Movatterモバイル変換


[0]ホーム

URL:


CN112787984A - Vehicle-mounted network anomaly detection method and system based on correlation analysis - Google Patents

Vehicle-mounted network anomaly detection method and system based on correlation analysis
Download PDF

Info

Publication number
CN112787984A
CN112787984ACN201911094247.3ACN201911094247ACN112787984ACN 112787984 ACN112787984 ACN 112787984ACN 201911094247 ACN201911094247 ACN 201911094247ACN 112787984 ACN112787984 ACN 112787984A
Authority
CN
China
Prior art keywords
message
byte
value
prediction model
correlation
Prior art date
Legal status (The legal status is an assumption and is not a legal conclusion. Google has not performed a legal analysis and makes no representation as to the accuracy of the status listed.)
Granted
Application number
CN201911094247.3A
Other languages
Chinese (zh)
Other versions
CN112787984B (en
Inventor
曲建云
罗明宇
郭加平
吕伟煌
牛方超
Current Assignee (The listed assignees may be inaccurate. Google has not performed a legal analysis and makes no representation or warranty as to the accuracy of the list.)
Xiamen Yaxun Zhilian Technology Co ltd
Original Assignee
Xiamen Yaxon Networks Co Ltd
Priority date (The priority date is an assumption and is not a legal conclusion. Google has not performed a legal analysis and makes no representation as to the accuracy of the date listed.)
Filing date
Publication date
Application filed by Xiamen Yaxon Networks Co LtdfiledCriticalXiamen Yaxon Networks Co Ltd
Priority to CN201911094247.3ApriorityCriticalpatent/CN112787984B/en
Publication of CN112787984ApublicationCriticalpatent/CN112787984A/en
Application grantedgrantedCritical
Publication of CN112787984BpublicationCriticalpatent/CN112787984B/en
Activelegal-statusCriticalCurrent
Anticipated expirationlegal-statusCritical

Links

Images

Classifications

Landscapes

Abstract

A vehicle-mounted network anomaly detection method and system based on correlation analysis are disclosed, the method comprises: collecting communication data in the running process of a vehicle; the communication data comprises a message ID, message content and message occurrence time; predicting and outputting a message value corresponding to the byte order by using the established prediction model, judging whether the deviation between the predicted message value and the actual message value exceeds a detection threshold value, and if so, judging that the message is abnormal; the prediction model is established in groups based on the correlation relation between communication data in the vehicle running process; the input of the prediction model is the message values corresponding to one or more message ID byte orders in the related relation group, and the output of the prediction model is the message values corresponding to other message ID byte orders in the related relation group. The invention analyzes the correlation among original message data, establishes a message byte content prediction model by utilizing a neural network, and can detect malicious data injection attacks which do not conform to the normal driving state of the vehicle in real time.

