Movatterモバイル変換


[0]ホーム

URL:


CN112784358A - Decision method for determining reliability improvement sequence of products - Google Patents

Decision method for determining reliability improvement sequence of products
Download PDF

Info

Publication number
CN112784358A
CN112784358ACN202011612916.4ACN202011612916ACN112784358ACN 112784358 ACN112784358 ACN 112784358ACN 202011612916 ACN202011612916 ACN 202011612916ACN 112784358 ACN112784358 ACN 112784358A
Authority
CN
China
Prior art keywords
product
factor
products
weight
reliability
Prior art date
Legal status (The legal status is an assumption and is not a legal conclusion. Google has not performed a legal analysis and makes no representation as to the accuracy of the status listed.)
Pending
Application number
CN202011612916.4A
Other languages
Chinese (zh)
Inventor
袁婷
赵晓东
严拴航
Current Assignee (The listed assignees may be inaccurate. Google has not performed a legal analysis and makes no representation or warranty as to the accuracy of the list.)
Xian Aircraft Design and Research Institute of AVIC
Original Assignee
Xian Aircraft Design and Research Institute of AVIC
Priority date (The priority date is an assumption and is not a legal conclusion. Google has not performed a legal analysis and makes no representation as to the accuracy of the date listed.)
Filing date
Publication date
Application filed by Xian Aircraft Design and Research Institute of AVICfiledCriticalXian Aircraft Design and Research Institute of AVIC
Priority to CN202011612916.4ApriorityCriticalpatent/CN112784358A/en
Publication of CN112784358ApublicationCriticalpatent/CN112784358A/en
Pendinglegal-statusCriticalCurrent

Links

Images

Classifications

Landscapes

Abstract

A decision method for determining a reliability improvement sequence of a product. The invention belongs to aviation, and particularly relates to a decision method for determining a reliability improvement project. The method comprises the following steps: analyzing a large amount of fault data of the airplane in an external field, and selecting a product with a fault caused by a design defect; primarily classifying the selected products into three categories according to the severity of the consequences influenced after the products break down; determining the values of key factors influencing the external field performance of various products by adopting an expert scoring method; the key factors comprise a harmfulness factor, a reliability factor, a maintainability factor, a testability factor and an economy factor; and carrying out comprehensive evaluation according to the values of the key factors of different products and preset weights.

