Movatterモバイル変換


[0]ホーム

URL:


CN112730996A - Antenna and passive device measuring method - Google Patents

Antenna and passive device measuring method
Download PDF

Info

Publication number
CN112730996A
CN112730996ACN202011521327.5ACN202011521327ACN112730996ACN 112730996 ACN112730996 ACN 112730996ACN 202011521327 ACN202011521327 ACN 202011521327ACN 112730996 ACN112730996 ACN 112730996A
Authority
CN
China
Prior art keywords
antenna
measuring
tested
coaxial structure
electric field
Prior art date
Legal status (The legal status is an assumption and is not a legal conclusion. Google has not performed a legal analysis and makes no representation as to the accuracy of the status listed.)
Granted
Application number
CN202011521327.5A
Other languages
Chinese (zh)
Other versions
CN112730996B (en
Inventor
纪锐
周峰
袁修华
孙景禄
孙薪棋
张颖艳
张大元
孟艾立
Current Assignee (The listed assignees may be inaccurate. Google has not performed a legal analysis and makes no representation or warranty as to the accuracy of the list.)
China Academy of Information and Communications Technology CAICT
Original Assignee
China Academy of Information and Communications Technology CAICT
Priority date (The priority date is an assumption and is not a legal conclusion. Google has not performed a legal analysis and makes no representation as to the accuracy of the date listed.)
Filing date
Publication date
Application filed by China Academy of Information and Communications Technology CAICTfiledCriticalChina Academy of Information and Communications Technology CAICT
Priority to CN202011521327.5ApriorityCriticalpatent/CN112730996B/en
Publication of CN112730996ApublicationCriticalpatent/CN112730996A/en
Application grantedgrantedCritical
Publication of CN112730996BpublicationCriticalpatent/CN112730996B/en
Activelegal-statusCriticalCurrent
Anticipated expirationlegal-statusCritical

Links

Images

Classifications

Landscapes

Abstract

Translated fromChinese

本发明提供了一种天线和无源器件的测量方法,涉及通信测量技术领域,适用场景多,频率范围从100M到40GHz,操作便捷、成本低;该方法步骤包括:S1、将待测器件置于所述测试计量装置内,并将待测器件与接收功率测量仪器连接,用于测量接收功率;S2、将所述测试计量装置的馈入端与连续波馈入仪器连接,用于向所述测试计量装置内馈入所需的连续波;S3、启动接收功率测量仪器和连续波馈入仪器,开始测量;S4、根据馈入连续波的功率计算待测器件所处位置的电场强度;该变同轴结构包括同轴设置的内导体和外导体,以及设于两者之间的空气腔;待测器件设于空气腔内。本发明提供的技术方案适用于多种通信测量试验的过程中。

Figure 202011521327

The invention provides a measurement method of an antenna and a passive device, which relates to the technical field of communication measurement, is applicable to many scenarios, has a frequency range from 100M to 40GHz, is convenient to operate, and has low cost; the method steps include: S1. in the test and measurement device, and connect the device under test with the received power measuring instrument for measuring the received power; S2, connect the feed-in end of the test and measurement device with the continuous wave feeding instrument, for the Feed the required continuous wave into the test and measurement device; S3, start the received power measuring instrument and the continuous wave feeding instrument, and start the measurement; S4, calculate the electric field strength at the location of the device under test according to the power of the fed continuous wave; The variable coaxial structure includes an inner conductor and an outer conductor arranged coaxially, and an air cavity arranged between them; the device to be tested is arranged in the air cavity. The technical solution provided by the present invention is suitable for various communication measurement tests.

