


技术领域technical field
本发明属于无线通信技术领域,更具体地,涉及一种多背向散射标签同时通信并定位的方法、装置和系统。The present invention belongs to the technical field of wireless communication, and more particularly, relates to a method, device and system for simultaneous communication and positioning of multiple backscatter tags.
背景技术Background technique
近年来,背向散射通信技术蓬勃发展,被认为是实现万物互联的关键技术之一。背向散射标签通过反射环境中的无线信号实现通信,如LTE信号、TV信号、Wi-Fi信号和BLE信号等。相比传统主动通信设备,背向散射标签不需要昂贵、耗电的射频模拟器件,包括晶振、射频振荡器、去耦电容等,具有不需要电池、体积小、造价低廉等优势,很适合嵌入在钥匙、钱包、药瓶等物体中实现万物互联。实现对背向散射的高精度定位有许多应用场景,比如将背向散射嵌入在药瓶中,当病人需要吃药时提醒他药瓶在哪;在钥匙上嵌入背向散射标签,当出门忘带钥匙时提醒钥匙在哪。然而,现有的技术将定位和通信作为两个独立问题研究,无法同时实现定位与通信,并且现有的背向散射通信与定位技术也存在各自的问题。In recent years, backscatter communication technology has developed vigorously and is considered to be one of the key technologies to realize the Internet of Everything. Backscatter tags communicate by reflecting wireless signals in the environment, such as LTE signals, TV signals, Wi-Fi signals, and BLE signals. Compared with traditional active communication equipment, backscatter tags do not require expensive and power-consuming RF analog devices, including crystal oscillators, RF oscillators, decoupling capacitors, etc. Realize the Internet of Everything in objects such as keys, wallets, medicine bottles, etc. There are many application scenarios to achieve high-precision positioning of backscattering, such as embedding backscattering in medicine bottles, reminding the patient where the medicine bottle is when he needs to take medicine; embedding backscattering labels on keys, when going out and forgetting Reminds where the key is when you bring it with you. However, the existing technology studies positioning and communication as two independent problems, and cannot realize positioning and communication at the same time, and the existing backscatter communication and positioning technologies also have their own problems.
首先,现有的背向散射通信技术支持并行解码存在最大数量有限、需要特制设备的支持、需要多次重传、需要高信噪比等单个或多个限制。其次,现有的背向散射定位技术存在需要多个无线接入点,并且需要事先收集每个无线接入点准确的位置、朝向等信息;需要支持超宽带的特制设备,并且需要收发端集成在一个设备上,只能定位一个背向散射标签。First of all, the existing backscatter communication technology supports a limited number of parallel decoding, requires the support of special equipment, requires multiple retransmissions, and requires a high signal-to-noise ratio. Single or multiple limitations. Secondly, the existing backscatter positioning technology requires multiple wireless access points, and it is necessary to collect the accurate location, orientation and other information of each wireless access point in advance; special equipment that supports ultra-wideband is required, and the transceiver needs to be integrated. On a device, only one backscatter tag can be located.
由此可见,现有技术存在无法支持大规模并行解码,无法单接入点定位,无法同时定位多个背向散射标签与通信和定位无法共存等技术问题。It can be seen that the existing technology cannot support large-scale parallel decoding, cannot locate a single access point, cannot locate multiple backscatter tags at the same time, and cannot coexist with communication and positioning.
发明内容SUMMARY OF THE INVENTION
针对现有技术的以上缺陷或改进需求,本发明提供了一种多背向散射标签同时通信并定位的方法、装置和系统,其目的在于解决现有技术存在的需要多个已知位置、已知朝向的接入点、通信与定位无法共存的技术问题。Aiming at the above defects or improvement needs of the prior art, the present invention provides a method, device and system for simultaneous communication and positioning of multiple backscattered tags, the purpose of which is to solve the problem of the prior art that requires multiple known positions, has The technical problem that the access point with known orientation, communication and positioning cannot coexist.
为实现上述目的,按照本发明的一个方面,提供了一种多背向散射标签同时通信并定位的方法,包括:In order to achieve the above object, according to one aspect of the present invention, a method for simultaneous communication and positioning of multiple backscatter tags is provided, including:
S1:利用多天线设备1发射无线信号经至少一个背向散射标签反射并传输至多天线设备2;S1: The wireless signal transmitted by the multi-antenna device 1 is reflected by at least one backscattering tag and transmitted to the multi-antenna device 2;
S2:解析所述多天线设备2接收到的所述无线信号从中获取背向散射反射信号与直射路径信号对应的高维特征参数;S2: analyze the wireless signal received by the multi-antenna device 2 to obtain high-dimensional characteristic parameters corresponding to the backscattered reflected signal and the direct path signal;
其中,所述高维特征参数标识所述背向散射反射信号和所述直射路径信号各自对应的传播路径的角度和长度;所述背向散射反射信号表示从多天线设备1出射只经所述背向散射标签反射未经环境反射和/或散射影响的信号,所述直射路径信号表示从多天线设备1出射未经环境影响直接传播到所述多天线设备2的信号;Wherein, the high-dimensional characteristic parameter identifies the angle and length of the propagation paths corresponding to the backscattered reflected signal and the direct path signal; The backscattered tag reflects a signal that is not affected by environmental reflection and/or scattering, and the direct path signal represents a signal that exits the multi-antenna device 1 and propagates directly to the multi-antenna device 2 without being affected by the environment;
S3:根据所述背向散射反射信号对应的高维特征参数同时解码各个所述背向散射标签对应的传输数据;S3: Simultaneously decode the transmission data corresponding to each of the backscattered tags according to the high-dimensional characteristic parameter corresponding to the backscattered reflection signal;
S4:利用各个所述背向散射标签对应的传输数据与所述直射路径信号对应的高维特征参数计算各个所述背向散射标签和所述多天线设备2相对于所述多天线设备1的位置信息。S4: Calculate the difference between each of the backscatter tags and the multi-antenna device 2 relative to the multi-antenna device 1 by using the transmission data corresponding to each of the backscatter tags and the high-dimensional characteristic parameters corresponding to the direct path signal. location information.