Description

Decision method for determining reliability improvement sequence of products
Technical Field
The invention belongs to aviation, and particularly relates to a decision method for determining a reliability improvement project.
Background
When the military aircraft is used in an outfield, the problems of frequent product failure, long troubleshooting time, difficult maintenance and the like are exposed. On one hand, the test flight plan of the airplane is disturbed, and the reliability level of the whole airplane is influenced; on the other hand, effective combat power cannot be generated, and particularly, it is difficult to sufficiently exert combat effectiveness of equipment in a special period. These problems can lead to a negative assessment by the user that the aircraft is not good. In addition, the time cost, the labor cost and the product cost brought by the maintenance and the replacement of the fault part directly influence the economy of the airplane. The use factors of all aspects determine the satisfaction degree of the user for the airplane.
The method is mainly characterized in that the product quality reliability is poor due to the fact that the existing domestic technical basis is relatively weak, part of advanced products mainly adopt a simulation-testing reverse design mode, part of products do not completely penetrate technical principles, use requirements and specifications, the fault mechanism research is insufficient, technical problems related to reliability and durability are not well known, necessary design analysis work such as simulation analysis is lacked, and related laboratory verification tests cannot completely simulate actual use conditions, so that the problem that products cannot be fully exposed in a laboratory is caused.
Disclosure of Invention
The purpose of the invention is as follows: the reliability of airborne equipment of military aircrafts is required to be improved so as to reduce the failure frequency of the aircrafts in an outfield; how to determine the reliability improvement sequence in numerous airborne equipment provides basis for determining the reliability improvement item decision, thereby obtaining the optimal effect.
The technical scheme is as follows:
a decision method for determining the reliability improvement sequence of products comprises the following steps:
analyzing a large amount of fault data of the airplane in an external field, and selecting a product with a fault caused by a design defect;
according to the severity of the influence consequences after the product failure, the selected products are preliminarily classified into three categories: class one products, class two products and class three products; after one type of product is in failure, the flight safety of the airplane is damaged, and the airplane is possibly damaged and people die; after the second-class product fails, the airplane combat training fails or the safety margin of the airplane is obviously reduced; after the three products break down, the airplane can still be released at an acceptable safety level;
determining the values of key factors influencing the external field performance of various products by adopting an expert scoring method; the key factors comprise a harmfulness factor, a reliability factor, a maintainability factor, a testability factor and an economical factor;
and carrying out comprehensive evaluation according to the values of the key factors of different products and preset weights.
Further, according to the values of the influence factors of different products and preset weights, carrying out comprehensive evaluation, comprising:
and accumulating the product of the weight of each key factor of the class to which the target product belongs and the value of the corresponding key factor for the target product to obtain the comprehensive evaluation result of the target product.
Further, according to the severity of the consequences affected after the product failure, the selected products are preliminarily classified into three categories, including:
judging whether reliability improvement on a product with a fault caused by a design defect is feasible on a technical level;
if so, the feasible products are initially classified into three categories according to the severity of the consequences affected after the product failure.
Further, for a product, the feasible products are primarily classified into three categories according to the severity of the consequences of the product after failure, including:
step 1, judging whether the product belongs to a main minimum equipment list MMEL project; if yes, executing the step 4, otherwise, executing the step 2;
step 2, judging whether the product fault is related to the failure of the I type or II type function in the FHA; if yes, executing step 3, otherwise executing step 5.
Step 3, the product is a product of the same type;
step 4, judging whether the repair period of the product is of type A or not; if yes, executing step 5, otherwise executing step 6.
Step 5, the product is a second class product;
and 6, the product is three types of products.
Further, the weight selection rule is as follows:
for a class of products, the weight of the hazard factor greater than the weight of the reliability factor greater than the weight of the maintainability factor greater than the weight of the testability factor greater than the weight of the economics factor;
for the second type of products, the weight of the harmfulness factor, which is greater than the weight of the reliability factor, is greater than the weight of the testability factor, and the weight of the maintainability factor is greater than the weight of the economy factor;
for three types of products, the weight of the economic factor is greater than the weight of the maintainability factor and greater than the weight of the reliability factor and greater than the weight of the testability factor and greater than the weight of the hazard factor.
Further, each product is sorted according to the size of the comprehensive evaluation result, and the larger the score is, the higher the priority is improved.
Furthermore, the value of the reliability factor in the key factors is determined according to the reliability improvement rate of the product; the value of the maintainability factor is determined according to the maintainability relative value of the product; the value of the testability factor is determined according to the relative value of the testability of the product.
Has the advantages that: the method and the system provide a set of reliability improvement project decision-making process and method which are comprehensive in consideration factors, technically reasonable and practicable in engineering, can comprehensively balance the design characteristics and the use experience of the product, and relatively comprehensively evaluate the necessity and the urgency of developing further reliability improvement of the target product.
Drawings
Fig. 1 is a flow chart of a decision process.
FIG. 2 is a flow chart of a logic decision.
Detailed Description
The invention mainly comprises the following steps:
the method comprises the following steps: key factors in assessing product field performance were studied.
And extracting evaluation factors of the field performance of the product from five dimensions, namely reliability R, maintainability M, testability T, harmfulness C and economy E.
Hazard (Hazard): the use risk and harm brought after the product failure are considered. This factor is directly related to the safety of use and the ability to perform tasks of the aircraft;
reliability (Reliability): the MTBF is taken as a judgment index in consideration of the failure occurrence frequency of the product. The factor is the root cause for judging whether the airplane is good to use, the repair maintenance frequency of the outfield of the airplane is determined, the attendance rate and the availability of the airplane are influenced, and the use economy is directly influenced;
maintainability (Maintainability): considering the difficulty degree of restoring to a specified state after a product failure, taking MTTR as a judgment index, wherein the factor greatly influences the availability level of the airplane, puts requirements on the technical level of maintenance personnel, maintenance tools and other guarantee factors and is related to the outfield guarantee pressure of the airplane;
testability (Testability): after considering the product fault, the convenience degree of the fault is accurately positioned. The factor directly affects the time of airplane reparative maintenance;
economy (Economy): after considering the product failure, the time cost brought by the cancellation of the training plan caused by the airplane stopping flight maintenance and spare part scheduling and the actual cost brought by material consumption, personnel work, failure part replacement and the like. This factor affects the benefits of procurement planning and long-term use of weaponry.
Step two: and (5) clearly selecting a principle of the reliability improvement project.
Product screening principle and promotion approach
After a large amount of fault data of the airplane generated in an outfield are analyzed, the main reasons of the product fault are found as follows:
the design defects of the product itself. For example: the inherent design defects of the product are caused by improper material selection, unreasonable structural design, incomplete control logic consideration and the like;
defects introduced during the manufacturing process. For example: the product manufacturing defects caused by unreasonable process design, non-strict process control, improper raw material management and the like;
human errors introduced during maintenance are used. For example: the daily maintenance of the product is not carried out according to the maintenance regulations, and the product is damaged due to improper use, such as misplugging and misplugging in the maintenance process;
the extreme environment of use presents undesirable environmental stresses. For example: conditions such as severe weather, the XX electromagnetic environment, etc. can excite the product to malfunction unexpectedly.