Figure 202011521327

Description

Antenna and passive device measuring method
[ technical field ] A method for producing a semiconductor device
The invention relates to the technical field of communication measurement, in particular to a method for measuring an antenna and a passive device.
[ background of the invention ]
With the development of communication technology, the frequency range of a communication system is wider and wider, new challenges are provided for testing antennas and passive devices, and in various testing aspects related to electromagnetic fields, problems that the universality of testing devices and testing methods is not strong, different testing devices need to be developed for different devices or materials, and the like exist. For the test of the antenna, traditionally, the test mainly depends on an anechoic chamber, but the anechoic chamber has large floor area, high price, complex operation and low test efficiency. For passive devices such as connectors and cable assemblies, the shielding effectiveness is an important performance index, and a coaxial test method, a GTEM cell method, an anechoic chamber irradiation method and the like are adopted in the prior art, wherein the coaxial test method and the GTEM cell method have limited test frequency ranges, and the anechoic chamber irradiation method is complex to operate and expensive.
In addition, the initiating explosive device is a general name of disposable components and devices which are filled with gunpowder or explosive and can be ignited by burning or exploding after being stimulated by the outside so as to ignite the gunpowder, detonate the explosive or do mechanical work. The ignition bridge wire type electric initiating explosive device ignites or detonates energetic materials through the electric heating effect of the resistance wire, is widely applied to weapon ammunition and blasting engineering, and has high ignition reliability requirement. The reliability of the ignition of the initiating explosive device is determined by the sensitivity characteristics of the product. Particularly, it is very important to test the parameters of the disturbed failure in a complex electromagnetic environment, but an effective measurement method is always lacked.
Accordingly, there is a need to develop a measurement method and apparatus suitable for both antennas and passive devices to address the deficiencies of the prior art to address or mitigate one or more of the problems set forth above.
[ summary of the invention ]
In view of this, the invention provides a method and a device for measuring an antenna and a passive device, the device has multiple application scenes, the frequency coverage range can be from 100MHz to 40GHz, the antenna does not need to be replaced in the test process, the operation is convenient, and the cost is low.
On one hand, the invention provides a method for measuring an antenna and a passive device, which is characterized in that the measuring method is realized by adopting a test metering device with a gradient coaxial structure;
the measuring method comprises the following steps:
s1, placing the device to be tested in the test metering device, and connecting the device to be tested with a received power measuring instrument for measuring received power;
s2, connecting the feed-in end of the test metering device with a continuous wave feed-in instrument, and feeding required continuous waves into the test metering device;
s3, starting a received power measuring instrument and a continuous wave feed-in instrument to start measurement;
and S4, calculating the electric field intensity of the position of the device to be measured according to the power fed into the continuous wave, or directly measuring the electric field intensity of the position by using an electric field probe.
As described in the foregoing aspect and any possible implementation manner, there is further provided an implementation manner, where when the device under test is an antenna, the measuring method further includes: and S5, calculating the gain of the antenna to be measured according to the electric field intensity and the received power obtained in the S4.
The above aspect and any possible implementation manner further provide an implementation manner, and S6, calculate the antenna factor of the antenna to be tested according to the electric field strength and the received power obtained in S4.
The above-mentioned aspects and any possible implementation manner further provide an implementation manner, when the device to be measured is a passive device requiring electromagnetic shielding performance, the step of the measurement method further includes: and calculating the electromagnetic shielding effectiveness of the passive device according to the electric field intensity obtained in the step S4 and the measured received power.
The above aspect and any possible implementation further provide an implementation, where the passive device is a coaxial cable, and a vertical section of the coaxial cable is parallel to a central axis of the test and metering device.
The above-mentioned aspects and any possible implementation manner further provide an implementation manner, where when the device to be measured is an initiating explosive device bridgewire, the content of the measurement method includes: preparing a plurality of to-be-tested bridge filaments with the same specification, and performing the steps S1-S4 one by one until the electric field intensity of the position of the to-be-tested bridge filament when the to-be-tested bridge filament is blind is obtained;
during measurement, the time of irradiating the electromagnetic wave on the current to-be-measured bridge wire is ensured to reach the preset length. The specific length of the irradiation time is determined according to the specification of the bridge wire to be measured, experience and historical data.
The initiating explosive device bridge wire is one of passive devices.
In the aspect and any possible implementation manner described above, there is further provided an implementation manner, in the measuring process, the continuous wave feed-in parameter of the first bridge wire to be measured is determined according to empirical data; starting from the second bridge filament to be tested, the continuous wave feed-in parameters of the bridge filament to be tested are adjusted according to the blind condition of the bridge filament to be tested and the continuous wave feed-in parameters.
