Movatterモバイル変換


[0]ホーム

URL:


CN112760151A - Biodegradable lubricating grease composition and preparation method thereof - Google Patents

Biodegradable lubricating grease composition and preparation method thereof
Download PDF

Info

Publication number
CN112760151A
CN112760151ACN201911000961.1ACN201911000961ACN112760151ACN 112760151 ACN112760151 ACN 112760151ACN 201911000961 ACN201911000961 ACN 201911000961ACN 112760151 ACN112760151 ACN 112760151A
Authority
CN
China
Prior art keywords
grease composition
reaction
base oil
preparation
lubricating
Prior art date
Legal status (The legal status is an assumption and is not a legal conclusion. Google has not performed a legal analysis and makes no representation as to the accuracy of the status listed.)
Granted
Application number
CN201911000961.1A
Other languages
Chinese (zh)
Other versions
CN112760151B (en
Inventor
庄敏阳
刘伟
郑会
刘大军
李朝宇
陈靖
刘欣阳
孙洪伟
Current Assignee (The listed assignees may be inaccurate. Google has not performed a legal analysis and makes no representation or warranty as to the accuracy of the list.)
Sinopec Research Institute of Petroleum Processing
China Petroleum and Chemical Corp
Original Assignee
Sinopec Research Institute of Petroleum Processing
China Petroleum and Chemical Corp
Priority date (The priority date is an assumption and is not a legal conclusion. Google has not performed a legal analysis and makes no representation as to the accuracy of the date listed.)
Filing date
Publication date
Application filed by Sinopec Research Institute of Petroleum Processing , China Petroleum and Chemical CorpfiledCriticalSinopec Research Institute of Petroleum Processing
Priority to CN201911000961.1ApriorityCriticalpatent/CN112760151B/en
Publication of CN112760151ApublicationCriticalpatent/CN112760151A/en
Application grantedgrantedCritical
Publication of CN112760151BpublicationCriticalpatent/CN112760151B/en
Activelegal-statusCriticalCurrent
Anticipated expirationlegal-statusCritical

Links

Images

Classifications

Landscapes

Abstract

Translated fromChinese

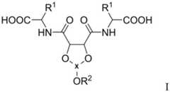
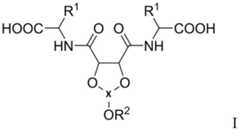
本发明提供一种可生物降解的润滑脂组合物及其制备方法,该润滑脂组合物以质量百分比计,包括70%~90%的润滑基础油,4%~30%的锂基稠化剂和0.1%~5%的添加剂,其中所述添加剂包括生物降解促进剂,如下式I化合物所示:

Figure DDA0002241299460000011
其中,X为磷或硼,R1选自甲基、异丙基、2‑甲基丙基、1‑甲基丙基、苄基和氢中的一种或多种,R2选自C8‑C18的烷基。本发明的润滑脂组合物具有优良降解性能,在保证环境友好的同时,对其他的性能影响不大,仍具有良好的胶体安定性、极佳的机械安定性和优秀的抗氧化作用,具有良好的工业应用前景。

Figure 201911000961

The invention provides a biodegradable lubricating grease composition and a preparation method thereof. The lubricating grease composition comprises, in mass percentage, 70%-90% of lubricating base oil and 4%-30% of lithium-based thickener and 0.1% to 5% of additives, wherein the additives include biodegradation accelerators, as shown in the following formula I compound:

Figure DDA0002241299460000011
Wherein, X is phosphorus or boron, R is selected fromone or more of methyl, isopropyl,2 -methylpropyl, 1-methylpropyl, benzyl and hydrogen, and R is selected from C8 -C18 alkyl. The lubricating grease composition of the present invention has excellent degradation performance, has little influence on other properties while ensuring environmental friendliness, still has good colloidal stability, excellent mechanical stability and excellent anti-oxidation effect, and has good prospects for industrial applications.

