Movatterモバイル変換


[0]ホーム

URL:


CN112713832A - Control method and device of variable frequency driving device and storage medium - Google Patents

Control method and device of variable frequency driving device and storage medium
Download PDF

Info

Publication number
CN112713832A
CN112713832ACN202011593337.XACN202011593337ACN112713832ACN 112713832 ACN112713832 ACN 112713832ACN 202011593337 ACN202011593337 ACN 202011593337ACN 112713832 ACN112713832 ACN 112713832A
Authority
CN
China
Prior art keywords
axis
motor
phase
value
difference
Prior art date
Legal status (The legal status is an assumption and is not a legal conclusion. Google has not performed a legal analysis and makes no representation as to the accuracy of the status listed.)
Granted
Application number
CN202011593337.XA
Other languages
Chinese (zh)
Other versions
CN112713832B (en
Inventor
詹瀚林
霍军亚
Current Assignee (The listed assignees may be inaccurate. Google has not performed a legal analysis and makes no representation or warranty as to the accuracy of the list.)
Midea Group Co Ltd
Guangdong Midea White Goods Technology Innovation Center Co Ltd
Original Assignee
Midea Group Co Ltd
Guangdong Midea White Goods Technology Innovation Center Co Ltd
Priority date (The priority date is an assumption and is not a legal conclusion. Google has not performed a legal analysis and makes no representation as to the accuracy of the date listed.)
Filing date
Publication date
Application filed by Midea Group Co Ltd, Guangdong Midea White Goods Technology Innovation Center Co LtdfiledCriticalMidea Group Co Ltd
Priority to CN202011593337.XApriorityCriticalpatent/CN112713832B/en
Publication of CN112713832ApublicationCriticalpatent/CN112713832A/en
Application grantedgrantedCritical
Publication of CN112713832BpublicationCriticalpatent/CN112713832B/en
Activelegal-statusCriticalCurrent
Anticipated expirationlegal-statusCritical

Links

Images

Classifications

Landscapes

Abstract

The embodiment of the application discloses a control method of a variable frequency driving device, which comprises the following steps: when the variable-frequency driving device is determined to be connected to a power supply end, a first phase estimation value of alternating-current voltage output by the power supply end at a first moment is acquired; when determining that a first difference value between the operating frequency of a compressor in the variable-frequency driving device and the fluctuation frequency of electromagnetic torque output by a motor in the compressor belongs to a first difference value threshold range, performing value-added processing on a first phase estimation value to obtain a value-added phase estimation value; generating a first output waveform function according to an input waveform function of the alternating voltage and the value-added phase estimation value; and determining the three-phase voltage to be input to the motor according to the given rotating speed of the rotor of the motor, the speed estimation value of the rotor and the first output waveform function, and supplying power to the motor according to the three-phase voltage. The embodiment of the application also discloses a variable frequency driving device and a storage medium.

