





技术领域technical field
本申请涉及微粒检测技术领域,具体涉及一种血球分析仪的阻抗法检测系统和识别阻抗通道堵孔的方法。The present application relates to the technical field of particle detection, in particular to an impedance detection system of a hematology analyzer and a method for identifying blockage of an impedance channel.
背景技术Background technique
通过阻抗法检测微粒(细胞)时,将小孔浸入电解质溶液中,在小孔两端通上恒流电源,当微粒(细胞)通过小孔时,小孔两端的电压发生变化,微粒(细胞)的体积越大,电压的变化就越大(电压脉冲越大)。以血液检测领域的应用为例,按照该原理将血液在稀释液(一种试剂具有导电性,且具有生理盐水的特性)中稀释混匀,然后通过两端有电极小孔,就能够得到通过小孔的血细胞的脉冲(体积)。When detecting particles (cells) by the impedance method, the small hole is immersed in the electrolyte solution, and a constant current power supply is connected to both ends of the small hole. When the particle (cell) passes through the small hole, the voltage at both ends of the small hole changes, and the particle (cell) ) the larger the volume, the greater the change in voltage (the larger the voltage pulse). Taking the application in the field of blood detection as an example, according to this principle, the blood is diluted and mixed in the diluent (a reagent that is conductive and has the characteristics of physiological saline), and then passed through the small holes with electrodes at both ends, and the blood can be obtained The pulse (volume) of blood cells in the aperture.
在使用阻抗法检测微粒(细胞)时,有时会发生堵孔现象,即,小孔堵塞导致待检测的微粒(细胞)无法通过小孔,影响检测的继续进行。血细胞稀释混匀后,在溶液中是均匀分布的,所以单位时间内(比如100ms)所有通过小孔的血细胞的平均脉冲大小应该是一致的。如果某一时刻发生了堵孔,则该时刻前后的细胞平均脉冲会相差很大。因此,有些方法中通过小孔电压曲线的变化来判定是否堵孔,如果小孔的电压在某一时刻后有明显的变化则认为发生了堵孔。但是,当全程堵孔时,小孔的电压可能无明显变化,该方法无法准确报告堵孔。When the impedance method is used to detect particles (cells), sometimes the phenomenon of hole blocking occurs, that is, the blocking of the small holes prevents the particles (cells) to be detected from passing through the small holes, which affects the continuation of the detection. After the blood cells are diluted and mixed, they are uniformly distributed in the solution, so the average pulse size of all blood cells passing through the small hole per unit time (eg 100ms) should be consistent. If pore blocking occurs at a certain moment, the average pulse of the cells before and after this moment will be very different. Therefore, in some methods, it is judged whether the hole is blocked by the change of the voltage curve of the small hole. If the voltage of the small hole changes significantly after a certain time, it is considered that the hole is blocked. However, when the hole is blocked all the way, the voltage of the small hole may not change significantly, and this method cannot accurately report the hole plugging.
发明内容Contents of the invention
本发明主要解决的技术问题是:现有的方法无法在全程堵孔时,准确报告堵孔。The technical problem mainly solved by the present invention is: the existing method cannot accurately report the blocked hole when the hole is blocked in the whole process.
第一方面,一种实施例中提供一种血球分析仪的阻抗法检测系统,包括:In the first aspect, an embodiment provides an impedance detection system of a blood cell analyzer, including:
检测室,包括一小孔;所述检测室用于接收血液样本、溶血剂和稀释液以制备待测定的试样;A detection chamber, including a small hole; the detection chamber is used to receive blood samples, hemolyzing agents and diluents to prepare samples to be determined;
压力源部件,用于提供压力以使得检测室中的试样的细胞通过所述小孔;a pressure source component for providing pressure to allow cells of the sample in the detection chamber to pass through the aperture;
恒流电源,所述恒流电源的两端分别与所述小孔的两端电连接;A constant current power supply, the two ends of the constant current power supply are respectively electrically connected to the two ends of the small hole;
电压脉冲检测装置,所述电压脉冲检测装置与所述恒流电源连接,用于检测细胞通过所述小孔时产生的电压脉冲,并发送所述电压脉冲的数据;A voltage pulse detection device, the voltage pulse detection device is connected to the constant current power supply, and is used to detect the voltage pulse generated when the cells pass through the small hole, and send the data of the voltage pulse;
存储器,所述存储器用于接收和存储历史平均脉冲数据,和所述电压电源脉冲检测装置所发送的电压脉冲的数据;以及a memory, the memory is used to receive and store historical average pulse data, and the data of the voltage pulse sent by the voltage power pulse detection device; and
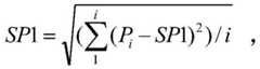
处理器,所述处理器用于获取历史平均脉冲数据,对历史平均脉冲数据求均值和标准差;获取本次采样分析的电压脉冲的数据,统计出每个单位时间内通过小孔的细胞的平均脉冲;将每个单位时间前所有单位时间的平均脉冲的均值定义为前均值,依次计算出每个单位时间的前均值,将每个单位时间后所有单位时间的平均脉冲的均值定义为后均值,依次计算每个单位时间的后均值,根据每个单位时间的前均值和后均值的变化情况判断出可能堵孔的单位时间;计算可能堵孔的单位时间的前均值与可能堵孔的单位时间的后均值间的第一变化量,将所述第一变化量与可能堵孔的单位时间前和/或可能堵孔的单位时间后所有单位时间的平均脉冲的标准差进行比较,第一次判断可能堵孔的单位时间是否发生了堵孔,如果第一次判断发生了堵孔,上报异常,如果第一次判断未发生堵孔,继续执行下一步;第一次判断可能堵孔的单位时间未发生堵孔后,计算本次采样的所有单位时间的平均脉冲的均值,并计算本次采样的所有单位时间的平均脉冲的均值与历史平均脉冲数据的均值间的第二变化量,将所述第二变化量与历史平均脉冲数据的标准差进行比较,第二次判断可能堵孔的单位时间是否发生了堵孔,如果第二次判断发生了堵孔,上报异常,如果第二次判断未发生堵孔,将本次采样的所有单位时间的平均脉冲的均值发送给存储器,并存入历史平均脉冲数据。A processor, the processor is used to obtain the historical average pulse data, calculate the average value and standard deviation of the historical average pulse data; obtain the data of the voltage pulse for this sampling analysis, and calculate the average value of the cells passing through the small hole in each unit time Pulse; define the mean value of the average pulse of all unit time before each unit time as the front mean value, calculate the front mean value of each unit time in turn, and define the mean value of the average pulse value of all unit time after each unit time as the rear mean value , calculate the post mean value of each unit time in turn, and judge the unit time of possible hole plugging according to the change of the front mean value and the back mean value of each unit time; calculate the front mean value of the unit time of possible hole plugging and the unit The first amount of change between the post-average values of the time, the first amount of change is compared with the standard deviation of the average pulse of all unit time before the unit time of possible hole plugging and/or after the unit time of possible hole plugging, the first It is the first time to determine whether the hole plugging has occurred per unit time. If it is judged that the hole plugging has occurred for the first time, report an exception. If it is judged that the hole plugging has not occurred for the first time, continue to the next step; After the hole plugging does not occur per unit time, calculate the mean value of the average pulses of all unit times of this sampling, and calculate the second variation between the mean value of the average pulses of all unit times of this sampling and the mean value of the historical average pulse data, Compare the second variation with the standard deviation of the historical average pulse data, judge for the second time whether plugging has occurred in the unit time of possible plugging, if the second judgment has plugging, report an exception, if the second If it is judged that there is no plugging, the average value of the average pulses per unit time of this sampling is sent to the memory, and stored in the historical average pulse data.
