Movatterモバイル変換


[0]ホーム

URL:


CN112729543B - Background correction method, equipment and medium for narrow-band absorption in optical detection - Google Patents

Background correction method, equipment and medium for narrow-band absorption in optical detection
Download PDF

Info

Publication number
CN112729543B
CN112729543BCN202011501092.3ACN202011501092ACN112729543BCN 112729543 BCN112729543 BCN 112729543BCN 202011501092 ACN202011501092 ACN 202011501092ACN 112729543 BCN112729543 BCN 112729543B
Authority
CN
China
Prior art keywords
background correction
optical detection
detection system
background
correction coefficient
Prior art date
Legal status (The legal status is an assumption and is not a legal conclusion. Google has not performed a legal analysis and makes no representation as to the accuracy of the status listed.)
Active
Application number
CN202011501092.3A
Other languages
Chinese (zh)
Other versions
CN112729543A (en
Inventor
刘丰奎
郝俊
刘盼西
刘向东
赵东
牛军
王美彩
Current Assignee (The listed assignees may be inaccurate. Google has not performed a legal analysis and makes no representation or warranty as to the accuracy of the list.)
Shanghai Anjie Zhichuang Technology Co ltd
Original Assignee
Shanghai Anjie Zhichuang Technology Co ltd
Priority date (The priority date is an assumption and is not a legal conclusion. Google has not performed a legal analysis and makes no representation as to the accuracy of the date listed.)
Filing date
Publication date
Application filed by Shanghai Anjie Zhichuang Technology Co ltdfiledCriticalShanghai Anjie Zhichuang Technology Co ltd
Priority to CN202011501092.3ApriorityCriticalpatent/CN112729543B/en
Publication of CN112729543ApublicationCriticalpatent/CN112729543A/en
Application grantedgrantedCritical
Publication of CN112729543BpublicationCriticalpatent/CN112729543B/en
Activelegal-statusCriticalCurrent
Anticipated expirationlegal-statusCritical

Links

Images

Classifications

Landscapes

Abstract

The invention relates to a background correction method, equipment and medium for narrow-band absorption in optical detection, wherein the background correction method is used for carrying out error correction on an optical detection system and comprises the following steps: acquiring original detection data of an optical detection system of the optical detection system; performing background correction on the original detection data based on a background correction coefficient obtained in advance; wherein the background correction coefficient is obtained by: and acquiring a group of detection data of the optical detection system, and obtaining the optimal background correction coefficient in a reverse deduction and verification mode. Compared with the prior art, the method has the advantages of effectively reducing errors, improving the precision, needing no hardware change and the like.

