Movatterモバイル変換


[0]ホーム

URL:


CN112765480A - Information pushing method and device and computer readable storage medium - Google Patents

Information pushing method and device and computer readable storage medium
Download PDF

Info

Publication number
CN112765480A
CN112765480ACN202110387445.XACN202110387445ACN112765480ACN 112765480 ACN112765480 ACN 112765480ACN 202110387445 ACN202110387445 ACN 202110387445ACN 112765480 ACN112765480 ACN 112765480A
Authority
CN
China
Prior art keywords
information
pushed
push
target
browsing
Prior art date
Legal status (The legal status is an assumption and is not a legal conclusion. Google has not performed a legal analysis and makes no representation as to the accuracy of the status listed.)
Granted
Application number
CN202110387445.XA
Other languages
Chinese (zh)
Other versions
CN112765480B (en
Inventor
李卓聪
Current Assignee (The listed assignees may be inaccurate. Google has not performed a legal analysis and makes no representation or warranty as to the accuracy of the list.)
Tencent Technology Shenzhen Co Ltd
Original Assignee
Tencent Technology Shenzhen Co Ltd
Priority date (The priority date is an assumption and is not a legal conclusion. Google has not performed a legal analysis and makes no representation as to the accuracy of the date listed.)
Filing date
Publication date
Application filed by Tencent Technology Shenzhen Co LtdfiledCriticalTencent Technology Shenzhen Co Ltd
Priority to CN202110387445.XApriorityCriticalpatent/CN112765480B/en
Publication of CN112765480ApublicationCriticalpatent/CN112765480A/en
Application grantedgrantedCritical
Publication of CN112765480BpublicationCriticalpatent/CN112765480B/en
Activelegal-statusCriticalCurrent
Anticipated expirationlegal-statusCritical

Links

Images

Classifications

Landscapes

Abstract

The embodiment of the application discloses an information pushing method, an information pushing device and a computer readable storage medium, wherein user attribute information in a cold start state is acquired; determining a push information set corresponding to the user attribute information in the historical browsing record, and selecting push information with browsing times larger than a preset browsing threshold value from the push information set as information to be pushed; extracting one-dimensional target association characteristics of user attribute information and information to be pushed in a nonlinear processing dimension and two-dimensional target cross characteristics in a implicit processing dimension; predicting by combining the one-dimensional target correlation characteristic and the two-dimensional target cross characteristic to obtain target browsing time information corresponding to each piece of information to be pushed; and selecting a preset number of target information to be pushed to carry out information pushing based on the sequence of the target browsing time information from high to low. Therefore, the information to be pushed corresponding to the user attribute information under the cold start can be screened out for accurate prediction, and the accuracy of information pushing is greatly improved.

