Movatterモバイル変換


[0]ホーム

URL:


CN112816362A - Variable multifunctional grouting and foundation reinforcing experimental equipment and method - Google Patents

Variable multifunctional grouting and foundation reinforcing experimental equipment and method
Download PDF

Info

Publication number
CN112816362A
CN112816362ACN202110042779.3ACN202110042779ACN112816362ACN 112816362 ACN112816362 ACN 112816362ACN 202110042779 ACN202110042779 ACN 202110042779ACN 112816362 ACN112816362 ACN 112816362A
Authority
CN
China
Prior art keywords
grouting
liquid
sample
soil
rubber hose
Prior art date
Legal status (The legal status is an assumption and is not a legal conclusion. Google has not performed a legal analysis and makes no representation as to the accuracy of the status listed.)
Granted
Application number
CN202110042779.3A
Other languages
Chinese (zh)
Other versions
CN112816362B (en
Inventor
田志锋
唐小微
修志龙
薛志佳
李涛
王晨牟
Current Assignee (The listed assignees may be inaccurate. Google has not performed a legal analysis and makes no representation or warranty as to the accuracy of the list.)
Dalian University of Technology
Original Assignee
Dalian University of Technology
Priority date (The priority date is an assumption and is not a legal conclusion. Google has not performed a legal analysis and makes no representation as to the accuracy of the date listed.)
Filing date
Publication date
Application filed by Dalian University of TechnologyfiledCriticalDalian University of Technology
Priority to CN202110042779.3ApriorityCriticalpatent/CN112816362B/en
Publication of CN112816362ApublicationCriticalpatent/CN112816362A/en
Application grantedgrantedCritical
Publication of CN112816362BpublicationCriticalpatent/CN112816362B/en
Activelegal-statusCriticalCurrent
Anticipated expirationlegal-statusCritical

Links

Images

Classifications

Landscapes

Abstract

Translated fromChinese

本发明属于地基加固技术领域,提供了一种可变多功能灌浆加固地基的实验设备及方法。通过设置方向控制器、灵活可调的移动支架及带有密封圈槽的法兰盘,在一个实验设备中实现了土体试样高度可变,分时、分通道的反应液与微生物液注浆,在不扰动试样的前提下随时转换注浆方向,以及可控土体分层饱和度等多种功能。该实验设备不局限于一种注浆程序,注浆液参数、单一土体性能的研究工作,其可以满足多种注浆程序,注浆液以及土体条件下的MICP加固土体实验研究。整个实验设备制造简单,功能齐全,考虑全面,便于操作,对推进MICP加固地基的相关研究具有重要意义。

Figure 202110042779

The invention belongs to the technical field of foundation reinforcement, and provides experimental equipment and a method for variable multifunctional grouting foundation reinforcement. By setting a direction controller, a flexible and adjustable moving bracket and a flange with a sealing ring groove, the soil sample height can be changed in one experimental device, and the time-sharing and channel-dividing reaction liquid and microbial liquid injection can be realized. It can change the grouting direction at any time without disturbing the sample, and can control the soil layer saturation and other functions. The experimental equipment is not limited to one grouting procedure, grouting fluid parameters, single soil properties research work, it can meet a variety of grouting procedures, grouting fluid and soil conditions MICP reinforcement soil experimental research. The whole experimental equipment is simple in manufacture, complete in functions, comprehensive in consideration, and easy to operate, which is of great significance for promoting the related research on MICP reinforcement.

