antenna 2 are used to transmit and receive electromagnetic wave signals. Each antenna in
移动通信模块150可以提供应用在手机100上的包括2G/3G/4G/5G等无线通信的解决方案。移动通信模块150可以包括至少一个滤波器,开关,功率放大器,低噪声放大器(lownoise amplifier,LNA)等。移动通信模块150可以由天线1接收电磁波,并对接收的电磁波进行滤波,放大等处理,传送至调制解调处理器进行解调。移动通信模块150还可以对经调制解调处理器调制后的信号放大,经天线1转为电磁波辐射出去。在一些实施例中,移动通信模块150的至少部分功能模块可以被设置于处理器110中。在一些实施例中,移动通信模块150的至少部分功能模块可以与处理器110的至少部分模块被设置在同一个器件中。The
无线通信模块160可以提供应用在手机100上的包括无线局域网(wireless localarea networks,WLAN)(如无线保真(wireless fidelity,Wi-Fi)网络),蓝牙(bluetooth,BT),全球导航卫星系统(global navigation satellite system,GNSS),调频(frequencymodulation,FM),近距离无线通信技术(near field communication,NFC),红外技术(infrared,IR)等无线通信的解决方案。无线通信模块160可以是集成至少一个通信处理模块的一个或多个器件。无线通信模块160经由天线2接收电磁波,将电磁波信号调频以及滤波处理,将处理后的信号发送到处理器110。无线通信模块160还可以从处理器110接收待发送的信号,对其进行调频,放大,经天线2转为电磁波辐射出去。The
在一些实施例中,手机100的天线1和移动通信模块150耦合,天线2和无线通信模块160耦合,使得手机100可以通过无线通信技术与网络以及其他设备通信。所述无线通信技术可以包括全球移动通讯系统(global system for mobile communications,GSM),通用分组无线服务(general packet radio service,GPRS),码分多址接入(code divisionmultiple access,CDMA),宽带码分多址(wideband code division multiple access,WCDMA),时分码分多址(time-division code division multiple access,TD-SCDMA),长期演进(long term evolution,LTE),BT,GNSS,WLAN,NFC,FM,和/或IR技术等。所述GNSS可以包括全球卫星定位系统(global positioning system,GPS),全球导航卫星系统(globalnavigation satellite system,GLONASS),北斗卫星导航系统(beidou navigationsatellite system,BDS),准天顶卫星系统(quasi-zenith satellite system,QZSS)和/或星基增强系统(satellite based augmentation systems,SBAS)。In some embodiments, the antenna 1 of the
手机100通过GPU,显示屏194,以及应用处理器等实现显示功能。GPU为图像处理的微处理器,连接显示屏194和应用处理器。GPU用于执行数学和几何计算,用于图形渲染。处理器110可包括一个或多个GPU,其执行程序指令以生成或改变显示信息。The
显示屏194用于显示图像,视频等。显示屏194包括显示面板。显示面板可以采用液晶显示屏(liquid crystal display,LCD),有机发光二极管(organic light-emittingdiode,OLED),有源矩阵有机发光二极体或主动矩阵有机发光二极体(active-matrixorganic light emitting diode的,AMOLED),柔性发光二极管(flex light-emittingdiode,FLED),Miniled,MicroLed,Micro-oLed,量子点发光二极管(quantum dot lightemitting diodes,QLED)等。在一些实施例中,手机100可以包括1个或N个显示屏194,N为大于1的正整数。The display screen 194 is used to display images, videos and the like. The display screen 194 includes a display panel. The display panel may be a liquid crystal display (LCD), an organic light-emitting diode (OLED), an active-matrix organic light-emitting diode or an active-matrix organic light-emitting diode (active-matrix organic light emitting diode). AMOLED), flexible light-emitting diode (flex light-emitting diode, FLED), Miniled, MicroLed, Micro-oLed, quantum dot light-emitting diodes (quantum dot light emitting diodes, QLED), etc. In some embodiments, the
摄像头193用于捕获静态图像或视频。摄像头193可以包括前置摄像头和后置摄像头。Camera 193 is used to capture still images or video. The camera 193 may include a front camera and a rear camera.
内部存储器121可以用于存储计算机可执行程序代码,所述可执行程序代码包括指令。处理器110通过运行存储在内部存储器121的指令,从而执行手机100的各种功能应用以及数据处理。内部存储器121可以包括存储程序区和存储数据区。其中,存储程序区可存储操作系统,以及至少一个应用程序的软件代码等。存储数据区可存储手机100使用过程中所产生的数据(比如图像、视频等)等。此外,内部存储器121可以包括高速随机存取存储器,还可以包括非易失性存储器,例如至少一个磁盘存储器件,闪存器件,通用闪存存储器(universal flash storage,UFS)等。The internal memory 121 may be used to store computer-executable program codes including instructions. The
内部存储器121还可以存储本申请实施例提供的补偿方法的软件代码,当处理器110运行所述软件代码时,执行补偿方法的流程步骤,实现对电子设备的各个屏的亮度进行补偿的过程。The internal memory 121 can also store the software code of the compensation method provided by the embodiment of the present application. When the
内部存储器121还可以存储各个屏的亮度对应的使用统计数据、计算得到的补偿值、透明度等。The internal memory 121 may also store usage statistics corresponding to the brightness of each screen, calculated compensation values, transparency, and the like.
外部存储器接口120可以用于连接外部存储卡,例如Micro SD卡,实现扩展手机100的存储能力。外部存储卡通过外部存储器接口120与处理器110通信,实现数据存储功能。The
当然,本申请实施例提供的补偿方法的软件代码也可以存储在外部存储器中,处理器110可以通过外部存储器接口120运行所述软件代码,执行补偿方法的流程步骤,实现对电子设备的各个屏的亮度进行补偿的过程。手机100获取的各个屏的亮度对应的使用统计数据、计算得到的补偿值、以及老化模型、各种对应关系等也可以存储在外部存储器中。Of course, the software code of the compensation method provided in the embodiment of the present application can also be stored in an external memory, and the
手机100可以通过音频模块170,扬声器170A,受话器170B,麦克风170C,耳机接口170D,以及应用处理器等实现音频功能。例如音乐播放,录音等。The
压力传感器180A用于感受压力信号,可以将压力信号转换成电信号。在一些实施例中,压力传感器180A可以设置于显示屏194。The pressure sensor 180A is used to sense the pressure signal and convert the pressure signal into an electrical signal. In some embodiments, pressure sensor 180A may be disposed on display screen 194 .
陀螺仪传感器180B可以用于确定手机100的运动姿态。在一些实施例中,可以通过陀螺仪传感器180B确定手机100围绕三个轴(即,x,y和z轴)的角速度。陀螺仪传感器180B可以用于拍摄防抖。The gyroscope sensor 180B can be used to determine the motion posture of the
气压传感器180C用于测量气压。在一些实施例中,手机100通过气压传感器180C测得的气压值计算海拔高度,辅助定位和导航。The air pressure sensor 180C is used to measure air pressure. In some embodiments, the
磁传感器180D包括霍尔传感器。手机100可以利用磁传感器180D检测翻盖皮套的开合。在一些实施例中,当手机100是翻盖机时,手机100可以根据磁传感器180D检测翻盖的开合。进而根据检测到的皮套的开合状态或翻盖的开合状态,设置翻盖自动解锁等特性。The magnetic sensor 180D includes a Hall sensor. The
加速度传感器180E可检测手机100在各个方向上(一般为三轴)加速度的大小。当手机100静止时可检测出重力的大小及方向。还可以用于识别电子设备姿态,应用于横竖屏切换,计步器等应用。The acceleration sensor 180E can detect the acceleration of the
距离传感器180F,用于测量距离。手机100可以通过红外或激光测量距离。在一些实施例中,拍摄场景,手机100可以利用距离传感器180F测距以实现快速对焦。The distance sensor 180F is used to measure the distance. The
接近光传感器180G可以包括例如发光二极管(LED)和光检测器,例如光电二极管。发光二极管可以是红外发光二极管。手机100通过发光二极管向外发射红外光。手机100使用光电二极管检测来自附近物体的红外反射光。当检测到充分的反射光时,可以确定手机100附近有物体。当检测到不充分的反射光时,手机100可以确定手机100附近没有物体。手机100可以利用接近光传感器180G检测用户手持手机100贴近耳朵通话,以便自动熄灭屏幕达到省电的目的。接近光传感器180G也可用于皮套模式,口袋模式自动解锁与锁屏。Proximity light sensor 180G may include, for example, light emitting diodes (LEDs) and light detectors, such as photodiodes. The light emitting diodes may be infrared light emitting diodes. The
环境光传感器180L用于感知环境光亮度。手机100可以根据感知的环境光亮度自适应调节显示屏194亮度。环境光传感器180L也可用于拍照时自动调节白平衡。环境光传感器180L还可以与接近光传感器180G配合,检测手机100是否在口袋里,以防误触。The ambient light sensor 180L is used for sensing ambient light brightness. The
指纹传感器180H用于采集指纹。手机100可以利用采集的指纹特性实现指纹解锁,访问应用锁,指纹拍照,指纹接听来电等。The fingerprint sensor 180H is used to collect fingerprints. The
温度传感器180J用于检测温度。在一些实施例中,手机100利用温度传感器180J检测的温度,执行温度处理策略。例如,当温度传感器180J上报的温度超过阈值,手机100执行降低位于温度传感器180J附近的处理器的性能,以便降低功耗实施热保护。在另一些实施例中,当温度低于另一阈值时,手机100对电池142加热,以避免低温导致手机100异常关机。在其他一些实施例中,当温度低于又一阈值时,手机100对电池142的输出电压执行升压,以避免低温导致的异常关机。The temperature sensor 180J is used to detect temperature. In some embodiments, the
触摸传感器180K,也称“触控面板”。触摸传感器180K可以设置于显示屏194,由触摸传感器180K与显示屏194组成触摸屏,也称“触控屏”。触摸传感器180K用于检测作用于其上或附近的触摸操作。触摸传感器可以将检测到的触摸操作传递给应用处理器,以确定触摸事件类型。可以通过显示屏194提供与触摸操作相关的视觉输出。在另一些实施例中,触摸传感器180K也可以设置于手机100的表面,与显示屏194所处的位置不同。Touch sensor 180K, also known as "touch panel". The touch sensor 180K can be disposed on the display screen 194, and the touch sensor 180K and the display screen 194 form a touch screen, also called a “touch screen”. The touch sensor 180K is used to detect a touch operation on or near it. The touch sensor can pass the detected touch operation to the application processor to determine the type of touch event. Visual output related to the touch operation can be provided through the display screen 194 . In some other embodiments, the touch sensor 180K may also be disposed on the surface of the
骨传导传感器180M可以获取振动信号。在一些实施例中,骨传导传感器180M可以获取人体声部振动骨块的振动信号。骨传导传感器180M也可以接触人体脉搏,接收血压跳动信号。The
按键190包括开机键,音量键等。按键190可以是机械按键。也可以是触摸式按键。手机100可以接收按键输入,产生与手机100的用户设置以及功能控制有关的键信号输入。The keys 190 include a power key, a volume key and the like. The key 190 may be a mechanical key. It can also be a touch button. The
马达191可以产生振动提示。马达191可以用于来电振动提示,也可以用于触摸振动反馈。The motor 191 can generate a vibrating reminder. The motor 191 can be used for incoming call vibration prompts, and can also be used for touch vibration feedback.
指示器192可以是指示灯,可以用于指示充电状态,电量变化,也可以用于指示消息,未接来电,通知等。The indicator 192 can be an indicator light, and can be used to indicate charging status, power change, and can also be used to indicate messages, missed calls, notifications, and the like.
SIM卡接口195用于连接SIM卡。SIM卡可以通过插入SIM卡接口195,或从SIM卡接口195拔出,实现和手机100的接触和分离。The
可以理解的是,本申请实施例示意的结构并不构成对手机100的具体限定。在本申请另一些实施例中,手机100可以包括比图示更多或更少的部件,或者组合某些部件,或者拆分某些部件,或者不同的部件布置。图示的部件可以以硬件,软件或软件和硬件的组合实现。It can be understood that the structure shown in the embodiment of the present application does not constitute a specific limitation on the
以下实施例均可以在具有上述结构的手机100中实现。The following embodiments can all be implemented in the
本申请实施例还提供一种软件架构,如图3a所示,手机100的软件架构可以可将软件分成若干个层,每一层都有清晰的角色和分工。层与层之间通过软件接口通信。在一些实施例中,可将Android系统分为四层,从上至下分别为应用程序层(简称应用层),应用程序框架层(简称框架层),安卓运行时(Android runtime)和系统库,以及内核层(也称为驱动层)。The embodiment of the present application also provides a software architecture. As shown in FIG. 3a, the software architecture of the
应用程序层可以包括一系列应用程序包。如图3a所示,应用程序层可以包括系统应用程序和第三方应用程序,其中,系统应用程序可以包括设置、截屏、录屏、用户界面(user interface,UI)、短信息等,第三方应用程序可以包括地图,导航,音乐,视频等。The application layer can consist of a series of application packages. As shown in Figure 3a, the application layer may include system applications and third-party applications, wherein the system applications may include settings, screen capture, screen recording, user interface (user interface, UI), short message, etc., and the third-party application Programs can include maps, navigation, music, video, and more.
