Movatterモバイル変換


[0]ホーム

URL:


CN112769916A - High-synchronization concurrent group control method, system and storage medium for smart community - Google Patents

High-synchronization concurrent group control method, system and storage medium for smart community
Download PDF

Info

Publication number
CN112769916A
CN112769916ACN202011613918.5ACN202011613918ACN112769916ACN 112769916 ACN112769916 ACN 112769916ACN 202011613918 ACN202011613918 ACN 202011613918ACN 112769916 ACN112769916 ACN 112769916A
Authority
CN
China
Prior art keywords
module
synchronous
data
community
equipment
Prior art date
Legal status (The legal status is an assumption and is not a legal conclusion. Google has not performed a legal analysis and makes no representation as to the accuracy of the status listed.)
Granted
Application number
CN202011613918.5A
Other languages
Chinese (zh)
Other versions
CN112769916B (en
Inventor
高健伦
王贺
顾志诚
Current Assignee (The listed assignees may be inaccurate. Google has not performed a legal analysis and makes no representation or warranty as to the accuracy of the list.)
Hangzhou Yaguan Technology Co ltd
Original Assignee
Hangzhou Yaguan Technology Co ltd
Priority date (The priority date is an assumption and is not a legal conclusion. Google has not performed a legal analysis and makes no representation as to the accuracy of the date listed.)
Filing date
Publication date
Application filed by Hangzhou Yaguan Technology Co ltdfiledCriticalHangzhou Yaguan Technology Co ltd
Priority to CN202011613918.5ApriorityCriticalpatent/CN112769916B/en
Publication of CN112769916ApublicationCriticalpatent/CN112769916A/en
Application grantedgrantedCritical
Publication of CN112769916BpublicationCriticalpatent/CN112769916B/en
Activelegal-statusCriticalCurrent
Anticipated expirationlegal-statusCritical

Links

Images

Classifications

Landscapes

Abstract

The invention belongs to the technical field of intelligent communities, and discloses a high-synchronization concurrent group control method, a high-synchronization concurrent group control system and a storage medium for the intelligent community, wherein the high-synchronization concurrent group control system for the intelligent community comprises an equipment management module, a parameter acquisition module, a data processing module, a data transmission module, a central control module, a synchronous beacon generation module, a coding identification module, a synchronous adjustment module, an adjustment monitoring module and a beacon updating module; the intelligent community system fully utilizes the integrated application of new generation information technologies such as Internet of things, cloud computing and mobile internet, provides safe, comfortable and convenient modernized and intelligent living environment for community residents, really realizes the intelligent community, and sends synchronous group control codes contained in synchronous sequence beacons to a plurality of community management devices in a cooperative matching state through a central control module; therefore, the problem of sending efficiency of the group control synchronous concurrent data is solved, network service resources are saved, and the resource efficiency of concurrent data transmission is greatly improved.

