Movatterモバイル変換


[0]ホーム

URL:


CN112697723A - Hyperspectral field tobacco yield prediction method and system based on unmanned aerial vehicle - Google Patents

Hyperspectral field tobacco yield prediction method and system based on unmanned aerial vehicle
Download PDF

Info

Publication number
CN112697723A
CN112697723ACN202011429022.1ACN202011429022ACN112697723ACN 112697723 ACN112697723 ACN 112697723ACN 202011429022 ACN202011429022 ACN 202011429022ACN 112697723 ACN112697723 ACN 112697723A
Authority
CN
China
Prior art keywords
field
yield
tobacco
sample
hyperspectral
Prior art date
Legal status (The legal status is an assumption and is not a legal conclusion. Google has not performed a legal analysis and makes no representation as to the accuracy of the status listed.)
Pending
Application number
CN202011429022.1A
Other languages
Chinese (zh)
Inventor
李军营
王�华
马二登
邓小鹏
童文杰
张海燕
徐照丽
马云强
张琴
张圣
Current Assignee (The listed assignees may be inaccurate. Google has not performed a legal analysis and makes no representation or warranty as to the accuracy of the list.)
Yunnan Information Technology Co ltd
Yunnan Academy of Tobacco Agricultural Sciences
Original Assignee
Yunnan Information Technology Co ltd
Yunnan Academy of Tobacco Agricultural Sciences
Priority date (The priority date is an assumption and is not a legal conclusion. Google has not performed a legal analysis and makes no representation as to the accuracy of the date listed.)
Filing date
Publication date
Application filed by Yunnan Information Technology Co ltd, Yunnan Academy of Tobacco Agricultural SciencesfiledCriticalYunnan Information Technology Co ltd
Priority to CN202011429022.1ApriorityCriticalpatent/CN112697723A/en
Publication of CN112697723ApublicationCriticalpatent/CN112697723A/en
Pendinglegal-statusCriticalCurrent

Links

Images

Classifications

Landscapes

Abstract

The invention belongs to the technical field of tobacco production, and particularly relates to a hyperspectral field tobacco yield prediction method and system based on an unmanned aerial vehicle. The method comprises the steps that hyperspectral image data of field tobacco are acquired in real time through an unmanned aerial vehicle; coordinate loading is carried out on the hyperspectral image data, and a corresponding original spectrum curve is extracted and processed; obtaining a field sample yield estimation value, and constructing a field tobacco yield prediction model by combining a spectral characteristic curve according to the field sample yield estimation value; finally, generating yield prediction data corresponding to the field tobacco; the method can directly extract the spectrum curve of the tobacco field of the sample party on the image, collect the coordinates of the sample party, and finish the spectrum extraction of the sample party, thereby reducing the labor cost.

Description

Hyperspectral field tobacco yield prediction method and system based on unmanned aerial vehicle
Technical Field
The invention belongs to the technical field of tobacco production, and particularly relates to a hyperspectral field tobacco yield prediction method and system based on an unmanned aerial vehicle.
Background
The tobacco industry plays an important role in the development process of national economy and society, and the yield of tobacco influences the price of the tobacco and further influences the income of tobacco growers. The accurate estimation of the tobacco yield has important significance for pricing and overall distribution of the tobacco industry.
Traditional tobacco output statistics is based on artifical statistics, and data collection is not comprehensive, collection work load is big, wastes time and energy, and all is gathering the statistics of going on after toasting at the tobacco, can't assist market overall planning, decision-making dispatch. At present, although some researches on biochemical parameters and yield of tobacco are carried out by using a handheld high-speed spectrometer, the method needs a large amount of manpower to sample in a tobacco field, has low efficiency and is not beneficial to the estimation and production application of the large-area tobacco field.
Therefore, aiming at the technical problems that the data collection is not comprehensive, the collection workload is large, time and labor are wasted, statistics is carried out after the tobacco harvesting and baking are finished, and the market planning and decision scheduling cannot be assisted, a hyperspectral field tobacco yield prediction method and a hyperspectral field tobacco yield prediction system based on an unmanned aerial vehicle are urgently needed to be designed and developed.
Disclosure of Invention
The invention aims to provide a method for predicting tobacco yield of a hyperspectral field based on an unmanned aerial vehicle.
The second purpose of the invention is to provide a system for predicting tobacco yield of a hyperspectral field based on an unmanned aerial vehicle.
The first object of the present invention is achieved by: the method comprises the following steps:
acquiring field tobacco hyperspectral image data in real time through an unmanned aerial vehicle;
coordinate loading is carried out on the hyperspectral image data, and a corresponding original spectrum curve is extracted and processed;
obtaining a field sample yield estimation value, and constructing a field tobacco yield prediction model by combining a spectral characteristic curve according to the field sample yield estimation value;
and generating yield prediction data corresponding to the field tobacco.