Figure 201911000961

Description

Biodegradable lubricating grease composition and preparation method thereof
Technical Field
The invention relates to the field of lubricating grease, in particular to a biodegradable lubricating grease composition and a preparation method thereof.
Background
The lubricating grease is a necessary working medium in the normal operation of mechanical equipment and the manufacturing and processing process of materials, and the demand of the lubricating grease is more and more increased along with the rapid development of the industry. During the storage, transportation and use of the lubricating grease, the situations of leakage, overflow and improper discharge of various polluted environments can not be avoided. Although the acute toxicity of the lubricating grease to organisms is very small, there are only reports about poisoning caused by contacting with the lubricating grease, but the lubricating grease entering the environment has poor biodegradability and seriously pollutes the land, rivers and lakes, and meanwhile, the lubricating grease is not easy to recycle like the lubricating grease, so the research on the lubricating grease with biodegradability becomes a breakthrough for solving the problem of ecological environment.
In recent years, the influence of waste and leaked lubricating grease on the environment has attracted people's attention, and in order to solve the problem, research is mainly focused on two aspects, namely research and development of lubricating base oil which is easy to biodegrade, such as biodegradable vegetable oil or ester synthetic oil, for preparing lubricating grease, and development of environment-friendly additives of the lubricating base oil which is easy to biodegrade.
However, there are still few reports on the biodegradation accelerator for lubricating oils, and the degradation effect of lubricating greases using mineral oil or polyalphaolefin as the main base oil is not ideal.
It is noted that the information disclosed in the foregoing background section is only for enhancement of background understanding of the invention and therefore it may contain information that does not constitute prior art that is already known to a person of ordinary skill in the art.
Disclosure of Invention
The present invention is directed to overcoming at least one of the drawbacks of the prior art, and providing a biodegradable grease composition and a method for preparing the same, wherein the grease composition employs a novel biodegradation accelerator, so that the grease composition has excellent degradation performance, has little influence on other performances while ensuring environmental friendliness, still has good colloid stability, excellent mechanical stability, and excellent antioxidant effect, and has good industrial application prospects.
In order to achieve the purpose, the invention adopts the following technical scheme:
the invention provides a lubricating grease composition, which comprises, by mass, 70-90% of lubricating base oil, 4-30% of a lithium-based thickening agent and 0.1-5% of an additive, wherein the additive comprises a biodegradation accelerator, and is represented by a compound of the following formula I:
Figure BDA0002241299440000021
wherein X is phosphorus or boron, R1One or more selected from methyl, isopropyl, 2-methylpropyl, 1-methylpropyl, benzyl and hydrogen, R2Is selected from C8-C18Alkyl group of (1).
According to one embodiment of the invention, R1Selected from methyl or isopropyl, R2Is selected from C12Alkyl or C14An alkyl group.
According to one embodiment of the invention, R1Is methyl, R2Is C14Alkyl and X is phosphorus.
According to one embodiment of the invention, the lubricating base oil is selected from one or more of mineral oils, vegetable oils, ester oils, polyalphaolefins.
According to one embodiment of the present invention, the lubricating base oil comprises a vegetable oil, the vegetable oil comprising not more than 40% by mass of the grease composition.
According to one embodiment of the invention, the kinematic viscosity of the lubricating base oil at 100 ℃ is 5mm2/s~60mm2/s。
According to one embodiment of the invention, the lithium-based thickener is obtained by reacting fatty acid with lithium hydroxide, wherein the lithium hydroxide accounts for 3.8-9.8% of the mass of the grease composition, and the fatty acid is selected from C12-C20A fatty acid.
According to one embodiment of the invention, the additive further comprises one or more of an antioxidant, a rust inhibitor and an extreme pressure anti-wear agent.
According to one embodiment of the invention, the antioxidant is selected from one or more of 2, 6-di-tert-butyl-p-cresol and phenyl-alpha-naphthylamine, the antirust agent is selected from one or more of dinonyl barium naphthalene sulfonate and barium petroleum sulfonate, and the extreme pressure antiwear agent is selected from one or more of thiosemicarbazide and dialkyl dithiocarbamate.
The invention also provides a preparation method of the lubricating grease composition, which comprises the following steps:
33 to 66 percent of lubricating base oil and C12-C20Adding fatty acid into the reaction kettle, and uniformly stirring;
heating the reaction kettle to 60-95 ℃, and adding a mixture of lithium hydroxide and water for saponification reaction;
continuously heating to 120-180 ℃ for dehydration reaction;
adding the rest lubricating base oil, cooling to 100-130 ℃, adding the biodegradation accelerator, and uniformly stirring to obtain the lubricating grease composition.
According to one embodiment of the present invention, the saponification reaction time is 25min to 120 min.
According to one embodiment of the invention, the method further comprises the steps of adding an antioxidant into the reaction kettle after the dehydration reaction, and continuously heating to 190-220 ℃ for high-temperature refining.
According to one embodiment of the present invention, the time for the high-temperature refining is 5min to 20 min.
According to one embodiment of the invention, the method further comprises the step of adding the antirust agent and/or the extreme pressure antiwear agent into the reaction kettle after the temperature is reduced to 100-130 ℃.
According to the technical scheme, the lubricating grease composition and the preparation method thereof have the advantages and positive effects that:
the additive of the biodegradable lubricating grease composition provided by the invention is added with a novel biodegradation accelerator, and the biodegradation accelerator has excellent degradation performance, ensures environmental friendliness, has little influence on other performances, and still has good colloid stability, excellent mechanical stability and excellent antioxidant effect. The lubricating grease composition can be used under various harsh working conditions such as high temperature, high speed, high load, much water and the like, and the preparation method is simple and has good industrial application prospect.
Drawings
The accompanying drawings, which are included to provide a further understanding of the invention and are incorporated in and constitute a part of this specification, illustrate embodiments of the invention and together with the description serve to explain the principles of the invention and not to limit the invention.
FIG. 1 is a synthesis scheme of the biodegradation accelerator of preparation example 1.
Detailed Description
The following presents various embodiments or examples in order to enable those skilled in the art to practice the invention with reference to the description herein. These are, of course, merely examples and are not intended to limit the invention. The endpoints of the ranges and any values disclosed in the present application are not limited to the precise range or value, and such ranges or values should be understood to encompass values close to those ranges or values. For ranges of values, between the endpoints of each of the ranges and the individual points, and between the individual points may be combined with each other to yield one or more new ranges of values, which ranges of values should be considered as specifically disclosed herein.
The invention provides a biodegradable lubricating grease composition, which comprises, by mass, 70-90% of lubricating base oil, 4-30% of a lithium-based thickening agent and 0.1-5% of an additive, wherein the additive comprises a biodegradation accelerator, and the additive is represented by a compound shown as the following formula I:
Figure BDA0002241299440000041
wherein X is phosphorus or boron, R1One or more selected from methyl, isopropyl, 2-methylpropyl, 1-methylpropyl, benzyl and hydrogen, R2Is selected from C8-C18Alkyl group of (1).
According to the invention, the lubricating grease is a thick grease-like semisolid which is used for a friction part of a machine and has the functions of lubricating and sealing, and is also used for a metal surface to fill a gap and prevent rust. It is mainly prepared by blending base oil and a thickening agent. At present, mineral oil, vegetable oil, ester oil, poly alpha-olefin and the like are mainly adopted as base oil. Although synthetic ester and vegetable oil are biodegradable lubricating oil advocated to be used at present, mineral oil, poly-alpha-olefin and the like generally occupy the leading position of the lubricating oil base oil market due to low cost and good performance, and how to improve the degradation rate of the difficultly degraded lubricating oil has important significance for producing environment-friendly lubricating grease. In the case of mineral oils, they are difficult to degrade, in addition to their structure being detrimental to degradation, and also because they are difficult to dissolve in water. The lubricating grease composition adopts a biodegradation accelerator compound shown in the formula I as an additive, and the compound shown in the formula I as an amino acid type surfactant with tartaric acid as a framework is beneficial to improving the solubility of oil in water, has the advantages of low irritation, low toxicity and the like, and is easy to biodegrade. In addition, the structure of the compound also contains phosphorus or boron, which is beneficial to being absorbed by microorganisms to provide nutrients, and further improves the biodegradation rate. In addition, by adding a proper amount of the biodegradation accelerator and matching with the base oil and the lithium-based thickening agent, on the premise of ensuring environmental friendliness, other properties are not affected, so that the lubricating grease composition has a good industrial application prospect.
In some embodiments, preferably, the aforementioned R1Selected from methyl or isopropyl, R2Is selected from C12Alkyl or C14An alkyl group. More preferably, R1Is methyl, R2Is C14Alkyl and X is phosphorus.
In some embodiments, the aforementioned biodegradation promoting agent is preferably present in an amount of 0.2% to 2% of the lubricating composition.
In some embodiments, the lubricating base oil is selected from one or more of mineral oil, vegetable oil, ester oil, polyalphaolefins. In some embodiments, the aforementioned lubricating base oil comprises a vegetable oil, the vegetable oil comprising no more than 40% by mass of the grease composition. The existing lubricating grease generally adopts the technical scheme that the proportion of vegetable oil in base oil is improved, so that the biodegradability of the lubricating grease is relatively improved, but certain influence is caused on the performance of the lubricating grease. The grease composition of the present invention has good biodegradability even when the vegetable oil content is low, indicating that the biodegradation accelerator has excellent degradability for base oils that are difficult to degrade, such as mineral oil.
In some embodiments, the lubricating base oil has a kinematic viscosity of 5mm at 100 ℃2/s~60mm2/s。
In some embodiments, the lithium-based thickener is prepared from a fatty acid and lithium hydroxideThe lithium hydroxide accounts for 3.8 to 9.8 percent of the mass of the lubricating grease composition, and the fatty acid is selected from C12-C20A fatty acid.
In some embodiments, the additive further comprises one or more of an antioxidant, a rust inhibitor, and an extreme pressure antiwear agent.
In some embodiments, antioxidants include, but are not limited to, 2, 6-di-tert-butyl-p-cresol, phenyl-alpha-naphthylamine, and the like, rust inhibitors include, but are not limited to, barium dinonylnaphthalenesulfonate, barium petroleum sulfonate, and the like, and extreme pressure anti-wear agents include, but are not limited to, aminothioesters, dialkyldithiocarbamates, and the like. Further, the additives may also include other types and functions of additives than those described above according to production needs, and the present invention is not limited thereto.