Description

High-synchronization concurrent group control method, system and storage medium for smart community
Technical Field
The invention belongs to the technical field of intelligent communities, and particularly relates to a high-synchronization concurrent group control method, a high-synchronization concurrent group control system and a storage medium for an intelligent community.
Background
At present: the intelligent community fully utilizes the integrated application of new-generation information technologies such as Internet of things, cloud computing and mobile internet, and provides a safe, comfortable and convenient modern and intelligent living environment for community residents, so that a community with a new management form based on informatization and intelligent social management and service is formed.
At present, the pseudo-concept of the smart community is horizontal, the smart community in the eyes of a developer mainly emphasizes which hardware infrastructure can be directly seen, the smart community does not have subsequent property service capability and smart community operation capability, the cognition degree of residents to the smart community is only 14%, and the willingness of the residents to know the wisdom community is up to 67%. Particularly, residents have strong requirements on door/window magnetism, infrared lamp security alarm, community public WIFI, and real-time understanding of water, electricity, gas and heat related services and life distribution services of smart communities.
However, although a large amount of hardware equipment is invested in the existing intelligent community, the intelligent community is not intelligent due to the high-synchronization concurrent group control technology, the management is asynchronous, and the requirement of the existing intelligent community is difficult to meet.
Through the above analysis, the problems and defects of the prior art are as follows: the prior art does not have a high-synchronization concurrent group control method of an intelligent community; meanwhile, the community management method is asynchronous in management, low in management efficiency, delayed in management and incapable of timely mastering the problem of community discovery.
Disclosure of Invention
Aiming at the problems in the prior art, the invention provides a high-synchronization concurrent group control method, a high-synchronization concurrent group control system and a storage medium for an intelligent community.
The invention is realized in such a way, and provides a high-synchronization concurrent group control method for a smart community, which comprises the following steps:
the device comprises an equipment management module, a parameter acquisition module, a data processing module, a data transmission module, a central control module, a synchronous beacon generation module, a coding identification module, a synchronous adjustment module, an adjustment monitoring module and a beacon updating module;
the device management module is connected with the central control module and is used for carrying out addition, deletion or corresponding management on community management devices in the smart community;
the parameter acquisition module is connected with the central control module and is used for acquiring and acquiring the operating parameters and data of the corresponding community management equipment;
the data processing module is connected with the central control module and is used for classifying and integrating the acquired corresponding operating parameters and data;
the data transmission module is connected with the central control module and is used for transmitting data of the community management equipment and each functional module;
the central control module is connected with the equipment management module, the parameter acquisition module, the data processing module, the data transmission module, the synchronous beacon generation module, the code identification module, the synchronous adjustment module, the adjustment monitoring module and the beacon updating module and is used for controlling each module to normally work by utilizing a single chip microcomputer or a controller;
the synchronous beacon generation module is connected with the central control module and used for generating a synchronous sequence beacon containing a synchronous group control code based on the acquired related data;
the code identification module is connected with the central control module and used for identifying the synchronous group control codes by the community management equipment;
the synchronous adjustment module is connected with the central control module and used for carrying out synchronous adjustment, parameter updating and adjustment feedback on the community management equipment based on an adjustment instruction in the synchronous group control code;
the adjustment monitoring module is connected with the central control module and used for verifying and monitoring the equipment states of all community management equipment in the group member set and the execution state of synchronous adjustment thereof in a multi-selection superposition comparison mode based on adjustment feedback sent by the community management equipment,
and the beacon updating module is connected with the central control module and used for updating the synchronous sequence beacon based on the equipment state and the synchronous adjustment execution state data acquired by the adjustment monitoring module.
Further, the community management apparatus includes: the intelligent monitoring system comprises intelligent security equipment, intelligent monitoring equipment and intelligent home equipment;
the intelligent security equipment comprises a visual intercom access control host and an infrared alarm; the intelligent monitoring equipment comprises a camera;
the intelligent household equipment comprises an energy management device, a health management device, an intelligent electric appliance device, an intelligent audio-visual device, an intelligent door and window device and an intelligent wearing device.
Another object of the present invention is to provide a high-synchronization group control system for a smart community, which implements the high-synchronization group control method for the smart community, the high-synchronization group control system for the smart community including:
step one, adding, deleting or correspondingly managing community management equipment in the intelligent community through an equipment management module; acquiring and acquiring operation parameters and data of corresponding intelligent community management equipment through a parameter acquisition module; classifying and integrating the acquired corresponding operating parameters and data through a data processing module;
step two, a central control module controls a synchronous beacon generation module to generate a synchronous sequence beacon based on the acquired relevant data of the community management equipment by utilizing a single chip microcomputer or a controller; the generated synchronous sequence beacon is transmitted to corresponding community management equipment in a wired or wireless mode through a data transmission module;
step three, the community management equipment receives the synchronous sequence beacon and identifies the synchronous group control code in the received synchronous sequence beacon through a code identification module; the community management equipment carries out synchronous adjustment on the basis of an adjustment instruction in the identified synchronous group control code through a synchronous adjustment module;
acquiring the running parameters of the community management equipment after synchronous adjustment through a parameter acquisition module, updating the equipment parameters, and transmitting the adjustment feedback and the updated equipment parameters to an adjustment monitoring module through a data transmission module;
checking and monitoring the updated equipment parameters and the execution status of synchronous adjustment thereof in a multi-selection superposition comparison mode through an adjustment monitoring module based on adjustment feedback sent by the community management equipment and the updated equipment parameters;
and step six, the beacon updating module is connected with the central control module and used for updating the synchronous sequence beacon based on the equipment state and synchronous adjustment execution state data acquired by the adjustment monitoring module.
The updating comprises the following steps:
given a sync sequence beacon security variation value n and an encrypted sync sequence beacon database DB of the form (i, v)i)∈[q]×Zn-1Use a hash function H: {0,1*}→Zn-1To process very large data records vi(ii) a The setting algorithm produces two orders N ═ p1p2Groups G and G ofTWherein p is1,p2Is in the range of [2n-1,2n-1]The prime number of (c); bilinear mapping as e: GXG → GT(ii) a Let G1And G2Subgroups of G, the order being p1,p2(ii) a Key K for randomly selecting two algebraic pseudorandom functions F1,K2(ii) a Meanwhile, randomly selecting:
g1,h1R G1,g2,h2,u2R G2,a,b∈RZN
for each i e { 1.,. q }:
Figure BDA0002875843560000041
defining:
Figure BDA0002875843560000042
Figure BDA0002875843560000043
the public key is
Figure BDA0002875843560000044
The private key is SK ═ a, Tw,k1,k2);
Query algorithmInputting public key PK and a query index
Figure BDA00028758435600000412
Using Merkle Hash summation Tree and equation
Figure BDA0002875843560000045
Determining a bin index x ∈ { 1.,. q } and a corresponding proof Ω, the proof Ω ═ lx,sx,rxiS), whereini(1 ≦ i ≦ H) representing the sibling node values of the nodes on the path from the leaf node x to the root node on MSHT, H being the depth of the Merkle Hash summation tree; then, calculating:
Figure BDA0002875843560000046
definition of
Figure BDA0002875843560000047
Finally return to
Figure BDA0002875843560000048
The verification algorithm inputs a private key SK and a query index
Figure BDA0002875843560000049
And
Figure BDA00028758435600000410
the verifier first verifies the validity of x by using the evidence omega and checks:
Figure BDA00028758435600000411
wherein
Figure BDA0002875843560000051
If the equation is established, the verifier outputs 1, otherwise outputs T;
the adjusting and monitoring module runs an updating algorithm, inputs a private key SK, a query index x and data v 'to be updated, generates an operation authorization token t' x by using the private key SK, and then sends the (t 'x, v') to the synchronous beacon generating module; the synchronous beacon generation module updates related data in the index x by using v 'and updates a public key PK by using t' x;
the operation method for updating the verifiable synchronization sequence beacon database comprises the steps of setting the synchronization sequence beacon database as
Figure BDA0002875843560000052
Wherein x is more than or equal to 1 and less than or equal to q,
Figure BDA0002875843560000053
lx≧ 0 represents the number of data records in the storage lattice index x; in that
Figure BDA0002875843560000054
The three update operations above include:
the singlechip or the controller is connected with
Figure BDA0002875843560000055
Is replaced by v'xThen, then
Figure BDA0002875843560000056
lxKeeping the same;
singlechip or controller deletion
Figure BDA0002875843560000057
Then
Figure BDA0002875843560000058
lxRemain unchanged;
the singlechip or the controller is wanted to be on
Figure BDA0002875843560000059
Inserting a new record in front
Figure BDA00028758435600000510
Then
Figure BDA00028758435600000511
lxAnd adding one.
Further, in the first step, the classifying and integrating the acquired corresponding operating parameters and data by the data processing module includes:
and preprocessing the acquired corresponding operating parameters and data, and then classifying and integrating the preprocessed data according to a preset classification rule.
Further, the preprocessing the acquired corresponding operating parameters and data includes:
(1) correcting errors of the acquired data, and deleting repeated records or repeated fields in the data; meanwhile, data specification unification is carried out on the data after duplication removal;
(2) determining the logic, conditions and caliber of each community management device, and correcting the acquisition logic of the abnormal community management device; carrying out standardization processing on the data;
(3) reorganizing data according to a certain algorithm and a certain mode on the premise of keeping the integrity and the accuracy of the original data set and not losing useful information; supplementing the data of the incomplete data;
(4) and deleting abnormal data in the data.
Further, in step three, the sync sequence beacon includes but is not limited to: the intelligent community management system comprises intelligent community control terminal equipment codes, community management equipment codes, operation parameters of a control terminal and community management equipment, synchronous group control codes and synchronous adjustment instructions.
Further, in step three, the receiving, by the community management device, the synchronization sequence beacon, and identifying, by the code identification module, the synchronization group control code in the received synchronization sequence beacon includes:
1) the method comprises the steps that community management equipment receives a synchronous sequence beacon, processes the synchronous sequence beacon and extracts a synchronous group control code of the community management equipment;
2) analyzing the synchronous group control code, and decomposing the synchronous group control code into more than one code information; and respectively carrying out matched analysis on each piece of coding information to obtain the coding content carried by each piece of coding information.
Further, in step 2), the synchronous group control code is analyzed, and the synchronous group control code is decomposed into more than one code information; respectively carrying out matched analysis on each piece of coding information to obtain coding content carried by each piece of coding information comprises the following steps:
2.1) decomposing the synchronous group control code into first coding information and second coding information; performing mode matching on the first coding information and information in a synchronous sequence beacon database to acquire version information and coding system identification information in the first coding information;
2.2) obtaining a domain name conversion rule regular expression of the main body code of the second coding information according to the version information and the coding system identification information; acquiring a network resource identifier (URI) address of an analysis synchronization beacon generation module corresponding to the main body code according to the domain name conversion rule regular expression of the main body code;
2.3) sending the URI address so that the community management equipment sends an analysis request of the main body code to an analysis synchronous beacon generation module corresponding to the URI address according to the URI address; and receiving an analysis result returned by the analysis synchronous beacon generation module according to the analysis request, and sending the analysis result to the community management equipment.
It is another object of the present invention to provide a computer program product stored on a computer readable medium, comprising a computer readable program for providing a user input interface to implement the method for high-synchronization concurrent group control of the intelligent community when executed on an electronic device.
Another object of the present invention is to provide a computer-readable storage medium storing instructions that, when executed on a computer, cause the computer to perform a highly synchronized concurrent group control method for the intelligent community.
By combining all the technical schemes, the invention has the advantages and positive effects that: the intelligent community system fully utilizes the integrated application of new generation information technologies such as Internet of things, cloud computing and mobile internet, provides safe, comfortable and convenient modernized and intelligent living environment for community residents, really realizes the intelligent community, and sends synchronous group control codes contained in synchronous sequence beacons to a plurality of community management devices in a cooperative matching state through a central control module; therefore, the problem of sending efficiency of the group control synchronous concurrent data is solved, network service resources are saved, and the resource efficiency of concurrent data transmission is greatly improved.