在其中一个实施例中,所述步骤S1包括:利用所述多天线设备1发射无线信号至所述背向散射标签,以使所述背向散射标签将标签数据调制至所述无线信号中并反射传输至所述多天线设备2;In one of the embodiments, the step S1 includes: using the multi-antenna device 1 to transmit a wireless signal to the backscattering tag, so that the backscattering tag modulates tag data into the wireless signal and The reflection is transmitted to the multi-antenna device 2;
其中,所述标签数据包括身份编码和待传递数据,所述身份编码用于标识各个所述背向散射标签的身份信息。Wherein, the tag data includes an identity code and data to be transmitted, and the identity code is used to identify the identity information of each of the backscattering tags.
在其中一个实施例中,所述多天线设备2接收到的无线信号,包括:In one embodiment, the wireless signal received by the multi-antenna device 2 includes:
从所述多天线设备1直接传输至所述多天线设备2的无线信号;和,wireless signals transmitted directly from the multi-antenna device 1 to the multi-antenna device 2; and,
从所述多天线设备1发射经过环境反射、散射后传输至所述多天线设备2的无线信号;和,The wireless signal transmitted from the multi-antenna device 1 to the multi-antenna device 2 after being reflected and scattered by the environment; and,
从所述多天线设备1发射经过所述多背向散射标签反射后传输至所述多天线设备2的信号;和,The signal transmitted from the multi-antenna device 1 after being reflected by the multi-backscatter tag to the multi-antenna device 2; and,
从所述多天线设备1发射经过所述多背向散射标签反射、环境反射和散射后,传输至所述多天线设备2的无线信号。The wireless signal transmitted from the multi-antenna device 1 to the multi-antenna device 2 after being reflected by the multi-backscattered tag, reflected by the environment and scattered.
在其中一个实施例中,所述步骤S2包括:In one embodiment, the step S2 includes:
解析所述多天线设备2接收到的所述无线信号从中获取表示无线信道对无线信号幅值、相位的影响的信道状态信息;Analyzing the wireless signal received by the multi-antenna device 2 to obtain channel state information representing the influence of the wireless channel on the amplitude and phase of the wireless signal;
根据所述信道状态信息计算所述背向散射反射信号与所述直射路径信号对应的高维特征参数。High-dimensional characteristic parameters corresponding to the backscattered reflection signal and the direct path signal are calculated according to the channel state information.
在其中一个实施例中,所述步骤S2还包括:In one embodiment, the step S2 further includes:
基于时域上高维特征参数的分布,过滤与环境反射影响和折射影响有关的信号对应的传播路径,分离所述背向散射反射信号与所述直射路径信号各自对应的高维特征参数。Based on the distribution of high-dimensional characteristic parameters in the time domain, the propagation paths corresponding to signals related to environmental reflection and refraction effects are filtered, and the high-dimensional characteristic parameters corresponding to the backscattered reflection signal and the direct path signal are separated.
在其中一个实施例中,所述与环境反射影响和折射影响有关的信号,包括:In one of the embodiments, the signals related to environmental reflection effects and refraction effects include:
从多天线设备1发射经环境反射影响和散射影响由多天线设备2接收的无线信号;和,transmitting from the multi-antenna device 1 a wireless signal received by the multi-antenna device 2 affected by environmental reflections and scattering; and,
从多天线设备1发射,经环境反射、散射等影响和背向散射反射,由多天线设备2接收的无线信号。The wireless signal transmitted from the multi-antenna device 1 is received by the multi-antenna device 2 after being influenced by environmental reflection, scattering, etc. and backscattered reflection.
在其中一个实施例中,所述无线信号包括广播信号和数据信号;In one of the embodiments, the wireless signal includes a broadcast signal and a data signal;
其中,所述广播信号包括所述多天线设备1和所述多天线设备2建立连接之前的历史广播信号,所述数据信号包括所述多天线设备1和所述多天线设备2建立连接以后的传输数据信号。The broadcast signal includes historical broadcast signals before the multi-antenna device 1 and the multi-antenna device 2 establish a connection, and the data signal includes the data after the multi-antenna device 1 and the multi-antenna device 2 establish a connection. transmit data signals.
在其中一个实施例中,所述步骤S4包括:In one embodiment, the step S4 includes:
提取所述背向散射反射信号的高维特征参数的时域变化规律并解码背向散射标签的标签数据,所述标签数据包括身份编码与待传递数据,所述时域变化规律表示连续时间段内的信道状态信息对应的高维特征参数变化规律;Extract the time domain variation law of the high-dimensional characteristic parameters of the backscattered reflection signal and decode the label data of the backscattered label, the label data includes the identity code and the data to be transmitted, and the time domain variation law represents a continuous time period The variation law of high-dimensional feature parameters corresponding to the channel state information in the
根据所述直射路径信号的高维特征参数中的角度信息获取多天线设备1相对于多天线设备2的方向信息;Obtain the direction information of the multi-antenna device 1 relative to the multi-antenna device 2 according to the angle information in the high-dimensional characteristic parameter of the direct path signal;
根据所述多天线设备1相对于多天线设备2的方向信息、所述背向散射反射信号的高维特征参数和直射路径信号的信号传播时间参数估计每个背向散射标签的位置和多天线设备1相对于多天线设备2的位置;Estimate the position and multi-antenna position of each backscattered tag according to the direction information of the multi-antenna device 1 relative to the multi-antenna device 2, the high-dimensional characteristic parameters of the backscattered reflected signal, and the signal propagation time parameter of the direct path signal the position of device 1 relative to multi-antenna device 2;
根据所述背向散射身份信息将所述背向散射标签的位置和相应的背向散射标签对应;Corresponding the position of the backscattering label with the corresponding backscattering label according to the backscattering identity information;
根据所述多天线设备1的身份信息将所述多天线设备1相对于多天线设备2的信息和相应的设备信息对应。The information of the multi-antenna device 1 relative to the multi-antenna device 2 is corresponding to the corresponding device information according to the identity information of the multi-antenna device 1 .