The above aspect and any possible implementation further provide an implementation in which the graded coaxial structure includes an inner conductor and an outer conductor coaxially disposed, and an air cavity disposed therebetween; the device to be tested is arranged in the air cavity; one end of the gradual change coaxial structure is used as a feed-in end, and the other end of the gradual change coaxial structure is provided with a wave absorbing device;
the inner conductor and the outer conductor each have a tapered nature in cross section.
The above aspect and any possible implementation further provide an implementation, where the gradient coaxial structure is a single-tip gradient coaxial structure or a double-tip gradient coaxial structure;
the non-sharp end of the single-sharp end gradual change coaxial structure is provided with a wave absorbing material; the wave-absorbing material covers the whole bottom surface of the end part;
the double-tip gradual change coaxial structure comprises two single-tip gradual change coaxial structures, inner conductors of the two single-tip gradual change coaxial structures are connected with the bottom surface of the inner conductor, outer conductors are connected with the bottom surface of the outer conductor, and two air cavities are communicated; one tip of the double-tip gradual change coaxial structure is used as a feed-in end, and the other tip is provided with a load for absorbing waves.
The above-described aspect and any possible implementation further provide an implementation manner that the two inner conductors and the two outer conductors in the dual-tip tapered coaxial structure are connected in the same manner, and are directly connected or connected in a straight line.
The above aspect and any possible implementation further provide an implementation, where the frequency coverage of the graded coaxial structure is in a range of 100MHz-40 GHz.
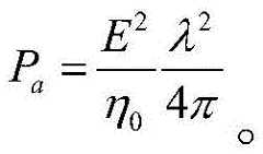
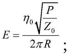
In the foregoing aspect and any possible implementation manner, there is further provided an implementation manner that the calculation formula of the electric field strength in step S4 is:
Figure BDA0002849040080000041
in the formula, E is the electric field intensity of the position of the device to be tested, and the unit is V/m; eta0Is the vacuum wave impedance; p is the power of continuous wave fed into the port, and the unit is W; z0Is the input impedance; and R is the distance from the central position of the device to be tested to the central axis of the test metering device.
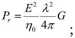
As described in the foregoing aspect and any possible implementation manner, an implementation manner is further provided, where a calculation formula of the gain of the antenna to be measured is:
Figure BDA0002849040080000042
in the formula, PrFor received power, G is the gain of the antenna under test and λ is the wavelength.
The above-mentioned aspect and any possible implementation manner further provide an implementation manner, and a calculation formula of the electromagnetic shielding effectiveness of the passive device is as follows:
Figure BDA0002849040080000051
in the formula, PcIs the received power; paIs a reference power;
Figure BDA0002849040080000052
the above-described aspect and any possible implementation manner further provide an implementation manner, where the calculation formula of the antenna factor is:
Figure BDA0002849040080000053
in the formula, E is the electric field intensity of the position where the device to be tested is located; prIs the received power; zLIs the load impedance; AF is the antenna factor.
The foregoing aspects and any possible implementations further provide an implementation that determines whether the bridge filament is blind; if so, replacing the next bridgewire to be tested, reducing the field intensity of the electromagnetic field, and repeating the test; if not, the next bridge filament to be tested is replaced, the electromagnetic field intensity is increased, and the test is repeated until the blind critical field intensity of the bridge filament meeting the precision requirement is obtained.
The above aspects and any possible implementations further provide an implementation in which the gradual property, in particular the cross-sectional radius, becomes linearly or non-linearly larger or smaller.
The above aspect and any possible implementation further provide an implementation in which the outer conductor and the inner conductor are both cones, and the tapers of the two are different.
The above-mentioned aspect and any possible implementation manner further provide an implementation manner, where the straight line joining specifically is: the bottom surfaces of the two cones are connected by a cylindrical connector.
Compared with the prior art, the invention can obtain the following technical effects: the device is generally used for antenna gain measurement, passive device electromagnetic shielding capability measurement, initiating explosive device bridge wire performance measurement (mainly referring to determination and measurement of blind critical field intensity), communication comprehensive tester calibration and other tests, has multiple application scenes, can cover the frequency coverage range from 100MHz to 40GHz, does not need to replace an antenna in the test process, and is convenient to operate and low in cost.
Of course, it is not necessary for any one product in which the invention is practiced to achieve all of the above-described technical effects simultaneously.
[ description of the drawings ]
In order to more clearly illustrate the technical solutions of the embodiments of the present invention, the drawings needed to be used in the embodiments will be briefly described below, and it is obvious that the drawings in the following description are only some embodiments of the present invention, and it is obvious for those skilled in the art to obtain other drawings based on these drawings without creative efforts.
FIG. 1 is a flow chart of a measurement method provided by one embodiment of the present invention;
FIG. 2 is a schematic view of a single point tapered coaxial structure provided by an embodiment of the present invention;
FIG. 3 is a cross-sectional view of a single tapered coaxial structure provided by one embodiment of the present invention;
FIG. 4 is a schematic diagram of a dual tip tapered coaxial structure provided by one embodiment of the present invention; wherein, FIG. 4(a) is a schematic diagram of a straight-connecting double-tip structure, and FIG. 4(b) is a schematic diagram of a straight-connecting double-tip structure;
