Movatterモバイル変換


[0]ホーム

URL:


CN112747731A - Five-mass-block double-axis detection silicon micro-resonant gyroscope based on out-of-plane vibration - Google Patents

Five-mass-block double-axis detection silicon micro-resonant gyroscope based on out-of-plane vibration
Download PDF

Info

Publication number
CN112747731A
CN112747731ACN202011588764.9ACN202011588764ACN112747731ACN 112747731 ACN112747731 ACN 112747731ACN 202011588764 ACN202011588764 ACN 202011588764ACN 112747731 ACN112747731 ACN 112747731A
Authority
CN
China
Prior art keywords
mass block
axis direction
mass
detection
anchor point
Prior art date
Legal status (The legal status is an assumption and is not a legal conclusion. Google has not performed a legal analysis and makes no representation as to the accuracy of the status listed.)
Granted
Application number
CN202011588764.9A
Other languages
Chinese (zh)
Other versions
CN112747731B (en
Inventor
樊尚春
卢阳
郭占社
Current Assignee (The listed assignees may be inaccurate. Google has not performed a legal analysis and makes no representation or warranty as to the accuracy of the list.)
Beihang University
Original Assignee
Beihang University
Priority date (The priority date is an assumption and is not a legal conclusion. Google has not performed a legal analysis and makes no representation as to the accuracy of the date listed.)
Filing date
Publication date
Application filed by Beihang UniversityfiledCriticalBeihang University
Priority to CN202011588764.9ApriorityCriticalpatent/CN112747731B/en
Publication of CN112747731ApublicationCriticalpatent/CN112747731A/en
Application grantedgrantedCritical
Publication of CN112747731BpublicationCriticalpatent/CN112747731B/en
Activelegal-statusCriticalCurrent
Anticipated expirationlegal-statusCritical

Links

Images

Classifications

Landscapes

Abstract

Translated fromChinese

本发明公开了一种基于面外振动的五质量块双轴检测硅微谐振式陀螺,包括第一质量块、极板衬底、传递梁、2个处于对称位置敏感Y轴角速度的质量块、2个处于对称位置敏感X轴角速度的质量块、检测梳齿、锚点、杠杆支撑梁和边框。利用第一质量块与极板衬底形成电容结构使第一质量块产生Z轴方向上的简谐振动,通过第一质量块与其他四个质量块之间的支撑梁将该简谐运动传递到其他四个质量块上,使其他四个质量块实现与第一质量块相同的Z轴方向上的简谐运动,当X轴或Y轴方向的角速度发生,在四个质量块上产生科式力,通过梳齿检测结构实现对X轴和Y轴方向的角速度检测。本发明实现了面外振动五质量块双轴角速度的实时、高精度、高灵敏度的测量。

Figure 202011588764

The invention discloses a five-mass dual-axis detection silicon micro-resonance gyroscope based on out-of-plane vibration, comprising a first mass block, a polar plate substrate, a transfer beam, two mass blocks in a symmetrical position sensitive to the Y-axis angular velocity, 2 proof masses in symmetrical position sensitive to X-axis angular velocity, detection comb, anchor point, lever support beam and frame. Using the first mass block and the plate substrate to form a capacitor structure, the first mass block generates a simple harmonic vibration in the Z-axis direction, and the simple harmonic motion is transmitted through the support beams between the first mass block and the other four mass blocks To the other four mass blocks, make the other four mass blocks realize the same simple harmonic motion in the Z-axis direction as the first mass block. The angular velocity detection of the X-axis and Y-axis directions is realized through the comb tooth detection structure. The invention realizes the real-time, high-precision and high-sensitivity measurement of the biaxial angular velocity of the out-of-plane vibrating five-mass block.