Description

Information pushing method and device and computer readable storage medium
Technical Field
The present application relates to the field of computer technologies, and in particular, to an information push method and apparatus, and a computer-readable storage medium.
Background
In the context of internet big data, information of interest of a user is generally required to be pushed to the user according to the preference of the user, so as to improve the use experience of the user.
In the prior art, a push system can estimate information which may be interested by a user based on historical behavior data of the user, so that accurate push is realized. However, since the newly registered user does not have corresponding historical behavior data, the user cannot acquire the information of interest of the user, and only can push the popular information.
In the research and practice process of the prior art, the inventor of the application finds that personalized information pushing on a new user cannot be realized in the prior art, and the accuracy of information pushing is poor.
Disclosure of Invention
The embodiment of the application provides an information pushing method, an information pushing device and a computer readable storage medium, which can improve the accuracy of information pushing.
In order to solve the above technical problem, an embodiment of the present application provides the following technical solutions:
an information push method, comprising:
acquiring user attribute information in a cold start state;
determining a push information set corresponding to the user attribute information in a historical browsing record, and selecting push information with browsing times larger than a preset browsing threshold value from the push information set as information to be pushed;
extracting one-dimensional target association features of the user attribute information and the information to be pushed in a nonlinear processing dimension and two-dimensional target cross features in a implicit processing dimension;
predicting by combining the one-dimensional target correlation characteristic and the two-dimensional target cross characteristic to obtain target browsing time information corresponding to each piece of information to be pushed;
and selecting a preset number of target information to be pushed to carry out information pushing based on the sequence of the target browsing time information from high to low.
An information pushing apparatus comprising:
an acquisition unit configured to acquire user attribute information in a cold start state;
the determining unit is used for determining a push information set corresponding to the user attribute information in the historical browsing record, and selecting push information with browsing times larger than a preset browsing threshold value from the push information set as information to be pushed;
the extraction unit is used for extracting one-dimensional target association characteristics of the user attribute information and the information to be pushed in a nonlinear processing dimension and two-dimensional target cross characteristics in a implicit processing dimension;
the prediction unit is used for predicting by combining the one-dimensional target correlation characteristic and the two-dimensional target cross characteristic to obtain target browsing time information corresponding to each piece of information to be pushed;
and the pushing unit is used for selecting a preset number of pieces of target information to be pushed to carry out information pushing based on the sequence of the target browsing time information from high to low.
In some embodiments, the determining unit is configured to:
matching corresponding target push information according to the user attribute information;
and determining the target push information as the information to be pushed.
In some embodiments, the pushing unit includes:
the sorting subunit is configured to sort the information to be pushed based on a sequence of the target browsing time information from high to low;
and the pushing subunit is used for selecting a preset number of target pushing information according to the sorting sequence to carry out information pushing.
In some embodiments, the push subunit is configured to:
acquiring a difference value between the release time and the current time of each message to be pushed;
weighting each target browsing time information according to the difference;
and sequencing the information to be pushed according to the sequence of the weighted target browsing time information from high to low.
A computer-readable storage medium, which stores a plurality of instructions, where the instructions are suitable for being loaded by a processor to perform the steps in the information pushing method.
A computer device comprising a memory, a processor and a computer program stored in the memory and executable on the processor, the processor implementing the steps of the information pushing method provided above when executing the computer program.
A computer program product or computer program comprising computer instructions stored in a storage medium. The processor of the computer device reads the computer instructions from the storage medium, and executes the computer instructions, so that the computer device executes the steps in the information pushing method provided above.
According to the embodiment of the application, the user attribute information in the cold starting state is acquired; determining a push information set corresponding to the user attribute information in the historical browsing record, and selecting push information with browsing times larger than a preset browsing threshold value from the push information set as information to be pushed; extracting one-dimensional target association characteristics of user attribute information and information to be pushed in a nonlinear processing dimension and two-dimensional target cross characteristics in a implicit processing dimension; predicting by combining the one-dimensional target correlation characteristic and the two-dimensional target cross characteristic to obtain target browsing time information corresponding to each piece of information to be pushed; and selecting a preset number of target information to be pushed to carry out information pushing based on the sequence of the target browsing time information from high to low. Therefore, the personalized information to be pushed can be screened out according to the user attribute information in the cold start state, the user attribute information and the one-dimensional correlation characteristic and the two-dimensional cross characteristic of the information to be pushed can be further extracted for joint prediction, the target browsing time information corresponding to each piece of information to be pushed is obtained, a preset number of pieces of target information to be pushed are selected for pushing based on the sequence of the target browsing time information from high to low, compared with the existing scheme that personalized information pushing of a new user cannot be achieved, personalized information screening can be conducted according to the user portrait, the target information to be pushed with longer browsing time is selected from the predicted pushed information for accurate pushing, and the accuracy of information pushing is greatly improved.
Drawings
In order to more clearly illustrate the technical solutions in the embodiments of the present application, the drawings needed to be used in the description of the embodiments are briefly introduced below, and it is obvious that the drawings in the following description are only some embodiments of the present application, and it is obvious for those skilled in the art to obtain other drawings based on these drawings without creative efforts.
Fig. 1 is a schematic view of a scenario of an information push system provided in an embodiment of the present application;
fig. 2 is a schematic flowchart of an information pushing method provided in an embodiment of the present application;
fig. 3 is another schematic flowchart of an information pushing method provided in an embodiment of the present application;
FIG. 4 is a schematic product diagram of an information pushing method according to an embodiment of the present disclosure;
FIG. 5 is a schematic structural diagram of an information pushing apparatus provided in an embodiment of the present application;
fig. 6 is a schematic structural diagram of a server according to an embodiment of the present application.
Detailed Description
The technical solutions in the embodiments of the present application will be clearly and completely described below with reference to the drawings in the embodiments of the present application, and it is obvious that the described embodiments are only a part of the embodiments of the present application, and not all of the embodiments. All other embodiments, which can be derived by a person skilled in the art from the embodiments given herein without making any creative effort, shall fall within the protection scope of the present application.
The embodiment of the application provides an information pushing method, an information pushing device and a computer readable storage medium.
Referring to fig. 1, fig. 1 is a schematic view of a scenario of an information pushing system according to an embodiment of the present application, including: the terminal a and the server (the information push system may also include other terminals besides the terminal a, and the specific number of the terminals is not limited herein), the terminal a and the server may be connected through a communication network, which may include a wireless network and a wired network, where the wireless network includes one or more combinations of a wireless wide area network, a wireless local area network, a wireless metropolitan area network, and a wireless personal area network. The network includes network entities such as routers, gateways, etc., which are not shown in the figure. The terminal a may perform information interaction with the server through a communication network, for example, the terminal a sends the user attribute information to the server.
The information pushing system can comprise an information pushing device, the information pushing device can be specifically integrated in a server, the server can be an independent physical server, a server cluster or a distributed system formed by a plurality of physical servers, and can also be a cloud server for providing basic cloud computing services such as cloud service, a cloud database, cloud computing, cloud functions, cloud storage, network service, cloud communication, middleware service, domain name service, security service, CDN (content distribution network), big data and an artificial intelligence platform. In the information pushing method or apparatus disclosed in the embodiments of the present application, a plurality of servers may be grouped into a blockchain, and the servers are nodes on the blockchain. As shown in fig. 1, the server obtains user attribute information in a cold start state sent by a terminal a; determining a push information set corresponding to the user attribute information in the historical browsing record, and selecting push information with browsing times larger than a preset browsing threshold value from the push information set as information to be pushed; extracting one-dimensional target correlation characteristics of the user attribute information and the information to be pushed in a nonlinear processing dimension and two-dimensional target cross characteristics in a implicit processing dimension; predicting by combining the one-dimensional target correlation characteristic and the two-dimensional target cross characteristic to obtain target browsing time information corresponding to each piece of information to be pushed; and selecting a preset number of target information to be pushed to carry out information pushing based on the sequence of the target browsing time information from high to low.
The terminal a in the information push system may be, but is not limited to, a smart phone, a tablet computer, a notebook computer, a desktop computer, a smart speaker, a smart watch, and the like. The terminal a can install various applications required by the user, such as an information browsing application and the like.
It should be noted that the scenario diagram of the information push system shown in fig. 1 is merely an example, and the information push system and the scenario described in the embodiment of the present application are for more clearly illustrating the technical solution of the embodiment of the present application, and do not form a limitation on the technical solution provided in the embodiment of the present application.
The following are detailed below.
In the present embodiment, the description will be made from the perspective of an information pushing apparatus, which may be specifically integrated in a server having a storage unit and a microprocessor mounted thereon and having an arithmetic capability.
Referring to fig. 2, fig. 2 is a schematic flow chart illustrating an information pushing method according to an embodiment of the present application. The information pushing method comprises the following steps:
instep 101, user attribute information in a cold start state is acquired.
The information pushing method provided by the application is described in detail by taking the pushing scene of the information as an example, and the scene is only an example and does not limit the protection range of the technical scheme of the application.
The cold start state refers to the recommendation of products in the network, and users and recommended articles are continuously increased, so new users and articles exist. The cold start problem of the recommendation system is the problem of realizing accurate recommendation for newly registered users and newly warehoused articles.
Based on this, because the newly registered user does not have historical browsing data and cannot acquire information of interest of the newly registered user, a common solution is to recommend currently popular information to the new user, and because the popular information often has a high click rate and a long reading time, a good pushing effect is often realized. However, the habit of each user is different due to thousands of people, and if the same information is pushed, the accuracy of information pushing is still poor.
In order to solve the above problems, the embodiments of the present application introduce a user portrait, that is, user attribute information, where the user portrait is also called a user role, as an effective tool for delineating a target user and associating user appeal with a design direction, and the user image may be embodied by a tag.
Instep 102, a push information set corresponding to the historical browsing record of the user attribute information is determined, and push information with browsing times larger than a preset browsing threshold is selected from the push information set as information to be pushed.
For example, users with the same gender and the same age often have the same hobbies, and the concerned directions have a certain degree of fitting. Therefore, the server can collect the push information browsed by each user and the user attribute information in advance to form a historical browsing record, the push information can be multidimensional data describing the push information, such as title data, label data, level data, click rate data and reading time data, the push information browsed by the users with the same user attribute information is collected, and therefore push information sets corresponding to different user attribute information are deduced.
Further, the server may obtain user attribute information of a user currently needing to be pushed for matching, and recall a pushed information set corresponding to the user attribute information of the user currently needing to be pushed, where the preset browsing threshold is a critical value defining whether a certain piece of pushed information in the user attribute information is hot pushed information, and thus, the pushed information with browsing times greater than the preset browsing threshold may be selected from the pushed information set corresponding to the user attribute information as hot to-be-pushed information. For example, when the gender data, the age data and the city grade data of the user attribute information are respectively male, young and first-line cities, the server may obtain popular information to be pushed corresponding to the user attribute information of the male, young and first-line cities in the whole database, and compared with a uniform pushing manner for a new registered user, the information pushing method and system of the embodiment of the present application push the information by using the user portrait (i.e. the user attribute information), so that the accuracy of information pushing may be improved, and personalized information pushing for the new registered user is realized.
Instep 103, a one-dimensional target association feature of the user attribute information and the information to be pushed in a non-linear processing dimension and a two-dimensional target cross feature in an implicit processing dimension are extracted.