The second object of the present invention is achieved by: the system specifically comprises:
the acquisition unit is used for acquiring field tobacco hyperspectral image data in real time through an unmanned aerial vehicle;
the loading extraction unit is used for carrying out coordinate loading on the hyperspectral image data and extracting and processing a corresponding original spectrum curve;
the model construction unit is used for obtaining the yield estimation value of the field sample prescription and constructing a field tobacco yield prediction model by combining a spectral characteristic curve according to the yield estimation value of the field sample prescription;
and the generating unit is used for generating yield prediction data corresponding to the field tobacco.
The invention discloses a method for predicting tobacco yield of a hyperspectral field based on an unmanned aerial vehicle, which comprises the following steps: acquiring field tobacco hyperspectral image data in real time through an unmanned aerial vehicle; coordinate loading is carried out on the hyperspectral image data, and a corresponding original spectrum curve is extracted and processed; obtaining a field sample yield estimation value, and constructing a field tobacco yield prediction model by combining a spectral characteristic curve according to the field sample yield estimation value; the yield prediction data corresponding to the field tobacco and the system corresponding to the method can directly extract the spectrum curve of the tobacco field of the sample on the image, and the spectrum extraction of the sample can be completed by setting the position of the sample and collecting the coordinates of the sample, thereby reducing the labor cost.
In addition, according to the scheme of the invention, the original scanned image is geometrically and precisely corrected during hyperspectral data preprocessing, the spatial position attribute is added to the hyperspectral image, and the image control points are added in the splicing process, so that the spatial positioning of the hyperspectral image is further improved, and the accuracy of extracting the sample spectral curve in the later period is ensured.
Sensitive bands which have guiding significance for tobacco yield estimation are found out through a logarithmic first-order derivative transformation curve of the spectral reflectivity of the full bands of the original image, and the sensitive bands can be well used as the basis for tobacco yield prediction. Meanwhile, the yield is calculated by using the weight of the top-cut 4 th fresh tobacco leaves after deactivation and drying, so that large-area damage to field tobacco is reduced, the workload of field agronomic data acquisition is reduced, and the yield of tobacco plants can be calculated more accurately.
In addition, in the process of spectral analysis and modeling, a multivariate linear stepwise regression method is used for establishing the model, and the method is simple, practical, strong in operability and high in precision, is suitable for non-professionals and managers to use, and is convenient to popularize and apply in a large range.
Drawings
FIG. 1 is a schematic diagram of a flow architecture of a method for predicting tobacco yield in a hyperspectral field based on an unmanned aerial vehicle according to the invention;
FIG. 2 is a schematic view of a tobacco field hyperspectral image based on a method for predicting tobacco yield of an unmanned aerial vehicle hyperspectral field;
FIG. 3 is a schematic view of a hyperspectral image stitching process of the method for predicting tobacco yield in a hyperspectral field by an unmanned aerial vehicle;
FIG. 4 is a schematic diagram of an original spectrum curve of a method for predicting tobacco yield in a hyperspectral field based on an unmanned aerial vehicle according to the invention;
FIG. 5 is a schematic diagram of a sample position of a method for predicting tobacco yield in a hyperspectral field based on an unmanned aerial vehicle according to the invention;
FIG. 6 is a schematic diagram of a curve after logarithmic first-order derivative transformation of a method for predicting tobacco yield in a hyperspectral field based on an unmanned aerial vehicle according to the invention;
FIG. 7 is a schematic diagram of the yield table calculated by the leaf dry weight, average leaf, and sampling formula of a method for predicting tobacco yield in hyperspectral land based on unmanned aerial vehicle according to the invention;
FIG. 8 is a schematic diagram showing the correlation between the first derivative of the logarithm and the yield of the method for predicting the tobacco yield in the hyperspectral land based on the unmanned aerial vehicle;
FIG. 9 is a schematic diagram showing a relationship between a model predicted value and an actual measured value of a tobacco yield in a hyperspectral field based unmanned aerial vehicle tobacco yield prediction method according to the present invention;
FIG. 10 is a schematic diagram of field tobacco yield inversion filling based on the method for predicting the tobacco yield of the hyperspectral field by the unmanned aerial vehicle;
FIG. 11 is a schematic diagram of a system architecture for predicting tobacco yield in a hyperspectral land based on an unmanned aerial vehicle according to the invention;
FIG. 12 is a schematic diagram of a hyperspectral field tobacco yield prediction platform architecture based on an unmanned aerial vehicle.
Detailed Description
The invention is further illustrated in the following figures and examples in order to provide the person skilled in the art with a detailed understanding of the invention, without restricting it in any way. Any variations or modifications made in accordance with the teachings of the present invention are intended to be within the scope of the present invention.