应用程序框架层为应用程序层的应用程序提供应用编程接口(applicationprogramming interface,API)和编程框架。应用程序框架层包括一些预先定义的函数。如图3a所示,应用程序框架层可以包括窗口管理器,内容提供器,电话管理器,资源管理器,通知管理器、视图系统、屏幕损耗建模模块以及蒙版图层绘制模块等。The application framework layer provides an application programming interface (application programming interface, API) and a programming framework for applications in the application layer. The application framework layer includes some predefined functions. As shown in Figure 3a, the application framework layer may include a window manager, a content provider, a phone manager, a resource manager, a notification manager, a view system, a screen loss modeling module, and a mask layer drawing module.
窗口管理器用于管理窗口程序。窗口管理器可以获取显示屏大小,判断是否有状态栏,锁定屏幕,截取屏幕等。A window manager is used to manage window programs. The window manager can get the size of the display screen, determine whether there is a status bar, lock the screen, capture the screen, etc.
内容提供器用来存放和获取数据,并使这些数据可以被应用程序访问。所述数据可以包括视频,图像,音频,拨打和接听的电话,浏览历史和书签,电话簿等。Content providers are used to store and retrieve data and make it accessible to applications. Said data may include video, images, audio, calls made and received, browsing history and bookmarks, phonebook, etc.
视图系统包括可视控件,例如显示文字的控件,显示图片的控件等。视图系统可用于构建应用程序。显示界面可以由一个或多个视图组成的。例如,包括短信通知图标的显示界面,可以包括显示文字的视图以及显示图片的视图。The view system includes visual controls, such as controls for displaying text, controls for displaying pictures, and so on. The view system can be used to build applications. A display interface can consist of one or more views. For example, a display interface including a text message notification icon may include a view for displaying text and a view for displaying pictures.
电话管理器用于提供手机100的通信功能。例如通话状态的管理(包括接通,挂断等)。The phone manager is used to provide communication functions of the
资源管理器为应用程序提供各种资源,比如本地化字符串,图标,图片,布局文件,视频文件等等。The resource manager provides various resources for the application, such as localized strings, icons, pictures, layout files, video files, and so on.
通知管理器使应用程序可以在状态栏中显示通知信息,可以用于传达告知类型的消息,可以短暂停留后自动消失,无需用户交互。比如通知管理器被用于告知下载完成,消息提醒等。通知管理器还可以是以图表或者滚动条文本形式出现在系统顶部状态栏的通知,例如后台运行的应用程序的通知,还可以是以对话窗口形式出现在屏幕上的通知。例如在状态栏提示文本信息,发出提示音,电子设备振动,指示灯闪烁等。The notification manager enables the application to display notification information in the status bar, which can be used to convey notification-type messages, and can automatically disappear after a short stay without user interaction. For example, the notification manager is used to notify the download completion, message reminder, etc. The notification manager can also be a notification that appears on the top status bar of the system in the form of a chart or scroll bar text, such as a notification of an application running in the background, or a notification that appears on the screen in the form of a dialog window. For example, prompting text information in the status bar, issuing a prompt sound, vibrating the electronic device, and flashing the indicator light, etc.
屏幕损耗建模模块,用于计算各个屏中待补偿区域的位置、补偿值、以及透明度(Alpha值)。The screen loss modeling module is used to calculate the position, compensation value, and transparency (Alpha value) of the area to be compensated in each screen.
蒙版图层绘制模块,用于为需要进行亮度补偿的屏绘制蒙版图层,并为蒙版图层设置Alpha值。The mask layer drawing module is used to draw a mask layer for the screen that needs brightness compensation, and set the Alpha value for the mask layer.
为便于清晰描述屏幕损耗建模模块、蒙版图层绘制模块、表面管理器的功能,下面结合图3b进一步介绍。如图3b所示:In order to clearly describe the functions of the screen loss modeling module, the mask layer drawing module and the surface manager, the following will be further introduced in conjunction with Fig. 3b. As shown in Figure 3b:
屏幕损耗建模模块,可以周期性的读取硬件层中的Flash中各个屏的使用数据、老化公式。其中,老化公式可表示为:The screen loss modeling module can periodically read the usage data and aging formula of each screen in Flash in the hardware layer. Among them, the aging formula can be expressed as:
其中,Lum为经过时间t后的屏幕亮度,Lum_init为屏幕的最大亮度,t为历史使用时间的累加值(即屏幕处于亮屏状态的时间),t0为所述屏幕区域的理论最大发光时长,Lev为屏幕的OLED材料中当前时刻最大亮度的发光单元的亮度,Lev_max为屏幕的OLED材料中发光单元的最大亮度,该公式(1)中各亮度相关的参数均为实际亮度。其中,γ、k、β为统称为制作工艺参数,具体的,γ为与最大亮度相关的参数,k为由OLED工艺决定的常数,β为与OLED材料和制作工艺相关的参数。Wherein, Lum is the brightness of the screen after time t has elapsed, Lum_init is the maximum brightness of the screen, t is the cumulative value of the historical use time (that is, the time when the screen is in the bright screen state), andt0 is the theoretical maximum luminous duration of the screen area , Lev is the brightness of the light-emitting unit with the maximum brightness at the current moment in the OLED material of the screen, Lev_max is the maximum brightness of the light-emitting unit in the OLED material of the screen, and the parameters related to each brightness in the formula (1) are actual brightness. Among them, γ, k, and β are collectively referred to as production process parameters, specifically, γ is a parameter related to the maximum brightness, k is a constant determined by the OLED process, and β is a parameter related to the OLED material and the production process.
示例的,屏幕中发光单元的亮度存储在寄存器中,随着屏幕的使用时间(即处于亮屏的时间)的延长,寄存器中存储的各发光单元的亮度也在衰减,可以随时从寄存器中读取各发光单元的亮度,例如,以主屏为例,可以在出厂时刻(即主屏在第一次亮屏之前的任一时刻)从寄存器中读取各发光单元的亮度,并从中确定出一个最大亮度作为公式(1)中Lev_max;可以在第一时刻读取主屏包括的各发光单元的亮度,然后从各发光单元中确定出一个最大亮度作为公式(1)中Lev的值,γ、k、β、t0、Lum_init在出厂时为已知的常数,存储在寄存器中;t为所述屏幕区域从出厂时刻到所述第一时刻处于亮屏状态的总时长;然后根据公式(1)可以计算出主屏的亮度Lum。For example, the brightness of the light-emitting units in the screen is stored in the register. With the prolongation of the use time of the screen (that is, the time when the screen is on), the brightness of each light-emitting unit stored in the register is also attenuated, and can be read from the register at any time. Take the brightness of each light-emitting unit. For example, taking the main screen as an example, you can read the brightness of each light-emitting unit from the register at the time of delivery (that is, any time before the main screen is turned on for the first time), and determine a maximum value from it. The brightness is taken as Lev_max in formula (1); the brightness of each light-emitting unit included in the main screen can be read at the first moment, and then a maximum brightness is determined from each light-emitting unit as the value of Lev in formula (1), γ, k, β, t0 , and Lum_init are known constants when they leave the factory, and are stored in registers; t is the total time that the screen area is in the bright screen state from the time it leaves the factory to the first moment; then according to formula (1), it can be Calculate the brightness Lum of the main screen.
上述公式(1)中,时间t为通过统计屏幕处于亮屏状态的时间来计算亮度,不考虑亮度和显示颜色,在其它一些示例中,也可以统计屏幕分别在不同亮度或不同颜色的使用时间,来确定屏幕在使用t时长而衰减后的亮度。In the above formula (1), the time t is to calculate the brightness by counting the time when the screen is in the bright screen state, regardless of the brightness and display color. In some other examples, the usage time of the screen at different brightness or different colors can also be counted. , to determine the attenuated brightness of the screen when used for t.
屏幕损耗建模模块还可以根据各个屏的使用数据以及老化公式,分别计算出每个屏亮度经过时间t的衰减之后的实际亮度。The screen loss modeling module can also calculate the actual luminance of each screen after the luminance decays for a time t according to the use data of each screen and the aging formula.
以实际亮度最低的屏为参考,计算主屏分别与副屏、侧屏的亮度差值,以便对副屏和侧屏的亮度进行调节,使侧屏和副屏的亮度一致。以上述方式1为例,对先对副屏、侧屏进行伽玛校准,以使副屏的亮度与主屏一致,之后,对侧屏增加蒙版图层,然后计算侧屏的蒙版图层所需要设置的Alpha值。Taking the screen with the lowest actual brightness as a reference, calculate the brightness difference between the main screen, the secondary screen, and the side screen, so as to adjust the brightness of the secondary screen and the side screen, so that the brightness of the side screen and the secondary screen are consistent. Taking the above method 1 as an example, first perform gamma calibration on the secondary screen and the side screen to make the brightness of the secondary screen consistent with the main screen, then add a mask layer to the side screen, and then calculate the mask layer required for the side screen The alpha value to set.
蒙版图层绘制模块,用于绘制蒙版图层,并设置蒙版图层的Alpha值,之后将蒙版图层传递给surfaceFlinger,以便surfaceFlinger将从蒙版图层绘制模块接收到的蒙版图层与初始图层进行合成,合成后的数据通过帧缓冲器(framebuffer)发送给LCD进行显示,之后,可以使合成后数据显示在显示屏上,人眼可以看到整个屏幕的显示亮度达到一致性。The mask layer drawing module is used to draw the mask layer and set the Alpha value of the mask layer, and then pass the mask layer to surfaceFlinger, so that surfaceFlinger will combine the mask layer received from the mask layer drawing module with the initial layer Synthesize, the synthesized data is sent to the LCD through the frame buffer (framebuffer) for display, and then the synthesized data can be displayed on the display screen, and the display brightness of the entire screen can be seen by the human eye to be consistent.
蒙版图层绘制模块可包括分辨率自适应模块,转屏方向自适应模块,截屏自适应模块、录屏自适应模块、外显自适应模块。其中,分辨率自适应模块可以在系统分辨率发生改变时,调整蒙版图层的分辨率,以保证在蒙版图层在整个显示屏的物理位置上显示的区域不变。The mask layer drawing module may include a resolution adaptive module, a screen-turning direction adaptive module, a screenshot adaptive module, a screen recording adaptive module, and an external display adaptive module. Wherein, the resolution adaptive module can adjust the resolution of the mask layer when the system resolution changes, so as to ensure that the area displayed on the physical position of the mask layer on the entire display screen remains unchanged.
转屏方向自适应模块可以用于在屏幕发生旋转时,调整蒙版图层的方向,以使补偿的区域在整个显示屏的物理位置不变。The screen rotation direction adaptive module can be used to adjust the direction of the mask layer when the screen is rotated, so that the physical position of the compensated area on the entire display screen remains unchanged.
截屏自适应模块,用于在接收到截屏事件时,遍历所有图层,并截取除蒙版图层之外的图层所形成的界面。The screen capture adaptive module is used for traversing all layers when receiving a screen capture event, and intercepting the interface formed by the layers except the mask layer.
录屏自适应模块,用于在接收到录屏事件时,遍历所有图层,并截取除蒙版图层之外的图层所形成的界面。The screen recording adaptive module is used for traversing all layers when receiving a screen recording event, and intercepting the interface formed by the layers except the mask layer.
外显自适应模块,用于向外接显示设备发送待显示内容时,将除蒙版图层之外的图层对应的数据发送给外接显示设备进行显示。The external display adaptive module is used to send data corresponding to layers other than the mask layer to the external display device for display when sending content to be displayed to the external display device.
Android Runtime包括核心库和虚拟机。Android runtime负责安卓系统的调度和管理。核心库包含两部分:一部分是java语言需要调用的功能函数,另一部分是安卓的核心库。应用程序层和应用程序框架层运行在虚拟机中。虚拟机将应用程序层和应用程序框架层的java文件执行为二进制文件。虚拟机用于执行对象生命周期的管理,堆栈管理,线程管理,安全和异常的管理,以及垃圾回收等功能。Android Runtime includes core library and virtual machine. The Android runtime is responsible for the scheduling and management of the Android system. The core library consists of two parts: one part is the function function that the java language needs to call, and the other part is the core library of Android. The application layer and the application framework layer run in virtual machines. The virtual machine executes the java files of the application program layer and the application program framework layer as binary files. The virtual machine is used to perform functions such as object life cycle management, stack management, thread management, security and exception management, and garbage collection.