The information to be pushed is more highly ranked, and for better optimization, the pushed information which is most interesting to the user needs to be found for pushing, it is obvious that the more interesting the user is to some information to be pushed, the longer the browsing time for browsing the information, and conversely, the less interesting the user is to some information to be pushed, and the shorter the browsing time for browsing the information, so that the information to be pushed which is most interesting to the user can be further screened out from the information to be pushed which is more highly ranked based on the browsing time, and the specific implementation process refers to the following steps:
the embodiment of the application is combined with Machine Learning (ML) in an artificial intelligence technology to process user attribute information and information to be pushed, wherein the Machine Learning is a multi-field cross subject and relates to multi-subjects such as probability theory, statistics, approximation theory, convex analysis and algorithm complexity theory. The special research on how a computer simulates or realizes the learning behavior of human beings so as to acquire new knowledge or skills and reorganize the existing knowledge structure to continuously improve the performance of the computer. Machine learning is the core of artificial intelligence, is the fundamental approach for computers to have intelligence, and is applied to all fields of artificial intelligence. Machine learning and deep learning generally include techniques such as artificial neural networks, belief networks, reinforcement learning, transfer learning, inductive learning, and formal education learning.
Further, one-dimensional target correlation features on a nonlinear processing dimension extracted in advance according to user attribute information and information to be pushed and two-dimensional target cross features on a hidden processing dimension are predicted in a combined mode through machine learning, the nonlinear processing dimension refers to deep learning, convolution information between the user attribute information and the information to be pushed is extracted respectively to perform nonlinear mapping on subsequent time, in practical application, logical correlation exists between the user attribute information and the information to be pushed, in order to obtain the correlation relationship, the user attribute information and the information to be pushed need to be crossed, the information between the cross is usually hidden, therefore, the two-dimensional target cross features of the user attribute information and the information to be pushed can be obtained on the hidden processing dimension through feature cross processing, and accurate prediction can be performed subsequently.
In an embodiment, the trained preset model for Prediction may be a Deep Neural Network-based Factorization (a factor-Machine based Neural Network for CTR Prediction, Deep FM) model, the Deep FM model may be composed of a Deep Neural Network layer (Deep) and a Factorization (FM) layer, the Deep Neural Network layer may extract one-dimensional target correlation characteristics of user attribute information and information to be pushed in a nonlinear processing dimension, and the Factorization layer may extract two-dimensional target cross characteristics of the user attribute information and the information to be pushed in a implicit processing dimension, so as to better learn interactions between low-dimensional and high-dimensional characteristics, and further achieve more accurate Prediction. Therefore, in the embodiment of the application, the user attribute information and the information to be pushed can be input into the trained preset model, the one-dimensional target association feature is output through the deep neural network model layer, the two-dimensional target cross feature is output through the factorization layer, the target browsing time information is predicted according to the one-dimensional target association feature and the two-dimensional target cross feature, the prediction process please refer to the subsequent processing, and the target browsing time information is a predicted value of the trained preset model.
In some embodiments, the pre-training method of the pre-set model may be as follows:
(1) acquiring user sample characteristics corresponding to the user sample attribute information, push sample characteristics corresponding to the push sample information and real browsing time information;
(2) inputting the user sample characteristics and the push sample characteristics into a deep neural network model layer and a factorization machine layer in a preset model, and outputting one-dimensional correlation characteristics and two-dimensional cross characteristics;
(3) jointly inputting the one-dimensional correlation characteristic and the two-dimensional cross characteristic to an activation function layer to obtain predicted browsing time information;
(4) and performing iterative training on the first network parameter in the deep neural network model layer and the second network parameter in the factorization layer according to the comparison between the predicted browsing time information and the real browsing time information to obtain a trained preset model.
The server may collect a large number of user samples in advance, where the user samples are generated when the user actually browses the push information, the user samples may include user sample attribute information of the user, browsed push sample information, and real browsing time information, and the real browsing time information may be used as tag information. Therefore, in order to realize subsequent machine learning, the user sample attribute information can be converted into user sample characteristics, and the user sample characteristics can contain multidimensional sub-characteristics, such as gender sub-characteristics, age sub-characteristics, city grade sub-characteristics and the like; and converting the pushed sample information into pushed sample characteristics, wherein the pushed sample characteristics can comprise multidimensional sub-characteristics such as a title sub-characteristic, a label sub-characteristic, a level sub-characteristic, a click rate sub-characteristic, a reading time sub-characteristic and the like.
Further, because there is a certain logical association between the push information and the user attribute information, there is also a logical association between the push sample feature and the user sample feature, which is generally called as feature intersection, and these intersection information are often implicit, that is, they cannot be directly described and formulated by a general neural network model or a labeling method, so the embodiment of the present application needs to learn to consider the interaction between the low-dimensional feature and the high-dimensional feature, specifically, to input the user sample feature and the push sample feature into a deep neural network layer and a factorization layer in a preset model, and train out the one-dimensional association and association between the user sample feature and the push sample feature by the deep neural network model layer, so as to obtain the one-dimensional association feature finally output by the deep neural network layer. The factorization layer can calculate the two-dimensional cross information between the user sample feature and the pushed sample feature to obtain the two-dimensional cross feature finally output by the factorization layer.
Therefore, the one-dimensional correlation characteristic and the two-dimensional cross characteristic are jointly input into the activation function layer, the main function of the activation function layer is to provide the nonlinear modeling capability of the network, such as a sigmoid function, variables can be mapped into a certain range, such as 0-1 minute, and after the one-dimensional correlation characteristic and the two-dimensional cross characteristic are jointly input into the activation function layer, predicted browsing time information of 0-1 minute can be obtained.
In the actual training process, a difference is inevitably generated between the predicted browsing time information and the real browsing time information, the smaller the difference is, the more accurate the prediction capability of the preset model is, and the larger the difference is, the weaker the prediction capability of the preset model is. Therefore, in order to make the prediction capability of the preset model as accurate as possible, the first network parameter in the deep neural network layer and the second network parameter in the factorization layer in the preset model need to be continuously adjusted according to the difference back propagation until the difference between the predicted browsing time information and the real browsing time information output by the preset model converges to a minimum value, which indicates that the preset model is trained, and the trained preset model is obtained.
Based on the number of times, the step of extracting the one-dimensional target association feature of the user attribute information and the information to be pushed in the nonlinear processing dimension and the two-dimensional target cross feature in the implicit processing dimension may include:
(1.1) determining user characteristics according to the attribute distribution in the user attribute information;
(1.2) determining the characteristics to be pushed according to the information distribution in the information to be pushed;
(1.3) inputting the user characteristics and the characteristics to be pushed into a deep neural network model layer and a factor decomposition machine layer in a trained preset model, and outputting one-dimensional target correlation characteristics and two-dimensional target cross characteristics;
and (1.4) jointly inputting the one-dimensional target correlation characteristic and the two-dimensional target cross characteristic to an activation function layer to obtain target browsing time information corresponding to each piece of information to be pushed.
In order to realize the prediction of the trained preset model, the user attribute information of the current user can be converted into user characteristics, each attribute is converted into a one-dimensional sub-characteristic according to the attribute distribution in the user attributes, and the user characteristics can include multi-dimensional sub-characteristics, for example, when the user attributes include gender data, age data and city grade data, the converted user characteristics can include three-dimensional sub-characteristics which are respectively gender sub-characteristics, age sub-characteristics, city grade sub-characteristics and the like; similarly, each piece of information to be pushed is converted into a feature to be pushed, and the feature to be pushed may include multidimensional sub-features, such as a tag sub-feature, a level sub-feature, a click rate sub-feature, a reading time sub-feature, and the like.
Further, the user characteristic and the characteristic to be pushed are input into the deep neural network model layer and the factorization machine layer in the trained preset model, a one-dimensional target correlation characteristic and a two-dimensional target cross characteristic are output, the one-dimensional target correlation characteristic and the two-dimensional target cross characteristic are input into the activation function layer in a combined mode, and target browsing time information corresponding to each piece of information to be pushed can be obtained.
Instep 104, the one-dimensional target correlation characteristic and the two-dimensional target cross characteristic are combined to perform prediction, and target browsing time information corresponding to each piece of information to be pushed is obtained.
In an embodiment, the predicting by combining the one-dimensional target association feature and the two-dimensional target cross feature to obtain target browsing time information corresponding to each piece of information to be pushed may include: and jointly inputting the one-dimensional target correlation characteristic and the two-dimensional target cross characteristic into an activation function layer to obtain target browsing time information corresponding to each piece of information to be pushed.
The one-dimensional target correlation characteristic and the two-dimensional target cross characteristic can be jointly input into an activation function layer in a trained preset model for nonlinear expression, and target browsing time information corresponding to each piece of information to be pushed can be obtained.
Instep 105, a preset number of pieces of target information to be pushed are selected for information pushing based on the sequence of the target browsing time information from high to low.
The larger the target browsing time information is, the more interesting the user is to the information to be pushed, and the smaller the target browsing time information is, the less interesting the user is to the information to be pushed. Therefore, the target push information with the largest browsing time information can be selected according to the sequence of the target browsing information from high to low for information push, the preset number can be 3, 4 or any number set by the user, and no specific limitation is imposed here, so that the information push can be performed by selecting any number of target push information to be used, which is most interesting to the user, from the information to be pushed with larger order of magnitude, and the accuracy of information push can be further improved on the basis of realizing personalized information push for the newly registered user.
As can be seen from the above, in the embodiment of the present application, the user attribute information in the cold start state is acquired; determining a push information set corresponding to the user attribute information in the historical browsing record, and selecting push information with browsing times larger than a preset browsing threshold value from the push information set as information to be pushed; extracting one-dimensional target association characteristics of user attribute information and information to be pushed in a nonlinear processing dimension and two-dimensional target cross characteristics in a implicit processing dimension; predicting by combining the one-dimensional target correlation characteristic and the two-dimensional target cross characteristic to obtain target browsing time information corresponding to each piece of information to be pushed; and selecting a preset number of target information to be pushed to carry out information pushing based on the sequence of the target browsing time information from high to low. Therefore, the personalized information to be pushed can be screened out according to the user attribute information in the cold start state, the user attribute information and the one-dimensional correlation characteristic and the two-dimensional cross characteristic of the information to be pushed can be further extracted for joint prediction, the target browsing time information corresponding to each piece of information to be pushed is obtained, a preset number of pieces of target information to be pushed are selected for pushing based on the sequence of the target browsing time information from high to low, compared with the existing scheme that personalized information pushing of a new user cannot be achieved, personalized information screening can be conducted according to the user portrait, the target information to be pushed with longer browsing time is selected from the predicted pushed information for accurate pushing, and the accuracy of information pushing is greatly improved.
The method described in connection with the above embodiments will be described in further detail below by way of example.
In the present embodiment, the information pushing apparatus will be described by taking an example in which it is specifically integrated in a server, and specific reference will be made to the following description.
Referring to fig. 3, fig. 3 is another schematic flow chart of an information pushing method according to an embodiment of the present disclosure. The method flow can comprise the following steps:
instep 201, the server obtains the push information and the user attribute information browsed by each user in a preset time threshold.
The preset time threshold may be 7 days, 14 days, 30 days, or the like, and the embodiment of the present application takes the preset time threshold as 7 days as an example for description, the server may obtain the push information and the user attribute information browsed by each user in 7 days to record, the user attribute information may be a user portrait including multidimensional data describing the user, such as gender data, age data, and city class data, the gender data may include male or female, the age data may include children, teenagers, middle years, or elderly people, and the city class data may include first-line, second-line, third-line, and fourth-line cities.
Instep 202, the server classifies based on each user attribute information, counts the push information corresponding to each user attribute information, and determines the total browsing amount and the push category of the push information in each user attribute information.