FIG. 5 is a schematic diagram of an antenna test configuration provided by one embodiment of the present invention;
FIG. 6 is a schematic diagram of a coaxial cable shielding effectiveness testing configuration according to an embodiment of the present invention;
FIG. 7 is a schematic diagram of a bridgewire in an electromagnetic environment simulator, provided in accordance with an embodiment of the present invention;
fig. 8 is a schematic diagram of a bridge wire in a direct current equivalent measuring device according to an embodiment of the invention.
Wherein, in the figure:
1. an inner conductor; 2. an outer conductor; 3. an air chamber; 4. a port; 5. a wave-absorbing material; 6. and (4) loading.
[ detailed description ] embodiments
For better understanding of the technical solutions of the present invention, the following detailed descriptions of the embodiments of the present invention are provided with reference to the accompanying drawings.
It should be understood that the described embodiments are only some embodiments of the invention, and not all embodiments. All other embodiments, which can be derived by a person skilled in the art from the embodiments given herein without making any creative effort, shall fall within the protection scope of the present invention.
The terminology used in the embodiments of the invention is for the purpose of describing particular embodiments only and is not intended to be limiting of the invention. As used in the examples of the present invention and the appended claims, the singular forms "a," "an," and "the" are intended to include the plural forms as well, unless the context clearly indicates otherwise.
The application aims to provide a novel method and a novel device for testing an antenna and a passive device, which can realize gain testing of a broadband antenna, electromagnetic shielding performance testing of a connector and a cable, testing of an initiating explosive device bridge wire and the like through a universal device.
The testing device of the antenna and the passive device is an ultra wide band gradient coaxial cavity, and the structure of the cavity can be a single-tip gradient coaxial structure or a double-tip gradient coaxial structure. As shown in fig. 2, the structure includes a metalinner conductor 1, a metalouter conductor 2 and anair cavity 3, wherein theair cavity 3 is filled with air to achieve the effect of an insulating layer; the non-pointed end of the structure is provided with awave absorbing material 5 for absorbing unnecessary and useless electromagnetic waves and preventing the unnecessary and useless electromagnetic waves from being reflected. For a single tapered coaxial structure, the sharp end is a small coaxial structure (i.e.,port 4 in fig. 2) that can be connected to a conventional rf coaxial connector. In the process of extending from the sharp end to the other end, the cross-sectional areas of the inner conductor and the outer conductor are gradually increased, the change proportion can be linear or nonlinear, and when the change proportion is linear, theinner conductor 1 and theouter conductor 2 are both in a generally conical shape. Based on the principle of electromagnetic wave transmission, transverse electromagnetic waves are generated and propagated between theinner conductor 1 and theouter conductor 2, and the direction of the electric field is a direction pointing from the inner conductor to the outer conductor, as shown in fig. 3. When the air cavity with transverse electromagnetic waves between the inner conductor and the outer conductor is large enough, the antenna to be tested, the passive device or the mobile phone and other terminals can be placed in the air cavity for testing.
An example of a double cone structure is shown in fig. 4. For the double-tip gradual change coaxial structure, the whole structure is a structure in which two conical bottom surfaces are connected, and the two bottom surfaces can be directly connected during connection, as shown in fig. 4 (a); the connecting piece can also be used for connection (namely, a hollow cylinder is arranged between the two bottom surfaces, and the two end surfaces of the cylinder are respectively connected with the bottom surfaces of the two cones), and the design can increase the space for placing the measured object by the connecting structure shown in fig. 4 (b). The structures of the two conical tips can be connected with a universal radio frequency connector, wherein electromagnetic waves are fed from one conical tip, and the other conical tip can be connected with acoaxial load 6 to absorb the energy of the electromagnetic waves and prevent the energy from being reflected. The middle part is a structure with gradually enlarged cross section, and the enlargement ratio can be linear or nonlinear.
The device of the application can be applied to test and measure the antenna and the passive device in various scenes, and as shown in fig. 1, the specific content of the measurement method comprises the following steps: 1. the antenna gain test method comprises the steps of placing an antenna to be tested in an air cavity of a gradient coaxial structure, connecting the antenna to be tested with a received power measuring instrument and measuring received power; the port of the gradient coaxial structure is connected with a signal source or a power amplifier and is used for feeding continuous waves; and calculating the electric field intensity of the position of the antenna to be measured according to the power of the fed continuous wave, and then calculating the gain of the antenna to be measured based on the electric field intensity and the measured received power. 2. The method for testing the electromagnetic shielding effectiveness of the passive device comprises the steps of placing a device to be tested in an air cavity of a gradual change coaxial structure, ensuring that the part of the air cavity except the device to be tested is wrapped by shielding materials to prevent additional leakage influence, and connecting the device to be tested with a received power measuring instrument for measuring received power; the port of the gradient coaxial structure is connected with a signal source or a power amplifier and is used for feeding continuous waves; and calculating the electric field intensity of the position of the device to be detected according to the power of the fed continuous wave, and then calculating the shielding effectiveness of the device to be detected based on the electric field intensity and the measured received power. 3. The measuring method of the critical field intensity of the initiating explosive device bridge filament comprises the steps of emitting electromagnetic waves with specific frequency, pulse and field intensity into a gradient coaxial structure, and monitoring the electromagnetic field intensity of the bridge filament to be measured by using an electromagnetic field sensor; keeping the time of the electromagnetic wave irradiating on the bridge wire to reach a preset length; judging whether the bridge filaments are wild blind; if so, replacing the next bridgewire to be tested, reducing the field intensity of the electromagnetic field, and repeating the test; if not, the next bridge filament to be tested is replaced, the electromagnetic field intensity is increased, and the test is repeated until the blind critical field intensity of the bridge filament meeting the precision requirement is obtained.