系统库可以包括多个功能模块。例如:表面管理器(surfaceflinger),媒体库(Media Libraries),三维图形处理库(例如:OpenGL ES),2D图形引擎(例如:SGL)等。表面管理器用于对显示子系统进行管理,并且为多个应用程序提供了2D和3D图层的融合。媒体库支持多种常用的音频,视频格式回放和录制,以及静态图像文件等。媒体库可以支持多种音视频编码格式,例如:MPEG4,H.264,MP3,AAC,AMR,JPG,PNG等。三维图形处理库用于实现三维图形绘图,图像渲染,合成,和图层处理等。2D图形引擎是2D绘图的绘图引擎。A system library can include multiple function modules. For example: surface manager (surfaceflinger), media library (Media Libraries), 3D graphics processing library (eg: OpenGL ES), 2D graphics engine (eg: SGL), etc. The surface manager is used to manage the display subsystem and provides the fusion of 2D and 3D layers for multiple applications. The media library supports playback and recording of various commonly used audio and video formats, as well as still image files, etc. The media library can support a variety of audio and video encoding formats, such as: MPEG4, H.264, MP3, AAC, AMR, JPG, PNG, etc. The 3D graphics processing library is used to implement 3D graphics drawing, image rendering, compositing, and layer processing, etc. 2D graphics engine is a drawing engine for 2D drawing.
内核层是硬件和软件之间的层。内核层至少包含帧缓冲器(framebuffer),显示驱动,传感器驱动,音频驱动,摄像头驱动,显示子系统(display subsystem,DSS)驱动等,本申请实施例对此不做任何限制。The kernel layer is the layer between hardware and software. The kernel layer at least includes a frame buffer (framebuffer), a display driver, a sensor driver, an audio driver, a camera driver, a display subsystem (display subsystem, DSS) driver, etc., which are not limited in this embodiment of the present application.
为了便于理解,下面结合上述图3b介绍一个采用上述方式1实现对各个屏的亮度进行补偿的具体示例。For ease of understanding, a specific example of implementing the compensation for the brightness of each screen by using the above-mentioned method 1 will be introduced below in conjunction with the above-mentioned FIG. 3b.
采用上述方式1,即对图1d中的亮度较高的侧屏、副屏一起进行gamma校准,即通过gamma校准的方式将侧屏和副屏的亮度均降低3.4%,也就是说,将侧屏的亮度降低为96.6%,副屏的亮度降低为94.8%。之后,为侧屏创建蒙版图层,通过调节蒙版图层的透明度可以将侧屏的亮度继续降低1.8%,也就是说,将侧屏的亮度降低为94.8%。下面以创建侧屏的蒙版图层为例,介绍创建蒙版图层的过程。Using the above-mentioned method 1, the gamma calibration is performed on the side screen and the sub-screen with higher brightness in Fig. The brightness of the screen is reduced to 96.6%, and the brightness of the secondary screen is reduced to 94.8%. After that, create a mask layer for the side screen, and adjust the transparency of the mask layer to reduce the brightness of the side screen by 1.8%, that is, reduce the brightness of the side screen to 94.8%. The following takes creating a mask layer of the side screen as an example to introduce the process of creating a mask layer.
请参见图4,为本申请实施例提供的一种创建蒙版图层过程的时序图。如图4所示,主要包括如下步骤:Please refer to FIG. 4 , which is a sequence diagram of a process of creating a mask layer provided by an embodiment of the present application. As shown in Figure 4, it mainly includes the following steps:
步骤401,表面管理器(surfaceflinger)初始化侧屏的屏幕显示状态。示例的,屏幕显示状态可以为显示,或者,关闭显示。Step 401, the surface manager (surfaceflinger) initializes the screen display state of the side screen. For example, the screen display state may be displaying, or displaying may be turned off.
步骤402,通过SF解耦函数(surfaceflingerEx)创建蒙版图层显示线程(MettaLayer Display:Thread)。Step 402, create a mask layer display thread (MettaLayer Display: Thread) through the SF decoupling function (surfaceflingerEx).
步骤403,蒙版图层显示线程通知显示引擎管理器进程创建对象,该对象包括用于确定是否支持蒙版图层特性的相关信息。In step 403, the mask layer display thread notifies the display engine manager process to create an object, and the object includes relevant information for determining whether to support the mask layer feature.
步骤404,蒙版图层显示线程获取对象。Step 404, the mask layer displays the thread acquisition object.
步骤405,蒙版图层显示线程根据获取的对象,确定侧屏是否支持蒙版图层特性的结果。In step 405, the mask layer display thread determines whether the side screen supports the mask layer property according to the obtained object.
步骤406,蒙版图层显示线程向SF解耦函数返回(侧屏是否支持蒙版图层特性)的结果。若SF解耦函数接收到的结果为侧屏支持蒙版图层特性,那么在接收到主线程启动完成之后启动蒙版线程。Step 406, the mask layer display thread returns the result (whether the side screen supports the mask layer feature) to the SF decoupling function. If the result received by the SF decoupling function is that the side screen supports the mask layer feature, then start the mask thread after receiving the completion of the main thread startup.
步骤407,表面管理器通知SF解耦函数:主线程启动完成。In step 407, the surface manager notifies the SF decoupling function: the main thread is started.
步骤408,SF解耦函数启动蒙版线程。Step 408, the SF decoupling function starts the masking thread.
步骤409,蒙版图层显示线程启动并运行。Step 409, the mask layer shows that the thread starts and runs.
步骤410,蒙版图层显示线程从SF获取蒙版图形显示信息。In step 410, the mask layer display thread acquires mask graphic display information from the SF.
步骤411,蒙版图层显示线程获取到显示信息。Step 411, the mask layer display thread obtains display information.
步骤412,蒙版图层显示线程根据显示信息,确定图层参数。Step 412, the mask layer display thread determines layer parameters according to the display information.
步骤413,蒙版图层显示线程创建SF客户端(surface composer client),该SF客户端可作为与表面管理器通信的代理对象。Step 413, the mask layer display thread creates a SF client (surface composer client), which can be used as a proxy object for communicating with the surface manager.
步骤414,SF客户端向蒙版图层显示线程返回SF客户端标识。Step 414, the SF client returns the SF client identifier to the mask layer display thread.
步骤415,蒙版图层显示线程在SF客户端中创建蒙版图层。Step 415, the mask layer display thread creates a mask layer in the SF client.
步骤416,SF客户端向蒙版图层显示线程返回句柄。Step 416, the SF client displays the thread return handle to the mask layer.
步骤417,蒙版图层显示线程通过句柄在SF客户端设置蒙版图层的图层参数,图层参数可以为蒙版图层的分辨率、方向、尺寸、透明度等。Step 417, the mask layer display thread sets the layer parameters of the mask layer on the SF client through the handle, and the layer parameters may be the resolution, direction, size, transparency, etc. of the mask layer.
步骤418,SF客户端向蒙版图层显示线程返回图层参数的设置结果。Step 418, the SF client returns the setting result of layer parameters to the mask layer display thread.
步骤419,蒙版图层显示线程创建回调函数。Step 419, the mask layer displays the thread creation callback function.
步骤420,回调函数创建完成。Step 420, the callback function is created.
步骤421,蒙版图层显示线程向显示引擎管理器进程注册回调函数。蒙版图层显示线程通过注册回调函数的方式从显示引擎管理器进程中获取侧屏的图层参数。Step 421, the mask layer display thread registers a callback function with the display engine manager process. The mask layer display thread obtains the layer parameters of the side screen from the display engine manager process by registering a callback function.
步骤422,蒙版图层显示线程等待信号触发。具体的,蒙版图层显示线程可以接收屏幕方向发生变化或分辨率发生变化等事件触发的信号时,触发重新设置蒙版图层的图层参数。Step 422, the mask layer shows that the thread is waiting for the signal to be triggered. Specifically, when the mask layer display thread receives a signal triggered by an event such as a screen orientation change or a resolution change, it triggers resetting of layer parameters of the mask layer.
以侧屏的亮度为96.6%为例,在为侧屏创建蒙版图层(初始透明度为0%,即完全透明)之后,通过调节蒙版图层的透明度可以将侧屏的亮度继续降低1.8%,以便将侧屏的亮度调节至与副屏(亮度为94.8%)一致,那么,可以将蒙版图层的设置为1.8%,以便将透明度改变为1.8%。下面结合图5,介绍改变蒙版图层的透明度的过程示意图。如图5所示,主要包括如下步骤:Taking the brightness of the side screen as 96.6% as an example, after creating a mask layer for the side screen (the initial transparency is 0%, that is, completely transparent), the brightness of the side screen can be further reduced by 1.8% by adjusting the transparency of the mask layer. In order to adjust the brightness of the side screen to be consistent with that of the secondary screen (94.8% brightness), then the mask layer can be set to 1.8% to change the transparency to 1.8%. The following is a schematic diagram of the process of changing the transparency of the mask layer with reference to FIG. 5 . As shown in Figure 5, it mainly includes the following steps:
步骤501,显示引擎管理器(display engine manager)进程调用回调函数(display engine callback)。In step 501, a display engine manager process calls a callback function (display engine callback).
步骤502,显示引擎管理器进程通过调用回调函数中的onevent类通知蒙版图层显示线程(metta layer display:thread):蒙版图层的图层参数。Step 502, the display engine manager process notifies the mask layer display thread (metta layer display: thread) by calling the onevent class in the callback function: the layer parameter of the mask layer.
步骤503,蒙版图层显示线程根据获得的蒙版图层的图层参数,检查蒙版图层的图层参数中的透明度是否变化。Step 503 , the mask layer display thread checks whether the transparency in the layer parameters of the mask layer changes according to the obtained layer parameters of the mask layer.
步骤504,蒙版图层显示线程在透明度发生变化时,向SF客户端发送改变后的透明度,例如,蒙版图层的改变前的透明度为0%,改变后的透明度为1.8%。Step 504 , when the transparency of the mask layer display thread is changed, the changed transparency is sent to the SF client. For example, the transparency of the mask layer before change is 0%, and the transparency after change is 1.8%.
步骤505,SF客户端更新蒙版图层的透明度。Step 505, the SF client updates the transparency of the mask layer.
当手机的屏幕方向或者屏幕分辨率发生变化时,蒙版图层的大小或尺寸也需要变化,以便适应屏幕的大小,从而使整个屏幕在蒙版图层的遮挡之下,可以实现屏幕整体亮度的一致性。如下表1所示,为不同分辨率以及方向所对应的侧屏的蒙版属性(wd,hd,x,y,w,h),其中,wd为手机整个屏幕的宽,hd为手机整个屏幕的高,(x,y)为蒙版图层的坐标,w为蒙版图层的宽,h为蒙版图层的高。When the screen orientation or screen resolution of the mobile phone changes, the size or size of the mask layer also needs to be changed in order to adapt to the size of the screen, so that the entire screen can be covered by the mask layer and the overall brightness of the screen can be consistent. sex. As shown in Table 1 below, it is the mask attribute (wd, hd, x, y, w, h) of the side screen corresponding to different resolutions and directions, where wd is the width of the entire screen of the mobile phone, and hd is the entire screen of the mobile phone height, (x, y) is the coordinates of the mask layer, w is the width of the mask layer, and h is the height of the mask layer.
表1为不同分辨率以及方向所对应的侧屏的蒙版属性Table 1 shows the mask properties of the side screens corresponding to different resolutions and orientations
表1中示出了手机屏幕的分辨率分别为1100*1240、1650*1860、2200*2480时,手机屏幕在各个方向分别对应的蒙版图层的蒙版属性,以手机屏幕的分辨率为2200*2480为例进行说明,当改变手机屏幕的方向时,蒙版图层的蒙版属性也会发生变化。如图6所示,手机的屏幕方向为方向1,当手机屏幕向左旋转90°时,手机的屏幕方向为方向0,当手机屏幕继续向左旋转90°时,手机的屏幕方向为方向3,当手机屏幕继续向左旋转90°时,手机的屏幕方向为方向2。当手机屏幕继续向左旋转90°时,手机的屏幕方向为方向1。例如,手机的屏幕方向为方向1为例来说明,此时,手机屏幕的宽为2200,高为2480,其对应的侧屏的蒙版图层的坐标位置(x,y)为(1148,0),蒙版图层的宽为160,高为2480。Table 1 shows the mask properties of the mask layer corresponding to each direction of the mobile phone screen when the resolution of the mobile phone screen is 1100*1240, 1650*1860, and 2200*2480, and the resolution of the mobile phone screen is 2200 *2480 is used as an example to illustrate that when the orientation of the mobile phone screen is changed, the mask properties of the mask layer will also change. As shown in Figure 6, the orientation of the screen of the mobile phone is direction 1. When the screen of the mobile phone rotates 90° to the left, the orientation of the screen of the mobile phone is orientation 0. When the screen of the mobile phone continues to rotate 90° to the left, the orientation of the screen of the mobile phone is orientation 3. , when the screen of the mobile phone continues to rotate 90° to the left, the orientation of the screen of the mobile phone is orientation 2. When the screen of the mobile phone continues to rotate 90° to the left, the orientation of the screen of the mobile phone is orientation 1. For example, take the direction of the screen of the mobile phone as direction 1 as an example. At this time, the width of the mobile phone screen is 2200, and the height is 2480. The coordinate position (x, y) of the mask layer corresponding to the side screen is (1148,0 ), the width of the mask layer is 160, and the height is 2480.