Figure 202011588764

Description

Five-mass-block double-axis detection silicon micro-resonant gyroscope based on out-of-plane vibration
Technical Field
The invention belongs to the technical field of micro/nano electromechanical systems, and particularly relates to a five-mass-block double-shaft detection silicon micro-resonant gyroscope based on out-of-plane vibration.
Background
The gyroscope is a sensor for measuring the rotation angular velocity of a measured object in space, so that the gyroscope can be used for identifying the rotation angle of the object in unit time, is an important device in the field of inertial navigation, and plays an important role in aspects such as attitude control and the like. Conventional gyroscopes include mechanical rotor gyroscopes, liquid-floated gyroscopes, flexible gyroscopes, laser gyroscopes, and fiber optic gyroscopes, among others. Since the eighties of the last century, micromachining based on IC processes has begun to be applied to the manufacture of sensors, and the development of micromechanical gyroscopes has been greatly promoted by the advent of this technology, and silicon micromechanical gyroscopes have been developed. In 1988, the first silicon micromachined gyroscope in the world was designed and manufactured by the Draper laboratory in the united states. The working principle of the micromechanical gyroscope is the same as that of the vibrating piezoelectric crystal gyroscope. But the processing method, the device characteristics, the application prospect and the like are obviously different from the piezoelectric crystal gyroscope. Micromechanical gyroscopes are fabricated on single crystal silicon or quartz crystals by semiconductor processing and have associated electronics integrated on the same chip. The combination of micro-electronics and micro-mechanics meets the requirements of cheap and low-precision gyros for automobiles, control, consumer electronics and the like.
The gyroscope is in a free vibration state when not being subjected to external force; when the gyroscope is forced to vibrate under the action of external force. When the driving frequency of the external force is as close as possible to the detection frequency of the gyroscope, the gyroscope is called to be in a resonance state. In the resonance state, the gyroscope can make simple harmonic motion with the maximum amplitude, and the maximum sensitivity is realized. Japanese scholars develop a micro-mechanical gyroscope with comb-tooth electrostatic drive and an angular velocity sensitive mass vibrating in the Z direction under the action of Goldson force. The gyroscope is manufactured by utilizing a surface polysilicon processing technology, and high sensitivity is obtained by matching the resonant frequency of a driving mode and the resonant frequency of a detection mode by adopting ion etching to adjust structural parameters. The Berkeley division of California university reports a vibrating micro-mechanical Z-axis gyroscope integrating comb drive and comb capacitance detection manufactured by surface silicon micro-technology. The university of California's European school adopts two mechanical structures, and couple the energy of one component resonance to the second component, measure the motion of second component, realize the design of two degrees of freedom gyro structures.
Research and investigation aiming at the existing MEMS gyroscope structure are all used for measuring the single-axis angular velocity, and the solution for measuring the two axial angular velocities at the same time point is to orthogonally place the two single-axis gyroscopes to output two signals, namely to simultaneously use two single-axis gyroscopes to measure the two axial angular velocities, and does not realize simultaneous detection of the two axial angular velocities by one gyroscope structure. The five-mass-block double-shaft detection vibrating gyroscope based on out-of-plane vibration can meet the requirement that an independent device measures two axial angular velocities in real time, so that the gyroscope device for double-shaft detection in the inertia measurement unit has the advantages of small size and flexible structure.
Disclosure of Invention
The technical problem to be solved by the invention is as follows: aiming at the characteristic that the existing MEMS vibrating gyroscope can only realize single-axis detection, the five-mass-block double-axis detection silicon micro-resonant gyroscope based on out-of-plane vibration can realize double-axis detection and has a flexible structure, and the detection of two axial angular velocities can be simultaneously finished by one device.
The technical scheme adopted by the invention for solving the technical problems is as follows: a five-mass-block double-shaft detection silicon micro-resonance gyroscope based on out-of-plane vibration comprises a first mass block, a polar plate substrate, a first mass block in the Y-axis direction, a first mass block in the X-axis direction, a second mass block in the Y-axis direction, a second mass block in the X-axis direction, a detection comb fixing structure, a detection comb movable structure, an anchor point mass block elastic beam, a mass block connecting beam, an anchor point frame connecting beam and a frame, wherein the detection comb fixing structure and the anchor point are fixed on the polar plate substrate; the first mass block is connected with the first mass block in the Y-axis direction, the first mass block in the X-axis direction, the second mass block in the Y-axis direction and the second mass block in the X-axis direction respectively through mass block connecting beams and is in a suspended state; the movable detection comb tooth structure is respectively connected with the first mass block in the Y-axis direction, the first mass block in the X-axis direction, the second mass block in the Y-axis direction and the second mass block in the X-axis direction into a whole, can realize displacement generated in the X-axis direction, the Y-axis direction and the Z-axis direction with the movable detection comb tooth structure, and forms a detection comb tooth capacitor with the fixed detection comb tooth structure; the frame is connected with the anchor point through the anchor point frame connecting beam to form a fixed structure; the first mass block in the Y-axis direction, the first mass block in the X-axis direction, the second mass block in the Y-axis direction and the second mass block in the X-axis direction are consistent in geometric size, and the vibration directions of the internal detection comb tooth fixing structure and the detection comb tooth movable structure are different.