Description

Background correction method, equipment and medium for narrow-band absorption in optical detection
Technical Field
The present invention relates to a photoelectric detection system, and more particularly, to a method, an apparatus, and a medium for background correction of narrow-band absorption in optical detection.
Background
Photoelectric detection systems such as molecular absorption spectrometers and atomic absorption spectrometers are important instruments in spectroscopy. The gas phase molecular absorption spectrometer carries out quantitative determination based on the principle that the relation between the absorption intensity of gas decomposed into measured components to light and the concentration of the measured components complies with the light absorption law; depending on the absorption wavelength, the component to be measured can be identified and qualitative analysis can be performed. The gas phase molecular absorption spectrometer can comprise a light source, a collimating and focusing lens group, an absorption cell, a monochromator and a photoelectric detection device, and system errors are caused by factors such as background interference in the detection process. How to reduce background interference and improve the detection accuracy of a photoelectric detection system is a technical problem to be solved urgently in the field.
Disclosure of Invention
The present invention aims to overcome the above-mentioned drawbacks of the prior art and provide a background correction method, apparatus and medium for effectively reducing background interference and improving narrow-band absorption in optical detection with high accuracy.
The purpose of the invention can be realized by the following technical scheme:
a background correction method for narrow-band absorption in optical detection, for background error correction of an optical detection system, the method comprising the steps of:
acquiring original detection data of an optical detection system of the optical detection system;
performing background correction on the original detection data based on a background correction coefficient obtained in advance;
wherein the background correction coefficient is obtained by: and acquiring a group of detection data of the optical detection system, and obtaining the optimal background correction coefficient in a reverse deduction and verification mode.
Further, the background correction coefficient is used for characterizing background stray light of the optical detection system.
Further, the optical detection system is a spectral detection system and device based on the lambert-beer law, and comprises a molecular absorption spectrometer or an atomic absorption spectrometer and the like.
Further, the light source of the optical detection system is a continuous light source or an acute line light source containing background interference.
Further, when the light source is a continuous light source, the background correction coefficient is a ratio of the composite light intensity to the incident light intensity.
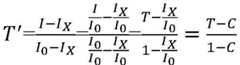
Further, the data for background correction includes transmittance, and the relationship between the corrected transmittance and the original transmittance is:
Figure BDA0002843521450000021
wherein T' is the corrected transmittance, T is the original transmittance, and C is the background correction coefficient.
Further, the value range of the background correction coefficient is 0-1.
The invention also provides a sample concentration gradient experimental data processing method of the gas phase molecular absorption spectrometry, which is characterized in that the experimental data is subjected to background correction by adopting the background correction method, and fitting curves of different concentrations and absorbances are obtained according to the corrected data.
The present invention also provides an electronic device, comprising: one or more processors; a memory; and one or more programs stored in the memory, the one or more programs including instructions for performing the background correction method as described above.
The present invention also provides a computer readable storage medium comprising one or more programs for execution by one or more processors of an electronic device, the one or more programs including instructions for performing the background correction method as described above.
Compared with the prior art, the invention has the following beneficial effects:
1. the invention can effectively carry out background correction on the detection data, reduce background errors and improve the linear range and the test precision by correcting according to the optical absorption characteristic theory.
2. The background correction coefficient is obtained when each optical detection system is individually factory-set, the pertinence is strong, the reliability is high, the coefficient is a fixed coefficient, the real-time correction of the test result through software is facilitated, and the user experience is improved.
3. The curve quality is improved after the correction of the invention, the concentration test of the sample to be detected and the quality control sample is also corrected according to the background correction coefficient, the good linear relation is satisfied, and the result accuracy completely meets the requirement.
4. The correction method of the invention can reduce the dependence of hardware structure on the light splitting system to the maximum extent by users and equipment manufacturers, and reduce the technical difficulty and cost of hardware design and production.
5. The method has wide applicability, can be applied to the measurement background correction of the narrow-band absorption sample in the molecular spectrum to ensure that the result is more accurate, can also be applied to the atomic spectroscopy, and is convenient to be applied to the background correction of a continuous light source and the interference elimination of the adjacent spectral line generated by impurity elements in an acute-line light source.
Drawings
FIG. 1 is a schematic flow diagram of the present invention;
FIG. 2 is a graph of a curve fit before background correction in an example;
FIG. 3 is a graph of a curve fit after background correction in an example.
Detailed Description
The invention is described in detail below with reference to the figures and specific embodiments. The present embodiment is implemented on the premise of the technical solution of the present invention, and a detailed implementation manner and a specific operation process are given, but the scope of the present invention is not limited to the following embodiments.
Example 1
