Movatterモバイル変換


[0]ホーム

URL:


CN112710248A - Reflective birefringence interference strain sensor based on fully polarization-maintaining optical fiber - Google Patents

Reflective birefringence interference strain sensor based on fully polarization-maintaining optical fiber
Download PDF

Info

Publication number
CN112710248A
CN112710248ACN202011442908.XACN202011442908ACN112710248ACN 112710248 ACN112710248 ACN 112710248ACN 202011442908 ACN202011442908 ACN 202011442908ACN 112710248 ACN112710248 ACN 112710248A
Authority
CN
China
Prior art keywords
polarization
optical fiber
polarization maintaining
fiber
maintaining optical
Prior art date
Legal status (The legal status is an assumption and is not a legal conclusion. Google has not performed a legal analysis and makes no representation as to the accuracy of the status listed.)
Pending
Application number
CN202011442908.XA
Other languages
Chinese (zh)
Inventor
祝连庆
毕付
牛海莎
张东亮
鹿利单
袁配
何巍
Current Assignee (The listed assignees may be inaccurate. Google has not performed a legal analysis and makes no representation or warranty as to the accuracy of the list.)
Beijing Information Science and Technology University
Original Assignee
Beijing Information Science and Technology University
Priority date (The priority date is an assumption and is not a legal conclusion. Google has not performed a legal analysis and makes no representation as to the accuracy of the date listed.)
Filing date
Publication date
Application filed by Beijing Information Science and Technology UniversityfiledCriticalBeijing Information Science and Technology University
Priority to CN202011442908.XApriorityCriticalpatent/CN112710248A/en
Publication of CN112710248ApublicationCriticalpatent/CN112710248A/en
Pendinglegal-statusCriticalCurrent

Links

Images

Classifications

Landscapes

Abstract

The invention provides a full polarization-maintaining optical fiber-based reflective birefringence interference strain sensor, which comprises a first polarization-maintaining optical fiber, a second polarization-maintaining optical fiber and a coupler, wherein the first polarization-maintaining optical fiber rotates by 45 degrees and is welded with the second polarization-maintaining optical fiber, and the end part of the second polarization-maintaining optical fiber is coated with a gold-plated layer; the three ends of the coupler are respectively connected with the polarizer, the manual polarization analyzer and the end part of the first polarization maintaining fiber. According to the invention, the mismelting polarization-maintaining optical fiber is used as the sensing head to carry out strain experiment, and the device is simple and easy to manufacture; the device has simple structure, reliable stability and high sensitivity; the cost is low, the repeatability is high, and the batch processing of the devices is easy to realize.