Description

Control method and device of variable frequency driving device and storage medium
Technical Field
The present disclosure relates to the field of variable frequency drives, and in particular, to a control method for a variable frequency drive, and a storage medium.
Background
With the improvement of energy-saving requirements, the market proportion of the inverter compressor is increasing continuously, and the inverter compressor becomes a mainstream product in the market gradually. In the related art, in the variable frequency drive system without the electrolytic capacitor, a control signal is generated by a waveform generator, so that a compressor in the variable frequency drive system without the electrolytic capacitor is driven.
However, after the energy storage component of the direct energy bus is replaced by the thin film capacitor with a small capacitance value from the electrolytic capacitor with a large capacitance value by the variable frequency driving system, the thin film capacitor can only filter out the current of higher harmonics passing through the rectifier in the variable frequency driving system, and other harmonic currents still exist; the voltage of the direct current bus is greatly fluctuated due to the existence of other harmonic currents; and further causes the electromagnetic torque output by the motor in the variable frequency driving system to fluctuate along with the voltage of the direct current bus. When the fluctuation frequency of the electromagnetic torque is close to the torque fluctuation frequency of the compressor, a low-frequency beat vibration phenomenon is generated, thereby bringing about a problem of beat frequency noise.
Content of application
Embodiments of the present application are intended to provide a method for controlling a variable frequency driving apparatus, and a storage medium, so as to solve a problem in the related art that when a frequency of an electromagnetic torque fluctuation is close to a frequency or a multiple frequency of a load torque fluctuation of a compressor, a low-frequency beat phenomenon is generated, thereby causing beat noise.
The technical scheme of the application is realized as follows:
a method of controlling a variable frequency drive, the method comprising:
when the variable-frequency driving device is determined to be connected to a power supply end, acquiring a first phase estimation value of alternating-current voltage output by the power supply end at a first moment;
when determining that a first difference value between the operating frequency of a compressor in the variable-frequency driving device and the fluctuation frequency of electromagnetic torque output by a motor in the compressor belongs to a first difference value threshold range, performing value-added processing on the first phase estimation value to obtain a value-added phase estimation value;
generating a first output waveform function according to the input waveform function of the alternating voltage and the value-added phase estimation value;
and determining a three-phase voltage to be input to the motor according to the given rotating speed of the rotor of the motor, the speed estimation value of the rotor and the first output waveform function, and supplying power to the motor according to the three-phase voltage.
A variable frequency drive apparatus, the apparatus comprising:
the acquisition module is used for acquiring a first phase estimation value of alternating voltage output by a power supply end at a first moment when the variable frequency driving device is determined to be connected to the power supply end;
the first processing module is used for performing value-added processing on the first phase estimation value to obtain a value-added phase estimation value when determining that a first difference value between the operating frequency of a compressor in the variable-frequency driving device and the fluctuation frequency of the electromagnetic torque output by a motor in the compressor belongs to a first difference value threshold range;
the second processing module is used for generating a first output waveform function according to the input waveform function of the alternating voltage and the value-added phase estimation value;
the third processing module is used for determining the three-phase voltage to be input to the motor according to the given rotating speed of the rotor of the motor, the speed estimation value of the rotor and the first output waveform function;
and the power supply module is used for supplying power to the motor according to the three-phase voltage.
A storage medium storing one or more programs executable by one or more processors to implement the method of controlling a variable frequency drive as described above.
According to the control method of the variable frequency driving device, the variable frequency driving device and the storage medium provided by the embodiment of the application, when the variable frequency driving device is determined to be connected to a power supply end, a first phase estimation value of alternating current voltage output by the power supply end at a first moment is acquired; when determining that a first difference value between the operating frequency of a compressor in the variable-frequency driving device and the fluctuation frequency of electromagnetic torque output by a motor in the compressor belongs to a first difference value threshold range, performing value-added processing on a first phase estimation value to obtain a value-added phase estimation value; generating a first output waveform function according to an input waveform function of the alternating voltage and the value-added phase estimation value; determining a three-phase voltage to be input to the motor according to the given rotating speed of the rotor of the motor, the speed estimation value of the rotor and the first output waveform function, and supplying power to the motor according to the three-phase voltage; that is, the beat vibration phenomenon is avoided and beat noise is eliminated by determining the difference relationship between the operating frequency of the compressor in the variable frequency driving device and the fluctuation frequency of the electromagnetic torque output by the motor and further changing the fluctuation frequency of the output electromagnetic torque to realize the change of the beat vibration point.
Drawings
FIG. 1 is a schematic view of a beat phenomenon generated in the related art;
FIG. 2 is a schematic diagram of a variable frequency drive system of the related art;
fig. 3 is an alternative schematic flow chart of a control method of a variable frequency driving apparatus according to an embodiment of the present disclosure;
fig. 4 is an alternative schematic flow chart of a control method of a variable frequency driving apparatus according to an embodiment of the present disclosure;
fig. 5 is an alternative schematic flow chart of a control method of a variable frequency driving apparatus according to an embodiment of the present application;
fig. 6 is an alternative schematic flow chart of a control method of a variable frequency driving apparatus according to an embodiment of the present disclosure;
fig. 7 is an alternative schematic flow chart of a control method of a variable frequency driving apparatus according to an embodiment of the present application;
fig. 8 is an alternative schematic flow chart of a control method of a variable frequency driving apparatus according to an embodiment of the present application;
fig. 9 is an alternative schematic flow chart of a control method of a variable frequency driving apparatus according to an embodiment of the present application;
fig. 10 is an alternative schematic flow chart of a control method of a variable frequency driving apparatus according to an embodiment of the present application;
fig. 11 is an alternative schematic flow chart of a control method of a variable frequency driving apparatus according to an embodiment of the present application;
fig. 12 is an alternative schematic flow chart of a control method of a variable frequency driving apparatus according to an embodiment of the present application;
fig. 13 is an alternative structural schematic diagram of a variable frequency driving apparatus provided in an embodiment of the present application;
fig. 14 is an alternative structural schematic diagram of a variable frequency driving apparatus provided in an embodiment of the present application;
fig. 15 is an alternative control block diagram of the variable frequency driving apparatus according to the embodiment of the present application.
Detailed Description
In order to better understand the purpose, structure and function of the present application, a control method of the variable frequency driving apparatus and the variable frequency driving apparatus of the present application are described in further detail below with reference to the accompanying drawings.
Before explaining the control method of the variable frequency driving device provided by the present application, relevant knowledge in the related art is explained first.
The beat vibration phenomenon is a phenomenon that when excitation amplitudes and frequencies of two sound sources are close to each other, vibration amplitudes of the two sound sources which are superposed and integrally displayed outwards periodically change at a low frequency. The phenomenon is called as beat vibration because the phenomenon has obvious beat attributes of strong-weak-strong-weak and is sensitively perceived by people. In addition, the number of times of change of the beat attribute of "strong-weak" in a unit time of this phenomenon is the beat frequency.
The beat phenomenon is a mechanism of two simple harmonic vibration signals
x1=A1sin(ω1t)
And
x2=A2sin(ω2t+ψ)
wherein A is1For simple harmonic vibration signal x1Amplitude of (A)2For simple harmonic vibration signal x2Amplitude of (a), ω1For simple harmonic vibration signal x1Angular frequency of (a) ([ omega ])2For simple harmonic vibration signal x2Angular frequency of phi is a simple harmonic vibration signal x2The initial phase of (c).
The composite signal of the two simple harmonic vibration signals is x, and x satisfies the following formula:
Figure BDA0002869266920000041
wherein,
Figure BDA0002869266920000042
here, taking a single-rotor compressor as an example, there is a load fluctuation at one mechanical cycle of a rotor in the compressor, that is, the load fluctuation frequency of the compressor is equal to the mechanical rotation frequency of the rotor. In the electrolytic capacitor-less driver, in order to realize the grid-side current power factor control, a quadrature axis set current signal, also referred to as a Q-axis set current signal, having a shape such as a sine wave absolute value, a trapezoidal wave, an absolute value sine wave with third harmonic injection, or the like is generally generated. The quadrature axis given current waveform of these shapes will cause the electromagnetic torque output by the motor to exhibit periodic fluctuations with a frequency twice the grid frequency. It should be noted that the grid frequency is a constant frequency. Here, the grid frequency is taken as 50Hz, and the motor in the variable frequency drive system without the electrolytic capacitor will output electromagnetic torque fluctuation of 100 Hz. In addition, harmonic torque ripple components of integer multiples of their main ripple frequencies are concomitantly generated due to the non-standard sinusoidal waveforms of electromagnetic torque and load torque. Thus, from the formula of the composite signal x, it can be seen that the amplitude of the high frequency component is modulated by the low frequency component. In addition, the sensitive frequency range of human ears is 20-20000 Hz, and when the load fluctuation frequency of the compressor, also called the running frequency of the compressor, is 98Hz, and the natural torque fluctuation frequency generated by the electromagnetic torque is 100Hz, the running frequency of the compressor and the fluctuation frequency of the electromagnetic torque are close to each other. According to the formula of the synthetic signal x, the high-frequency fluctuation torque frequency is 99Hz, the frequency is in the sensitive frequency range of human ears, the frequency of the low-frequency signal which generates amplitude modulation is 1Hz, and the effect generated from the auditory sense is that the loudness of sound with the frequency of 99Hz changes at the frequency of 1Hz, and the sound fluctuates in height. The changed composite vibration is the beat vibration, the waveform is shown by reference to fig. 1, and the vibration is still simple harmonic vibration in form; wherein the horizontal axis represents frequency and the vertical axis represents amplitude.
In the related art, a conventional variable frequency driving system of an air conditioner, as shown in fig. 2, includes: the Power supply system comprises a Power module 11, arectifier module 12, a Power Factor Correction (PFC)module 13, a dc busenergy storage module 14, aninverter module 25, and a motor 26 (a specific control module is not shown). Here, the power module 11 includes an alternating current power source AC. Therectification module 12 full-wave rectifies the alternating current power AC in the power module 11. ThePFC module 13 includes an inductor L1And a switching tube S7 and a diode D5. The dc busenergy storage module 14 includes an electrolytic capacitor EC connected in parallel with the output side of therectifier module 121Electrolytic capacitor EC1Then, a pulsating DC voltage V is outputdc(i.e., the dc bus voltage). Theinverter module 15 utilizes the switching tubes S1-S6 to output pulsating direct-current voltage V output by the direct-current busenergy storage module 14dcAfter being converted into the alternating current, the alternating current is supplied to themotor 16 of the compressor so that the motor 6 operates normally.