The invention also provides a preparation method of the compound shown in the formula I and a method for preparing a lubricating grease composition by using the compound shown in the formula I.
The preparation method of the compound of the formula I comprises the following steps:
(1) tartaric acid and amino acid ester hydrochloride, namely a compound shown in the following formula II are mixed in a first solvent for carrying out a reaction, namely a first intermediate product is obtained through amidation reaction, wherein R3Is methyl, ethyl, tert-butyl or benzyl, for example, the compound of formula II can be L-valine methyl ester hydrochloride, L-alanine ethyl ester hydrochloride, L-valine ethyl ester hydrochloride, and the like.
Figure BDA0002241299440000061
In some embodiments, the first solvent is selected from one or more of dichloromethane, chloroform, acetone, ethyl acetate, N-Dimethylformamide (DMF), Dimethylsulfoxide (DMSO), and acetonitrile, preferably, N-Dimethylformamide (DMF) or Dimethylsulfoxide (DMSO).
In some embodiments, further comprising adding a condensing agent and a racemization inhibitor to the amidation reaction. Condensing agents include, but are not limited to, Dicyclohexylcarbodiimide (DCC), 1-ethyl- (3-dimethylaminopropyl) carbodiimide hydrochloride (EDCHCL), 4-Dimethylallyltryptophane (DMAT), and the like, preferably Dicyclohexylcarbodiimide (DCC); the molar ratio of tartaric acid to condensing agent is 1: 3-3: 1, preferably 1: 2-3. Racemization inhibitors include, but are not limited to, 1-hydroxybenzotriazole (HOBt), N-hydroxysuccinimide (HOSu), 1-hydroxy-7-azobenzotriazol (HOAt), 3-hydroxy-1, 2, 3-benzotriazin-4 (3H) -one (HOBt), etc., preferably 1-hydroxybenzotriazole (HOBt). The molar ratio of tartaric acid to racemization inhibitor is 1: 3-3: 1, preferably 1: 2-3.
In some embodiments, the molar ratio of tartaric acid to the compound of formula II is 1:5 to 5:1, preferably 1 (2 to 3). The concentration of tartaric acid in the primary reaction system is 0.2 mol/l to 1.0 mol/l, preferably 0.2 mol/l to 0.5 mol/l.
In some embodiments, the reaction temperature of the first reaction is-20 ℃ to 40 ℃, and the reaction time of the first reaction is 1h to 48 h. It will be appreciated that the reaction time can be relatively reduced by lowering the temperature and by suitably extending the reaction time and by raising the temperature so that the reaction end point is more easily reached. For example, when the reaction temperature is 0 ℃, the reaction time is about 12 hours. In some embodiments, the method further comprises adding an organic base to the primary reaction system to neutralize acidity, wherein the organic base may be Triethylamine (TEA), Tetramethylethylenediamine (TMEDA), triethylenediamine (DABCO), pyridine, trimethylamine, or the like, but the present invention is not limited thereto. For example, an appropriate amount of pyridine is added. And after the reaction is finished, washing, drying, filtering and spin-drying the product to obtain a white solid, namely a first intermediate product.
(2) The halogenating agent is reacted with an alkyl alcohol, i.e., of formula III (R)2OH) compound is mixed in a second solvent and placed in a reactor for secondary reaction to obtain a second intermediate product. It is understood that the steps (1) and (2) are not limited to a sequence, and the step (2) may be performed first and then the step (1) may be performed, or both may be performed simultaneously.
In some embodiments, the aforementioned halogenating agent is selected from one or more of phosphorus trichloride, phosphorus tribromide, phosphorus oxychloride, phosphorus oxybromide, boron tribromide, boron trichloride, and is preferably phosphorus trichloride. An alkyl alcohol, alsoThat is, the compound of formula III may be lauryl alcohol, myristyl alcohol, etc8-C18Alkyl alcohol of (1).
In some embodiments, the molar ratio of tartaric acid to halogenating agent is (0.95-1.05): 1, preferably 1: 1; the molar ratio of the halogenating agent to the compound of formula III is 1: 3-3: 1, preferably 1: 1.5.
In some embodiments, the second solvent is selected from one or more of tetrahydrofuran, dichloromethane, chloroform, acetone, ethyl acetate, n-hexane, trichloroethylene, and acetonitrile; preferably trichloroethylene.
In some embodiments, the reaction temperature of the secondary reaction is-20 ℃ to 40 ℃, and the reaction time is 0.1h to 30 h. For example, the reaction is carried out at 4 ℃ for 1 hour. In some embodiments, the method further comprises adding an organic base to the secondary reaction system to allow the reaction to proceed under weak base conditions, wherein the organic base added may be Triethylamine (TEA), Tetramethylethylenediamine (TMEDA), triethylenediamine (DABCO), pyridine, trimethylamine, or the like, but the invention is not limited thereto. Preferably, an appropriate amount of triethylamine is added.
According to the invention, the halogenating reagent can be dissolved during the reaction, and a small amount of organic base is added into the reactor, wherein a part of the second solvent is placed in the reactor, then the alkyl alcohol is dissolved into the other part of the second solvent, the mixture is slowly dripped into the reactor containing the halogenating reagent, and after the dripping is finished, the mixture is continuously stirred and reacts to obtain a second intermediate product for standby.
(3) And (3) mixing the first intermediate product obtained in the step (1) in a third solvent, adding the mixture into a reactor, and carrying out three times of reaction with the second intermediate product obtained in the step (2) to obtain a third intermediate product.
In some embodiments, the third solvent is selected from one or more of tetrahydrofuran, dichloromethane, chloroform, acetone, ethyl acetate, n-hexane, trichloroethylene, and acetonitrile. Preferably dichloromethane.