Description

Reflective birefringence interference strain sensor based on fully polarization-maintaining optical fiber
Technical Field
The invention belongs to the field of optical fiber sensing, and particularly relates to a reflective birefringence interference strain sensor based on a fully polarization maintaining optical fiber.
Background
Fiber optic sensing was a research direction in the 70's of the 20 th century with the development of fiber optic communication technology. Compared with the traditional sensing technology, the optical fiber sensing has the advantages of being passive, anti-electromagnetic interference, long in service life and the like. The dependent variable is a main physical index for representing the health conditions of various structures, and a sensor capable of conveniently and accurately measuring stress is needed. An important component in the optical fiber sensing technology is an optical fiber strain sensor, which can be classified into an intensity modulation type, a polarization modulation type, a wavelength modulation type, and a phase modulation type according to a non-accessible information modulation manner.
Among a plurality of strain optical fiber sensors, the strain sensor based on the polarization maintaining optical fiber is at the front end of the science and technology along with the deep research, and is a novel optical fiber strain sensor based on the principle of intermode interference. The method has the excellent characteristics of large dynamic range, high spatial resolution, capability of realizing distributed measurement and the like, thereby attracting the research of a plurality of scientific researchers. H.Y.Hu et al proposed a polarization-maintaining photonic crystal fiber pressure sensor based on a Sagnac interference structure in 2008, and C.Shen et al reported a polarization-maintaining fiber sensor based on Mach-Zehnder interferometry bending in 2012.
The invention relates to a polarization-maintaining optical fiber strain sensor, which belongs to a polarization modulation type strain sensor and correspondingly demodulates external strain parameters by modulating the polarization state of optical information. At present, the production and manufacturing technology of optical fibers is diversified and innovated, and a novel optical fiber with a special structure is also generated in the process. One such type is Polarization Maintaining Fiber (PMF), which is also called a Polarization Maintaining Fiber because of its special Polarization Maintaining capability.
Disclosure of Invention
The invention aims to overcome the defects of the prior art and provide a full polarization maintaining optical fiber based reflective birefringence interference strain sensor, so that the applicability of the device is improved.
In order to solve the technical problems, the invention adopts the technical scheme that: a full polarization-maintaining optical fiber based reflective birefringence interference strain sensor comprises a first polarization-maintaining optical fiber, a second polarization-maintaining optical fiber and a coupler, wherein the first polarization-maintaining optical fiber rotates 45 degrees and is welded with the second polarization-maintaining optical fiber, and the end part of the second polarization-maintaining optical fiber is coated with a gold-plated layer; the three ends of the coupler are respectively connected with a polarizer, a manual polarization analyzer and the end part of the first polarization maintaining fiber;
wherein, the light intensity after the second polarization maintaining optical fiber and the first polarization maintaining optical fiber emergent light are superposed is:
Figure BDA0002823025340000021
e is the amplitude of the polarized light after reflection by the gold-plated layer; i is0=|E0|2,E0Expressed as the complex amplitude of the incident light output through said polarizer;
Figure BDA0002823025340000022
expressed as the angle between the analyzer and the first polarization maintaining fiber; l is the length of the first polarization maintaining fiber and the second polarization maintaining fiber; b is expressed as the difference between the effective refractive indices of the two orthogonal polarization modes; λ is expressed as the wavelength of the incident light.
Preferably, the incident light is changed into linearly polarized light through the polarizer, and the polarization direction of the polarizer outgoing fiber is interfered with the two orthogonal polarization modes through the manual analyzer.
Preferably, the difference between the effective refractive indices of the two orthogonal polarization modes is changed by a pressure change.
A method for testing a reflective birefringence interference strain sensor based on a fully polarization-maintaining optical fiber comprises the following steps: step a, coating a gold plating layer on the end part of a second polarization maintaining optical fiber, adhering the second polarization maintaining optical fiber coated with the gold plating layer on an equal-strength beam, and welding a first polarization maintaining optical fiber and the other end of the second polarization maintaining optical fiber by rotating 45 degrees; step b, couplerThe three ends of the polarization maintaining fiber are respectively connected with the other end of the first polarization maintaining fiber, a polarizer and a manual polarization analyzer, the polarizer is connected with a wide spectrum light source, and the manual polarization analyzer is connected with a spectrometer; c, forming polarized light by the common light source output by the wide-spectrum light source after passing through the polarizer, and exciting an orthogonal mode E in the first polarization-maintaining fiber and the second polarization-maintaining fiberxAnd EyPropagation constant of beta for both axesxAnd betay(ii) a D, when the environment temperature changes, the temperature birefringence effect of the first polarization maintaining optical fiber and the second polarization maintaining optical fiber enables the propagation constant difference of two eigenmodes in the sensing optical fiber to change, and further enables the phase difference between the eigenmodes to change accordingly; and e, generating interference by the two orthogonal polarization modes through the analyzer, and observing an interference spectrum on the spectrometer.
Preferably, the second polarization maintaining optical fiber sensing head is adhered to the constant-strength beam, and the strain magnitude is changed by adjusting the differential head.
Preferably, the wavelength drift trend of each interference wave trough is linear to the strain change, and the wavelength of the wave trough is red-shifted along with the increase of the strain.
Compared with the prior art, the invention has the beneficial effects that:
1. according to the invention, the mismelting polarization-maintaining optical fiber is used as the sensing head to carry out strain experiment, and the device is simple and easy to manufacture;
2. the device has simple structure, reliable stability and high sensitivity;
3. the device has the advantages of low cost and high repeatability, and is easy to realize batch processing of the device.
It is to be understood that both the foregoing general description and the following detailed description are exemplary and explanatory only and are not restrictive of the invention, as claimed.
Drawings
Further objects, features and advantages of the present invention will become apparent from the following description of embodiments of the invention, with reference to the accompanying drawings, in which:
FIG. 1 schematically illustrates a schematic representation of the interferometric measurement principle of the present invention;
FIG. 2 schematically illustrates a sensing system of the present invention;
FIG. 3 is a schematic view of an optical fiber sensor head attachment of the present invention;
FIG. 4 schematically illustrates an interference spectrum of a sensor under different unload strains according to the present invention;
fig. 5 schematically shows a linear and plot of the trough strain as the strain of the present invention is unloaded.
In the figure:
1.polarizer 2, gold-plated layer
3. Firstpolarization maintaining fiber 4 and second polarization maintaining fiber