Because the electrolytic capacitor EC with large capacitance value is used in the direct current busenergy storage module 14 in the variable frequency drive system1Harmonic waves generated by the current can be filtered, so that the smoothing effect on the direct current bus voltage is achieved; therefore, in the operation process of the variable-frequency driving system control motor, the direct-current bus voltage is stable, the Q-axis current is stable, and beat frequency noise cannot be generated. However, the traditional air conditioner variable frequency driving system has the defects of large volume, high cost and volatile effect of an electrolytic capacitorTo a problem of (a). Therefore, variable frequency drive systems without electrolytic capacitors have appeared in the related art. In the variable frequency driving system without the electrolytic capacitor, a PFC (power factor correction) module part is omitted, and a thin-film capacitor or a ceramic capacitor with a small capacitance value is used for replacing the electrolytic capacitor with a large capacitance value. Therefore, the cost can be reduced, and the service life bottleneck caused by the electrolytic capacitor can be eliminated. However, the capacitor with a small capacitance value can only filter out higher harmonics, the direct current bus voltage fluctuates greatly due to other harmonics, the Q-axis current also fluctuates along with the direct current bus voltage, and when the compressor load also fluctuates, the fluctuation of the Q-axis torque current and the fluctuation of the compressor load can generate a low-frequency beat vibration phenomenon, so that beat noise is caused, and the tone quality is reduced.
An embodiment of the present application provides a control method for a variable frequency driving apparatus, which is applied to a variable frequency processing apparatus, and as shown in fig. 3, the method includes the following steps:
step 101, when the variable frequency driving device is determined to be connected to a power supply end, acquiring a first phase estimation value of alternating current voltage output by the power supply end at a first moment.
In the embodiment of the present application, after the frequency conversion driving device determines the power end connected to thepower module 21 through the processing module, the first voltage instantaneous value V of the ac voltage output by the power end at the first time when the compressor in the frequency conversion driving device operates under the current working condition is obtainedinAnd a first instantaneous value V of the alternating voltageinCalculating a first phase estimation value theta of the current alternating voltage through a phase-locked loopg
Here, the operation condition of the compressor is related to the operation mode of the air conditioner. Illustratively, when the air conditioner is operated in a heating mode, the compressor is operated in a heating condition; when the air conditioner operates in a cooling mode, the compressor operates in a cooling condition. Here, the compressor is provided with a motor, and the suction pressure and the discharge pressure of the compressor can be controlled by controlling the electromagnetic torque output by the motor, so as to control the operation condition of the compressor and further control the operation mode of the air conditioner.
And 102, when determining that a first difference value between the operating frequency of a compressor in the variable-frequency driving device and the fluctuation frequency of the electromagnetic torque output by a motor in the compressor belongs to a first difference value threshold range, performing value-added processing on the first phase estimation value to obtain a value-added phase estimation value.
In the embodiment of the application, a rotor in a compressor in the variable frequency driving device has a load fluctuation under a mechanical period, and the load fluctuation frequency of the compressor is equal to the mechanical rotation frequency of the rotor. Here, the load fluctuation frequency of the compressor is also the operation frequency of the compressor.
In the embodiment of the application, the operation frequency of the compressor and the fluctuation frequency of the motor output electromagnetic torque of the compressor under the current working condition of the compressor are obtained. Here, the operation condition of the compressor may be related to an operation mode of the air conditioner. Illustratively, when the air conditioner is operated in a heating mode, the compressor is operated in a heating condition; when the air conditioner operates in a cooling mode, the compressor operates in a cooling condition. It should be noted that, under different operation conditions, the operation frequency of the compressor is different, for example, the operation frequency of the compressor is different under the refrigeration condition and the heating condition; the operation frequency of the compressor is different under different temperatures under the same operation condition, for example, the operation frequency of the compressor is different between the first temperature 18 ℃ and thesecond temperature 24 ℃ when the compressor operates under the refrigeration condition.
In the embodiment of the application, after the variable frequency driving device acquires the first phase estimation value of the alternating voltage output by the power supply end through the processing module, the operating frequency of a compressor in the variable frequency driving device and the fluctuation frequency of the electromagnetic torque output by a motor in the compressor are acquired, and a first difference value between the operating frequency of the compressor and the fluctuation frequency of the electromagnetic torque is calculated. Further, a relationship between the first difference value and a first difference value threshold range, illustratively [ -15 °, 15 ° ], is determined. If the first difference is determined to belong to the first difference threshold range, the operating frequency of the compressor is close to the fluctuation frequency of the electromagnetic torque, namely, the beat phenomenon can occur due to the load fluctuation of the compressor and the fluctuation of the electromagnetic torque. At the moment, the variable-frequency driving device performs value-added processing on the first phase estimation value through the processing module to obtain the value-added phase estimation value, so that the fluctuation frequency of the electromagnetic torque is changed by adjusting the first phase estimation value, the beat vibration point is further transferred, and the beat vibration phenomenon is avoided.
And 103, generating a first output waveform function according to the input waveform function of the alternating voltage and the value-added phase estimation value.
The input waveform function comprises a sine wave function, an absolute sine wave function, a trapezoidal wave function, an absolute sine wave function with third harmonic injection or an irregular waveform function.
In the embodiment of the application, the variable frequency driving device generates a first output waveform function through a current waveform generator in the variable frequency driving device by using the processing module to obtain the input waveform function and the value-added phase estimation value of the alternating voltage, and outputs the first output waveform function.
In an application scenario, taking the input waveform function of the ac voltage as an absolute sine wave function as an example, the variable frequency driving device uses the processing module to perform the input waveform function of the ac voltage and the phase estimation value (θ) after the value is addedg+ Δ θ), generating a first output waveform function W by a current waveform generator in a variable frequency drivefg) And outputs a first output waveform function Wfg). Here, it can be generated by the following formula,
Wfg)=|sin(θg+Δθ)|
wherein, Wfg) As a function of the first output waveform, (θ)g+ Δ θ) is the phase estimate after the increment.
And 104, determining the three-phase voltage to be input to the motor according to the given rotating speed of the rotor of the motor, the speed estimation value of the rotor and the first output waveform function, and supplying power to the motor according to the three-phase voltage.
The given rotating speed of the rotor is a preset specified rotating speed set for the rotor of the motor in advance; the speed estimation value of the rotor is obtained by estimating the rotor position of the motor by a flux linkage observation method through a flux linkage angle and speed estimation module in the variable-frequency driving device.
The three-phase voltage is a sinusoidal voltage with corresponding peak value, same frequency, 120-degree spatial difference and periodically changed magnitude and direction.
In the embodiment of the application, after a processing module in the variable frequency driving device generates a first output waveform function through a current waveform generator, a three-phase voltage to be input to a motor is determined according to a given rotating speed of a rotor of the motor, a speed estimation value of the rotor and the first output waveform function, so that the three-phase voltage can supply power to the motor.
The control method of the variable frequency driving device provided by the embodiment of the application obtains a first phase estimation value of alternating voltage output by a power supply end at a first moment by determining that the variable frequency driving device is connected to the power supply end; when determining that a first difference value between the operating frequency of a compressor in the variable-frequency driving device and the fluctuation frequency of electromagnetic torque output by a motor in the compressor belongs to a first difference value threshold range, performing value-added processing on a first phase estimation value to obtain a value-added phase estimation value; generating a first output waveform function according to an input waveform function of the alternating voltage and the value-added phase estimation value; determining a three-phase voltage to be input to the motor according to the given rotating speed of the rotor of the motor, the speed estimation value of the rotor and the first output waveform function, and supplying power to the motor according to the three-phase voltage; that is, the beat vibration phenomenon is avoided and beat noise is eliminated by determining the difference relationship between the operating frequency of the compressor in the variable frequency driving device and the fluctuation frequency of the electromagnetic torque output by the motor and further changing the fluctuation frequency of the output electromagnetic torque to realize the change of the beat vibration point.
Based on the foregoing embodiments, an embodiment of the present application provides a method for controlling a variable frequency driving apparatus, which is applied to the variable frequency driving apparatus, and as shown in fig. 4, the method includes the following steps:
step 201, when it is determined that the variable frequency driving device is connected to a power supply end, a first phase estimation value of an alternating current voltage output by the power supply end at a first time is obtained.
Step 202, when a first difference value between the operating frequency of the compressor in the variable-frequency driving device and the fluctuation frequency of the electromagnetic torque output by the motor in the compressor is determined to belong to a first difference value threshold range, a first variable phase is obtained.
In the embodiment of the present application, the first variable phase may be understood as a phase within a certain range.
In the embodiment of the present application, when step 202 determines that the first difference between the operating frequency of the compressor in the inverter driving apparatus and the fluctuation frequency of the electromagnetic torque output by the motor in the compressor belongs to the first difference threshold range, the first variable phase is obtained, which may be implemented by the steps shown in fig. 5,
step 2021, when it is determined that the first difference value belongs to the first difference value threshold range, obtaining a second phase estimation value of the ac voltage output by the power source terminal at the second time.
Wherein the second time is less than the first time.
In this embodiment, after the variable frequency drive device determines the power end connected to thepower module 21 through the processing module, it obtains a second voltage instantaneous value V 'of the ac voltage output by the power end at a second moment when the compressor in the variable frequency drive device operates under the current working condition'inAnd a second voltage instantaneous value V 'of the alternating voltage'inCalculating a second phase estimation value theta 'of the current alternating-current voltage through a phase-locked loop'g
Step 2022, when it is determined that the second difference between the second phase estimation value and the first phase estimation value belongs to the second difference threshold range, determining that the second variable phase corresponding to the second time is the first variable phase.
Wherein the second variable phase is a phase of the first waveform generated by a current waveform generator in the variable frequency drive.
The first waveform is a waveform generated by a preset waveform function in the current waveform generator.
In this embodiment, the variable frequency driving device obtains a second phase estimation value θ 'of the alternating current voltage output by the power supply end through the processing module'gThen; judging a second phase estimation value theta'gAnd a first phase estimate θgA second betweenThe difference, and a second difference threshold range, illustratively 180 degrees or-180 degrees. And if the second difference is determined to belong to the second difference threshold range, acquiring a second variable phase delta theta of the first waveform generated by a current waveform generator in the variable-frequency driving device at a second moment, and determining the second variable phase delta theta as the first variable phase.
In the embodiment of the present application, when step 202 determines that the first difference between the operating frequency of the compressor in the inverter driving apparatus and the fluctuation frequency of the electromagnetic torque output by the motor in the compressor belongs to the first difference threshold range, the first variable phase is obtained, which may be implemented by the steps shown in fig. 6,
step 2023, when it is determined that the first difference value belongs to the first difference value threshold range, obtaining a second phase estimation value of the ac voltage output by the power source terminal at the second time.
Wherein the second time is less than the first time.
In this embodiment, after the variable frequency drive device determines the power end connected to thepower module 21 through the processing module, it obtains a second voltage instantaneous value V 'of the ac voltage output by the power end at a second moment when the compressor in the variable frequency drive device operates under the current working condition'inAnd a second voltage instantaneous value V 'of the alternating voltage'inCalculating a second phase estimation value theta 'of the current alternating-current voltage through a phase-locked loop'g