Figure 202110042779

Description

Variable multifunctional grouting and foundation reinforcing experimental equipment and method
Technical Field
The invention belongs to the technical field of foundation reinforcement, and particularly discloses variable multifunctional grouting experimental equipment and method for grouting reinforcement of a foundation.
Background
With the rapid growth of the world population and the continuous advance of urbanization, the construction of infrastructure projects still faces huge demands. Before building construction, soft soil foundations need to be reinforced to meet the requirements of buildings for bearing capacity. The grouting method is an effective foundation reinforcing method, and by grouting slurry into the soil body, cementation is generated among soil particles, so that the soil body strength is effectively improved. Traditional cementing materials are based on cement slurries or chemical slurries. Cement slurries are often used for grouting reinforcement of coarse sand or gravel due to their high viscosity. For soil bodies with smaller particle sizes, the grouting of cement paste is difficult, higher grouting pressure is needed, and even the soil bodies can be cracked and damaged. Although the chemical slurry has better groutability, the chemical slurry often has certain toxicity, and can pollute surrounding soil and underground water after grouting, thereby seriously threatening the life health of people.
Microbial induced calcium carbonate precipitation (MICP) has been successfully applied in ground consolidation as a green, highly efficient biomineralization technique. It decomposes urea by the activity of microorganisms to produce carbonate and raise the pH of the solution, rendering it alkaline. In the presence of calcium ions, carbonate generated by decomposition of urea reacts with calcium ions to generate calcium carbonate. Calcium carbonate generated in the soil body is filled in the pores of the soil body or generates cementation among soil particles, so that the bearing capacity of the soil body is improved. Wherein, the grouting method has great influence on the effect of reinforcing the soil body by the MICP. Secondly, exploring the MICP reaction process is important for revealing the action mechanism of the MICP for reinforcing the soil body and optimizing the MICP grouting reinforcement technology.
However, most of the existing experimental facilities related to the MICP reinforced foundation have a single structure, and the simultaneous consideration of the grouting procedures, such as the coupling influence of multiple grouting parameters, such as the grouting direction and the grouting speed of microorganisms and cementing liquid, on the MICP reinforced soil body is difficult. In addition, in the model test, the size effect is also one of the factors that influence the experimental results. But existing experimental facilities rarely take into account their own dimensional variability. In addition, most grouting experimental equipment cannot monitor the MICP reaction process in the soil body in real time. The shortage of experimental equipment seriously restricts the research of MICP reinforcing soil foundation.
Aiming at the problems, the invention provides a set of variable multifunctional grouting reinforcement soil body experimental equipment, in particular to MICP grouting reinforcement. The experimental equipment can simultaneously control a plurality of grouting parameters and soil parameters, change grouting programs at any time and carry out MICP (micro integrated piping) reinforced soil mechanism research under the multivariable coupling effect. The equipment can also monitor the MICP process at any time, determine the spatial distribution of calcium carbonate in the soil body, and also consider the influence of different saturation degrees on the soil body reinforcing effect of MICP. The whole experimental equipment is simple to manufacture, complete in function, comprehensive in consideration and convenient to operate, and has important significance for developing relevant research and engineering application of MICP reinforced soil.
Disclosure of Invention
The invention provides variable multifunctional grouting and foundation reinforcement experimental equipment and method. Through setting up the ring flange that has the seal ring groove, controllable switching equipment, tee bend to and nimble adjustable play thick liquid position, realized in an experimental facilities that soil body sample height is variable, timesharing divides the passageway and pours reaction liquid and microorganism liquid, controllable soil body saturation layering and change multiple functions such as slip casting direction at any time under the condition of not disturbing the sample. The experimental equipment is not limited to a single grouting program, grouting liquid or a soil body, and can meet the MICP reinforced soil body experimental research of various grouting programs, grouting liquid parameters and soil body parameters.
The technical scheme of the invention is as follows:
a variable multifunctional grouting reinforcement foundation experimental device comprises a sample device 1, aflange plate 2, anend part disc 5, a PVC hard plate, a rubber hose 9, awater stop valve 23, a tee joint, apagoda joint 21, an effluent liquid collector, a microorganismliquid reservoir 17, a cementingliquid reservoir 18, aperistaltic pump 19 and adirection controller 20;
a PVC hard plate tightly attached to the inner wall of the sample device 1 is arranged in the sample device, so that sampling after the test is finished is facilitated; the upper end and the lower end of the sample device 1 are fixedly connected with theflange plate 2, so as to ensure that the inner diameter of theflange plate 2 is consistent with that of the sample device 1; 4 threaded holes are uniformly formed in the outer edge of theflange plate 2 at a certain distance and are used for connecting theflange plate 2 with anend disc 5 or other sample devices 1; a sealing ring groove is arranged on theflange plate 2 and used for placing a sealing ring; a plurality of sample devices 1 are connected through bolts, so that MICP reinforced soil body research of different sample sizes is realized; the outer diameter of theend disc 5 is the same as that of theflange plate 2, and a through hole is formed in the middle; the through hole is provided with a tee joint which is used as a grouting port or a grout outlet; the single port end of the tee joint is screwed into theend disc 5, and the double port end is exposed out of theend disc 5;
arranging a height-variable bracket to realize variable layering saturation of the soil mass sample; the variable support consists of asupport base 10, asupport rod 11, alifting platform 12 and afixed cross rod 13; thebracket rod 11 is fixedly connected with thebracket base 10; thelifting platform 12 and thefixed cross bar 13 are respectively connected with thesupport rods 11 through theturnbuckle bolts 14; thelifting platform 12 and thefixed cross bar 13 are fixed or adjusted by rotating the tighteningbolts 14; an effluent collector is arranged on thelifting platform 12 and is used for collecting pore liquid discharged from the sample device 1; one end of a rubber hose 9 with the inner diameter of 3mm is fixed on thefixed cross rod 13; the other end of the rubber hose 9 is connected with a tee joint of a slurry outlet of the sample device 1 and is used as a conveying channel for slurry outlet; the height of the port of the rubber hose 9 is lifted along with the height of thefixed cross rod 13 by adjusting, when the height of the port is higher than the upper surface of the sample, the soil body is always in a saturated state, and when the height of the port is lower than the upper surface of the sample, the soil body is in an unsaturated state; the variable layered control of the soil saturation can be realized through simple operation.