下面详细介绍手机屏幕的方向或者分辨率发生变化时,如何实现更改蒙版图层的分辨率和/或尺寸。如图7所示,主要包括如下步骤:The following describes in detail how to change the resolution and/or size of the mask layer when the orientation or resolution of the screen of the mobile phone changes. As shown in Figure 7, it mainly includes the following steps:
步骤701,应用/其他SF客户端向SF解耦函数(surface flinger Ex)发送屏幕方向/分辨率发生变化的事件。Step 701, the application/other SF client sends an event of screen orientation/resolution change to the SF decoupling function (surface flinger Ex).
步骤702,SF解耦函数通过设置事务状态函数向蒙版图层显示线程(metta layerdisplay:thread)告知事件发生。In step 702, the SF decoupling function notifies the event occurrence to the mask layer display thread (metta layer display: thread) by setting the transaction status function.
步骤703,蒙版图层显示线程检查屏幕的分辨率和方向是否变化,并得到检查结果。Step 703, the mask layer display thread checks whether the resolution and orientation of the screen have changed, and obtains the check result.
步骤704,蒙版图层显示线程向SF解耦函数发送检查结果。Step 704, the mask layer display thread sends the check result to the SF decoupling function.
步骤705,SF解耦函数向表面管理器(surface flinger)发送检查结果。Step 705, the SF decoupling function sends the checking result to the surface flinger.
步骤706,表面管理器若确定检查结果为分辨率和/或屏幕方向发生变化,更新蒙版图层的分辨率和/或尺寸。当然,表面管理器若确定检查结果为分辨率和/或屏幕方向未发生变化,不更新蒙版图层的分辨率和/或尺寸。Step 706, if the surface manager determines that the resolution and/or screen orientation have changed as a result of the check, update the resolution and/or size of the mask layer. Of course, the surface manager does not update the resolution and/or size of the mask layer if it determines that the resolution and/or screen orientation have not changed as a result of the check.
下面以手机屏幕的方向从展开状态变更为折叠状态为例,说明手机屏幕的物理状态发生变化导致的图层分辨率的过程。如图8所示,主要包括如下步骤:The following takes the orientation of the mobile phone screen changing from the unfolded state to the folded state as an example to illustrate the process of layer resolution caused by changes in the physical state of the mobile phone screen. As shown in Figure 8, it mainly includes the following steps:
步骤801,手机处于全屏显示状态。In step 801, the mobile phone is in a full-screen display state.
步骤802,传感器(sensor)检测到手机的从展开状态变更为折叠状态,向传感器状态管理器(sensor manager/state service)发送手机的折叠状态发生改变的通知。之后,分别执行步骤803和步骤808。Step 802, the sensor (sensor) detects that the mobile phone is changed from the unfolded state to the folded state, and sends a notification of the change of the folded state of the mobile phone to a sensor state manager (sensor manager/state service). After that, step 803 and step 808 are executed respectively.
步骤803,传感器状态管理器通知表面管理器(surfaceflinger)设置切换屏幕状态。In step 803, the sensor state manager notifies the surface flinger to set the switching screen state.
步骤804,表面管理器通知DSS driver设置切换屏幕状态。In step 804, the surface manager notifies the DSS driver to set the switching screen state.
步骤805,DSS driver延迟几帧,通过DSC切换至全屏显示。In step 805, the DSS driver delays a few frames, and switches to full-screen display through the DSC.
步骤806,表面管理器通知蒙版图层显示线程(metta layer display:thread)进行折叠状态检查。Step 806, the surface manager notifies the mask layer display thread (metta layer display: thread) to check the folding status.
步骤807,蒙版图层显示线程等待窗口管理器(WMS)处理完成。Step 807, the mask layer display thread waits for the window manager (WMS) to finish processing.
步骤808,传感器状态管理器通知显示管理器(display manager service)设置切换屏幕状态。Step 808, the sensor state manager notifies the display manager service to set the switching screen state.
步骤809,显示管理器通知窗口管理器新的显示分辨率。Step 809, the display manager notifies the window manager of the new display resolution.
步骤810,窗口管理器进行冻屏/通知应用切换新的显示分辨率。其中,“/”表示或。Step 810, the window manager freezes the screen/notifies the application to switch to a new display resolution. Among them, "/" means or.
步骤811,窗口管理器通知显示管理器将新的显示分辨率应用在新尺寸绘制的图层/解冻屏。In step 811, the window manager notifies the display manager to apply the new display resolution to the layer/thawed screen drawn in the new size.
步骤812,显示管理器通知表面管理器设定新的显示位置。Step 812, the display manager notifies the surface manager to set a new display position.
步骤813,表面管理器通知蒙版图层显示线程WMS处理完成检查。In step 813, the surface manager notifies the mask layer display thread that the WMS processing is completed.
步骤814,蒙版图层显示线程创建/删除图层。例如,以侧屏设置有蒙版图层为例,当需要从全屏显示切换到局部显示时,比如局部显示主屏,副屏和侧屏不显示,这时需要删除侧屏对应的蒙版图层。又例如,从局部显示主屏切换到局部显示侧屏时,需要为侧屏创建蒙版图层。Step 814, the mask layer displays the thread creation/deletion layer. For example, taking the side screen with a mask layer as an example, when it is necessary to switch from full screen display to partial display, for example, the main screen is displayed partially, and the secondary screen and side screen are not displayed. At this time, the mask layer corresponding to the side screen needs to be deleted. For another example, when switching from the partial display of the main screen to the partial display of the side screen, a mask layer needs to be created for the side screen.
步骤815,表面管理器通知硬件组合抽象层(hardware composer,HWC)图层的新的显示位置。In step 815, the surface manager notifies the hardware composer (HWC) of the new display position of the layer.
在截屏场景下,为了不影响手机截取显示内容的真实性,可以先确定出待截屏的所有图层中是否存在蒙版图层,在确定出待截屏的所有图层中存在蒙版图层时,截取除蒙版图层之外的其它图层的内容。In the screenshot scene, in order not to affect the authenticity of the content captured by the mobile phone, you can first determine whether there is a mask layer in all the layers to be captured, and when it is determined that there is a mask layer in all the layers to be captured, intercept The content of other layers except the mask layer.
下面结合图9详细介绍截屏场景下,如何实现截屏功能的具体过程。如图9所示,主要包括如下步骤:The specific process of how to implement the screen capture function in the screen capture scenario will be described in detail below with reference to FIG. 9 . As shown in Figure 9, it mainly includes the following steps:
步骤901,表面管理器(surfaceflinger)接收到触发截屏事件。In step 901, the surfaceflinger receives a screenshot event triggered.
步骤902,表面管理器遍历待截屏的所有图层,并将所有图层送到渲染器中。Step 902, the surface manager traverses all the layers to be captured, and sends all the layers to the renderer.
步骤903,表面管理器向SF解耦函数(surfaceflingerEx)发送待截屏的图层快照。Step 903, the surface manager sends the layer snapshot to be captured to the SF decoupling function (surfaceflingerEx).
步骤904,SF解耦函数通知蒙版图层显示线程(metta layer display:thread)确定是否存在蒙版图层。Step 904, the SF decoupling function notifies the mask layer display thread (metta layer display: thread) to determine whether there is a mask layer.
步骤905,蒙版图层显示线程确定是否存在蒙版图层。Step 905, the mask layer display thread determines whether there is a mask layer.
步骤906,蒙版图层显示线程向SF解耦函数发送确定出的结果。Step 906, the mask layer display thread sends the determined result to the SF decoupling function.
步骤907,SF解耦函数通知表面管理器绘制待截屏的图层时,将蒙版图层略过,不作绘画处理。In step 907, the SF decoupling function notifies the surface manager to skip the mask layer when drawing the layer to be captured, and not to perform drawing processing.
在录屏场景下,针对手机100进行录屏之后的内容可能会用于在屏幕亮度具有一致性的电子设备中播放,如果将手机100的侧屏的蒙版图层也进行录入,就会使得录取的内容在屏幕亮度具有一致性的电子设备中播放时,出现蒙版图层所在区域的亮度较暗,而其他地方的亮度偏亮的情况。再例如,在手机100连接多显示器场景下,以手机100的屏幕作为主显示器,其他手机的屏幕作为非主显示器,如果非主显示器的屏幕亮度具有一致性,将手机100的将手机100的侧屏的蒙版图层发送至非主显示器进行显示时,也会出现蒙版图层所在区域的亮度较暗,而其他地方的亮度偏亮的情况。In the screen recording scenario, the content after recording the screen for the
下面结合图10详细介绍截屏场景下,如何实现截屏功能的具体过程。如图9所示,主要包括如下步骤:The specific process of how to implement the screen capture function in the screen capture scenario will be described in detail below with reference to FIG. 10 . As shown in Figure 9, it mainly includes the following steps:
步骤1001,应用通知表面管理器(surfaceflinger)进入录屏或多显示器场景。Step 1001, the application notifies the surfaceflinger to enter a screen recording or multi-monitor scene.
步骤1002,表面管理器计算每个图层的可见区域。In step 1002, the surface manager calculates the visible area of each layer.
步骤1003,表面管理器遍历所有图层,并将每个图层的可见区域与当前显示区域有交集的图层加入到对应的显示器的图层集合中。Step 1003, the surface manager traverses all the layers, and adds the layers whose visible area of each layer intersects with the current display area to the layer set of the corresponding display.
步骤1004,表面管理器通知SF解耦函数(surfaceflingerEx)确定每个显示器对应的图层集合是否存在蒙版图层。Step 1004, the surface manager notifies the SF decoupling function (surfaceflingerEx) to determine whether there is a mask layer in the layer set corresponding to each display.
步骤1005,SF解耦函数通知蒙版图层显示线程(metta layer display:thread)确定每个显示器对应的图层集合是否存在蒙版图层。Step 1005, the SF decoupling function notifies the mask layer display thread (metta layer display: thread) to determine whether there is a mask layer in the layer set corresponding to each display.
步骤1006,蒙版图层显示线程确定是否存在蒙版图层。Step 1006, the mask layer display thread determines whether there is a mask layer.
步骤1007,蒙版图层显示线程向SF解耦函数发送确定出的结果。Step 1007, the mask layer display thread sends the determined result to the SF decoupling function.
步骤1008,SF解耦函数通知表面管理器确定所有显示器的图层集合,将任一个非主显示器(外设显示器、录屏等虚显)的图层集合中的蒙版图层略过。Step 1008, the SF decoupling function notifies the surface manager to determine the layer set of all displays, and skip the mask layer in the layer set of any non-main display (peripheral display, screen recording, etc. virtual display).
通过上述示例,在录屏、多显示器等场景下,通过将蒙版图层略过的方式,实现不影响在屏幕亮度具有一致性的显示器(或显示屏)进行显示。Through the above examples, in scenarios such as screen recording and multi-display, by skipping the mask layer, it is realized that the display on the display (or display screen) with consistent brightness of the screen is not affected.
参见图11,示例性的示出了本申请实施例提供的一种补偿方法的流程,该方法由具有显示屏的电子设备执行,显示屏包括第一屏幕区域、第二屏幕区域、以及与第二屏幕区域具有同一驱动电路结构的第三屏幕区域,该方法包括以下步骤:Referring to FIG. 11 , it exemplarily shows the flow of a compensation method provided by an embodiment of the present application. The method is executed by an electronic device with a display screen. The display screen includes a first screen area, a second screen area, and a second screen area. The second screen area has a third screen area with the same drive circuit structure, and the method includes the following steps:
步骤1101,电子设备分别确定第一屏幕区域、第二屏幕区域和第三屏幕区域在第一时刻的亮度。
步骤1102,电子设备确定第一屏幕区域在第一时刻的亮度所对应的第一伽玛参数。Step 1102, the electronic device determines a first gamma parameter corresponding to the brightness of the first screen area at the first moment.
步骤1103,电子设备将第二屏幕区域和第三屏幕区域的第二伽玛参数设置为第一伽玛参数。
步骤1104,当第三屏幕区域需要显示内容时,电子设备在第三屏幕区域增加蒙版图层。
步骤1105,电子设备根据第二屏幕区域和第三屏幕区域在第一时刻的亮度差值,将蒙版图层的透明度调整为第一透明度。Step 1105, the electronic device adjusts the transparency of the mask layer to the first transparency according to the brightness difference between the second screen area and the third screen area at the first moment.
上述步骤1105中,第二屏幕区域和第三屏幕区域在第一时刻的亮度差值,与第二屏幕区域和第三屏幕区域在调整为第一伽玛参数之后的亮度差值相同。也就是说,上述步骤1105也可以替换为:根据第二屏幕区域和第三屏幕区域在设置为第一伽玛参数后的亮度差值,将蒙版图层的透明度调整为第一透明度。In the above step 1105, the brightness difference between the second screen area and the third screen area at the first moment is the same as the brightness difference between the second screen area and the third screen area after being adjusted to the first gamma parameter. That is to say, the above step 1105 may also be replaced by: adjusting the transparency of the mask layer to the first transparency according to the brightness difference between the second screen area and the third screen area after setting the first gamma parameter.