Step 2024, when it is determined that the second difference between the second phase estimation value and the first phase estimation value does not belong to the second difference threshold range, generating a second waveform by a current waveform generator in the variable frequency driving apparatus.
And the second waveform is a waveform generated by a preset waveform function in the current waveform generator.
In this embodiment, the variable frequency driving device obtains a second phase estimation value θ 'of the alternating current voltage output by the power supply end through the processing module'gThen; judging a second phase estimation value theta'gAnd a first phase estimate θgA second difference between, and a second difference threshold range,illustratively, the second difference threshold range is 180 degrees or-180 degrees. And if the second difference is determined not to belong to the second difference threshold range, generating a second waveform by a current waveform generator in the variable-frequency driving device.
Step 2025, obtain a first variable phase of the second waveform.
In this embodiment, the variable frequency driving apparatus obtains the first variable phase Δ θ' of the second waveform through the processing module. Here, the first variable phase Δ θ' corresponding to the first time is different from the second variable phase Δ θ corresponding to the second time.
In other embodiments of the present application, the value range of the first variable phase [0, 6 ° ]; therefore, the variable phase within a certain range is superposed in the first phase estimation value, so that the first phase estimation value is ensured to change in real time within a certain range, a fixed envelope line cannot be generated, the beat vibration phenomenon can be avoided, beat frequency noise is eliminated, and the stability of the variable frequency driving device is ensured.
Step 203, add the first phase estimation value and the first variable phase to obtain the value-added phase estimation value.
In the embodiment of the application, the variable frequency driving device outputs the first phase estimation value theta of the alternating voltage output by the power supply end at the first moment through the processing modulegAnd adding the first variable phase to obtain a value-added phase estimation value.
And step 204, generating a first output waveform function according to the input waveform function of the alternating voltage and the value-added phase estimation value.
And step 205, determining the three-phase voltage to be input to the motor according to the given rotating speed of the rotor of the motor, the speed estimation value of the rotor and the first output waveform function, and supplying power to the motor according to the three-phase voltage.
Therefore, only when the operating frequency of the compressor is close to the fluctuation frequency of the electromagnetic torque, the variable phase within a certain range is superposed in the first phase estimation value, so that the first phase estimation value is ensured to change in real time within a certain range, the fluctuation frequency of the electromagnetic torque is changed, the difference between the fluctuation frequency of the electromagnetic torque and the operating frequency of the compressor is larger, the transfer of beat vibration points is realized, the beat vibration phenomenon is avoided, meanwhile, the sound of the compressor body which is high and low is avoided, and the user experience is improved; meanwhile, the power output capability of the variable-frequency driving device is optimal, the control efficiency of the variable-frequency driving device is optimal, the control performance is optimal, the loss of electric energy resources is minimum, and the stability of the variable-frequency driving device is also ensured.
Based on the foregoing embodiments, an embodiment of the present application provides a control method for a variable frequency driving apparatus, which is applied to a variable frequency processing apparatus, and as shown in fig. 7, the method includes the following steps:
step 301, when it is determined that the variable frequency driving device is connected to a power supply end, acquiring a first phase estimation value of an alternating current voltage output by the power supply end at a first time.
And step 302, when determining that a first difference value between the operating frequency of a compressor in the variable-frequency driving device and the fluctuation frequency of the electromagnetic torque output by a motor in the compressor belongs to a first difference value threshold range, performing value-added processing on the first phase estimation value to obtain a value-added phase estimation value.
Step 303, generating a first output waveform function according to the input waveform function of the ac voltage and the value-added phase estimation value.
And step 304, determining the Q-axis given current of the motor according to the given rotating speed of the rotor of the motor, the speed estimation value of the rotor and the first output waveform function.
In the embodiment of the present application, step 304, determining the Q-axis set current of the motor according to the given rotation speed of the rotor of the motor, the speed estimation value of the rotor and the first output waveform function, may be implemented by the steps shown in fig. 8,
step 3041, a third difference between the given rotational speed and the speed estimate is determined.
In the embodiment of the present application, referring to fig. 15, the variable frequency driving device determines the given rotation speed through the processing module
Figure BDA0002869266920000121
And velocity estimate
Figure BDA0002869266920000122
The magnitude relationship between them, if the velocity estimates
Figure BDA0002869266920000123
Less than a given speed
Figure BDA0002869266920000124
For a given rotational speed
Figure BDA0002869266920000125
Subtracting the velocity estimate
Figure BDA0002869266920000126
Processing the difference value to increase the speed of the rotor; if the velocity estimate is
Figure BDA0002869266920000127
Greater than a given rotational speed
Figure BDA0002869266920000128
Then an estimate of rotor speed is made
Figure BDA0002869266920000129
Minus a given rotational speed
Figure BDA00028692669200001210
Is processed to reduce the rotor speed.
Step 3042, obtain a first proportional control coefficient and a first integral control coefficient corresponding to the third difference.
In a practical application scenario, the speed estimation value is used
Figure BDA00028692669200001211
Less than a given speed
Figure BDA00028692669200001212
For example, the frequency conversion driving device obtains the third difference value through the processing module
Figure BDA00028692669200001213
A corresponding first proportional control coefficient and a first integral control coefficient. Wherein, the first proportional control coefficient and the first integral control coefficient can be calculated by the following formula,
Figure BDA00028692669200001214
wherein, Kp1Is a first proportional control coefficient, Ki1Is the first integral control coefficient, J is the rotational inertia of the motor, omegaarsIs the speed loop bandwidth, p is the number of pole pairs of the motor, xiarsIs the system damping coefficient. It should be noted that the current loop bandwidth in the embodiment of the present application is set to 20 Hz.
Step 3043, a first product of the first proportional control coefficient multiplied by the third difference is obtained.
In the embodiment of the application, the frequency conversion driving device processes the first proportional control coefficient K through the processing module groupp1And a third difference value
Figure BDA00028692669200001215
Performing product operation to obtain a first product
Figure BDA00028692669200001216
Step 3044, a first integration result of the third difference value over the target period is obtained.
In this embodiment, the frequency conversion driving device obtains the third difference value through the processing module
Figure BDA00028692669200001217
First integration result over a target period T
Figure BDA00028692669200001218
Step 3045, a second product of the first integration result multiplied by the first integration control coefficient is obtained.
In the embodiment of the application, the frequency conversion driving device is used for processing the first module group through the processing module groupIntegral control coefficient Ki1And a first integration result
Figure BDA0002869266920000131
Performing product operation to obtain a second product
Figure BDA0002869266920000132
Step 3046, determining the Q-axis current according to the first product, the second product, and the first output wave function.
In one practical application scenario, referring to fig. 15, the variable frequency driving device is based on the first product
Figure BDA0002869266920000133
Second product
Figure BDA0002869266920000134
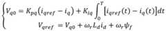
And a first output waveform function Wfg) And determining the Q-axis current. Here, the Q-axis current can be calculated by the following formula,
Figure BDA0002869266920000135
step 3047, obtain the motor pole pair number, the motor back electromotive force, the D-axis inductor, the Q-axis inductor, and the D-axis actual current of the motor.
Step 3048, determining the Q-axis current coefficient according to the motor pole pair number, the motor back electromotive force, the D-axis inductor, the Q-axis inductor, and the D-axis actual current.
In an implementation application scenario, referring to fig. 15, the variable frequency driving device is based on the number p of pole pairs of the motor and the back electromotive force K of the motorTD-axis inductor LdQ-axis inductor LqAnd D-axis actual current idAnd determining the Q-axis current coefficient K. Here, the Q-axis current coefficient K can be calculated by the following formula,
Figure BDA0002869266920000136
step 3049, the Q-axis current is multiplied by the Q-axis current coefficient to determine the Q-axis set current.
In an implementation scenario, and referring to fig. 15, the Q-axis given current can be calculated by the following formula,
Figure BDA0002869266920000137
wherein iqrefFor Q-axis given current, TeIs Q-axis current, p is the number of pole pairs of the motor, KTIs the back electromotive force of the motor, idIs D-axis actual current, LdIs a D-axis inductance, LqIs a Q-axis inductor.
And step 305, acquiring the Q-axis actual current, the D-axis given current and the D-axis actual current of the motor.
In the embodiment of the present application, thestep 305 of obtaining the D-axis given current may be implemented by the following process,
a1, the frequency conversion driving device processes the rotor position theta of the compressor motor by the modulerEstimating to obtain an angle estimate of the rotor
Figure BDA0002869266920000141
And an estimate of the speed of the rotor
Figure BDA0002869266920000142
In the embodiment of the present application, referring to fig. 14 and 15, the variable frequency driving apparatus obtains the rotor position θ of themotor 26 through the processing modulerAnd the rotor position theta of the motor is measured by a flux linkage observation method contained in a flux linkage angle and speed estimation modulerEstimating to obtain the rotor angle estimated value of the compressor motor
Figure BDA0002869266920000143
And rotor speed estimate
Figure BDA0002869266920000144
Here, first, the rotor position θ of the motor may be determinedrAnd a current iα、iβAnd the parameters of the motor, calculating the estimated values of the effective magnetic flux of the compressor motor in the directions of the alpha axis and the beta axis of the two-phase static coordinate system, wherein the calculation formula is as follows:
Figure BDA0002869266920000145
wherein psiαFor an estimate of the effective flux in the direction of the alpha axis of the compressor motor, #βFor an estimate of the effective flux in the direction of the beta axis of the compressor motor, iαIs a current in the direction of the alpha axis, iβIs a current in the direction of the beta axis,. psiextFor expanding the flux linkage, #fIs a permanent magnet flux linkage, LqIs a Q-axis inductor, LdIs a D-axis inductance, idIs the D-axis actual current.
Then, the rotor angle estimation value of the compressor motor is calculated according to the following formula
Figure BDA0002869266920000146
And rotor speed estimate
Figure BDA0002869266920000147
Figure BDA0002869266920000148
Wherein,
Figure BDA0002869266920000149
is an estimate of the angle of the rotor,
Figure BDA00028692669200001410
as an estimate of the speed of the rotor, Kp1Is a first proportional control coefficient, Ki1Is a first integral control coefficient, thetaerrAs an estimate of the deviation angle, ωfIs a velocity low passThe bandwidth of the filter, s, is the laplacian transform coefficient.
And A2, calculating the D-axis given current of the motor according to the maximum output voltage of an inverter module in the variable frequency driving device and the output voltage amplitude of the inverter module.
In the embodiment of the present application, referring to fig. 14 and 15, the maximum output voltage V of theinverter module 24 in the variable frequency driving device is usedmaxAnd the output voltage amplitude V of theinverter module 241Calculating D-axis set current i ofmotor 26drefThe method comprises the following steps: maximum output voltage V toinverter module 24maxAnd the output voltage amplitude V of theinverter module 241After the difference is subjected to weak magnetic control by a weak magnetic control module, a D-axis given current i is obtaineddref. Here, the D-axis given current can be calculated by the following formula,
Figure BDA0002869266920000151
wherein idrefFor D axis given current, KidIs a D-axis integral control coefficient, VdIs D-axis actual voltage, VqIs the Q-axis actual voltage, VmaxIs the maximum output voltage of the inverter module, and
Figure BDA0002869266920000152
wherein, VdcIs the dc bus voltage of the motor and s is the laplace transform coefficient.
And step 306, determining three-phase voltage to be input to the motor according to the Q-axis given current, the Q-axis actual current, the D-axis given current and the D-axis actual current, and supplying power to the motor according to the three-phase voltage.