一种实施例中,所述处理器获取历史平均脉冲数据,对历史平均脉冲数据求均值和标准差,包括:In one embodiment, the processor obtains the historical average pulse data, and calculates the mean and standard deviation of the historical average pulse data, including:
获取历史平均脉冲数据的链表PreMPList,所述历史平均脉冲数据为过去每次采样的所有时间单位的平均脉冲的均值,获取历史平均脉冲数据的均值的计算公式,计算出历史平均脉冲数据的均值MPre,获取历史平均脉冲数据的标准差的计算公式,计算出历史平均脉冲数据的标准差SPre;Obtain the linked list PreMPList of historical average pulse data, the historical average pulse data is the average value of the average pulse of all time units of each sampling in the past, obtain the calculation formula of the average value of historical average pulse data, and calculate the average value MPre of historical average pulse data , obtain the calculation formula of the standard deviation of the historical average pulse data, and calculate the standard deviation SPre of the historical average pulse data;
所述历史平均脉冲数据的均值的计算公式包括:The formula for calculating the mean value of the historical average pulse data includes:
其中,n为PreMPList内数据的个数;Among them, n is the number of data in PreMPList;
所述历史平均脉冲数据的标准差的计算公式包括:The formula for calculating the standard deviation of the historical average pulse data includes:
其中,n为PreMPList内数据的个数。Among them, n is the number of data in PreMPList.
一种实施例中,所述处理器获取本次采样分析的电压脉冲的数据,统计出每个单位时间内通过小孔的细胞的平均脉冲,包括:In one embodiment, the processor acquires the data of the voltage pulses sampled and analyzed this time, and counts the average pulses of the cells passing through the small hole per unit time, including:
获取总采集时间T,获取单位时间Δt,获取单位时间的总个数N的计算公式,计算出单位时间的总个数N,所述单位时间的总个数N的计算公式包括:Obtain the total collection time T, obtain the unit time Δt, obtain the calculation formula of the total number N per unit time, calculate the total number N per unit time, and the calculation formula of the total number N per unit time includes:
N=T/Δt,N=T/Δt,
获取计算第i个单位时间的脉冲个数的公式,计算出第i个单位时间的脉冲个数,所述计算第i个单位时间的脉冲个数的公式包括:Obtain the formula for calculating the number of pulses per unit time i, and calculate the number of pulses per unit time i, and the formula for calculating the number of pulses per unit time i includes:
mi=count(p(t,v)),mi = count(p(t,v)),
其中,t的取值范围为(i-1)Δt≤t<iΔt,i的取值范围为0<i≤N,i为正整数;Wherein, the value range of t is (i-1)Δt≤t<iΔt, the value range of i is 0<i≤N, and i is a positive integer;
获取计算第i个单位时间的平均脉冲的计算公式,计算出第i个单位时间的平均脉冲,所述计算第i个单位时间的平均脉冲的计算公式包括:Obtain the calculation formula for calculating the average pulse of the i-th unit time, and calculate the average pulse of the i-th unit time, and the calculation formula for calculating the average pulse of the i-th unit time includes:
Pi=(∑v)/mi,Pi =(∑v)/mi ,
其中,v∈p(t,v),t的取值范围为(i-1)Δt≤t<iΔt,i的取值范围为0<i≤N,i为正整数;Among them, v∈p(t,v), the value range of t is (i-1)Δt≤t<iΔt, the value range of i is 0<i≤N, and i is a positive integer;
将每个单位时间内的平均脉冲依次存入记数组P中,得到记数组P=[P1,P2,…,Pi,…,PN]。The average pulses in each unit time are stored in sequence P to obtain the record set P=[P1 , P2 ,...,Pi ,...,PN ].
一种实施例中,所述处理器依次计算出每个单位时间的前均值,依次计算每个单位时间的后均值,包括:In one embodiment, the processor sequentially calculates the front average value of each unit time, and sequentially calculates the rear average value of each unit time, including:
获取记数组P,获取计算每个单位的前均值的计算公式,依次计算出每个单位时间的前均值S1i,所述每个单位的前均值的计算公式包括:Obtain the record group P, obtain the calculation formula for calculating the previous mean value of each unit, and sequentially calculate the previous mean value S1i of each unit time, and the calculation formula of the previous mean value of each unit includes:
其中,i的取值范围为0<i≤N-1,i为正整数;Wherein, the value range of i is 0<i≤N-1, and i is a positive integer;
获取计算每个单位的后均值的计算公式,依次计算出每个单位时间的后均值S2i,所述每个单位的后均值的计算公式包括:Obtain the calculation formula for calculating the post-average value of each unit, and sequentially calculate the post-mean value S2i of each unit time, and the calculation formula for the post-mean value of each unit includes:
其中,i的取值范围为0<i≤N-1,i为正整数;Wherein, the value range of i is 0<i≤N-1, and i is a positive integer;
获取初始化的链表List1和链表List2,将每个单位时间的前均值S1i存入List1中,得到链表List1[i],将每个单位时间的后均值S2i存入List2中,得到链表List2[i]。Obtain the initialized linked list List1 and linked list List2, store the previous average value S1i of each unit time in List1, and obtain the linked list List1[i], store the post average value S2i of each unit time in List2, and obtain the linked list List2[ i].
一种实施例中,所述处理器根据每个单位时间的前均值和后均值的变化情况判断出可能堵孔的单位时间,包括:In one embodiment, the processor judges the unit time of possible hole plugging according to the changes of the front mean value and the back mean value of each unit time, including:
获取链表List1[i]和链表List2[i],获取差分计算公式,对链表List1[i]内的数据进行差分计算,获取初始化的链表DList1,将链表List1[i]差分计算的结果存入链表DList1中,得到链表DList1[i],对链表List2[i]内的数据进行差分计算,获取初始化的链表DList2,将链表List2[i]差分计算的结果存入链表DList2中,得到链表DList2[i],所述差分计算公式包括:Obtain the linked list List1[i] and linked list List2[i], obtain the differential calculation formula, perform differential calculation on the data in the linked list List1[i], obtain the initialized linked list DList1, and store the differential calculation result of the linked list List1[i] into the linked list In DList1, the linked list DList1[i] is obtained, and the differential calculation is performed on the data in the linked list List2[i], the initialized linked list DList2 is obtained, and the result of the differential calculation of the linked list List2[i] is stored in the linked list DList2, and the linked list DList2[i] is obtained ], the difference calculation formula includes:
DList1[i]=List1[i+1]-List1[i],DList1[i]=List1[i+1]-List1[i],
DList2[i]=List2[i+1]-List2[i],DList2[i]=List2[i+1]-List2[i],
其中,i的取值范围为0<i≤N-1,i为正整数;Wherein, the value range of i is 0<i≤N-1, and i is a positive integer;
获取可能堵孔的单位时间判定公式,所述可能堵孔的单位时间判定公式包括:A unit time judgment formula for possible hole plugging is obtained, and the unit time judgment formula for possible hole plugging includes:
Dlist2[i]*Dlist1[i+1]<0,Dlist2[i]*Dlist1[i+1]<0,
遍历链表DList2[i],将链表DList1[i]和链表DList2[i]中的数据输入所述可能堵孔的单位时间判定公式中,如果数据符合所述可能堵孔的判定公式,则第i+1个单位时间为可能堵孔的单位时间。Traverse the linked list DList2[i], input the data in the linked list DList1[i] and the linked list DList2[i] into the unit time judgment formula of the possible plugging, if the data conforms to the judgment formula of the possible plugging, then the ith +1 unit time is the unit time of possible hole blocking.