The microbialliquid reservoir 17 and the cementingliquid reservoir 18 are used for storing microbial liquid and cementing liquid respectively; one end of a rubber hose 9 with the inner diameter of 3mm is placed in the grouting liquid, and the other end of the rubber hose passes through a pump head of aperistaltic pump 19 and is connected with a tee joint on theend disc 5 of the main part; theperistaltic pump 19 is used for conveying grouting liquid, is used for controlling the flow rate and the flow rate of the conveying liquid, has a timing grouting function, and can control the grouting rate, the grouting time and the like.Peristaltic pump 19 employs a multi-channel pump head. The rubber hose 9 with the inner diameter of 3mm for conveying the microbial liquid and the cementing liquid is respectively arranged in different channels of the pump head of theperistaltic pump 19, so that time-sharing channel-divided grouting of the microbial liquid and the cementing liquid is realized, calcium carbonate is prevented from being generated in a pipeline, and the problem of conveying channel blockage caused by a single grouting pipe is solved.
In order to change the grouting direction at any time, adirection controller 20 is arranged on the rubber hose 9 with the inner diameter of 3mm between theperistaltic pump 19 and the grouting opening. Thedirection controller 20 is composed of twopagoda joints 21 and a rubber hose 9 with an inner diameter of 5mm, the large-diameter ends of the two pagoda joints are respectively arranged at two ends of the rubber hose, and the other end of the two pagoda joints is exposed. One end of thedirection controller 20 is connected with theperistaltic pump 19, and the other end is connected with the rubber hose 9 with the inner diameter of 3mm of the grouting opening, so that the communication of the whole conveying channel is realized. Awater stop valve 23 is respectively arranged on the rubber hose 9 between thedirection controller 20 and theperistaltic pump 19, the middle of the rubber hose 9 between thedirection controller 20 and the grouting opening, and the rubber hose 9 at the grout outlet. When the grouting direction is switched, the outflow of soil body pore liquid in the sample device 1 can be prevented by opening eachwater stop valve 23, and the problem that the sample is easily disturbed when the grouting direction is switched is solved. The opening and closing time of the stop water valve on each grouting channel is controlled, the communication sequence of each grouting channel is adjusted at the direction controller, and the combined grouting process of simultaneous, time-sharing and real-time flow direction change of the microbial liquid and the cementing liquid is realized.
And a sampling system is arranged on the side wall of the sample device and is used for regularly extracting pore liquid in the sample in the test process and monitoring the MICP process in the soil body. Two rows of through holes are symmetrically arranged on the side wall of the sample device 1. The through-holes are uniformly arranged along the length direction, and each row is 4. Apagoda joint 21 is screwed into the through hole. The other side of thepagoda joint 21 is connected with a rubber hose 9. Awater stop valve 23 is arranged on the rubber hose 9. During the sample, closestagnant water valve 23, pore liquid flows out, opensstagnant water valve 23 after the sample, and the sampling system closes.
An experimental method for reinforcing a foundation by variable multifunctional grouting comprises the following steps:
the bottom of the sample device 1 is provided with a filter layer, which comprises the following specific components: a round stainless steel mesh sheet with the diameter the same as the inner diameter of the sample device 1 and the aperture of 1mm is placed firstly, and then gravel with the particle size of 1cm is filled, wherein the thickness of the gravel layer is 2cm, and the gravel layer is used for buffering grouting liquid. A stainless steel net piece is also placed at the top of the gravel layer to prevent gravel from entering a grouting port and soil from losing. The soil body to be reinforced is loaded into the sample device 1 in three layers by a wet loading method. The upper part of the soil body is provided with a filter layer which is the same as the bottom of the sample device 1. Theflange 2 and theend disc 5 on the upper part of the sample device 1 are fixed by bolts. And (3) connecting a grouting system, connecting the rubber hose 9 on theperistaltic pump 19 to the bottom of the sample device 1, closing eachwater stop valve 23, and injecting excessive distilled water into the sample device 1 from bottom to top to saturate the soil body. And connecting the microorganism liquid grouting channel with the cementing liquid grouting channel. The grouting parameters of theperistaltic pump 19 were set according to the experimental protocol. Theperistaltic pump 19 is turned on and the microbial fluid is injected first. In order to fully utilize the activity of the microorganisms and improve the utilization rate of chemical ions, the microorganism liquid is injected and the interval is 4 hours, so that the microorganisms are fully adsorbed into the gravel. Then according to the setting of the experimental scheme, reaction liquid is injected, and the reaction liquid consists of 0.5M calcium chloride and urea. And (4) after the reaction liquid grouting is finished, the reaction liquid is intermittently injected for 4 hours to serve as a grouting cycle. And (3) carrying out multiple grouting cycles, or adjusting the grouting direction, grouting parameters and the like of the microorganism liquid or the cementing liquid in the grouting cycles or between the grouting cycles according to an experimental scheme. During or at intervals of the grouting process, a small amount of interstitial fluid is extracted by a sampling system on the sidewall of the sample holder 1. The chemical reaction efficiency or the microbial activity in the pore solution is measured by using an ion chromatograph, a urease activity test and the like. After a plurality of grouting cycles, calcium carbonate generated in the soil body precipitates among soil particles to generate effective cementation, and loose soil particles are cemented into an integral sand column. And taking out the sand column, measuring the unconfined compressive strength and stress-strain curve of the soil body by using a universal testing machine, and evaluating the engineering mechanical property of the MICP reinforced soil. And (3) taking a certain amount of MICP reinforced sand, drying in a 60-degree oven, and measuring the content of calcium carbonate in the sample by using an acid pickling method.