Description

Vehicle-mounted network anomaly detection method and system based on correlation analysis
Technical Field
The invention relates to the field of vehicle data safety, in particular to a vehicle-mounted network abnormity detection method and system based on correlation analysis.
Background
Due to the broadcastability and lack of security features of the CAN protocol, it is easy for an attacker to inject malicious messages on the bus. The security problem of the vehicular network has attracted a lot of attention, and various technologies and corresponding solutions have been proposed. For the anomaly detection of malicious messages, there are two main solutions at present. One method is to detect network abnormal messages through physical variable abnormality detection, and this method needs to know the position and mode of physical variable storage, i.e. needs the content of bus communication protocol or reverse engineering the bus, and if the communication protocol or reverse data is leaked, the risk of vehicle bus communication attack will be increased. The other method is to detect through a classification method, which does not need to know a bus communication protocol, but the established detection model is greatly influenced by abnormal data of simulation training, can only detect tampering or insertion attack of abnormal data contents, and cannot detect illegal data which are inserted into the bus and belong to a normal data range and violate the logic of a driving state.
Disclosure of Invention
The invention mainly aims to provide a vehicle-mounted network anomaly detection method and system based on correlation analysis.
The invention adopts the following technical scheme:
on one hand, the invention discloses a vehicle-mounted network abnormity detection method based on correlation analysis, which comprises the following steps:
collecting communication data in the running process of a vehicle; the communication data comprises a message ID, message content and message occurrence time;
predicting and outputting a message value corresponding to the byte order by using the established prediction model, judging whether the deviation between the predicted message value and the actual message value exceeds a detection threshold value, and if so, judging that the message is abnormal; the prediction model is established in groups based on the correlation relation between communication data in the vehicle running process; the input of the prediction model is the message values corresponding to one or more message ID byte orders in the related relation group, and the output of the prediction model is the message values corresponding to other message ID byte orders in the related relation group.
Preferably, the method for establishing the prediction model includes:
collecting communication data of vehicles of the same type in the running process;
calculating a Hamming distance, analyzing Hamming distance data, and removing message IDs with unchanged message contents and bytes with unchanged message contents in the message IDs; recording the message ID with the changed message content and the corresponding byte sequence;
normalizing the occurrence time of the message event according to the recorded message ID, pairing the event time of different message IDs according to the close time, respectively calculating the correlation coefficient of each byte pair, extracting the byte pair of which the absolute value of the correlation coefficient is greater than a preset value, and marking the byte pair as a correlation relation group; the approach time comprises the same time or the time within a preset range;
and training the message data in each correlation relation group by using an LSTM neural network according to the time sequence, and establishing a prediction model of each correlation relation group.
Preferably, calculating a Hamming distance, analyzing Hamming distance data, and removing message IDs with unchanged message contents and bytes with unchanged message contents in the message IDs; recording the message ID and the corresponding byte sequence with the changed message content specifically comprises the following steps:
summarizing and counting the sum of Hamming distances of the total number of bytes according to the message ID, and calculating index values including a maximum value, a minimum value, a median, a lower quartile and an upper quartile; if all index values are 0 or equal, the message ID is rejected if the message content of all bytes of the message ID is unchanged;
counting the Hamming distance of each byte in the message ID according to the byte order for the message ID which is not removed, and calculating the index values including the maximum value, the minimum value, the median, the lower quartile and the upper quartile; if all index values are 0 or equal, the content of the byte message is not changed, and the unchanged bytes are removed;
and recording the message ID with the changed message content and the corresponding byte sequence.
Preferably, the preset value of the correlation coefficient is 0.5.
Preferably, the method for acquiring and setting the detection threshold includes:
selecting communication data collected by multiple sections of normal driving records, predicting the message value of a byte in the corresponding message ID by using the prediction model, and setting a detection threshold value based on the standard difference between the predicted message value and the actual message value.
On the other hand, the invention relates to a vehicle-mounted network anomaly detection system based on correlation analysis, which comprises the following components:
the data acquisition module is used for acquiring communication data in the running process of the vehicle; the communication data comprises a message ID, message content and message occurrence time;
