

技术领域technical field
本发明涉及卫星定位技术领域,尤其涉及一种卫星导航接收机锁相环与锁频环结合的矢量跟踪方法。The invention relates to the technical field of satellite positioning, in particular to a vector tracking method combining a phase-locked loop and a frequency-locked loop of a satellite navigation receiver.
背景技术Background technique
全球导航卫星系统(GNSS)已广泛应用于军事和民用领域。为了解码星历数据并获取伪距和载波相位等测量值以便进行后续定位和导航服务,接收机必须能够连续跟踪卫星信号。PLL与FLL相结合的载波跟踪方法,可平衡载波跟踪精度与动态跟踪性能,提高载波跟踪性能。矢量跟踪可通过卡尔曼滤波器(KF)实现所有通道之间的信息共享,从而使其在信号功率严重衰减和相位变化剧烈的环境中能更好地工作。Global Navigation Satellite System (GNSS) has been widely used in military and civilian fields. In order to decode the ephemeris data and obtain measurements such as pseudorange and carrier phase for subsequent positioning and navigation services, the receiver must be able to continuously track the satellite signal. The carrier tracking method combining PLL and FLL can balance carrier tracking accuracy and dynamic tracking performance, and improve carrier tracking performance. Vector tracking enables information sharing between all channels via a Kalman filter (KF), allowing it to work better in environments with severe signal power attenuation and drastic phase changes.
发明内容SUMMARY OF THE INVENTION
本发明的目的在于提供一种PLL与FLL相结合的矢量跟踪方法,旨在提高跟踪环路的性能和定位精度,即利用二阶锁频环辅助三阶锁相环进行载波环路跟踪,并结合码相位差和星历数据辅助滤波器构造滤波方程,滤波结果反馈辅助码环路跟踪。The purpose of the present invention is to provide a vector tracking method combining PLL and FLL, aiming at improving the performance and positioning accuracy of the tracking loop, that is, using the second-order frequency-locked loop to assist the third-order phase-locked loop to perform carrier loop tracking, and The filtering equation is constructed by combining the code phase difference and ephemeris data to assist the filter, and the filtering result is fed back to assist the code loop tracking.
为了实现上述目的,一种卫星导航接收机PLL与锁频环FLL结合的矢量跟踪方法,所述方法包括:In order to achieve the above object, a vector tracking method of a satellite navigation receiver PLL combined with a frequency-locked loop FLL, the method includes:
步骤一:获取卫星信号的中频信号;Step 1: Obtain the intermediate frequency signal of the satellite signal;
步骤二:根据所述中频信号和本地载波信号混频,获取i信号和q信号;Step 2: obtain the i signal and the q signal according to the mixing of the intermediate frequency signal and the local carrier signal;
步骤三:基于所述i信号和所述q信号以及码发生器所产生的超前码E、即时码P和滞后码L,经相关得到对应的超前同相信号IE、即时同相信号IP、滞后同相信号IL、超前正交信号QE、即时正交信号QP、滞后正交信号QL;Step 3: Based on the leading code E, the instant codeP and the lag code L generated by the i signal and the q signal and the code generator, the corresponding leading in-phase signal IE and the instant in-phase signal IP are obtained through correlation. , lag in-phase signalIL , lead quadrature signalQE , instant quadrature signal QP , lag quadrature signalQL ;
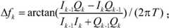
步骤四:根据IP、QP,计算频偏值Δfk,选取PLL模式或FLL模式,频偏值Δfk的计算公式为:Step 4: Calculate the frequency offset value Δfk according to IP andQP , select PLL mode orFLL mode, and the calculation formula of the frequency offset value Δfk is:
其中,I,P均表示即使支路的相关信号。下标k表示k时刻,Ik表示k时刻的即时同相信号,Qk表示k时刻的即时正交信号,T表示k-1和k两相邻时刻的时间间隔;Among them, I and P both represent the correlation signal of the branch. The subscript k represents time k, Ik represents the real-time in-phase signal at time k, Qk represents the real-time quadrature signal at time k, and T represents the time interval between two adjacent moments k-1 and k;