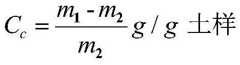
The calculation formula of the calcium carbonate content is as follows:
Figure BDA0002895931210000051
wherein C iscIs the calcium carbonate content, and the unit is: g/g soil sample (i.e., the weight of calcium carbonate contained per unit weight of soil sample); m is1The weight of the soil body of the dried sample is the total weight of the soil body; m is2Is the weight after pickling and drying.
Another sample is taken, dried and then the microstructure of the MICP reinforced sand is observed by using a Scanning Electron Microscope (SEM).
Another sample is taken, dried and then the composition of the MICP reinforced soil is analyzed by XRD.
The invention has the beneficial effects that: the invention develops a set of variable multifunctional MICP reinforced soil body test equipment and a method. The experimental equipment can simultaneously control a plurality of grouting parameters and soil parameters, can change grouting programs at any time, and lays a foundation for MICP reinforcement soil correlation research under the multivariable coupling effect. The device can also monitor the MICP process in the soil body at any time, determine the distribution of calcium carbonate in the soil body, and also consider the influence of different saturation degrees on the MICP. The whole experimental equipment is simple to manufacture, complete in function, comprehensive in consideration and convenient to operate, and has important significance for developing relevant research and engineering application of MICP reinforced soil.
Drawings
Figure 1 is a front view of a multifunctional variable MICP reinforced soil mass apparatus;
figure 2 is a front view of the MICP reinforced soil mass apparatus after the grouting direction is changed;
FIG. 3 is a front view of the combination sampler;
FIG. 4 is a top view of the flange;
FIG. 5 is a front view of the flange;
FIG. 6 is a top plan view of the end disk;
FIG. 7 is an end disk elevation view;
fig. 8 is a front view of the direction controller.
In the figure: 1, a sample device; 2, a flange plate; 3, a threaded hole of the flange plate; 4, sealing ring grooves of the flange plates; 5 an end disc; 6, end disc threaded holes; 7 end disc sealing ring groove; 8 end disc through holes; 9 rubber hose; 10 a support base; 11 a support bar; 12 lifting the platform; 13 fixing the cross bar; 14 loosening and tightening the bolt; 15 a microbial fluid outflow collector; 16 a cement outflow collector; 17 a microbial liquid reservoir; 18 a reservoir of cement liquor; 19 a peristaltic pump; 20 a direction controller; 21 a pagoda joint; 22 large-diameter rubber hose; 23, a water stop valve; 24 through holes.
Detailed Description
The following further describes a specific embodiment of the present invention with reference to the drawings and technical solutions.
According to one aspect of the invention, the variable multifunctional grouting experimental equipment for reinforcing the foundation comprises a sampler 1, aflange plate 2, anend disc 5, a PVC hard plate, a rubber hose 9, awater stop valve 23, a tee joint, a pagoda joint 21, an effluent liquid collector, amicroorganism liquid reservoir 17, acement liquid reservoir 18, aperistaltic pump 19 and adirection controller 20;
the sample holder 1 is made of a plexiglas tube having a thickness of 10mm, an inner diameter of 70mm and a length of 140 mm. Theflange 2 is made of a hollow plexiglas disc 10mm thick, 70mm in inside diameter and 150mm in outside diameter. On theflange 2, 4 threadedholes 3 suitable for M8 bolts are uniformly provided at a position 15mm from the outer edge. A circular groove with the depth of 1.5mm is arranged at a position 25mm away from the outer edge to serve as aseal ring groove 4. The sample device 1 and theflange plate 2 are fixed together by organic glass adhesive. Theend disc 5 is made of plexiglas 10mm thick and on theend disc 5 there are evenly arranged 4 threadedholes 6 suitable for M8 bolts at a position 15mm from the outer edge. An annular groove with the depth of 1.5mm is arranged at a position 25mm away from the outer edge and is used as a sealingring groove 7. The middle of theend disc 5 is provided with a throughhole 8 with the diameter of 4mm, and a tee joint made of plastic materials is screwed in to be used as a grout outlet or a grouting port. The tee joint is arranged for injecting microorganism liquid and cementing liquid into the sand column in a channel-dividing mode. Theend disc 5 is used for sealing the sample holder 1 and is bolted to the sample by means of M8 bolts. And a sealing ring with the diameter of 3mm is arranged at the corresponding position of the circular groove on the two. If MICP reinforced soil body research under different scales is carried out, a plurality of sample devices 1 can be connected through theflange 2 and fixed by M8 bolts to form a combined sample device, as shown in figure 3. Sealing rings with the diameter of 3mm are arranged between theflange plates 2 to prevent leakage at the connecting parts. The top and bottom ends of the combination sampler are connected to theend disk 5 by M8. The sample holder 1 is placed on asupport platform 25. A round hole is arranged in the middle of the supportingplatform 25, so that a slurry outlet/grouting port at the lower end of the sample device 1 can conveniently pass through the supporting platform.
A section of rubber hose 9 (small diameter rubber hose) with the inner diameter of 3mm is respectively connected to the tee joint of the grout outlet of the sample device 1, and the other end of the rubber hose 9 is respectively fixed on the fixedcross rod 13 by a pipeline fixing clamp. The movable support is composed of asupport base 10, asupport rod 11 fixed on the support base, alifting platform 12, a fixedcross rod 13 and a tighteningbolt 14. Thebracket base 10 and thebracket rod 11 are both made of metal and are welded together. The fixedcross bar 13 is composed of a metal bar and a pipe fixing clamp. Theliftable platform 12 is made of a metal plate. A microbialfluid effluent collector 15 and a cementfluid effluent collector 16 are respectively placed on thelifting platform 12. The height of the mobile platform and the mobile cross bar can be fixed and controlled by adjusting theturnbuckle 14. The height of the rubber hose 9 is changed by adjusting the height of the movable cross rod, so that the saturation of the soil body is controlled.
Themicrobial liquid reservoir 17 is made of glass. One end of a rubber hose 9 with the inner diameter of 3mm penetrating through theperistaltic pump 19 is arranged at the bottom of the microorganism liquid reservoir 29, and the other end is connected with thedirection controller 20. Thedirection controller 20 is composed of twopagoda joints 21 and a large-diameter rubber hose 22. The outer diameter of the small-diameter end of the pagoda joint 21 is 3mm, and the outer diameter of the large-diameter end is 5 mm. The large diameter ends of the twopagoda joints 21 are screwed into a largediameter rubber hose 22 with an inner diameter of 5 mm. The small-diameter end of one of the pagoda joints 21 is connected with a 3mm inner diameter rubber hose connected with theperistaltic pump 19, and the small-diameter end of the other pagoda joint 21 is connected with a tee joint on theend disc 5 through the 3mm inner diameter rubber hose. The cementingliquid reservoir 18 is made of glass. One end of a rubber hose with the inner diameter of 3mm penetrating through theperistaltic pump 19 is placed at the bottom of the cementing liquid reservoir, and the other end is connected with adirection controller 20. The connection mode of thedirection controller 20 in the cementing liquid grouting channel, theperistaltic pump 19 and the tee joint on theend disc 5 is the same as that of the microorganism grouting channel.Peristaltic pump 19 employs a multi-channel pump head. The microorganism liquid conveying channel and the cementing liquid conveying channel respectively pass through different channels of the pump head so as to realize the sub-channel and time-sharing grouting of different grouting liquids.