The embodiment provides a background correction method of narrow-band absorption in optical detection, which is used for performing error correction on an optical detection system, and the method comprises the following steps: acquiring original detection data of an optical detection system of the optical detection system; and performing background correction on the original detection data based on a background correction coefficient obtained in advance. The background correction coefficient is obtained by: and acquiring a group of detection data of the optical detection system, and acquiring the optimal background correction coefficient in a reverse deduction and verification mode. The background correction factor is used to characterize background stray light of the optical detection system. The different instruments may have differences in the light splitting system in mass production, and the coefficient may be slightly different because each instrument needs to be set up one by one.
The method is suitable for molecular spectroscopy or atomic spectroscopy, and is conveniently applied to background correction of a continuous light source and adjacent spectral line interference elimination generated by impurity elements in an acute line light source. This example illustrates a gas phase molecular absorption spectrometer with a continuous light source as an optical detection system, and the components include a deuterium lamp (kohamamatsu type L6309-50), a collimating and focusing lens set, a long-range absorption cell, a C-T type monochromator (spectral bandwidth 2nm, spectroscopic system), and a photomultiplier (kohamamatsu type R928).
Gas phase molecular absorption spectroscopy measures mainly 5 items, including: nitrite nitrogen, ammonia nitrogen, nitrate nitrogen, total nitrogen, and sulfides. The ammonia nitrogen is chemically oxidized and then converted into nitrite nitrogen, the total nitrogen is chemically digested at high temperature and then converted into nitrate nitrogen, the nitrite nitrogen chemically reacts to generate nitrogen dioxide of the gas to be detected, the nitrate nitrogen chemically reacts to generate nitric oxide of the gas to be detected, and the sulfide chemically reacts to generate hydrogen sulfide of the gas to be detected. Aiming at the three detection gases, the photoelectric detection system is adopted for detection, samples to be detected with different contents are used for reaction to generate the detection gases with different concentrations, a concentration gradient experiment is carried out, and unitary linear regression straight line fitting is carried out on the experiment result. The linear regression of nitric oxide gas with a single element without correction has a poor fit (γ < 0.999) with large errors, as shown in table 1 and fig. 2.
TABLE 1 items of data before background correction
Concentration cAbsorbance1/TT
10.02811.0668420.937346
20.061.1481540.870964
30.09161.234810.809841
40.11891.3149220.760501
50.14411.3934780.717629
The inventor conducts extensive analysis, creatively finds that the error is caused by strong background stray light existing in the spectroscopic system due to the fact that the absorption band of the measured substance is smaller than the spectral bandwidth of the spectroscopic system when the spectroscopic system measures the substance, and designs a method for carrying out background correction on the detection data based on the creatively found result.
Consider lambert beer's law:
A=lg(1/T)
T=I/I0
where A is absorbance and T is transmittance (transmittance).
The Lambert beer's law is defined under the condition that the relation between the absorbance and the concentration of a substance is on the premise that incident light is monochromatic light, and light emitted by a continuous light source after passing through a light splitting system is composite light which has composite light intensity. The part of light exists in I0 In the system, the light passes through the light absorption cell without being absorbed and becomes a part of I, and the part of light is used as a system error, so that the whole light splitting detection system has stronger background stray light.
Therefore, consider that0 And the composite intensity I in Ix Deduction, T' thus obtained and calculation from TAbs of (2)(NEW) The real absorbance value really accords with the lambert beer law, and the process is a background correction technology:
Figure BDA0002843521450000041
Figure BDA0002843521450000042
wherein: 0-woven C-wovenfabric 1
Abs(NEW) =lg(1/T′)
Background subtraction can be achieved by the above background correction.
The optimal background correction coefficient is obtained through a reverse deduction and verification mode, specifically, a background correction coefficient is initialized through an enumeration method based on a dichotomy thought, and whether the current background correction coefficient is adjusted or not is judged based on the relation between a corrected fitting curve and a fitted curve before correction until the optimal background correction coefficient is obtained.
As shown in fig. 2 and fig. 3, C =0.44 in this embodiment. As can be seen from the implementation results, the problem of deterioration of the correlation coefficient (curve curvature, narrowing of the linear range) caused by correction of stray light is effectively solved.
Table 2 background corrected data items
Concentration cT-C(1-C)/(T-C)Absorbance (new)
10.9373461.0668417420.0281
20.8709641.1481536210.06
30.8098411.2348096080.0916
40.7605011.3149220250.1189
50.7176291.3934776260.1441
The above functions, if implemented in the form of software functional units and sold or used as a separate product, may be stored in a computer-readable storage medium. Based on such understanding, the technical solution of the present invention may be embodied in the form of a software product, which is stored in a storage medium and includes instructions for causing a computer device (which may be a personal computer, a server, or a network device) to execute all or part of the steps of the method according to the embodiments of the present invention. And the aforementioned storage medium includes: a U-disk, a removable hard disk, a Read-Only Memory (ROM), a Random Access Memory (RAM), a magnetic disk, or an optical disk, and various media capable of storing program codes.
Example 2
The embodiment provides a sample concentration gradient experimental data processing method for gas phase molecular absorption spectrometry, which is implemented by performing background correction on experimental data by using the background correction method described inembodiment 1, and obtaining fitted curves of different concentrations and absorbances according to the corrected data.
Example 3
The present embodiments provide an electronic device comprising one or more processors, memory, and one or more programs stored in the memory, the one or more programs including instructions for performing the background correction method as described above.
The foregoing detailed description of the preferred embodiments of the invention has been presented. It should be understood that numerous modifications and variations can be devised by those skilled in the art in light of the above teachings. Therefore, the technical solutions that can be obtained by a person skilled in the art through logical analysis, reasoning or limited experiments based on the prior art according to the concepts of the present invention should be within the scope of protection determined by the claims.