一种实施例中,所述处理器根据每个单位时间的前均值和后均值的变化情况判断出可能堵孔的单位时间,包括:In one embodiment, the processor judges the unit time of possible hole plugging according to the changes of the front mean value and the back mean value of each unit time, including:
获取链表List1[i]和链表List2[i],获取差分计算公式,对链表List1[i]内的数据进行差分计算,获取初始化的链表DList1,将链表List1[i]差分计算的结果存入链表DList1中,得到链表DList1[i],对链表List2[i]内的数据进行差分计算,获取初始化的链表DList2,将链表List2[i]差分计算的结果存入链表DList2中,得到链表DList2[i],所述差分计算公式包括:Obtain the linked list List1[i] and linked list List2[i], obtain the differential calculation formula, perform differential calculation on the data in the linked list List1[i], obtain the initialized linked list DList1, and store the differential calculation result of the linked list List1[i] into the linked list In DList1, the linked list DList1[i] is obtained, and the differential calculation is performed on the data in the linked list List2[i], the initialized linked list DList2 is obtained, and the result of the differential calculation of the linked list List2[i] is stored in the linked list DList2, and the linked list DList2[i] is obtained ], the difference calculation formula includes:
DList1[i]=List1[i+1]-List1[i],DList1[i]=List1[i+1]-List1[i],
DList2[i]=List2[i+1]-List2[i],DList2[i]=List2[i+1]-List2[i],
其中,i的取值范围为0<i≤N-1,i为正整数;Wherein, the value range of i is 0<i≤N-1, and i is a positive integer;
获取可能堵孔的单位时间判定公式,所述可能堵孔的单位时间判定公式包括:A unit time judgment formula for possible hole plugging is obtained, and the unit time judgment formula for possible hole plugging includes:
Dlist1[i]*Dlist2[i+1]<0,Dlist1[i]*Dlist2[i+1]<0,
遍历链表DList1[i],将链表DList1[i]和链表DList2[i]中的数据输入所述可能堵孔的单位时间判定公式中,如果数据符合所述可能堵孔的判定公式,则第i+1个单位时间为可能堵孔的单位时间。Traverse the linked list DList1[i], input the data in the linked list DList1[i] and the linked list DList2[i] into the unit time judgment formula for possible plugging, if the data conforms to the judgment formula for possible plugging, then the ith +1 unit time is the unit time of possible hole blocking.
一种实施例中,所述处理器第一次判断可能堵孔的单位时间是否发生了堵孔,包括:In one embodiment, the processor judges for the first time whether hole blocking occurs per unit time of possible hole blocking, including:
获取记数组P,获取第i+1个单位时间为可能堵孔的单位时间,获取前i个单位时间的平均脉冲的均值的计算公式,计算出前i个单位时间的平均脉冲的均值MP1,所述前i个单位时间的平均脉冲的均值的计算公式包括:Obtain the record group P, obtain the i+1th unit time as the unit time of possible hole plugging, obtain the calculation formula of the average value of the average pulse of the previous i unit time, and calculate the average value MP1 of the average pulse of the previous i unit time, so The calculation formula of the mean value of the average pulse of the preceding i unit time includes:
其中,i的取值范围为0<i<N,i为正整数;Wherein, the value range of i is 0<i<N, and i is a positive integer;
获取前i个单位时间的平均脉冲的标准差的计算公式,计算出前i个单位时间的平均脉冲的标准差SP1,所述前i个单位时间的平均脉冲的标准差的计算公式包括:Obtain the calculation formula of the standard deviation of the average pulse of the previous i unit time, calculate the standard deviation SP1 of the average pulse of the previous i unit time, the calculation formula of the standard deviation of the average pulse of the previous i unit time includes:
其中,i的取值范围为0<i<N,i为正整数;Wherein, the value range of i is 0<i<N, and i is a positive integer;
获取第i+1到N个单位时间的平均脉冲的均值的计算公式,计算出第i+1到N个单位时间的平均脉冲的均值MP2,所述第i+1到N个单位时间的平均脉冲的均值的计算公式包括:Obtain the calculation formula of the average value of the average pulse of the i+1 to N unit time, calculate the average value MP2 of the average pulse of the i+1 to N unit time, the average value of the i+1 to N unit time The calculation formula of the mean value of the pulse includes:
其中,i的取值范围为0<i<N,i为正整数;Wherein, the value range of i is 0<i<N, and i is a positive integer;
获取第i+1到N个单位时间的平均脉冲的标准差的计算公式,计算出第i+1到N个单位时间的平均脉冲的标准差SP2,所述第i+1到N个单位时间的平均脉冲的标准差的计算公式包括:Obtain the calculation formula of the standard deviation of the average pulse of the i+1 to N unit time, calculate the standard deviation SP2 of the average pulse of the i+1 to N unit time, the i+1 to N unit time The formula for calculating the standard deviation of the average pulse includes:
其中,i的取值范围为0<i<N,i为正整数;Wherein, the value range of i is 0<i<N, and i is a positive integer;
获取第一次判断的判断公式,所述第一次判断的判断公式包括:A judgment formula for the first judgment is obtained, and the judgment formula for the first judgment includes:
|MP1-MP2|<SP1,|MP1-MP2|<SP1,
|MP1-MP2|<SP2,|MP1-MP2|<SP2,
将前i个单位时间的平均脉冲的均值MP1、前i个单位时间的平均脉冲的标准差SP1、第i+1到N个单位时间的平均脉冲的均值MP2、第i+1到N个单位时间的平均脉冲的标准差SP2输入第一次判断的判断公式,如果所述第一次判断的判断公式中的至少一个公式成立,则第一次判断发生了堵孔,否则第一次判断未发生堵孔。The average value MP1 of the average pulse of the previous i unit time, the standard deviation SP1 of the average pulse of the previous i unit time, the average value MP2 of the average pulse of the i+1 to N unit time, the i+1 to N unit The standard deviation SP2 of the average pulse of time is input into the judging formula for the first judgment, if at least one formula in the judging formula of the first judgment is established, then the plugging has occurred in the first judgment, otherwise the first judgment has not Hole plugging occurs.
一种实施例中,所述处理器第二次判断可能堵孔的单位时间是否发生了堵孔,包括:In one embodiment, the processor judges for the second time whether hole blocking occurs per unit time of possible hole blocking, including:
获取记数组P,获取本次采样的所有单位时间的平均脉冲的均值的计算公式,计算出本次采样的所有单位时间的平均脉冲的均值MP,所述本次采样的所有单位时间的平均脉冲的均值的计算公式包括:Obtain the record group P, obtain the calculation formula of the mean value of the average pulse of all unit time of this sampling, calculate the mean value MP of the average pulse of all unit time of this sampling, the average pulse of all unit time of the said sampling this time The formula for calculating the mean value of includes:
获取历史平均脉冲数据的均值MPre和历史平均脉冲数据的标准差SPre,获取第二次判断的判断公式,将MP、MPre和SPre代入第二次判断的判断公式,Obtain the mean value MPre of the historical average pulse data and the standard deviation SPre of the historical average pulse data, obtain the judgment formula for the second judgment, and substitute MP, MPre and SPre into the judgment formula for the second judgment,
如果公式if the formula
|MPre-MP|<3SPre|MPre-MP|<3SPre
成立,则第二次判断未发生堵孔;If it is established, then the second judgment does not cause hole plugging;
如果公式if the formula
|MPre-MP|≥3SPre|MPre-MP|≥3SPre
成立,则第二次判断发生了全程堵孔。If it is established, the second judgment has occurred that the hole is blocked in the whole process.