the message abnormity detection module predicts and outputs a message value corresponding to the byte order by using the prediction model established by the prediction model establishment module, judges whether the deviation between the predicted message value and the actual message value exceeds a detection threshold value, and judges that the message is abnormal if the deviation exceeds the detection threshold value; the prediction model is established in groups based on the correlation relation between communication data in the vehicle running process; the input of the prediction model is the message values corresponding to one or more message ID byte orders in the related relation group, and the output of the prediction model is the message values corresponding to other message ID byte orders in the related relation group.
Preferably, the method for establishing the prediction model includes:
collecting communication data of vehicles of the same type in the running process;
calculating a Hamming distance, analyzing Hamming distance data, and removing message IDs with unchanged message contents and bytes with unchanged message contents in the message IDs; recording the message ID with the changed message content and the corresponding byte sequence;
normalizing the occurrence time of the message event according to the recorded message ID, pairing the event time of different message IDs according to the close time, respectively calculating the correlation coefficient of each byte pair, extracting the byte pair of which the absolute value of the correlation coefficient is greater than a preset value, and marking the byte pair as a correlation relation group; the approach time comprises the same time or the time within a preset range;
and training the message data in each correlation relation group by using an LSTM neural network according to the time sequence, and establishing a prediction model of each correlation relation group.
Preferably, calculating a Hamming distance, analyzing Hamming distance data, and removing message IDs with unchanged message contents and bytes with unchanged message contents in the message IDs; recording the message ID and the corresponding byte sequence with the changed message content specifically comprises the following steps:
summarizing and counting the sum of Hamming distances of the total number of bytes according to the message ID, and calculating index values including a maximum value, a minimum value, a median, a lower quartile and an upper quartile; if all index values are 0 or equal, the message ID is rejected if the message content of all bytes of the message ID is unchanged;
counting the Hamming distance of each byte in the message ID according to the byte order for the message ID which is not removed, and calculating the index values including the maximum value, the minimum value, the median, the lower quartile and the upper quartile; if all index values are 0 or equal, the content of the byte message is not changed, and the unchanged bytes are removed;
and recording the message ID with the changed message content and the corresponding byte sequence.
Preferably, the preset value of the correlation coefficient is 0.5.
Preferably, the method for acquiring and setting the detection threshold includes:
selecting communication data collected by multiple sections of normal driving records, predicting the message value of a byte in the corresponding message ID by using the prediction model, and setting a detection threshold value based on the standard difference between the predicted message value and the actual message value.
Compared with the prior art, the invention has the following beneficial effects:
according to the method and the system, a specific vehicle bus communication protocol does not need to be acquired, and the position and the mode of storing the physical variable do not need to be known; under the condition that bus communication data do not need to be converted into data with physical significance variables actually, correlation among original message data is determined through statistical analysis, a message byte content prediction model is established by utilizing a neural network, and malicious data injection attacks which do not accord with the normal driving state of a vehicle can be detected in real time.
Drawings
FIG. 1 is a schematic flow chart of a method according to an embodiment of the present invention;
FIG. 2 is a schematic flow chart of a prediction model building method according to an embodiment of the present invention;
fig. 3 is a first message change time sequence scatter diagram of a certain sampling time period according to an embodiment of the present invention;
fig. 4 is a second scattergram of message change time series in a certain sampling time period according to an embodiment of the present invention.
Detailed Description
In order to make the objects, technical solutions and advantages of the present invention more apparent, embodiments of the present invention will be described in detail with reference to the accompanying drawings.
Referring to fig. 1, in one aspect, the present invention provides a method for detecting an abnormality of a vehicle-mounted network based on correlation analysis, including:
s10, collecting communication data in the running process of the vehicle; the communication data comprises a message ID, message content and message occurrence time;
s20, predicting and outputting the message value of the corresponding byte order by using the established prediction model, judging whether the deviation between the predicted message value and the actual message value exceeds a detection threshold value, and if so, judging that the message is abnormal; the prediction model is established in groups based on the correlation relation between communication data in the vehicle running process; the input of the prediction model is the message values corresponding to one or more message ID byte orders in the related relation group, and the output of the prediction model is the message values corresponding to other message ID byte orders in the related relation group.