As shown in fig. 1 to 12, the invention provides a method for predicting tobacco yield of a hyperspectral field based on an unmanned aerial vehicle, which comprises the following steps:
s1, acquiring field tobacco hyperspectral image data in real time through an unmanned aerial vehicle;
s2, carrying out coordinate loading on the hyperspectral image data, and extracting and processing a corresponding original spectrum curve;
s3, obtaining a field sample yield estimation value, and constructing a field tobacco yield prediction model according to the field sample yield estimation value and a spectral characteristic curve;
and S4, generating yield prediction data corresponding to the field tobacco.
Among the real-time acquisition field tobacco hyperspectral image data of unmanned aerial vehicle, still include:
s11, correcting the field tobacco hyperspectral image;
and S12, acquiring the data of the field image control point, and splicing the corrected hyperspectral image in real time according to the data of the field image control point.
During the correction is carried out to the field tobacco hyperspectral image, the method further comprises the following steps:
s111, preprocessing and correcting distortion, reflectivity and atmosphere of the hyperspectral image lens;
and S112, performing geometric fine correction on the preprocessed and corrected hyperspectral image.
The coordinate loading is carried out on the hyperspectral image data, and corresponding original spectral curves are extracted and processed, and the method further comprises the following steps:
s21, acquiring four-corner coordinate data of the field prototype, and drawing a prototype area according to the four-corner coordinate data of the field prototype;
and S22, extracting the original spectrum curve of the sample area, and transforming the original spectrum curve by a logarithmic first derivative.
The method for obtaining the field sample yield estimation value and constructing the field tobacco yield prediction model by combining the spectral characteristic curve according to the field sample yield estimation value further comprises the following steps:
s31, establishing at least one field sample research area, and acquiring the number of tobacco plants in the research area;
and S32, obtaining dry weight data of sampled tobacco leaves in the tobacco plant quantity, and generating the yield estimation value of the field sample according to the dry weight data.
S33, analyzing the correlation of the field sample yield estimation value and the spectral curve corresponding to the field sample yield;
and S34, generating wave band data of reaction yield change according to the analysis of the correlation.
The generating of the yield prediction data corresponding to the field tobacco further comprises:
and S41, verifying the field yield prediction data in real time according to the field sample yield estimation value.
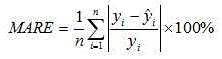
The related calculation formula for verifying the field yield prediction data in real time according to the field sample side yield estimation value is as follows:
Figure DEST_PATH_IMAGE001
(1)
Figure 259121DEST_PATH_IMAGE002
(2)
Figure DEST_PATH_IMAGE003
(3)
wherein R is2To use correlation coefficients for the sample volume yield estimates and the yield predictions, RMSE is the root mean square error, MARE is the absolute value of the mean relative error,
Figure 972999DEST_PATH_IMAGE004
in order to predict the yield of the product,
Figure DEST_PATH_IMAGE005
in order to measure the yield of the product,
Figure 221578DEST_PATH_IMAGE006
the average value of the measured yield is obtained.
That is to say, in the scheme of the invention, a field tobacco yield prediction method based on unmanned aerial vehicle hyperspectral is provided, and the method comprises the following steps:
A. collecting and processing hyperspectral images of the unmanned aerial vehicle;
B. collecting field fresh tobacco leaves and calculating the yield;
C. extracting a characteristic spectrum curve;
D. constructing a tobacco yield prediction model;
E. verifying the accuracy of the predicted yield;
F. estimating the yield of the field tobacco.
Specifically, in the step a, the unmanned aerial vehicle carries a hyperspectral spectrometer to take aerial photos of the tobacco field target area, and the tobacco in the target area is in a growth period, preferably a growth period, a bud period and a topping period, and more preferably a topping period. In the step A, the hyperspectral image shot by the unmanned aerial vehicle comprises a RAW file and a BMP file, image control points are arranged on the shot field edge and used for absolute orientation during the splicing of the hyperspectral image, and the step A comprises the following steps:
a1, carrying out preprocessing such as lens distortion correction, reflectivity correction and atmospheric correction on the hyperspectral image acquired by the unmanned aerial vehicle;
a2, performing geometric fine correction on the preprocessed hyperspectral image;
a3, splicing the geometrically and finely corrected images into a complete hyperspectral image;
preferably, the hyperspectral image shot by the unmanned aerial vehicle comprises a RAW file and a BMP file, wherein the RAW file is an image formed by push-scanning of a hyperspectral scanner, the image comprises 176 wave bands of spectral reflectivity, the wave band range is 400-1000 nm, and the spectral interval is 3.5 nm. The BMP file is a general camera file, and includes spatial position information. In step a2, the geometric fine correction refers to spatially registering the RAW file and the BMP file, outputting a file with spatial information geotif after registration, and then splicing.
In the step A3, the GEOTIFF files are spliced, after the air-to-air ratio resolution is completed, image control points need to be added for adjustment resolution, and the control points are collected through a GNSS system to ensure that the geographical and spatial positions of the finally spliced hyperspectral images are correct.