第二方面,一种实施例中提供一种识别阻抗通道堵孔的方法,用于检测血球分析仪的阻抗法检测系统的是否发生了堵孔,包括:In the second aspect, an embodiment provides a method for identifying blockage of an impedance channel, which is used to detect whether blockage occurs in the impedance detection system of a hematology analyzer, including:
获取历史平均脉冲数据,对历史平均脉冲数据求均值和标准差;Obtain historical average pulse data, and calculate the mean and standard deviation of historical average pulse data;
获取本次采样分析的电压脉冲的数据,统计出每个单位时间内通过小孔的细胞的平均脉冲;Obtain the voltage pulse data of this sampling analysis, and calculate the average pulse of cells passing through the small hole per unit time;
将每个单位时间前所有单位时间的平均脉冲的均值定义为前均值,依次计算出每个单位时间的前均值,将每个单位时间后所有单位时间的平均脉冲的均值定义为后均值,依次计算每个单位时间的后均值,根据每个单位时间的前均值和后均值的变化情况判断出可能堵孔的单位时间;Define the mean value of the average pulses of all unit times before each unit time as the front mean value, calculate the front mean value of each unit time in turn, define the mean value of the mean pulses of all unit times after each unit time as the rear mean value, and sequentially calculate Calculate the post-mean value of each unit time, and judge the unit time of possible hole plugging according to the change of the pre-mean value and post-mean value of each unit time;
计算可能堵孔的单位时间的前均值与可能堵孔的单位时间的后均值间的第一变化量,将所述第一变化量与可能堵孔的单位时间前和/或可能堵孔的单位时间后所有单位时间的平均脉冲的标准差进行比较,第一次判断可能堵孔的单位时间是否发生了堵孔,如果第一次判断发生了堵孔,上报异常,如果第一次判断未发生堵孔,继续执行下一步;Calculate the first variation between the pre-mean value per unit time of possible hole plugging and the post-average value per unit time of possible hole plugging, and compare the first variation with the unit time before possible hole plugging and/or the unit of possible hole plugging Comparing the standard deviation of the average pulses of all unit time after the time, the first time to judge whether the hole plugging has occurred in the unit time of the possible hole plugging, if the hole plugging occurred in the first judgment, report the abnormality, if the first judgment did not occur Plug the hole and proceed to the next step;
第一次判断可能堵孔的单位时间未发生堵孔后,计算本次采样的所有单位时间的平均脉冲的均值,并计算本次采样的所有单位时间的平均脉冲的均值与历史平均脉冲数据的均值间的第二变化量,将所述第二变化量与历史平均脉冲数据的标准差进行比较,第二次判断可能堵孔的单位时间是否发生了堵孔,如果第二次判断发生了堵孔,上报异常,如果第二次判断未发生堵孔,将本次采样的所有单位时间的平均脉冲的均值存入历史平均脉冲数据。After the first judgment that the hole plugging may not occur per unit time, calculate the average value of the average pulse of all unit time of this sampling, and calculate the average value of the average pulse of all unit time of this sampling and the historical average pulse data The second variation between the average values, compare the second variation with the standard deviation of the historical average pulse data, and judge for the second time whether plugging has occurred in the unit time of possible plugging, if the second judgment occurs If there is no blocked hole in the second judgment, the average value of the average pulses per unit time of this sampling will be stored in the historical average pulse data.
第三方面,一种实施例中提供一种计算机可读存储介质,所述介质上存储有程序,所述程序能够被处理器执行以实现上述的方法。In a third aspect, an embodiment provides a computer-readable storage medium, where a program is stored on the medium, and the program can be executed by a processor to implement the above method.
依据上述实施例的血球分析仪的阻抗法检测系统和识别阻抗通道堵孔的方法,由于增加了将第二变化量与历史平均脉冲数据的标准差进行比较,第二次判断可能堵孔的单位时间是否发生了堵孔,实现了对全程堵孔的情况的识别和报告。According to the impedance method detection system of the blood cell analyzer of the above-mentioned embodiment and the method for identifying the blocked hole of the impedance channel, due to the addition of comparing the second variation with the standard deviation of the historical average pulse data, the unit for the second judgment of possible blocked hole is added. Whether there is a hole plugging at any time, and realize the identification and report of the hole blocking in the whole process.
附图说明Description of drawings
图1为库尔特原理的示意图;Fig. 1 is the schematic diagram of Coulter's principle;
图2为阻抗法检测示意图;Figure 2 is a schematic diagram of impedance method detection;
图3为一种实施例中血球分析仪的阻抗法检测系统的框架示意图;Fig. 3 is a schematic frame diagram of an impedance detection system of a blood cell analyzer in an embodiment;
图4为一种实施例中识别阻抗通道堵孔的方法的流程示意图;FIG. 4 is a schematic flow diagram of a method for identifying impedance channel plugging in an embodiment;
图5为一种实施例中未堵孔时List2[i]中数据的曲线示意图;Fig. 5 is a schematic diagram of the curve of data in List2[i] when the hole is not plugged in an embodiment;
图6为一种实施例中堵孔时List2[i]中数据的曲线示意图。Fig. 6 is a schematic curve diagram of the data in List2[i] when holes are blocked in an embodiment.
具体实施方式Detailed ways
下面通过具体实施方式结合附图对本发明作进一步详细说明。其中不同实施方式中类似元件采用了相关联的类似的元件标号。在以下的实施方式中,很多细节描述是为了使得本申请能被更好的理解。然而,本领域技术人员可以毫不费力的认识到,其中部分特征在不同情况下是可以省略的,或者可以由其他元件、材料、方法所替代。在某些情况下,本申请相关的一些操作并没有在说明书中显示或者描述,这是为了避免本申请的核心部分被过多的描述所淹没,而对于本领域技术人员而言,详细描述这些相关操作并不是必要的,他们根据说明书中的描述以及本领域的一般技术知识即可完整了解相关操作。The present invention will be further described in detail below through specific embodiments in conjunction with the accompanying drawings. Wherein, similar elements in different implementations adopt associated similar element numbers. In the following implementation manners, many details are described for better understanding of the present application. However, those skilled in the art can readily recognize that some of the features can be omitted in different situations, or can be replaced by other elements, materials, and methods. In some cases, some operations related to the application are not shown or described in the description, this is to avoid the core part of the application being overwhelmed by too many descriptions, and for those skilled in the art, it is necessary to describe these operations in detail Relevant operations are not necessary, and they can fully understand the relevant operations according to the description in the specification and general technical knowledge in the field.
另外,说明书中所描述的特点、操作或者特征可以以任意适当的方式结合形成各种实施方式。同时,方法描述中的各步骤或者动作也可以按照本领域技术人员所能显而易见的方式进行顺序调换或调整。因此,说明书和附图中的各种顺序只是为了清楚描述某一个实施例,并不意味着是必须的顺序,除非另有说明其中某个顺序是必须遵循的。In addition, the characteristics, operations or characteristics described in the specification can be combined in any appropriate manner to form various embodiments. At the same time, the steps or actions in the method description can also be exchanged or adjusted in a manner obvious to those skilled in the art. Therefore, the various sequences in the specification and drawings are only for clearly describing a certain embodiment, and do not mean a necessary sequence, unless otherwise stated that a certain sequence must be followed.
本文中为部件所编序号本身,例如“第一”、“第二”等,仅用于区分所描述的对象,不具有任何顺序或技术含义。而本申请所说“连接”、“联接”,如无特别说明,均包括直接和间接连接(联接)。The serial numbers assigned to components in this document, such as "first", "second", etc., are only used to distinguish the described objects, and do not have any sequence or technical meaning. The "connection" and "connection" mentioned in this application all include direct and indirect connection (connection) unless otherwise specified.
请参考图1和2,图1为库尔特原理的示意图,将小孔浸入电解质溶液中,在小孔两端通上恒流电源,当微小颗粒通过小孔时,小孔两端的电压发生变化,微小颗粒体积越大,电压的变化就越大(电压脉冲越大)。Please refer to Figures 1 and 2. Figure 1 is a schematic diagram of Coulter's principle. The small hole is immersed in the electrolyte solution, and a constant current power supply is connected to both ends of the small hole. When tiny particles pass through the small hole, the voltage across the small hole is generated. The larger the particle size, the greater the voltage change (the larger the voltage pulse).
图2为阻抗法(库尔特原理)检测示意图,按照库尔特原理将血液在稀释液(一种试剂具有导电性,且具有生理盐水的特性)中稀释混匀,然后通过两端有电极小孔,就能够得到通过小孔细胞的脉冲(体积)。Figure 2 is a schematic diagram of the impedance method (Coulter's principle) detection. According to the Coulter's principle, the blood is diluted and mixed in the diluent (a reagent has conductivity and has the characteristics of physiological saline), and then passes through electrodes at both ends. small hole, the pulse (volume) of the cells passing through the small hole can be obtained.
血细胞稀释混匀后,在溶液中是均匀分布的,所以单位时间内(比如100ms)所有通过小孔的细胞的平均脉冲大小应该是一致的。如果某一时刻发生了堵孔,则该时刻前后的细胞平均脉冲会相差很大。本申请就是基于该原理实现堵孔的判定。After the blood cells are diluted and mixed, they are evenly distributed in the solution, so the average pulse size of all cells passing through the small hole per unit time (eg 100ms) should be consistent. If pore blocking occurs at a certain moment, the average pulse of the cells before and after this moment will be very different. This application is based on this principle to realize the determination of hole plugging.