步骤五:Step 5:
(1)若选取PLL模式,载波相位鉴别器鉴别k时刻关于IP和QP的载波相位差Δθk,Δθk的计算公式为:(1) If the PLL mode is selected, the carrier phase discriminator discriminates the carrier phase differenceΔθk between IP andQP at time k, and the calculation formula of Δθk is:
更新三阶锁相环的状态量,三阶锁相环下一时刻的状态量xk+1更新公式为:To update the state quantity of the third-order phase-locked loop, the update formula of the state quantity xk+1 of the third-order phase-locked loop at the next moment is:
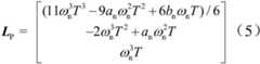
其中,状态量为初始相位,ω=2πf为角频率,f为载波频率,角频率率为载波频率变化率,AP为状态转移矩阵,LP为增益矩阵;Among them, the state quantity is the initial phase, ω=2πf is the angular frequency, f is the carrier frequency, and the angular frequency is the carrier frequency change rate,AP is the state transition matrix, and LP is the gain matrix;
(2)若选取FLL模式,通过载波频率鉴别器鉴别k-1和k两相邻时刻的IP和QP的角频率差角频率差的计算公式为:(2) If theFLL mode is selected, the angular frequency difference between IP andQP at two adjacent moments k-1 and k is identified by the carrier frequency discriminator angular frequency difference The calculation formula is:
更新二阶锁频环的状态量,二阶锁频环下一时刻的状态量xk+1更新公式为:To update the state quantity of the second-order frequency-locked loop, the update formula of the state quantity xk+1 of the second-order frequency-locked loop at the next moment is:
上式中,状态量角频率ω=2πf,f为载波频率,角频率率为载波频率变化率,AF为状态转移矩阵,LF为增益矩阵;In the above formula, the state quantity Angular frequency ω=2πf, f is the carrier frequency, the angular frequency is the carrier frequency change rate,AF is the state transition matrix, andLF is the gain matrix;
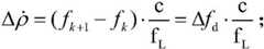
步骤六:根据两相邻时刻的载波频率差,经线性变换计算伪距率误差伪距率误差的计算公式为:Step 6: Calculate the pseudorange rate error by linear transformation according to the carrier frequency difference between two adjacent moments Pseudorange rate error The calculation formula is:
其中,c为光速,fL为卫星信号被发射时的载波频率,Δfd为相邻时刻载波多普勒频率的变化量;Among them, c is the speed of light, fL is the carrier frequency when the satellite signal is transmitted, and Δfd is the variation of the carrier Doppler frequency at adjacent moments;
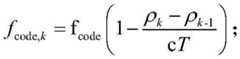
步骤七:通过码相位鉴别器以及IE、IL、、QE、QL,鉴别接收码和复制码之间的码相位差Δτ,码相位差Δτ的计算公式为:Step 7: Identify the code phase difference Δτ between the received code and the replica code through the code phase discriminator and IE ,IL , QE , andQL , and the calculation formula of the code phase difference Δτ is:
其中,in,
步骤八:码相位差Δτ经线性变化得到伪距误差Δρ,伪距误差Δρ的计算公式为:Step 8: The code phase difference Δτ is linearly changed to obtain the pseudorange error Δρ, and the calculation formula of the pseudorange error Δρ is:
上式中,fcode为卫星信号被发射时的码频率;In the above formula, fcode is the code frequency when the satellite signal is transmitted;
步骤九:根据伪距误差Δρ和伪距率误差计算当前时刻接收机的位置Pr,k,并计算当前的伪距ρk,计算伪距ρk的具体表达为:Step 9: According to the pseudorange error Δρ and pseudorange rate error Calculate the positionPr,k of the receiver at the current moment, and calculate the current pseudorange ρk , the specific expression for calculating the pseudorange ρk is:
ρk=||pr,k-ps||+c(Δb-Δbs)+cI+cT+ερ;ρk =||pr, k−ps ||+c(Δb−Δbs )+cI+cT+ερ ;