In some embodiments, the temperature of the three reactions is-20 ℃ to 40 ℃, and the reaction time of the three reactions is 0.1h to 30 h. For example, the reaction is carried out at 0 ℃ for 12 hours. In some embodiments, the method further comprises adding an organic base to the three-time reaction system to allow the reaction to proceed under weak base conditions, wherein the organic base added may be Triethylamine (TEA), Tetramethylethylenediamine (TMEDA), triethylenediamine (DABCO), pyridine, trimethylamine, or the like, but the invention is not limited thereto. Preferably, an appropriate amount of pyridine is added.
According to the invention, in the reaction, the first intermediate product is dissolved in the third solvent, a small amount of organic base is added, the obtained mixed solution is slowly dripped into the reactor containing the second intermediate product after the reaction in the step (2), and the reaction is continued until the reaction is finished after the dripping. After the reaction, carrying out the steps of suction filtration, washing, drying, filtering, spin drying and the like to obtain a white solid, namely a third intermediate product.
(4) And (4) carrying out hydrolysis reaction on the third intermediate product obtained in the step (3) to obtain the compound of the formula I. Wherein the hydrolysis reaction can be carried out by adopting weak base such as lithium hydroxide, and the final compound of the formula I is obtained by recrystallization after the hydrolysis reaction. The yield can reach about 60% through determination.
The compound of the formula I is synthesized by the method, the synthetic route of the compound adopts a common and easily-obtained tartaric acid raw material, the yield is high, the reaction condition is mild, the raw material price is low, and the method is suitable for large-scale industrial production. The compound is suitable for being used as a lubricating oil biodegradation accelerant, can greatly improve the degradation rate of mineral oil, polyalpha-olefin and other lubricating base oil which are difficult to biodegrade, and has great industrialization potential.
The preparation method of the grease composition comprises the following steps:
first, a part of the lubricating base oil raw material used, generally 33% to 66%, of the lubricating base oil and C are mixed12-C20Adding fatty acid into the reaction kettle, and uniformly stirring; then, heating the reaction kettle to 60-95 ℃, and adding a mixture of lithium hydroxide and water to perform saponification reaction for 25-120 min; continuously heating to 120-180 ℃ for dehydration reaction; adding the rest lubricating base oil after removing water, cooling to 100-130 ℃, adding the biodegradation accelerator, uniformly stirring, grinding for 2-3 times by a three-roller machine to form grease, and obtaining the hair dyeDisclosed is a grease composition.
In some embodiments, the invention further comprises adding an antioxidant into the reaction kettle after the dehydration reaction, and continuously heating to 190-220 ℃ for high-temperature refining, wherein the time for high-temperature refining is 5-20 min.
In some embodiments, the invention also comprises adding other additives, such as antirust agent and extreme pressure antiwear agent, into the reaction kettle after the temperature is reduced to 100-130 ℃, so as to be suitable for different production purposes.
The invention will be further illustrated by the following examples, but is not to be construed as being limited thereto. Unless otherwise specified, all reagents used in the invention are analytically pure.
Preparation example 1
This preparation example serves to illustrate the synthesis of the biodegradation accelerator of the present invention, i.e., 2' - ((2-tetradecyloxy) -1,3, 2-dioxaphospholane-4, 5-dicarbonyl) -diamino-dipropionic acid (see structural formula I-c).
Figure BDA0002241299440000091
1) To the reactor were added sequentially 100mL of DMF, tartaric acid (33.3mmol, 5g), L-alanine methyl ester hydrochloride (73.2mmol, 10.21g), 1-hydroxybenzotriazole (79.9mmol, 10.8g), pyridine (8mL), cooled to 0 deg.C, DCC (79.9mmol, 16.5g) was added, and the reaction was allowed to proceed overnight. The reaction mixture is filtered by suction, the solid is washed by 300mL ethyl acetate, the organic phases are combined, the saturated sodium bicarbonate solution is washed twice, the 10% hydrochloric acid solution is washed twice, the saturated saline solution is washed once, the anhydrous magnesium sulfate is dried for 2h, and the white solid is obtained after filtration and spin drying.
2) Phosphorus trichloride (40mmol, 5.48g) was dissolved in 5mL of n-hexane, the temperature was reduced to 4 ℃, triethylamine (40mmol, 4.04g) was dissolved in 25mL of trichloroethylene, myristyl alcohol (27mmol, 5.78g) was dissolved in 40mL of trichloroethylene, and the solution was slowly added dropwise to the reactor. After the addition, the temperature was raised to room temperature and stirring was continued for 1 hour.
3) Taking the white solid (30mmol, 9.61g) obtained in the step 1), adding 50mL of dichloromethane and 8mL of pyridine, cooling to 0 ℃, slowly dropping the reaction liquid obtained in the step 2) into the reactor, reacting at room temperature overnight after dropping, filtering to remove the solid, washing the filtrate twice with 10% hydrochloric acid solution, washing once with saturated saline solution, drying for 2h with anhydrous magnesium sulfate, filtering, and spin-drying to obtain the white solid.
4) The above white solid (20mmol, 11.25g) was dissolved in 200mL of a mixed solution of tetrahydrofuran and water 2:1, and a lithium hydroxide solid (200mmol, 5g) was added thereto, reacted at room temperature overnight, and then the tetrahydrofuran was removed by rotary evaporation, acidified to pH 4 with a 10% hydrochloric acid solution, and filtered by suction to obtain a white solid. Acetone is recrystallized to obtain 2, 2' - ((2-tetradecyloxy) -1,3, 2-dioxaphospholane-4, 5-dicarbonyl) -diamino-dipropionic acid (shown in a formula I-c).
The above synthesis is detailed in FIG. 1.
Wherein the compound has the following nuclear magnetic test results of formula I-c:
1H NMR(400MHz,CDCl3)δ11.91(br,2H),8.11(s,2H),4.75(d,J=7.0Hz,2H),4.59-4.34(m,2H),3.71(t,J=6.8Hz,2H),1.59-1.40(m,4H),1.33-1.17(m,26H),0.84(t,J=7.2Hz,3H);.HRMS(FT-ICRMS)calcd for C24H41N2O9P(M-2H):266.1280,found:266.1287.
the obtained compound is identified as the target compound 2, 2' - ((2-tetradecyloxy) -1,3, 2-dioxaphospholane-4, 5-dicarbonyl) -diamino-dipropionic acid (shown in structural formula I-c).