本申请实施例中,由于第二屏幕区域与第三屏幕区域由同一伽玛参数控制亮度,所以调节该同一伽玛参数,可以降低第二屏幕区域和第三屏幕区域的亮度,采用第一屏幕区域对应的第一伽玛参数替换第二屏幕区域的第二伽玛参数,就可以将第二屏幕区域的亮度调整至与第一屏幕区域的亮度一致,而第三屏幕区域的亮度的调整量与第二屏幕区域的亮度的调整量相同,所以第三屏幕区域与第一屏幕区域之间仍存在亮度差值,然后,在第三屏幕区域增加蒙版图层,根据第二屏幕区域和第三屏幕区域在第一时刻的亮度差值,将蒙版图层的透明度调整为第一透明度,可以将第三屏幕区域的亮度调整为与第二屏幕区域相同,从而可实现降低电子设备的各屏幕区域之间的亮度的差异,使不同屏幕区域的显示效果一致。In the embodiment of this application, since the brightness of the second screen area and the third screen area are controlled by the same gamma parameter, adjusting the same gamma parameter can reduce the brightness of the second screen area and the third screen area, and the first screen area The first gamma parameter corresponding to the area replaces the second gamma parameter of the second screen area, so that the brightness of the second screen area can be adjusted to be consistent with the brightness of the first screen area, and the adjustment amount of the brightness of the third screen area The adjustment amount is the same as the brightness of the second screen area, so there is still a brightness difference between the third screen area and the first screen area. Then, add a mask layer in the third screen area, according to the second screen area and the third screen area. The brightness difference of the screen area at the first moment, adjust the transparency of the mask layer to the first transparency, and adjust the brightness of the third screen area to be the same as the second screen area, so as to realize the reduction of each screen area of the electronic device The brightness difference between them makes the display effect of different screen areas consistent.
一种可能的设计中,分别确定第一屏幕区域、第二屏幕区域和第三屏幕区域在第一时刻的亮度,包括:分别根据所述第一屏幕区域、所述第二屏幕区域、所述第三屏幕区域的初始亮度、亮屏状态的总时长、以及制作工艺参数,确定所述第一屏幕区域、所述第二屏幕区域和所述第三屏幕区域在第一时刻的亮度。如此,可便于实时确定三个屏幕区域的在第一时刻的亮度,从而实时对三个屏幕区域的亮度差异进行调整。In a possible design, respectively determining the brightness of the first screen area, the second screen area, and the third screen area at the first moment includes: respectively according to the first screen area, the second screen area, the The initial brightness of the third screen area, the total duration of the on-screen state, and manufacturing process parameters determine the brightness of the first screen area, the second screen area, and the third screen area at the first moment. In this way, it is convenient to determine the brightness of the three screen areas at the first moment in real time, so as to adjust the brightness differences of the three screen areas in real time.
一种可能的设计中,采用如下公式确定所述第一屏幕区域、所述第二屏幕区域和所述第三屏幕区域中任一屏幕区域在第一时刻的亮度:其中,所述Lum为所述屏幕区域从出厂时刻到所述第一时刻的屏幕亮度,所述Lum_init为所述屏幕区域在出厂时刻的最大亮度,t为所述屏幕区域从出厂时刻到所述第一时刻处于亮屏状态的总时长,t0为所述屏幕区域的理论最大发光时长,Lev为所述屏幕区域包括的各发光单元中在第一时刻亮度最大的发光单元的亮度,Lev_max为所述屏幕区域包括的各发光单元中在出厂时刻的亮度最大的发光单元;所述γ为第一制作工艺参数,k为第二制作工艺参数,β为第三制作工艺参数。In a possible design, the brightness of any screen area in the first screen area, the second screen area, and the third screen area at the first moment is determined by using the following formula: Wherein, the Lum is the screen brightness of the screen area from the time of delivery to the first time, the Lum_init is the maximum brightness of the screen area at the time of delivery, and t is the brightness of the screen area from the time of delivery to the first time. The total duration of being in the bright screen state at the first moment,t0 is the theoretical maximum light-emitting duration of the screen area, Lev is the brightness of the light-emitting unit with the highest brightness at the first moment among the light-emitting units included in the screen area, and Lev_max is Among the light-emitting units included in the screen area, the light-emitting unit with the highest brightness at the time of delivery; the γ is the first manufacturing process parameter, k is the second manufacturing process parameter, and β is the third manufacturing process parameter.
示例的,确定第一屏幕区域、第二屏幕区域和第三屏幕区域在第一时刻的亮度的具体方式可以参见上述公式(1)。For example, the specific manner of determining the brightness of the first screen area, the second screen area, and the third screen area at the first moment may refer to the above formula (1).
一种可能的设计中,在分别确定第一屏幕区域、第二屏幕区域和第三屏幕区域在第一时刻的亮度之后,在确定第一屏幕区域在第一时刻的亮度所对应的第一伽玛参数之前,还包括:确定第二屏幕区域的亮度大于第一屏幕区域的亮度、且小于第三屏幕区域的亮度。在这种情况下,可以分别对亮度较大的第二屏幕区域和第三屏幕区域的亮度进行调整,以降低第二屏幕区域和第三屏幕区域的亮度分别与第一屏幕区域的亮度之间的差异。In a possible design, after determining the brightness of the first screen area, the second screen area and the third screen area at the first moment respectively, after determining the first gamma corresponding to the brightness of the first screen area at the first moment Before the M parameter, it also includes: determining that the brightness of the second screen area is greater than the brightness of the first screen area and smaller than the brightness of the third screen area. In this case, the brightness of the second screen area and the third screen area with higher brightness can be adjusted respectively to reduce the difference between the brightness of the second screen area and the third screen area and the brightness of the first screen area. difference.
一种可能的设计中,确定第一屏幕区域在第一时刻的亮度所对应的第一伽玛参数,可根据第一屏幕区域在第一时刻的亮度所对应的灰阶值、以及第一对应关系,确定第一屏幕区域在第一时刻的亮度所对应的第一伽玛参数,其中,第一对应关系包括伽玛参数与灰阶值的对应关系。这样可以简便的确定第一屏幕区域的伽玛参数。In a possible design, determining the first gamma parameter corresponding to the brightness of the first screen area at the first moment can be based on the gray scale value corresponding to the brightness of the first screen area at the first moment and the first corresponding relationship, to determine the first gamma parameter corresponding to the brightness of the first screen area at the first moment, wherein the first correspondence relationship includes the correspondence relationship between the gamma parameter and the grayscale value. In this way, the gamma parameter of the first screen area can be easily determined.
一种可能的设计中,将所述第二屏幕区域和所述第三屏幕区域的第二伽玛参数设置为所述第一伽玛参数,可包括:从内部存储器中的配置文件读取第二屏幕区域和第三屏幕区域的第二伽玛参数的存储位置;删除第二伽玛参数的存储位置中的第二伽玛参数,并将第一伽玛参数写入到第二伽玛参数的存储位置中。In a possible design, setting the second gamma parameter of the second screen area and the third screen area as the first gamma parameter may include: reading the first gamma parameter from a configuration file in the internal memory The storage location of the second gamma parameter of the second screen area and the third screen area; delete the second gamma parameter in the storage location of the second gamma parameter, and write the first gamma parameter to the second gamma parameter in the storage location.
一种可能的设计中,在第三屏幕区域增加蒙版图层之前,该方法还可以包括:确定第三屏幕区域支持蒙版图层特性。也就是说,在第三屏幕区域支持蒙版图层特性的情况下,增加蒙版图层;在第三屏幕区域不支持蒙版图层特性的情况下,不作任何操作。In a possible design, before adding the mask layer in the third screen area, the method may further include: determining that the third screen area supports the feature of the mask layer. That is to say, if the third screen area supports the feature of the mask layer, the mask layer is added; if the third screen area does not support the feature of the mask layer, no operation is performed.
一种可能的设计中,电子设备根据第二屏幕区域和第三屏幕区域在第一时刻的亮度差值,将蒙版图层的透明度调整为第一透明度,可以包括:电子设备根据第二屏幕区域和第三屏幕区域在第一时刻的亮度差值,确定亮度差值占第三屏幕区域的初始亮度的百分比;将百分比作为第一透明度;将蒙版图层的透明度调整为第一透明度。其中,蒙版图层的透明度可以取值0-100,透明度的取值为0时,表示完全透明,透明度的取值为100,表示完全不透明,通过将第二屏幕区域和第三屏幕区域之间的亮度差值占第三屏幕区域的初始亮度的百分比,作为第一透明度,可以将第三屏幕区域的亮度降低该亮度差值,从而实现将第三屏幕区域的亮度降低至与第一屏幕区域一致。In a possible design, the electronic device adjusts the transparency of the mask layer to the first transparency according to the brightness difference between the second screen area and the third screen area at the first moment, which may include: the electronic device adjusts the transparency of the mask layer according to the second screen area and the brightness difference of the third screen area at the first moment, determine the percentage of the brightness difference to the initial brightness of the third screen area; use the percentage as the first transparency; adjust the transparency of the mask layer to the first transparency. Among them, the transparency of the mask layer can take a value of 0-100. When the value of the transparency is 0, it means that it is completely transparent, and when the value of the transparency is 100, it means that it is completely opaque. The brightness difference of the third screen area accounts for the percentage of the initial brightness of the third screen area. As the first transparency, the brightness of the third screen area can be reduced by the brightness difference, thereby reducing the brightness of the third screen area to the same as the first screen area. unanimous.
一种可能的设计中,电子设备在第三屏幕区域增加蒙版图层之前,该方法还可以包括:获取第三屏幕区域的显示信息;根据第三屏幕区域的显示信息,确定蒙版图层的图层参数;图层参数包括分辨率、方向、尺寸、透明度中的一种或多种;在第三屏幕区域增加蒙版图层之后,该方法还可以包括:设置蒙版图层的图层参数。In a possible design, before the electronic device adds the mask layer in the third screen area, the method may further include: acquiring display information of the third screen area; determining the image of the mask layer according to the display information of the third screen area Layer parameters; the layer parameters include one or more of resolution, direction, size, and transparency; after the mask layer is added in the third screen area, the method may further include: setting the layer parameters of the mask layer.
一种可能的设计中,上述方法还包括:在确定蒙版图层的图层参数发生变化时,确定出变化后图层参数;根据变化后图层参数,设置蒙版图层的图层参数。如此,可在蒙版图层的图层参数发生变化时,及时对蒙版图层的图层参数进行更新。In a possible design, the above method further includes: when it is determined that the layer parameters of the mask layer are changed, determining the changed layer parameters; and setting the layer parameters of the mask layer according to the changed layer parameters. In this way, when the layer parameters of the mask layer change, the layer parameters of the mask layer can be updated in time.
一种可能的设计中,上述方法还包括:当电子设备的屏幕方向发生变化或者屏幕分辨率发生变化时,确定出变化后方向或者变化后分辨率所对应的第一蒙版属性;第一蒙版属性包括显示屏的高和宽、蒙版图层的坐标、蒙版图层的高和宽;将蒙版图层的蒙版属性调整为第一蒙版属性。如此,在电子设备的屏幕方向发生变化或者屏幕分辨率发生变化时,适应性的调整蒙版图层的蒙版属性,以便实现蒙版图层适应第三屏幕区域的变化。In a possible design, the above method further includes: when the screen orientation of the electronic device changes or the screen resolution changes, determining the first mask attribute corresponding to the changed orientation or the changed resolution; The plate attribute includes the height and width of the display screen, the coordinates of the mask layer, and the height and width of the mask layer; the mask attribute of the mask layer is adjusted to be the first mask attribute. In this way, when the orientation of the screen of the electronic device changes or the resolution of the screen changes, the mask attribute of the mask layer is adaptively adjusted so that the mask layer can adapt to the change of the third screen area.
一种可能的设计中,该方法还可以包括:当确定第三屏幕区域与第二屏幕区域的亮度差值发生变化时,确定变化后亮度差值占第三屏幕区域的初始亮度的百分比,作为第二透明度;将蒙版图层的透明度调整为第二透明度。如此,可在第三屏幕区域与第二屏幕区域的亮度差值发生变化时,及时对蒙版图层的透明度进行更新,及时降低各屏幕区域之间的亮度的差异,使不同屏幕区域的显示效果一致。In a possible design, the method may further include: when it is determined that the brightness difference between the third screen area and the second screen area changes, determining the percentage of the changed brightness difference in the initial brightness of the third screen area, as Secondary Transparency; adjusts the transparency of the mask layer to Secondary Transparency. In this way, when the brightness difference between the third screen area and the second screen area changes, the transparency of the mask layer can be updated in time, and the brightness difference between each screen area can be reduced in time, so that the display effect of different screen areas unanimous.