每个通过小孔的细胞,仪器不仅会记录下脉冲的大小,也会记录记录下这个脉冲的时间,即每个脉冲都有两个维度的标记,即分别是脉冲值的大小v,和这个脉冲产生的时间t,记p(t,v)表示一个脉冲。记T为样本采集的总时长(单位s)。For each cell that passes through the small hole, the instrument will not only record the size of the pulse, but also record the time of the pulse, that is, each pulse has two dimensions of marks, namely the size of the pulse value v, and the The time t at which the pulse is generated, denoted p(t, v) represents a pulse. Record T as the total time of sample collection (unit s).
一方面,本实施例提供一种血球分析仪的阻抗法检测系统。On the one hand, this embodiment provides an impedance detection system of a blood cell analyzer.
请参考图3,该阻抗法检测系统包括检测室1、压力源部件2、恒流电源3、电压脉冲检测装置4、存储器5和处理器6。Please refer to FIG. 3 , the impedance detection system includes a
检测室1包括一小孔,检测室1用于接收血液样本、溶血剂和稀释液以制备待测定的试样。压力源部件2用于提供压力以使得检测室1中的试样的细胞通过小孔,恒流电源3的两端分别与小孔的两端电连接。电压脉冲检测装置4与恒流电源3连接,用于检测细胞通过小孔时产生的电压脉冲,并发送电压脉冲的数据。存储器5用于接收和存储历史平均脉冲数据,和电压电源脉冲检测装置4所发送的电压脉冲的数据。The
处理器6用于获取历史平均脉冲数据,对历史平均脉冲数据求均值和标准差。获取本次采样分析的电压脉冲的数据,统计出每个单位时间内通过小孔的细胞的平均脉冲。将每个单位时间前所有单位时间的平均脉冲的均值定义为前均值,依次计算出每个单位时间的前均值,将每个单位时间后所有单位时间的平均脉冲的均值定义为后均值,依次计算每个单位时间的后均值,根据每个单位时间的前均值和后均值的变化情况判断出可能堵孔的单位时间。计算可能堵孔的单位时间的前均值与可能堵孔的单位时间的后均值间的第一变化量,将第一变化量与可能堵孔的单位时间前和/或可能堵孔的单位时间后所有单位时间的平均脉冲的标准差进行比较,第一次判断可能堵孔的单位时间是否发生了堵孔,如果第一次判断发生了堵孔,上报异常,如果第一次判断未发生堵孔,继续执行下一步。第一次判断可能堵孔的单位时间未发生堵孔后,计算本次采样的所有单位时间的平均脉冲的均值,并计算本次采样的所有单位时间的平均脉冲的均值与历史平均脉冲数据的均值间的第二变化量,将第二变化量与历史平均脉冲数据的标准差进行比较,第二次判断可能堵孔的单位时间是否发生了堵孔,如果第二次判断发生了堵孔,上报异常,如果第二次判断未发生堵孔,将本次采样的所有单位时间的平均脉冲的均值发送给存储器,并存入历史平均脉冲数据。The
另一方面,本实施例提供一种识别阻抗通道堵孔的方法,该方法用于检测血球分析仪的阻抗法检测系统的是否发生了堵孔。On the other hand, this embodiment provides a method for identifying blockage of an impedance channel, and the method is used to detect whether blockage occurs in the impedance detection system of a hematology analyzer.
本实施例的识别阻抗通道堵孔的方法有如下优点:The method for identifying blocked holes in impedance channels in this embodiment has the following advantages:
第一,有的方案通过粒子流的稳定性来判定是否堵孔,如果粒子流在某一时刻后发生跳变则认为发生了堵孔。但是,当全程堵孔时粒子流无明显变化,无法准确报准堵孔。当样本混匀不充分时,粒子流稳定性无法保证,上述方案易误报堵孔。本实施例的方法与上述方案相比,由于增加了将第二变化量与历史平均脉冲数据的标准差进行比较,第二次判断可能堵孔的单位时间是否发生了堵孔,实现了对全程堵孔的情况的识别和报告。也解决了由于混匀不好,导致粒子流跳变误报堵孔的问题。First, some schemes judge whether the hole is blocked by the stability of the particle flow. If the particle flow jumps after a certain time, it is considered that the hole is blocked. However, there is no obvious change in the particle flow when the hole is blocked all the way, so it is impossible to accurately report the hole plugging. When the sample is not fully mixed, the stability of the particle flow cannot be guaranteed, and the above-mentioned scheme is prone to falsely report plugging. Compared with the above-mentioned scheme, the method of this embodiment is compared with the standard deviation of the second change amount and the historical average pulse data, and it is judged for the second time whether the hole plugging has occurred in the unit time of the possible hole plugging, and the whole process is realized. Identification and reporting of plugging conditions. It also solves the problem that the particle flow jumps and falsely reports that the hole is blocked due to poor mixing.
第二,有的方案通过小孔电压曲线的变化来判定是否堵孔,但是,当全程堵孔时小孔电压可能无明显变化,无法准确报准堵孔。本实施例的方法与上述方案相比,实现了对全程堵孔的情况的识别和报告。Second, some schemes judge whether the hole is blocked by the change of the small hole voltage curve. However, the small hole voltage may not change significantly when the hole is blocked throughout the process, and it is impossible to accurately report the hole plugged. Compared with the above solution, the method of this embodiment realizes the identification and reporting of the whole process of hole blocking.
第三,有的方案以开机时的小孔电压为参考,结合小孔电压曲线的变化来判定是否发生堵孔,如果小孔电压无变化但明显高于开机电压,就判定全程堵孔,如果小孔电压在某一时刻后有明显的变化则认为发生了堵孔。但是,当稀释液的温度和开机时的温度有明显差异时,因稀释液在不同温度下导电率不一样使得开机时的参考电压失效,无法准确报堵孔。本实施例的方法与上述方案相比,不易受到温度变化的干扰。Third, some programs use the pinhole voltage when starting up as a reference, combined with the change of the pinhole voltage curve to determine whether the hole is blocked. If the pinhole voltage changes significantly after a certain moment, it is considered that the hole is blocked. However, when there is a significant difference between the temperature of the diluent and the temperature at startup, the reference voltage at startup will be invalid due to the different conductivity of the diluent at different temperatures, and the plugged hole cannot be accurately reported. Compared with the above solution, the method of this embodiment is less susceptible to interference from temperature changes.
请参考图4,该识别阻抗通道堵孔的方法包括:Please refer to Figure 4, the method for identifying the blocked hole of the impedance channel includes:
请参考图4,步骤100,获取历史平均脉冲数据,对历史平均脉冲数据求均值和标准差。Please refer to FIG. 4,
在一种实施例中,获取历史平均脉冲数据,对历史平均脉冲数据求均值和标准差,包括:In one embodiment, the historical average pulse data is obtained, and the average value and standard deviation of the historical average pulse data are obtained, including:
获取历史平均脉冲数据的链表PreMPList,历史平均脉冲数据为过去每次采样的所有时间单位的平均脉冲的均值,获取历史平均脉冲数据的均值的计算公式,计算出历史平均脉冲数据的均值MPre,获取历史平均脉冲数据的标准差的计算公式,计算出历史平均脉冲数据的标准差SPre。Obtain the linked list PreMPList of the historical average pulse data, the historical average pulse data is the average value of the average pulse of all time units of each sampling in the past, obtain the calculation formula of the average value of the historical average pulse data, calculate the average value MPre of the historical average pulse data, and obtain The formula for calculating the standard deviation of the historical average pulse data calculates the standard deviation SPre of the historical average pulse data.
历史平均脉冲数据的均值的计算公式包括:The formula for calculating the mean value of historical average pulse data includes:
其中,n为PreMPList内数据的个数。Among them, n is the number of data in PreMPList.
历史平均脉冲数据的标准差的计算公式包括:The formula for calculating the standard deviation of historical average pulse data includes:
其中,n为PreMPList内数据的个数。Among them, n is the number of data in PreMPList.