In the embodiment of the present application, referring to fig. 14 and fig. 15, the variable frequency driving apparatus obtains a three-phase current i output by aninverter module 24 in the variable frequency driving apparatus through a processing modulea、ib、icWill make three-phase current ia、ib、icPerforming Clark conversion to obtain current i on a two-phase static coordinate systemα、iβ. Then the two phases are restedCurrent i on the scaleα、iβObtaining Q-axis actual current i on a two-phase rotating coordinate system through Park conversionqAnd D-axis actual current id
In the embodiment of the present application, thestep 306 of determining the three-phase voltage to be input to the motor according to the Q-axis given current, the Q-axis actual current, the D-axis given current and the D-axis actual current may be implemented by the steps shown in fig. 9,
step 3061, a fourth difference between the given current of the Q axis and the actual current of the Q axis is determined.
In the embodiment of the application, referring to fig. 15, the variable frequency driving device gives current i to the Q axis through the processing moduleqrefAnd Q-axis actual current iqPerforming a difference operation to obtain a fourth difference value (i)qref-iq)。
Step 3062, determine the fifth difference between the D-axis given current and the D-axis actual current.
In the embodiment of the application, referring to fig. 15, the variable frequency driving device gives current i to the D axis through the processing moduledrefAnd D-axis actual current idPerforming a difference operation to obtain a fifth difference value (i)dref-id)。
Step 3063, obtain the second proportional control coefficient and the second integral control coefficient corresponding to the fourth difference, and the third proportional control coefficient and the third integral control coefficient corresponding to the fifth difference.
In this embodiment, the frequency conversion driving device obtains the second proportional control coefficient K corresponding to the fourth difference value through the processing modulepqAnd a second integral control coefficient KiqAnd a third proportional control coefficient K corresponding to the fifth differencepdAnd a third integral control coefficient Kid
Step 3064, determining the given voltage of the Q axis of the motor according to the fourth difference value, the second proportional control coefficient and the second integral control coefficient.
In the embodiment of the present application, step 3064 of determining the given Q-axis voltage of the motor according to the fourth difference, the second proportional control coefficient and the second integral control coefficient may be implemented by the steps shown in fig. 10,
step 30641, obtain a third product of the second proportional control coefficient multiplied by the fourth difference.
In the embodiment of the application, the frequency conversion driving device processes the second proportional control coefficient K through the processing modulepqAnd a fourth difference value (i)qref-iq) Performing product operation to obtain a third product Kpq(iqref-iq)。
Step 30642, obtain a second integration result of the fourth difference over the target period.
In the embodiment of the present application, the frequency conversion driving apparatus obtains the fourth difference value (i) through the processing moduleqref-iq) Second integration result over target period T
Figure BDA0002869266920000161
Step 30643, a fourth product of the second integration result multiplied by the second integration control coefficient is obtained.
In the embodiment of the application, the frequency conversion driving device processes the second integral control coefficient K through the processing module groupiqAnd a second integration result
Figure BDA0002869266920000162
Performing product operation to obtain a fourth product
Figure BDA0002869266920000163
Figure BDA0002869266920000164
Step 30644, obtaining the electrical angular velocity of the motor, the D-axis inductance and the permanent magnet flux linkage of the motor.
Wherein the permanent magnet flux linkage is the magnetic flux of a conductive coil or a current loop link of the motor.
In this embodiment, the frequency conversion driving device obtains the electrical angular velocity ω of the motor through the processing modulerD-axis inductor LdAnd permanent magnet flux linkage psif
Step 30645, determining the given voltage of the Q axis according to the third product, the fourth product, the electrical angular speed of the motor, the D axis inductance, the D axis actual current and the permanent magnet flux linkage.
In an implementation scenario, referring to fig. 15, the variable frequency driving apparatus according to the third product Kpq(iqref-iq) The fourth product of
Figure BDA0002869266920000171
Electrical angular velocity omega of motorrD-axis inductor LdD-axis actual current idAnd permanent magnet flux linkage psifDetermining the given voltage V of the Q axisqref. Here, the Q-axis given voltage V is determinedqrefCan be calculated by the following formula,
Figure BDA0002869266920000172
step 3065, determining the D-axis given voltage of the motor according to the fifth difference value, the third proportional control coefficient and the third integral control coefficient.
In the embodiment of the present application,step 3065 of determining the D-axis set voltage of the motor according to the fifth difference, the third proportional control coefficient and the third integral control coefficient may be implemented by the steps shown in fig. 11,
step 30651, obtain a fifth product of the third proportional control coefficient multiplied by the fifth difference.
In the embodiment of the application, the frequency conversion driving device processes the third proportional control coefficient K through the processing module grouppdAnd a fifth difference value (i)dref-id) Performing product operation to obtain a fifth product Kpd(idref-id)。
Step 30652, obtain a third integration result of the fifth difference over the target period.
In the embodiment of the present application, the frequency conversion driving apparatus obtains the fifth difference value (i) through the processing moduledref-id) Third integration result over target period T
Figure BDA0002869266920000173
Step 30653, obtain a sixth product of the third integration result multiplied by the third integration control coefficient.
In the embodiment of the application, the frequency conversion driving device processes the third integral control coefficient K through the processing module groupidAnd third integration result
Figure BDA0002869266920000174
Performing product operation to obtain the sixth product
Figure BDA0002869266920000175
Figure BDA0002869266920000176
Step 30654, obtaining the electrical angular speed and the Q-axis inductance of the motor.
In this embodiment, the frequency conversion driving device obtains the electrical angular velocity ω of the motor through the processing modulerQ-axis inductor Lq
And 30655, determining the D-axis given voltage according to the fifth product, the sixth product, the electrical angular speed of the motor, the Q-axis inductance and the Q-axis actual current.
In an implementation scenario, referring to fig. 15, the variable frequency driving apparatus is based on the fifth product Kpd(idref-id) The sixth product
Figure BDA0002869266920000181
Electrical angular velocity omega of motorrQ-axis inductor LqQ-axis actual current iqDetermining D-axis given voltage Vdref. Here, the D-axis given voltage V is determineddrefCan be calculated by the following formula,
Figure BDA0002869266920000182
step 3066, determining the three-phase voltage to be input according to the Q-axis given voltage and the D-axis given voltage.
The embodiments of the present applicationIn the embodiment shown in fig. 15, the variable frequency driving device obtains the Q-axis given voltage V through the processing moduleqrefAnd D-axis given voltage VdrefThen, the rotor angle estimation value can be obtained
Figure BDA0002869266920000183
Given voltage V to Q axisqrefAnd D-axis given voltage VdrefCarrying out Park inverse transformation to obtain the voltage V on the two-phase static coordinate systemα、VβHere, the transformation formula is as follows:
Figure BDA0002869266920000184
further, the voltage V on the two-phase static coordinate system is comparedα、VβPerforming Clark inverse transformation to obtain three-phase voltage command Va、Vb、VcHere, the transformation formula is as follows:
Figure BDA0002869266920000185
then, the DC bus voltage V of the motor can be useddcAnd three-phase voltage command Va、Vb、VcDuty ratio calculation is carried out to obtain a duty ratio control signal, namely a three-phase duty ratio Da、Db、DcHere, the calculation formula is as follows:
Figure BDA0002869266920000186
wherein, VdcIs the dc bus voltage.
Finally, referring to FIG. 15, the three-phase duty cycle D is based ona、Db、DcAnd controlling a switching tube of the inverter module according to a Space Vector Pulse Width Modulation (SVPWM) mode to realize power supply and control of a compressor motor. Thus, through reasonable adjustment of the cross-linkingAnd the phase estimation value of the current voltage is adopted, so that the given current of the Q axis is adjusted, and the fluctuation frequency of the electromagnetic torque is changed. The beat point is transferred, beat noise is eliminated, and user experience is improved; meanwhile, the power output capability of the variable-frequency driving device is optimal, the control efficiency of the variable-frequency driving device is optimal, the control performance is optimal, and the loss of electric energy resources is minimal.
It should be noted that, for the descriptions of the same steps and the same contents in this embodiment as those in other embodiments, reference may be made to the descriptions in other embodiments, which are not described herein again.
Based on the foregoing embodiments, an embodiment of the present application provides a method for controlling a variable frequency driving apparatus, which is applied to the variable frequency driving apparatus, and as shown in fig. 12, the method includes the following steps:
step 401, when it is determined that the variable frequency driving device is connected to a power supply end, acquiring a first phase estimation value of an alternating current voltage output by the power supply end at a first time.
And 402, when determining that the first difference value between the operating frequency of the compressor in the variable-frequency driving device and the fluctuation frequency of the electromagnetic torque output by the motor in the compressor does not belong to the first difference value threshold range, generating a second output waveform function according to the input waveform function and the first phase estimation value.
The input waveform function comprises a sine wave function, an absolute sine wave function, a trapezoidal wave function, an absolute sine wave function with third harmonic injection or an irregular waveform function.
Here, after the variable frequency driving device acquires the phase estimation value of the alternating voltage output by the power supply end through the processing module, the operating frequency of the compressor in the variable frequency driving device and the fluctuation frequency of the electromagnetic torque output by the motor in the compressor are acquired, and a first difference value between the operating frequency of the compressor and the fluctuation frequency of the electromagnetic torque is calculated. If it is determined that the first difference does not fall within the difference threshold range, which is, for example, [ -15 °, 15 ° ], it indicates that the beat phenomenon does not occur in the load fluctuation and the fluctuation of the electromagnetic torque of the compressor. Therefore, the beat phenomenon does not need to be avoided.
In the embodiment of the application, the variable frequency driving device generates a second output waveform function through a current waveform generator in the variable frequency driving device by using the input waveform function and the phase estimation value of the alternating voltage through the processing module, and outputs the second output waveform function.
In an application scenario that can be realized, taking a sine wave function with an input waveform function of an ac voltage as an absolute value as an example, referring to fig. 15, the variable frequency driving apparatus uses a processing module to combine the input waveform function of the ac voltage and a first phase estimation value θgGenerating a second output waveform function W by a current waveform generator in a variable frequency drivef′(θg) And outputs a second output waveform function Wf′(θg). Here, it can be generated by the following formula,
Wf′(θg)=|sinθg|
wherein, Wf′(θg) As a function of the second output waveform, thetagIs a first phase estimate.
And 403, determining the three-phase voltage to be input to the motor according to the given rotating speed of the rotor of the motor, the speed estimation value of the rotor and the second output waveform function, and supplying power to the motor according to the three-phase voltage.
In the embodiment of the application, when the operating frequency of the compressor is greatly different from the fluctuation frequency of the electromagnetic torque, the phase estimation value does not need to be adjusted, and the fluctuation frequency of the electromagnetic torque does not need to be changed. Therefore, the electric energy resource loss is ensured to be minimum while the beat vibration phenomenon does not need to be avoided.
It should be noted that, for the descriptions of the same steps and the same contents in this embodiment as those in other embodiments, reference may be made to the descriptions in other embodiments, which are not described herein again.
Based on the foregoing embodiments, embodiments of the present application provide a variable frequency driving apparatus, and as shown in fig. 2, 13 and 14, compared with the variablefrequency driving system 1 in the related art, the variablefrequency driving apparatus 2 at least omits a PFC module portion, and replaces an electrolytic capacitor with a large capacitance value with a thin film capacitor or a ceramic capacitor with a small capacitance value. Therefore, the cost can be reduced and the cost can be eliminatedService life bottlenecks caused by electrolytic capacitors. The application provides a variablefrequency drive device 2 includes: the system comprises apower module 21, arectification module 22, a direct current busenergy storage module 23, aninversion module 24, aprocessing module 25 and amotor 26. Here, as shown in fig. 13 and 14, thepower module 21 includes an AC power source AC and an input inductor L thereing. Therectification module 22 performs full-wave rectification on the alternating current power supply AC in thepower supply module 21; here, therectifier module 22 is a single-phase full-bridge rectifier module. The DC busenergy storage module 23 comprises a thin film capacitor C connected in parallel with the output side of therectifier module 221Capacitor C via thin film1Then, a pulsating DC voltage V is outputdc(i.e., the dc bus voltage). Theinverter module 24 utilizes the switching tubes S1-S6 to output the pulsating direct-current voltage V output by the direct-current bus energy storage module 23dcA motor 26 for supplying the AC power to the compressor; here, theinverter module 24 is a three-phase inverter power module, the compressor may be a single-rotor compressor or a dual-rotor compressor, and themotor 26 of the compressor may be a permanent magnet synchronous motor. Theprocessing module 25 controls the switching tubes S1-S6 in theinverter module 24 to normally operate themotor 26 of the compressor.