The invention only considers the products with design defects, and has a space for improving the reliability from the industrial level and the technical research and development angle. For the products, a promotion plan is made, the products are improved from three aspects, and the product reliability is improved.
Supplementary test verification, simulating the actual environmental stress on the machine, exciting all possible faults of the product and providing a basis for improving the design;
local modification is carried out, such as measures of optimizing material type selection, changing product layout, increasing supplement functions, perfecting control logic and the like, and the product failure rate is reduced;
and global change is carried out, and the original design is overturned and forward design is carried out again for the product which cannot further improve the reliability level of the product based on the existing product.
Classification principle of products
According to the severity of the consequences affected after the product failure and the hazard, the products are preliminarily classified into three types:
one type of product: after the product is in failure, the safety margin of the airplane is greatly reduced, the airplane is possibly damaged, personnel are injured and killed, the minimum safety requirement cannot be met, and the harm result is unacceptable. Once a fault is found, the next flight task can be executed only after repair, debugging and detection are finished;
the second kind of products: 1. after the product fails, the airplane loses partial functions or performance degradation occurs, the capability of the airplane for executing tasks is reduced, and the flight combat training task is influenced; 2. after the product fails, the flight safety and reliability are greatly affected, or the flight condition is very strict, or a project replacing the function of the product fails to work, so that serious consequences (the minimum safety requirement is not met) are generated, or a large operation load is added to a flight crew;
three types of products: after the product fails, the aircraft can still keep an acceptable safety level and the influence effect is slight according to the performance and the design margin of the aircraft, or through simple unit activity compensation, or by adopting corresponding measures such as emergency treatment and the like.
Ordering principle of products
Grading the key factors determined in the step one according to each product, performing weighted calculation, and sorting according to the size of the total score, wherein the larger the score is, the higher the promoted priority is;
according to the product category determined in the step two, the influence weights of the key factors determined in the step one are different: 1. for a class of products, the harmfulness > reliability > maintainability > testability > economy; 2. for the second class of products, the harmfulness > reliability > testability > maintainability > economy; 3. for three types of products, economy > maintainability > reliability > testability > hazardness.
Step three: flow for formulating and selecting reliability improvement project
And analyzing the products with faults in the outfield according to the flow of the figure 1, and providing basis for determining the reliability improvement sequence.
Step four: method for definitely selecting reliability improvement items
Determining product category partitioning
The method adopts a logic decision analysis method to divide product categories, and the logic decision flow fully refers to the results of related design activities developed in product research and development and relates to the following steps: functional risk analysis reports (FHA), system security assessment reports (SSA), and master minimum equipment inventory (MMEL).
Developing comprehensive assessment
And after the product classification is finished, carrying out comprehensive evaluation. By constructing an objective function:
products of the same kind
f=0.5*CH+0.3CR+0.1CM+0.05CT+0.05CE
Products of the second category
f=0.4*CH+0.3CR+0.1CM+0.15CT+0.05CE
Three kinds of products
f=0.05*CH+0.15CR+0.2CM+0.1CT+0.5CE
Wherein, CHAs a hazardous factor, CRAs a reliability factor, CMAs a maintenance factor, CTTo test the sex factor, CEIs an economic factor.
The values of the factors are determined by adopting an expert scoring method according to the following table 1:
TABLE 1 scoring criteria
Figure BDA0002869931280000061
Figure BDA0002869931280000071
Assuming n products in total, the reliability improvement rate R, the maintainability relative value M, and the testability relative value T of the ith product are calculated as follows:
R=MTBFi2/MTBFi1
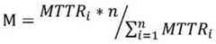
Figure RE-GDA0003011580240000081
Figure RE-GDA0003011580240000082
wherein:
MTBFi2increasing the target value for the mean time between failures of the ith product;
MTBFi1the current value of the mean time between failures of the ith product is obtained;
MTTRimean time to failure repair for the ith product;
FDRithe ith product fault detection rate.
Example 1
A comprehensive evaluation of 26 products of the aircraft was performed as shown in table 2.
TABLE 2
Figure RE-GDA0003011580240000083