一种可能的设计中,当第三屏幕区域关闭显示时,删除蒙版图层。如此,第三屏幕区域在不显示时删除蒙版图层,可以节省系统开销。In a possible design, when the display of the third screen area is turned off, the mask layer is deleted. In this way, the mask layer is deleted when the third screen area is not displayed, which can save system overhead.
一种可能的设计中,当电子设备的屏幕方向发生变化或者屏幕分辨率发生变化时,根据变化后方向或者变化后分辨率调整蒙版图层的分辨率。从而可以实现蒙版图层适应第三屏幕区域的变化,避免出现第三屏幕区域的实际显示区域与屏幕分辨率不匹配的问题。In a possible design, when the screen orientation or screen resolution of the electronic device changes, the resolution of the mask layer is adjusted according to the changed orientation or the changed resolution. Therefore, the mask layer can adapt to the change of the third screen area, and avoid the problem that the actual display area of the third screen area does not match the screen resolution.
一种可能的设计中,当电子设备开启截屏或录屏功能时,若确定待截取内容包括蒙版图层,则从待截取内容中删除蒙版图层,并对已删除蒙版图层的待截取内容执行截屏或录屏功能。如此,当截屏或录屏之后的内容屏幕亮度具有一致性的电子设备中播放时,可以避免出现蒙版图层所在区域的亮度较暗,而其他地方的亮度偏亮的情况。In one possible design, when the screen capture or screen recording function is enabled on the electronic device, if it is determined that the content to be captured includes a mask layer, the mask layer is deleted from the content to be captured, and the content to be captured of the deleted mask layer is Perform screen capture or screen recording functions. In this way, when the screenshot or recorded content is played on an electronic device with consistent screen brightness, it can avoid the situation that the brightness of the area where the mask layer is located is darker, while the brightness of other places is brighter.
一种可能的设计中,当电子设备需要向外设显示器分享显示内容时,若确定待分享内容包括蒙版图层,则从待分享内容中删除蒙版图层,并向外设显示器分享已删除蒙版图层的待分享内容。如此,可以避免在屏幕亮度具有一致性的外设显示器播放分享的内容时,出现蒙版图层所在区域的亮度较暗,而其他地方的亮度偏亮的情况。In one possible design, when the electronic device needs to share the displayed content with the external display, if it is determined that the content to be shared includes a mask layer, the mask layer is deleted from the content to be shared, and the deleted mask layer is shared with the external display. The content to be shared on the layout layer. In this way, when the shared content is played on an external display with consistent screen brightness, the situation where the brightness of the area where the mask layer is located is darker, while the brightness of other places is brighter can be avoided.
参见图12,示例性的示出了本申请实施例提供的另一种补偿方法的流程,该方法由具有显示屏的电子设备执行,显示屏包括第一屏幕区域、第二屏幕区域、以及第三屏幕区域,其中,所述第二屏幕区域与所述第三屏幕区域由同一伽玛参数控制亮度,该方法包括以下步骤:Referring to FIG. 12 , it exemplarily shows the flow of another compensation method provided by the embodiment of the present application. The method is executed by an electronic device with a display screen, and the display screen includes a first screen area, a second screen area, and a second screen area. Three screen areas, wherein the brightness of the second screen area and the third screen area are controlled by the same gamma parameter, the method includes the following steps:
步骤1201,电子设备分别确定第一屏幕区域、第二屏幕区域和第三屏幕区域在第一时刻的亮度。Step 1201, the electronic device respectively determines the brightness of the first screen area, the second screen area and the third screen area at the first moment.
步骤1202,当第二屏幕区域需要显示内容时,在第二屏幕区域增加第一蒙版图层,并根据第一屏幕区域和第二屏幕区域在第一时刻的第一亮度差值,将第一蒙版图层的透明度调整为第二透明度。Step 1202, when the second screen area needs to display content, add the first mask layer in the second screen area, and according to the first brightness difference between the first screen area and the second screen area at the first moment, convert the first Adjust the transparency of the mask layer to the second transparency.
步骤1203,当第三屏幕区域需要显示内容时,在第三屏幕区域增加第二蒙版图层,并根据第一屏幕区域和第三屏幕区域在第一时刻的第二亮度差值,将第二蒙版图层的透明度调整为第三透明度。
本申请实施例中,电子设备通过分别在第二屏幕区域和第三屏幕区域增加蒙版图层,可以分别调节第二屏幕区域和第三屏幕区域对应的蒙版图层的透明度,可以使第二屏幕区域的亮度调整至与第一屏幕区域的亮度一致,第三屏幕区域的亮度也调整至与第一屏幕区域的亮度一致,从而实现降低电子设备的各屏幕区域之间的亮度的差异,使不同屏幕区域的显示效果一致。In the embodiment of the present application, the electronic device can respectively adjust the transparency of the mask layers corresponding to the second screen area and the third screen area by adding mask layers in the second screen area and the third screen area, and can make the second screen area The brightness of the area is adjusted to be consistent with the brightness of the first screen area, and the brightness of the third screen area is also adjusted to be consistent with the brightness of the first screen area, so as to reduce the difference in brightness between the screen areas of the electronic device and make different The display effect of the screen area is consistent.
一种可能的设计中,分别确定第一屏幕区域、第二屏幕区域和第三屏幕区域在第一时刻的亮度,包括:分别根据所述第一屏幕区域、所述第二屏幕区域、所述第三屏幕区域的初始亮度、亮屏状态的总时长、以及制作工艺参数,确定所述第一屏幕区域、所述第二屏幕区域和所述第三屏幕区域在第一时刻的亮度。如此,可便于实时确定三个屏幕区域的在第一时刻的亮度,从而实时对三个屏幕区域的亮度差异进行调整。In a possible design, respectively determining the brightness of the first screen area, the second screen area, and the third screen area at the first moment includes: respectively according to the first screen area, the second screen area, the The initial brightness of the third screen area, the total duration of the on-screen state, and manufacturing process parameters determine the brightness of the first screen area, the second screen area, and the third screen area at the first moment. In this way, it is convenient to determine the brightness of the three screen areas at the first moment in real time, so as to adjust the brightness differences of the three screen areas in real time.
一种可能的设计中,采用如下公式确定所述第一屏幕区域、所述第二屏幕区域和所述第三屏幕区域中任一屏幕区域在第一时刻的亮度:其中,所述Lum为所述屏幕区域从出厂时刻到所述第一时刻的屏幕亮度,所述Lum_init为所述屏幕区域在出厂时刻的最大亮度,t为所述屏幕区域从出厂时刻到所述第一时刻处于亮屏状态的总时长,t0为所述屏幕区域的理论最大发光时长,Lev为所述屏幕区域包括的各发光单元中在第一时刻亮度最大的发光单元的亮度,Lev_max为所述屏幕区域包括的各发光单元中在出厂时刻的亮度最大的发光单元;所述γ为第一制作工艺参数,k为第二制作工艺参数,β为第三制作工艺参数。In a possible design, the brightness of any screen area in the first screen area, the second screen area, and the third screen area at the first moment is determined by using the following formula: Wherein, the Lum is the screen brightness of the screen area from the time of delivery to the first time, the Lum_init is the maximum brightness of the screen area at the time of delivery, and t is the brightness of the screen area from the time of delivery to the first time. The total duration of being in the bright screen state at the first moment,t0 is the theoretical maximum light-emitting duration of the screen area, Lev is the brightness of the light-emitting unit with the highest brightness at the first moment among the light-emitting units included in the screen area, and Lev_max is Among the light-emitting units included in the screen area, the light-emitting unit with the highest brightness at the time of delivery; the γ is the first manufacturing process parameter, k is the second manufacturing process parameter, and β is the third manufacturing process parameter.
示例的,确定第一屏幕区域、第二屏幕区域和第三屏幕区域在第一时刻的亮度的具体方式可以参见上述公式(1)及其相关内容,此处不再赘述。For example, the specific manner of determining the brightness of the first screen area, the second screen area, and the third screen area at the first moment may refer to the above formula (1) and related content, which will not be repeated here.
一种可能的设计中,在分别确定第一屏幕区域、第二屏幕区域和第三屏幕区域在第一时刻的亮度之后,还包括:确定第二屏幕区域的亮度大于第一屏幕区域的亮度、且小于第三屏幕区域的亮度。在这种情况下,可以分别对亮度较大的第二屏幕区域和第三屏幕区域的亮度进行调整,以降低第二屏幕区域和第三屏幕区域的亮度分别与第一屏幕区域的亮度之间的差异。In a possible design, after respectively determining the brightness of the first screen area, the second screen area and the third screen area at the first moment, it further includes: determining that the brightness of the second screen area is greater than the brightness of the first screen area, And less than the brightness of the third screen area. In this case, the brightness of the second screen area and the third screen area with higher brightness can be adjusted respectively to reduce the difference between the brightness of the second screen area and the third screen area and the brightness of the first screen area. difference.
一种可能的设计中,在第二屏幕区域增加第一蒙版图层之前,该方法还可以包括:确定第二屏幕区域支持蒙版图层特性。也就是说,在第三屏幕区域支持蒙版图层特性的情况下,增加第一蒙版图层;在第三屏幕区域不支持蒙版图层特性的情况下,不作任何操作。In a possible design, before adding the first mask layer to the second screen area, the method may further include: determining that the second screen area supports the feature of the mask layer. That is to say, if the third screen area supports the feature of the mask layer, add the first mask layer; if the third screen area does not support the feature of the mask layer, no operation is performed.
一种可能的设计中,在第三屏幕区域增加第二蒙版图层之前,该方法还可以包括:确定第三屏幕区域支持蒙版图层特性。也就是说,在第三屏幕区域支持蒙版图层特性的情况下,增加第二蒙版图层;在第三屏幕区域不支持蒙版图层特性的情况下,不作任何操作。In a possible design, before adding the second mask layer to the third screen area, the method may further include: determining that the third screen area supports the mask layer feature. That is to say, if the third screen area supports the feature of the mask layer, add the second mask layer; if the third screen area does not support the feature of the mask layer, no operation is performed.
一种可能的设计中,根据第一屏幕区域和第二屏幕区域在第一时刻的第一亮度差值,将第一蒙版图层的透明度调整为第二透明度,包括:根据第一屏幕区域和第二屏幕区域在第一时刻的第一亮度差值,确定第一亮度差值占第二屏幕区域的初始亮度的第一百分比;将第一百分比作为第二透明度;将第一蒙版图层的透明度调整为第二透明度。通过将第一屏幕区域和第二屏幕区域之间的第一亮度差值占第二屏幕区域的初始亮度的第一百分比,作为第二透明度,可以将第二屏幕区域的亮度降低该第一亮度差值,从而实现将第二屏幕区域的亮度降低至与第一屏幕区域一致。In a possible design, adjusting the transparency of the first mask layer to the second transparency according to the first brightness difference between the first screen area and the second screen area at the first moment includes: according to the first screen area and For the first brightness difference value of the second screen area at the first moment, determine the first percentage of the first brightness difference value in the initial brightness of the second screen area; use the first percentage as the second transparency; use the first Adjust the transparency of the mask layer to the second transparency. By using the first brightness difference between the first screen area and the second screen area as the first percentage of the initial brightness of the second screen area as the second transparency, the brightness of the second screen area can be reduced by the first percentage A brightness difference value, so as to reduce the brightness of the second screen area to be consistent with that of the first screen area.
一种可能的设计中,在第二屏幕区域增加第一蒙版图层之前,该方法还可以包括:获取第二屏幕区域的显示信息;根据第二屏幕区域的显示信息,确定第一蒙版图层的图层参数;图层参数包括第一蒙版图层的分辨率、方向、尺寸、透明度中的一种或多种;在第三屏幕区域增加第一蒙版图层之后,该方法还可以包括:设置第一蒙版图层的图层参数。In a possible design, before adding the first mask layer to the second screen area, the method may further include: acquiring display information of the second screen area; determining the first mask layer according to the display information of the second screen area The layer parameters; the layer parameters include one or more of the resolution, direction, size, and transparency of the first mask layer; after adding the first mask layer to the third screen area, the method may also include: Set the layer parameters for the first mask layer.
一种可能的设计中,上述方法还包括:在确定第一蒙版图层的图层参数发生变化时,确定出第一变化后图层参数;根据第一变化后图层参数,设置第一蒙版图层的第一图层参数。如此,可在第一蒙版图层的图层参数发生变化时,及时对第一蒙版图层的图层参数进行更新。In a possible design, the above method also includes: when it is determined that the layer parameters of the first mask layer change, determine the first changed layer parameters; according to the first changed layer parameters, set the first mask layer The first layer parameter of the layout layer. In this way, when the layer parameters of the first mask layer change, the layer parameters of the first mask layer can be updated in time.