Step B, comprising the following steps:
b1, selecting a research sample in the field, recording the area of the sample, wherein the unit is mu, and recording the number of tobacco plants in the sample;
b2, randomly selecting a plurality of tobacco plants in each sample prescription, collecting the 4 th tobacco leaf, and recording the effective leaf number of the tobacco plants;
b3, deactivating enzymes of the collected tobacco leaves, drying the tobacco leaves to constant weight, and recording the dry weight of the tobacco leaves;
b4, averaging the dry weights of all tobacco leaves in each sample prescription to obtain the average dry weight of the sample prescription;
b5, averaging the effective leaf numbers of all the sample tobacco plants in each sample prescription to obtain the average leaf number of the sample prescription;
b6, calculating the average dry weight of the sample, the average leaf number and the tobacco plant number to obtain the yield of the sample;
b7, the yield of the sample prescription/the area of the sample prescription, and the calculated yield with the unit of kg/mu is obtained by calculation.
The prototype selection criteria in step B1 are: the tobacco plants in the sample prescription grow uniformly, and the sample prescription has good, medium and poor growth gradients.
The step C comprises the following steps:
c1, loading four-corner coordinates of a sample in the spliced hyperspectral image;
c2, drawing a sample area according to the sample coordinates, and extracting an original spectrum curve of the sample area;
and C3, carrying out logarithmic first derivative transformation on the original spectrum curve.
In step D, carrying out correlation analysis on the logarithmic first-order derivative curve obtained by the step C3 and the calculated yield obtained by the step 6 to obtain a sensitive wave band capable of reflecting yield change, and establishing a model for the sensitive wave band and the calculated yield by utilizing a multiple linear stepwise regression algorithm to obtain a tobacco yield prediction model formula:
Figure DEST_PATH_IMAGE007
(1)
Figure 210263DEST_PATH_IMAGE008
(2)
Figure DEST_PATH_IMAGE009
(3)
wherein R is2To use correlation coefficients for the sample volume yield estimates and the yield predictions, RMSE is the root mean square error, MARE is the absolute value of the mean relative error,
Figure 493476DEST_PATH_IMAGE010
in order to predict the yield of the product,
Figure DEST_PATH_IMAGE011
in order to measure the yield of the product,
Figure 909414DEST_PATH_IMAGE012
the average value of the measured yield is obtained.
Specifically, the actual yield of the sample is the actual yield after the tobacco leaves are harvested and baked, and in step F, the original spectral reflectivity of the field tobacco is extracted, the first logarithmic derivative is calculated, and the first logarithmic derivative is substituted into a yield prediction model to calculate the tobacco yield of the field.
The invention is further elucidated with reference to the drawing.
Step A, unmanned aerial vehicle hyperspectral image acquisition and processing, wherein the detailed implementation mode is as follows:
in the invention, the unmanned aerial vehicle carries a hyperspectral imager to scan a research area, and the growth period of the collected tobacco is a vigorous growth period, a bud period and a topping period, and more preferably the topping period. In actual operation, the dry matter of the tobacco leaves in the vigorous growth period is unstable, and the influence on the estimated yield is large; flowers in the bud stage have certain influence on the spectrum curve of the tobacco leaves; the mature period is reached after 10 days of topping, the accumulation of dry matters in leaves is stable, and the influence of flower spectrum is eliminated, so the topping period is preferred.
The unmanned aerial vehicle is a Xinjiang M600 PRO, the hyperspectral imager is a GaiaSky-mini hyperspectral imaging system, the spectral range is 400nm-1000nm, the spectral resolution is 3.5nm, and the number of spectral channels is 176.
When the unmanned aerial vehicle carries out hyperspectral data acquisition operation, clear weather, no cloud and no wind need to be selected, and the flying height of the unmanned aerial vehicle is 100-300 m, preferably 200 m. The unmanned aerial vehicle shooting mode is hovering shooting, built-in scanning and single shooting with the time interval of 9 seconds.
In order to ensure the correctness of the spectral reflectivity, the hyperspectral imager is subjected to standard white board correction before data acquisition, and a standard reflectivity target is laid on the ground of an acquisition area, preferably 40% standard reflectivity gray cloth calibrated by the national measurement institute.
The hyperspectral image shot by the unmanned aerial vehicle comprises a RAW file and a BMP file, wherein the RAW file is a push-broom image of a hyperspectral scanner and contains spectral information of 176 wave bands; the BMP file is a general camera file, and includes spatial position information.
Before the unmanned aerial vehicle takes photo by plane, image control points are arranged at the edge of a shot field for orientation during splicing of hyperspectral images.