5.Equal strength beam 6, welding point
7.Polarization maintaining coupler 8 and manual polarization analyzer
9. Spectrometer 10, broad spectrum light source
Detailed Description
The objects and functions of the present invention and methods for accomplishing the same will be apparent by reference to the exemplary embodiments. However, the present invention is not limited to the exemplary embodiments disclosed below; it can be implemented in different forms. The nature of the description is merely to assist those skilled in the relevant art in a comprehensive understanding of the specific details of the invention.
Hereinafter, embodiments of the present invention will be described with reference to the accompanying drawings. In the drawings, the same reference numerals denote the same or similar parts, or the same or similar steps.
Based on a full polarization maintaining optical fiber reflection type birefringence interference strain sensor, the characteristic that interference between two polarization states transmitted in a polarization maintaining optical fiber is easily influenced by environmental parameters is utilized, and high-sensitivity strain measurement is realized. Has the advantages of convenient processing, long service life and high sensitivity.
Since the PMF has high birefringence, allowing the light wave to transmit and couple with each other in one or two orthogonal polarization states with different propagation constants, the electric vector distribution of the orthogonal polarization state will be changed correspondingly due to external disturbance. According to the theory, external disturbance will cause PMF birefringence to change, causing coupling effect between polarization modes and phase difference to change, resulting in output spectrum change.
As light propagates through an optical fiber, there are a number of different modes of light. Because the light of different modes has a blind propagation constant, the phase difference can be generated when the light propagates in the optical fiber for the same distance, and the light fields are superposed at the meeting point (meeting the condition of generating interference) to form interference. It is known from the optical interference theory that the polarization maintaining fiber must make the optical field vibration direction uniform to generate optical interference, and in order to realize the inter-mode interference, the mode of two orthogonal polarization modes in the polarization maintaining fiber must be excited. Generally, light emitted by a light source is converted into linearly polarized light through thepolarizer 1, and the polarization direction of the optical fiber from thepolarizer 1 is interfered with two orthogonal polarization modes through theanalyzer 8.
As shown in fig. 1, after the incident light passes through thepolarizer 1 and the polarization maintaining fiber rotated by a certain angle, the complex amplitude of the two orthogonal modes excited can be expressed as:
Figure BDA0002823025340000051
where θ is the angle between the firstpolarization maintaining fiber 3 and the secondpolarization maintaining fiber 4, E0Is the complex amplitude of the light output by the incident light passing through thepolarizer 1. Beta is ax、βyL is a propagation constant of the coordinate axes corresponding to the two orthogonal modes in the firstpolarization maintaining fiber 3 and the secondpolarization maintaining fiber 4, and is a length of the firstpolarization maintaining fiber 3 and the secondpolarization maintaining fiber 4.
When the light beam reaches the right gold-platedlayer 2 and is reflected back, the light beam passes through two sections of optical fibers with a wrong melting angle theta again. The coherent output amplitude of the system at this time is:
Figure BDA0002823025340000052
the included angle between themanual analyzer 8 and the firstpolarization maintaining fiber 3 and the second polarization maintaining fiber 4Is composed of
Figure BDA0002823025340000053
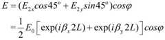
The amplitude of the polarized light at this time can be expressed as:
Figure BDA0002823025340000054
let I0=|E0|2Then, the light intensity after the emergent light is superimposed is:
Figure BDA0002823025340000055
wherein psi is the phase difference when polarized light is emergent, and the expression is:
Figure BDA0002823025340000056
where B is the birefringence of the firstpolarization maintaining fiber 3 and the secondpolarization maintaining fiber 4, the relationship between the light intensity and the wavelength:
Figure BDA0002823025340000061
when the pressure changes, the birefringence B of the firstpolarization maintaining fiber 3 and the secondpolarization maintaining fiber 4 changes, resulting in a shift of the interference peak. And recording data, fitting a relational graph between the interference peak drift amount and the pressure variation amount, and researching the sensitivity characteristic of the reflection-type birefringence pressure sensor.
Fig. 2 is a schematic diagram of a sensing system, which mainly includes the following parts: a wide spectrum light source 10(ASE, 1530-1565nm), a polarizer 1(THORLAB, ILP1550PM-FC), a polarization-maintainingcoupler 7, amanual analyzer 8, an equal-intensity beam 5, and a spectrometer 9(OSA, AQ6370D, YOKOGAWA, 600-1700nm, and 0.02nm of resolution).
The normal light source output by ASE10 passes throughpolarizer 1 to form polarized light, and the orthogonal mode E in the firstpolarization maintaining fiber 3 and the secondpolarization maintaining fiber 4 is excitedxAnd EyPropagation constant of beta for both axesxAnd betay. When the environmental temperature changes, the temperature birefringence effect of the firstpolarization maintaining fiber 3 and the secondpolarization maintaining fiber 4 causes the propagation constant difference of the two eigenmodes in the sensing fiber to change, and further causes the phase difference between the eigenmodes to change accordingly. The two orthogonal polarization modes generate interference through amanual analyzer 8, and an interference spectrum can be observed on aspectrometer 9.
In the experiment, a reflection spectrum was collected using an optical fiber sensor analyzer manufactured by Yokogawa corporation. The polarization maintaining optical fiber sensing head (with the length of 5cm) welded at the rotation angle difference of 45 degrees is adhered to the equal-strength beam 5, and the strain magnitude is changed by adjusting the differential head. After the sensor is installed, the loading and unloading calibration experiment is carried out at a constant temperature (as shown in fig. 3).
The invention adopts a relative strain value, namely, a differential head is rotated, the initial value is recorded when a reflection spectrum observed on a spectrometer starts to move, then the differential head is rotated to carry out a loading experiment, and the stroke range controlled by the differential head is 8-20 mm. In the experiment, the shape of the differential head of themedium strength beam 5 in the horizontal direction becomes 10 μ s for every 1mm rotation. Thevalleys Dip 1,Dip 2 of two bands are selected for testing (as shown in fig. 4, fig. 5).
According to experimental results, the wavelength drift trend of each interference trough is in linear relation with the strain change, the linearity reaches over 90% during unloading, and the linearity of the peak and thetrough 2 reaches 98.6%. The wavelengths of both troughs red-shifted with increasing strain.
The invention has the beneficial effects that: according to the invention, the mismelting polarization-maintaining optical fiber is used as the sensing head to carry out strain experiment, and the device is simple and easy to manufacture; the device has simple structure, reliable stability and high sensitivity; the cost is low, the repeatability is high, and the batch processing of the devices is easy to realize.
Other embodiments of the invention will be apparent to those skilled in the art from consideration of the specification and practice of the invention disclosed herein. It is intended that the specification and examples be considered as exemplary only, with a true scope and spirit of the invention being indicated by the following claims.