其中,Pr,k为接收机的位置,Ps为卫星位置,Δb为接收机时钟偏差,Δbs为卫星时钟偏差,I为电离层延时,T为对流层延时,ερ为伪距量测噪声量;where Pr, k is the receiver position, Ps is the satellite position, Δb is the receiver clock bias, Δbs is the satellite clock bias, I is the ionospheric delay, T is the tropospheric delay, and ερ is the pseudorange measure the amount of noise;
步骤十:计算当前时刻的码频率fcode,k,计算k时刻的码频率fcode,k的具体表达为:Step 10: Calculate the code frequency fcode,k at the current moment, and calculate the code frequency fcode at the k moment, and the specific expression of k is:
根据码频率fcode,k,调节码振荡器的码频率,经伪码发生器产生超前码E、即时码P和滞后码L,并返回所述“基于所述i信号和所述q信号以及码发生器所产生的前码E、即时码P和滞后码L,获得相关得到对应的超前同相信号IE、即时同相信号IP、滞后同相信号IL、超前正交信号QE、即时正交信号QP、滞后正交信号QL”的步骤三;According to the code frequency fcode,k , the code frequency of the code oscillator is adjusted, and the pseudo code generator generates the lead code E, the instant code P and the lag code L, and returns the "based on the i signal and the q signal and The preamble E, the instant codeP and the lag code L generated by the code generator are correlated to obtain the corresponding leading in-phase signal IE , the instant in-phase signal IP , the lagging in-phase signalIL , and the leading quadrature signal QE Step 3 of the instant quadrature signalQP and the delayed quadrature signalQL ";
以及公开了一种卫星导航接收机PLL与FLL结合的矢量跟踪定位装置,所述装置包括处理器、以及通过通信总线与所述处理器连接的存储器;其中,And discloses a satellite navigation receiver PLL combined with FLL vector tracking and positioning device, the device includes a processor and a memory connected to the processor through a communication bus; wherein,
所述存储器,用于存储矢量跟踪定位程序;The memory is used to store the vector tracking and positioning program;
所述处理器,用于执行矢量跟踪定位程序,以实现任一项所述的卫星导航接收机PLL与FLL结合的矢量跟踪方法。The processor is configured to execute a vector tracking and positioning program, so as to implement any one of the vector tracking methods of the satellite navigation receiver combining PLL and FLL.
此外,还公开了一种存储装置,所述存储装置为计算机存储装置,其上存储有矢量跟踪定位程序,所述矢量跟踪定位程序可被一个或者多个处理器执行,以使所述一个或者多个处理器执行如任一项所述的PLL与FLL结合的矢量跟踪方法。In addition, a storage device is also disclosed, the storage device is a computer storage device, and a vector tracking and positioning program is stored thereon, and the vector tracking and positioning program can be executed by one or more processors, so that the one or more A plurality of processors perform the vector tracking method combining PLL and FLL as described in any one.
应用本发明实施例提供的卫星导航接收机PLL与FLL结合的矢量跟踪方法,具备的有益效果如下:Applying the vector tracking method combining the PLL and the FLL of the satellite navigation receiver provided by the embodiment of the present invention has the following beneficial effects:
旨在提高跟踪环路的性能和定位精度,即利用二阶锁频环辅助三阶锁相环载波环路跟踪,并结合码相位差和星历数据辅助滤波器构造滤波方程,滤波结果反馈辅助码环路跟踪。该定位系统能在弱信号条件下具备良好的定位精度,且在高动态条件下保持卫星定位中的环路稳定锁定,输出定位结果。The purpose is to improve the performance and positioning accuracy of the tracking loop, that is, use the second-order frequency-locked loop to assist the third-order phase-locked loop carrier loop tracking, and combine the code phase difference and ephemeris data to assist the filter to construct the filtering equation, and the filtering results are fed back to assist. Code loop tracking. The positioning system can have good positioning accuracy under weak signal conditions, and can keep the loop in satellite positioning stable and locked under high dynamic conditions, and output positioning results.