Further, step a comprises the steps of: a1, carrying out preprocessing such as lens distortion correction, reflectivity correction and atmospheric correction on the hyperspectral image acquired by the unmanned aerial vehicle; the lens distortion correction is to eliminate the inherent radiation distortion of the lens, the reflectivity correction is to convert the digital signal of the original photo into the reflectivity value, the white board calibration method is adopted, and the atmospheric correction is to eliminate the influence of the atmospheric air, water vapor and the like on the reflectivity. A2, geometrically and finely correcting the preprocessed hyperspectral image, namely, spatially registering the RAW file and the BMP file, correcting the spatial position information of the RAW file, and outputting a GEOTIFF file with spatial information after registration; a3, splicing the GEOTIFF file into a complete hyperspectral image, wherein the spliced image has spatial information and spectral information, and is convenient for later cutting, extraction and inversion. Fig. 2 shows the spliced hyperspectral image.
When the GEOTIFF file is spliced, after the space-time-frequency resolution is completed, image control points need to be added to carry out adjustment resolution, and the control points are collected through a GNSS system to ensure that the geographical spatial position of the finally spliced hyperspectral image is correct. Fig. 3 is a flow chart of hyperspectral image stitching.
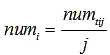
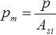
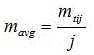
Further, step B collects sample leaves and calculates the output of the sample after drying, and comprises the following steps: b1, selecting a sample prescription in the experimental fieldSiEach prototype includingnThe stock tobacco is rectangular in sample square, different row and column combinations can be selected, four corner point coordinates of each sample square are collected through a GNSS system, and the area of each sample square is calculatedAsi(ii) a B2, random selection in each samplejSample tobacco planttijiIs as followsiThe method has the advantages that the method has the following steps,jis as followsjSelecting the 4 th tobacco leaf of the sample tobacco plant, and recording the effective leaf number of the sample tobacco plantnumtij(ii) a B3, calculating the average number of leaves of each sample Sinumi(ii) a B4, calculating the fixation weight of the sample tobacco leavesmtij(ii) a B5, calculating the average dry weight of the leaves of the samplemavg(ii) a B6, calculating the total yield of the samplep(ii) a B7, calculating the yield per mu of the sample prescriptionpm
The prototype selection criteria in step B1 are: the tobacco plants in the sample prescription grow uniformly, and the sample prescription has good, medium and poor growth gradients.
The calculation formula of the steps B4-B7 relates to the calculation formula of the average leaf number:
Figure DEST_PATH_IMAGE013
(4)
the average leaf dry weight calculation formula is:
Figure 645289DEST_PATH_IMAGE014
(5)
the total yield of the sample is calculated by the formula:
Figure DEST_PATH_IMAGE015
(6)
the formula for calculating the yield per mu of the sample is as follows:
Figure 437665DEST_PATH_IMAGE016
(7)
specifically, in the scheme of the invention, the 4 th tobacco leaf of the sample tobacco plant is collected, the tobacco leaf is weighed after being subjected to deactivation of enzymes and drying, the weight of the leaf can represent the average weight of all the tobacco leaves of the sample tobacco plant, and the result is verified through a large number of statistical experiments.
And C, extracting a characteristic spectrum curve of the sample, comprising the following steps:
c1, loading a sample coordinate in the spliced hyperspectral image, and directly displaying the collected sample coordinate on the image because the hyperspectral image has spatial geographical position information, wherein the step needs to ensure that the collection of the sample coordinate and the collection of the image control point use the same set of coordinate system;
c2, drawing a sample area according to the sample coordinates, extracting an average spectrum curve of the sample area, extracting the spectrum curve by using a Spectral Library Builder tool of ENVI software, and exporting the extracted spectrum curve as an Excel table as shown in FIG. 4;
and C3, carrying out logarithmic first derivative transformation on the original spectrum curve to obtain a characteristic curve of the sample. The step can be realized by coding in MATLAB, and can also be obtained by mathematical calculation in Excel software under the condition of less sample.
Step D, constructing a tobacco yield prediction model: and C, performing multiple linear stepwise regression modeling on the characteristic curve obtained in the step C3 and the yield pm obtained in the step B7. This method is the most common and intuitive method in linear regression analysis. Multivariate regression can iteratively select a plurality of important independent variables to explain the dependent variable on the basis of the assumption that the independent variable and the dependent variable are linearly related. The stepwise regression method is a common method for screening variables in multiple linear regression analysis, is a very 'prudent' method, follows the principle of 'having input and output', and is used for investigating whether the previously introduced independent variables are still meaningful or not and eliminating variables without significance until neither new variables nor variables entering an equation can be introduced or eliminated every time new independent variables are introduced into a model. According to the selected method, SPSS software is utilized to carry out correlation analysis on the measured tobacco plant sample acre yield and the characteristic spectrum curve of the sample, the characteristic spectrum curve of each sample comprises 176 wave bands, the wave bands of the significant phases are found, a multivariate linear stepwise regression method is utilized, the wave bands which are significantly related are used as independent variables, and the acre yield is used as a dependent variable to construct a model.