Example 1
The raw material components in the embodiment are as follows: lubricating base oil (500SN, Thailand) 828g (viscosity at 100 ℃ C. is 10.9 mm)2(s), 8.3g of lithium hydroxide, and 103.5g of dodecahydroxystearic acid; 12g of 2, 6-di-tert-butyl-p-cresol; 9g of barium petroleum sulfonate; 8g of dialkyl dithiocarbamate; 8g of the biodegradation accelerator of preparation example 1;
firstly, 500g of base oil and 103.5g of dodecahydroxystearic acid are added into a grease making kettle, and the mixture is mixed and stirred uniformly. When the temperature is raised to 88 ℃, 80.7g of lithium hydroxide aqueous solution (containing 8.3g of lithium hydroxide and 72.4g of water) is added for saponification reaction for 30 min;
then, heating to 130 ℃ for dehydration reaction, adding 12g of 2, 6-di-tert-butyl-p-cresol after removing water, and continuously heating to 215 ℃ for high-temperature refining for 15 min;
after high-temperature refining, adding the rest 278g of base oil, cooling to 120 ℃, then adding 9g of barium petroleum sulfonate, 8g of dialkyl dithiocarbamate and 8g of biodegradation accelerator in preparation example 1, and uniformly stirring; grinding for 2-3 times by a three-roller machine to form grease. The product properties are shown in table 1.
Example 2
The raw material components in the embodiment are as follows: 1037g (viscosity at 100 ℃ C. of 10.9 mm) of lubricating base oil (500SN, Thailand)2S), 11.4g of lithium hydroxide and 141.8g of dodecahydroxystearic acid; 15g of 2, 6-di-tert-butyl-p-cresol; 11g of barium petroleum sulfonate; 10g of dialkyl dithiocarbamate; 10g of the biodegradation accelerator of preparation example 1;
first, 690g of base oil and 141.8g of dodecahydroxystearic acid were added to a grease preparing kettle, and mixed and stirred uniformly. When the temperature is raised to 88 ℃, 101.9g of lithium hydroxide aqueous solution (wherein, 11.4g of lithium hydroxide and 90.5g of water are contained) is added to carry out saponification reaction for 30 min;
then, heating to 130 ℃ for dehydration reaction, adding 15g of 2, 6-di-tert-butyl-p-cresol after removing water, and continuously heating to 220 ℃ for refining at high temperature for 10 min;
after high-temperature refining, adding the remaining 347g of base oil, cooling to 118 ℃, then adding 11g of barium petroleum sulfonate and 10g of dialkyl dithiocarbamate and 10g of biodegradation accelerator in preparation example 1, and uniformly stirring; grinding for 2-3 times by a three-roller machine to form grease. The product properties are shown in table 1.
Example 3
The raw material components in the embodiment are as follows: 708g (viscosity at 100 ℃ 10 mm) of lubricating base oil (PAO10, Exxon Mobil)2(s), 5.7g of lithium hydroxide, 71.5g of dodecahydroxystearic acid; 10.8g of 2, 6-di-tert-butyl-p-cresol; 6.3g of barium petroleum sulfonate; 7.2g of dialkyldithiocarbamate; 7.2g of the biodegradation accelerator of preparation example 1;
firstly, 475g of base oil and 71.5g of dodecahydroxystearic acid are added into a grease making kettle, and the mixture is mixed and stirred uniformly. When the temperature is raised to 91 ℃, 46.4g of lithium hydroxide aqueous solution (containing 4.7g of lithium hydroxide and 41.7g of water) is added for saponification reaction for 35 min;
then, heating to 130 ℃ for dehydration reaction, adding 10.8g of 2, 6-di-tert-butyl-p-cresol after removing water, and continuously heating to 215 ℃ for refining for 15min at high temperature;
after high-temperature refining, adding the rest 233g of base oil, cooling to 115 ℃, then adding 6.3g of barium petroleum sulfonate, 7.2g of dialkyl dithiocarbamate and 7.2g of biodegradation accelerator in preparation example 1, and uniformly stirring; grinding for 2-3 times by a three-roller machine to form grease. The product properties are shown in table 1.
Example 4
The raw material components in the embodiment are as follows: 708g (viscosity at 100 ℃ C. of 3.9 mm) of lubricating base oil (PAO4, Exxon Mobil)2(s), 5.67g of lithium hydroxide, 70.77g of dodecahydroxystearic acid; 12g of 2, 6-di-tert-butyl-p-cresol; 7g of barium petroleum sulfonate; 8g of dialkyl dithiocarbamate; 8g of the biodegradation accelerator of preparation example 1;
first, 534g of base oil and 70.77g of dodecahydroxystearic acid were put into a grease making kettle, and mixed and stirred uniformly. When the temperature is raised to 92 ℃, 50.79g of lithium hydroxide aqueous solution (containing 5.67g of lithium hydroxide and 45.12g of water) is added to carry out saponification for 25 min;
then, heating to 135 ℃ for dehydration reaction, adding 12g of 2, 6-di-tert-butyl-p-cresol after removing water, and continuously heating to 220 ℃ for refining at high temperature for 10 min;
after high-temperature refining, the rest 267g of base oil is added, the temperature is reduced to 125 ℃, then 7g of barium petroleum sulfonate and 8g of dialkyl dithiocarbamate and 8g of biodegradation accelerator in preparation example 1 are added, and the mixture is stirred uniformly; grinding for 2-3 times by a three-roller machine to form grease. The product properties are shown in table 1.
Comparative example 1
A grease was prepared by the method of example 1 except that the biodegradation accelerator of preparation example 1 was not added. The product properties are shown in table 1.
TABLE 1
Figure BDA0002241299440000121
As can be seen from table 1 above, after the biodegradation accelerator of the present invention is added, the degradation performance of the grease is significantly improved, and other performances are not affected, thus the grease composition of the present invention has good degradation performance, ensures environmental friendliness, has little effect on other performances, still has good colloid stability, excellent mechanical stability and excellent antioxidant effect, and has good industrial application prospects.
It should be noted by those skilled in the art that the described embodiments of the present invention are merely exemplary and that various other substitutions, alterations, and modifications may be made within the scope of the present invention. Accordingly, the present invention is not limited to the above-described embodiments, but is only limited by the claims.