Furthermore, the detection comb fixing structure is made of monocrystalline silicon and is fixed on the polar plate substrate as same as the anchor point material, and the thickness of the detection comb fixing structure is the same as that of the anchor point material; the first mass block in the Y-axis direction, the first mass block in the X-axis direction, the second mass block in the Y-axis direction, the second mass block in the X-axis direction, the movable structure of the detection comb teeth, the elastic beam of the anchor mass block, the mass block connecting beam, the anchor frame connecting beam and the frame are made of the same material and are in a suspended state by monocrystalline silicon, and the bottom layers are positioned on the same horizontal plane and have the same thickness.
Further, processing and molding the detection comb tooth fixing structure and the columnar root supporting part of the anchor point on a piece of monocrystalline silicon with a flat structure through a first etching process; processing and molding the first mass block, the first mass block in the Y-axis direction, the first mass block in the X-axis direction, the second mass block in the Y-axis direction, the second mass block in the X-axis direction, the anchor mass block elastic beam, the mass block connecting beam, the anchor frame connecting beam and the frame through a secondary etching process; processing and forming the movable detection comb tooth structure in the Y-axis direction first mass block, the X-axis direction first mass block, the Y-axis direction second mass block and the X-axis direction second mass block through a third etching process; finally, the processed silicon wafer is turned over, and the polar plate substrate is fixed on the opposite side of the first mass block, namely the other end face of the anchor point.
Furthermore, the first mass block in the Y-axis direction, the first mass block in the X-axis direction, the second mass block in the Y-axis direction, the second mass block in the X-axis direction, the movable structure of the detection comb teeth, the anchor mass block elastic beam, the mass block connecting beam, the anchor frame connecting beam and the frame are all on the same horizontal plane; the positions of the first mass block in the Y-axis direction and the second mass block in the Y-axis direction in the normal direction are completely symmetrical, the positions of the first mass block in the X-axis direction and the second mass block in the X-axis direction in the axial direction are completely symmetrical, the sizes of the first mass block in the X-axis direction and the second mass block in the X-axis direction are completely the same, and the two pairs of symmetrical structures can simultaneously sense the influences of the angular speed to be measured and the.
Furthermore, the first mass block of the gyroscope and the polar plate substrate form a capacitance structure, simple harmonic vibration of the first mass block in the out-of-plane (Z-axis) direction can be realized in the power-on state, the vibration is respectively transmitted to the first mass block in the Y-axis direction, the first mass block in the X-axis direction, the second mass block in the Y-axis direction and the second mass block in the X-axis direction through the mass block connecting beams, so that the four symmetrical mass blocks are in the resonance state in the out-of-plane (Z-axis) direction, when the angular velocity of the X-axis or the Y-axis is generated, the two pairs of mass blocks in the symmetrical state feel the displacement generated along the direction under the action of the formula force, and the displacement of the mass blocks drives the displacement of the movable structure of the internal detection comb teeth, so that the detection comb teeth. Therefore, the excitation-vibration pickup mode of the gyroscope is an electrical mode, an electrostatic drive mode and a capacitance detection mode.
The principle of the invention is as follows: the utility model provides a five quality piece biax detection silicon are resonant gyroscope a little based on off-plate vibration, includes first quality piece, polar plate substrate, the first quality piece of Y axle direction, the first quality piece of X axle direction, Y axle direction second quality piece, X axle direction second quality piece, detection broach fixed knot construct, detection broach movable structure, anchor point quality piece elastic beam, quality piece tie-beam, anchor point frame tie-beam and frame.
The detection comb tooth fixing structure and the anchor point are both fixed on the polar plate substrate; the first mass block in the Y-axis direction, the first mass block in the X-axis direction, the second mass block in the Y-axis direction and the second mass block in the X-axis direction are connected with the first mass block through mass block connecting beams to form an axisymmetric structure respectively, and the first mass block in the Y-axis direction, the first mass block in the X-axis direction, the second mass block in the Y-axis direction and the second mass block in the X-axis direction are consistent in size; the first mass block is connected with the anchor point through the anchor point frame connecting beam.
The first mass block is connected with the anchor point through the anchor point connecting beam, so that the first mass block, the first mass block in the Y-axis direction, the first mass block in the X-axis direction, the second mass block in the Y-axis direction and the second mass block in the X-axis direction are all in a suspended state on the same horizontal plane; the first mass block, the first mass block in the Y-axis direction, the first mass block in the X-axis direction, the second mass block in the Y-axis direction and the second mass block in the X-axis direction are made of the same material and can have the same vibration perpendicular to the plane of the mass blocks through the connection of the mass block connecting beams, so that a whole is formed.