Claims (8)

1. A background correction method of narrow-band absorption in optical detection is characterized in that the method is used for performing background error correction on an optical detection system, a light source of the optical detection system is a continuous light source or an acute-line light source containing background interference, and the method comprises the following steps:
acquiring original detection data of an optical detection system of the optical detection system;
performing background correction on the original detection data based on a background correction coefficient obtained in advance;
wherein the background correction coefficient is obtained by: acquiring a group of detection data of the optical detection system, and acquiring an optimal background correction coefficient in a reverse deduction and verification mode;
the background correction coefficient satisfies the following relation:
Figure FDA0003857688290000011
Figure FDA0003857688290000012
0<C<1
Abs(NEW) =lg(1/T′)
wherein, I0 Is the incident light intensity, I is the emergent light intensity, IX To exist in I0 And the composite light intensity in I, T' is the corrected transmittance, T is the original transmittance, C is the background correction coefficient, abs(NEW) Is the corrected absorbance;
by the background correction coefficient will I0 Composite intensity of light I in sum IX Deduction, T' obtained and Abs calculated from T(NEW) The background correction is realized for the real absorbance value which really accords with the Lambert beer law.
2. The method of claim 1 in which the background correction factor is used to characterize background stray light of the optical detection system.
3. The method of claim 1, wherein the optical detection system is a spectroscopic detection system and apparatus based on the Larobo-beer law.
4. The method of claim 1, wherein the background correction factor is a ratio of a composite intensity to an incident intensity when the light source is a continuous light source.
5. The method of claim 1, wherein the background correction factor has a value ranging from 0 to 1.
6. A sample concentration gradient experimental data processing method for gas phase molecular absorption spectrometry, which is characterized in that the experimental data is subjected to background correction by adopting the background correction method as claimed in any one of claims 1 to 5, and a fitting curve of different concentrations and absorbances is obtained according to the corrected data.
7. An electronic device, comprising: one or more processors; a memory; and one or more programs stored in the memory, the one or more programs including instructions for performing the background correction method of any of claims 1-5.
8. A computer-readable storage medium comprising one or more programs for execution by one or more processors of an electronic device, the one or more programs including instructions for performing the background correction method of any of claims 1-5.
CN202011501092.3A2020-12-182020-12-18Background correction method, equipment and medium for narrow-band absorption in optical detectionActiveCN112729543B (en)

Priority Applications (1)

Application NumberPriority DateFiling DateTitle
CN202011501092.3ACN112729543B (en)2020-12-182020-12-18Background correction method, equipment and medium for narrow-band absorption in optical detection

Applications Claiming Priority (1)

Application NumberPriority DateFiling DateTitle
CN202011501092.3ACN112729543B (en)2020-12-182020-12-18Background correction method, equipment and medium for narrow-band absorption in optical detection

Publications (2)

Publication NumberPublication Date
CN112729543A CN112729543A (en)2021-04-30
CN112729543Btrue CN112729543B (en)2023-01-03

Family

ID=75603284

Family Applications (1)

Application NumberTitlePriority DateFiling Date
CN202011501092.3AActiveCN112729543B (en)2020-12-182020-12-18Background correction method, equipment and medium for narrow-band absorption in optical detection

Country Status (1)

CountryLink
CN (1)CN112729543B (en)

Citations (2)

* Cited by examiner, † Cited by third party
Publication numberPriority datePublication dateAssigneeTitle
CN87106256A (en)*1986-08-131988-03-23生命扫描有限公司 Minimal steps system for the determination of analytes
US5818048A (en)*1992-07-151998-10-06Optix LpRapid non-invasive optical analysis using broad bandpass spectral processing

Family Cites Families (9)

* Cited by examiner, † Cited by third party
Publication numberPriority datePublication dateAssigneeTitle
CA1213446A (en)*1981-02-231986-11-04Walter BohlerAtomic absorption spectrophotometer providing simply derived background absorbance measurement
DE19617100B4 (en)*1996-04-192007-06-06Berthold Gmbh & Co. Kg Method for determining the concentration by means of continuum atomic absorption spectroscopy
CN101408503B (en)*2007-10-112011-01-05上海光谱仪器有限公司Method for automatically detecting and dynamically substracting stray light of spectrometer and spectrometer
CN102721654B (en)*2011-11-162014-11-05深圳市世纪天源环保技术有限公司Background absorption correction method for CODcr measurement
JP2013186004A (en)*2012-03-082013-09-19Hitachi High-Technologies CorpSpectrophotometer and absorptiometric measuring method
WO2014160568A2 (en)*2013-03-262014-10-02Waters Technologies CorporationMethod for extending the dynamic range of absorbance deterctors
GB2517706B (en)*2013-08-282016-03-09Thermo Electron Mfg LtdBackground correction in emission spectra
CN104316480B (en)*2014-11-062016-08-24中国科学院合肥物质科学研究院The laser in-situ detection system of oxygen concentration in a kind of arsenic-containing gold concentrate roaster
CN206300893U (en)*2016-11-292017-07-04上海安杰环保科技股份有限公司A kind of multiple light courcess gas phase adsorption spectrometer