Claims (8)

Translated fromChinese
1.一种确定产品可靠性提升顺序的决策方法,其特征在于,包括:1. A decision-making method for determining the order of product reliability promotion, characterized in that, comprising:分析飞机在外场发生的大量的故障数据,选出由设计缺陷导致故障的产品;Analyze a large number of failure data of aircraft in the field, and select products that fail due to design defects;根据产品故障后影响后果的严重程度,将选出的产品初步分为三类:一类产品、二类产品和三类产品;一类产品故障后危害飞机飞行安全,有可能造成机毁人亡;二类产品故障后导致飞机战训任失败或显著降低飞机安全裕度;三类产品故障后飞机仍能保持可接受的安全水平放飞;According to the severity of the consequences of product failure, the selected products are preliminarily divided into three categories: first-class products, second-class products and third-class products; first-class products endanger the flight safety of aircraft after failure, and may cause aircraft crash and death. ; After the failure of the second category product, the aircraft will fail in combat training or significantly reduce the safety margin of the aircraft; after the third category product failure, the aircraft can still maintain an acceptable level of safety and release;采用专家评分法确定各类产品的影响外场表现的关键因子的取值;关键因子包括危害性因子、可靠性因子、维修性因子、测试性因子、经济性因子;The expert scoring method is used to determine the value of the key factors affecting the field performance of various products; the key factors include the hazard factor, the reliability factor, the maintainability factor, the test factor, and the economic factor;根据不同类产品的关键因子的取值和预设的权重,开展综合评估。Comprehensive evaluation is carried out according to the values of key factors and preset weights of different types of products.2.根据权利要求1所述的方法,其特征在于,根据不同类产品的影响因素的取值和预设的权重,开展综合评估,包括:2. The method according to claim 1, wherein the comprehensive evaluation is carried out according to the value of the influencing factors of different types of products and the preset weight, including:对于目标产品,累加目标产品所属类的各关键因子的权重与相应的关键因子的取值之积,得到了目标产品的综合评估结果。For the target product, the product of the weight of each key factor of the category to which the target product belongs and the value of the corresponding key factor is accumulated to obtain the comprehensive evaluation result of the target product.3.根据权利要求1所述的方法,其特征在于,根据产品故障后影响后果的严重程度,将选出的产品初步分为三类,包括:3. The method according to claim 1, characterized in that, according to the severity of the consequences after product failure, the selected products are preliminarily divided into three categories, including:判断对设计缺陷导致故障的产品在技术层面上开展可靠性提升是否可行;Judging whether it is feasible to improve the reliability of products whose design defects lead to failures at the technical level;若是,根据产品故障后影响后果的严重程度,将可行的产品初步分为三类。If so, according to the severity of the consequences of the product failure, the feasible products are initially divided into three categories.4.根据权利要求3所述的方法,其特征在于,对于一个产品,根据产品故障后影响后果的严重程度,将可行的产品初步分为三类,包括:4. The method according to claim 3, wherein, for a product, according to the severity of the consequences of the product failure, the feasible products are preliminarily divided into three categories, including:步骤1、判断该产品是否属于主最低设备清单MMEL项目;若是,则执行步骤4,若否,则执行步骤2;Step 1, determine whether the product belongs to the main minimum equipment list MMEL item; if so, go to step 4, if not, go to step 2;步骤2、判断该产品故障是否关联到FHA中I类或II类功能失效;若是,则执行步骤3,若否,则执行步骤5。Step 2. Determine whether the product failure is related to the failure of Class I or Class II functions in the FHA; if so, go to Step 3, if not, go to Step 5.步骤3、该产品为一类产品;Step 3. The product is a first-class product;步骤4、判断该产品的修复期限是否为A类;若是,则执行步骤5,若否,则执行步骤6;Step 4. Determine whether the repair period of the product is Class A; if so, go to Step 5, if not, go to Step 6;步骤5、该产品为二类产品;Step 5. The product is a second-class product;步骤6、该产品为三类产品。Step 6, the product is three types of products.5.根据权利要求4所述的方法,其特征在于,权重的选取规则:5. method according to claim 4, is characterized in that, the selection rule of weight:对于一类产品,危害性因子的权重大于可靠性因子的权重大于维修性因子的权重大于测试性因子的权重大于经济性因子的权重;For a class of products, the weight of the hazard factor is greater than that of the reliability factor, and the weight of the maintainability factor is greater than that of the test factor; the weight of the economic factor is greater;对于二类产品,危害性因子的权重大于可靠性因子的权重大于测试性因子的权重大于维修性因子的权重大于经济性因子的权重;For the second-class products, the weight of the hazard factor is greater than that of the reliability factor, and the weight of the test factor is greater than that of the maintainability factor; the weight of the economic factor is greater;对于三类产品,经济性因子的权重大于维修性因子的权重大于可靠性因子的权重大于测试性因子的权重大于危害性因子的权重。For the three types of products, the weight of the economic factor is greater than that of the maintainability factor, and the weight of the reliability factor is greater than that of the test factor.6.根据权利要求2所述的方法,其特征在于,针对每项产品,按综合评估结果的大小进行排序,分值越大,提升的优先级越高。6 . The method according to claim 2 , wherein, for each product, sorting is performed according to the size of the comprehensive evaluation result, and the higher the score, the higher the priority of promotion.7.根据权利要求2所述的方法,其特征在于,关键因子中可靠性因子的取值是根据该产品的可靠性提升率来确定的;维修性因子的取值是根据该产品的维修性相对值来确定的;测试性因子的取值是根据该产品的测试性相对值来确定的。7. The method according to claim 2, wherein the value of the reliability factor in the key factor is determined according to the reliability improvement rate of the product; the value of the maintainability factor is determined according to the maintainability of the product Determined by relative value; the value of testability factor is determined according to the relative value of testability of the product.8.一种计算机可读的存储介质,其上存储有计算机指令,其特征在于,所述指令被处理器执行时实现权利要求1-7任一项所述的方法。8. A computer-readable storage medium on which computer instructions are stored, characterized in that, when the instructions are executed by a processor, the method of any one of claims 1-7 is implemented.
CN202011612916.4A2020-12-292020-12-29Decision method for determining reliability improvement sequence of productsPendingCN112784358A (en)