The bottom of the detection comb fixing structure is connected with the polar plate substrate immovably, and the movable part of the detection comb is connected with the first mass block in the Y-axis direction, the first mass block in the X-axis direction, the second mass block in the Y-axis direction and the second mass block in the X-axis direction internally, can generate displacement along with the movement of the mass blocks and forms a detection capacitor structure with the detection comb fixing structure.
The first mass block is connected with the anchor point through the anchor point connecting beam, the anchor point connecting beam has high rigidity in the X axis direction and the Y axis direction, and the rigidity in the Z axis direction is low, so that the first mass block can move in the Z axis direction and the displacement in the X axis direction and the Y axis direction is low.
Compared with the prior art, the invention has the advantages that: according to the invention, the out-of-plane vibration generated by the first mass block drives other four axial mass blocks to simultaneously generate out-of-plane vibration, so that the measurement of two axial angular velocities is realized simultaneously by the other four mass blocks, the requirement of the same gyroscope structure on the detection of the two-axis angular velocities is met, the gyroscope has the characteristics of smaller volume, faster detection of the two axial angular velocities, stronger impact resistance, better reliability of the MEMS two-axis detection gyroscope, reduction of common-mode interference in symmetric measurement and the like, and the MEMS two-axis detection gyroscope has great application potential in the fields of aviation, aerospace, navigation, industry and consumer electronics.
Drawings
FIG. 1 is a top view of a five-proof-mass two-axis detection vibrating gyroscope based on out-of-plane vibration according to the present invention;
FIG. 2 is a perspective view of a five-proof-mass two-axis detection vibrating gyroscope based on out-of-plane vibration according to the present invention;
FIG. 3 is a diagram of a sensing structure of a five-proof-mass two-axis detection vibrating gyroscope based on out-of-plane vibration according to the present invention;
FIG. 4 is a schematic view of the Coriolis effect;
FIG. 5 is a Coriolis acceleration analysis chart;
FIG. 6 is a parallel plate capacitance model.
In the figure: 1 is a first mass block; 2 is a polar plate substrate; 3 is a first mass block in the Y-axis direction; 4 is a first mass block in the X-axis direction; 5 is a second mass block in the Y-axis direction; 6 is a second mass block in the X-axis direction; 7 is a detection comb fixing structure; 8 is a movable structure of detection comb teeth; 9 is an anchor point; 10 is an anchor mass block elastic beam; 11 is a mass block connecting beam; 12 is an anchor point frame connecting beam; and 13 is a frame.
Detailed Description
The invention is further described with reference to the following figures and detailed description.
As shown in fig. 1-3, a five-mass-block two-axis detection resonant gyro angular velocity sensor based on out-of-plane vibration comprises afirst mass block 1, apolar plate substrate 2, afirst mass block 3 in the Y-axis direction, afirst mass block 4 in the X-axis direction, asecond mass block 5 in the Y-axis direction, asecond mass block 6 in the X-axis direction, a detectioncomb fixing structure 7, a detection combmovable structure 8, ananchor point 9, an anchor point mass blockelastic beam 10, a massblock connecting beam 11, an anchor pointframe connecting beam 12 and aframe 13.
The gyroscope structure is made of silicon materials, the preparation of the silicon materials can be realized by selecting relatively mature bulk silicon or surface silicon process technology, the gyroscope structure is realized by utilizing an etching process and a silicon and polar plate substrate bonding process, and large-scale preparation and production are realized.
Cleaning a silicon wafer with a thicker thickness, performing first photoetching on 2 surfaces of one surface (the selected surface is considered to be a second surface, hereinafter, the surface is called 2 surfaces, and the other surface is called 1 surface), and performing first etching after photoetching to form a root columnar structure of theanchor point 9 and the detection combtooth fixing structure 7 and an etched flat silicon wafer.
And performing second mask photoetching on the flat silicon wafer subjected to the first etching, and etching to obtain specific details and structures of thefirst mass block 1, thefirst mass block 3 in the Y-axis direction, thefirst mass block 4 in the X-axis direction, thesecond mass block 5 in the Y-axis direction, thesecond mass block 6 in the X-axis direction, theanchor point 9, the anchor point mass blockelastic beam 10, the massblock connecting beam 11, the anchor pointframe connecting beam 12 and theframe 13.
And carrying out third mask photoetching on the basis of the second etching, and etching comb tooth parts of the detection combtooth fixing structure 7 and the detection comb toothmovable structure 8 to form a comb tooth detection structure.
The metal polar plate substrate and the root part of the columnar structure of theanchor point 9 and the detectioncomb fixing structure 7 on the 2 surface are bonded, and the whole gyroscope is placed on the metal polar plate substrate in a three-dimensional state to form a three-dimensional structure shown in figure 2.
Thefirst mass block 1, the detection combtooth fixing structure 7 and the detection comb toothmovable structure 8 are subjected to electrode bonding on thesurface 1 through a silicon-electrode bonding process, so that thefirst mass block 1 can be driven by electric field force through electrodes, and the detection combtooth fixing structure 7 and the detection comb toothmovable structure 8 can detect changes of capacitance values through the electrodes.
The sensitive structure part is shown in fig. 3, and the detection comb tooth capacitor structure formed by silicon material is manufactured by the second etching, and the detection combtooth fixing structure 7 is fixed on themetal plate substrate 2 by the bonding of themetal plate substrate 2.