Identifying the synchronous group control code through community management equipment, and judging whether the community management equipment belongs to the group member set selected by the synchronous group control code; therefore, the problem of rapid identification and judgment of synchronous group control members is solved, the group control service identification efficiency is improved, and the data processing links of a service system are reduced. Executing corresponding state control operation according to the synchronous instruction through the community management equipment, and updating the operation parameters contained in the equipment state beacon; therefore, the problems of the operation mode and the execution state feedback of the synchronous group control are solved, and the flexibility and the compatibility of the group control mode execution feedback are improved. Acquiring corresponding parameters and synchronous feedback through a data acquisition module, and verifying and monitoring the equipment states of all equipment members in the group member set and the execution states of the state control operations in a multi-selection superposition comparison mode; therefore, the problems of monitoring of state feedback of synchronous group control and retransmission of group control data are solved, the efficiency of state feedback monitoring and verification algorithm is improved, and the redundant transmission of invalid data of the main end is reduced.
The invention provides a method for updating a synchronization sequence beacon based on equipment state and synchronization adjustment execution state data acquired by an adjustment monitoring module. The accuracy of the acquired equipment state and the synchronous adjustment execution state data is ensured.
Drawings
In order to more clearly illustrate the technical solutions of the embodiments of the present application, the drawings needed to be used in the embodiments of the present application will be briefly described below, and it is obvious that the drawings described below are only some embodiments of the present application, and it is obvious for those skilled in the art that other drawings can be obtained from the drawings without creative efforts.
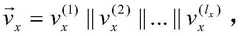
FIG. 1 is a schematic diagram of a highly synchronized group control system for smart communities according to an embodiment of the present invention;
in the figure: 1. a device management module; 2. a parameter acquisition module; 3. a data processing module; 4. a data transmission module; 5. a central control module; 6. a synchronization beacon generation module; 7. a code identification module; 8. a synchronization adjustment module; 9. adjusting the monitoring module; 10. and a beacon updating module.
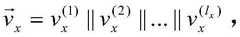
Fig. 2 is a flowchart of a highly synchronous concurrent group control method for a smart community according to an embodiment of the present invention.
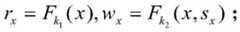
Fig. 3 is a flowchart of a method for preprocessing acquired corresponding operating parameters and data according to an embodiment of the present invention.
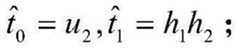
Fig. 4 is a flowchart of a method for a community management device to receive a synchronization sequence beacon and identify a synchronization group control code in the received synchronization sequence beacon through a code identification module according to an embodiment of the present invention.
Fig. 5 is a block diagram illustrating parsing of a synchronization group control code according to an embodiment of the present invention, and decomposing the synchronization group control code into more than one encoded information; and respectively carrying out matched analysis on each piece of coding information to obtain a method flow chart of the coding content carried by each piece of coding information.
Detailed Description
In order to make the objects, technical solutions and advantages of the present invention more apparent, the present invention is further described in detail with reference to the following embodiments. It should be understood that the specific embodiments described herein are merely illustrative of the invention and are not intended to limit the invention.
Aiming at the problems in the prior art, the invention provides a high-synchronization concurrent group control method for an intelligent community, and the invention is described in detail below with reference to the accompanying drawings.
As shown in fig. 1, the high-synchronization concurrent group control system for a smart community according to an embodiment of the present invention includes:
the device comprises an equipment management module 1, aparameter acquisition module 2, adata processing module 3, adata transmission module 4, acentral control module 5, a synchronousbeacon generation module 6, acode identification module 7, asynchronous adjustment module 8, an adjustment monitoring module 9 and abeacon updating module 10;
the equipment management module 1 is connected with thecentral control module 5 and is used for carrying out addition, deletion or corresponding management on community management equipment in the intelligent community;
theparameter acquisition module 2 is connected with the central control module and is used for acquiring and acquiring the operating parameters and data of the corresponding community management equipment;
thedata processing module 3 is connected with thecentral control module 5 and is used for classifying and integrating the acquired corresponding operating parameters and data;
thedata transmission module 4 is connected with thecentral control module 5 and is used for carrying out data transmission on the community management equipment and each functional module;
thecentral control module 5 is connected with the equipment management module 1, theparameter acquisition module 2, thedata processing module 3, thedata transmission module 4, the synchronousbeacon generation module 6, thecode identification module 7, thesynchronous adjustment module 8, the adjustment monitoring module 9 and thebeacon updating module 10, and is used for controlling each module to normally work by utilizing a single chip microcomputer or a controller;
a synchronousbeacon generating module 6, connected to thecentral control module 5, for generating a synchronous sequence beacon containing a synchronous group control code based on the acquired related data;
thecode identification module 7 is connected with thecentral control module 5 and used for identifying the synchronous group control codes by the community management equipment;
thesynchronous adjusting module 8 is connected with thecentral control module 5 and used for carrying out synchronous adjustment, parameter updating and adjustment feedback on the community management equipment based on an adjusting instruction in the synchronous group control code;
an adjustment monitoring module 9 connected with thecentral control module 5 for checking and monitoring the device status of all community management devices in the group member set and the execution status of synchronous adjustment thereof in a multi-selection superposition comparison mode based on adjustment feedback sent by the community management devices,
and abeacon updating module 10 connected to thecentral control module 5 and configured to update the synchronization sequence beacon based on the device status and the synchronization adjustment execution status data acquired by the adjustment monitoring module.
The community management device provided by the embodiment of the invention comprises: the intelligent monitoring system comprises intelligent security equipment, intelligent monitoring equipment and intelligent home equipment;
the intelligent security equipment comprises a visual intercom access control host and an infrared alarm; the intelligent monitoring equipment comprises a camera;
the intelligent household equipment comprises an energy management device, a health management device, an intelligent electric appliance device, an intelligent audio-visual device, an intelligent door and window device and an intelligent wearing device.
As shown in fig. 2, the high-synchronization concurrent group control method for the smart community according to the embodiment of the present invention includes:
s101, adding, deleting or correspondingly managing community management equipment in the intelligent community through an equipment management module; acquiring and acquiring operation parameters and data of corresponding intelligent community management equipment through a parameter acquisition module; classifying and integrating the acquired corresponding operating parameters and data through a data processing module;
s102, a central control module controls a synchronous beacon generation module to generate a synchronous sequence beacon based on the acquired relevant data of the community management equipment by utilizing a single chip microcomputer or a controller; the generated synchronous sequence beacon is transmitted to corresponding community management equipment in a wired or wireless mode through a data transmission module;
s103, the community management equipment receives the synchronous sequence beacon and identifies the synchronous group control code in the received synchronous sequence beacon through a code identification module; the community management equipment carries out synchronous adjustment on the basis of an adjustment instruction in the identified synchronous group control code through a synchronous adjustment module;