附图说明Description of drawings
图1是本发明卫星导航接收机PLL与FLL结合的矢量跟踪方法的一种流程示意图。FIG. 1 is a schematic flow chart of a vector tracking method combining the PLL and the FLL of the satellite navigation receiver according to the present invention.
图2是本发明卫星导航接收机PLL与FLL结合的矢量跟踪方法的一种跟踪示意图。FIG. 2 is a tracking schematic diagram of a vector tracking method combining the PLL and the FLL of the satellite navigation receiver according to the present invention.
具体实施方式Detailed ways
以下通过特定的具体实例说明本发明的实施方式,本领域技术人员可由本说明书所揭露的内容轻易地了解本发明的其他优点与功效。本发明还可以通过另外不同的具体实施方式加以实施或应用,本说明书中的各项细节也可以基于不同观点与应用,在没有背离本发明的精神下进行各种修饰或改变。The embodiments of the present invention are described below through specific specific examples, and those skilled in the art can easily understand other advantages and effects of the present invention from the contents disclosed in this specification. The present invention can also be implemented or applied through other different specific embodiments, and various details in this specification can also be modified or changed based on different viewpoints and applications without departing from the spirit of the present invention.
请参阅图1和图2。需要说明的是,本实施例中所提供的图示仅以示意方式说明本发明的基本构想,遂图式中仅显示与本发明中有关的组件而非按照实际实施时的组件数目、形状及尺寸绘制,其实际实施时各组件的型态、数量及比例可为一种随意的改变,且其组件布局型态也可能更为复杂。See Figure 1 and Figure 2. It should be noted that the drawings provided in this embodiment are only to illustrate the basic concept of the present invention in a schematic way, so the drawings only show the components related to the present invention rather than the number, shape and the number of components in actual implementation. For dimension drawing, the type, quantity and proportion of each component can be changed at will in actual implementation, and the component layout may also be more complicated.
如图1所示设计框图,本发明提供一种卫星导航接收机PLL与FLL结合的矢量跟踪方法,所述方法包括:The design block diagram shown in FIG. 1, the present invention provides a vector tracking method combining PLL and FLL of satellite navigation receiver, the method includes:
(1)天线接收到的卫星信号经降频量化转化为数字中频信号SIF(n);(1) The satellite signal received by the antenna is converted into a digital intermediate frequency signal SIF(n) by down-frequency quantization;
(2)数字中频信号先与本地载波振荡器混频得到i,q信号,再与本地码发生器所产生的超前码E、即时码P和滞后码L相关,得到对应的超前同相信号IE、即时同相信号IP、滞后同相信号IL、超前正交信号QE、即时正交信号QP、滞后正交信号QL;(2) The digital intermediate frequency signal is first mixed with the local carrier oscillator to obtain i, q signals, and then correlates with the lead code E, the instant code P and the lag code L generated by the local code generator to obtain the corresponding lead in-phase signal IE. Immediate in-phase signal IP, lag in-phase signalIL , leading quadrature signalQE , instant quadrature signalQP , lag quadrature signalQL ;
(3)利用公式(1),由积分结果IP、QP计算频偏(3) Using formula (1), calculate the frequency offset from theintegral results IP andQP
(4)频差值与门限值比较,根据图2所述载波环设计选择进入PLL模式或者FLL模式。若进入PLL模式,则按照(5)-(6)步骤跟踪载波环路;若进入FLL模式,则按照(7)-(8)步骤跟踪载波环路;(4) Compare the frequency difference value with the threshold value, and choose to enter the PLL mode or the FLL mode according to the carrier loop design described in FIG. 2 . If entering the PLL mode, follow the steps (5)-(6) to track the carrier loop; if entering the FLL mode, follow the steps (7)-(8) to track the carrier loop;
(5)利用公式(2),载波相位鉴别器鉴别k时刻的载波相位差Δθk(5) Using formula (2), the carrier phase discriminator discriminates the carrier phase difference Δθ k at timek
(6)利用公式(3),三阶锁相环结合当前时刻的状态量xk,计算下一时刻的状态量xk+1(6) Using formula (3), the third-order phase-locked loop combines the state quantity xk at the current moment to calculate the state quantity xk+1 at the next moment