The principle and the working process of the invention are as follows: thefirst mass block 1 and the metalpolar plate substrate 2 form a parallel plate capacitor structure, and electrostatic force is generated between thefirst mass block 1 and the metalpolar plate substrate 2 through electrodes to drive thefirst mass block 1 to vibrate in the Z-axis direction. Thefirst mass block 1 can only vibrate in the Z-axis direction due to the limitation of the anchor mass block elastic beam in the X-axis direction and the Y-axis direction. And thefirst mass block 3 in the Y-axis direction, thefirst mass block 4 in the X-axis direction, thesecond mass block 5 in the Y-axis direction and thesecond mass block 6 in the X-axis direction are driven by the elastic beam of the mass block to vibrate together in the Z-axis direction. Because the other four mass blocks are only driven by the mass block elastic beams and have no other axial limitation, the other four mass blocks can bear the vibration of thefirst mass block 1 in the Z-axis direction without damage, and the five mass blocks simultaneously vibrate at the same frequency.
When the angular velocity in the X axis direction occurs, thefirst mass block 3 located in the Y axis direction and thesecond mass block 5 located in the Y axis direction feel coriolis force to generate a small displacement in the Y axis direction, the movable detectioncomb teeth structure 8 located inside thefirst mass block 3 located in the Y axis direction and thesecond mass block 5 located in the Y axis direction generates displacement and changes with the capacitance output formed by the fixed detectioncomb teeth structure 7, and the detection of the angular velocity in the X axis direction is realized through the output of capacitance analog signals.
When the angular velocity in the Y axis direction occurs, thefirst mass block 4 and thesecond mass block 6 in the X axis direction feel coriolis force to generate a small displacement in the X axis direction, the movable detectioncomb teeth structure 8 inside thefirst mass block 4 and thesecond mass block 6 in the X axis direction generates a displacement and a capacitance output formed by the fixed detectioncomb teeth structure 7 changes, and the detection of the angular velocity in the Y axis direction is realized through the output of a capacitance analog signal.
In the present invention, the parallel plate capacitance formed by thefirst proof mass 1 and themetal plate substrate 2 provides the five proof masses with vibration in the Z-axis direction by electrostatic force so that the five proof masses are in a resonant state in the Z-axis direction. When two angular velocities in the X-axis direction and the Y-axis direction are input simultaneously, thefirst mass block 3 and thesecond mass block 5 in the Y-axis direction sense the angular velocity in the X-axis direction, thefirst mass block 4 and thesecond mass block 6 in the X-axis direction sense the angular velocity in the Y-axis direction, and the change of the Coriolis force is converted into the change of the variable-area capacitance output through the respective mass blocks, so that the measurement of the orthogonal axial angular velocity is realized.
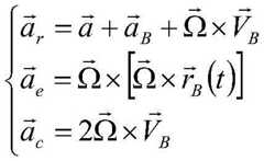
As shown in fig. 5, let a be a static coordinate system oyx, and B be a moving coordinate system O 'X' Y 'Z', and rotate at an angular velocity Ω.
The displacement vector is then:
Figure BDA0002866526370000061
in the formula:
Figure BDA0002866526370000062
representing a relative A coordinate systemA displacement vector of (a);
Figure BDA0002866526370000063
a rotational displacement vector representing a B coordinate system;
Figure BDA0002866526370000064
representing a displacement vector relative to a B coordinate system;
the displacement vector calculates the first derivative of time to be a velocity vector, and calculates the second derivative of time to be an acceleration vector, so that the following can be obtained:
Figure BDA0002866526370000065
Figure BDA0002866526370000066
in the formula (I), the compound is shown in the specification,
Figure BDA0002866526370000067
relative speed of the moving coordinate system B
Figure BDA0002866526370000068
-linear acceleration of the moving coordinate system B;
Figure BDA0002866526370000069
-the rotational acceleration of the moving point relative to the moving coordinate system B;
Figure BDA00028665263700000610
-relative acceleration of the moving point;
Figure BDA00028665263700000611
-the bulk acceleration of the moving point;
Figure BDA00028665263700000612
-coriolis acceleration of the moving point;
the absolute acceleration of the moving point includes a bulk acceleration, a relative acceleration, and a coriolis acceleration.
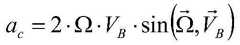
The coriolis acceleration is:
Figure BDA00028665263700000613
direction perpendicular to the angle velocity of the drawing
Figure BDA00028665263700000614
And
Figure BDA00028665263700000615
plane of relative velocity. In the five-mass-block double-shaft detection resonant gyro angular velocity sensor based on out-of-plane vibration, a driving capacitor formed by a firstmass block 1 and apolar plate substrate 2 enables the firstmass block 1 to vibrate in a Z-axis direction to be a plane where a relative velocity is located, and when X-axis acceleration is generated to be a plane where a traction acceleration is located, a Coriolis acceleration is generated by a Y axis vertical to the Z axis and the X axis; similarly, when the acceleration of the Y axis occurs, the acceleration of Coriolis is generated by the X axis which is perpendicular to the Z axis and the Y axis, and then Coriolis force is generated.
As shown in FIG. 6, for the parallel plate capacitance model,. epsilon.is the dielectric constant of the parallel plate capacitance, L is the relative length, b is the relative width, d0For the spacing of the parallel plate capacitance, the capacitance is then expressed as:
Figure BDA0002866526370000071
by varying the relative length L and spacing d0A change in capacitance value may be achieved. The driving of the electrostatic force can be obtained by a change of the capacitance value. Similarly, when the capacitance value is changed by external force, the external force value can be obtained by detecting the change of the capacitance valueIs small.