Referring to fig. 2, the method for establishing the prediction model includes:
s201, collecting communication data in the running process of vehicles of the same vehicle type.
S202, calculating a Hamming distance, analyzing Hamming distance data, and removing message IDs with unchanged message contents and bytes with unchanged message contents in the message IDs; and recording the message ID with the changed message content and the corresponding byte sequence.
Specifically, the method comprises the following steps:
s2021, summarizing and counting the sum of Hamming distances of the total byte number according to the message ID, and calculating index values including a maximum value, a minimum value, a median, a lower quartile and an upper quartile; if all index values are 0 or equal, the message ID is rejected if the message content of all bytes of the message ID is unchanged;
if the message ID is 0 xYFD 0500, the sampling result in a period of time is as follows: each message of the message fixedly comprises 8 bytes, and the total number of the messages is hundreds, the corresponding Hamming distance of 8 bytes of each two adjacent messages is calculated according to the byte sequence, and the sum of the Hamming distances is calculated. If two adjacent messages are both 0x0102030405060708, the sum of the total Hamming distance is 0, if 289 messages are the same and do not change, the maximum value, the minimum value, the median, the lower quartile and the upper quartile are all 0, and the message ID can be directly eliminated.
S2022, counting the Hamming distance of each byte in the message ID according to the byte order for the message ID which is not removed, and calculating the index values including the maximum value, the minimum value, the median, the lower quartile and the upper quartile; if all index values are 0 or equal, the content of the byte message is not changed, and the unchanged bytes are removed;
for example, the message ID YYF00F51 has hundreds of records of sampled data over a period of time, and the statistical result is as shown in table 1 below (only 8 bytes are listed in the table), wherein only the 4 th byte meets the record requirement.
TABLE 1
Figure BDA0002267808030000041
Figure BDA0002267808030000051
S2023, recording the message ID with the changed message content and the corresponding byte sequence.
S203, aiming at the recorded message ID, normalizing the occurrence time of the message event, pairing the event time of different message IDs according to the similar time, respectively calculating the correlation coefficient of each byte pair, extracting the byte pair of which the absolute value of the correlation coefficient is greater than a preset value, and marking the byte pair as a correlation relation group; the approach time includes the same time or a time within a preset range.
Specifically, for a selected packet, a line graph and a time series scatter diagram of actual packet byte values corresponding to the packet in the same time period can be drawn by using a visualization system, verification and rechecking are performed by combining the graph, and if the packet value change trends of the packet are consistent or just opposite and the correlations are very stable along with the time lapse, the packet has a strong correlation relationship, and the packet is determined and marked. If pairwise correlation exists among the multiple correlation relation groups, if correlation relations AB, BC and AC exist, ABC is merged into one correlation relation group. Or, only partial intersection relations exist between the groups, such as AB and AC, and the groups can also be combined into one group, but special marks are needed, and when training is performed later, only B and C can be selected as input items, and a is selected as output items.
Referring to fig. 3, calculated correlation coefficients of the 6 th byte and the 8 th byte of the message ID XXFEYYEE and the 3 rd byte of the message ID XXF003YY are 0.95 and 0.96, respectively, a message change time series scatter diagram of a certain sampling period is drawn by using a visualization system, wherein fig. 3(a) is a message value change diagram of the message XXFEYYEE, and fig. 3(b) is a message value change diagram of the message XXF003 YY. It can be seen from the figure that the three change trends are very consistent, the previous calculation results are verified, it is proved that pairwise correlation exists between the bytes corresponding to the two messages, a correlation group can be formed, any two bytes can be selected as input items, and the other one is an output item.
Referring to fig. 4, calculated correlation coefficients of the 2 nd and 3 rd bytes with message IDs of XXYYF030 and the 6 th byte of XXFEYY02 are 0.7 and 0.6, respectively, and a message change time sequence scatter diagram of a certain sampling period is drawn by using a visualization system, where fig. 4(a) is an XXYYF030 message value change diagram, and fig. 4(b) is an XXFEYY02 message value change diagram. The three changes are basically consistent, and by judging that the 2 nd and 3 rd bytes of XXYYF030 are combined by certain calculation rules to be more consistent with the 6 th byte change of XXFEYY02, only the 2 nd and 3 th bytes of XXYYF030 can be selected as input items, and the 6 th byte of XXFEYY02 can be selected as output items.
Further, the preset value of the correlation coefficient is 0.5.
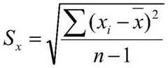
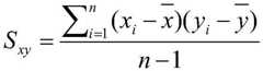
The correlation coefficient calculation method is based on covariance and standard deviation, and a calculation formula of correlation coefficients of two-dimensional variables x and y is as follows:
Figure BDA0002267808030000061
wherein r isxyRepresenting the sample correlation coefficient, SxyRepresents the sample covariance, SyDenotes the sample standard deviation of x, SySample standard deviations for y are indicated. Below are respectively SxyCovariance sum Sx、SyAnd (5) a calculation formula of standard deviation.
Figure BDA0002267808030000062
Figure BDA0002267808030000063
Figure BDA0002267808030000064
Wherein, x represents the kth (k value is generally 1 to 8) message byte value with message ID of A in the method, and y represents the mth message byte value with message ID of B. For example, x represents the message value of the 6 th byte with the message ID XXFEYYEE, and y represents the message value of the 3 rd byte with the message ID XXF003 YY.
S204, training the message data in each correlation grouping by using an LSTM neural network according to the time sequence, and establishing a prediction model of each correlation grouping.
Specifically, one of the pair of packets is arbitrarily selected as an input item, and the other is selected as an output item. If more than two objects are contained in the group, one of the objects is selected as an output item, and the other objects are selected as input items. The selection of input and output items may be adjusted according to the training effect. If there is a pairwise correlation between the message a _1 (1 st byte indicating a message ID of a), B _2 (2 nd byte indicating B), and C _5 (5 th byte indicating C), two of them, i.e., a _1 and B _2, can be arbitrarily selected as input items, and C _5 as an output item.
Further, after the prediction model is built, a plurality of segments of CAN bus messages collected by normal driving records are selected to test the prediction model, the standard deviation between the prediction message value of a byte corresponding to the message ID and the original message value is calculated, and a proper detection threshold value is set according to the standard deviation and the normal data range of the corresponding message. Specifically, the detection threshold may be set to 2 times the standard deviation, and in practical application, the detection threshold may be adjusted according to the training data condition and the fluctuation range of the normal message value itself, so as to avoid false alarm.
Further, based on the relevance grouping, a byte value corresponding to the output item of the model is calculated and predicted in real time by using a prediction model, and if the deviation of the data value of the predicted output item and the data value of the actually received message exceeds the detection threshold value obtained by training, the group of messages is considered to be abnormal, and the system is possibly subjected to malicious and illegal injection attacks. Continuing with the example in S204, the message sequences corresponding to A _1 and B _2 in a certain small time range are input during real-time detection, the predicted message value of C _5 in the corresponding time period is output, the error between the predicted value and the actual received value is calculated, and if the error is larger than the detection threshold value, abnormal behavior is prompted to be detected.
The invention relates to a vehicle network anomaly detection method based on correlation analysis, which is used for detecting vehicle CAN bus or other bus anomaly messages, obtaining a message combination with a strong correlation relationship by directly extracting original message byte data and carrying out correlation analysis, carrying out regression analysis on grouped message data, and establishing various normal message correlation models, wherein variables of the grouped models have a forward consistency relationship or an anti-correlation relationship, are an expression of a corresponding state of a vehicle sensor in a digital form in the vehicle driving process, and CAN be used for detecting the problem of data inconsistency caused by malicious data injection attack in real time.
On the other hand, the invention relates to a vehicle-mounted network anomaly detection system based on correlation analysis, which comprises the following components:
the data acquisition module is used for acquiring communication data in the running process of the vehicle; the communication data comprises a message ID, message content and message occurrence time;
the message abnormity detection module predicts and outputs a message value corresponding to the byte order by using the prediction model established by the prediction model establishment module, judges whether the deviation between the predicted message value and the actual message value exceeds a detection threshold value, and judges that the message is abnormal if the deviation exceeds the detection threshold value; the prediction model is established in groups based on the correlation relation between communication data in the vehicle running process; the input of the prediction model is the message values corresponding to one or more message ID byte orders in the related relation group, and the output of the prediction model is the message values corresponding to other message ID byte orders in the related relation group.
The specific implementation of each module of the vehicle-mounted network abnormality detection system based on the correlation analysis is consistent with a vehicle-mounted network abnormality detection method based on the correlation analysis, and the description of the embodiment is not repeated.
The above description is only an embodiment of the present invention, but the design concept of the present invention is not limited thereto, and any insubstantial modifications made by using the design concept should fall within the scope of infringing the present invention.