The detailed description of the various measurement methods is as follows:
1. the above-described device may be used to measure antenna gain. As shown in fig. 5, a graph of antenna gain measurements was performed for the single cone structure. The step of measuring the antenna gain comprises:
step one), an antenna to be detected is placed on a placing table in an air cavity, the polarization direction of the antenna needs to be consistent with the direction of an electric field of the device, and the antenna is connected with receiving instruments such as a spectrum analyzer or a measuring receiver. A signal source or a power amplifier is connected to atip port 4 of the ultra-wideband gradient coaxial cavity and used for feeding continuous wave power, and theport 4 is also of a coaxial structure. The electric field intensity of the position of the antenna to be tested can be calculated by formula (1) or obtained by testing the field intensity probe.
Figure BDA0002849040080000101
In the formula (1), E is the electric field intensity of the position where the antenna to be measured is located, and the unit is V/m. Eta0Is the vacuum wave impedance and has a value of 120 pi Ohm. P is terminalThe power of continuous wave fed into the port is W; z050Ohm, input impedance; and R is the distance from the center position of the antenna to be measured to the axis of the ultra-wideband gradual change coaxial cavity, namely the measurement radius.
Step two) recording the power measured by the spectrum analyzer as PrTherefore, the gain of the antenna to be measured can be calculated by equation (2).
Figure BDA0002849040080000102
Wherein G is the gain of the antenna to be measured, and λ is the wavelength.
Further, by measuring the electric field intensity and the received power, the antenna factor can also be obtained based on equation (3).
Figure BDA0002849040080000103
Wherein the output voltage at the wire end is
Figure BDA0002849040080000104
Load impedance of ZL=50Ohm。
2. The foregoing apparatus may be used to measure the shielding effectiveness of passive devices, such as during connectors, coaxial cables, and the like. As shown in fig. 6, a graph of the shielding effectiveness of the passive device was measured for a single cone structure. The measuring process comprises the following steps:
the cable to be measured is placed in the ultra-wideband gradient coaxial cavity, the vertical section needs to be parallel to the central axis of the device, and the electric field intensity along the cable position of the vertical section can be considered to be basically stable. A continuous wave signal is fed into the graded coaxial structure using a signal source or a power amplifier. Based on the formula (1), calculating the electric field intensity E at the cable to be measured, or measuring the electric field intensity E at the cable to be measured by using an electric field probe, the receiving power of an ideal omnidirectional receiving antenna excited by the electric field intensity E is:
Figure BDA0002849040080000111
where λ is the wavelength of the electromagnetic wave at that frequency, apparently PaCan be used as reference power; the power measured by the receiver or spectrometer at this frequency in fig. 6 is then denoted as PcThen, the shielding effectiveness of the coaxial cable with respect to the reference power can be calculated by the equation (5):
Figure BDA0002849040080000112
by changing the length of the cable to be tested in the ultra-wideband gradual change coaxial cavity, the shielding effectiveness of the cable to be tested with different lengths can be measured. It should be noted that: if the object to be tested is a coaxial connector, cables at two ends of the connector to be tested in the ultra-wideband gradient coaxial cavity need to be wrapped by metal tubes, so that the shielding effectiveness test result of the connector is prevented from being influenced by leakage of the cables.
3. The aforementioned device can also be used to measure initiating explosive device bridgewire:
measuring the blind critical field intensity of the bridge wire under different electromagnetic field irradiation conditions, simulating an electromagnetic environment by using a gradient coaxial structure or a double-cone cavity, namely emitting electromagnetic waves with certain frequency, pulse, field intensity and other parameters in the cavity, and monitoring the field intensity of a space where a measured bridge wire sample is located by using an electromagnetic field sensor. Preparing several bridge filament samples, putting them one by one, putting only one sample in each time, making the electromagnetic wave irradiate the bridge filament for a period of time, if the bridge filament is not wild, increasing the electromagnetic field intensity, otherwise, decreasing the electromagnetic field intensity, and the decreasing and increasing ratio can be interpolated and predicted by referring to the previous measured results until the wild critical field intensity of the bridge filament is found out.