按照本发明的另一方面,提供了一种多背向散射标签同时通信并定位的装置,包括:According to another aspect of the present invention, a device for simultaneous communication and positioning of multiple backscatter tags is provided, comprising:
发射模块,用于利用多天线设备1发射无线信号经至少一个背向散射标签反射并传输至多天线设备2;a transmitter module, used for transmitting wireless signals by using the multi-antenna device 1 to be reflected by at least one backscattering tag and transmitted to the multi-antenna device 2;
解析模块,用于解析所述多天线设备2接收到的所述无线信号从中获取背向散射反射信号与直射路径信号对应的高维特征参数;an analysis module, configured to analyze the wireless signal received by the multi-antenna device 2 to obtain high-dimensional characteristic parameters corresponding to the backscattered reflected signal and the direct path signal;
其中,所述高维特征参数标识所述背向散射反射信号和所述直射路径信号各自对应的传播路径的角度和长度;所述背向散射反射信号表示从多天线设备1出射只经所述背向散射标签反射未经环境反射和/或散射影响的信号,所述直射路径信号表示从多天线设备1出射未经环境影响直接传播到所述多天线设备2的信号;Wherein, the high-dimensional characteristic parameter identifies the angle and length of the propagation paths corresponding to the backscattered reflected signal and the direct path signal; The backscattered tag reflects a signal that is not affected by environmental reflection and/or scattering, and the direct path signal represents a signal that exits the multi-antenna device 1 and propagates directly to the multi-antenna device 2 without being affected by the environment;
解码模块,用于根据所述背向散射反射信号对应的高维特征参数同时解码各个所述背向散射标签对应的传输数据;a decoding module, configured to simultaneously decode the transmission data corresponding to each of the backscattered tags according to the high-dimensional characteristic parameters corresponding to the backscattered reflection signals;
定位模块,用于利用各个所述背向散射标签对应的传输数据与所述直射路径信号对应的高维特征参数计算各个所述背向散射标签和所述多天线设备2相对于所述多天线设备1的位置信息。The positioning module is used to calculate the relative relationship between each of the backscattered tags and the multi-antenna device 2 relative to the multi-antenna by using the transmission data corresponding to each of the backscattered tags and the high-dimensional characteristic parameters corresponding to the direct path signal Location information of device 1.
按照本发明的另一方面,提供了一种多背向散射标签同时通信并定位的系统,包括存储器及处理器,所述存储器中储存有计算机程序,所述计算机程序被所述处理器执行时,使得所述处理器执行所述的多背向散射标签同时通信并定位的方法的步骤。According to another aspect of the present invention, a system for simultaneous communication and positioning of multiple backscatter tags is provided, comprising a memory and a processor, wherein the memory stores a computer program, and when the computer program is executed by the processor , so that the processor executes the steps of the method for simultaneous communication and positioning of multiple backscatter tags.
总体而言,通过本发明所构思的以上技术方案与现有技术相比,具有以下有益效果:In general, compared with the prior art, the above technical solutions conceived by the present invention have the following beneficial effects:
本发明提供了一种多背向散射标签的同时定位与通信方法,在只有一个无线接收端的情况下,可以实现多个背向散射标签的同时定位与通信。同时,本发明所提的方法也可以用于定位无线发射端和无线接收端之间的相对位置,并且本发明所提的方法可以将估计得到的位置信息与相应的设备身份信息关联。The invention provides a method for simultaneous positioning and communication of multiple backscattering tags, which can realize simultaneous positioning and communication of multiple backscattering tags under the condition of only one wireless receiving end. At the same time, the method proposed in the present invention can also be used to locate the relative position between the wireless transmitting end and the wireless receiving end, and the method proposed in the present invention can associate the estimated position information with the corresponding device identity information.
附图说明Description of drawings
图1为本发明一实施例中多背向散射标签的同时定位与通信方法的流程图;1 is a flowchart of a method for simultaneous positioning and communication of multiple backscatter tags in an embodiment of the present invention;
图2为本发明一实施例中无线信号从多天线设备1到多天线设备2的示意图;FIG. 2 is a schematic diagram of a wireless signal from a multi-antenna device 1 to a multi-antenna device 2 in an embodiment of the present invention;
图3为本发明一实施例中同时定位多个背向散射标签的原理图。FIG. 3 is a schematic diagram of simultaneously positioning a plurality of backscattering tags according to an embodiment of the present invention.
具体实施方式Detailed ways
为了使本发明的目的、技术方案及优点更加清楚明白,以下结合附图及实施例,对本发明进行进一步详细说明。应当理解,此处所描述的具体实施例仅仅用以解释本发明,并不用于限定本发明。此外,下面所描述的本发明各个实施方式中所涉及到的技术特征只要彼此之间未构成冲突就可以相互组合。In order to make the objectives, technical solutions and advantages of the present invention clearer, the present invention will be further described in detail below with reference to the accompanying drawings and embodiments. It should be understood that the specific embodiments described herein are only used to explain the present invention, but not to limit the present invention. In addition, the technical features involved in the various embodiments of the present invention described below can be combined with each other as long as they do not conflict with each other.