Based on the foregoing embodiments, an embodiment of the present application provides a variable frequency driving apparatus, which may be used to implement the control method of the variable frequency driving apparatus provided in the embodiments corresponding to fig. 3 to 12, and as shown in fig. 13, theapparatus 2 includes aprocessing module 25, and theprocessing module 25 includes:
the acquiringmodule 251 is configured to acquire a first phase estimation value of an ac voltage output by a power supply terminal at a first time when the variable frequency driving apparatus is determined to be connected to the power supply terminal;
afirst processing module 252, configured to perform value-added processing on the first phase estimation value when it is determined that a first difference between an operating frequency of a compressor in the variable-frequency drive device and a fluctuation frequency of an electromagnetic torque output by a motor in the compressor belongs to a first difference threshold range, so as to obtain a value-added phase estimation value;
asecond processing module 253, configured to generate a first output waveform function according to the input waveform function of the ac voltage and the value-added phase estimation value;
athird processing module 254, configured to determine a three-phase voltage to be input to the motor according to the given rotation speed of the rotor of the motor, the speed estimation value of the rotor, and the first output waveform function;
and thepower supply module 255 is configured to supply power to the motor according to the three-phase voltage.
In other embodiments of the present application, the obtainingmodule 251 is further configured to obtain a first variable phase when it is determined that the first difference belongs to the first difference threshold range; thefirst processing module 252 is further configured to add the first phase estimation value to the first variable phase to obtain the value-added phase estimation value.
In other embodiments of the present application, the obtainingmodule 251 is further configured to obtain a second phase estimation value of the ac voltage output by the power source end at a second time when it is determined that the first difference belongs to the first difference threshold range; wherein the second time is less than the first time; and acquiring the first variable phase according to the second phase estimation value and the first phase estimation value.
In other embodiments of the present application, thefirst processing module 252 is further configured to determine that a second variable phase corresponding to the second time is the first variable phase when it is determined that a second difference between the second phase estimation value and the first phase estimation value belongs to a second difference threshold range; wherein the second variable phase is a phase of the first waveform generated by a current waveform generator in the variable frequency drive.
In other embodiments of the present application, thefirst processing module 252 is further configured to generate a second waveform through a current waveform generator in the variable frequency driving apparatus when it is determined that a second difference between the second phase estimation value and the first phase estimation value does not belong to a second difference threshold range; the obtainingmodule 251 is further configured to obtain a first variable phase of the second waveform.
In other embodiments of the present application, the first variable phase has a value range of [0, 6 ° ].
In other embodiments of the present application, thethird processing module 254 is further configured to determine a Q-axis given current of the motor according to the given rotation speed of the rotor of the motor, the speed estimation value of the rotor, and the first output waveform function; the obtainingmodule 251 is further configured to obtain a Q-axis actual current, a D-axis given current, and a D-axis actual current of the motor; thethird processing module 254 is further configured to determine the three-phase voltages to be input to the motor according to the Q-axis given current, the Q-axis actual current, the D-axis given current, and the D-axis actual current.
In other embodiments of the present application, thethird processing module 254 is further configured to determine a third difference between the given rotation speed and the estimated speed; the obtainingmodule 251 is further configured to obtain a first proportional control coefficient and a first integral control coefficient corresponding to the third difference; thethird processing module 254 is further configured to determine the Q-axis given current according to the third difference, the first proportional control coefficient, the first integral control coefficient, and the first output wave function.
In other embodiments of the present application, the obtainingmodule 251 is further configured to obtain a first product obtained by multiplying the first proportional control coefficient by the third difference; acquiring a first integration result of the third difference value on the target period; obtaining a second product of the first integration result multiplied by the first integration control coefficient; athird processing module 254 further configured to determine the Q-axis given current according to the first product, the second product, and the first output waveform function.
In other embodiments of the present application, the obtainingmodule 251 is further configured to obtain a motor pole pair number, a motor back electromotive force, a D-axis inductor, a Q-axis inductor, and a D-axis actual current of the motor; thethird processing module 254 is further configured to determine a Q-axis current coefficient according to the motor pole pair number, the motor back electromotive force, the D-axis inductor, the Q-axis inductor, and the D-axis actual current; determining a Q-axis current according to the first product, the second product and the first output wave function; and multiplying the Q-axis current by the Q-axis current coefficient to determine the Q-axis given current.
In other embodiments of the present application, thethird processing module 254 is further configured to determine a fourth difference between the Q-axis given current and the Q-axis actual current; determining a fifth difference between the D-axis given current and the D-axis actual current; the obtainingmodule 251 is further configured to obtain a second proportional control coefficient and a second integral control coefficient corresponding to the fourth difference, and a third proportional control coefficient and a third integral control coefficient corresponding to the fifth difference; thethird processing module 254 is further configured to determine a Q-axis given voltage of the motor according to the fourth difference, the second proportional control coefficient, and the second integral control coefficient; determining a D-axis given voltage of the motor according to the fifth difference value, the third proportional control coefficient and the third integral control coefficient; and determining the three-phase voltage to be input according to the Q-axis given voltage and the D-axis given voltage.
In other embodiments of the present application, the obtainingmodule 251 is further configured to obtain a third product obtained by multiplying the second proportional control coefficient by the fourth difference; acquiring a second integration result of the fourth difference value on the target period; obtaining a fourth product of the second integration result multiplied by the second integration control coefficient; acquiring the electrical angular velocity, the D-axis inductance and the permanent magnet flux linkage of the motor; and thethird processing module 254 is further configured to determine the Q-axis given voltage according to the third product, the fourth product, the electrical angular velocity of the motor, the D-axis inductance, the D-axis actual current, and the permanent magnet flux linkage.
In other embodiments of the present application, the obtainingmodule 251 is further configured to obtain a fifth product obtained by multiplying the third proportional control coefficient by the fifth difference; acquiring a third integration result of the fifth difference value on the target period; obtaining a sixth product of the third integration result multiplied by the third integration control coefficient; acquiring the electrical angular speed and Q-axis inductance of the motor; and thethird processing module 254 is further configured to determine the D-axis given voltage according to the fifth product, the sixth product, the electrical angular velocity of the motor, the Q-axis inductance, and the Q-axis actual current.
In other embodiments of the present application, thefirst processing module 252 is further configured to generate a second output wave function according to the input wave function and the first phase estimation value when it is determined that the first difference does not belong to the first difference threshold range; and determining the three-phase voltage to be input to the motor according to the given rotating speed of the rotor of the motor, the speed estimation value of the rotor and the second output waveform function, and supplying power to the motor according to the three-phase voltage.
Based on the foregoing embodiments, embodiments of the present application provide a computer-readable storage medium storing one or more programs, which can be executed by one or more processors to perform the methods provided by the embodiments of the present application, for example, the methods illustrated with reference to fig. 3 to 12.
According to the storage medium provided by the embodiment of the application, when the variable frequency driving device is determined to be connected to a power supply end, a first phase estimation value of alternating current voltage output by the power supply end at a first moment is acquired; when determining that a first difference value between the operating frequency of a compressor in the variable-frequency driving device and the fluctuation frequency of electromagnetic torque output by a motor in the compressor belongs to a first difference value threshold range, performing value-added processing on a first phase estimation value to obtain a value-added phase estimation value; generating a first output waveform function according to an input waveform function of the alternating voltage and the value-added phase estimation value; determining a three-phase voltage to be input to the motor according to the given rotating speed of the rotor of the motor, the speed estimation value of the rotor and the first output waveform function, and supplying power to the motor according to the three-phase voltage; that is, the beat vibration phenomenon is avoided and beat noise is eliminated by determining the difference relationship between the operating frequency of the compressor in the variable frequency driving device and the fluctuation frequency of the electromagnetic torque output by the motor and further changing the fluctuation frequency of the output electromagnetic torque to realize the change of the beat vibration point. .
As will be appreciated by one skilled in the art, embodiments of the present application may be provided as a method, system, or computer program product. Accordingly, the present application may take the form of a hardware embodiment, a software embodiment, or an embodiment combining software and hardware aspects. Furthermore, the present application may take the form of a computer program product embodied on one or more computer-usable storage media (including, but not limited to, disk storage, optical storage, and the like) having computer-usable program code embodied therein.
The present application is described with reference to flowchart illustrations and/or block diagrams of methods, apparatus (systems), and computer program products according to embodiments of the application. It will be understood that each flow and/or block of the flow diagrams and/or block diagrams, and combinations of flows and/or blocks in the flow diagrams and/or block diagrams, can be implemented by computer program instructions. These computer program instructions may be provided to a processor of a general purpose computer, special purpose computer, embedded processor, or other programmable data processing apparatus to produce a machine, such that the instructions, which execute via the processor of the computer or other programmable data processing apparatus, create means for implementing the functions specified in the flowchart flow or flows and/or block diagram block or blocks.
These computer program instructions may also be stored in a computer-readable memory that can direct a computer or other programmable data processing apparatus to function in a particular manner, such that the instructions stored in the computer-readable memory produce an article of manufacture including instruction means which implement the function specified in the flowchart flow or flows and/or block diagram block or blocks.
These computer program instructions may also be loaded onto a computer or other programmable data processing apparatus to cause a series of operational steps to be performed on the computer or other programmable apparatus to produce a computer implemented process such that the instructions which execute on the computer or other programmable apparatus provide steps for implementing the functions specified in the flowchart flow or flows and/or block diagram block or blocks.
The above description is only a preferred embodiment of the present application, and is not intended to limit the scope of the present application.