Priority Applications (1)

Application NumberPriority DateFiling DateTitle
CN202011612916.4ACN112784358A (en)2020-12-292020-12-29Decision method for determining reliability improvement sequence of products

Applications Claiming Priority (1)

Application NumberPriority DateFiling DateTitle
CN202011612916.4ACN112784358A (en)2020-12-292020-12-29Decision method for determining reliability improvement sequence of products

Publications (1)

Publication NumberPublication Date
CN112784358Atrue CN112784358A (en)2021-05-11

Family

ID=75754067

Family Applications (1)

Application NumberTitlePriority DateFiling Date
CN202011612916.4APendingCN112784358A (en)2020-12-292020-12-29Decision method for determining reliability improvement sequence of products

Country Status (1)

CountryLink
CN (1)CN112784358A (en)

Cited By (2)

* Cited by examiner, † Cited by third party
Publication numberPriority datePublication dateAssigneeTitle
CN113642891A (en)*2021-08-162021-11-12北京航空航天大学 A comprehensive allocation method of RMT index for maintenance efficiency
CN119720383A (en)*2024-12-102025-03-28中国航空综合技术研究所 A manufacturing process defect analysis method based on aircraft product reliability

Citations (8)

* Cited by examiner, † Cited by third party
Publication numberPriority datePublication dateAssigneeTitle
CN102663542A (en)*2012-03-222012-09-12北京航空航天大学Fault mode subduction closure method based on logic decision
CN104573275A (en)*2015-01-282015-04-29太原重工股份有限公司Large-scale mining excavator reliability distribution method based on breakdown maintenance data
CN106600095A (en)*2016-07-272017-04-26中国特种设备检测研究院Reliability-based maintenance evaluation method
CN106709576A (en)*2016-12-132017-05-24图南航空科技(北京)有限公司Civil aircraft failure probability calculating method under faulty flight conditions
CN107316087A (en)*2017-07-032017-11-03中国航空工业集团公司西安飞机设计研究所It is a kind of to judge the method that aeronautical product tape jam is used
CN110570117A (en)*2019-09-042019-12-13湖南联诚轨道装备有限公司Reliability allocation method
CN111191324A (en)*2019-12-242020-05-22中国航空工业集团公司西安飞机设计研究所Method and device for predicting dispatch reliability by considering limiting conditions
CN111874256A (en)*2020-08-122020-11-03中国科学院工程热物理研究所 Fault emergency treatment method and device for solar unmanned aerial vehicle

Patent Citations (8)

* Cited by examiner, † Cited by third party
Publication numberPriority datePublication dateAssigneeTitle
CN102663542A (en)*2012-03-222012-09-12北京航空航天大学Fault mode subduction closure method based on logic decision
CN104573275A (en)*2015-01-282015-04-29太原重工股份有限公司Large-scale mining excavator reliability distribution method based on breakdown maintenance data
CN106600095A (en)*2016-07-272017-04-26中国特种设备检测研究院Reliability-based maintenance evaluation method
CN106709576A (en)*2016-12-132017-05-24图南航空科技(北京)有限公司Civil aircraft failure probability calculating method under faulty flight conditions
CN107316087A (en)*2017-07-032017-11-03中国航空工业集团公司西安飞机设计研究所It is a kind of to judge the method that aeronautical product tape jam is used
CN110570117A (en)*2019-09-042019-12-13湖南联诚轨道装备有限公司Reliability allocation method
CN111191324A (en)*2019-12-242020-05-22中国航空工业集团公司西安飞机设计研究所Method and device for predicting dispatch reliability by considering limiting conditions
CN111874256A (en)*2020-08-122020-11-03中国科学院工程热物理研究所 Fault emergency treatment method and device for solar unmanned aerial vehicle