背向散射标签可以嵌入在钱包、钥匙、药瓶等物品上面实现万物互联。然而在小型室内环境中,比如家中、小型办公室等,一般只有一个无线接入点,所以在此提出多背向散射同时通信与定位方法,只利用一个无线接入点就可以实现多个背向散射标签同时解码和定位,并且本发明可以同时定位出无线发射端的位置。Backscatter tags can be embedded in wallets, keys, medicine bottles and other items to realize the Internet of Everything. However, in small indoor environments, such as homes, small offices, etc., there is generally only one wireless access point, so a multi-backscatter simultaneous communication and positioning method is proposed here, and only one wireless access point can be used to achieve multiple back-to-back The scattering tag is decoded and located at the same time, and the present invention can simultaneously locate the position of the wireless transmitter.
基于此场景,本发明提出了一种多背向散射标签同时通信并定位的方法,如图1所述,所述方法包括:Based on this scenario, the present invention proposes a method for simultaneous communication and positioning of multiple backscatter tags, as shown in FIG. 1 , the method includes:
S1:利用多天线设备1发射无线信号经至少一个背向散射标签反射并传输至多天线设备2;S1: The wireless signal transmitted by the multi-antenna device 1 is reflected by at least one backscattering tag and transmitted to the multi-antenna device 2;
S2:解析多天线设备2接收到的无线信号从中获取背向散射反射信号与直射路径信号对应的高维特征参数;S2: analyze the wireless signal received by the multi-antenna device 2 to obtain high-dimensional characteristic parameters corresponding to the backscattered reflected signal and the direct path signal;
其中,高维特征参数标识背向散射反射信号和直射路径信号各自对应的传播路径的角度和长度;背向散射反射信号表示从多天线设备1出射只经背向散射标签反射未经环境反射和/或散射影响的信号,直射路径信号表示从多天线设备1出射未经环境影响直接传播到多天线设备2的信号;Among them, the high-dimensional characteristic parameter identifies the angle and length of the corresponding propagation paths of the backscattered reflected signal and the direct path signal; the backscattered reflected signal indicates that the output from the multi-antenna device 1 is only reflected by the backscattered label without environmental reflection and / or a signal affected by scattering, a direct path signal means a signal that is emitted from the multi-antenna device 1 and propagates directly to the multi-antenna device 2 without being affected by the environment;
S3:根据背向散射反射信号对应的高维特征参数同时解码各个背向散射标签对应的传输数据;S3: Simultaneously decode the transmission data corresponding to each backscattered tag according to the high-dimensional characteristic parameter corresponding to the backscattered reflection signal;
S4:利用各个背向散射标签对应的传输数据与直射路径信号对应的高维特征参数计算各个背向散射标签和多天线设备2相对于多天线设备1的位置信息。S4: Calculate the position information of each backscatter tag and the multi-antenna device 2 relative to the multi-antenna device 1 by using the transmission data corresponding to each backscatter tag and the high-dimensional characteristic parameter corresponding to the direct path signal.
具体的,如图2所示,接收到的多天线设备2接收到的无线信号包括以下几个部分:1)直接从多天线设备1传播到多天线设备2的信号;2)从多天线设备1经过环境中反射、折射影响再到多天线设备2的信号;3)从多天线设备1经过背向散射标签反射再到多天线设备2的信号;4)从多天线设备1经过背向散射标签反射和环境散射、反射影响再到多天线设备2的信号。首先,需要分离出1)和3)对应的信号传播路径的高维特征参数,高维特征参数包括信号到达角,信号发射角和信号飞行时间。Specifically, as shown in FIG. 2, the received wireless signal received by the multi-antenna device 2 includes the following parts: 1) the signal directly propagated from the multi-antenna device 1 to the multi-antenna device 2; 2) from the multi-antenna device 1. The signal that is reflected and refracted in the environment and then reaches the multi-antenna device 2; 3) The signal that is reflected from the multi-antenna device 1 through the backscattering label and then to the multi-antenna device 2; 4) The multi-antenna device 1 is backscattered by the signal Tag reflections and ambient scattering, reflections affect the signal to the multi-antenna device 2 . First, the high-dimensional characteristic parameters of the signal propagation paths corresponding to 1) and 3) need to be separated, and the high-dimensional characteristic parameters include the signal arrival angle, the signal emission angle and the signal flight time.
在一个实施例中,分别利用接收端多天线之间的信号相位差,发射端多天线之间的信号相位差和多载波信号每个载波上的信号相位差求解信号到达角,信号发射角和信号飞行时间。接收端多天线之间的信号相位差可以表示为:In one embodiment, the signal phase difference between the multiple antennas at the receiving end, the signal phase difference between the multiple antennas at the transmitting end, and the signal phase difference on each carrier of the multi-carrier signal are used to solve the signal arrival angle, the signal transmission angle and Signal flight time. The signal phase difference between multiple antennas at the receiving end can be expressed as:
其中,fn表示接受信号频率,drx表示接收端相邻天线之间的距离,θk表示信号到达角,c表示光速。相同的发射端多天线之间的信号相位差可以表示为:Among them, fn represents the frequency of the received signal, drx represents the distance between adjacent antennas at the receiving end, θk represents the signal arrival angle, and c represents the speed of light. The signal phase difference between multiple antennas at the same transmitter can be expressed as:
其中,dtx表示发射端相邻天线之间的距离,表示信号发射角。除此之外,由于多载波信号每个载波上的波长不同,导致在相同传播距离的情况下不同载波上的信号有相位差,表示为:Among them, dtx represents the distance between adjacent antennas at the transmitting end, Indicates the signal emission angle. In addition, due to the different wavelengths on each carrier of the multi-carrier signal, the signals on different carriers have a phase difference under the same propagation distance, which is expressed as:
其中,Δf表示相邻子载波间的频率差,τk表示信号传播时间。根据三种相位差,利用MUSIC算法把所有路径的信号分离出来,并计算出相应路径对应的信号到达角,信号发射角和信号飞行时间。Among them, Δf represents the frequency difference between adjacent subcarriers, and τk represents the signal propagation time. According to the three phase differences, the MUSIC algorithm is used to separate the signals of all paths, and the signal arrival angle, signal emission angle and signal flight time corresponding to the corresponding paths are calculated.