Claims (5)

1. The utility model provides a five quality piece biax detection silicon are resonant gyroscope a little based on out-of-plane vibration, including first quality piece (1), polar plate substrate (2), the first quality piece of Y axle direction (3), the first quality piece of X axle direction (4), Y axle direction second quality piece (5), X axle direction second quality piece (6), detection broach fixed knot constructs (7), detection broach movable structure (8), anchor point (9), anchor point quality piece elastic beam (10), quality piece tie-beam (11), anchor point frame tie-beam (12) and frame (13), its characterized in that: the detection comb fixing structure (7) and the anchor points (9) are fixed on the polar plate substrate (2), and the first mass block (1) is connected with the anchor points (9) through anchor point mass block elastic beams (10), so that the first mass block (1) is in a suspended state and can meet simple harmonic vibration in the Z-axis direction; the first mass block (1) is connected with the first mass block (3) in the Y-axis direction, the first mass block (4) in the X-axis direction, the second mass block (5) in the Y-axis direction and the second mass block (6) in the X-axis direction through mass block connecting beams (11) respectively and is in a suspended state; the detection comb tooth movable structure (8) is respectively connected with the first mass block (3) in the Y-axis direction, the first mass block (4) in the X-axis direction, the second mass block (5) in the Y-axis direction and the second mass block (6) in the X-axis direction into a whole, can realize displacement generated in the X-axis direction, the Y-axis direction and the Z-axis direction together with the detection comb tooth movable structure, and forms a detection comb tooth capacitor together with the detection comb tooth fixed structure (7); the frame (13) is connected with the anchor point (6) through the anchor point frame connecting beam (9) to form a fixed structure; the first mass block (3) in the Y-axis direction, the first mass block (4) in the X-axis direction, the second mass block (5) in the Y-axis direction and the second mass block (6) in the X-axis direction are consistent in geometric dimension, and the vibration directions of the internal detection comb tooth fixing structure (7) and the detection comb tooth movable structure (8) are different.
2. An out-of-plane vibration-based five-proof-mass biaxial detection silicon micro-resonant gyroscope as claimed in claim 1 wherein: the detection comb fixing structure (7) and the anchor point (9) are made of the same material and are made of the same monocrystalline silicon and fixed on the polar plate substrate (2), and the thicknesses of the monocrystalline silicon and the polar plate substrate are the same; the detection comb-tooth type silicon crystal silicon detector comprises a Y-axis direction first mass block (3), an X-axis direction first mass block (4), a Y-axis direction second mass block (5), an X-axis direction second mass block (6), a detection comb-tooth movable structure (8), anchor point mass block elastic beams (10), mass block connecting beams (11), anchor point frame connecting beams (12) and a frame (13), wherein the materials of the first mass block, the X-axis direction second mass block, the detection comb-tooth movable structure (8), the anchor point mass block elastic beams (10), the mass block connecting beams.
3. An out-of-plane vibration-based five-proof-mass biaxial detection silicon micro-resonant gyroscope as claimed in claim 1 wherein: processing and molding the detection comb tooth fixing structure (7) and the columnar root supporting part of the anchor point (9) on a piece of monocrystalline silicon with a flat structure by a primary etching process; processing and molding the first mass block (1), the first mass block (3) in the Y-axis direction, the first mass block (4) in the X-axis direction, the second mass block (5) in the Y-axis direction, the second mass block (6) in the X-axis direction, the anchor point mass block elastic beam (10), the mass block connecting beam (11), the anchor point frame connecting beam (12) and the frame (13) through a secondary etching process; processing and forming a movable detection comb tooth structure (8) in the structures of the first mass block (3) in the Y-axis direction, the first mass block (4) in the X-axis direction, the second mass block (5) in the Y-axis direction and the second mass block (6) in the X-axis direction by a third etching process; and finally, turning the processed silicon wafer, and fixing the polar plate substrate on the opposite surface of the first mass block (1), namely the other end surface of the anchor point (9).
4. An out-of-plane vibration-based five-proof-mass biaxial detection silicon micro-resonant gyroscope as claimed in claim 1 wherein: the first mass block (1), the first mass block (3) in the Y-axis direction, the first mass block (4) in the X-axis direction, the second mass block (5) in the Y-axis direction, the second mass block (6) in the X-axis direction, the detection comb movable structure (8), the anchor point mass block elastic beam (10), the mass block connecting beam (11), the anchor point frame connecting beam (12) and the frame (13) are all on the same horizontal plane; the positions of the first mass block (3) in the Y-axis direction and the position of the second mass block (5) in the Y-axis direction in the normal direction are completely symmetrical, the positions of the first mass block (4) in the X-axis direction and the position of the second mass block (6) in the X-axis direction in the axial direction are completely symmetrical, the sizes of the first mass block and the second mass block are completely the same, and the two pairs of symmetrical structures can simultaneously sense the influences of the angular speed to be measured and the environment.
5. An out-of-plane vibration-based five-proof-mass biaxial detection silicon micro-resonant gyroscope as claimed in claim 1 wherein: the first mass block (1) of the gyroscope and the polar plate substrate (2) form a capacitance structure, simple harmonic vibration of the first mass block in the out-of-plane (namely Z-axis) direction can be realized in the power-on state, the vibration is respectively transmitted to the first mass block (3) in the Y-axis direction, the first mass block (4) in the X-axis direction, the second mass block (5) in the Y-axis direction and the second mass block (6) in the X-axis direction to enable four symmetrical mass blocks to be in the out-of-plane (Z-axis) direction resonance state, when the angular velocity of the X-axis or the Y-axis is generated, the two pairs of mass blocks in the symmetrical state feel the Coriolis force to generate displacement along the direction, and the displacement of the mass blocks drives the displacement of the movable structure (8) of the internal detection comb teeth to enable the detection comb teeth to enter the variable gap type capacitance detection working state. Therefore, the excitation-vibration pickup mode of the gyroscope is an electrical mode, an electrostatic drive mode and a capacitance detection mode.
CN202011588764.9A2020-12-282020-12-28 A five-mass biaxial detection silicon microresonant gyroscope based on out-of-plane vibrationActiveCN112747731B (en)