Patent Citations (2)

* Cited by examiner, † Cited by third party
Publication numberPriority datePublication dateAssigneeTitle
CN87106256A (en)*1986-08-131988-03-23生命扫描有限公司 Minimal steps system for the determination of analytes
US5818048A (en)*1992-07-151998-10-06Optix LpRapid non-invasive optical analysis using broad bandpass spectral processing

Also Published As

Publication numberPublication date
CN112729543A (en)2021-04-30

Similar Documents

PublicationPublication DateTitle
JP5909233B2 (en) Monitor, detect, and quantify compounds in gaseous sample streams
CN109799203B (en) A wide-range and high-precision spectral detection method for COD concentration in water
CN104364624B (en) Systems and methods for determining the presence of spectral components in a mixture spectrum
CN107367469B (en) Spectral analysis device and spectral analysis method
Fan et al.Direct calibration transfer to principal components via canonical correlation analysis
GB2561879A (en)Spectroscopic analysis
Novak et al.Simultaneous detection of ozone and nitrogen dioxide by oxygen anion chemical ionization mass spectrometry: a fast-time-response sensor suitable for eddy covariance measurements
CN116879190B (en)Multi-component gas concentration detection method based on spectrum analysis algorithm
CN112729543B (en)Background correction method, equipment and medium for narrow-band absorption in optical detection
Mansouri et al.Methane detection to 1 ppm using machine learning analysis of atmospheric pressure plasma optical emission spectra
Liu et al.Rapid identification of artificial fragrant rice based on volatile organic compounds: From PTR-MS to FTIR
CN118914114B (en)High-precision measurement method for flue gas
Leone et al.The importance of a correct abundance assumption in determining the effective temperature and gravity of stars. A spectroscopic study of the helium weak stars HD 5737, HD 175362 and HD 202671.
CN114894782B (en)LIBS quantitative analysis method, system and electronic equipment
JP2023033398A (en) COMPONENT IDENTIFICATION DEVICE FOR SPECTRUM ANALYSIS DEVICE, METHOD THEREFOR, COMPUTER PROGRAM
JP7626285B1 (en) Gas Analyzers
Thompson et al.An interactive spectral analysis tool for chemical identification and quantification of gas-phase species in complex spectra
Gao et al.An online trace gas detection system for multi-component atmospheric pollutants based on ultraviolet differential optical absorption spectroscopy combined with convolutional attention neural network
US11360020B2 (en)Gas analysis device, program for gas analysis device, and gas analysis method
Dong et al.Effective correction of dissolved organic carbon interference in nitrate detection using ultraviolet spectroscopy combined with the equivalent concentration offset method
CN110398488B (en) A Nonlinear Quantitative Analysis Method Applied to Laser Induced Breakdown Spectroscopy
Aggarwal et al.Identifying key parameters that affect sensitivity of flow tube chemical ionization mass spectrometers
Han et al.ATR-FTIR spectroscopy with equidistant combination PLS method applied for rapid determination of glycated hemoglobin
Martı́n et al.Principal and independent components analysis of overlapping spectra in the context of multichannel time-resolved absorption spectroscopy
CN115791691B (en) A method for measuring tributyl phosphate concentration

Legal Events

DateCodeTitleDescription
PB01Publication
PB01Publication
SE01Entry into force of request for substantive examination
SE01Entry into force of request for substantive examination
CB02Change of applicant information

Address after:201906 Shanghai Baoshan District Fu Lian two road 177 Lane 13 Building

Applicant after:Shanghai Anjie Zhichuang Technology Co.,Ltd.

Address before:201906 Shanghai Baoshan District Fu Lian two road 177 Lane 13 Building

Applicant before:SHANGHAI ANJIE ENVIRONMENTAL PROTECTION SCIENCE & TECHNOLOGY Co.,Ltd.

CB02Change of applicant information
GR01Patent grant
GR01Patent grant

[8]ページ先頭

©2009-2025 Movatter.jp