Non-Patent Citations (2)

* Cited by examiner, † Cited by third party
Title
康锐等: "航空产品重要度分类的模糊评判方法", 航空学报, vol. 16, pages 49 - 54*
徐平涛: "飞机机载设备重要度分类方法及分类应用研究", 科技与创新, no. 2020, pages 156 - 159*

Cited By (3)

* Cited by examiner, † Cited by third party
Publication numberPriority datePublication dateAssigneeTitle
CN113642891A (en)*2021-08-162021-11-12北京航空航天大学 A comprehensive allocation method of RMT index for maintenance efficiency
CN119720383A (en)*2024-12-102025-03-28中国航空综合技术研究所 A manufacturing process defect analysis method based on aircraft product reliability
CN119720383B (en)*2024-12-102025-09-26中国航空综合技术研究所 A manufacturing process defect analysis method based on aircraft product reliability

Similar Documents

PublicationPublication DateTitle
Filz et al.Data-driven failure mode and effect analysis (FMEA) to enhance maintenance planning
CN103559555B (en)A kind of method for optimizing its product plan maintenance intervals for seating plane manufacturer
CN112784358A (en)Decision method for determining reliability improvement sequence of products
CN105138850B (en)Civil aircraft system maintenance time interval calculating method
Distefano et al.Risk assessment procedure for civil airport
BugajFailure analysis-basic step of applying reliability centered maintenance in general aviation
CN107085771A (en)A kind of aircraft technology situation quantitative model and its construction method
O'Neal et al.Benchmarking aircraft maintenance performances using data envelopment analysis
Nordmann et al.Neural network forecasting of service problems for aircraft structural component groupings
GirdnerAn integrated system safety model of the national airspace system
CN117407670A (en)Auxiliary information generation method and system for accurate risk judgment and monitoring and early warning of amphibious aircraft
AhmadiAircraft scheduled maintenance programme development: decision support methodologies and tools
CN113050595A (en)Potential fault analysis method based on PFMEA and HRA method
NjumoFault tree analysis (FTA)-formal safety assessment (FSA) in ship repair industry a made easy approach
Rosadi et al.A Machine Learning-Based Method for Predicting the Classification of Aircraft Damage.
Goranson et al.Long-life damage tolerant jet transport structures
Schlesinger et al.Forecast of aircraft retirement probabilities using neural networks
Simanjuntak et al.Pressurization System on Aircraft Boeing 737-300F, Aircraft MSN: 28567 During Flight Hanoi to Bangkok: Problem Solving and Root Cause Analysis
CN108717502A (en)Aircraft Design optimization method based on airworthiness directive multi dimensional analysis
KumaraswamyReliability growth management during prototype development
Sun et al.MMEL-Based Approach To Aircraft Operational Reliability Prediction
Tumanggor et al.Human Reliability Analysis on Fresh Fruit Bunches Sorting Workers
Myers et al.Quantifying the Effects of Aircraft Engine Upgrades on Operating and Support Costs
Pryimak et al.Theories and models of human errors occurrence. Simulation of aircraft maintenance processes
Ahmadi et al.Selection of maintenance strategy, using analytical hierarchy process

Legal Events

DateCodeTitleDescription
PB01Publication
PB01Publication
SE01Entry into force of request for substantive examination
SE01Entry into force of request for substantive examination
RJ01Rejection of invention patent application after publication
RJ01Rejection of invention patent application after publication

Application publication date:20210511


[8]ページ先頭

©2009-2025 Movatter.jp