Claims (10)

1. A vehicle-mounted network anomaly detection method based on correlation analysis is characterized by comprising the following steps:
collecting communication data in the running process of a vehicle; the communication data comprises a message ID, message content and message occurrence time;
predicting and outputting a message value corresponding to the byte order by using the established prediction model, judging whether the deviation between the predicted message value and the actual message value exceeds a detection threshold value, and if so, judging that the message is abnormal; the prediction model is established in groups based on the correlation relation between communication data in the vehicle running process; the input of the prediction model is the message values corresponding to one or more message ID byte orders in the related relation group, and the output of the prediction model is the message values corresponding to other message ID byte orders in the related relation group.
2. The correlation analysis-based vehicle-mounted network abnormality detection method according to claim 1, wherein the prediction model establishment method comprises:
collecting communication data of vehicles of the same type in the running process;
calculating a Hamming distance, analyzing Hamming distance data, and removing message IDs with unchanged message contents and bytes with unchanged message contents in the message IDs; recording the message ID with the changed message content and the corresponding byte sequence;
normalizing the occurrence time of the message event according to the recorded message ID, pairing the event time of different message IDs according to the close time, respectively calculating the correlation coefficient of each byte pair, extracting the byte pair of which the absolute value of the correlation coefficient is greater than a preset value, and marking the byte pair as a correlation relation group; the approach time comprises the same time or the time within a preset range;
and training the message data in each correlation relation group by using an LSTM neural network according to the time sequence, and establishing a prediction model of each correlation relation group.
3. The vehicle-mounted network anomaly detection method based on correlation analysis according to claim 2, characterized by calculating Hamming distance, analyzing Hamming distance data, and eliminating message ID with no change in message content and bytes with no change in message content in the message ID; recording the message ID and the corresponding byte sequence with the changed message content specifically comprises the following steps:
summarizing and counting the sum of Hamming distances of the total number of bytes according to the message ID, and calculating index values including a maximum value, a minimum value, a median, a lower quartile and an upper quartile; if all index values are 0 or equal, the message ID is rejected if the message content of all bytes of the message ID is unchanged;
counting the Hamming distance of each byte in the message ID according to the byte order for the message ID which is not removed, and calculating the index values including the maximum value, the minimum value, the median, the lower quartile and the upper quartile; if all index values are 0 or equal, the content of the byte message is not changed, and the unchanged bytes are removed;
and recording the message ID with the changed message content and the corresponding byte sequence.
4. The correlation analysis-based abnormality detection method for the in-vehicle network according to claim 2, wherein the preset value of the correlation coefficient is 0.5.
5. The correlation analysis-based vehicle-mounted network abnormality detection method according to claim 1, wherein the detection threshold acquisition setting method comprises:
selecting communication data collected by multiple sections of normal driving records, predicting the message value of a byte in the corresponding message ID by using the prediction model, and setting a detection threshold value based on the standard difference between the predicted message value and the actual message value.
6. A vehicle network anomaly detection system based on correlation analysis is characterized by comprising:
the data acquisition module is used for acquiring communication data in the running process of the vehicle; the communication data comprises a message ID, message content and message occurrence time;
the message abnormity detection module predicts and outputs a message value corresponding to the byte order by using the prediction model established by the prediction model establishment module, judges whether the deviation between the predicted message value and the actual message value exceeds a detection threshold value, and judges that the message is abnormal if the deviation exceeds the detection threshold value; the prediction model is established in groups based on the correlation relation between communication data in the vehicle running process; the input of the prediction model is the message values corresponding to one or more message ID byte orders in the related relation group, and the output of the prediction model is the message values corresponding to other message ID byte orders in the related relation group.
7. The correlation analysis-based vehicle-mounted network abnormality detection system according to claim 6, wherein the establishment method of the prediction model includes:
collecting communication data of vehicles of the same type in the running process;
calculating a Hamming distance, analyzing Hamming distance data, and removing message IDs with unchanged message contents and bytes with unchanged message contents in the message IDs; recording the message ID with the changed message content and the corresponding byte sequence;
normalizing the occurrence time of the message event according to the recorded message ID, pairing the event time of different message IDs according to the close time, respectively calculating the correlation coefficient of each byte pair, extracting the byte pair of which the absolute value of the correlation coefficient is greater than a preset value, and marking the byte pair as a correlation relation group; the approach time comprises the same time or the time within a preset range;
and training the message data in each correlation relation group by using an LSTM neural network according to the time sequence, and establishing a prediction model of each correlation relation group.
8. The correlation analysis-based vehicle-mounted network anomaly detection system according to claim 7, wherein a Hamming distance is calculated, Hamming distance data is analyzed, and message IDs with no change in message content and bytes with no change in message content in the message IDs are removed; recording the message ID and the corresponding byte sequence with the changed message content specifically comprises the following steps:
summarizing and counting the sum of Hamming distances of the total number of bytes according to the message ID, and calculating index values including a maximum value, a minimum value, a median, a lower quartile and an upper quartile; if all index values are 0 or equal, the message ID is rejected if the message content of all bytes of the message ID is unchanged;
counting the Hamming distance of each byte in the message ID according to the byte order for the message ID which is not removed, and calculating the index values including the maximum value, the minimum value, the median, the lower quartile and the upper quartile; if all index values are 0 or equal, the content of the byte message is not changed, and the unchanged bytes are removed;
and recording the message ID with the changed message content and the corresponding byte sequence.
9. The correlation analysis-based vehicle-mounted network abnormality detection system according to claim 7, wherein the preset value of the correlation coefficient is 0.5.
10. The correlation analysis-based vehicle-mounted network abnormality detection method according to claim 6, wherein the acquisition and setting method of the detection threshold comprises:
selecting communication data collected by multiple sections of normal driving records, predicting the message value of a byte in the corresponding message ID by using the prediction model, and setting a detection threshold value based on the standard difference between the predicted message value and the actual message value.
CN201911094247.3A2019-11-112019-11-11Vehicle-mounted network anomaly detection method and system based on correlation analysisActiveCN112787984B (en)