Different users have different user attribute information, and the closer the user attribute information among the different users, the higher the probability that the users have the same interests is, for example, the probability that different users whose gender data are male and age data are young and whose city grade data are same as a first-line city have the same interests is very high, so that in order to realize the subsequent information push for the users, classification can be performed based on each user attribute information, all push information corresponding to each user attribute information is counted, and the push information includes multidimensional data describing the push information, such as title data, label data, grade data, click rate data and reading time data. For example, the user attribute information of a first-line city, which is the statistical gender data of men and the age data of young people, and the city grade data of the first-line city, corresponds to all push information.
Further, the total number of views of all pushed information in the user attribute information of the city with gender data as male, age data as young and city grade data as the first line city is determined to be, for example, 1000 (times). The same push information belongs to the same push category, different push information has different push categories, and push categories corresponding to all push information in the user attribute information of the city with sex data as male, age data as young and city grade data as one line can be determined, for example, the push category is 10 (kinds). By analogy, the total browsing number and the push category of the push information in each user attribute information can be determined.
Instep 203, the server calculates a ratio between the total browsing number and the push category, determines a preset browsing threshold corresponding to each user attribute information according to the ratio, and determines the push information of which the browsing frequency is greater than the preset browsing threshold in each user attribute information as the target push information.
The preset browsing threshold is a critical value for defining whether a certain piece of push information in the user attribute information is hot push information, so that the server can calculate a ratio of the total browsing number 1000 to thepush category 10, and determine that the gender data is male, the age data is young, and the city grade data is 100 (times) of the preset browsing threshold corresponding to the user attribute information of the first-line city according to the ratio.
Further, the push information with the browsing times greater than a preset browsing threshold value 100 in the user attribute information of the city with the gender data as male and the age data as young and the city grade data as the first-line city is determined as target push information, and the target push information is hot push information in the user attribute information of the city with the gender data as male and the age data as young and the city grade data as the first-line city. By analogy, a preset browsing threshold corresponding to each user attribute information can be calculated, and the push information with the browsing times larger than the preset browsing threshold in each user attribute can be determined as the target push information.
Instep 204, the server obtains the user attribute information in the cold start state, matches the corresponding target push information according to the user attribute information, and determines the target push information as the information to be pushed.
As shown in fig. 4, when the user operates the information application in the terminal 10, the server needs to push the push information in which the user is interested to the terminal 10, and if the user is a newly registered user, that is, a user in a cold start state, and there is no historical browsing data, the server needs to obtain the user attribute information of the terminal 10 in the cold start state in real time in order to implement personalized recommendation, where the user attribute information may be derived and generated by acquiring the usual operating habits of the user for the terminal 10, for example, the user attribute information of the terminal 10 may be gender data of a male, age data of a young person, and city grade data of a city.
Further, the server performs matching according to the user attribute information that the gender data is male, the age data is young and the city grade data is a first-line city, obtains popular target push information under the user attribute information that the gender data is male, the age data is young and the city grade data is a first-line city, and determines the target push information as the information to be pushed.
Instep 205, the server obtains the user sample characteristics corresponding to the user sample attribute information, the push sample characteristics corresponding to the push sample information, and the real browsing time information.
The server can acquire a large number of user samples in advance, the user samples are generated when a user browses push information through the terminal, the user samples can include user sample attribute information of the user, browsed push sample information and real browsing time information, and the real browsing time information can be used as tag information.
Therefore, in order to realize subsequent machine learning, the user sample attribute information can be converted into user sample characteristics, and the user sample characteristics can contain multidimensional sub-characteristics, such as gender sub-characteristics, age sub-characteristics and city grade sub-characteristics; the pushed sample information is converted into pushed sample features, which may contain multi-dimensional sub-features such as title sub-features, label sub-features, level sub-features, click-through rate sub-features, and read time sub-features.
Instep 206, the server inputs the user sample feature and the pushed sample feature into a deep neural network model layer and a factorization machine layer in a preset model, and outputs a one-dimensional correlation feature and a two-dimensional cross feature.
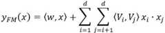
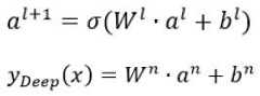
The preset model may be a deep fm model, the deep fm includes a deep neural network model layer and a factorization machine layer, the deep neural network layer is configured to obtain a one-dimensional association and a connection between the user sample feature and the pushed sample feature, and the one-dimensional association and the connection may be shown in the following formula:
Figure 266339DEST_PATH_IMAGE001
the
Figure 714637DEST_PATH_IMAGE002
Representing the feature x formed after the concatenation between the user sample feature and the pushed sample feature,
Figure 25533DEST_PATH_IMAGE003
represents the ith layer matrix weight, and σ represents the nonlinear network layer, typically the Relu layer
Figure 951901DEST_PATH_IMAGE004
Represents a bias weight of
Figure 48164DEST_PATH_IMAGE005
Representing the one-dimensional correlation characteristic, and finally outputting the one-dimensional correlation characteristic after the multi-layer neural network processing through the formula.
The factorization layer is configured to calculate information of two-dimensional intersection between a user sample feature and a pushed sample feature, and may specifically refer to the following formula:
Figure 401785DEST_PATH_IMAGE006
the
Figure 934397DEST_PATH_IMAGE007
A first-order matrix feature representing a feature x, a one-dimensional sub-feature of each behavior user sample feature in the feature x and a one-dimensional sub-feature of the push sample feature, the
Figure 664456DEST_PATH_IMAGE008
Represents the dot product between each dimension of the sub-feature, the
Figure 864493DEST_PATH_IMAGE009
Represents a weight of
Figure 405327DEST_PATH_IMAGE010
Representing two-dimensional cross features, and the factorization layer can obtain the two-dimensional cross features through the formula.
Instep 207, the server jointly inputs the one-dimensional correlation feature and the two-dimensional cross feature to the activation function layer to obtain the predicted browsing time information.
The server constructs an output layer by combining the deep neural network layer and the factorization layer, and please refer to the following formula:
Figure 425236DEST_PATH_IMAGE011
the
Figure 693406DEST_PATH_IMAGE012
Namely, the predicted browsing time information is obtained by performing joint processing on the one-dimensional correlation characteristic and the two-dimensional cross characteristic through a sigmoid function.
Instep 208, the server iteratively trains the first network parameter in the deep neural network model layer and the second network parameter in the factorization layer according to the comparison between the predicted browsing time information and the actual browsing time information to obtain a trained preset model.
In the actual training process, a difference is inevitably generated between the predicted browsing time information and the real browsing time information, the smaller the difference is, the more accurate the prediction capability of the preset model is, and the larger the difference is, the weaker the prediction capability of the preset model is. Therefore, in order to make the prediction capability of the preset model as accurate as possible, it is necessary to back-propagate the first network parameter in the deep neural network layer in the preset model according to the difference
Figure 747950DEST_PATH_IMAGE013
And a second network parameter in the factoring layer
Figure 456755DEST_PATH_IMAGE014
And continuously adjusting until the difference between the predicted browsing time information and the label information output by the preset model is converged, and obtaining the trained preset model after the preset model is trained.
Instep 209, the server determines the user characteristics according to the attribute distribution in the user attribute information, determines the characteristics to be pushed according to the information distribution in the information to be pushed, inputs the user characteristics and the characteristics to be pushed to the deep neural network model layer and the factorization machine layer in the trained preset model, outputs the one-dimensional target association characteristics and the two-dimensional target cross characteristics, and jointly inputs the one-dimensional target association characteristics and the two-dimensional target cross characteristics to the activation function layer to obtain the target browsing time information corresponding to each piece of information to be pushed.
After the trained preset model is obtained, the server may convert the current user attribute information of theoperation terminal 10 into user characteristics, convert a plurality of pieces of information to be pushed into a plurality of pieces of characteristics to be pushed, and sequentially output the user characteristics and each piece of pushed characteristic to a deep neural network model layer and a factor decomposition layer in the trained preset model to obtain one-dimensional target associated characteristics
Figure 229539DEST_PATH_IMAGE015
And two-dimensional object intersection features
Figure 770242DEST_PATH_IMAGE016
Associating the one-dimensional object with the feature
Figure 944871DEST_PATH_IMAGE015
And two-dimensional object intersection features
Figure 545617DEST_PATH_IMAGE016
And jointly inputting the information to an activation function layer (namely, a sigmoid function) to obtain target browsing time information corresponding to each piece of information to be pushed.
Instep 210, the server obtains a difference between the release time and the current time of each piece of information to be pushed, performs weighting processing on each piece of target browsing time information according to the difference, performs sorting processing on the pieces of information to be pushed according to the sequence of the weighted pieces of target browsing time information from high to low, and selects a preset number of pieces of target pushing information according to the sorting sequence to perform information pushing.
The larger the target browsing time information is, the more interesting the user is to the information to be pushed, and the smaller the target browsing time information is, the less interesting the user is to the information to be pushed. In this embodiment of the application, in order to ensure real-time performance of information, newly-issued information to be pushed needs to be pushed preferentially, and in order to achieve the above effect, the server may obtain an issuing time and a current time of each information to be pushed, where the issuing time is a time when the information to be pushed is issued on the network by an issuer, for example, 3/5/2021, and the current time is a current date of a system in the server, for example, 3/8/2021, and obtain a difference value between the issuing time of each information to be pushed and the current time, where a unit of the difference value may be a day, for example, 3 days, 13 days, or 130 days.
Further, time ranges can be set, for example, in a 7-day range, a 30-day range and a 100-day range, each time range is given different weights, the smaller the time range is given the greater weight, the larger the time range is given the smaller weight, for example, in the 7-day range, the weight 3 can be given, in the 30-day range, the weight 2 can be given, and in the 100-day range, the weight 1 can be given, so that the time range corresponding to each difference value and the corresponding weight are determined, weighting of each target browsing time information is realized, the probability of being pushed of the information to be pushed which is closer to the current time is correspondingly improved, and the real-time performance of the information is ensured.
Based on this, please continue to refer to fig. 4, the server performs sorting processing on the to-be-pushed information according to the weighted target browsing time information in the descending order, selects the 3 target pushing information in which the users are most interested according to the sorting order, pushes the 3 target pushing information to the terminal 10, and the terminal 10 sequentially displays the 3 target pushing information on the recommendation interface. The accuracy of information push is further improved on the basis of realizing the personalized information push of the newly registered user.
As can be seen from the above, in the embodiment of the present application, the user attribute information in the cold start state is acquired; determining a push information set corresponding to the user attribute information in the historical browsing record, and selecting push information with browsing times larger than a preset browsing threshold value from the push information set as information to be pushed; extracting one-dimensional target association characteristics of user attribute information and information to be pushed in a nonlinear processing dimension and two-dimensional target cross characteristics in a implicit processing dimension; predicting by combining the one-dimensional target correlation characteristic and the two-dimensional target cross characteristic to obtain target browsing time information corresponding to each piece of information to be pushed; and selecting a preset number of target information to be pushed to carry out information pushing based on the sequence of the target browsing time information from high to low. Therefore, the personalized information to be pushed can be screened out according to the user attribute information in the cold start state, the user attribute information and the one-dimensional correlation characteristic and the two-dimensional cross characteristic of the information to be pushed can be further extracted for joint prediction, the target browsing time information corresponding to each piece of information to be pushed is obtained, a preset number of pieces of target information to be pushed are selected for pushing based on the sequence of the target browsing time information from high to low, compared with the existing scheme that personalized information pushing of a new user cannot be achieved, personalized information screening can be conducted according to the user portrait, the target information to be pushed with longer browsing time is selected from the predicted pushed information for accurate pushing, and the accuracy of information pushing is greatly improved.
Further, please refer to the following table together:
model (model)Browsing time (seconds)
Push information push of hot door4.48
Similar user attribute information push9.78
Push (deep FM) of the embodiment of the present application10.13
The inventor experiments show that compared with the scheme of popular push information push and similar user attribute information push, the method and the device for pushing the new user attribute information obviously improve the effect of pushing the new user attribute information, greatly improve the browsing time and improve the accuracy of information push.
In order to better implement the information pushing method provided by the embodiment of the present application, an embodiment of the present application further provides a device based on the information pushing method. The meanings of the terms are the same as those in the information pushing method, and specific implementation details can refer to the description in the method embodiment.
Referring to fig. 5, fig. 5 is a schematic structural diagram of an information pushing apparatus according to an embodiment of the present disclosure, where the information pushing apparatus may include an obtainingunit 301, a determiningunit 302, an extractingunit 303, a predictingunit 304, and a pushingunit 305.
An obtainingunit 301, configured to obtain user attribute information in a cold start state.
In some embodiments, the apparatus further includes a push determining unit configured to:
acquiring push information and user attribute information browsed by each user in a preset time threshold;
classifying based on each user attribute information, and counting push information corresponding to each user attribute information;
and determining the push information with the browsing times larger than a preset browsing threshold value in each user attribute information as target push information.
In some embodiments, the apparatus further comprises a threshold determination unit configured to:
determining the total browsing number and the pushing type of the pushed information in each user attribute information;
calculating the ratio of the total browsing number to the pushing type;
and determining a preset browsing threshold corresponding to each user attribute information according to the ratio.
The determiningunit 302 is configured to determine a push information set corresponding to the user attribute information in the historical browsing record, and select, from the push information set, push information with browsing times greater than a preset browsing threshold as information to be pushed.
In some embodiments, the determiningunit 302 is configured to:
matching corresponding target push information according to the user attribute information;
and determining the target push information as the information to be pushed.
The extractingunit 303 is configured to extract a one-dimensional target association feature of the user attribute information and the information to be pushed in a non-linear processing dimension and a two-dimensional target cross feature in a implicit processing dimension.
In some embodiments, the apparatus further comprises a training unit for:
acquiring user sample characteristics corresponding to the user sample attribute information, push sample characteristics corresponding to the push sample information and real browsing time information;
inputting the user sample characteristics and the push sample characteristics into a deep neural network model layer and a factorization machine layer in a preset model, and outputting one-dimensional correlation characteristics and two-dimensional cross characteristics;
jointly inputting the one-dimensional correlation characteristic and the two-dimensional cross characteristic to an activation function layer to obtain predicted browsing time information;
and performing iterative training on the first network parameter in the deep neural network model layer and the second network parameter in the factorization layer according to the comparison between the predicted browsing time information and the real browsing time information to obtain a trained preset model.
In some embodiments, the extractingunit 303 is configured to:
determining user characteristics according to attribute distribution in the user attribute information;
determining the characteristics to be pushed according to the information distribution in the information to be pushed;
inputting the user characteristic and the characteristic to be pushed into a deep neural network model layer and a factorization machine layer in a trained preset model, and outputting a one-dimensional target correlation characteristic and a two-dimensional target cross characteristic.
Theprediction unit 304 is configured to perform prediction by combining the one-dimensional target association feature and the two-dimensional target cross feature, so as to obtain target browsing time information corresponding to each piece of information to be pushed.
The prediction unit is configured to: and jointly inputting the one-dimensional target correlation characteristic and the two-dimensional target cross characteristic into an activation function layer to obtain target browsing time information corresponding to each piece of information to be pushed.
The pushingunit 305 is configured to select a preset number of pieces of target information to be pushed to perform information pushing based on the target browsing time information in a descending order.
In some embodiments, the pushingunit 305 includes:
the sorting subunit is configured to sort the information to be pushed based on a sequence of the target browsing time information from high to low;
and the pushing subunit is used for selecting a preset number of target pushing information according to the sorting sequence to carry out information pushing.
In some embodiments, the push subunit is configured to:
acquiring a difference value between the release time and the current time of each message to be pushed;
weighting each target browsing time information according to the difference;
and sequencing the information to be pushed according to the sequence of the weighted target browsing time information from high to low.
The specific implementation of each unit can refer to the previous embodiment, and is not described herein again.
As can be seen from the above, in the embodiment of the present application, the obtainingunit 301 obtains the user attribute information in the cold start state; the determiningunit 302 determines a push information set corresponding to the user attribute information in the historical browsing record, and selects push information with browsing times greater than a preset browsing threshold value from the push information set as information to be pushed; the extractingunit 303 extracts a one-dimensional target association feature of the user attribute information and the information to be pushed in a nonlinear processing dimension and a two-dimensional target cross feature in a implicit processing dimension; theprediction unit 304 performs prediction by combining the one-dimensional target correlation characteristic and the two-dimensional target cross characteristic to obtain target browsing time information corresponding to each piece of information to be pushed; the pushingunit 305 selects a preset number of pieces of target information to be pushed to perform information pushing based on the target browsing time information in a descending order. Therefore, the personalized information to be pushed can be screened out according to the user attribute information in the cold start state, the user attribute information and the one-dimensional correlation characteristic and the two-dimensional cross characteristic of the information to be pushed can be further extracted for joint prediction, the target browsing time information corresponding to each piece of information to be pushed is obtained, a preset number of pieces of target information to be pushed are selected for pushing based on the sequence of the target browsing time information from high to low, compared with the existing scheme that personalized information pushing of a new user cannot be achieved, personalized information screening can be conducted according to the user portrait, the target information to be pushed with longer browsing time is selected from the predicted pushed information for accurate pushing, and the accuracy of information pushing is greatly improved.
The embodiment of the present application further provides a computer device, where the computer device may be a server, as shown in fig. 6, which shows a schematic structural diagram of a server according to the embodiment of the present application, and specifically:
the computer device may include components such as aprocessor 401 of one or more processing cores,memory 402 of one or more computer-readable storage media, apower supply 403, and aninput unit 404. Those skilled in the art will appreciate that the computer device configuration illustrated in FIG. 6 does not constitute a limitation of computer devices, and may include more or fewer components than those illustrated, or some components may be combined, or a different arrangement of components. Wherein:
theprocessor 401 is a control center of the computer device, connects various parts of the entire computer device using various interfaces and lines, and performs various functions of the computer device and processes data by running or executing software programs and/or modules stored in thememory 402 and calling data stored in thememory 402, thereby monitoring the computer device as a whole. Optionally,processor 401 may include one or more processing cores; optionally, theprocessor 401 may integrate an application processor and a modem processor, wherein the application processor mainly handles operating systems, user interfaces, application programs, and the like, and the modem processor mainly handles wireless communications. It will be appreciated that the modem processor described above may not be integrated into theprocessor 401.
Thememory 402 may be used to store software programs and modules, and theprocessor 401 executes various functional applications and data processing by operating the software programs and modules stored in thememory 402. Thememory 402 may mainly include a program storage area and a data storage area, wherein the program storage area may store an operating system, an application program required by at least one function (such as a sound playing function, an image playing function, etc.), and the like; the storage data area may store data created according to the use of the server, and the like. Further, thememory 402 may include high speed random access memory, and may also include non-volatile memory, such as at least one magnetic disk storage device, flash memory device, or other volatile solid state storage device. Accordingly, thememory 402 may also include a memory controller to provide theprocessor 401 access to thememory 402.
The computer device further comprises apower supply 403 for supplying power to the respective components, and optionally, thepower supply 403 may be logically connected to theprocessor 401 through a power management system, so that functions of managing charging, discharging, power consumption, and the like are implemented through the power management system. Thepower supply 403 may also include any component of one or more dc or ac power sources, recharging systems, power failure detection circuitry, power converters or inverters, power status indicators, and the like.
The computer device may also include aninput unit 404, whichinput unit 404 may be used to receive input numeric or character information and generate keyboard, mouse, joystick, optical or trackball signal inputs related to user settings and function control.
Although not shown, the computer device may further include a display unit and the like, which are not described in detail herein. Specifically, in this embodiment, theprocessor 401 in the computer device loads the executable file corresponding to the process of one or more application programs into thememory 402 according to the following instructions, and theprocessor 401 runs the application program stored in thememory 402, so as to implement the various method steps provided by the foregoing embodiments, as follows:
acquiring user attribute information in a cold start state; determining a push information set corresponding to the user attribute information in the historical browsing record, and selecting push information with browsing times larger than a preset browsing threshold value from the push information set as information to be pushed; extracting one-dimensional target correlation characteristics of the user attribute information and the information to be pushed in a nonlinear processing dimension and two-dimensional target cross characteristics in a implicit processing dimension; predicting by combining the one-dimensional target correlation characteristic and the two-dimensional target cross characteristic to obtain target browsing time information corresponding to each piece of information to be pushed; and selecting a preset number of target information to be pushed to carry out information pushing based on the sequence of the target browsing time information from high to low.
In the above embodiments, the descriptions of the embodiments have respective emphasis, and parts that are not described in detail in a certain embodiment may refer to the above detailed description of the information pushing method, and are not described herein again.
As can be seen from the above, the computer device according to the embodiment of the present application can obtain the user attribute information in the cold start state; determining a push information set corresponding to the user attribute information in the historical browsing record, and selecting push information with browsing times larger than a preset browsing threshold value from the push information set as information to be pushed; extracting one-dimensional target association characteristics of user attribute information and information to be pushed in a nonlinear processing dimension and two-dimensional target cross characteristics in a implicit processing dimension; predicting by combining the one-dimensional target correlation characteristic and the two-dimensional target cross characteristic to obtain target browsing time information corresponding to each piece of information to be pushed; and selecting a preset number of target information to be pushed to carry out information pushing based on the sequence of the target browsing time information from high to low. Therefore, the personalized information to be pushed can be screened out according to the user attribute information in the cold start state, the user attribute information and the one-dimensional correlation characteristic and the two-dimensional cross characteristic of the information to be pushed can be further extracted for joint prediction, the target browsing time information corresponding to each piece of information to be pushed is obtained, a preset number of pieces of target information to be pushed are selected for pushing based on the sequence of the target browsing time information from high to low, compared with the existing scheme that personalized information pushing of a new user cannot be achieved, personalized information screening can be conducted according to the user portrait, the target information to be pushed with longer browsing time is selected from the predicted pushed information for accurate pushing, and the accuracy of information pushing is greatly improved.
It will be understood by those skilled in the art that all or part of the steps of the methods of the above embodiments may be performed by instructions or by associated hardware controlled by the instructions, which may be stored in a computer readable storage medium and loaded and executed by a processor.
To this end, the present application provides a computer-readable storage medium, in which a plurality of instructions are stored, where the instructions can be loaded by a processor to execute the steps in any one of the information pushing methods provided in the present application. For example, the instructions may perform the steps of:
acquiring user attribute information in a cold start state; determining a push information set corresponding to the user attribute information in the historical browsing record, and selecting push information with browsing times larger than a preset browsing threshold value from the push information set as information to be pushed; extracting one-dimensional target correlation characteristics of the user attribute information and the information to be pushed in a nonlinear processing dimension and two-dimensional target cross characteristics in a implicit processing dimension; predicting by combining the one-dimensional target correlation characteristic and the two-dimensional target cross characteristic to obtain target browsing time information corresponding to each piece of information to be pushed; and selecting a preset number of target information to be pushed to carry out information pushing based on the sequence of the target browsing time information from high to low.
According to an aspect of the application, a computer program product or computer program is provided, comprising computer instructions, the computer instructions being stored in a computer readable storage medium. The processor of the computer device reads the computer instructions from the computer-readable storage medium, and the processor executes the computer instructions to cause the computer device to perform the method provided in the various alternative implementations provided by the embodiments described above.
The above operations can be implemented in the foregoing embodiments, and are not described in detail herein.
Wherein the computer-readable storage medium may include: read Only Memory (ROM), Random Access Memory (RAM), magnetic or optical disks, and the like.
Since the instructions stored in the computer-readable storage medium can execute the steps in any information push method provided in the embodiments of the present application, beneficial effects that can be achieved by any information push method provided in the embodiments of the present application can be achieved, for details, see the foregoing embodiments, and are not described herein again.
The above detailed description is provided for an information pushing method, an information pushing apparatus, and a computer-readable storage medium, and a specific example is applied in the present disclosure to explain the principle and the implementation of the present disclosure, and the description of the above embodiment is only used to help understand the method and the core idea of the present disclosure; meanwhile, for those skilled in the art, according to the idea of the present application, there may be variations in the specific embodiments and the application scope, and in summary, the content of the present specification should not be construed as a limitation to the present application.