s104, acquiring the running parameters of the community management equipment after synchronous adjustment through a parameter acquisition module, updating the equipment parameters, and transmitting the adjustment feedback and the updated equipment parameters to an adjustment monitoring module through a data transmission module;
s105, verifying and monitoring the updated equipment parameters and the execution conditions of synchronous adjustment thereof in a multi-selection superposition comparison mode through an adjustment monitoring module based on adjustment feedback sent by the community management equipment and the updated equipment parameters;
and S106, the synchronization sequence beacon is connected with the central control module through the beacon updating module and used for updating the synchronization sequence beacon based on the equipment state and the synchronization regulation execution state data acquired by the regulation monitoring module.
In step S101, the classifying and integrating the acquired corresponding operating parameters and data by the data processing module according to the embodiment of the present invention includes:
and preprocessing the acquired corresponding operating parameters and data, and then classifying and integrating the preprocessed data according to a preset classification rule.
As shown in fig. 3, the preprocessing of the acquired corresponding operating parameters and data according to the embodiment of the present invention includes:
s201, correcting errors of the collected data, and deleting repeated records or repeated fields in the data; meanwhile, data specification unification is carried out on the data after duplication removal;
s202, determining the logic, conditions and caliber of each community management device, and correcting the acquisition logic of the abnormal community management device; carrying out standardization processing on the data;
s203, reorganizing the data according to a certain algorithm and mode on the premise of keeping the integrity and the accuracy of the original data set and not losing useful information; supplementing the data of the incomplete data;
and S204, deleting abnormal data in the data.
In step S103, the synchronization sequence beacon provided in the embodiment of the present invention includes, but is not limited to: the intelligent community management system comprises intelligent community control terminal equipment codes, community management equipment codes, operation parameters of a control terminal and community management equipment, synchronous group control codes and synchronous adjustment instructions.
As shown in fig. 4, in step S103, the receiving, by the community management device according to the embodiment of the present invention, a synchronization sequence beacon, and identifying, by the code identification module, a synchronization group control code in the received synchronization sequence beacon includes:
s301, receiving a synchronous sequence beacon by the community management equipment, processing the synchronous sequence beacon, and extracting a synchronous group control code of the community management equipment;
s302, analyzing the synchronous group control code, and decomposing the synchronous group control code into more than one code information; and respectively carrying out matched analysis on each piece of coding information to obtain the coding content carried by each piece of coding information.
As shown in fig. 5, in step S302, the synchronization group control code provided in the embodiment of the present invention is analyzed, and the synchronization group control code is decomposed into more than one code information; respectively carrying out matched analysis on each piece of coding information to obtain coding content carried by each piece of coding information comprises the following steps:
s401, decomposing the synchronous group control code into first coding information and second coding information; performing mode matching on the first coding information and information in a synchronous sequence beacon database to acquire version information and coding system identification information in the first coding information;
s402, obtaining a domain name conversion rule regular expression of the main body code of the second coding information according to the version information and the coding system identification information; acquiring a network resource identifier (URI) address of an analysis synchronization beacon generation module corresponding to the main body code according to the domain name conversion rule regular expression of the main body code;
s403, sending the URI address to enable the community management equipment to send an analysis request of the main body code to an analysis synchronization beacon generation module corresponding to the URI address according to the URI address; and receiving an analysis result returned by the analysis synchronous beacon generation module according to the analysis request, and sending the analysis result to the community management equipment.
In step S106, the updating includes:
given a sync sequence beacon security change value n and an encrypted sync sequence beacon databaseDB, encrypted Sync sequence Beacon database form (i, v)i)∈[q]×Zn-1Use a hash function H: {0,1*}→Zn-1To process very large data records vi(ii) a The setting algorithm produces two orders N ═ p1p2Groups G and G ofTWherein p is1,p2Is in the range of [2n-1,2n-1]The prime number of (c); bilinear mapping as e: GXG → GT(ii) a Let G1And G2Subgroups of G, the order being p1,p2(ii) a Key K for randomly selecting two algebraic pseudorandom functions F1,K2(ii) a Meanwhile, randomly selecting:
g1,h1R G1,g2,h2,u2R G2,a,b∈RZN
for each i e { 1.,. q }:
Figure BDA0002875843560000121
defining:
Figure BDA0002875843560000122
Figure BDA0002875843560000123
the public key is
Figure BDA0002875843560000124
The private key is SK ═ a, Tw,k1,k2);
The query algorithm inputs the public key PK and a query index x using Merkle Hash summation Tree and equation
Figure BDA0002875843560000125
Determining a bin index x ∈ { 1.,. q } and a corresponding proof Ω, the proof Ω ═ lx,sx,rxiS), whereini(1 ≦ i ≦ H) representing the sibling node values of the nodes on the path from the leaf node x to the root node on MSHT, H being the depth of the Merkle Hash summation tree; then, calculating:
Figure BDA00028758435600001316
definition of
Figure BDA0002875843560000131
Finally return to
Figure BDA0002875843560000132
The verification algorithm inputs a private key SK and a query index
Figure BDA0002875843560000133
And
Figure BDA0002875843560000134
the verifier first verifies the validity of x by using the evidence omega and checks:
Figure BDA0002875843560000135
wherein
Figure BDA0002875843560000136
If the equation is established, the verifier outputs 1, otherwise outputs T;
the adjusting and monitoring module runs an updating algorithm, inputs a private key SK, a query index x and data v 'to be updated, generates an operation authorization token t' x by using the private key SK, and then sends the (t 'x, v') to the synchronous beacon generating module; the synchronous beacon generation module updates related data in the index x by using v 'and updates a public key PK by using t' x;
order synchronization sequence beacon database in verifiable synchronization sequence beacon database updating operation methodIs composed of
Figure BDA0002875843560000137
Wherein x is more than or equal to 1 and less than or equal to q,
Figure BDA0002875843560000138
lx≧ 0 represents the number of data records in the storage lattice index x; in that
Figure BDA00028758435600001317
The three update operations above include:
the singlechip or the controller is connected with
Figure BDA0002875843560000139
Is replaced by v'xThen, then
Figure BDA00028758435600001310
lxKeeping the same;
singlechip or controller deletion
Figure BDA00028758435600001311
Then
Figure BDA00028758435600001312
lxRemain unchanged;
the singlechip or the controller is wanted to be on
Figure BDA00028758435600001313
Inserting a new record in front
Figure BDA00028758435600001314
Then
Figure BDA00028758435600001315
lxAnd adding one.
The above description is only for the purpose of illustrating the preferred embodiments of the present invention, and the scope of the present invention is not limited thereto, and any modification, equivalent replacement, and improvement made by those skilled in the art within the technical scope of the present invention disclosed herein, which is within the spirit and principle of the present invention, should be covered by the present invention.