Claims (6)

1. The sensor is characterized by comprising a first polarization maintaining fiber, a second polarization maintaining fiber and a coupler, wherein the first polarization maintaining fiber rotates by 45 degrees and is welded with the second polarization maintaining fiber, and the end part of the second polarization maintaining fiber is coated with a gold-plated layer; the three ends of the coupler are respectively connected with a polarizer, a manual polarization analyzer and the end part of the first polarization maintaining fiber;
wherein, the light intensity after the second polarization maintaining optical fiber and the first polarization maintaining optical fiber emergent light are superposed is:
Figure FDA0002823025330000011
e is the amplitude of the polarized light after reflection by the gold-plated layer; i is0=|E0|2,E0Expressed as the complex amplitude of the incident light output through said polarizer;
Figure FDA0002823025330000012
expressed as the angle between the analyzer and the first polarization maintaining fiber; l is the length of the first polarization maintaining fiber and the second polarization maintaining fiber; b is expressed as the difference between the effective refractive indices of the two orthogonal polarization modes; λ is expressed as the wavelength of the incident light.
2. The sensor of claim 1, wherein the incident light is linearly polarized by the polarizer, and the polarization direction of the polarizer out of the optical fiber is interfered by two orthogonal polarization modes passing through the manual analyzer.
3. The sensor of claim 1, wherein the difference between the effective indices of refraction of the two orthogonal polarization modes is changed by a pressure change.
4. A method for testing a full polarization maintaining optical fiber based reflective birefringence interference strain sensor is characterized by comprising the following steps:
step a, coating a gold plating layer on the end part of a second polarization maintaining optical fiber, adhering the second polarization maintaining optical fiber coated with the gold plating layer on an equal-strength beam, and welding a first polarization maintaining optical fiber and the other end of the second polarization maintaining optical fiber by rotating 45 degrees;
b, three ends of the coupler are respectively connected with the other end of the first polarization maintaining fiber, a polarizer and a manual polarization analyzer, the polarizer is connected with a wide spectrum light source, and the manual polarization analyzer is connected with a spectrometer;
c, forming polarized light by the common light source output by the wide-spectrum light source after passing through the polarizer, and exciting an orthogonal mode E in the first polarization-maintaining fiber and the second polarization-maintaining fiberxAnd EyPropagation constant of beta for both axesxAnd betay
D, when the environment temperature changes, the temperature birefringence effect of the first polarization maintaining optical fiber and the second polarization maintaining optical fiber enables the propagation constant difference of two eigenmodes in the sensing optical fiber to change, and further enables the phase difference between the eigenmodes to change accordingly;
and e, generating interference by the two orthogonal polarization modes through the analyzer, and observing an interference spectrum on the spectrometer.
5. The test method of claim 4, wherein the second polarization maintaining fiber sensor head is attached to the constant strength beam and the strain is varied by adjusting the differential head.
6. The test method according to claim 4, wherein the wavelength shift trend of each interference wave trough is linear to the strain change, and the wavelength of the wave trough is red-shifted with the increase of the strain.
CN202011442908.XA2020-12-082020-12-08Reflective birefringence interference strain sensor based on fully polarization-maintaining optical fiberPendingCN112710248A (en)