在一个实施例中,需要过滤与环境反射、折射等影响有关的信号传播路径,分离背向散射反射信号与直射路径信号的高维特征参数。首先,通过K-means聚类算法将一段固定时间内,多个数据包对应的信道状态信息分别估计得到的信号到达角,信号发射角和信号飞行时间进行聚类,由于传统的室内环境下一般只存在3到5条反射路径,将聚类算法中的聚类数量设置为N+4,其中N表示背向散射标签的数量。然后建立了概率模型来判断哪些路径是与环境反射、折射等影响无关的。该概率模型可以表示为:In one embodiment, it is necessary to filter the signal propagation paths related to the effects of environmental reflection, refraction, etc., to separate the high-dimensional characteristic parameters of the backscattered reflection signal and the direct path signal. First, the K-means clustering algorithm is used to cluster the signal arrival angle, signal emission angle and signal flight time respectively estimated from the channel state information corresponding to multiple data packets within a fixed period of time. There are only 3 to 5 reflection paths, and the number of clusters in the clustering algorithm is set to N+4, where N represents the number of backscattered labels. Then a probabilistic model is established to determine which paths are independent of the effects of environmental reflection, refraction, etc. The probability model can be expressed as:
其中,和分别表示每个聚类里信号传播时间,信号到达角和信号飞行时间的统计学方差,表示每个聚类里点的数量,ω是一个常系数由于消除不同单位下的尺度差异。选取概率最高的聚类作为信号直射路径的参数估计,选取其次的N个概率最高的聚类最为所有背向散射标签反射路径对应的参数估计。in, and are the statistical variances of signal propagation time, signal arrival angle and signal flight time in each cluster, respectively, Representing the number of points in each cluster, ω is a constant coefficient due to the elimination of scale differences in different units. The cluster with the highest probability is selected as the parameter estimation of the direct signal path, and the next N clusters with the highest probability are selected as the parameter estimation corresponding to the reflection paths of all backscattered labels.
在一个实施例中,步骤S2包括:解析多天线设备2接收到的无线信号从中获取表示无线信道对无线信号幅值、相位的影响的信道状态信息;根据信道状态信息计算背向散射反射信号与直射路径信号对应的高维特征参数。In one embodiment, step S2 includes: analyzing the wireless signal received by the multi-antenna device 2 to obtain channel state information representing the influence of the wireless channel on the amplitude and phase of the wireless signal; High-dimensional feature parameters corresponding to the direct path signal.
在一个实施例中,步骤S2还包括:基于时域上高维特征参数的分布,过滤与环境反射影响和折射影响有关的信号对应的传播路径,分离背向散射反射信号与直射路径信号各自对应的高维特征参数。In one embodiment, step S2 further includes: filtering, based on the distribution of high-dimensional characteristic parameters in the time domain, the propagation path corresponding to the signal related to the influence of environmental reflection and refraction, and separating the backscattered reflection signal and the direct path signal corresponding to each other The high-dimensional feature parameters of .
具体的,利用背向散射标签反射路径对应的参数估计解码所有背向散射标签的信号。背向散射标签通过调节反射信号的模式将比特1和比特0调制到入射的载波信号上。具体而言,当背向散射标签调制比特1时,背向散射标签反射无线信号,该时刻数据包对应的信道状态信息估计得到的高维特征参数中包括了背向散射对应的信号路径的参数估计;当背向散射标签调制比特0时,背向散射标签吸收无线信号,该时刻数据包对应的信道状态信息估计得到的高维特征参数中不存在背向散射对应的信号路径的参数估计。基于此,可以利用背向散射对应的信号传播路径的高维特征参数的时域特征解码所有背向散射的信号。Specifically, the parameters corresponding to the reflection paths of the backscattered tags are used to estimate and decode the signals of all the backscattered tags. The backscatter tag modulates bit 1 and bit 0 onto the incident carrier signal by modulating the pattern of the reflected signal. Specifically, when the backscattering tag modulates bit 1, the backscattering tag reflects the wireless signal, and the high-dimensional characteristic parameters estimated from the channel state information corresponding to the data packet at this moment include the parameters of the signal path corresponding to the backscattering Estimation; when the backscattering tag modulates bit 0, the backscattering tag absorbs the wireless signal, and there is no parameter estimation of the signal path corresponding to the backscattering in the high-dimensional characteristic parameters estimated by the channel state information corresponding to the data packet at this moment. Based on this, all backscattered signals can be decoded by using the time-domain features of the high-dimensional characteristic parameters of the signal propagation paths corresponding to the backscattering.