上式中,状态量为初始相位,ω=2πf为角频率,f为载波频率,角频率率为载波频率变化率,AP为状态转移矩阵,LP为增益矩阵,T为相邻时刻时间间隔,ωn为自然频率,an,bn,为特征参数;In the above formula, the state quantity is the initial phase, ω=2πf is the angular frequency, f is the carrier frequency, and the angular frequency is the carrier frequency change rate,AP is the state transition matrix, LP is the gain matrix, T is the time interval between adjacent moments, ωn is the natural frequency, and an , bn , are characteristic parameters;
(7)利用公式(6),载波频率鉴别器鉴别k-1和k两相邻时刻的IP和QP的角频率差(7) Using formula (6), the carrier frequency discriminator discriminates the angular frequency difference between IP andQ Pat two adjacent moments k-1 and k
(8)利用公式(7),二阶锁频环结合当前时刻的状态量xk,计算下一时刻的状态xk+1(8) Using formula (7), the second-order frequency-locked loop combines the state quantity xk at the current moment to calculate the state xk+1 at the next moment
上式中,状态量角频率ω=2πf,f为载波频率,角频率率为载波频率变化率,AF为状态转移矩阵,LF为增益矩阵,T为相邻时刻时间间隔,ωf为自然频率,ξ为阻尼系数;In the above formula, the state quantity Angular frequency ω=2πf, f is the carrier frequency, the angular frequency is the carrier frequency change rate,AF is the state transition matrix, LF is the gain matrix,T is the time interval between adjacent moments, ωf is the natural frequency, and ξ is the damping coefficient;
(9)本地载波振荡器利用PLL或FLL预测的k+1时刻的载波频率fk+1,构造本地载波;(9) The local carrier oscillator utilizes the carrier frequency fk+ 1 at time k+1 predicted by PLL or FLL to construct a local carrier;
(10)得到k+1时刻的载波频率fk+1后,相邻时刻载波频率的差值经线性变化得到伪距率误差(10) After obtaining the carrier frequency fk+1 at time k+1, the difference between the carrier frequencies at adjacent times is linearly changed to obtain the pseudorange rate error
(11)利用公式(11),码相位鉴别器鉴别接收码和复制码之间的码相位差Δτ(11) Using the formula (11), the code phase discriminator discriminates the code phase difference Δτ between the received code and the replica code
(12)码相位差Δτ经线性转换得到伪距误差Δρ(12) The code phase difference Δτ is linearly converted to obtain the pseudorange error Δρ
上式中,fcode为卫星信号被发射时的码频率,其值为1.23MHZ;In the above formula, fcode is the code frequency when the satellite signal is transmitted, and its value is 1.23MHZ;
(13)利用KF计算当前时刻接收机的位置Pr,k,接收机钟差Δb,结合星历解算出的卫星位置Ps,卫星时钟钟差Δbs,电离层延时I,对流层延时T,伪距量测噪声量ερ,计算当前的伪距ρk(13) Use KF to calculate the position Pr,k of the receiver at the current moment, the receiver clock error Δb, the satellite position Ps calculated by combining the ephemeris, the satellite clock clock error Δbs , the ionospheric delay I, the tropospheric delay T, the pseudorange measurement noise ερ , calculate the current pseudorange ρk
ρk=||pr,k-ps||+c(Δb-Δbs)+cI+cT+ερ (14)ρk =||pr, k -ps ||+c(Δb-Δbs )+cI+cT+ερ (14)
(14)利用公式(15)计算k时刻的码频率fcode,k(14) Use formula (15) to calculate the code frequency fcode at time k, k
此外,本发明还公开了一种卫星导航接收机PLL与FLL结合的矢量跟踪定位装置,所述装置包括处理器、以及通过通信总线与所述处理器连接的存储器;其中,In addition, the present invention also discloses a vector tracking and positioning device combining the PLL and the FLL of the satellite navigation receiver, the device includes a processor and a memory connected to the processor through a communication bus; wherein,
所述存储器,用于存储矢量跟踪定位程序;The memory is used to store the vector tracking and positioning program;
所述处理器,用于执行矢量跟踪定位程序,以实现任一项所述的卫星导航接收机PLL与FLL结合的矢量跟踪方法。The processor is configured to execute a vector tracking and positioning program, so as to implement any one of the vector tracking methods of the satellite navigation receiver combining PLL and FLL.