And awater stop valve 23 is respectively arranged between thedirection controller 20 and theperistaltic pump 19, between thedirection controller 20 and the grouting port and on the rubber hose of the grout outlet. When the grouting direction of a certain slurry needs to be changed, all water stop valves on the grouting channel are opened, the solution reservoir and pore liquid in the sample device 1 cannot flow out, and a soil body sample is not disturbed. The connection between the grouting opening and thedirection controller 20 is disconnected, the connection between the original grouting opening and thedirection controller 20 is communicated, the grouting direction is converted, and the MICP reinforced soil body equipment after the grouting direction is converted is shown in the attached figure 2. The operation of converting the grouting direction is simple and quick, and no disturbance is caused to the sample.
Two rows of throughholes 24 with a diameter of 4mm are provided along the length of the sample holder 1. The pagoda joint 21 is screwed into the through hole. The other side of the pagoda joint 21 is connected with a rubber hose with the inner diameter of 3 mm. Awater stop valve 23 is arranged on the rubber hose. And (4) opening thewater stop valve 23, enabling pore liquid to flow out along the pagoda joint 21, and closing thewater stop valve 23 after sampling is completed. The whole sampling process is simple to operate and easy to control.
An experimental method for reinforcing a foundation by variable multifunctional grouting comprises the following steps:
the bottom of the sample device 1 is provided with a filter layer, which comprises the following specific components: a round stainless steel mesh sheet with the diameter the same as the inner diameter of the sample device 1 and the aperture of 1mm is placed firstly, and then gravel with the particle size of 1cm is filled, wherein the thickness of the gravel layer is 2cm, and the gravel layer is used for buffering grouting liquid. A stainless steel net piece is also placed at the top of the gravel layer to prevent gravel from entering the grouting port and soil from losing. The soil body to be reinforced is loaded into the sample device 1 in three layers by a wet loading method. The top of the soil body is provided with a filter layer which is the same as the bottom of the sample device 1. Theflange 2 and theend disc 5 on the upper part of the sample device 1 are fixed by bolts. And (3) connecting a grouting system, connecting the rubber hose 9 on theperistaltic pump 19 to the bottom of the sample device 1, closing eachwater stop valve 23, and injecting excessive distilled water into the sample device 1 from bottom to top to saturate the soil body. And connecting the microorganism liquid grouting channel with the cementing liquid grouting channel. The grouting parameters of theperistaltic pump 19 are set according to a set scheme. Theperistaltic pump 19 is turned on and the microbial fluid is injected first. In order to fully utilize the activity of the microorganisms and improve the utilization rate of chemical ions, the microorganism liquid is injected and the interval is 4 hours, so that the microorganisms are fully adsorbed into the gravel. Then, a reaction solution was injected, wherein the reaction solution consisted of 0.5M calcium chloride and urea. And (4) after the reaction liquid grouting is finished, the reaction liquid is intermittently injected for 4 hours to serve as a grouting cycle. And (3) carrying out multiple grouting cycles, or adjusting the grouting direction, grouting parameters and the like of the microorganism liquid or the cementing liquid in the grouting cycles or between the grouting cycles according to an experimental scheme. Meanwhile, during the grouting process or in the intermittent grouting process, a small amount of pore liquid is extracted through a sampling system on the side wall of the sample device 1. The chemical reaction efficiency or the microbial activity in the pore solution is measured by using an ion chromatograph, a urease activity test and the like. After a plurality of grouting cycles, calcium carbonate generated in the soil body precipitates among soil particles to generate effective cementation, and loose soil particles are cemented into an integral sand column. And taking out the sand column, measuring the unconfined compressive strength and stress-strain curve of the soil body by using a universal testing machine, and evaluating the engineering mechanical property of the MICP reinforced soil. And (3) taking a certain amount of MICP reinforced sand, drying in a 60-degree oven, and measuring the content of calcium carbonate in the sample by using an acid pickling method.
The calculation formula of the calcium carbonate content is as follows:
Figure BDA0002895931210000101
wherein C iscIs the calcium carbonate content, and the unit is: g/g soil sample (i.e., the weight of calcium carbonate contained per unit weight of soil sample); m is1The weight of the soil body of the dried sample is the total weight of the soil body; m is2Is the weight after pickling and drying.
Taking another sample, drying, and observing the microstructure of the MICP reinforced sand by using a Scanning Electron Microscope (SEM)
Another sample is taken, dried and then the composition of the MICP reinforced soil is analyzed by XRD.
The invention develops a set of variable multifunctional MICP reinforced soil body test equipment. The experimental equipment can simultaneously control a plurality of grouting parameters and soil parameters, can change grouting programs at any time, and can carry out MICP reinforced soil research under the multivariable coupling effect. The device can also monitor the MICP process in the soil body at any time, determine the distribution of calcium carbonate in the soil body, and also consider the influence of different saturation degrees on the MICP. The whole experimental equipment is simple to manufacture, complete in function, comprehensive in consideration and convenient to operate, and has important significance for research and application popularization of the MICP soft soil foundation reinforcing method.
It should be noted that the present invention is not limited to the above specific embodiments, and those skilled in the art can make appropriate modifications to the grouting parameters, grouting procedures and the like of the invented apparatus within the scope of the claims, without affecting the essence of the present invention.