Claims (14)

Translated fromChinese
1.一种可生物降解的润滑脂组合物,其特征在于,以质量百分比计,所述润滑脂组合物包括70%~90%的润滑基础油,4%~30%的锂基稠化剂和0.1%~5%的添加剂,其中所述添加剂包括生物降解促进剂,如下式I化合物所示:1. A biodegradable grease composition, characterized in that, by mass percentage, the grease composition comprises 70% to 90% of lubricating base oil and 4% to 30% of lithium-based thickener and 0.1% to 5% of additives, wherein the additives include biodegradation accelerators, as shown in the following formula I compound:
Figure FDA0002241299430000011
Figure FDA0002241299430000011
其中,X为磷或硼,R1选自甲基、异丙基、2-甲基丙基、1-甲基丙基、苄基和氢中的一种或多种,R2选自C8-C18的烷基。Wherein, X is phosphorus or boron, R1 is selected from one or more of methyl, isopropyl, 2-methylpropyl, 1-methylpropyl, benzyl and hydrogen, and R2 is selected from C8 -C18 alkyl.2.根据权利要求1所述的润滑脂组合物,其特征在于,R1选自甲基或异丙基,R2选自C12烷基或C14烷基。2 . The grease composition according to claim 1 , wherein R1 is selected from methyl or isopropyl, and R2 is selected from C12 alkyl or C14 alkyl. 3 .3.根据权利要求1所述的润滑脂组合物,其特征在于,R1是甲基,R2是C14烷基,X是磷。3. The grease composition of claim1 , wherein R1 is methyl, R2 isC14 alkyl, and X is phosphorus.4.根据权利要求1所述的润滑脂组合物,其特征在于,所述润滑基础油选自矿物油、植物油、酯类油、聚α-烯烃中的一种或多种。4. The grease composition according to claim 1, wherein the lubricating base oil is selected from one or more of mineral oil, vegetable oil, ester oil, and poly-alpha-olefin.5.根据权利要求4所述的润滑脂组合物,其特征在于,所述润滑基础油包括植物油,所述植物油占所述润滑脂组合物的质量百分比不大于40%。5 . The grease composition according to claim 4 , wherein the lubricating base oil comprises vegetable oil, and the vegetable oil accounts for no more than 40% by mass of the grease composition. 6 .6.根据权利要求1所述的润滑脂组合物,其特征在于,所述润滑基础油在100℃下的运动黏度为5mm2/s~60mm2/s。6 . The grease composition according to claim 1 , wherein the lubricating base oil has a kinematic viscosity at 100° C. of 5 mm2 /s to 60 mm2 /s. 7 .7.根据权利要求1所述的润滑脂组合物,其特征在于,所述锂基稠化剂由脂肪酸与氢氧化锂反应而得,所述氢氧化锂占所述润滑脂组合物质量的3.8%~9.8%,所述脂肪酸选自C12-C20脂肪酸。7. The grease composition according to claim 1, wherein the lithium-based thickener is obtained by the reaction of fatty acid and lithium hydroxide, and the lithium hydroxide accounts for 3.8% of the mass of the grease composition. %~9.8%, the fatty acid is selected from C12 -C20 fatty acid.8.根据权利要求1所述的润滑脂组合物,其特征在于,所述添加剂还包括抗氧剂、防锈剂和极压抗磨剂中的一种或多种。8. The grease composition of claim 1, wherein the additive further comprises one or more of an antioxidant, a rust inhibitor and an extreme pressure and antiwear agent.9.根据权利要求8所述的润滑脂组合物,其特征在于,所述抗氧剂选自2,6-二叔丁基对甲酚、苯基-α-萘胺中的一种或多种,所述防锈剂选自二壬基萘磺酸钡、石油磺酸钡中的一种或多种,所述极压抗磨剂选自氨基硫代酯、二烷基二硫代氨基甲酸盐中的一种或多种。9. The grease composition according to claim 8, wherein the antioxidant is selected from one or more of 2,6-di-tert-butyl-p-cresol and phenyl-α-naphthylamine The rust inhibitor is selected from one or more of barium dinonylnaphthalene sulfonate and barium petroleum sulfonate, and the extreme pressure antiwear agent is selected from aminothioester, dialkyldithioamino one or more of the formate salts.10.一种权利要求1~9中任一项所述的润滑脂组合物的制备方法,包括如下步骤:10. A preparation method of the grease composition according to any one of claims 1 to 9, comprising the steps of:将33%~66%的润滑基础油和C12-C20脂肪酸加入反应釜中,搅拌均匀;Add 33% to 66% of lubricating base oil and C12 -C20 fatty acid into the reaction kettle and stir evenly;将所述反应釜升温至60℃~95℃,并加入氢氧化锂与水的混合物进行皂化反应;The reaction kettle is heated to 60 ℃~95 ℃, and the mixture of lithium hydroxide and water is added to carry out saponification reaction;继续升温至120℃~180℃进行脱水反应;Continue to heat up to 120 ℃~180 ℃ to carry out dehydration reaction;加入剩余的润滑基础油并降温至100℃~130℃,加入所述生物降解促进剂并搅拌均匀,得所述润滑脂组合物。The remaining lubricating base oil is added and the temperature is lowered to 100°C to 130°C, and the biodegradation accelerator is added and stirred evenly to obtain the lubricating grease composition.11.根据权利要求10所述的制备方法,其特征在于,所述皂化反应的时间为25min~120min。11. preparation method according to claim 10, is characterized in that, the time of described saponification reaction is 25min~120min.12.根据权利要求10所述的制备方法,其特征在于,还包括在所述脱水反应后向所述反应釜中加入抗氧剂,并继续升温至190℃~220℃进行高温炼制。12 . The preparation method according to claim 10 , further comprising adding an antioxidant to the reaction kettle after the dehydration reaction, and continuing to heat up to 190° C. to 220° C. for high-temperature refining. 13 .13.根据权利要求12所述的制备方法,其特征在于,所述高温炼制的时间为5min~20min。13 . The preparation method according to claim 12 , wherein the time for the high temperature refining is 5 min to 20 min. 14 .14.根据权利要求10所述的制备方法,其特征在于,还包括在所述降温至100℃~130℃后,加入防锈剂和/或极压抗磨剂于所述反应釜中。14 . The preparation method according to claim 10 , further comprising adding a rust inhibitor and/or an extreme pressure and antiwear agent to the reaction kettle after the temperature is lowered to 100° C. to 130° C. 15 .
CN201911000961.1A2019-10-212019-10-21 Biodegradable grease composition and preparation method thereofActiveCN112760151B (en)