一种可能的设计中,上述方法还包括:当电子设备的屏幕方向发生变化或者屏幕分辨率发生变化时,确定出变化后方向或者变化后分辨率所对应的第一蒙版属性;第一蒙版属性包括显示屏的高和宽、第一蒙版图层的坐标、一蒙版图层的高和宽;将第一蒙版图层的蒙版属性调整为第一蒙版属性。如此,在电子设备的屏幕方向发生变化或者屏幕分辨率发生变化时,适应性的调整第一蒙版图层的蒙版属性,以便实现第一蒙版图层适应第二屏幕区域的变化。In a possible design, the above method further includes: when the screen orientation of the electronic device changes or the screen resolution changes, determining the first mask attribute corresponding to the changed orientation or the changed resolution; The plate attribute includes the height and width of the display screen, the coordinates of the first mask layer, and the height and width of a mask layer; the mask attribute of the first mask layer is adjusted to the first mask attribute. In this way, when the screen orientation of the electronic device changes or the screen resolution changes, the mask attribute of the first mask layer is adaptively adjusted, so as to realize that the first mask layer adapts to the change of the second screen area.
一种可能的设计中,该方法还可以包括:当确定第二屏幕区域与第一屏幕区域的亮度差值发生变化时,确定出变化后亮度差值占第二屏幕区域的初始亮度的百分比,作为第四透明度;将第一蒙版图层的透明度调整为第四透明度。如此,可在第一屏幕区域与第二屏幕区域的亮度差值发生变化时,及时对第二屏幕区域的第一蒙版图层的透明度进行更新,及时降低各屏幕区域之间的亮度的差异,使不同屏幕区域的显示效果一致。In a possible design, the method may further include: when it is determined that the brightness difference between the second screen area and the first screen area changes, determining the percentage of the changed brightness difference to the initial brightness of the second screen area, As the fourth transparency; adjust the transparency of the first mask layer to the fourth transparency. In this way, when the brightness difference between the first screen area and the second screen area changes, the transparency of the first mask layer in the second screen area can be updated in time, and the brightness difference between the screen areas can be reduced in time. Make the display effect of different screen areas consistent.
一种可能的设计中,根据第一屏幕区域和第三屏幕区域在第一时刻的第二亮度差值,将第二蒙版图层的透明度调整为第三透明度,包括:根据第一屏幕区域和第三屏幕区域在第一时刻的第二亮度差值,确定第二亮度差值占第三屏幕区域的初始亮度的第二百分比;将第二百分比作为第三透明度;将蒙版图层的透明度调整为第三透明度。通过将第一屏幕区域和第三屏幕区域之间的第二亮度差值占第三屏幕区域的初始亮度的第二百分比,作为第三透明度,可以将第三屏幕区域的亮度降低该第二亮度差值,从而实现将第三屏幕区域的亮度降低至与第一屏幕区域一致。In a possible design, according to the second brightness difference between the first screen area and the third screen area at the first moment, the transparency of the second mask layer is adjusted to the third transparency, including: according to the first screen area and the third screen area The second brightness difference value of the third screen area at the first moment, determine the second percentage of the second brightness difference value in the initial brightness of the third screen area; use the second percentage as the third transparency; use the mask image Adjust the transparency of the layer to third transparency. By using the second brightness difference between the first screen area and the third screen area as a second percentage of the initial brightness of the third screen area as the third transparency, the brightness of the third screen area can be reduced by the second percentage. Two brightness difference values, so as to reduce the brightness of the third screen area to be consistent with that of the first screen area.
一种可能的设计中,在第三屏幕区域增加第二蒙版图层之前,该方法还可以包括:获取第三屏幕区域的显示信息;根据第三屏幕区域的显示信息,确定第二蒙版图层的图层参数;图层参数包括第二蒙版图层的分辨率、方向、尺寸、透明度中的一种或多种;在第三屏幕区域增加第二蒙版图层之后,还包括:设置第二蒙版图层的图层参数。In a possible design, before adding the second mask layer in the third screen area, the method may further include: acquiring display information of the third screen area; determining the second mask layer according to the display information of the third screen area The layer parameters; the layer parameters include one or more of the resolution, direction, size, and transparency of the second mask layer; after adding the second mask layer in the third screen area, it also includes: setting the second mask layer Layer parameters for the mask layer.
一种可能的设计中,上述方法还包括:在确定第一蒙版图层的图层参数发生变化时,确定出第二变化后图层参数;根据第二变化后图层参数,设置第二蒙版图层的图层参数。如此,可在第二蒙版图层的图层参数发生变化时,及时对第二蒙版图层的图层参数进行更新。In a possible design, the above method further includes: when determining that the layer parameters of the first mask layer are changed, determining the second changed layer parameters; according to the second changed layer parameters, setting the second mask layer Layer parameters for the layout layer. In this way, when the layer parameters of the second mask layer change, the layer parameters of the second mask layer can be updated in time.
一种可能的设计中,上述方法还包括:当电子设备的屏幕方向发生变化或者屏幕分辨率发生变化时,确定出变化后方向或者变化后分辨率所对应的第二蒙版属性;第二蒙版属性包括显示屏的高和宽、第二蒙版图层的坐标、二蒙版图层的高和宽,电子设备将第二蒙版图层的蒙版属性调整为第二蒙版属性。如此,在电子设备的屏幕方向发生变化或者屏幕分辨率发生变化时,适应性的调整第二蒙版图层的蒙版属性,以便实现第二蒙版图层适应第三屏幕区域的变化。In a possible design, the above method further includes: when the screen orientation of the electronic device changes or the screen resolution changes, determining the second mask attribute corresponding to the changed orientation or the changed resolution; The plate attribute includes the height and width of the display screen, the coordinates of the second mask layer, and the height and width of the second mask layer, and the electronic device adjusts the mask attribute of the second mask layer to the second mask attribute. In this way, when the screen orientation of the electronic device changes or the screen resolution changes, the mask attribute of the second mask layer is adaptively adjusted, so as to realize that the second mask layer adapts to the change of the third screen area.
一种可能的设计中,该方法还可以包括:当确定第三屏幕区域与第一屏幕区域的亮度差值发生变化时,确定出变化后亮度差值占第三屏幕区域的初始亮度的百分比,作为第五透明度;将第二蒙版图层的透明度调整为第五透明度。如此,可在第一屏幕区域与第三屏幕区域的亮度差值发生变化时,及时对第三屏幕区域的第二蒙版图层的透明度进行更新,及时降低各屏幕区域之间的亮度的差异,使不同屏幕区域的显示效果一致。In a possible design, the method may further include: when it is determined that the brightness difference between the third screen area and the first screen area changes, determining the percentage of the changed brightness difference to the initial brightness of the third screen area, As Fifth Transparency; adjust the transparency of the second mask layer to Fifth Transparency. In this way, when the brightness difference between the first screen area and the third screen area changes, the transparency of the second mask layer in the third screen area can be updated in time, and the brightness difference between the screen areas can be reduced in time. Make the display effect of different screen areas consistent.
一种可能的设计中,当第二屏幕区域关闭显示时,删除第一蒙版图层;当第三屏幕区域关闭显示时,删除第二蒙版图层。如此,第二屏幕区域和第三屏幕区域中任一屏幕区域在不显示时,删除相应屏幕区域对应的蒙版图层,可以节省系统开销。In a possible design, when the display of the second screen area is turned off, the first mask layer is deleted; when the display of the third screen area is turned off, the second mask layer is deleted. In this way, when any one of the second screen area and the third screen area is not displayed, the mask layer corresponding to the corresponding screen area is deleted, which can save system overhead.
一种可能的设计中,当电子设备的屏幕方向发生变化或者屏幕分辨率发生变化时,根据变化后方向或者变化后分辨率分别调整第一蒙版图层和第二蒙版图层的分辨率,从而可以实现蒙版图层适应相应的屏幕区域的分辨率变化,避免出现屏幕区域的实际显示区域与屏幕分辨率不匹配的问题。In a possible design, when the screen orientation of the electronic device changes or the screen resolution changes, the resolutions of the first mask layer and the second mask layer are respectively adjusted according to the changed direction or the changed resolution, so that The mask layer can be adapted to the resolution change of the corresponding screen area, so as to avoid the problem that the actual display area of the screen area does not match the screen resolution.
一种可能的设计中,当电子设备开启截屏或录屏功能时,若确定待截取内容包括第一蒙版图层,则从待截取内容中删除第一蒙版图层,并对已删除第一蒙版图层的待截取内容执行截屏或录屏功能;若确定待截取内容包括第二蒙版图层,则从待截取内容中删除第二蒙版图层,并对已删除第二蒙版图层的待截取内容执行截屏或录屏功能。如此,当截屏或录屏之后的内容屏幕亮度具有一致性的电子设备中播放时,可以避免出现蒙版图层所在区域的亮度较暗,而其他地方的亮度偏亮的情况。In a possible design, when the electronic device starts the screen capture or screen recording function, if it is determined that the content to be captured includes the first mask layer, then delete the first mask layer from the content to be captured, and delete the deleted first mask layer. If it is determined that the content to be intercepted includes the second mask layer, then delete the second mask layer from the content to be intercepted, and the deleted second mask layer to be intercepted The content performs screen capture or screen recording functions. In this way, when the screenshot or recorded content is played on an electronic device with consistent screen brightness, it can avoid the situation that the brightness of the area where the mask layer is located is darker, while the brightness of other places is brighter.
一种可能的设计中,当电子设备需要向外设显示器分享显示内容时,若确定待分享内容包括第一蒙版图层,则从待分享内容中删除第一蒙版图层,并向外设显示器分享已删除第一蒙版图层的待分享内容;若确定待分享内容包括第二蒙版图层,则从待分享内容中删除第二蒙版图层,并向外设显示器分享已删除第二蒙版图层的待分享内容。如此,可以避免在屏幕亮度具有一致性的外设显示器播放分享的内容时,出现蒙版图层所在区域的亮度较暗,而其他地方的亮度偏亮的情况。In a possible design, when the electronic device needs to share the displayed content with the external display, if it is determined that the content to be shared includes the first mask layer, then delete the first mask layer from the content to be shared, and send the content to the external display Share the content to be shared with the deleted first mask layer; if it is determined that the content to be shared includes the second mask layer, delete the second mask layer from the content to be shared, and share the deleted second mask image to the external display Layer's content to be shared. In this way, when the shared content is played on an external display with consistent screen brightness, the situation where the brightness of the area where the mask layer is located is darker, while the brightness of other places is brighter can be avoided.
上述本申请提供的实施例中,从电子设备(手机100)作为执行主体的角度对本申请实施例提供的方法进行了介绍。为了实现上述本申请实施例提供的方法中的各功能,终端设备可以包括硬件结构和/或软件模块,以硬件结构、软件模块、或硬件结构加软件模块的形式来实现上述各功能。上述各功能中的某个功能以硬件结构、软件模块、还是硬件结构加软件模块的方式来执行,取决于技术方案的特定应用和设计约束条件。In the above-mentioned embodiments provided in the present application, the method provided in the embodiments of the present application is introduced from the perspective of the electronic device (the mobile phone 100 ) as the execution subject. In order to realize the various functions in the method provided by the above embodiments of the present application, the terminal device may include a hardware structure and/or a software module, and realize the above-mentioned functions in the form of a hardware structure, a software module, or a hardware structure plus a software module. Whether one of the above-mentioned functions is executed in the form of a hardware structure, a software module, or a hardware structure plus a software module depends on the specific application and design constraints of the technical solution.
在本申请的另一些实施例中,还公开了一种电子设备,如图13所示,该电子设备可以包括:显示屏1301;一个或多个处理器1302;存储器1303;一个或多个应用程序(未示出);以及一个或多个计算机程序1304、上述各器件可以通过一个或多个通信总线1305连接。其中该一个或多个计算机程序1304被存储在上述存储器1303中并被配置为被该一个或多个处理器1302执行,该一个或多个计算机程序1304包括指令,上述指令可以用于执行上述实施例中的方法。In other embodiments of the present application, an electronic device is also disclosed. As shown in FIG. 13 , the electronic device may include: a display screen 1301; one or
本申请实施例还提供一种计算机存储介质,该计算机存储介质中存储有计算机指令,当该计算机指令在电子设备上运行时,使得电子设备执行上述相关方法步骤实现上述实施例中的方法。The embodiment of the present application also provides a computer storage medium, the computer storage medium stores computer instructions, and when the computer instructions are run on the electronic device, the electronic device executes the steps of the above-mentioned related methods to implement the methods in the above-mentioned embodiments.
本申请实施例还提供了一种计算机程序产品,当该计算机程序产品在计算机上运行时,使得计算机执行上述相关步骤,以实现上述实施例中的方法。An embodiment of the present application further provides a computer program product, which, when running on a computer, causes the computer to execute the above-mentioned related steps, so as to implement the methods in the above-mentioned embodiments.
另外,本申请的实施例还提供一种装置,这个装置具体可以是芯片,组件或模块,该装置可包括相连的处理器和存储器;其中,存储器用于存储计算机执行指令,当装置运行时,处理器可执行存储器存储的计算机执行指令,以使芯片执行上述各方法实施例中的触摸屏的方法。In addition, an embodiment of the present application also provides a device, which may specifically be a chip, a component or a module, and the device may include a connected processor and a memory; wherein the memory is used to store computer-executable instructions, and when the device is running, The processor can execute the computer-executable instructions stored in the memory, so that the chip executes the methods for the touch screen in the above method embodiments.