Claims (2)

1. The experimental equipment for the variable multifunctional grouting reinforcement foundation is characterized by comprising a sample device (1), a flange plate (2), an end disc (5), a PVC hard plate, a rubber hose (9), a water stop valve (23), a tee joint, a pagoda joint (21), an effluent liquid collector, a microbial liquid reservoir (17), a cementing liquid reservoir (18), a peristaltic pump (19) and a direction controller (20);
a PVC hard plate tightly attached to the inner wall of the sample device (1) is arranged in the sample device, so that sampling after the test is finished is facilitated; the upper end part and the lower end part of the sample device (1) are fixedly connected with the flange plate (2) to ensure that the inner diameter of the flange plate (2) is consistent with the inner diameter of the sample device (1); 4 threaded holes are uniformly formed in the outer edge of the flange plate (2) at a certain distance and are used for connecting the flange plate (2) with an end disc (5) or other sample devices (1); a sealing ring groove is arranged on the flange plate (2) and used for placing a sealing ring; a plurality of sample devices (1) are connected through bolts, so that MICP reinforced soil body research of different sample sizes is realized; the outer diameter of the end part disc (5) is the same as that of the flange plate (2), and a through hole is formed in the middle; the through hole is provided with a tee joint which is used as a grouting port or a grout outlet; the single port end of the tee joint is screwed into the end disc (5), and the double port end is exposed out of the end disc (5);
arranging a height-variable bracket to realize variable layering saturation of the soil mass sample; the variable support consists of a support base (10), a support rod (11), a lifting platform (12) and a fixed cross rod (13); the bracket rod (11) is fixedly connected with the bracket base (10); the lifting platform (12) and the fixed cross rod (13) are respectively connected with the support rod (11) through a turnbuckle bolt (14); the lifting platform (12) and the fixed cross bar (13) are fixed or adjusted by rotating the elastic bolt (14); an effluent liquid collector is arranged on the lifting platform (12) and is used for collecting pore liquid discharged from the sample device (1); one end of a rubber hose (9) with the inner diameter of 3mm is fixed on the fixed cross rod (13); the other end of the rubber hose (9) is connected with a tee joint of a slurry outlet of the sample device (1) and is used as a conveying channel for slurry outlet; the height of the port of the rubber hose (9) is lifted along with the height of the fixed cross rod (13) by adjusting the height of the fixed cross rod, when the height of the port is higher than the upper surface of the sample, the soil body is always in a saturated state, and when the height of the port is lower than the upper surface of the sample, the soil body is in an unsaturated state;
the microorganism liquid reservoir (17) and the cementing liquid reservoir (18) are respectively used for storing microorganism liquid and cementing liquid; one end of a rubber hose (9) with the inner diameter of 3mm is placed in the grouting liquid, and the other end of the rubber hose passes through a pump head of a peristaltic pump (19) and is connected with a tee joint on a disc (5) at the end part of the main part; the peristaltic pump (19) is used for conveying grouting liquid, can control the flow rate and flow of the conveyed liquid, and has a timed grouting function, so that the grouting speed, grouting time and the like can be controlled; the peristaltic pump (19) adopts a multi-channel pump head; rubber hoses (9) with the inner diameter of 3mm for conveying the microbial liquid and the cementing liquid are respectively arranged in different channels of a pump head of a peristaltic pump (19), so that time-sharing channel-division grouting of the microbial liquid and the cementing liquid is realized, and calcium carbonate is prevented from being generated in a pipeline;
in order to change the grouting direction at any time, a direction controller (20) is arranged on a rubber hose (9) with the inner diameter of 3mm between a peristaltic pump (19) and a grouting port; the direction controller consists of two pagoda joints (21) and a rubber hose (9) with the inner diameter of 5mm, and the large-diameter ends of the pagoda joints are respectively arranged in the rubber hose; one end of the direction controller (20) is connected with the peristaltic pump (19), and the other end is connected with a rubber hose (9) with the inner diameter of 3mm of the grouting port, so that the communication of the whole conveying channel is realized; a water stop valve (23) is respectively arranged on the rubber hose (9) between the direction controller (20) and the peristaltic pump (19), the rubber hose (9) between the direction controller (20) and the grouting port and the rubber hose (9) connected with the grouting port; when the grouting direction is switched, the outflow of soil body pore liquid in the sample device (1) can be prevented by opening each water stop valve (23), so that the problem that the sample is easily disturbed when the grouting direction is switched is solved; the combined grouting process of synchronously, time-divisionally and real-timely transforming the grouting direction of the microbial liquid and the cementing liquid can be realized by controlling the opening and closing time of the stop water valve (23) on each grouting channel and adjusting the communication sequence of each grouting channel at the position of the direction controller;
a sampling system is arranged on the side wall of the sample device and is used for regularly extracting pore liquid in a sample in the test process and monitoring the MICP process in the soil body; two rows of through holes are symmetrically arranged on the side wall of the sample device (1); the through holes are uniformly arranged along the length direction of the sample device, and each row is provided with 4 through holes; a pagoda joint (21) is screwed into the through hole; the other side of the pagoda joint (21) is connected with a rubber hose (9); a water stop valve (23) is arranged on the rubber hose (9); during sampling, the water stop valve (23) is closed, pore liquid flows out, the water stop valve (23) is opened after sampling, and the sampling system is closed.
2. An experimental method for reinforcing a foundation by variable multifunctional grouting is characterized by comprising the following steps:
the bottom of the sample device (1) is provided with a filter layer, which comprises the following components: firstly, a round stainless steel mesh sheet with the diameter the same as the inner diameter of the sample device (1) and the aperture of 1mm is placed, and then gravel with the particle size of 1cm is filled, wherein the thickness of the gravel layer is 2cm, and the gravel layer is used for buffering grouting liquid; a stainless steel net piece is also placed at the top of the gravel layer to prevent gravel from entering a grouting port and soil samples from losing; loading the soil body to be reinforced into a sample device (1) in three layers by a wet loading method according to set soil body parameters; the upper part of the soil body is provided with a filter layer which is the same as the bottom of the sample device (1); fixing a flange plate (2) at the upper part of a sample device (1) and an end disc (5) by bolts; connecting a grouting system, connecting a rubber hose (9) on a peristaltic pump (19) to the bottom of the sample device (1), closing each water stop valve (23), and injecting excessive distilled water into the sample device (1) from bottom to top to saturate a soil body; connecting the microorganism liquid grouting channel with the cementing liquid grouting channel; setting grouting parameters of a peristaltic pump (19) according to a set scheme; opening a peristaltic pump (19), and injecting microbial fluid according to the injection amount set by the experimental scheme; in order to fully utilize the activity of the microorganism and improve the utilization rate of chemical ions, the microorganism liquid is injected and then is intermitted for 4 hours, so that the microorganism is fully adsorbed into gravel; then according to the setting of the experimental scheme, injecting reaction liquid, wherein the reaction liquid consists of 0.5M calcium chloride and urea; after the grouting of the reaction liquid is finished, the reaction liquid is intermittently injected for 4 hours to serve as a grouting cycle; performing multiple grouting cycles, or adjusting the grouting direction, grouting parameters and the like of the microbial liquid or the cementing liquid in the grouting cycles or between the grouting cycles according to an experimental scheme; meanwhile, during the grouting process or in the intermittent grouting process, a small amount of pore solution is extracted through a sampling system on the side wall of the sample device (1); measuring the chemical reaction efficiency or the microbial activity in the pore liquid by using an ion chromatograph, a urease activity test and the like; after a plurality of grouting cycles, calcium carbonate generated in the soil body is precipitated among soil particles to generate effective cementation, and loose soil particles are cemented into an integral sand column; taking out the sand column, measuring unconfined compressive strength and stress-strain curve of the soil body by using a universal testing machine, and evaluating the engineering mechanical property of the MICP reinforced soil; taking a certain amount of MICP reinforced sand, drying in a 60-degree oven, and determining the content of calcium carbonate in the sample by using an acid washing method;
the calculation formula of the calcium carbonate content is as follows:
Figure FDA0002895931200000041
soil sample
Wherein C iscIs the calcium carbonate content, and the unit is: g/g of soil sample is the weight of calcium carbonate contained in each unit weight of soil sample; m is1The weight of the soil body of the dried sample is the total weight of the soil body; m is2Is the weight after pickling and drying.
CN202110042779.3A2021-01-132021-01-13Experimental equipment and method for reinforcing foundation by variable multifunctional groutingActiveCN112816362B (en)