Claims (15)

1. An information pushing method, comprising:
acquiring user attribute information in a cold start state;
determining a push information set corresponding to the user attribute information in a historical browsing record, and selecting push information with browsing times larger than a preset browsing threshold value from the push information set as information to be pushed;
extracting one-dimensional target association features of the user attribute information and the information to be pushed in a nonlinear processing dimension and two-dimensional target cross features in a implicit processing dimension;
predicting by combining the one-dimensional target correlation characteristic and the two-dimensional target cross characteristic to obtain target browsing time information corresponding to each piece of information to be pushed;
and selecting a preset number of target information to be pushed to carry out information pushing based on the sequence of the target browsing time information from high to low.
2. The information push method according to claim 1, wherein the step of extracting the one-dimensional target-associated feature of the user attribute information and the information to be pushed in a non-linear processing dimension and the two-dimensional target-intersecting feature in an implicit processing dimension is preceded by the step of:
acquiring user sample characteristics corresponding to the user sample attribute information, push sample characteristics corresponding to the push sample information and real browsing time information;
inputting the user sample characteristics and the push sample characteristics into a deep neural network model layer and a factorization machine layer in a preset model, and outputting one-dimensional correlation characteristics and two-dimensional cross characteristics;
jointly inputting the one-dimensional correlation characteristics and the two-dimensional cross characteristics to an activation function layer to obtain predicted browsing time information;
and performing iterative training on the first network parameter in the deep neural network model layer and the second network parameter in the factorization layer according to the comparison between the predicted browsing time information and the real browsing time information to obtain a trained preset model.
3. The information push method according to claim 1 or 2, wherein the step of extracting the one-dimensional target association feature in a non-linear processing dimension and the two-dimensional target cross feature in an implicit processing dimension of the user attribute information and the information to be pushed comprises:
determining user characteristics according to attribute distribution in the user attribute information;
determining the characteristics to be pushed according to the information distribution in the information to be pushed;
inputting the user characteristics and the characteristics to be pushed into a deep neural network model layer and a factorization machine layer in a trained preset model, and outputting one-dimensional target correlation characteristics and two-dimensional target cross characteristics;
the step of predicting by combining the one-dimensional target correlation characteristic and the two-dimensional target cross characteristic to obtain target browsing time information corresponding to each information to be pushed comprises the following steps:
and jointly inputting the one-dimensional target correlation characteristic and the two-dimensional target cross characteristic into an activation function layer to obtain target browsing time information corresponding to each piece of information to be pushed.
4. The information pushing method according to claim 1, wherein the step of obtaining the user attribute information in the cold start state is preceded by:
acquiring push information and user attribute information browsed by each user in a preset time threshold;
classifying based on each user attribute information, and counting push information corresponding to each user attribute information;
and determining the push information with the browsing times larger than a preset browsing threshold value in each user attribute information as target push information.
5. The information push method according to claim 4, wherein before the step of determining the push information with the browsing times greater than a preset browsing threshold in each user attribute information as the target push information, the method further comprises:
determining the total browsing number and the pushing type of the pushed information in each user attribute information;
calculating the ratio of the total browsing number to the pushing category;
and determining a preset browsing threshold corresponding to each user attribute information according to the ratio.
6. The information push method according to claim 4, wherein the step of determining a push information set corresponding to the user attribute information in the history browsing record, and selecting push information with browsing times greater than a preset browsing threshold value from the push information set as the information to be pushed comprises:
matching corresponding target push information according to the user attribute information;
and determining the target push information as the information to be pushed.
7. The information pushing method according to claim 1, wherein the step of selecting a preset number of pieces of target information to be pushed to push based on the target browsing time information in a descending order comprises:
sequencing the information to be pushed based on the sequence of the target browsing time information from high to low;
and selecting a preset number of target push information according to the sorting sequence to carry out information push.
8. The information pushing method according to claim 7, wherein the step of sorting the information to be pushed based on the order of the target browsing time information from high to low comprises:
acquiring a difference value between the release time and the current time of each message to be pushed;
weighting each target browsing time information according to the difference;
and sequencing the information to be pushed according to the sequence of the weighted target browsing time information from high to low.
9. An information pushing apparatus, comprising:
an acquisition unit configured to acquire user attribute information in a cold start state;
the determining unit is used for determining a push information set corresponding to the user attribute information in the historical browsing record, and selecting push information with browsing times larger than a preset browsing threshold value from the push information set as information to be pushed;
the extraction unit is used for extracting one-dimensional target association characteristics of the user attribute information and the information to be pushed in a nonlinear processing dimension and two-dimensional target cross characteristics in a implicit processing dimension;
the prediction unit is used for predicting by combining the one-dimensional target correlation characteristic and the two-dimensional target cross characteristic to obtain target browsing time information corresponding to each piece of information to be pushed;
and the pushing unit is used for selecting a preset number of pieces of target information to be pushed to carry out information pushing based on the sequence of the target browsing time information from high to low.
10. The information pushing apparatus according to claim 9, further comprising a training unit configured to:
acquiring user sample characteristics corresponding to the user sample attribute information, push sample characteristics corresponding to the push sample information and real browsing time information;
inputting the user sample characteristics and the push sample characteristics into a deep neural network model layer and a factorization machine layer in a preset model, and outputting one-dimensional correlation characteristics and two-dimensional cross characteristics;
jointly inputting the one-dimensional correlation characteristics and the two-dimensional cross characteristics to an activation function layer to obtain predicted browsing time information;
and performing iterative training on the first network parameter in the deep neural network model layer and the second network parameter in the factorization layer according to the comparison between the predicted browsing time information and the real browsing time information to obtain a trained preset model.
11. The information pushing apparatus according to claim 9 or 10, wherein the extracting unit is configured to:
determining user characteristics according to attribute distribution in the user attribute information;
determining the characteristics to be pushed according to the information distribution in the information to be pushed;
inputting the user characteristics and the characteristics to be pushed into a deep neural network model layer and a factorization machine layer in a trained preset model, and outputting one-dimensional target correlation characteristics and two-dimensional target cross characteristics;
the prediction unit is configured to:
and jointly inputting the one-dimensional target correlation characteristic and the two-dimensional target cross characteristic into an activation function layer to obtain target browsing time information corresponding to each piece of information to be pushed.
12. The information pushing apparatus according to claim 9, further comprising a pushing determination unit configured to:
acquiring push information and user attribute information browsed by each user in a preset time threshold;
classifying based on each user attribute information, and counting push information corresponding to each user attribute information;
and determining the push information with the browsing times larger than a preset browsing threshold value in each user attribute information as target push information.
13. The information pushing apparatus according to claim 12, further comprising a threshold determination unit configured to:
determining the total browsing number and the pushing type of the pushed information in each user attribute information;
calculating the ratio of the total browsing number to the pushing category;
and determining a preset browsing threshold corresponding to each user attribute information according to the ratio.
14. A computer-readable storage medium, characterized in that the computer-readable storage medium stores a plurality of instructions, which are suitable for being loaded by a processor to execute the steps in the information pushing method according to any one of claims 1 to 8.
15. A computer device comprising a memory, a processor and a computer program stored in the memory and executable on the processor, wherein the processor implements the steps of the information pushing method according to any one of claims 1 to 8 when executing the computer program.
CN202110387445.XA2021-04-122021-04-12Information pushing method and device and computer readable storage mediumActiveCN112765480B (en)