Claims (10)

1. A high-synchronization concurrent group control method for a smart community is characterized by comprising the following steps:
step one, adding, deleting or correspondingly managing community management equipment in an intelligent community; acquiring operation parameters and data of corresponding intelligent community management equipment; classifying and integrating the acquired corresponding operating parameters and data;
controlling a synchronous beacon generation module to generate a synchronous sequence beacon based on the acquired relevant data of the community management equipment by utilizing a single chip microcomputer or a controller; transmitting the generated synchronous sequence beacon to corresponding community management equipment in a wired or wireless mode;
step three, the community management equipment receives the synchronous sequence beacon and identifies the synchronous group control code in the received synchronous sequence beacon; the community management equipment carries out synchronous adjustment based on the adjustment instruction in the identified synchronous group control code;
collecting the operating parameters of the community management equipment after synchronous adjustment, updating the equipment parameters, and transmitting the adjustment feedback and the updated equipment parameters to the adjustment monitoring module through the data transmission module;
checking and monitoring the updated equipment parameters and the execution conditions of synchronous adjustment thereof in a multi-selection superposition comparison mode based on adjustment feedback sent by the community management equipment and the updated equipment parameters;
step six, updating the synchronous sequence beacon based on the equipment state acquired by the adjustment monitoring module and the synchronous adjustment execution state data; the updating comprises the following steps:
given a sync sequence beacon security variation value n and an encrypted sync sequence beacon database DB of the form (i, v)i)∈[q]×Zn-1Using a hash function H: {0,1}*→Zn-1To process very large numbersAccording to record vi(ii) a The setting algorithm produces two orders N ═ p1p2Groups G and G ofTWherein p is1,p2Is in the range of [2n-1,2n-1]The prime number of (c); bilinear mapping is e: g → GT(ii) a Let G1And G2Subgroups of G, the order being p1,p2(ii) a Key K for randomly selecting two algebraic pseudorandom functions F1,K2(ii) a Meanwhile, randomly selecting:
g1,h1RG1,g2,h2,u2RG2,a,b∈RZN
for each i e { 1.,. q }:
Figure FDA00028758435500000220
defining:
Figure FDA0002875843550000021
Figure FDA0002875843550000022
the public key is
Figure FDA0002875843550000023
The private key is SK ═ a, Tw,k1,k2);
Inquiry algorithm input public key PK and an inquiry index
Figure FDA0002875843550000024
Using Merkle Hash summation Tree and equation
Figure FDA0002875843550000025
Determining a storage grid index x ∈ { 1.,. q } and corresponding evidence Ω, where the evidence Ω is(lx,sx,rxiS), whereini(1 ≦ i ≦ H) representing the sibling node values of the nodes on the path from the leaf node x to the root node on MSHT, H being the depth of the Merkle Hash summation tree; then, calculating:
Figure FDA0002875843550000026
definition of
Figure FDA0002875843550000027
Finally return to
Figure FDA0002875843550000028
The verification algorithm inputs a private key SK and a query index
Figure FDA0002875843550000029
And
Figure FDA00028758435500000210
the verifier first verifies the validity of x by using the evidence omega and checks:
Figure FDA00028758435500000211
wherein
Figure FDA00028758435500000212
If the equation is established, the verifier outputs 1, otherwise outputs T;
the adjusting and monitoring module runs an updating algorithm, inputs a private key SK, a query index x and data v 'to be updated, generates an operation authorization token t' x by using the private key SK, and then sends the (t 'x, v') to the synchronous beacon generating module; the synchronous beacon generation module updates related data in the index x by using v 'and updates a public key PK by using t' x;
the operation method for updating the verifiable synchronization sequence beacon database comprises the steps of setting the synchronization sequence beacon database as
Figure FDA00028758435500000213
Wherein x is more than or equal to 1 and less than or equal to q,
Figure FDA00028758435500000214
lx≧ 0 represents the number of data records in the storage lattice index x; in that
Figure FDA00028758435500000215
The three update operations above include:
the singlechip or the controller is connected with
Figure FDA00028758435500000216
Is replaced by v'xThen, then
Figure FDA00028758435500000217
lxKeeping the same;
singlechip or controller deletion
Figure FDA00028758435500000218
Then
Figure FDA00028758435500000219
lxRemain unchanged;
the singlechip or the controller is wanted to be on
Figure FDA0002875843550000031
Inserting a new record in front
Figure FDA0002875843550000032
Then
Figure FDA0002875843550000033
lxAnd adding one.
2. The method as claimed in claim 1, wherein the step one of classifying and integrating the acquired corresponding operation parameters and data comprises:
and preprocessing the acquired corresponding operating parameters and data, and then classifying and integrating the preprocessed data according to a preset classification rule.
3. The method as claimed in claim 2, wherein the pre-processing of the acquired corresponding operation parameters and data comprises:
(1) correcting errors of the acquired data, and deleting repeated records or repeated fields in the data; meanwhile, data specification unification is carried out on the data after duplication removal;
(2) determining the logic, conditions and caliber of each community management device, and correcting the acquisition logic of the abnormal community management device; carrying out standardization processing on the data;
(3) reorganizing data according to a certain algorithm and a certain mode on the premise of keeping the integrity and the accuracy of the original data set and not losing useful information; supplementing the data of the incomplete data;
(4) and deleting abnormal data in the data.
4. The method as claimed in claim 1, wherein in step three, the synchronization sequence beacon includes but is not limited to: the intelligent community management system comprises intelligent community control terminal equipment codes, community management equipment codes, operation parameters of a control terminal and community management equipment, synchronous group control codes and synchronous adjustment instructions.