Priority Applications (1)

Application NumberPriority DateFiling DateTitle
CN202110042779.3ACN112816362B (en)2021-01-132021-01-13Experimental equipment and method for reinforcing foundation by variable multifunctional grouting

Applications Claiming Priority (1)

Application NumberPriority DateFiling DateTitle
CN202110042779.3ACN112816362B (en)2021-01-132021-01-13Experimental equipment and method for reinforcing foundation by variable multifunctional grouting

Publications (2)

Publication NumberPublication Date
CN112816362Atrue CN112816362A (en)2021-05-18
CN112816362B CN112816362B (en)2024-07-12

Family

ID=75869146

Family Applications (1)

Application NumberTitlePriority DateFiling Date
CN202110042779.3AActiveCN112816362B (en)2021-01-132021-01-13Experimental equipment and method for reinforcing foundation by variable multifunctional grouting

Country Status (1)

CountryLink
CN (1)CN112816362B (en)

Cited By (3)

* Cited by examiner, † Cited by third party
Publication numberPriority datePublication dateAssigneeTitle
CN114814168A (en)*2022-04-262022-07-29昆明理工大学Testing device for reinforcing fractured rock test piece through microbial grouting
CN115058335A (en)*2022-05-192022-09-16南京工业大学 A kind of peristaltic pump combined with ultrasonic vibration microbial reinforcement clay test device and using method
CN116840439A (en)*2023-04-222023-10-03长沙理工大学Test system and method for determining effect of microorganism curing slope surface layer

Citations (20)

* Cited by examiner, † Cited by third party
Publication numberPriority datePublication dateAssigneeTitle
JP2002256790A (en)*2001-03-012002-09-11Yokoyama Kiso Koji:KkMethod and device for filling drilled hole based on grout material injection via down-the-hole drill
DE602004011778D1 (en)*2004-10-132008-03-27Univ Hasselt Conjugated polymers with at least one molecularly imprinted polymer and a process for its preparation via conjugated macroiniferters
JP5433885B1 (en)*2012-12-112014-03-05強化土株式会社 Ground improvement method
KR101598119B1 (en)*2015-04-082016-02-26(주)재우그라운드테크Mortar grout injector and adjust the liquid density and viscosity grout is abundantly mixed liquidity mortargrout piles composition method
CN205712749U (en)*2016-03-032016-11-23沈阳卫德住宅工业化科技有限公司A kind of threaded fixed straight thread grout sleeve
CN106644625A (en)*2016-10-092017-05-10重庆大学Three-axis test sample preparation device of low-strength microorganism calcareous sand and application method thereof
CN107255705A (en)*2017-07-242017-10-17河海大学 Microbial grouting test device and test method for uniform solidification of silt
CN107561248A (en)*2017-10-112018-01-09中国矿业大学(北京)A kind of coal gangue hill high-temperature area rainfall leaching analogue experiment installation and experimental method
CN107938947A (en)*2017-12-132018-04-20周建Combined reinforced bar connects grout sleeve and application method
CN108195723A (en)*2017-11-172018-06-22昆明理工大学A kind of osmotic grouting pilot system and method for reinforcing loose gravelly soil
CN208219683U (en)*2018-04-122018-12-11中国建筑一局(集团)有限公司Sleeve valve pipe soil body pressure release structure
CN109323902A (en)*2018-11-162019-02-12西安建筑科技大学 A kind of test device and test method for microbial cementation reinforcement of loess sample
CN109457665A (en)*2018-11-142019-03-12浙江景昌建设有限公司A kind of depth reservoir dam crack apparatus for examination and repair and method
CN109540630A (en)*2019-01-032019-03-29南京大学A kind of microorganism batch reinforces the combination sample preparation device and method of sand
CN110044713A (en)*2019-04-222019-07-23河海大学A kind of the piston vapour-pressure type consolidation testing device and method of grouting behind shaft or drift lining slurries
CN110160851A (en)*2019-06-212019-08-23河南大学A kind of mold and method preparing silt soil body sample based on microorganism grouting
CN111120003A (en)*2019-12-302020-05-08湖南科技大学 A test device and working method for simulating gas and coal spontaneous combustion symbiotic disaster
CN111155537A (en)*2020-01-162020-05-15大连理工大学 A prefabricated T-section lattice beam slope protection structure and construction method thereof
CN211973499U (en)*2020-04-132020-11-20西南石油大学 A microbial grouting device for soil-retention wall protection
CN214539084U (en)*2021-01-132021-10-29大连理工大学Experimental facilities of variable multi-functional grout reinforcement ground

Patent Citations (20)