Priority Applications (1)

Application NumberPriority DateFiling DateTitle
CN202011442908.XACN112710248A (en)2020-12-082020-12-08Reflective birefringence interference strain sensor based on fully polarization-maintaining optical fiber

Applications Claiming Priority (1)

Application NumberPriority DateFiling DateTitle
CN202011442908.XACN112710248A (en)2020-12-082020-12-08Reflective birefringence interference strain sensor based on fully polarization-maintaining optical fiber

Publications (1)

Publication NumberPublication Date
CN112710248Atrue CN112710248A (en)2021-04-27

Family

ID=75543040

Family Applications (1)

Application NumberTitlePriority DateFiling Date
CN202011442908.XAPendingCN112710248A (en)2020-12-082020-12-08Reflective birefringence interference strain sensor based on fully polarization-maintaining optical fiber

Country Status (1)

CountryLink
CN (1)CN112710248A (en)

Cited By (4)

* Cited by examiner, † Cited by third party
Publication numberPriority datePublication dateAssigneeTitle
CN115980386A (en)*2023-02-072023-04-18中国海洋大学Seawater flow velocity measuring method based on panda optical fiber
CN116007804A (en)*2023-01-022023-04-25水利部交通运输部国家能源局南京水利科学研究院Water engineering concealed limited area polarization maintaining fiber multi-purpose intelligent sensing system and method
CN116242278A (en)*2023-05-112023-06-09山东高速工程检测有限公司Orthogonal optical fiber interference fringe projector for three-dimensional measurement of asphalt pavement texture
CN119085621A (en)*2024-08-302024-12-06中国船舶集团有限公司第七〇七研究所 A hollow core microstructure optical fiber ring polarization-maintaining enhanced winding system and method

Citations (4)

* Cited by examiner, † Cited by third party
Publication numberPriority datePublication dateAssigneeTitle
CN101526376A (en)*2008-03-042009-09-09电子科技大学Polarization fiber sensor
CN102288325A (en)*2009-12-012011-12-21北京齐瑞得电力技术有限公司Optical fiber temperature sensor
CN108195300A (en)*2017-12-262018-06-22北京信息科技大学A kind of method of fibre-optical F-P sensor measuring strain
CN110632028A (en)*2019-09-292019-12-31安徽大学 Zero-background laser absorption spectroscopy detection system based on optical fiber polarization inter-mode interference

Patent Citations (4)

* Cited by examiner, † Cited by third party
Publication numberPriority datePublication dateAssigneeTitle
CN101526376A (en)*2008-03-042009-09-09电子科技大学Polarization fiber sensor
CN102288325A (en)*2009-12-012011-12-21北京齐瑞得电力技术有限公司Optical fiber temperature sensor
CN108195300A (en)*2017-12-262018-06-22北京信息科技大学A kind of method of fibre-optical F-P sensor measuring strain
CN110632028A (en)*2019-09-292019-12-31安徽大学 Zero-background laser absorption spectroscopy detection system based on optical fiber polarization inter-mode interference