另外,首先建立一个解码矩阵,这个解码矩阵的每一行代表背向散射标签的数量,每一列表示固定时间长度内的所有数据包的数量,也就是高维特征参数的估计次数。接下来,提取出第i个聚类里面的所有参数估计对应的数据包的索引记为indexi,然后把解码矩阵中第i行中属于indexi的置1,其他的置0。最后根据解码矩阵就可以把所有背向散射对应的数据都解码出来。其中解码得到的数据中包含了背向散射标签的身份信息和所需传递的信息,根据解码后的背向散射身份信息,将高维特征参数估计与其对应的背向散射标签关联,这样做可以使最后的定位结果和相应的背向散射标签关联。In addition, a decoding matrix is first established, each row of this decoding matrix represents the number of backscattered tags, and each column represents the number of all data packets within a fixed time length, that is, the estimation times of high-dimensional feature parameters. Next, extract the index of the data packet corresponding to all parameter estimates in the i-th cluster and denote it as indexi , and then set the i-th row of the decoding matrix that belongs to indexi to 1, and the others are set to 0. Finally, all data corresponding to backscattering can be decoded according to the decoding matrix. The decoded data contains the identity information of the backscattering label and the information to be transmitted. According to the decoded backscattering identity information, the high-dimensional feature parameter estimation is associated with its corresponding backscattering label. Associate the final localization results with the corresponding backscatter labels.
在一个实施例中,无线信号包括广播信号和数据信号;其中,广播信号包括多天线设备1和多天线设备2建立连接之前的历史广播信号,数据信号包括多天线设备1和多天线设备2建立连接以后的传输数据信号。In one embodiment, the wireless signal includes a broadcast signal and a data signal; wherein the broadcast signal includes a historical broadcast signal before the connection between the multi-antenna device 1 and the multi-antenna device 2 is established, and the data signal includes the establishment of the multi-antenna device 1 and the multi-antenna device 2 Connect the subsequent transmission data signal.
在一个实施例中,与环境反射影响和折射影响有关的信号,包括:从多天线设备1发射经环境反射影响和散射影响由多天线设备2接收的无线信号;和,从多天线设备1发射,经环境反射、散射等影响和背向散射反射,由多天线设备2接收的无线信号。In one embodiment, signals related to environmental reflection effects and refraction effects include: transmitting wireless signals from multi-antenna device 1 that are received by multi-antenna device 2 through environmental reflection and scattering effects; and, transmitting from multi-antenna device 1 , the wireless signal received by the multi-antenna device 2 after environmental reflection, scattering and other influences and backscatter reflection.
在一个实施例中,步骤S4包括:提取背向散射反射信号的高维特征参数的时域变化规律并解码背向散射标签的标签数据,标签数据包括身份编码与待传递数据,时域变化规律表示连续时间段内的信道状态信息对应的高维特征参数变化规律;根据直射路径信号的高维特征参数中的角度信息获取多天线设备1相对于多天线设备2的方向信息;根据多天线设备1相对于多天线设备2的方向信息、背向散射反射信号的高维特征参数和直射路径信号的信号传播时间参数估计每个背向散射标签的位置和多天线设备1相对于多天线设备2的位置;根据背向散射身份信息将背向散射标签的位置和相应的背向散射标签对应;根据多天线设备1的身份信息将多天线设备1相对于多天线设备2的信息和相应的设备信息对应。In one embodiment, step S4 includes: extracting the time-domain variation law of the high-dimensional characteristic parameters of the backscattered reflection signal and decoding the label data of the backscattered label, where the label data includes the identity code and the data to be transmitted, and the time-domain variation law Represents the variation law of high-dimensional characteristic parameters corresponding to the channel state information in continuous time periods; obtains the direction information of multi-antenna device 1 relative to multi-antenna device 2 according to the angle information in the high-dimensional characteristic parameters of the direct path signal; according to the multi-antenna device 1. Direction information relative to multi-antenna device 2, high-dimensional characteristic parameters of backscattered reflected signals, and signal propagation time parameters of direct path signals to estimate the location of each backscattered tag and multi-antenna device 1 relative to multi-antenna device 2. according to the backscattering identity information, the position of the backscattering label is corresponding to the corresponding backscattering label; according to the identity information of the multi-antenna device 1, the information of the multi-antenna device 1 relative to the multi-antenna device 2 and the corresponding device information corresponds.
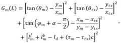
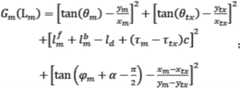
具体的,利用估计得到的高维特征参数实现同时定位多个背向散射标签和定位无线发射端相对于无线接收端的位置。如图3所示,首先介绍背向散射标签的位置和收发端的相对位置与高维特征参数之间的关系。把无线接收端,无线发射端和第m个背向散射标签的位置分别记为(0,0),(xtx,ytx),(xm,ym)。把直射路径的信号发射角,信号到达角和信号飞行时间分别记为θtx,τtx。把背向散射对应的传播路径的信号发射角,信号到达角和信号飞行时间记为θm、τm。可以得到以下关系:Specifically, the estimated high-dimensional characteristic parameters are used to simultaneously locate multiple backscattered tags and locate the position of the wireless transmitting end relative to the wireless receiving end. As shown in Figure 3, the relationship between the position of the backscattering tag, the relative position of the transceiver and the high-dimensional feature parameters is first introduced. The positions of the wireless receiving end, the wireless transmitting end and the m-th backscattering tag are respectively denoted as (0, 0), (xtx , ytx ), (xm , ym ). The signal emission angle, signal arrival angle and signal flight time of the direct path are recorded as θtx , τtx . The signal emission angle, signal arrival angle and signal flight time of the propagation path corresponding to backscattering are recorded as θm , τm . The following relationship can be obtained:
AoA:AoA:
AoD:AoD:
ToF:ToF:
其中,α表示无线发射端相对于无线接收端的角度信息,表示为ld分别表示路径的长度,几者之间的关系表示为ld=||xtx,ytx||2。值得注意的是,利用相对信号飞行时间来计算,因为由于收发端不同步存在时间偏差,这个时间偏差在所有路径上是相等的。Among them, α represents the angle information of the wireless transmitter relative to the wireless receiver, which is expressed as l andd respectively represent the length of the path, and the relationship between them is expressed as ld =||xtx , ytx ||2 . It is worth noting that the relative signal flight time is used to calculate, because there is a time offset due to the asynchronous synchronization of the transceiver, and this time offset is equal on all paths.