Priority Applications (1)

Application NumberPriority DateFiling DateTitle
CN201911094247.3ACN112787984B (en)2019-11-112019-11-11Vehicle-mounted network anomaly detection method and system based on correlation analysis

Applications Claiming Priority (1)

Application NumberPriority DateFiling DateTitle
CN201911094247.3ACN112787984B (en)2019-11-112019-11-11Vehicle-mounted network anomaly detection method and system based on correlation analysis

Publications (2)

Publication NumberPublication Date
CN112787984Atrue CN112787984A (en)2021-05-11
CN112787984B CN112787984B (en)2023-11-14

Family

ID=75749725

Family Applications (1)

Application NumberTitlePriority DateFiling Date
CN201911094247.3AActiveCN112787984B (en)2019-11-112019-11-11Vehicle-mounted network anomaly detection method and system based on correlation analysis

Country Status (1)

CountryLink
CN (1)CN112787984B (en)

Cited By (4)

* Cited by examiner, † Cited by third party
Publication numberPriority datePublication dateAssigneeTitle
CN114172686A (en)*2021-10-272022-03-11北京邮电大学Vehicle-mounted CAN bus message intrusion detection method and related equipment
CN114244596A (en)*2021-12-102022-03-25上海交通大学 Anomaly detection method and system of vehicle CAN network based on HTM
CN115664788A (en)*2022-10-242023-01-31惠州市德赛西威智能交通技术研究院有限公司Communication data hijacking monitoring method and system, storage medium and electronic equipment
EP4277202A1 (en)*2022-05-132023-11-15Elektrobit Automotive GmbHThreat detection for a processing system of a motor vehicle

Citations (9)

* Cited by examiner, † Cited by third party
Publication numberPriority datePublication dateAssigneeTitle
CN101068170A (en)*2007-06-052007-11-07华为技术有限公司 A method, system and device for detecting abnormal message reception
CN103106329A (en)*2012-11-192013-05-15华北电力大学Training sample grouping construction method used for support vector regression (SVR) short-term load forecasting
CN104133992A (en)*2014-07-212014-11-05快威科技集团有限公司Assessment reference building method and assessment reference building device based on information security assessment correlation
US20160359893A1 (en)*2014-12-012016-12-08Panasonic Intellectual Property Corporation Of AmericaAnomaly detection electronic control unit, onboard network system, and anomaly detection method
CN108965001A (en)*2018-07-122018-12-07北京航空航天大学A kind of appraisal procedure and device of vehicle message data model
CN110040107A (en)*2019-03-182019-07-23百度在线网络技术(北京)有限公司Vehicle intrusion detection and prediction model training method, device and storage medium
CN110135630A (en)*2019-04-252019-08-16武汉数澎科技有限公司 Short-term load demand forecasting method based on random forest regression and multi-step optimization
CN110149345A (en)*2019-06-112019-08-20北京航空航天大学A kind of In-vehicle networking intrusion detection method based on sequence of message prediction
US20190303567A1 (en)*2018-03-282019-10-03Nvidia CorporationDetecting data anomalies on a data interface using machine learning

Patent Citations (10)

* Cited by examiner, † Cited by third party
Publication numberPriority datePublication dateAssigneeTitle
CN101068170A (en)*2007-06-052007-11-07华为技术有限公司 A method, system and device for detecting abnormal message reception
WO2008148334A1 (en)*2007-06-052008-12-11Huawei Technologies Co., Ltd.Method, system and apparatus thereof for detecting abnormal receipt of message
CN103106329A (en)*2012-11-192013-05-15华北电力大学Training sample grouping construction method used for support vector regression (SVR) short-term load forecasting
CN104133992A (en)*2014-07-212014-11-05快威科技集团有限公司Assessment reference building method and assessment reference building device based on information security assessment correlation
US20160359893A1 (en)*2014-12-012016-12-08Panasonic Intellectual Property Corporation Of AmericaAnomaly detection electronic control unit, onboard network system, and anomaly detection method
US20190303567A1 (en)*2018-03-282019-10-03Nvidia CorporationDetecting data anomalies on a data interface using machine learning
CN108965001A (en)*2018-07-122018-12-07北京航空航天大学A kind of appraisal procedure and device of vehicle message data model
CN110040107A (en)*2019-03-182019-07-23百度在线网络技术(北京)有限公司Vehicle intrusion detection and prediction model training method, device and storage medium
CN110135630A (en)*2019-04-252019-08-16武汉数澎科技有限公司 Short-term load demand forecasting method based on random forest regression and multi-step optimization
CN110149345A (en)*2019-06-112019-08-20北京航空航天大学A kind of In-vehicle networking intrusion detection method based on sequence of message prediction