Non-Patent Citations (1)

* Cited by examiner, † Cited by third party
Title
毕付 等: "基于全保偏光纤的反射式双折射干涉温度传感器", 《仪器仪表学报》*

Cited By (6)

* Cited by examiner, † Cited by third party
Publication numberPriority datePublication dateAssigneeTitle
CN116007804A (en)*2023-01-022023-04-25水利部交通运输部国家能源局南京水利科学研究院Water engineering concealed limited area polarization maintaining fiber multi-purpose intelligent sensing system and method
CN116007804B (en)*2023-01-022023-12-15水利部交通运输部国家能源局南京水利科学研究院Water engineering concealed limited area polarization maintaining fiber multi-purpose intelligent sensing system and method
CN115980386A (en)*2023-02-072023-04-18中国海洋大学Seawater flow velocity measuring method based on panda optical fiber
CN116242278A (en)*2023-05-112023-06-09山东高速工程检测有限公司Orthogonal optical fiber interference fringe projector for three-dimensional measurement of asphalt pavement texture
CN116242278B (en)*2023-05-112023-07-11山东高速工程检测有限公司Orthogonal optical fiber interference fringe projector for three-dimensional measurement of asphalt pavement texture
CN119085621A (en)*2024-08-302024-12-06中国船舶集团有限公司第七〇七研究所 A hollow core microstructure optical fiber ring polarization-maintaining enhanced winding system and method

Similar Documents

PublicationPublication DateTitle
CN112710248A (en)Reflective birefringence interference strain sensor based on fully polarization-maintaining optical fiber
Wang et al.Hollow core Bragg fiber integrated with regenerate fiber Bragg grating for simultaneous high temperature and gas pressure sensing
Niu et al.Optical fiber sensors based on core-offset structure: A review
CN110987230B (en) A dual-parameter optical fiber sensing module and system
Zhu et al.A dual-parameter internally calibrated Fabry-Perot microcavity sensor
CN106802190B (en) A highly sensitive optical fiber torsion sensor without temperature cross-interference
US5093569A (en)Tapered optical fiber sensor
CN112414581B (en)Temperature sensor based on multicore optic fibre
GB2147412A (en)Temperature compensated optical pressure sensor
Liu et al.Dual-parameter fiber sensors for salinity and temperature measurement based on a tapered PMF incorporated with an FBG in Sagnac loop
CN112525372B (en)Strain temperature simultaneous measurement device and method based on polarization maintaining optical fiber double-arm different-axis interferometer
Wang et al.Ultrasensitive strain sensor based on Mach-Zehnder interferometer with bent structures
CN109632133A (en)A kind of temperature measuring device and method based on optical fiber
Jin et al.A strain sensor with low temperature crosstalk based on re-modulation of D-shaped LPFG
Wang et al.Compact fiber optic sensor for temperature and transverse load measurement based on the parallel vernier effect
Zhao et al.Simultaneous measurement of temperature and pressure based on ring-shaped sensing structure with polymer coated no-core fiber
Ma et al.Polymer-coated polishing seven-core Mach-Zehnder interferometer for temperature sensitivity enhancement
Zhao et al.Machine learning assisted fast demodulation of large dynamic range dual-parameter optical fiber sensors
Wang et al.Quantum-enhanced strain and curvature sensing based on a birefringent fiber Sagnac interferometer
Fan et al.Sagnac interferometer embedded with fiber Bragg grating for relative humidity and temperature sensing
Ma et al.Fiber strain sensor based on incline plane-shaped long period fiber grating induced by CO2 laser polishing
Yang et al.Optical fiber current sensing based on a macro-bending no-core fiber structure and magnetic fluid
Zhang et al.Low-temperature crosstalk bending sensor with high sensitivity based on a super-structure long-period fiber grating
Yang et al.High-sensitivity strain sensor with antiresonance suppression based on the Vernier effect
Kang et al.High-sensitivity LPFG torsion sensor based on indirect torsion slot

Legal Events

DateCodeTitleDescription
PB01Publication
PB01Publication
SE01Entry into force of request for substantive examination
SE01Entry into force of request for substantive examination
RJ01Rejection of invention patent application after publication
RJ01Rejection of invention patent application after publication

Application publication date:20210427


[8]ページ先頭

©2009-2025 Movatter.jp