5. The method as claimed in claim 1, wherein the step three includes the step of receiving a synchronization sequence beacon by the community management device, and identifying the synchronization group control code in the received synchronization sequence beacon by the code identification module includes:
1) the method comprises the steps that community management equipment receives a synchronous sequence beacon, processes the synchronous sequence beacon and extracts a synchronous group control code of the community management equipment;
2) analyzing the synchronous group control code, and decomposing the synchronous group control code into more than one code information; and respectively carrying out matched analysis on each piece of coding information to obtain the coding content carried by each piece of coding information.
6. The method as claimed in claim 5, wherein in step 2), the synchronous group control code is parsed into at least one code message; respectively carrying out matched analysis on each piece of coding information to obtain coding content carried by each piece of coding information comprises the following steps:
2.1) decomposing the synchronous group control code into first coding information and second coding information; performing mode matching on the first coding information and information in a synchronous sequence beacon database to acquire version information and coding system identification information in the first coding information;
2.2) obtaining a domain name conversion rule regular expression of the main body code of the second coding information according to the version information and the coding system identification information; acquiring a network resource identifier (URI) address of an analysis synchronization beacon generation module corresponding to the main body code according to the domain name conversion rule regular expression of the main body code;
2.3) sending the URI address so that the community management equipment sends an analysis request of the main body code to an analysis synchronous beacon generation module corresponding to the URI address according to the URI address; and receiving an analysis result returned by the analysis synchronous beacon generation module according to the analysis request, and sending the analysis result to the community management equipment.
7. A high-synchronization concurrent group control system of a smart community is characterized in that the high-synchronization concurrent group control method of the smart community comprises the following steps:
the device management module is connected with the central control module and is used for carrying out addition, deletion or corresponding management on community management devices in the smart community;
the parameter acquisition module is connected with the central control module and is used for acquiring and acquiring the operating parameters and data of the corresponding community management equipment;
the data processing module is connected with the central control module and is used for classifying and integrating the acquired corresponding operating parameters and data;
the data transmission module is connected with the central control module and is used for transmitting data of the community management equipment and each functional module;
the central control module is connected with the equipment management module, the parameter acquisition module, the data processing module, the data transmission module, the synchronous beacon generation module, the code identification module, the synchronous adjustment module, the adjustment monitoring module and the beacon updating module and is used for controlling each module to normally work by utilizing a single chip microcomputer or a controller;
the synchronous beacon generation module is connected with the central control module and used for generating a synchronous sequence beacon containing a synchronous group control code based on the acquired related data;
the code identification module is connected with the central control module and used for identifying the synchronous group control codes by the community management equipment;
the synchronous adjustment module is connected with the central control module and used for carrying out synchronous adjustment, parameter updating and adjustment feedback on the community management equipment based on an adjustment instruction in the synchronous group control code;
the adjustment monitoring module is connected with the central control module and used for verifying and monitoring the equipment states of all community management equipment in the group member set and the execution state of synchronous adjustment thereof in a multi-selection superposition comparison mode based on adjustment feedback sent by the community management equipment,
and the beacon updating module is connected with the central control module and used for updating the synchronous sequence beacon based on the equipment state and the synchronous adjustment execution state data acquired by the adjustment monitoring module.
8. The highly synchronized group control system for smart communities as claimed in claim 7, wherein the community management device comprises: the intelligent monitoring system comprises intelligent security equipment, intelligent monitoring equipment and intelligent home equipment;
the intelligent security equipment comprises a visual intercom access control host and an infrared alarm; the intelligent monitoring equipment comprises a camera;
the intelligent household equipment comprises an energy management device, a health management device, an intelligent electric appliance device, an intelligent audio-visual device, an intelligent door and window device and an intelligent wearing device.
9. A computer device, characterized in that the computer device comprises a memory and a processor, the memory stores a computer program, and the computer program, when executed by the processor, causes the processor to execute the high synchronization concurrency group control method of the intelligent community according to any one of claims 1-6.
10. A computer-readable storage medium storing instructions that, when executed on a computer, cause the computer to perform a highly synchronized concurrent group control method for smart communities as claimed in any one of claims 1-6.
CN202011613918.5A2020-12-302020-12-30High-synchronization concurrent group control method, system and storage medium for smart communityActiveCN112769916B (en)