Priority Applications (1)

Application NumberPriority DateFiling DateTitle
CN202110387445.XACN112765480B (en)2021-04-122021-04-12Information pushing method and device and computer readable storage medium

Applications Claiming Priority (1)

Application NumberPriority DateFiling DateTitle
CN202110387445.XACN112765480B (en)2021-04-122021-04-12Information pushing method and device and computer readable storage medium

Publications (2)

Publication NumberPublication Date
CN112765480Atrue CN112765480A (en)2021-05-07
CN112765480B CN112765480B (en)2021-06-18

Family

ID=75691429

Family Applications (1)

Application NumberTitlePriority DateFiling Date
CN202110387445.XAActiveCN112765480B (en)2021-04-122021-04-12Information pushing method and device and computer readable storage medium

Country Status (1)

CountryLink
CN (1)CN112765480B (en)

Cited By (15)

* Cited by examiner, † Cited by third party
Publication numberPriority datePublication dateAssigneeTitle
CN113255815A (en)*2021-06-102021-08-13平安科技(深圳)有限公司User behavior abnormity analysis method, device, equipment and storage medium
CN113672803A (en)*2021-08-022021-11-19杭州网易云音乐科技有限公司 Recommended method, apparatus, computing device and storage medium
CN114020995A (en)*2021-09-182022-02-08北京百度网讯科技有限公司Artificial intelligence based recall method and device, electronic equipment and storage medium
CN114117089A (en)*2022-01-252022-03-01广州拟实网络科技有限公司Intelligent information pushing management system based on image data processing and analyzing
CN114202377A (en)*2021-11-172022-03-18北京橙色云科技有限公司Product pushing method and device and storage medium
CN114707041A (en)*2022-04-112022-07-05中国电信股份有限公司Message recommendation method and device, computer readable medium and electronic device
CN114780853A (en)*2022-04-292022-07-22北京沃东天骏信息技术有限公司 An information determination method, apparatus, device, and computer-readable storage medium
CN114969486A (en)*2022-08-022022-08-30平安科技(深圳)有限公司Corpus recommendation method, apparatus, device and storage medium
CN115345403A (en)*2021-05-142022-11-15腾讯科技(深圳)有限公司Content pushing method and device, computer equipment and storage medium
CN115344779A (en)*2022-08-022022-11-15青岛创智融信数字科技集团有限公司Data pushing method and system for smart life
CN115883928A (en)*2023-03-082023-03-31深圳市诚识科技有限公司Information push method and system for live broadcast social big data
CN116319976A (en)*2023-02-242023-06-23百度在线网络技术(北京)有限公司 Method, device, electronic device and medium for obtaining push content
CN116401460A (en)*2023-04-232023-07-07中航信移动科技有限公司Method for improving information push accuracy, storage medium and electronic equipment
CN116701760A (en)*2023-06-082023-09-05浪潮云信息技术股份公司Non-privacy data acquisition and message pushing method and system
CN118964722A (en)*2024-07-102024-11-15北京大学 An interdisciplinary information interaction method, device, medium and program product