* Cited by examiner, † Cited by third party
Publication numberPriority datePublication dateAssigneeTitle
JP2002256790A (en)*2001-03-012002-09-11Yokoyama Kiso Koji:KkMethod and device for filling drilled hole based on grout material injection via down-the-hole drill
DE602004011778D1 (en)*2004-10-132008-03-27Univ Hasselt Conjugated polymers with at least one molecularly imprinted polymer and a process for its preparation via conjugated macroiniferters
JP5433885B1 (en)*2012-12-112014-03-05強化土株式会社 Ground improvement method
KR101598119B1 (en)*2015-04-082016-02-26(주)재우그라운드테크Mortar grout injector and adjust the liquid density and viscosity grout is abundantly mixed liquidity mortargrout piles composition method
CN205712749U (en)*2016-03-032016-11-23沈阳卫德住宅工业化科技有限公司A kind of threaded fixed straight thread grout sleeve
CN106644625A (en)*2016-10-092017-05-10重庆大学Three-axis test sample preparation device of low-strength microorganism calcareous sand and application method thereof
CN107255705A (en)*2017-07-242017-10-17河海大学 Microbial grouting test device and test method for uniform solidification of silt
CN107561248A (en)*2017-10-112018-01-09中国矿业大学(北京)A kind of coal gangue hill high-temperature area rainfall leaching analogue experiment installation and experimental method
CN108195723A (en)*2017-11-172018-06-22昆明理工大学A kind of osmotic grouting pilot system and method for reinforcing loose gravelly soil
CN107938947A (en)*2017-12-132018-04-20周建Combined reinforced bar connects grout sleeve and application method
CN208219683U (en)*2018-04-122018-12-11中国建筑一局(集团)有限公司Sleeve valve pipe soil body pressure release structure
CN109457665A (en)*2018-11-142019-03-12浙江景昌建设有限公司A kind of depth reservoir dam crack apparatus for examination and repair and method
CN109323902A (en)*2018-11-162019-02-12西安建筑科技大学 A kind of test device and test method for microbial cementation reinforcement of loess sample
CN109540630A (en)*2019-01-032019-03-29南京大学A kind of microorganism batch reinforces the combination sample preparation device and method of sand
CN110044713A (en)*2019-04-222019-07-23河海大学A kind of the piston vapour-pressure type consolidation testing device and method of grouting behind shaft or drift lining slurries
CN110160851A (en)*2019-06-212019-08-23河南大学A kind of mold and method preparing silt soil body sample based on microorganism grouting
CN111120003A (en)*2019-12-302020-05-08湖南科技大学 A test device and working method for simulating gas and coal spontaneous combustion symbiotic disaster
CN111155537A (en)*2020-01-162020-05-15大连理工大学 A prefabricated T-section lattice beam slope protection structure and construction method thereof
CN211973499U (en)*2020-04-132020-11-20西南石油大学 A microbial grouting device for soil-retention wall protection
CN214539084U (en)*2021-01-132021-10-29大连理工大学Experimental facilities of variable multi-functional grout reinforcement ground

Non-Patent Citations (6)

* Cited by examiner, † Cited by third party
Title
AAMIR MAHAWISH: "Strengthening crushed coarse aggregates using bio-grouting", 《GEOMECHANICS AND GEOENGINEERING》, 27 September 2018 (2018-09-27), pages 1 - 12*
DONOVAN MUJAH: "State-of-the-art review of bio-cementation by microbially induced calcite precipitation (MICP) for soil stabilization", 《GEOMICROBIOLOGY JOURNAL》, 25 August 2016 (2016-08-25), pages 1 - 52*
王玉平;朱宝龙;陈强;: "饱和粘性土劈裂注浆加固室内试验", 西南科技大学学报, no. 03, 15 September 2010 (2010-09-15), pages 75 - 78*
田志锋;唐小微;修志龙;薛志佳;: "不同形式生物液加固砂土试验及机理分析", 哈尔滨工业大学学报, no. 11, 31 December 2020 (2020-12-31), pages 126 - 132*
胡亮;蒋兴笠;宋勇;钱解煌;: "钻孔灌注桩后注浆技术在某总部基地建设项目的应用", 安徽建筑, no. 06, 25 June 2020 (2020-06-25), pages 99 - 101*
高春陆;: "水利工程采空区注浆加固效果检测方法的探究", 黑龙江水利科技, no. 11, 30 November 2019 (2019-11-30), pages 148 - 150*

Cited By (3)

* Cited by examiner, † Cited by third party
Publication numberPriority datePublication dateAssigneeTitle
CN114814168A (en)*2022-04-262022-07-29昆明理工大学Testing device for reinforcing fractured rock test piece through microbial grouting
CN115058335A (en)*2022-05-192022-09-16南京工业大学 A kind of peristaltic pump combined with ultrasonic vibration microbial reinforcement clay test device and using method
CN116840439A (en)*2023-04-222023-10-03长沙理工大学Test system and method for determining effect of microorganism curing slope surface layer

Also Published As

Publication numberPublication date
CN112816362B (en)2024-07-12

Similar Documents

PublicationPublication DateTitle
CN112816362A (en)Variable multifunctional grouting and foundation reinforcing experimental equipment and method
CN105891085A (en)MICP (microbiologically induced calcium carbonate precipitation) cementing test device
CN101556269B (en)Trough for simulating groundwater pollution
CN106353480B (en)The test method of the cementing fine grained soil of microorganism under negative pressure
CN109540630B (en)Combined sample preparation device and method for reinforcing sandy soil in batches by microorganisms
CN106168550B (en)The Experimental Method in Laboratory that Extra-fine sand forms artificial crust layer is solidified using microorganism
CN107064472A (en)The experimental rig and test method of a kind of microorganism grouting and reinforcing cylinder sand sample
CN106018060A (en)Microorganism-induction calcium-carbonate-deposition film laminating testing device and method
CN105842430A (en)Test method and test device for transverse microorganism cement grouting
CN205958568U (en)Test device of little biological glue knot fine grained soil under negative pressure
CN106153860A (en)A kind of device and method of one-dimensional microorganism grouting and reinforcing silt test
CN109323902A (en) A kind of test device and test method for microbial cementation reinforcement of loess sample
CN113884654B (en)Simulation method for sandy soil spraying and desertification control slurry simulation device
CN214539084U (en)Experimental facilities of variable multi-functional grout reinforcement ground
CN209182122U (en) A test device for microbial gelation and reinforcement of loess samples
CN103336105B (en)Soft foundation treatment experiment device and method
CN115629182B (en)Microorganism grouting reinforcement device considering temperature and confining pressure and use method
CN207585705U (en)A kind of can monitor in real time is poured by the device of note medium grouting amount
CN205786638U (en)A kind of assay device being laterally in the milk for microorganism cement
CN210995782U (en) Soil-groundwater integrated simulation remediation device for contaminated sites
CN111735702A (en) A test device and test method for microbial gelation repairing natural loess joints
CN214895279U (en)Test device for simulating earthen site cracks through microorganism grouting and curing
CN205808811U (en)Microorganism induction tosca overlay film assay device
CN112746606B (en)Experimental equipment and method for researching microorganism-induced calcium carbonate precipitation improvement foundation under horizontal flow
CN207435451U (en)A kind of homoiotherm reactor with agitating function

Legal Events

DateCodeTitleDescription
PB01Publication
PB01Publication
SE01Entry into force of request for substantive examination
SE01Entry into force of request for substantive examination
GR01Patent grant
GR01Patent grant

[8]ページ先頭

©2009-2025 Movatter.jp