请参考图4,步骤200,获取本次采样分析的电压脉冲的数据,统计出每个单位时间内通过小孔的细胞的平均脉冲。Please refer to FIG. 4 ,
在一种实施例中,获取本次采样分析的电压脉冲的数据,统计出每个单位时间内通过小孔的细胞的平均脉冲,包括:In one embodiment, the data of the voltage pulses of this sampling analysis are obtained, and the average pulses of the cells passing through the small hole per unit time are counted, including:
获取总采集时间T,获取单位时间Δt,获取单位时间的总个数N的计算公式,计算出单位时间的总个数N,单位时间的总个数N的计算公式包括:Obtain the total collection time T, obtain the unit time Δt, obtain the calculation formula of the total number N per unit time, calculate the total number N per unit time, and the calculation formula of the total number N per unit time includes:
N=T/Δt,N=T/Δt,
具体的,本实施例中Δt取0.1s,在其他实施例中,Δt也可以根据实际需求选择其他合适的值。Specifically, Δt is 0.1s in this embodiment, and in other embodiments, Δt may also select other appropriate values according to actual requirements.
获取计算第i个单位时间的脉冲个数的公式,计算出第i个单位时间的脉冲个数,计算第i个单位时间的脉冲个数的公式包括:Obtain the formula for calculating the number of pulses in the i-th unit time, calculate the number of pulses in the i-th unit time, and calculate the formula for calculating the number of pulses in the i-th unit time include:
mi=count(p(t,v)),mi = count(p(t,v)),
其中,t的取值范围为(i-1)Δt≤t<iΔt,i的取值范围为0<i≤N,i为正整数。Wherein, the value range of t is (i-1)Δt≤t<iΔt, the value range of i is 0<i≤N, and i is a positive integer.
获取计算第i个单位时间的平均脉冲的计算公式,计算出第i个单位时间的平均脉冲,计算第i个单位时间的平均脉冲的计算公式包括:Obtain the calculation formula for calculating the average pulse of the i-th unit time, calculate the average pulse of the i-th unit time, the calculation formula for calculating the average pulse of the i-th unit time includes:
Pi=(∑v)/mi,Pi =(∑v)/mi ,
其中,v∈p(t,v),t的取值范围为(i-1)Δt≤t<iΔt,i的取值范围为0<i≤N,i为正整数。Wherein, v∈p(t,v), the value range of t is (i-1)Δt≤t<iΔt, the value range of i is 0<i≤N, and i is a positive integer.
将每个单位时间内的平均脉冲依次存入记数组P中,得到记数组(向量)P=[P1,P2,…,Pi,…,PN]。The average pulses in each unit time are sequentially stored in the record group P to obtain the record group (vector) P=[P1 , P2 ,...,Pi ,...,PN ].
请参考图4,步骤300,将每个单位时间前所有单位时间的平均脉冲的均值定义为前均值,依次计算出每个单位时间的前均值,将每个单位时间后所有单位时间的平均脉冲的均值定义为后均值,依次计算每个单位时间的后均值。Please refer to Fig. 4,
在一种实施例中,依次计算出每个单位时间的前均值,依次计算每个单位时间的后均值,包括:In one embodiment, the front mean value of each unit time is calculated sequentially, and the rear mean value of each unit time is calculated sequentially, including:
获取记数组P,获取计算每个单位的前均值的计算公式,依次计算出每个单位时间的前均值S1i,每个单位的前均值的计算公式包括:Obtain the record group P, obtain the calculation formula for calculating the previous mean value of each unit, and calculate the previous mean value S1i of each unit time in turn. The calculation formula of the previous mean value of each unit includes:
其中,i的取值范围为0<i≤N-1,i为正整数。Wherein, the value range of i is 0<i≤N-1, and i is a positive integer.
获取计算每个单位的后均值的计算公式,依次计算出每个单位时间的后均值S2i,每个单位的后均值的计算公式包括:Obtain the calculation formula for calculating the post-average value of each unit, and sequentially calculate the post-mean value S2i of each unit time. The calculation formula for the post-mean value of each unit includes:
其中,i的取值范围为0<i≤N-1,i为正整数。Wherein, the value range of i is 0<i≤N-1, and i is a positive integer.
获取初始化的链表List1和链表List2,将每个单位时间的前均值S1i存入List1中,得到链表List1[i],请参考图5和6,将每个单位时间的后均值S2i存入List2中,得到链表List2[i]。Obtain the initialized linked list List1 and linked list List2, store the previous average value S1i of each unit time in List1, and obtain the linked list List1[i], please refer to Figures 5 and 6, and store the post average value S2i of each unit time in In List2, the linked list List2[i] is obtained.
请参考图4,步骤400,根据每个单位时间的前均值和后均值的变化情况判断出可能堵孔的单位时间。Please refer to FIG. 4 , in
在一种实施例中,根据每个单位时间的前均值和后均值的变化情况判断出可能堵孔的单位时间,包括:In one embodiment, the unit time of possible hole plugging is judged according to the changes of the front mean value and the back mean value of each unit time, including:
获取链表List1[i]和链表List2[i],获取差分计算公式,对链表List1[i]内的数据进行差分计算,获取初始化的链表DList1,将链表List1[i]差分计算的结果存入链表DList1中,得到链表DList1[i],对链表List2[i]内的数据进行差分计算,获取初始化的链表DList2,将链表List2[i]差分计算的结果存入链表DList2中,得到链表DList2[i],差分计算公式包括:Obtain the linked list List1[i] and linked list List2[i], obtain the differential calculation formula, perform differential calculation on the data in the linked list List1[i], obtain the initialized linked list DList1, and store the differential calculation result of the linked list List1[i] into the linked list In DList1, the linked list DList1[i] is obtained, and the differential calculation is performed on the data in the linked list List2[i], the initialized linked list DList2 is obtained, and the result of the differential calculation of the linked list List2[i] is stored in the linked list DList2, and the linked list DList2[i] is obtained ], the difference calculation formula includes:
DList1[i]=List1[i+1]-List1[i],DList1[i]=List1[i+1]-List1[i],
DList2[i]=List2[i+1]-List2[i],DList2[i]=List2[i+1]-List2[i],
其中,i的取值范围为0<i≤N-1,i为正整数。Wherein, the value range of i is 0<i≤N-1, and i is a positive integer.
获取可能堵孔的单位时间判定公式,可能堵孔的单位时间判定公式包括:Obtain the unit time judgment formula of possible hole plugging, the unit time judgment formula of possible hole plugging includes:
Dlist2[i]*Dlist1[i+1]<0,Dlist2[i]*Dlist1[i+1]<0,
遍历链表DList2[i],将链表DList1[i]和链表DList2[i]中的数据输入可能堵孔的单位时间判定公式中,如果数据符合可能堵孔的判定公式,则第i+1个单位时间为可能堵孔的单位时间。Traverse the linked list DList2[i], input the data in the linked list DList1[i] and linked list DList2[i] into the unit time judgment formula for possible hole plugging, if the data conforms to the judgment formula for possible hole plugging, the i+1th unit Time is the unit time of possible hole plugging.
在另一种实施例中,根据每个单位时间的前均值和后均值的变化情况判断出可能堵孔的单位时间,包括:In another embodiment, the unit time of possible hole plugging is judged according to the changes of the front mean value and the back mean value of each unit time, including:
获取链表List1[i]和链表List2[i],获取差分计算公式,对链表List1[i]内的数据进行差分计算,获取初始化的链表DList1,将链表List1[i]差分计算的结果存入链表DList1中,得到链表DList1[i],对链表List2[i]内的数据进行差分计算,获取初始化的链表DList2,将链表List2[i]差分计算的结果存入链表DList2中,得到链表DList2[i],差分计算公式包括:Obtain the linked list List1[i] and linked list List2[i], obtain the differential calculation formula, perform differential calculation on the data in the linked list List1[i], obtain the initialized linked list DList1, and store the differential calculation result of the linked list List1[i] into the linked list In DList1, the linked list DList1[i] is obtained, and the differential calculation is performed on the data in the linked list List2[i], the initialized linked list DList2 is obtained, and the result of the differential calculation of the linked list List2[i] is stored in the linked list DList2, and the linked list DList2[i] is obtained ], the difference calculation formula includes:
DList1[i]=List1[i+1]-List1[i],DList1[i]=List1[i+1]-List1[i],
DList2[i]=List2[i+1]-List2[i],DList2[i]=List2[i+1]-List2[i],
其中,i的取值范围为0<i≤N-1,i为正整数。Wherein, the value range of i is 0<i≤N-1, and i is a positive integer.