E, evaluating the precision of a tobacco yield prediction model: the actual yield of the sample tobacco is used for verifying the predicted yield, and the related specific formula and parameters are as follows:
Figure DEST_PATH_IMAGE017
(1)
Figure 575385DEST_PATH_IMAGE018
(2)
Figure DEST_PATH_IMAGE019
(3)
wherein R is2To use correlation coefficients for the sample volume yield estimates and the yield predictions, RMSE is the root mean square error, MARE is the absolute value of the mean relative error,
Figure 162224DEST_PATH_IMAGE020
in order to predict the yield of the product,
Figure DEST_PATH_IMAGE021
in order to measure the yield of the product,
Figure 385395DEST_PATH_IMAGE022
the average value of the measured yield is obtained.
Step F, estimating the yield of the field tobacco: firstly, extracting tobacco plants in an object-oriented classification mode in ENVI to obtain spectral information of the tobacco plants, deriving original spectral reflectivity information of a sensitive waveband, calculating a logarithmic first-order derivative, and substituting the logarithmic first-order derivative into a yield prediction model formula constructed in the step D to obtain the predicted yield of the tobacco in the field, wherein the step is also called as an inversion map filling; selecting a proper color band to render an inversion map filling result to obtain the yield distribution condition in the field; the estimated yield of the field can be obtained by area conversion of the classification result.
Example (b):
take the tobacco variety garden in the Yangxi city, Dengjiang city, Dragon street, Zhengjiang world in Yunnan province in 2020 as an example. The research area is located in a tobacco variety garden in the Yangxing town of Yangxing City, Yuxi, Yunnan, with an average altitude of 1732m, the tobacco variety K326 in the test and a field area of 200 mu. In the tobacco topping period, an unmanned aerial vehicle is used for carrying a hyperspectral imager to carry out data acquisition on tobacco leaves in a garden, samples with different growth vigors are selected before aerial photography operation, each sample contains 60 tobacco plants, and four-corner coordinates of the sample are recorded by using RTK.
Randomly selecting 3 tobacco plants as samples for each sample, recording the effective leaf number of each sample, collecting the 4 th tobacco leaf of each tobacco plant, bringing the tobacco leaves back to a laboratory for de-enzyming, drying and weighing, and recording the weight of each tobacco leaf.
After image data acquisition is finished, preprocessing a hyperspectral original photo by using instrument self-contained software SpecView V2.9, performing lens correction, inversion rate correction and atmospheric correction in sequence, performing geometric fine correction on the photo after atmospheric correction by using HiRegisteror V3.3 software, and finally splicing the processed hyperspectral photo by using Photoscan software, wherein the spliced image is shown in FIG. 2.
And (3) completing image splicing, opening the image in the ENVI, importing coordinates of the sample, connecting the coordinates in sequence, and drawing the sample, such as the position distribution of the sample in the hyperspectral image in FIG. 5. After the sample side is determined, a Spectral curve of the sample side is extracted by using a Spectral Library Builder tool, whether the Spectral curve of the sample side is normal or not is checked, and fig. 4 is a graph of an original spectrum curve of the sample side. The original spectrum curve is subjected to logarithmic first derivative transformation to obtain a characteristic curve of a sample, and fig. 6 is a logarithmic first derivative transformation curve of the original spectrum curve. -
The yield per mu of each formula is calculated according to the steps B1-B7 to obtain the formula yield table, as shown in figure 7.
The correlation analysis was performed on the logarithmic first derivative curve of the sample and the sample calculation yield using SPSS software, and the result is shown in fig. 8. As can be seen from the graph, the calculated yield and the log first derivative curve show a negative very significant correlation at 571-581nm and 608-618nm, and a maximum negative correlation of-0.607 at 608nm is reached; positive poles were significantly correlated at 679nm, 693-735nm, with a maximum positive correlation of 0.580 x at 704 nm. And (3) screening out a wave band with obvious yield correlation through correlation analysis, and establishing an estimated yield model by utilizing multivariate linear stepwise regression as follows:
Figure 387986DEST_PATH_IMAGE024
(8)
wherein Y is the estimated tobacco yield, R608.2、R940.4、R424.3、R725Respectively, representing the log first derivative values of the corresponding raw reflectivities at that band. R of the model2Is 0.746.
Comparing the model predicted yield with the actual measured yield of the sample after the sample is harvested and baked, and calculating a correlation coefficient R between the actual measured yield and the predicted yield of the sample as shown in FIG. 92=0.67, the root mean square error RMSE =23.35 kg/mu, and the average relative error absolute value MARE =24.34%, from the test result, the prediction effect of the model is better.
Finally, inversion mapping is performed on the field in the ENVI software, and the obtained result is shown in FIG. 10.
Preferably, the hyperspectral field tobacco yield prediction method based on the unmanned aerial vehicle is applied to one or more terminals or servers. The terminal is a device capable of automatically performing numerical calculation and/or information processing according to a preset or stored instruction, and the hardware includes, but is not limited to, a microprocessor, an Application Specific Integrated Circuit (ASIC), a Programmable Gate Array (FPGA), a Digital Signal Processor (DSP), an embedded device, and the like.