And measuring equivalent induced currents of the bridge wire in different electromagnetic field environments, and detecting the induced currents generated on the bridge wire in a bridge wire discharge magnetic environment simulation device. The electromagnetic environment simulator can be antenna radiation, also can be waveguide, transverse electromagnetic wave cell, gradual change coaxial structure, etc., the environment launches electromagnetic wave of predetermined parameter such as certain frequency, pulse, field intensity, etc., two pins of the bridgewire can absorb energy like the antenna, make produce the microwave current on the bridgewire, the measurement method of this equivalent current is: the first step is as follows: as shown in fig. 7, when the electromagnetic wave is turned on, the temperature of the load at the center of the bridgewire is monitored by using a thermal infrared imager, and the temperature is recorded as TB1 after the temperature is stabilized; the second step is that: keeping the external environment unchanged relative to the first step, closing the electromagnetic wave of the electromagnetic environment simulation device, installing a direct current circuit on the bridge wire as shown in fig. 8, wherein the direct current circuit comprises a direct current voltage source and an ammeter, monitoring the temperature at the central load of the bridge wire by using an infrared thermal imager under the condition of constant voltage, recording the temperature as TBt after the temperature is stabilized, increasing the voltage if TBt is less than TB1, measuring the stabilized temperature at the central load of the bridge wire, reducing the voltage if TBt is more than TB1, measuring the stabilized temperature at the central load of the bridge wire until TBt approaches to TB1, measuring a direct current IE of the ammeter at the moment, namely the equivalent induced direct current of the electromagnetic environment in the first step, and judging whether the electromagnetic environment can cause the bridge wire by using the direct current IE in comparison with the direct current sensitivity test result of the bridge wire.
Example 1:
the gain of the broadband small antenna is tested according to the antenna gain measuring method. The antenna to be measured is placed on the object placing table in the air cavity, the polarization direction of the antenna is consistent with the direction of an electric field of the device, and the antenna is connected with the spectrum analyzer. And a signal source is connected at the tip port of the ultra-wideband gradient coaxial cavity to feed continuous wave power. The electric field intensity E of the position of the antenna to be tested is obtained through the test of the field intensity probe.
The received power of the antenna is measured by a spectrum analyzer, and then the gain and the antenna factor of the antenna can be obtained by the formulas (2) and (3). The test results are shown in table 1.
TABLE 1 antenna gain and antenna factor test results
Figure BDA0002849040080000131
Example 2:
testing of the Shielding effectiveness of the Passive devices according to the foregoingThe method tests the shielding effectiveness of the coaxial cable. And placing the cable to be tested in the ultra-wideband gradient coaxial cavity, wherein the vertical section is parallel to the central axis of the device. Continuous wave signals are fed into the gradient coaxial structure by using a signal source, the electric field intensity E of the cable to be measured is measured by using an electric field probe, and the receiving power P of an ideal omnidirectional receiving antenna under the excitation of the field intensity E can be obtained based on a formulaa. The power measured by the spectrometer at this frequency is then recorded as PcThe shielding effectiveness with respect to the reference power coaxial cable can be obtained. The measurement results are shown in table 2.
TABLE 2 coaxial Cable Shielding effectiveness test results
Figure BDA0002849040080000132
Figure BDA0002849040080000141
The above details are provided for a method and an apparatus for measuring an antenna and a passive device according to the embodiments of the present application. The above description of the embodiments is only for the purpose of helping to understand the method of the present application and its core ideas; meanwhile, for a person skilled in the art, according to the idea of the present application, there may be variations in the specific embodiments and the application scope, and in summary, the content of the present specification should not be construed as a limitation to the present application.
As used in the specification and claims, certain terms are used to refer to particular components. As one skilled in the art will appreciate, manufacturers may refer to a component by different names. This specification and claims do not intend to distinguish between components that differ in name but not function. In the following description and in the claims, the terms "include" and "comprise" are used in an open-ended fashion, and thus should be interpreted to mean "include, but not limited to. "substantially" means within an acceptable error range, and a person skilled in the art can solve the technical problem within a certain error range to substantially achieve the technical effect. The description which follows is a preferred embodiment of the present application, but is made for the purpose of illustrating the general principles of the application and not for the purpose of limiting the scope of the application. The protection scope of the present application shall be subject to the definitions of the appended claims.
It is also noted that the terms "comprises," "comprising," or any other variation thereof, are intended to cover a non-exclusive inclusion, such that a good or system that comprises a list of elements does not include only those elements but may include other elements not expressly listed or inherent to such good or system. Without further limitation, an element defined by the phrase "comprising an … …" does not exclude the presence of other like elements in a commodity or system that includes the element.
It should be understood that the term "and/or" as used herein is merely one type of association that describes an associated object, meaning that three relationships may exist, e.g., a and/or B may mean: a exists alone, A and B exist simultaneously, and B exists alone. In addition, the character "/" herein generally indicates that the former and latter related objects are in an "or" relationship.
The foregoing description shows and describes several preferred embodiments of the present application, but as aforementioned, it is to be understood that the application is not limited to the forms disclosed herein, but is not to be construed as excluding other embodiments and is capable of use in various other combinations, modifications, and environments and is capable of changes within the scope of the application as described herein, commensurate with the above teachings, or the skill or knowledge of the relevant art. And that modifications and variations may be effected by those skilled in the art without departing from the spirit and scope of the application, which is to be protected by the claims appended hereto.