Claims (16)

1. A method of controlling a variable frequency drive, the method comprising:
when the variable-frequency driving device is determined to be connected to a power supply end, acquiring a first phase estimation value of alternating-current voltage output by the power supply end at a first moment;
when determining that a first difference value between the operating frequency of a compressor in the variable-frequency driving device and the fluctuation frequency of electromagnetic torque output by a motor in the compressor belongs to a first difference value threshold range, performing value-added processing on the first phase estimation value to obtain a value-added phase estimation value;
generating a first output waveform function according to the input waveform function of the alternating voltage and the value-added phase estimation value;
and determining a three-phase voltage to be input to the motor according to the given rotating speed of the rotor of the motor, the speed estimation value of the rotor and the first output waveform function, and supplying power to the motor according to the three-phase voltage.
2. The method of claim 1, wherein determining that a first difference between an operating frequency of a compressor in the inverter drive and a fluctuation frequency of an electromagnetic torque output by a motor in the compressor falls within a first difference threshold range, performing an incremental value processing on the first phase estimation value to obtain an incremental phase estimation value comprises:
when the first difference value is determined to belong to the first difference value threshold range, acquiring a first variable phase;
and adding the first phase estimation value and the first variable phase to obtain the value-added phase estimation value.
3. The method of claim 2, wherein obtaining a first variable phase upon determining that the first difference falls within the first difference threshold range comprises:
when the first difference is determined to belong to the first difference threshold range, acquiring a second phase estimation value of the alternating current voltage output by the power supply end at a second moment; wherein the second time is less than the first time;
and acquiring the first variable phase according to the second phase estimation value and the first phase estimation value.
4. The method of claim 3, wherein obtaining the first variable phase based on the second phase estimate and the first phase estimate comprises:
when determining that a second difference value between the second phase estimation value and the first phase estimation value belongs to a second difference value threshold range, determining a second variable phase corresponding to the second moment as the first variable phase; wherein the second variable phase is a phase of the first waveform generated by a current waveform generator in the variable frequency drive.
5. The method as claimed in claim 3, wherein said obtaining a second phase estimate of the AC voltage output by the power source terminal at a second time comprises:
when determining that a second difference value between the second phase estimation value and the first phase estimation value does not belong to a second difference value threshold range, generating a second waveform through a current waveform generator in the variable-frequency driving device;
a first variable phase of the second waveform is acquired.
6. The method according to any one of claims 2 to 5, wherein the first variable phase has a value in the range of [0, 6 ° ].
7. The method of claim 1, wherein determining a three-phase voltage to be input to the motor based on the given rotational speed of the rotor of the motor, the speed estimate of the rotor, and the first output wave function comprises:
determining Q-axis given current of the motor according to the given rotating speed of the rotor of the motor, the speed estimation value of the rotor and the first output waveform function;
acquiring Q-axis actual current, D-axis given current and D-axis actual current of the motor;
and determining the three-phase voltage to be input to the motor according to the Q-axis given current, the Q-axis actual current, the D-axis given current and the D-axis actual current.
8. The method of claim 7, wherein determining the Q-axis given current of the motor based on the given rotational speed of the rotor of the motor, the speed estimate of the rotor, and the first output waveform function comprises:
determining a third difference between the given rotational speed and the speed estimate;
acquiring a first proportional control coefficient and a first integral control coefficient corresponding to the third difference;
and determining the Q-axis given current according to the third difference, the first proportional control coefficient, the first integral control coefficient and the first output wave function.
9. The method of claim 8, wherein determining the Q-axis given current from the third difference, the first proportional control coefficient, the first integral control coefficient, and the first output wave function comprises:
obtaining a first product of the first proportional control coefficient multiplied by the third difference;
acquiring a first integration result of the third difference value on the target period;
obtaining a second product of the first integration result multiplied by the first integration control coefficient;
and determining the Q-axis given current according to the first product, the second product and the first output waveform function.
10. The method of claim 9, wherein said determining the Q-axis given current from the first product, the second product, and the first output waveform function comprises:
acquiring the number of pole pairs of a motor, the counter electromotive force of the motor, a D-axis inductor, a Q-axis inductor and the actual current of the D axis of the motor;
determining a Q-axis current coefficient according to the motor pole pair number, the motor counter electromotive force, the D-axis inductor, the Q-axis inductor and the D-axis actual current;
determining a Q-axis current according to the first product, the second product and the first output wave function;
and multiplying the Q-axis current by the Q-axis current coefficient to determine the Q-axis given current.
11. The method of claim 7, wherein determining the three-phase voltages to be input to the motor from the Q-axis given current, the Q-axis actual current, the D-axis given current, and the D-axis actual current comprises:
determining a fourth difference between the Q-axis given current and the Q-axis actual current;
determining a fifth difference between the D-axis given current and the D-axis actual current;
acquiring a second proportional control coefficient and a second integral control coefficient corresponding to the fourth difference value and a third proportional control coefficient and a third integral control coefficient corresponding to the fifth difference value;
determining a given Q-axis voltage of the motor according to the fourth difference, the second proportional control coefficient and the second integral control coefficient;
determining a D-axis given voltage of the motor according to the fifth difference value, the third proportional control coefficient and the third integral control coefficient;
and determining the three-phase voltage to be input according to the Q-axis given voltage and the D-axis given voltage.
12. The method of claim 11, wherein determining the Q-axis given voltage of the motor based on the fourth difference, the second proportional control coefficient, and the second integral control coefficient comprises:
obtaining a third product of the second proportional control coefficient multiplied by the fourth difference;
acquiring a second integration result of the fourth difference value on the target period;
obtaining a fourth product of the second integration result multiplied by the second integration control coefficient;
acquiring the electrical angular velocity, the D-axis inductance and the permanent magnet flux linkage of the motor;
and determining the Q-axis given voltage according to the third product, the fourth product, the electrical angular speed of the motor, the D-axis inductance, the D-axis actual current and the permanent magnet flux linkage.
13. The method of claim 11, wherein determining the D-axis given voltage of the motor based on the fifth difference, the third proportional control coefficient, and the third integral control coefficient comprises:
obtaining a fifth product of the third proportional control coefficient multiplied by the fifth difference;
acquiring a third integration result of the fifth difference value on the target period;
obtaining a sixth product of the third integration result multiplied by the third integration control coefficient;
acquiring the electrical angular speed and Q-axis inductance of the motor;
and determining the D-axis given voltage according to the fifth product, the sixth product, the electrical angular speed of the motor, the Q-axis inductor and the Q-axis actual current.
14. The method as claimed in claim 1, wherein said obtaining a first phase estimate of the ac voltage output by said power supply terminal at a first time further comprises:
when the first difference value is determined not to belong to the first difference value threshold range, generating a second output waveform function according to the input waveform function and the first phase estimation value;
and determining the three-phase voltage to be input to the motor according to the given rotating speed of the rotor of the motor, the speed estimation value of the rotor and the second output waveform function, and supplying power to the motor according to the three-phase voltage.
15. A variable frequency drive apparatus, the apparatus comprising:
the acquisition module is used for acquiring a first phase estimation value of alternating voltage output by a power supply end at a first moment when the variable frequency driving device is determined to be connected to the power supply end;
the first processing module is used for performing value-added processing on the first phase estimation value to obtain a value-added phase estimation value when determining that a first difference value between the operating frequency of a compressor in the variable-frequency driving device and the fluctuation frequency of the electromagnetic torque output by a motor in the compressor belongs to a first difference value threshold range;
the second processing module is used for generating a first output waveform function according to the input waveform function of the alternating voltage and the value-added phase estimation value;
the third processing module is used for determining the three-phase voltage to be input to the motor according to the given rotating speed of the rotor of the motor, the speed estimation value of the rotor and the first output waveform function;
and the power supply module is used for supplying power to the motor according to the three-phase voltage.
16. A storage medium storing one or more programs executable by one or more processors to implement a method of controlling a variable frequency drive apparatus according to any one of claims 1 to 14.
CN202011593337.XA2020-12-292020-12-29Control method and device of variable frequency driving device and storage mediumActiveCN112713832B (en)