获取可能堵孔的单位时间判定公式,可能堵孔的单位时间判定公式包括:Obtain the unit time judgment formula of possible hole plugging, the unit time judgment formula of possible hole plugging includes:
Dlist1[i]*Dlist2[i+1]<0,Dlist1[i]*Dlist2[i+1]<0,
遍历链表DList1[i],将链表DList1[i]和链表DList2[i]中的数据输入可能堵孔的单位时间判定公式中,如果数据符合可能堵孔的判定公式,则第i+1个单位时间为可能堵孔的单位时间。Traverse the linked list DList1[i], input the data in the linked list DList1[i] and linked list DList2[i] into the unit time judgment formula for possible hole plugging, if the data conforms to the judgment formula for possible hole plugging, the i+1th unit Time is the unit time of possible hole plugging.
请参考图4,步骤500,计算可能堵孔的单位时间的前均值与可能堵孔的单位时间的后均值间的第一变化量,将第一变化量与可能堵孔的单位时间前和/或可能堵孔的单位时间后所有单位时间的平均脉冲的标准差进行比较,第一次判断可能堵孔的单位时间是否发生了堵孔,如果第一次判断发生了堵孔,上报异常,如果第一次判断未发生堵孔,继续执行下一步。Please refer to Fig. 4,
在一种实施例中,第一次判断可能堵孔的单位时间是否发生了堵孔,包括:In one embodiment, the first judgment of whether hole plugging occurs per unit time of possible hole plugging includes:
获取记数组P,获取第i+1个单位时间为可能堵孔的单位时间,获取前i个单位时间的平均脉冲的均值的计算公式,计算出前i个单位时间的平均脉冲的均值MP1,前i个单位时间的平均脉冲的均值的计算公式包括:Obtain the record group P, obtain the unit time of the i+1th unit time that may be blocked, obtain the calculation formula of the average value of the average pulse of the previous i unit time, and calculate the average value MP1 of the average pulse of the previous i unit time, the previous The calculation formula of the mean value of the average pulse of i unit time includes:
其中,i的取值范围为0<i<N,i为正整数。Wherein, the value range of i is 0<i<N, and i is a positive integer.
获取前i个单位时间的平均脉冲的标准差的计算公式,计算出前i个单位时间的平均脉冲的标准差SP1,前i个单位时间的平均脉冲的标准差的计算公式包括:Obtain the calculation formula of the standard deviation of the average pulse of the previous i unit time, calculate the standard deviation SP1 of the average pulse of the previous i unit time, the calculation formula of the standard deviation of the average pulse of the previous i unit time includes:
其中,i的取值范围为0<i<N,i为正整数。Wherein, the value range of i is 0<i<N, and i is a positive integer.
获取第i+1到N个单位时间的平均脉冲的均值的计算公式,计算出第i+1到N个单位时间的平均脉冲的均值MP2,第i+1到N个单位时间的平均脉冲的均值的计算公式包括:Obtain the calculation formula of the mean value of the average pulse of the i+1 to N unit time, calculate the mean value MP2 of the average pulse of the i+1 to N unit time, and calculate the average value MP2 of the i+1 to N unit time The formula for calculating the mean includes:
其中,i的取值范围为0<i<N,i为正整数。Wherein, the value range of i is 0<i<N, and i is a positive integer.
获取第i+1到N个单位时间的平均脉冲的标准差的计算公式,计算出第i+1到N个单位时间的平均脉冲的标准差SP2,第i+1到N个单位时间的平均脉冲的标准差的计算公式包括:Obtain the formula for calculating the standard deviation of the average pulse of the i+1 to N unit time, calculate the standard deviation SP2 of the average pulse of the i+1 to N unit time, and calculate the average of the i+1 to N unit time The formula for calculating the standard deviation of the pulse includes:
其中,i的取值范围为0<i<N,i为正整数。Wherein, the value range of i is 0<i<N, and i is a positive integer.
获取第一次判断的判断公式,第一次判断的判断公式包括:Obtain the judgment formula for the first judgment. The judgment formula for the first judgment includes:
|MP1-MP2|<SP1,|MP1-MP2|<SP1,
|MP1-MP2|<SP2,|MP1-MP2|<SP2,
将前i个单位时间的平均脉冲的均值MP1、前i个单位时间的平均脉冲的标准差SP1、第i+1到N个单位时间的平均脉冲的均值MP2、第i+1到N个单位时间的平均脉冲的标准差SP2输入第一次判断的判断公式,如果第一次判断的判断公式中的至少一个公式成立,则第一次判断发生了堵孔,否则第一次判断未发生堵孔。判断发生了堵孔后,上报白/红细胞通道异常,并下发排堵指令。上述“第一变化量”为公式中的|MP1-MP2|。The average value MP1 of the average pulse of the previous i unit time, the standard deviation SP1 of the average pulse of the previous i unit time, the average value MP2 of the average pulse of the i+1 to N unit time, the i+1 to N unit The standard deviation SP2 of the average pulse of time is input into the judgment formula of the first judgment, if at least one formula in the judgment formula of the first judgment is established, then the plugging has occurred in the first judgment, otherwise the plugging has not occurred in the first judgment hole. After judging that the hole is blocked, report the abnormality of the white/red blood cell channel, and issue a blockage removal command. The above "first variation" is |MP1-MP2| in the formula.
请参考图4,步骤600,第一次判断可能堵孔的单位时间未发生堵孔后,计算本次采样的所有单位时间的平均脉冲的均值,并计算本次采样的所有单位时间的平均脉冲的均值与历史平均脉冲数据的均值间的第二变化量,将第二变化量与历史平均脉冲数据的标准差进行比较,第二次判断可能堵孔的单位时间是否发生了堵孔,如果第二次判断发生了堵孔,上报异常,如果第二次判断未发生堵孔,将本次采样的所有单位时间的平均脉冲的均值存入历史平均脉冲数据。Please refer to Figure 4,
在一种实施例中,第二次判断可能堵孔的单位时间是否发生了堵孔,包括:In one embodiment, the second time of judging whether hole plugging occurs per unit time of possible hole plugging includes:
获取记数组P,获取本次采样的所有单位时间的平均脉冲的均值的计算公式,计算出本次采样的所有单位时间的平均脉冲的均值MP,本次采样的所有单位时间的平均脉冲的均值的计算公式包括:Get the record group P, get the calculation formula of the mean value of the average pulse of all unit time of this sampling, calculate the mean value MP of the average pulse of all unit time of this sampling, the mean value of the average pulse of all unit time of this sampling The calculation formula includes:
获取历史平均脉冲数据的均值MPre和历史平均脉冲数据的标准差SPre,获取第二次判断的判断公式,将MP、MPre和SPre代入第二次判断的判断公式,Obtain the mean value MPre of the historical average pulse data and the standard deviation SPre of the historical average pulse data, obtain the judgment formula for the second judgment, and substitute MP, MPre and SPre into the judgment formula for the second judgment,
如果公式if the formula
|MPre-MP|<3SPre|MPre-MP|<3SPre
成立,则第二次判断未发生堵孔。If it is established, then it is judged for the second time that there is no hole plugging.
如果公式if the formula
|MPre-MP|≥3SPre|MPre-MP|≥3SPre
成立,则第二次判断发生了全程堵孔。判断发生了堵孔后,上报白/红细胞通道异常,并下发排堵指令。上述“第二变化量”为公式中的|MPre-MP|。If it is established, the second judgment has occurred that the hole is blocked in the whole process. After judging that the hole is blocked, report the abnormality of the white/red blood cell channel, and issue a blockage removal command. The "second variation" mentioned above is |MPre-MP| in the formula.
另一方面,本实施例提供一种计算机可读存储介质,该计算机可读存储介质上存储有程序,程序能够被处理器执行以实现上述的方法。On the other hand, this embodiment provides a computer-readable storage medium, where a program is stored on the computer-readable storage medium, and the program can be executed by a processor to implement the above method.