Claims (10)

1. The measuring method of the antenna and the passive device is characterized in that the measuring method is realized by adopting a testing and metering device with a gradual change coaxial structure;
the measuring method comprises the following steps:
s1, placing the device to be tested in the test metering device, and connecting the device to be tested with a received power measuring instrument for measuring received power;
s2, connecting the feed-in end of the test metering device with a continuous wave feed-in instrument, and feeding required continuous waves into the test metering device;
s3, starting a received power measuring instrument and a continuous wave feed-in instrument to start measurement;
and S4, calculating the electric field intensity of the position of the device to be measured according to the power fed into the continuous wave, or directly measuring the electric field intensity of the position by using an electric field probe.
2. The method for measuring the antenna and the passive device according to claim 1, wherein when the device under test is the antenna, the method further comprises the steps of:
and S5, calculating the gain of the antenna to be measured according to the electric field intensity and the received power obtained in the S4.
3. The method for measuring the antenna and the passive component as claimed in claim 1, wherein the antenna factor of the antenna to be measured is calculated according to the electric field intensity and the received power obtained in the step S4 in step S6.
4. The method for measuring antenna and passive device according to claim 1, wherein when the device under test is a passive device requiring electromagnetic shielding performance, the method further comprises the steps of:
and calculating the electromagnetic shielding effectiveness of the passive device according to the electric field intensity obtained in the step S4 and the measured received power.
5. The antenna and passive device measurement method of claim 4, wherein when the passive device is a coaxial cable, a vertical section of the coaxial cable is parallel to a central axis of the test meter device.
6. The method for measuring the antenna and the passive device according to claim 1, wherein when the device to be measured is an initiating explosive device bridge wire, the content of the measuring method comprises the following steps: preparing a plurality of to-be-tested bridge filaments with the same specification, and performing the steps S1-S4 one by one until the electric field intensity of the position of the to-be-tested bridge filament when the to-be-tested bridge filament is blind is obtained;
during measurement, the time of irradiating the electromagnetic wave on the current to-be-measured bridge wire is ensured to reach the preset length.
7. The method for measuring the antenna and the passive device according to claim 6, wherein the continuous wave feed-in parameters of the first bridge wire to be measured are determined according to empirical data during the measurement; starting from the second bridge filament to be tested, the continuous wave feed-in parameters of the bridge filament to be tested are adjusted according to the blind condition of the bridge filament to be tested and the continuous wave feed-in parameters.
8. The method of claim 1, wherein the tapered coaxial structure comprises an inner conductor and an outer conductor coaxially disposed with an air cavity disposed therebetween; the device to be tested is arranged in the air cavity; one end of the gradual change coaxial structure is used as a feed-in end, and the other end of the gradual change coaxial structure is provided with a wave absorbing device;
the inner conductor and the outer conductor each have a tapered nature in cross section.
9. The method of claim 8, wherein the antenna and passive device are connected to a common ground,
the gradient coaxial structure is a single-tip gradient coaxial structure or a double-tip gradient coaxial structure;
the non-sharp end of the single-sharp end gradual change coaxial structure is provided with a wave absorbing material; the wave-absorbing material covers the whole bottom surface of the end part;
the double-tip gradual change coaxial structure comprises two single-tip gradual change coaxial structures, inner conductors of the two single-tip gradual change coaxial structures are connected with the bottom surface of the inner conductor, outer conductors are connected with the bottom surface of the outer conductor, and two air cavities are communicated; one tip of the double-tip gradual change coaxial structure is used as a feed-in end, and the other tip is provided with a load for absorbing waves.
10. The antenna and passive device measurement method of claim 8, wherein the frequency coverage of the graded coaxial structure is 100MHz-40 GHz.
CN202011521327.5A2020-12-212020-12-21Method for measuring antenna and passive deviceActiveCN112730996B (en)