Citations (6)

* Cited by examiner, † Cited by third party
Publication numberPriority datePublication dateAssigneeTitle
CN103914783A (en)*2014-04-132014-07-09北京工业大学E-commerce website recommending method based on similarity of users
CN108153792A (en)*2016-12-022018-06-12阿里巴巴集团控股有限公司A kind of data processing method and relevant apparatus
CN109934369A (en)*2017-12-152019-06-25北京京东尚科信息技术有限公司Method and device for information push
CN110149541A (en)*2019-04-232019-08-20腾讯科技(深圳)有限公司Video recommendation method, device, computer equipment and storage medium
CN110263243A (en)*2019-01-232019-09-20腾讯科技(深圳)有限公司Media information recommending method, apparatus, storage medium and computer equipment
CN111858915A (en)*2020-08-072020-10-30成都理工大学 Information recommendation method and system based on tag similarity

Patent Citations (6)

* Cited by examiner, † Cited by third party
Publication numberPriority datePublication dateAssigneeTitle
CN103914783A (en)*2014-04-132014-07-09北京工业大学E-commerce website recommending method based on similarity of users
CN108153792A (en)*2016-12-022018-06-12阿里巴巴集团控股有限公司A kind of data processing method and relevant apparatus
CN109934369A (en)*2017-12-152019-06-25北京京东尚科信息技术有限公司Method and device for information push
CN110263243A (en)*2019-01-232019-09-20腾讯科技(深圳)有限公司Media information recommending method, apparatus, storage medium and computer equipment
CN110149541A (en)*2019-04-232019-08-20腾讯科技(深圳)有限公司Video recommendation method, device, computer equipment and storage medium
CN111858915A (en)*2020-08-072020-10-30成都理工大学 Information recommendation method and system based on tag similarity

Cited By (23)

* Cited by examiner, † Cited by third party
Publication numberPriority datePublication dateAssigneeTitle
CN115345403A (en)*2021-05-142022-11-15腾讯科技(深圳)有限公司Content pushing method and device, computer equipment and storage medium
CN115345403B (en)*2021-05-142025-08-22腾讯科技(深圳)有限公司 Method, device, computer equipment and storage medium for pushing content
CN113255815A (en)*2021-06-102021-08-13平安科技(深圳)有限公司User behavior abnormity analysis method, device, equipment and storage medium
WO2022257459A1 (en)*2021-06-102022-12-15平安科技(深圳)有限公司User behavior anomaly analysis method and apparatus, device, and storage medium
CN113672803A (en)*2021-08-022021-11-19杭州网易云音乐科技有限公司 Recommended method, apparatus, computing device and storage medium
CN114020995A (en)*2021-09-182022-02-08北京百度网讯科技有限公司Artificial intelligence based recall method and device, electronic equipment and storage medium
CN114202377A (en)*2021-11-172022-03-18北京橙色云科技有限公司Product pushing method and device and storage medium
CN114117089B (en)*2022-01-252022-04-08广州拟实网络科技有限公司Intelligent information pushing management system based on image data processing and analyzing
CN114117089A (en)*2022-01-252022-03-01广州拟实网络科技有限公司Intelligent information pushing management system based on image data processing and analyzing
CN114707041B (en)*2022-04-112023-12-01中国电信股份有限公司Message recommendation method and device, computer readable medium and electronic equipment
CN114707041A (en)*2022-04-112022-07-05中国电信股份有限公司Message recommendation method and device, computer readable medium and electronic device
CN114780853A (en)*2022-04-292022-07-22北京沃东天骏信息技术有限公司 An information determination method, apparatus, device, and computer-readable storage medium
CN114780853B (en)*2022-04-292025-07-18北京沃东天骏信息技术有限公司Information determination method, apparatus, device and computer readable storage medium
CN114969486B (en)*2022-08-022022-11-04平安科技(深圳)有限公司Corpus recommendation method, apparatus, device and storage medium
CN115344779A (en)*2022-08-022022-11-15青岛创智融信数字科技集团有限公司Data pushing method and system for smart life
CN114969486A (en)*2022-08-022022-08-30平安科技(深圳)有限公司Corpus recommendation method, apparatus, device and storage medium
CN116319976A (en)*2023-02-242023-06-23百度在线网络技术(北京)有限公司 Method, device, electronic device and medium for obtaining push content
CN115883928B (en)*2023-03-082023-05-05深圳市诚识科技有限公司Information pushing method and system for live social big data
CN115883928A (en)*2023-03-082023-03-31深圳市诚识科技有限公司Information push method and system for live broadcast social big data
CN116401460B (en)*2023-04-232024-04-05中航信移动科技有限公司 A method for improving accuracy of information push, storage medium and electronic device
CN116401460A (en)*2023-04-232023-07-07中航信移动科技有限公司Method for improving information push accuracy, storage medium and electronic equipment
CN116701760A (en)*2023-06-082023-09-05浪潮云信息技术股份公司Non-privacy data acquisition and message pushing method and system
CN118964722A (en)*2024-07-102024-11-15北京大学 An interdisciplinary information interaction method, device, medium and program product

Also Published As

Publication numberPublication date
CN112765480B (en)2021-06-18

Similar Documents

PublicationPublication DateTitle
CN112765480B (en)Information pushing method and device and computer readable storage medium
CN111177575B (en) A content recommendation method, apparatus, electronic device and storage medium
CN116010684A (en)Article recommendation method, device and storage medium
CN111859149A (en) Information recommendation method, device, electronic device and storage medium
CN114202061A (en)Article recommendation method, electronic device and medium based on generation of confrontation network model and deep reinforcement learning
CN111382361A (en)Information pushing method and device, storage medium and computer equipment
CN114491247A (en)Recommendation method based on knowledge graph and long-term and short-term interests of user
CN110263257A (en)Multi-source heterogeneous data mixing recommended models based on deep learning
Xu et al.Personalized Product Recommendation Method for Analyzing User Behavior Using DeepFM.
CN112749330A (en)Information pushing method and device, computer equipment and storage medium
CN111177559A (en)Text travel service recommendation method and device, electronic equipment and storage medium
CN115221396A (en) Information recommendation method, device and electronic device based on artificial intelligence
HuNonadditive similarity-based single-layer perceptron for multi-criteria collaborative filtering
US9875443B2 (en)Unified attractiveness prediction framework based on content impact factor
CN117216362A (en)Content recommendation method, device, apparatus, medium and program product
SunMusic individualization recommendation system based on big data analysis
GaoRetracted Article: The application of artificial neural network in watch modeling design with network community media
CN119377488B (en) A book retrieval method and system based on big data
CN112785328B (en) Content push method, device and computer storage medium
Cao et al.Fuzzy emotional semantic analysis and automated annotation of scene images
CN114298118B (en)Data processing method based on deep learning, related equipment and storage medium
HK40044527A (en)Information pushing method and apparatus, and computer readable storage medium
HK40044527B (en)Information pushing method and apparatus, and computer readable storage medium
CN116975422A (en)Push information processing method, push information processing device, computer equipment and storage medium
CN115630996A (en)User crowd spreading method and related equipment

Legal Events

DateCodeTitleDescription
PB01Publication
PB01Publication
SE01Entry into force of request for substantive examination
SE01Entry into force of request for substantive examination
GR01Patent grant
GR01Patent grant
REGReference to a national code

Ref country code:HK

Ref legal event code:DE

Ref document number:40044527

Country of ref document:HK


[8]ページ先頭

©2009-2025 Movatter.jp