基于以上关系,可以同时计算背向散射标签的位置和无线发射端的位置,也就是求解Lm=[(xtx,ytx),(xm,ym)]。通过求解以下的优化方程求解L:Based on the above relationship, the position of the backscattered tag and the position of the wireless transmitter can be calculated simultaneously, that is, Lm =[(xtx , ytx ), (xm , ym )]. Solve L by solving the following optimization equation:
其中,in,
以上解释同时定位无线发射端与单个背向散射标签的位置。可以通过求解以下优化方程求解多个背向散射标签的位置:The above explanation locates the position of the wireless transmitter and a single backscatter tag simultaneously. The positions of multiple backscatter labels can be solved by solving the following optimization equation:
按照本发明的另一方面,提供了一种多背向散射标签同时通信并定位的装置,包括:According to another aspect of the present invention, a device for simultaneous communication and positioning of multiple backscatter tags is provided, comprising:
发射模块,用于利用多天线设备1发射无线信号经至少一个背向散射标签反射并传输至多天线设备2;a transmitter module, used for transmitting wireless signals by using the multi-antenna device 1 to be reflected by at least one backscattering tag and transmitted to the multi-antenna device 2;
解析模块,用于解析多天线设备2接收到的无线信号从中获取背向散射反射信号与直射路径信号对应的高维特征参数;The analysis module is used to analyze the wireless signal received by the multi-antenna device 2 to obtain high-dimensional characteristic parameters corresponding to the backscattered reflected signal and the direct path signal;
其中,高维特征参数标识背向散射反射信号和直射路径信号各自对应的传播路径的角度和长度;背向散射反射信号表示从多天线设备1出射只经背向散射标签反射未经环境反射和/或散射影响的信号,直射路径信号表示从多天线设备1出射未经环境影响直接传播到多天线设备2的信号;Among them, the high-dimensional characteristic parameter identifies the angle and length of the corresponding propagation paths of the backscattered reflected signal and the direct path signal; the backscattered reflected signal indicates that the backscattered reflected signal is emitted from the multi-antenna device 1 and only reflected by the backscattered label without environmental reflection and / or a signal affected by scattering, a direct path signal means a signal that is emitted from the multi-antenna device 1 and propagates directly to the multi-antenna device 2 without being affected by the environment;
解码模块,用于根据背向散射反射信号对应的高维特征参数同时解码各个背向散射标签对应的传输数据;The decoding module is used for simultaneously decoding the transmission data corresponding to each backscattered tag according to the high-dimensional characteristic parameter corresponding to the backscattered reflection signal;
定位模块,用于利用各个背向散射标签对应的传输数据与直射路径信号对应的高维特征参数计算各个背向散射标签和多天线设备2相对于多天线设备1的位置信息。The positioning module is used to calculate the position information of each backscatter tag and the multi-antenna device 2 relative to the multi-antenna device 1 by using the transmission data corresponding to each backscatter tag and the high-dimensional characteristic parameters corresponding to the direct path signal.
按照本发明的另一方面,提供了一种多背向散射标签同时通信并定位的系统,包括存储器及处理器,存储器中储存有计算机程序,计算机程序被处理器执行时,使得处理器执行的多背向散射标签同时通信并定位的方法的步骤。According to another aspect of the present invention, a system for simultaneous communication and positioning of multiple backscatter tags is provided, comprising a memory and a processor, wherein a computer program is stored in the memory, and when the computer program is executed by the processor, the processor executes the system. The steps of a method for simultaneous communication and localization of multiple backscatter tags.
本领域的技术人员容易理解,以上所述仅为本发明的较佳实施例而已,并不用以限制本发明,凡在本发明的精神和原则之内所作的任何修改、等同替换和改进等,均应包含在本发明的保护范围之内。Those skilled in the art can easily understand that the above are only preferred embodiments of the present invention, and are not intended to limit the present invention. Any modifications, equivalent replacements and improvements made within the spirit and principles of the present invention, etc., All should be included within the protection scope of the present invention.