Non-Patent Citations (3)

* Cited by examiner, † Cited by third party
Title
DARIO STABILI; MIRCO MARCHETTI; MICHELE COLAJANNI: "Detecting attacks to internal vehicle networks through Hamming distance", IEEE*
曲建云: "车载网络安全数据可视化技术的设计与实现", 厦门理工学院学报*
赵振堂: "车载网络异常检测技术研究", CNKI, no. 2018*

Cited By (5)

* Cited by examiner, † Cited by third party
Publication numberPriority datePublication dateAssigneeTitle
CN114172686A (en)*2021-10-272022-03-11北京邮电大学Vehicle-mounted CAN bus message intrusion detection method and related equipment
CN114172686B (en)*2021-10-272022-08-05北京邮电大学Vehicle-mounted CAN bus message intrusion detection method, related equipment and computer storage medium
CN114244596A (en)*2021-12-102022-03-25上海交通大学 Anomaly detection method and system of vehicle CAN network based on HTM
EP4277202A1 (en)*2022-05-132023-11-15Elektrobit Automotive GmbHThreat detection for a processing system of a motor vehicle
CN115664788A (en)*2022-10-242023-01-31惠州市德赛西威智能交通技术研究院有限公司Communication data hijacking monitoring method and system, storage medium and electronic equipment

Also Published As

Publication numberPublication date
CN112787984B (en)2023-11-14

Similar Documents

PublicationPublication DateTitle
CN112787984B (en)Vehicle-mounted network anomaly detection method and system based on correlation analysis
Marchetti et al.READ: Reverse engineering of automotive data frames
CN112114995B (en)Terminal abnormality analysis method, device, equipment and storage medium based on process
CN112987675A (en)Method, device, computer equipment and medium for anomaly detection
CN102014031A (en)Method and system for network flow anomaly detection
CN112492059A (en)DGA domain name detection model training method, DGA domain name detection device and storage medium
CN115150182B (en) Information system network attack detection method based on traffic analysis
CN110011990B (en)Intelligent analysis method for intranet security threats
CN117150576B (en)Intelligent verification system and method for block chain electronic seal
CN108055227B (en)WAF unknown attack defense method based on site self-learning
CN117614978A (en) An information security communication management system for digital workshops
CN117240522A (en)Vulnerability intelligent mining method based on attack event model
CN118075017A (en)Network information security protection detection method and system
CN119922007B (en)Data transmission protection method
CN117834299A (en) A network security intelligent supervision and management method and system
CN118041587A (en)Network security test evaluation system and method
CN109413047A (en)Determination method, system, server and the storage medium of Behavior modeling
CN117938430A (en) Webshell detection method based on Bert model
CN116633614A (en) Method and system for false data injection attack detection and sensitive feature definition
CN115021954A (en)Industrial control service data false injection attack detection method based on depth self-encoder
CN113159992A (en)Method and device for classifying behavior patterns of closed-source power engineering control system
CN110084620B (en) Detection system and method for high-frequency abnormal issuance of electronic credentials based on deep learning
CN119397549B (en) A data security analysis method and system for teaching platform based on cloud computing
CN120653527A (en)Abnormality detection method, abnormality detection device, abnormality detection apparatus, abnormality detection program, and abnormality detection program
JP7182470B2 (en) Message processing device and message processing method

Legal Events

DateCodeTitleDescription
PB01Publication
PB01Publication
SE01Entry into force of request for substantive examination
SE01Entry into force of request for substantive examination
GR01Patent grant
GR01Patent grant
CP03Change of name, title or address
CP03Change of name, title or address

Address after:303-e, Zone C, innovation building, software park, torch hi tech Zone, Xiamen City, Fujian Province

Patentee after:Xiamen Yaxun Zhilian Technology Co.,Ltd.

Country or region after:China

Address before:No.46 guanri Road, phase II, software park, Xiamen City, Fujian Province, 361000

Patentee before:XIAMEN YAXON NETWORK Co.,Ltd.

Country or region before:China


[8]ページ先頭

©2009-2025 Movatter.jp