Priority Applications (1)

Application NumberPriority DateFiling DateTitle
CN202011593337.XACN112713832B (en)2020-12-292020-12-29Control method and device of variable frequency driving device and storage medium

Applications Claiming Priority (1)

Application NumberPriority DateFiling DateTitle
CN202011593337.XACN112713832B (en)2020-12-292020-12-29Control method and device of variable frequency driving device and storage medium

Publications (2)

Publication NumberPublication Date
CN112713832Atrue CN112713832A (en)2021-04-27
CN112713832B CN112713832B (en)2023-03-17

Family

ID=75546283

Family Applications (1)

Application NumberTitlePriority DateFiling Date
CN202011593337.XAActiveCN112713832B (en)2020-12-292020-12-29Control method and device of variable frequency driving device and storage medium

Country Status (1)

CountryLink
CN (1)CN112713832B (en)

Cited By (1)

* Cited by examiner, † Cited by third party
Publication numberPriority datePublication dateAssigneeTitle
CN115127270A (en)*2022-06-242022-09-30北京小米移动软件有限公司 A method, device and electronic device for determining the current loop bandwidth of a compressor

Citations (6)

* Cited by examiner, † Cited by third party
Publication numberPriority datePublication dateAssigneeTitle
US20100109584A1 (en)*2008-10-312010-05-06Jeong Hyeck KwonPosition-sensorless control system and method of operation for a synchronous motor
CN106208868A (en)*2016-07-132016-12-07广东美的制冷设备有限公司No electrolytic capacitor motor driven systems and control method, device
CN106968931A (en)*2017-05-182017-07-21广东美的制冷设备有限公司Driven compressor system and its control method, device
CN107013447A (en)*2017-05-182017-08-04广东美的制冷设备有限公司Driven compressor system and its control method, device
JP2018182975A (en)*2017-04-192018-11-15パナソニックIpマネジメント株式会社 Compressor motor drive
CN110518850A (en)*2019-09-122019-11-29桂林电子科技大学Internal permanent magnet synchronous motor single neuron self-adaptive PID controller field weakening control method

Patent Citations (6)

* Cited by examiner, † Cited by third party
Publication numberPriority datePublication dateAssigneeTitle
US20100109584A1 (en)*2008-10-312010-05-06Jeong Hyeck KwonPosition-sensorless control system and method of operation for a synchronous motor
CN106208868A (en)*2016-07-132016-12-07广东美的制冷设备有限公司No electrolytic capacitor motor driven systems and control method, device
JP2018182975A (en)*2017-04-192018-11-15パナソニックIpマネジメント株式会社 Compressor motor drive
CN106968931A (en)*2017-05-182017-07-21广东美的制冷设备有限公司Driven compressor system and its control method, device
CN107013447A (en)*2017-05-182017-08-04广东美的制冷设备有限公司Driven compressor system and its control method, device
CN110518850A (en)*2019-09-122019-11-29桂林电子科技大学Internal permanent magnet synchronous motor single neuron self-adaptive PID controller field weakening control method

Cited By (1)

* Cited by examiner, † Cited by third party
Publication numberPriority datePublication dateAssigneeTitle
CN115127270A (en)*2022-06-242022-09-30北京小米移动软件有限公司 A method, device and electronic device for determining the current loop bandwidth of a compressor

Also Published As

Publication numberPublication date
CN112713832B (en)2023-03-17

Similar Documents

PublicationPublication DateTitle
CN105162381B (en)No electrolytic capacitor variable frequency drive control system and control method based on PR regulations
US9819294B2 (en)Inverter control apparatus and control method thereof
CN105515354B (en)Method, device and system for controlling compressor
CN106208868B (en)No electrolytic capacitor motor driven systems and its control method, device
EP2299586A2 (en)Active rectification for a variable-frequency synchronous generator
CN104359184B (en)Carrier frequency conversion control method and controller
CN109546913B (en)Capacitor miniaturization motor driving device
CN102843090A (en)Open-loop control method and open-loop control system of permanent magnet synchronous motor based on space vector pulse width modulation (SVPWM)
CN106208887B (en)No electrolytic capacitor motor driven systems and its control method, device
CN115395851B (en)Linear modulation region expansion method for electrolytic capacitor-free permanent magnet synchronous motor driving system
CN108880373A (en)The beat frequency suppressing method of no electrolytic capacitor permanent magnet synchronous electric air conditioner drive system
CN106961232A (en)Using the High Power Factor diode rectifier magneto control method of low capacity thin-film capacitor
JP3586078B2 (en) Power converter
CN108809177B (en) Electrolytic capacitor-free motor driving method, device, electronic device and storage medium
CN111669091B (en)Direct torque control method for motor
CN109039191B (en) A Motor Control Method for Optimal Operation of Quasi-Z Source Indirect Matrix Converter
Huo et al.Torque ripple compensation with anti-overvoltage for electrolytic capacitorless PMSM compressor drives
CN114928076B (en) Dual closed-loop control method of virtual synchronous machine without AC voltage sensor
CN112713832B (en)Control method and device of variable frequency driving device and storage medium
CN119135003B (en)Control method, control device, system and medium of three-phase alternating current transmission system
CN109600088B (en) A harmonic current injection device and method for a three-phase inverter
CN110707975A (en)Control method of multiphase belt suspension capacitor motor drive topology
CN112600485B (en)Control method and device of variable frequency drive device and storage medium
CN205622493U (en)A system and compressor for controlling compressor
CN102386839B (en)Synchronous motor vector controller based on reactive power observer and control method

Legal Events

DateCodeTitleDescription
PB01Publication
PB01Publication
SE01Entry into force of request for substantive examination
SE01Entry into force of request for substantive examination
GR01Patent grant
GR01Patent grant

[8]ページ先頭

©2009-2025 Movatter.jp