| Application Number | Priority Date | Filing Date | Title |
|---|---|---|---|
| CN202011619652.5ACN112702110B (en) | 2020-12-31 | 2020-12-31 | Method, device and system for simultaneous communication and positioning of multiple backscatter tags |
| Application Number | Priority Date | Filing Date | Title |
|---|---|---|---|
| CN202011619652.5ACN112702110B (en) | 2020-12-31 | 2020-12-31 | Method, device and system for simultaneous communication and positioning of multiple backscatter tags |
| Publication Number | Publication Date |
|---|---|
| CN112702110A CN112702110A (en) | 2021-04-23 |
| CN112702110Btrue CN112702110B (en) | 2022-02-15 |
| Application Number | Title | Priority Date | Filing Date |
|---|---|---|---|
| CN202011619652.5AActiveCN112702110B (en) | 2020-12-31 | 2020-12-31 | Method, device and system for simultaneous communication and positioning of multiple backscatter tags |
| Country | Link |
|---|---|
| CN (1) | CN112702110B (en) |
| Publication number | Priority date | Publication date | Assignee | Title |
|---|---|---|---|---|
| CN116390019A (en)* | 2021-12-31 | 2023-07-04 | 维沃移动通信有限公司 | Positioning method, positioning device and communication equipment |
| CN116614876A (en)* | 2022-02-08 | 2023-08-18 | 维沃移动通信有限公司 | Positioning method, positioning device, user equipment and storage medium |
| CN116366142A (en)* | 2023-02-15 | 2023-06-30 | 华中科技大学 | Back scattering multi-tag transmission and receiving method, device and system |
| Publication number | Priority date | Publication date | Assignee | Title |
|---|---|---|---|---|
| US5763886A (en)* | 1996-08-07 | 1998-06-09 | Northrop Grumman Corporation | Two-dimensional imaging backscatter probe |
| KR20180077864A (en)* | 2016-12-29 | 2018-07-09 | 세종대학교산학협력단 | Wi-Fi backscatter system and Wi-Fi backscatter communication method using the same |
| CN109831786A (en)* | 2019-01-29 | 2019-05-31 | 华中科技大学 | A kind of wireless communications method and system based on backscattering aerial array |
| CN110430148A (en)* | 2019-07-18 | 2019-11-08 | 华中科技大学 | A kind of optimization method of backscattering communication system and its energy beam figuration |
| CN111083106A (en)* | 2019-11-12 | 2020-04-28 | 华中科技大学 | Detection method and detection system for attack robot in multi-robot network |
| Publication number | Priority date | Publication date | Assignee | Title |
|---|---|---|---|---|
| US6522890B2 (en)* | 1995-12-22 | 2003-02-18 | Cambridge Positioning Systems, Ltd. | Location and tracking system |
| US8162836B2 (en)* | 2006-06-23 | 2012-04-24 | Volcano Corporation | System and method for characterizing tissue based upon split spectrum analysis of backscattered ultrasound |
| US8582720B2 (en)* | 2009-12-03 | 2013-11-12 | Rapiscan Systems, Inc. | Time of flight backscatter imaging system |
| US11467248B2 (en)* | 2018-02-08 | 2022-10-11 | Sony Corporation | Position estimation device and communication device |
| Publication number | Priority date | Publication date | Assignee | Title |
|---|---|---|---|---|
| US5763886A (en)* | 1996-08-07 | 1998-06-09 | Northrop Grumman Corporation | Two-dimensional imaging backscatter probe |
| KR20180077864A (en)* | 2016-12-29 | 2018-07-09 | 세종대학교산학협력단 | Wi-Fi backscatter system and Wi-Fi backscatter communication method using the same |
| CN109831786A (en)* | 2019-01-29 | 2019-05-31 | 华中科技大学 | A kind of wireless communications method and system based on backscattering aerial array |
| CN110430148A (en)* | 2019-07-18 | 2019-11-08 | 华中科技大学 | A kind of optimization method of backscattering communication system and its energy beam figuration |
| CN111083106A (en)* | 2019-11-12 | 2020-04-28 | 华中科技大学 | Detection method and detection system for attack robot in multi-robot network |
| Title |
|---|
| 基于散射特征的用户及设备认证;岳小杰;《中国优秀硕士学位论文全文数据库》;20200315;第I138-43页* |
| Publication number | Publication date |
|---|---|
| CN112702110A (en) | 2021-04-23 |
| Publication | Publication Date | Title |
|---|---|---|
| CN112702110B (en) | Method, device and system for simultaneous communication and positioning of multiple backscatter tags | |
| US9894531B2 (en) | Apparatus, method, and software systems for smartphone-based fine-grained indoor localization | |
| US9684054B2 (en) | Frequency channel diversity for real-time locating systems, methods, and computer program products | |
| US20040078151A1 (en) | Wireless local area network (WLAN) channel radio-frequency identification (RFID) tag system and method therefor | |
| US20160100289A1 (en) | Location System | |
| US20180246201A1 (en) | Passive radio frequency identification ranging | |
| JP5299289B2 (en) | POSITION DETECTION DEVICE, POSITION DETECTION METHOD, AND POSITION DETECTION PROGRAM | |
| Cai et al. | Self-deployable indoor localization with acoustic-enabled IoT devices exploiting participatory sensing | |
| KR100938806B1 (en) | Wireless Sensor Node Location Tracking Method Using Probabilistic Filtering of RF Signal Strength | |
| US20150054620A1 (en) | Method for setting up a beacon network inside a retail environment | |
| CN104813189A (en) | Systems and methods for reducing variations in received signal strength indicator (RSSI) measurements for location sensing | |
| CN101604021A (en) | Positioning method and device for a radio frequency identification system | |
| CN105911520A (en) | Moving object-reflected wireless signal identifying method | |
| CN109934031A (en) | Method and system for distinguishing LOS/NLOS based on RFID system | |
| WO2014149592A1 (en) | System and method for locating wireless nodes | |
| Nafar et al. | Design and implementation of an RFID-GSM-based vehicle identification system on highways | |
| US11971473B2 (en) | Locating objects in indoor spaces using radio frequency backscatter tags | |
| CN115134763A (en) | Beacon broadcast type UWB ranging method | |
| Liu et al. | Fast and accurate missing tag detection for multi-category RFID systems | |
| KR101025832B1 (en) | Real-time position tracking system and its tag positioning correction method | |
| CN118233830A (en) | A positioning method and related equipment based on UWB | |
| CN113709661B (en) | A single-site indoor hybrid positioning method and system based on LOS recognition | |
| US10620295B2 (en) | Positioning signal receiver, positioning system and positioning method of the same | |
| CN204680036U (en) | A kind of radio frequency ID distance measuring structure based on variable power | |
| JP2024506971A (en) | Positioning method, gateway and positioning device |
| Date | Code | Title | Description |
|---|---|---|---|
| PB01 | Publication | ||
| PB01 | Publication | ||
| SE01 | Entry into force of request for substantive examination | ||
| SE01 | Entry into force of request for substantive examination | ||
| GR01 | Patent grant | ||
| GR01 | Patent grant |