The terminal can be a desktop computer, a notebook, a palm computer, a cloud server and other computing equipment. The terminal can be in man-machine interaction with a client in a keyboard mode, a mouse mode, a remote controller mode, a touch panel mode or a voice control device mode.
The invention discloses a hyperspectral field tobacco yield prediction method and system based on an unmanned aerial vehicle.
As shown in fig. 1, the method is a flowchart of a method for predicting tobacco yield in a hyperspectral field based on an unmanned aerial vehicle according to an embodiment of the invention.
In this embodiment, the method for predicting tobacco yield in hyperspectral land based on the unmanned aerial vehicle can be applied to a terminal or a fixed terminal with a display function, and the terminal is not limited to a personal computer, a smart phone, a tablet personal computer, a desktop or an all-in-one machine with a camera and the like.
The tobacco yield prediction method based on the unmanned aerial vehicle hyperspectral field can also be applied to a hardware environment formed by a terminal and a server connected with the terminal through a network. Networks include, but are not limited to: a wide area network, a metropolitan area network, or a local area network. The tobacco yield prediction method based on the unmanned aerial vehicle hyperspectral land production can be executed by a server, can also be executed by a terminal, and can also be executed by the server and the terminal together.
For example, for a terminal needing to predict the tobacco yield based on the hyperspectral land for unmanned aerial vehicle, the function of predicting the tobacco yield based on the hyperspectral land for unmanned aerial vehicle provided by the method of the invention can be directly integrated on the terminal, or a client used for realizing the method of the invention is installed. For another example, the method provided by the invention can be operated on devices such as a server in a Software Development Kit (SDK) form, an interface based on the unmanned aerial vehicle hyperspectral field tobacco yield prediction function is provided in the SDK form, and the terminal or other devices can realize the unmanned aerial vehicle hyperspectral field tobacco yield prediction function through the provided interface.
In order to achieve the above object, the present invention further provides a hyperspectral field tobacco yield prediction system based on an unmanned aerial vehicle, as shown in fig. 11, the system specifically includes:
the acquisition unit is used for acquiring field tobacco hyperspectral image data in real time through an unmanned aerial vehicle;
the loading extraction unit is used for carrying out coordinate loading on the hyperspectral image data and extracting and processing a corresponding original spectrum curve;
the model construction unit is used for obtaining the yield estimation value of the field sample prescription and constructing a field tobacco yield prediction model by combining a spectral characteristic curve according to the yield estimation value of the field sample prescription;
and the generating unit is used for generating yield prediction data corresponding to the field tobacco.
Further, the obtaining unit further includes:
the first correction module is used for correcting the field tobacco hyperspectral image;
the image splicing module is used for acquiring field image control point data and splicing the corrected hyperspectral image in real time according to the field image control point data;
the second correction module is used for carrying out pretreatment correction on the distortion, the reflectivity and the atmosphere of the hyperspectral image lens;
the third correction module is used for performing geometric fine correction on the preprocessed and corrected hyperspectral image;
the load extraction unit further includes:
the drawing module is used for acquiring the four-corner coordinate data of the field prototype and drawing the prototype area according to the four-corner coordinate data of the field prototype;
the transformation module is used for extracting an original spectrum curve of the sample area and transforming the original spectrum curve by a logarithmic first-order derivative;
the model building unit further comprises:
the method comprises the steps of establishing an acquisition module, wherein the acquisition module is used for establishing at least one field sample research area and acquiring the number of tobacco plants in the research area;
the yield estimation module is used for acquiring dry weight data of sampled tobacco leaves in the tobacco plant quantity and generating a yield estimation value of the field sample according to the dry weight data;
the analysis module is used for analyzing the correlation between the field sample side yield estimation value and a spectrum curve corresponding to the field sample side yield;
the first generation module is used for generating waveband data of reaction yield change according to the analysis of the correlation;
the generation unit further includes:
and the yield verification module is used for verifying the field yield prediction data in real time according to the field sample yield estimation value.
In the embodiment of the system scheme of the invention, the specific details of the method steps involved in the system for predicting the tobacco yield of the hyperspectral land based on the unmanned aerial vehicle are set forth above and are not repeated here.
In order to achieve the above object, the present invention further provides a hyperspectral field tobacco yield prediction platform based on an unmanned aerial vehicle, as shown in fig. 12, including:
the system comprises a processor, a memory and a control program of a tobacco yield prediction platform based on an unmanned aerial vehicle hyperspectral land field;
wherein the processor executes the control program of the tobacco yield prediction platform based on the unmanned aerial vehicle hyperspectral land area, the control program of the tobacco yield prediction platform based on the unmanned aerial vehicle hyperspectral land area is stored in the memory, and the control program of the tobacco yield prediction platform based on the unmanned aerial vehicle hyperspectral land area realizes the steps of the tobacco yield prediction method based on the unmanned aerial vehicle hyperspectral land area, such as:
s1, acquiring field tobacco hyperspectral image data in real time through an unmanned aerial vehicle;
s2, carrying out coordinate loading on the hyperspectral image data, and extracting and processing a corresponding original spectrum curve;
s3, obtaining a field sample yield estimation value, and constructing a field tobacco yield prediction model according to the field sample yield estimation value and a spectral characteristic curve;
and S4, generating yield prediction data corresponding to the field tobacco.