以及公开了一种存储装置,所述存储装置为计算机存储装置,其上存储有矢量跟踪定位程序,所述矢量跟踪定位程序可被一个或者多个处理器执行,以使所述一个或者多个处理器执行如任一项所述的卫星导航接收机PLL与FLL结合的矢量跟踪方法。And a storage device is disclosed, the storage device is a computer storage device, and a vector tracking and positioning program is stored thereon, and the vector tracking and positioning program can be executed by one or more processors, so that the one or more The processor executes the vector tracking method combining the PLL and the FLL of the satellite navigation receiver according to any one of the above.
上述实施例仅例示性说明本发明的原理及其功效,而非用于限制本发明。任何熟悉此技术的人士皆可在不违背本发明的精神及范畴下,对上述实施例进行修饰或改变。因此,举凡所属技术领域中具有通常知识者在未脱离本发明所揭示的精神与技术思想下所完成的一切等效修饰或改变,仍应由本发明的权利要求所涵盖。The above-mentioned embodiments merely illustrate the principles and effects of the present invention, but are not intended to limit the present invention. Anyone skilled in the art can modify or change the above embodiments without departing from the spirit and scope of the present invention. Therefore, all equivalent modifications or changes made by those with ordinary knowledge in the technical field without departing from the spirit and technical idea disclosed in the present invention should still be covered by the claims of the present invention.
| Application Number | Priority Date | Filing Date | Title |
|---|---|---|---|
| CN202011608090.4ACN112748449A (en) | 2020-12-30 | 2020-12-30 | Vector tracking method combining phase-locked loop and frequency-locked loop of satellite navigation receiver |
| Application Number | Priority Date | Filing Date | Title |
|---|---|---|---|
| CN202011608090.4ACN112748449A (en) | 2020-12-30 | 2020-12-30 | Vector tracking method combining phase-locked loop and frequency-locked loop of satellite navigation receiver |
| Publication Number | Publication Date |
|---|---|
| CN112748449Atrue CN112748449A (en) | 2021-05-04 |
| Application Number | Title | Priority Date | Filing Date |
|---|---|---|---|
| CN202011608090.4AWithdrawnCN112748449A (en) | 2020-12-30 | 2020-12-30 | Vector tracking method combining phase-locked loop and frequency-locked loop of satellite navigation receiver |
| Country | Link |
|---|---|
| CN (1) | CN112748449A (en) |
| Publication number | Priority date | Publication date | Assignee | Title |
|---|---|---|---|---|
| CN113721270A (en)* | 2021-07-28 | 2021-11-30 | 江苏师范大学 | Satellite signal carrier synchronization method and system |
| CN114019543A (en)* | 2021-10-27 | 2022-02-08 | 武汉大学 | Elastic-enhanced GNSS pseudocode tracking method for improving pseudorange observation quality |
| CN114485650A (en)* | 2022-02-15 | 2022-05-13 | 上海海事大学 | A MEMS-INS assisted GNSS vector loop tracking method, device, storage medium and device |
| CN114660638A (en)* | 2022-03-31 | 2022-06-24 | 大连海事大学 | A frequency-locked loop-assisted vector phase-locked loop system |
| CN119644371A (en)* | 2024-12-12 | 2025-03-18 | 北京航空航天大学合肥创新研究院 | Tracking processing method for base band signal of receiver |
| CN119902241A (en)* | 2025-03-31 | 2025-04-29 | 西北工业大学 | Wideband tracking method of low-orbit satellite signals based on square error phase detector |
| Publication number | Priority date | Publication date | Assignee | Title |
|---|---|---|---|---|
| CN113721270A (en)* | 2021-07-28 | 2021-11-30 | 江苏师范大学 | Satellite signal carrier synchronization method and system |
| CN114019543A (en)* | 2021-10-27 | 2022-02-08 | 武汉大学 | Elastic-enhanced GNSS pseudocode tracking method for improving pseudorange observation quality |
| CN114019543B (en)* | 2021-10-27 | 2022-08-16 | 武汉大学 | Elastic enhanced GNSS pseudo code tracking method for improving pseudo-range observation quality |