Priority Applications (1)

Application NumberPriority DateFiling DateTitle
CN202011613918.5ACN112769916B (en)2020-12-302020-12-30High-synchronization concurrent group control method, system and storage medium for smart community

Applications Claiming Priority (1)

Application NumberPriority DateFiling DateTitle
CN202011613918.5ACN112769916B (en)2020-12-302020-12-30High-synchronization concurrent group control method, system and storage medium for smart community

Publications (2)

Publication NumberPublication Date
CN112769916Atrue CN112769916A (en)2021-05-07
CN112769916B CN112769916B (en)2022-06-21

Family

ID=75696152

Family Applications (1)

Application NumberTitlePriority DateFiling Date
CN202011613918.5AActiveCN112769916B (en)2020-12-302020-12-30High-synchronization concurrent group control method, system and storage medium for smart community

Country Status (1)

CountryLink
CN (1)CN112769916B (en)

Cited By (4)

* Cited by examiner, † Cited by third party
Publication numberPriority datePublication dateAssigneeTitle
CN114611925A (en)*2022-03-112022-06-10杭州园钉科技有限公司Wisdom garden management platform based on thing networking
CN114980189A (en)*2022-05-132022-08-30华南理工大学Gateway communication method and system for group control
CN115827781A (en)*2022-12-052023-03-21东莞市康永电子科技有限公司Multi-point time-sharing cooperation based community resource synchronization method and system
CN117785973A (en)*2023-12-112024-03-29深圳鹏程未来技术有限公司Community user information integration method, device, equipment and storage medium

Citations (6)

* Cited by examiner, † Cited by third party
Publication numberPriority datePublication dateAssigneeTitle
US20150088906A1 (en)*2013-09-202015-03-26International Business Machines CorporationQuestion routing for user communities
CN108777719A (en)*2018-06-212018-11-09安恩达科技(深圳)有限公司Entirety is intelligence community platform
CN109151018A (en)*2018-08-162019-01-04安徽超清科技股份有限公司A kind of intelligence community generalized information management system based on security protection
WO2020181152A1 (en)*2019-03-052020-09-10Farrokh ShokoohUtility network project modeling & management
CN111918382A (en)*2020-08-122020-11-10深圳蓝奥声科技有限公司Wireless synchronous group control method and device
CN111954194A (en)*2020-08-122020-11-17深圳市蓝信物联科技有限公司Wireless intelligent tag refreshing control method and device based on Internet of things

Patent Citations (7)

* Cited by examiner, † Cited by third party
Publication numberPriority datePublication dateAssigneeTitle
US20150088906A1 (en)*2013-09-202015-03-26International Business Machines CorporationQuestion routing for user communities
CN108777719A (en)*2018-06-212018-11-09安恩达科技(深圳)有限公司Entirety is intelligence community platform
CN109729180A (en)*2018-06-212019-05-07安恩达科技(深圳)有限公司Entirety is intelligence community platform
CN109151018A (en)*2018-08-162019-01-04安徽超清科技股份有限公司A kind of intelligence community generalized information management system based on security protection
WO2020181152A1 (en)*2019-03-052020-09-10Farrokh ShokoohUtility network project modeling & management
CN111918382A (en)*2020-08-122020-11-10深圳蓝奥声科技有限公司Wireless synchronous group control method and device
CN111954194A (en)*2020-08-122020-11-17深圳市蓝信物联科技有限公司Wireless intelligent tag refreshing control method and device based on Internet of things

Cited By (5)

* Cited by examiner, † Cited by third party
Publication numberPriority datePublication dateAssigneeTitle
CN114611925A (en)*2022-03-112022-06-10杭州园钉科技有限公司Wisdom garden management platform based on thing networking
CN114980189A (en)*2022-05-132022-08-30华南理工大学Gateway communication method and system for group control
CN115827781A (en)*2022-12-052023-03-21东莞市康永电子科技有限公司Multi-point time-sharing cooperation based community resource synchronization method and system
CN115827781B (en)*2022-12-052023-08-04东莞市康永电子科技有限公司Multi-point time sharing collaboration-based community resource synchronization method and system
CN117785973A (en)*2023-12-112024-03-29深圳鹏程未来技术有限公司Community user information integration method, device, equipment and storage medium

Also Published As

Publication numberPublication date
CN112769916B (en)2022-06-21

Similar Documents

PublicationPublication DateTitle
CN112769916B (en)High-synchronization concurrent group control method, system and storage medium for smart community
CN111931220B (en)Consensus processing method, device, medium and electronic equipment for block chain network
CN113676498B (en)Prediction machine management system for accessing third-party information based on distributed network technology
CN114153920A (en)Big data edge platform and method
CN113420195A (en)Method and system for determining fault type of intelligent electric meter
CN113011960A (en)Block chain-based data access method, device, medium and electronic equipment
CN112926981A (en)Transaction information processing method, device and medium for block chain and electronic equipment
CN105634141A (en)Power regulation and control information real-time monitoring and security early warning mobile transmission system and method
CN117294499A (en)Converter station data management method and system
CN118132650A (en) A food-based inspection data sharing method and system
CN115278737B (en)Data acquisition method of 5G network
CN116166894A (en) A method, system and device for electronic evidence storage and traceability
Xie et al.Trust model based on feedback evaluation in cloud manufacturing environment
CN110704511A (en)Data processing method, device, apparatus and medium
Li et al.HSA-EDI: An efficient one-round integrity verification for mobile edge caching using hierarchical signature aggregation
CN114358316A (en)Federal learning system and large-scale image training method and device thereof
Peng et al.Research on abnormal detection technology of real-time interaction process in new energy network
CN111125720A (en) A Correlation Analysis Method of Information Security and Functional Safety
CN102215226A (en)Self-organized network
CN119944979B (en)Multi-mode sensing operation and maintenance system and method for autonomous controllable transformer substation
Gao et al.A Cost-Efficient Virtual Sensor Management Scheme for Manufacturing Network in Smart Factory.
CN118364351B (en)Interactive data processing method and system based on blockchain network
CN119696751B (en) An integrated regulatory platform based on distributed blockchain
CN120185941B (en)Method and system for dynamically constructing trusted execution environment for running domestic application
CN120150928B (en) TLS fingerprint generation method, device, equipment and medium based on Merkle tree

Legal Events

DateCodeTitleDescription
PB01Publication
PB01Publication
SE01Entry into force of request for substantive examination
SE01Entry into force of request for substantive examination
GR01Patent grant
GR01Patent grant

[8]ページ先頭

©2009-2025 Movatter.jp