以上应用了具体个例对本发明进行阐述,只是用于帮助理解本发明,并不用以限制本发明。对于本发明所属技术领域的技术人员,依据本发明的思想,还可以做出若干简单推演、变形或替换。The above uses specific examples to illustrate the present invention, which is only used to help understand the present invention, and is not intended to limit the present invention. For those skilled in the technical field to which the present invention belongs, some simple deduction, deformation or replacement can also be made according to the idea of the present invention.
| Application Number | Priority Date | Filing Date | Title |
|---|---|---|---|
| CN202011592483.0ACN112730202B (en) | 2020-12-29 | 2020-12-29 | Impedance method detection system of blood cell analyzer and method for identifying impedance channel blocking hole |
| Application Number | Priority Date | Filing Date | Title |
|---|---|---|---|
| CN202011592483.0ACN112730202B (en) | 2020-12-29 | 2020-12-29 | Impedance method detection system of blood cell analyzer and method for identifying impedance channel blocking hole |
| Publication Number | Publication Date |
|---|---|
| CN112730202A CN112730202A (en) | 2021-04-30 |
| CN112730202Btrue CN112730202B (en) | 2023-06-16 |
| Application Number | Title | Priority Date | Filing Date |
|---|---|---|---|
| CN202011592483.0AActiveCN112730202B (en) | 2020-12-29 | 2020-12-29 | Impedance method detection system of blood cell analyzer and method for identifying impedance channel blocking hole |
| Country | Link |
|---|---|
| CN (1) | CN112730202B (en) |
| Publication number | Priority date | Publication date | Assignee | Title |
|---|---|---|---|---|
| CN114235667B (en)* | 2021-07-08 | 2024-04-09 | 深圳市帝迈生物技术有限公司 | Sample analyzer and counting method thereof |
| CN113252537B (en)* | 2021-07-08 | 2021-11-23 | 深圳市帝迈生物技术有限公司 | Sample analyzer and counting abnormity detection method thereof |
| CN114441415B (en)* | 2022-04-06 | 2022-09-20 | 深圳市帝迈生物技术有限公司 | Micro-plugging hole identification method and sample analyzer |
| CN114441414B (en)* | 2022-04-06 | 2022-09-20 | 深圳市帝迈生物技术有限公司 | Hole blockage judging method and sample analyzer |
| CN115931037B (en)* | 2022-12-23 | 2024-12-17 | 深圳市科曼医疗设备有限公司 | Particle channel hole blocking identification method, device and system, equipment and storage medium |
| Publication number | Priority date | Publication date | Assignee | Title |
|---|---|---|---|---|
| US3530381A (en)* | 1968-01-15 | 1970-09-22 | Coulter Electronics | Voting circuit control apparatus for multiple aperture particle analyzing device |
| US8017402B2 (en)* | 2006-03-08 | 2011-09-13 | Accuri Cytometers, Inc. | Fluidic system for a flow cytometer |
| CN104296953B (en)* | 2013-07-16 | 2017-03-15 | 成都深迈瑞医疗电子技术研究院有限公司 | A kind of micropore plug-hole detection method and system, blood cell analyzer |
| CN103499700B (en)* | 2013-09-30 | 2014-12-10 | 深圳理邦实验生物电子有限公司 | Signal effectiveness analysis method and device applied to cell analyzer |
| US9551644B2 (en)* | 2014-07-11 | 2017-01-24 | Intellicyt | Methods and apparatus for real-time detection and clearing of a clog |
| JP2017526914A (en)* | 2014-08-06 | 2017-09-14 | ベックマン コールター, インコーポレイテッド | Evaluation of multiple peak events using a flow cytometer |
| CN104535478B (en)* | 2015-01-07 | 2017-04-12 | 深圳市帝迈生物技术有限公司 | Hole blocking judging and result correcting method based on particle flow stability |
| CN108663306B (en)* | 2018-07-27 | 2024-02-09 | 北京指真生物科技有限公司 | Flow cytometry analysis device and compensation method |
| CN209043773U (en)* | 2018-08-24 | 2019-06-28 | 深圳市帝迈生物技术有限公司 | Micropore plug-hole detection device, blood cell analyzer |
| CN109508649B (en)* | 2018-10-22 | 2023-07-18 | 迪瑞医疗科技股份有限公司 | Pulse signal analysis and identification method of blood cell analyzer |
| CN111122841A (en)* | 2018-10-31 | 2020-05-08 | 深圳市帝迈生物技术有限公司 | Method for improving sample result accuracy and sample analyzer |
| CN111257204B (en)* | 2018-11-30 | 2021-11-23 | 深圳市帝迈生物技术有限公司 | Detection method for micropore blockage of sample analyzer and sample analyzer |
| Publication number | Publication date |
|---|---|
| CN112730202A (en) | 2021-04-30 |
| Publication | Publication Date | Title |
|---|---|---|
| CN112730202B (en) | Impedance method detection system of blood cell analyzer and method for identifying impedance channel blocking hole | |
| US8154273B2 (en) | Detecting and handling coincidence in particle analysis | |
| US8055471B2 (en) | Method of discriminating particle groups and particle analyzer | |
| CN112557281B (en) | PLT particle detection method and device of blood cell analyzer | |
| US20210140938A1 (en) | Identification method, classification analysis method, identification device, classification analysis device, and storage medium | |
| CN108474726A (en) | Number analysis method, number analysis device, and recording medium for number analysis | |
| CN109816031A (en) | A Cluster Analysis Method for Transformer Status Evaluation Based on Data Imbalance Metrics | |
| CN104296953B (en) | A kind of micropore plug-hole detection method and system, blood cell analyzer | |
| US20240374177A1 (en) | Blood testing method and apparatus | |
| CN110060733B (en) | Second-generation sequencing tumor somatic variation detection device based on single sample | |
| CN112673088A (en) | Method for detecting white blood cells, blood cell analyzer and storage medium | |
| CN112557282B (en) | Small hole blocking recognition method and device for blood cell analyzer | |
| CN112730203B (en) | Optical system, optical gain calibration method, and storage medium for blood cell analyzer | |
| CN110887818A (en) | Blood sample analysis method, blood cell analyzer and storage medium | |
| CN107817208B (en) | Blood cell counting device and white blood cell counting correction method thereof | |
| CN116469465A (en) | Method for reducing single base substitution sequencing error rate in high-throughput sequencing, low-frequency mutation detection method and electronic device | |
| CN108268467B (en) | Attribute-based abnormal data detection method and device | |
| CN114740289A (en) | A kind of aluminum electrolysis current efficiency test method and related equipment | |
| CN114878440A (en) | Sample analyzer and hole blockage detection method thereof | |
| CN113218845B (en) | Sample analyzer and counting abnormity detection method thereof | |
| CN116577261A (en) | Method and system for identifying blocking hole of blood cell analyzer | |
| Xi et al. | A robust signal processing program for nanopore signals using dynamic correction threshold with compatible baseline fluctuations | |
| LU504621B1 (en) | Animal Blood Cell Measurement Method, and Animal Blood Analysis Equipment | |
| JP2024176884A (en) | Particle Measurement Equipment | |
| CN120558816A (en) | Leukocyte detection correction method and leukocyte detection correction device |
| Date | Code | Title | Description |
|---|---|---|---|
| PB01 | Publication | ||
| PB01 | Publication | ||
| SE01 | Entry into force of request for substantive examination | ||
| SE01 | Entry into force of request for substantive examination | ||
| GR01 | Patent grant | ||
| GR01 | Patent grant | ||
| TR01 | Transfer of patent right | Effective date of registration:20250122 Address after:518000 Ruihui Building 902, Mashantou Community Clock Base, Matian Street, Guangming District, Shenzhen, Guangdong Patentee after:Shenzhen Koman Biomedical Co.,Ltd. Country or region after:China Address before:518000 10-11 / F, 12C, 1-5 / F, building 2, feiyada clock tower, Nanhuan Avenue, Matian street, Guangming District, Shenzhen, Guangdong Province Patentee before:SHENZHEN COMEN MEDICAL INSTRUMENTS Co.,Ltd. Country or region before:China | |
| TR01 | Transfer of patent right |