Priority Applications (1)

Application NumberPriority DateFiling DateTitle
CN201911000961.1ACN112760151B (en)2019-10-212019-10-21 Biodegradable grease composition and preparation method thereof

Applications Claiming Priority (1)

Application NumberPriority DateFiling DateTitle
CN201911000961.1ACN112760151B (en)2019-10-212019-10-21 Biodegradable grease composition and preparation method thereof

Publications (2)

Publication NumberPublication Date
CN112760151Atrue CN112760151A (en)2021-05-07
CN112760151B CN112760151B (en)2022-04-12

Family

ID=75691587

Family Applications (1)

Application NumberTitlePriority DateFiling Date
CN201911000961.1AActiveCN112760151B (en)2019-10-212019-10-21 Biodegradable grease composition and preparation method thereof

Country Status (1)

CountryLink
CN (1)CN112760151B (en)

Citations (3)

* Cited by examiner, † Cited by third party
Publication numberPriority datePublication dateAssigneeTitle
US20120065110A1 (en)*2009-02-182012-03-15The Lubrizol CorporationCompounds and a Method of Lubricating an Internal Combustion Engine
CN103254951A (en)*2012-02-172013-08-21中国石油化工股份有限公司Additive composition, diesel oil composition, and method for increasing oxidation stability of biodiesel
CN110317668A (en)*2018-03-282019-10-11中国石油化工股份有限公司A kind of lubricating grease and preparation method thereof

Patent Citations (3)

* Cited by examiner, † Cited by third party
Publication numberPriority datePublication dateAssigneeTitle
US20120065110A1 (en)*2009-02-182012-03-15The Lubrizol CorporationCompounds and a Method of Lubricating an Internal Combustion Engine
CN103254951A (en)*2012-02-172013-08-21中国石油化工股份有限公司Additive composition, diesel oil composition, and method for increasing oxidation stability of biodiesel
CN110317668A (en)*2018-03-282019-10-11中国石油化工股份有限公司A kind of lubricating grease and preparation method thereof

Also Published As

Publication numberPublication date
CN112760151B (en)2022-04-12

Similar Documents

PublicationPublication DateTitle
US6103674A (en)Oil-soluble molybdenum multifunctional friction modifier additives for lubricant compositions
JP5185300B2 (en) Reaction products of mercaptobenzothiazole, mercaptothiazoline and mercaptobenzimidazole with epoxides as lubricant additives
CN103060067B (en)Lubricating grease and preparation method thereof
CN106085575A (en)Water-based metal cutting fluid and preparation method thereof
CN110317669B (en) A kind of lithium-based grease and preparation method thereof
CN106833556A (en)A kind of reversible emulsifying agent, its preparation method and the reversible emulsion drilling fluid of environment-friendly type and application
JP2004331950A (en)Lubricant composition and triazine ring-containing compound
CN110317660B (en)Composite lithium-based lubricating grease and preparation method thereof
CN112760151A (en)Biodegradable lubricating grease composition and preparation method thereof
CN106543099A (en)A kind of Biodegradable lube oil additive 2,5 dialkyl acetamides, 1,3,4 thiadiazoles and preparation method thereof
CN104513697B (en) Calcium-zirconium-based polyurea grease and preparation method thereof
CN114507556B (en)Thiadiazole lubricating oil anti-wear additive and preparation method thereof
CN112759613A (en)Biodegradable composite lithium-based lubricating grease composition and preparation method thereof
CN106147941B (en)A kind of composite polyurea lubricating grease and preparation method thereof
CN110317668B (en)Lubricating grease and preparation method thereof
CN112759612B (en) Lubricating oil biodegradation accelerator and preparation method thereof
KR20130117526A (en)Isosorbide fatty acid ester compound containing succinic acid or maleic acid, preparation method thereof and oil comprising the same
CN111100730B (en)Metal soap-based lubricating grease and preparation method thereof
CN103060069B (en)Lubricating grease and preparation method thereof
CN104130822A (en)Mono (terephthalate)octanol ester calcium salt clearing agent and synthetic method thereof
CN113249161A (en)Gasoline engine lubricating oil composition and preparation method thereof
CN104513688B (en)A kind of polyurea grease of composite calcium zirconium base six and preparation method thereof
CN114426897B (en)Gasoline engine lubricating oil composition and preparation method thereof
CA2196440C (en)Imide and pyrrolidone grease thickeners with terephthalate complexing agent
CN113061119A (en)Alkylphenyl benzotriazole lubricating oil additive and preparation method thereof

Legal Events

DateCodeTitleDescription
PB01Publication
PB01Publication
SE01Entry into force of request for substantive examination
SE01Entry into force of request for substantive examination
GR01Patent grant
GR01Patent grant

[8]ページ先頭

©2009-2025 Movatter.jp