Priority Applications (1)

Application NumberPriority DateFiling DateTitle
CN202011521327.5ACN112730996B (en)2020-12-212020-12-21Method for measuring antenna and passive device

Applications Claiming Priority (1)

Application NumberPriority DateFiling DateTitle
CN202011521327.5ACN112730996B (en)2020-12-212020-12-21Method for measuring antenna and passive device

Publications (2)

Publication NumberPublication Date
CN112730996Atrue CN112730996A (en)2021-04-30
CN112730996B CN112730996B (en)2023-06-16

Family

ID=75604356

Family Applications (1)

Application NumberTitlePriority DateFiling Date
CN202011521327.5AActiveCN112730996B (en)2020-12-212020-12-21Method for measuring antenna and passive device

Country Status (1)

CountryLink
CN (1)CN112730996B (en)

Cited By (2)

* Cited by examiner, † Cited by third party
Publication numberPriority datePublication dateAssigneeTitle
CN112198382A (en)*2020-09-182021-01-08中国信息通信研究院 Test method and device for electronic communication equipment
CN117590092A (en)*2023-10-162024-02-23人天通信集团有限公司Antenna radiation efficiency measuring method and system and electronic equipment

Citations (7)

* Cited by examiner, † Cited by third party
Publication numberPriority datePublication dateAssigneeTitle
JPH06242161A (en)*1993-02-191994-09-02Kyoritsu Denshi Kogyo KkTem cell
CN101819236A (en)*2010-04-012010-09-01北京邮电大学Method for testing antenna gain by using GTEM cell
CN103207377A (en)*2013-03-212013-07-17华北电力大学Calibration system and calibration method of partial discharge ultrahigh frequency detection device
TW201341810A (en)*2012-04-132013-10-16Rosenberger HochfrequenztechAntenna function measurement method using waveguide
CN104569889A (en)*2014-12-242015-04-29北京无线电计量测试研究所Concentric and taper TEM (transverse electromagnetic mode) cell and method for designing interior conductor semi-included angle and exterior conductor semi-included angle of transmission section of concentric and taper TEM cell
CN105572484A (en)*2015-12-172016-05-11北京无线电计量测试研究所Transverse electromagnetic wave cell impedance matching method and device
CN111999689A (en)*2020-08-202020-11-27中国信息通信研究院Device and method for measuring and evaluating electromagnetic radiation analyzer and application

Patent Citations (7)

* Cited by examiner, † Cited by third party
Publication numberPriority datePublication dateAssigneeTitle
JPH06242161A (en)*1993-02-191994-09-02Kyoritsu Denshi Kogyo KkTem cell
CN101819236A (en)*2010-04-012010-09-01北京邮电大学Method for testing antenna gain by using GTEM cell
TW201341810A (en)*2012-04-132013-10-16Rosenberger HochfrequenztechAntenna function measurement method using waveguide
CN103207377A (en)*2013-03-212013-07-17华北电力大学Calibration system and calibration method of partial discharge ultrahigh frequency detection device
CN104569889A (en)*2014-12-242015-04-29北京无线电计量测试研究所Concentric and taper TEM (transverse electromagnetic mode) cell and method for designing interior conductor semi-included angle and exterior conductor semi-included angle of transmission section of concentric and taper TEM cell
CN105572484A (en)*2015-12-172016-05-11北京无线电计量测试研究所Transverse electromagnetic wave cell impedance matching method and device
CN111999689A (en)*2020-08-202020-11-27中国信息通信研究院Device and method for measuring and evaluating electromagnetic radiation analyzer and application

Cited By (3)

* Cited by examiner, † Cited by third party
Publication numberPriority datePublication dateAssigneeTitle
CN112198382A (en)*2020-09-182021-01-08中国信息通信研究院 Test method and device for electronic communication equipment
CN117590092A (en)*2023-10-162024-02-23人天通信集团有限公司Antenna radiation efficiency measuring method and system and electronic equipment
CN117590092B (en)*2023-10-162024-09-17人天通信集团有限公司Antenna radiation efficiency measuring method and system and electronic equipment

Also Published As

Publication numberPublication date
CN112730996B (en)2023-06-16

Similar Documents

PublicationPublication DateTitle
CN112730996A (en)Antenna and passive device measuring method
CN104777443B (en)The performance testing device and method of testing of a kind of partial-discharge ultrahigh-frequency sensor
CN106772170B (en)Calibration method of UHF partial discharge measurement device
Rubinger et al.Building a resonant cavity for the measurement of microwave dielectric permittivity of high loss materials
Ju et al.GIS partial discharge quantitative measurements using UHF microstrip antenna sensors
Kobayashi et al.Improvement of Broadband Folded Long-Hexagon Antenna for EMI Measurements
Wang et al.Study on the ultra-high-frequency sensors for PD detection in power transformer
KR100826150B1 (en) Electromagnetic environment test apparatus and method for electric detonator
Roseberry et al.A parallel-strip line for testing RF susceptibility
Hamdani et al.Application of ultra-wideband double layer printed antenna for partial discharge detection
CN109932571A (en) A differential space electromagnetic pulse differential sensor and using method
Chen et al.A time-domain characterization method for UHF partial discharge sensors
CN210894511U (en)Differential type space electromagnetic pulse differential sensor
CN115542026A (en) An Antenna Efficiency Test Method Based on Reverberation Chamber
RU2726305C1 (en)High-voltage insulators condition diagnostics device
Kluss et al.Influence of sensor selection for observing individual partial discharge waveforms
Kang et al.Characterization method of electric field probe by using transfer standard in GTEM cell
Ishigami et al.Antenna factor measurement of folded rhombic antenna for using microwave frequency range
De Macedo et al.Partial discharge estimation based on radiometric and classical measurements
CN113267098A (en)High-field-intensity equivalent test system and method for electromagnetic radiation effect of electric initiating explosive device
Gu et al.Development of a TEM cell with 2 m in height
An et al.Study on ultra-high frequency partial discharge simulator and its propagation characteristics
El-Hag et al.Multi-purpose RF antenna for partial discharge and oil quality monitoring
Ji et al.Research on Comparison of Cable Screening Performance Measurement Methods
Matousek et al.Antenna parameters measuring by electric field intensity

Legal Events

DateCodeTitleDescription
PB01Publication
PB01Publication
SE01Entry into force of request for substantive examination
SE01Entry into force of request for substantive examination
GR01Patent grant
GR01Patent grant

[8]ページ先頭

©2009-2025 Movatter.jp