Priority Applications (1)

Application NumberPriority DateFiling DateTitle
CN202011588764.9ACN112747731B (en)2020-12-282020-12-28 A five-mass biaxial detection silicon microresonant gyroscope based on out-of-plane vibration

Applications Claiming Priority (1)

Application NumberPriority DateFiling DateTitle
CN202011588764.9ACN112747731B (en)2020-12-282020-12-28 A five-mass biaxial detection silicon microresonant gyroscope based on out-of-plane vibration

Publications (2)

Publication NumberPublication Date
CN112747731Atrue CN112747731A (en)2021-05-04
CN112747731B CN112747731B (en)2022-09-23

Family

ID=75646550

Family Applications (1)

Application NumberTitlePriority DateFiling Date
CN202011588764.9AActiveCN112747731B (en)2020-12-282020-12-28 A five-mass biaxial detection silicon microresonant gyroscope based on out-of-plane vibration

Country Status (1)

CountryLink
CN (1)CN112747731B (en)

Cited By (6)

* Cited by examiner, † Cited by third party
Publication numberPriority datePublication dateAssigneeTitle
CN113280967A (en)*2021-05-082021-08-20杭州电子科技大学Three-dimensional decoupling force touch sensor and MEMS (micro-electromechanical systems) preparation method
CN113566804A (en)*2021-06-082021-10-29王辛望Four-mass optical-electromechanical three-axis gyroscope of three-dimensional photonic crystal and processing method thereof
CN114195089A (en)*2021-12-132022-03-18泉州市云箭测控与感知技术创新研究院 A six-mass MEMS dual-axis gyro for suppressing common-mode interference signals
CN115711691A (en)*2022-11-092023-02-24杭州电子科技大学Inertial interference resistant multi-force signal MEMS sensor and manufacturing method thereof
CN116147599A (en)*2023-04-182023-05-23华芯拓远(天津)科技有限公司Four-mass full-differential double-shaft MEMS gyroscope
CN116182919A (en)*2023-04-232023-05-30西北工业大学 Three-axis high-temperature vibration sensor based on optical fiber F-P cavity and its preparation method

Citations (6)

* Cited by examiner, † Cited by third party
Publication numberPriority datePublication dateAssigneeTitle
US20060112764A1 (en)*2004-12-012006-06-01Denso CorporationAngular velocity detector having inertial mass oscillating in rotational direction
CN102109534A (en)*2010-11-302011-06-29南京理工大学Two-axis resonant silicon micro-accelerometer
CN102305626A (en)*2011-07-072012-01-04西北工业大学Novel MEMS (micro electro mechanical system) centrifugal-type gyroscope
CN106597011A (en)*2016-12-232017-04-26中北大学Double-shaft MEMS resonant acceleration transducer structure
CN109387191A (en)*2018-09-282019-02-26清华大学A kind of high-temperature adaptability MEMS planar resonant gyroscope structure
CN110631568A (en)*2019-09-102019-12-31东南大学 A novel MOEMS dual-axis gyroscope based on a two-dimensional photonic crystal cavity structure and its processing method

Patent Citations (6)