| CN114485650A (en)* | 2022-02-15 | 2022-05-13 | 上海海事大学 | A MEMS-INS assisted GNSS vector loop tracking method, device, storage medium and device |
| CN114485650B (en)* | 2022-02-15 | 2023-09-19 | 上海海事大学 | A MEMS-INS assisted GNSS vector loop tracking method, device, storage medium and equipment |
| CN114660638A (en)* | 2022-03-31 | 2022-06-24 | 大连海事大学 | A frequency-locked loop-assisted vector phase-locked loop system |
| CN119644371A (en)* | 2024-12-12 | 2025-03-18 | 北京航空航天大学合肥创新研究院 | Tracking processing method for base band signal of receiver |
| CN119902241A (en)* | 2025-03-31 | 2025-04-29 | 西北工业大学 | Wideband tracking method of low-orbit satellite signals based on square error phase detector |
| Publication | Publication Date | Title |
|---|---|---|
| CN112748449A (en) | Vector tracking method combining phase-locked loop and frequency-locked loop of satellite navigation receiver | |
| CN109764879B (en) | Satellite orbit determination method and device and electronic equipment | |
| CN105607077B (en) | A kind of frequency GNSS navigation neceivers of spaceborne bimodulus four | |
| Xu et al. | Open-source MATLAB code for GPS vector tracking on a software-defined receiver | |
| Ge et al. | Enhancing real-time precise point positioning time and frequency transfer with receiver clock modeling | |
| Seepersad et al. | Reduction of PPP convergence period through pseudorange multipath and noise mitigation | |
| CN105607076B (en) | A kind of Beidou II B1 and B3 dual-frequency receivers | |
| Ge et al. | A computationally efficient approach for estimating high-rate satellite clock corrections in realtime | |
| AU638383B2 (en) | Method and system for deriving position using signals from satellites | |
| Zhou et al. | Optimal Doppler-aided smoothing strategy for GNSS navigation | |
| US5619212A (en) | System for determining position from suppressed carrier radio waves | |
| US20120326926A1 (en) | High sensitivity gps/gnss receiver | |
| CN101539619B (en) | Carrier wave aided tracking method used in high-dynamic double frequency GPS | |
| CN111965683A (en) | Combined positioning method, device and storage medium for satellite positioning and inertial navigation positioning | |
| CN106646544A (en) | Navigation data processing method and system | |
| CN113835109B (en) | Terminal positioning method and device, electronic equipment, storage medium and program product | |
| Han et al. | A Carrier phase tracking method for vector tracking loops | |
| Jin et al. | Analysis of a federal Kalman filter-based tracking loop for GPS signals | |
| Breivik et al. | Estimation of multipath error in GPS pseudorange measurements | |
| Tang et al. | The explicit tuning investigation and validation of a full Kalman filter-based tracking loop in GNSS receivers | |
| CN118915104A (en) | Loop tracking method and device | |
| KR20130006171A (en) | Signal processing method, correlator, software signal receiver by using code cycle | |
| Jianfeng et al. | Low C/N0 carrier tracking loop based on optimal estimation algorithm in GPS software receivers | |
| CN116736350A (en) | GNSS receiver cascade vector tracking method and vector tracking loop | |
| CN115113240B (en) | Tracking method, receiver and storage medium for ionospheric scintillation signal |
| Date | Code | Title | Description |
|---|---|---|---|
| PB01 | Publication | ||
| PB01 | Publication | ||
| SE01 | Entry into force of request for substantive examination | ||
| SE01 | Entry into force of request for substantive examination | ||
| WW01 | Invention patent application withdrawn after publication | ||
| WW01 | Invention patent application withdrawn after publication | Application publication date:20210504 |