其中,本申请实施例提供的电子设备、计算机存储介质、计算机程序产品或芯片均用于执行上文所提供的对应的方法,因此,其所能达到的有益效果可参考上文所提供的对应的方法中的有益效果,此处不再赘述。Wherein, the electronic device, computer storage medium, computer program product or chip provided in the embodiments of the present application are all used to execute the corresponding method provided above, therefore, the beneficial effects it can achieve can refer to the corresponding method provided above. The beneficial effects of the method will not be repeated here.
上述实施例中所用,根据上下文,术语“当…时”可以被解释为意思是“如果…”或“在…后”或“响应于确定…”或“响应于检测到…”。类似地,根据上下文,短语“在确定…时”或“如果检测到(所陈述的条件或事件)”可以被解释为意思是“如果确定…”或“响应于确定…”或“在检测到(所陈述的条件或事件)时”或“响应于检测到(所陈述的条件或事件)”。As used in the above embodiments, depending on the context, the term "when" may be interpreted to mean "if" or "after" or "in response to determining..." or "in response to detecting...". Similarly, depending on the context, the phrases "in determining" or "if detected (a stated condition or event)" may be interpreted to mean "if determining..." or "in response to determining..." or "on detecting (a stated condition or event)" or "in response to detecting (a stated condition or event)".
在上述实施例中,可以全部或部分地通过软件、硬件、固件或者其任意组合来实现。当使用软件实现时,可以全部或部分地以计算机程序产品的形式实现。所述计算机程序产品包括一个或多个计算机指令。在计算机上加载和执行所述计算机程序指令时,全部或部分地产生按照本申请实施例所述的流程或功能。所述计算机可以是通用计算机、专用计算机、计算机网络、或者其他可编程装置。所述计算机指令可以存储在计算机可读存储介质中,或者从一个计算机可读存储介质向另一个计算机可读存储介质传输,例如,所述计算机指令可以从一个网站站点、计算机、服务器或数据中心通过有线(例如同轴电缆、光纤、数字用户线)或无线(例如红外、无线、微波等)方式向另一个网站站点、计算机、服务器或数据中心进行传输。所述计算机可读存储介质可以是计算机能够存取的任何可用介质或者是包含一个或多个可用介质集成的服务器、数据中心等数据存储设备。所述可用介质可以是磁性介质,(例如,软盘、硬盘、磁带)、光介质(例如DVD)、或者半导体介质(例如固态硬盘)等。In the above embodiments, all or part of them may be implemented by software, hardware, firmware or any combination thereof. When implemented using software, it may be implemented in whole or in part in the form of a computer program product. The computer program product includes one or more computer instructions. When the computer program instructions are loaded and executed on the computer, the processes or functions according to the embodiments of the present application will be generated in whole or in part. The computer can be a general purpose computer, a special purpose computer, a computer network, or other programmable devices. The computer instructions may be stored in or transmitted from one computer-readable storage medium to another computer-readable storage medium, for example, the computer instructions may be transmitted from a website, computer, server or data center Transmission to another website site, computer, server, or data center by wired (eg, coaxial cable, optical fiber, DSL) or wireless (eg, infrared, wireless, microwave, etc.) means. The computer-readable storage medium may be any available medium that can be accessed by a computer, or a data storage device such as a server or a data center integrated with one or more available media. The available media may be magnetic media (eg, floppy disk, hard disk, magnetic tape), optical media (eg, DVD), or semiconductor media (eg, solid state hard disk), etc.
为了解释的目的,前面的描述是通过参考具体实施例来进行描述的。然而,上面的示例性的讨论并非意图是详尽的,也并非意图要将本申请限制到所公开的精确形式。根据以上教导内容,很多修改形式和变型形式都是可能的。选择和描述实施例是为了充分阐明本申请的原理及其实际应用,以由此使得本领域的其他技术人员能够充分利用具有适合于所构想的特定用途的各种修改的本申请以及各种实施例。The foregoing description, for purposes of explanation, has been described with reference to specific embodiments. However, the exemplary discussions above are not intended to be exhaustive or to limit the application to the precise forms disclosed. Many modifications and variations are possible in light of the above teaching. The embodiment was chosen and described in order to fully explain the principles of the application and its practical application, to thereby enable others skilled in the art to fully utilize the application and various implementations with various modifications as are suited to the particular use contemplated. example.
| Application Number | Priority Date | Filing Date | Title |
|---|---|---|---|
| CN201911144228.7ACN112825232B (en) | 2019-11-20 | 2019-11-20 | Compensation method and electronic equipment |
| PCT/CN2020/130168WO2021098790A1 (en) | 2019-11-20 | 2020-11-19 | Compensation method and electronic device |
| Application Number | Priority Date | Filing Date | Title |
|---|---|---|---|
| CN201911144228.7ACN112825232B (en) | 2019-11-20 | 2019-11-20 | Compensation method and electronic equipment |
| Publication Number | Publication Date |
|---|---|
| CN112825232A CN112825232A (en) | 2021-05-21 |
| CN112825232Btrue CN112825232B (en) | 2023-01-06 |
| Application Number | Title | Priority Date | Filing Date |
|---|---|---|---|
| CN201911144228.7AActiveCN112825232B (en) | 2019-11-20 | 2019-11-20 | Compensation method and electronic equipment |
| Country | Link |
|---|---|
| CN (1) | CN112825232B (en) |
| WO (1) | WO2021098790A1 (en) |
| Publication number | Priority date | Publication date | Assignee | Title |
|---|---|---|---|---|
| CN113778273B (en)* | 2021-07-29 | 2022-12-23 | 荣耀终端有限公司 | Light spot display method, electronic device, and computer-readable storage medium |
| CN114694618B (en) | 2022-03-03 | 2023-06-27 | 武汉华星光电半导体显示技术有限公司 | Brightness regulating method and device for display panel |
| CN114446217B (en)* | 2022-03-09 | 2023-12-22 | 京东方科技集团股份有限公司 | Display compensation method, compensation device, display device and storage medium |
| CN115086585B (en)* | 2022-04-29 | 2024-10-22 | 广州维梦科技有限公司 | Screen recording method capable of adapting to screen direction, intelligent terminal and storage medium |
| CN114783009B (en)* | 2022-04-29 | 2025-04-01 | 云谷(固安)科技有限公司 | Method, display panel, device, processing equipment and terminal for adjusting fingerprint brightness |
| CN117597726A (en)* | 2022-06-17 | 2024-02-23 | 北京小米移动软件有限公司 | Brightness adjustment method and device, storage medium |
| CN117130511B (en)* | 2023-02-24 | 2024-09-20 | 荣耀终端有限公司 | Brightness control method and related equipment |
| CN118692414A (en)* | 2023-03-22 | 2024-09-24 | 华为技术有限公司 | Brightness adjustment system, method and electronic device |
| CN119254869B (en)* | 2024-02-26 | 2025-10-03 | 荣耀终端股份有限公司 | Display method, external folding screen device, and storage medium |
| Publication number | Priority date | Publication date | Assignee | Title |
|---|---|---|---|---|
| CN104078028A (en)* | 2014-06-27 | 2014-10-01 | 联想(北京)有限公司 | Screen brightness adjusting method and electronic equipment |
| CN104347051A (en)* | 2014-06-30 | 2015-02-11 | 腾讯科技(深圳)有限公司 | Method and system for adjusting screen brightness |
| CN109471631A (en)* | 2018-11-21 | 2019-03-15 | 北京京东尚科信息技术有限公司 | The generation method and device of masking-out material |
| CN109976450A (en)* | 2019-03-15 | 2019-07-05 | Oppo广东移动通信有限公司 | Screen calibration method, device, electronic device and storage medium |
| CN110119295A (en)* | 2019-04-16 | 2019-08-13 | 华为技术有限公司 | A kind of display control method and relevant apparatus |
| Publication number | Priority date | Publication date | Assignee | Title |
|---|---|---|---|---|
| KR20070118371A (en)* | 2006-06-12 | 2007-12-17 | 삼성전자주식회사 | Display device and control method |
| KR101333680B1 (en)* | 2007-04-12 | 2013-12-02 | 삼성전자주식회사 | Display apparatus and method of adjusting brightness for the same |
| CN101937644B (en)* | 2009-06-30 | 2015-07-29 | 奇晶光电股份有限公司 | Image compensation module, organic light emitting diode display panel and image compensation method |
| KR102248841B1 (en)* | 2014-05-21 | 2021-05-06 | 삼성전자주식회사 | Display apparatus, electronic device comprising thereof and operating method of thereof |
| TWI539433B (en)* | 2014-08-13 | 2016-06-21 | 友達光電股份有限公司 | Curved display device and gamma correction method thereof |
| US10019925B2 (en)* | 2015-08-06 | 2018-07-10 | Mediatek Inc. | Electronic device capable of displaying and performing color compensation and color compensation method |
| US10878771B2 (en)* | 2016-07-13 | 2020-12-29 | Motorola Mobility Llc | Deformable electronic device and methods and systems for display remediation to compensate performance degradation |
| KR102593457B1 (en)* | 2016-10-25 | 2023-10-25 | 엘지디스플레이 주식회사 | Display Device and Method for Driving the same |
| CN108230406B (en)* | 2018-01-02 | 2022-05-31 | 联想(北京)有限公司 | Data processing method and electronic equipment |
| CN109862172B (en)* | 2018-11-30 | 2021-03-09 | 维沃移动通信有限公司 | Screen parameter adjusting method and terminal |
| CN109859689B (en)* | 2019-04-09 | 2020-07-31 | Oppo广东移动通信有限公司 | Screen brightness adjustment method and related products |
| Publication number | Priority date | Publication date | Assignee | Title |
|---|---|---|---|---|
| CN104078028A (en)* | 2014-06-27 | 2014-10-01 | 联想(北京)有限公司 | Screen brightness adjusting method and electronic equipment |
| CN104347051A (en)* | 2014-06-30 | 2015-02-11 | 腾讯科技(深圳)有限公司 | Method and system for adjusting screen brightness |
| CN109471631A (en)* | 2018-11-21 | 2019-03-15 | 北京京东尚科信息技术有限公司 | The generation method and device of masking-out material |
| CN109976450A (en)* | 2019-03-15 | 2019-07-05 | Oppo广东移动通信有限公司 | Screen calibration method, device, electronic device and storage medium |
| CN110119295A (en)* | 2019-04-16 | 2019-08-13 | 华为技术有限公司 | A kind of display control method and relevant apparatus |
| Publication number | Publication date |
|---|---|
| WO2021098790A1 (en) | 2021-05-27 |
| CN112825232A (en) | 2021-05-21 |
| Publication | Publication Date | Title |
|---|---|---|
| CN112825232B (en) | Compensation method and electronic equipment | |
| US11361734B2 (en) | Display driving method and electronic device including the display driver integrated circuit for supporting the same | |
| CN114816210B (en) | A full-screen display method and device for a mobile terminal | |
| CN113741840B (en) | Application interface display method under multi-window screen projection scene and electronic equipment | |
| CN113726950B (en) | An image processing method and electronic device | |
| CN110808003B (en) | Compensation method and electronic equipment | |
| WO2021027747A1 (en) | Interface display method and device | |
| CN112017615A (en) | Ambient light brightness calibration method for electronic equipment and electronic equipment | |
| CN113157357B (en) | A method, device, terminal and storage medium for page display | |
| CN110780929B (en) | Method for calling hardware interface and electronic device | |
| CN114596819B (en) | Brightness adjusting method and related device | |
| CN112543495B (en) | Display control method and electronic equipment | |
| CN115801943B (en) | Display method, electronic device and storage medium | |
| WO2023005751A1 (en) | Rendering method and electronic device | |
| CN120077364A (en) | Interface generation method and electronic equipment | |
| CN111767016B (en) | Display processing method and device | |
| WO2023207828A1 (en) | Method for reducing power consumption, and electronic device | |
| CN117079596B (en) | Screen brightness adjusting method, terminal equipment and storage medium | |
| CN117707243B (en) | Temperature control method of electronic equipment | |
| CN116055627B (en) | Screen-off control method, electronic equipment and storage medium | |
| CN116055623B (en) | A power consumption control method, electronic device, and storage medium | |
| CN117133215B (en) | Method, chip, electronic device and readable storage medium for determining gray scale value | |
| CN116700655B (en) | Interface display method and electronic device | |
| CN116684725B (en) | Layout method and device of application interface, electronic equipment, storage medium and chip | |
| CN116795306A (en) | Image display method and electronic device |
| Date | Code | Title | Description |
|---|---|---|---|
| PB01 | Publication | ||
| PB01 | Publication | ||
| SE01 | Entry into force of request for substantive examination | ||
| SE01 | Entry into force of request for substantive examination | ||
| GR01 | Patent grant | ||
| GR01 | Patent grant |