* Cited by examiner, † Cited by third party
Publication numberPriority datePublication dateAssigneeTitle
US20060112764A1 (en)*2004-12-012006-06-01Denso CorporationAngular velocity detector having inertial mass oscillating in rotational direction
CN102109534A (en)*2010-11-302011-06-29南京理工大学Two-axis resonant silicon micro-accelerometer
CN102305626A (en)*2011-07-072012-01-04西北工业大学Novel MEMS (micro electro mechanical system) centrifugal-type gyroscope
CN106597011A (en)*2016-12-232017-04-26中北大学Double-shaft MEMS resonant acceleration transducer structure
CN109387191A (en)*2018-09-282019-02-26清华大学A kind of high-temperature adaptability MEMS planar resonant gyroscope structure
CN110631568A (en)*2019-09-102019-12-31东南大学 A novel MOEMS dual-axis gyroscope based on a two-dimensional photonic crystal cavity structure and its processing method

Cited By (8)

* Cited by examiner, † Cited by third party
Publication numberPriority datePublication dateAssigneeTitle
CN113280967A (en)*2021-05-082021-08-20杭州电子科技大学Three-dimensional decoupling force touch sensor and MEMS (micro-electromechanical systems) preparation method
CN113566804A (en)*2021-06-082021-10-29王辛望Four-mass optical-electromechanical three-axis gyroscope of three-dimensional photonic crystal and processing method thereof
CN114195089A (en)*2021-12-132022-03-18泉州市云箭测控与感知技术创新研究院 A six-mass MEMS dual-axis gyro for suppressing common-mode interference signals
CN115711691A (en)*2022-11-092023-02-24杭州电子科技大学Inertial interference resistant multi-force signal MEMS sensor and manufacturing method thereof
CN116147599A (en)*2023-04-182023-05-23华芯拓远(天津)科技有限公司Four-mass full-differential double-shaft MEMS gyroscope
CN116147599B (en)*2023-04-182023-06-23华芯拓远(天津)科技有限公司Four-mass full-differential double-shaft MEMS gyroscope
CN116182919A (en)*2023-04-232023-05-30西北工业大学 Three-axis high-temperature vibration sensor based on optical fiber F-P cavity and its preparation method
CN116182919B (en)*2023-04-232023-09-12西北工业大学Triaxial high-temperature vibration sensor based on optical fiber F-P cavity and preparation method thereof

Also Published As

Publication numberPublication date
CN112747731B (en)2022-09-23

Similar Documents

PublicationPublication DateTitle
CN112747731B (en) A five-mass biaxial detection silicon microresonant gyroscope based on out-of-plane vibration
CN104459181B (en)A kind of bionical hair sensor sensitive for flow velocity, acceleration and angular speed
CN104807454B (en)A kind of single-chip integration six degree of freedom micro inertial measurement unit and its processing method
CN103900545B (en)Monolithic integration holohedral symmetry three-axis silicon micro-tuning fork gyroscope
US5723790A (en)Monocrystalline accelerometer and angular rate sensor and methods for making and using same
CN1948906B (en)Capacitive type complete decoupling horizontal axis miniature mechanical gyro
CN106500682B (en) A MEMS gyroscope
CN114195089B (en) A six-mass MEMS dual-axis gyroscope for suppressing common-mode interference signals
CN103900546A (en)Micro-electromechanical six-axis inertial sensor
CN108955663B (en)Resonant double-shaft micro-mechanical wheel type gyroscope
CN111780737B (en)High-precision horizontal axis silicon micro gyroscope based on tuning fork driving effect
CN102252668B (en) Silicon micro-angle vibration output gyroscope
CN101109635A (en) Micromachined Gyroscope Based on Tunnel Effect
CN113566804B (en)Four-mass optical-electromechanical three-axis gyroscope of three-dimensional photonic crystal and processing method thereof
CN102155944B (en)Six-axis microtype inertial sensor integrating accelerometer and gyroscope and application method thereof
CN102064021B (en)Comb tooth capacitor of micromachine
CN102645211A (en)Four-degree-of-freedom micromechanical gyroscope
CN101746708B (en)Fully-decoupled capacitance type micromachined gyroscope
CN110702088B (en)Wheel type double-shaft micromechanical gyroscope
Tsai et al.Design and analysis of a tri-axis gyroscope micromachined by surface fabrication
CN102297689B (en)Electrostatically driven piezoelectric detection closed loop controlled micro-solid modal gyro
CN106441260A (en)On-silicon piezoelectric film multi-supporting-beam MEMS gyroscope and preparation method thereof
CN110879059B (en) Device and method of tunnel magnetoresistance effect micro-gyroscope based on piezoelectric ceramic off-plane drive
Xu et al.Analytical and finite element analysis of a new tri-axial piezoelectric accelerometer
CN106546232A (en)A kind of MEMS gyroscope and its manufacturing process

Legal Events

DateCodeTitleDescription
PB01Publication
PB01Publication
SE01Entry into force of request for substantive examination
SE01Entry into force of request for substantive examination
GR01Patent grant
GR01Patent grant

[8]ページ先頭

©2009-2025 Movatter.jp