The details of the steps have been set forth above and will not be described herein.
In an embodiment of the present invention, the built-in processor of the tobacco yield prediction platform based on the unmanned aerial vehicle hyperspectral farmland may be composed of an integrated circuit, for example, a single packaged integrated circuit, or may be composed of a plurality of integrated circuits packaged with the same function or different functions, and include one or more Central Processing Units (CPUs), a microprocessor, a digital Processing chip, a graphics processor, and a combination of various control chips. The processor acquires each component by utilizing various interfaces and line connections, and executes various functions and processes data based on the unmanned aerial vehicle hyperspectral field tobacco yield prediction by operating or executing programs or units stored in the memory and calling data stored in the memory;
the storage is used for storing program codes and various data, is installed in a platform for predicting the tobacco yield of the hyperspectral field based on the unmanned aerial vehicle, and realizes high-speed and automatic access of programs or data in the operation process.
The Memory includes Read-Only Memory (ROM), Random Access Memory (RAM), Programmable Read-Only Memory (PROM), Erasable Programmable Read-Only Memory (EPROM), One-time Programmable Read-Only Memory (OTPROM), Electrically Erasable rewritable Read-Only Memory (EEPROM), Compact Disc Read-Only Memory (CD-ROM) or other optical Disc Memory, magnetic disk Memory, tape Memory, or any other medium readable by a computer that can be used to carry or store data.
In describing embodiments of the present invention, it should be noted that any process or method descriptions in flow charts or otherwise described herein may be understood as representing modules, segments, or portions of code which include one or more executable instructions for implementing specific logical functions or steps of the process, and that the scope of the preferred embodiments of the present invention includes additional implementations in which functions may be executed out of order from that shown or discussed, including substantially concurrently or in reverse order, depending on the functionality involved, as would be understood by those reasonably skilled in the art of the present invention.
The logic and/or steps represented in the flowcharts or otherwise described herein, such as an ordered listing of executable instructions that can be considered to implement logical functions, can be embodied in any computer-readable medium for use by or in connection with an instruction execution system, apparatus, or device, such as a computer-based system, processing module-containing system, or other system that can fetch the instructions from the instruction execution system, apparatus, or device and execute the instructions. For the purposes of this description, a "computer-readable medium" can be any means that can contain, store, communicate, propagate, or transport the program for use by or in connection with the instruction execution system, apparatus, or device. More specific examples (a non-exhaustive list) of the computer-readable medium would include the following: an electrical connection (electronic device) having one or more wires, a portable computer diskette (magnetic device), a Random Access Memory (RAM), a read-only memory (ROM), an erasable programmable read-only memory (EPROM or flash memory), an optical fiber device, and a portable compact disc read-only memory (CDROM).
Additionally, the computer-readable medium could even be paper or another suitable medium upon which the program is printed, as the program can be electronically captured, via for instance optical scanning of the paper or other medium, then compiled, interpreted or otherwise processed in a suitable manner if necessary, and then stored in a computer memory.
The invention discloses a method for predicting tobacco yield of a hyperspectral field based on an unmanned aerial vehicle, which comprises the following steps: acquiring field tobacco hyperspectral image data in real time through an unmanned aerial vehicle; coordinate loading is carried out on the hyperspectral image data, and a corresponding original spectrum curve is extracted and processed; obtaining a field sample yield estimation value, and constructing a field tobacco yield prediction model by combining a spectral characteristic curve according to the field sample yield estimation value; the yield prediction data corresponding to the field tobacco and the system corresponding to the method can directly extract the spectrum curve of the tobacco field of the sample on the image, and the spectrum extraction of the sample can be completed by setting the position of the sample and collecting the coordinates of the sample, thereby reducing the labor cost.
In addition, according to the scheme of the invention, the original scanned image is geometrically and precisely corrected during hyperspectral data preprocessing, the spatial position attribute is added to the hyperspectral image, and the image control points are added in the splicing process, so that the spatial positioning of the hyperspectral image is further improved, and the accuracy of extracting the sample spectral curve in the later period is ensured.
Sensitive bands which have guiding significance for tobacco yield estimation are found out through a logarithmic first-order derivative transformation curve of the spectral reflectivity of the full bands of the original image, and the sensitive bands can be well used as the basis for tobacco yield prediction. Meanwhile, the yield is calculated by using the weight of the top-cut 4 th fresh tobacco leaves after deactivation and drying, so that large-area damage to field tobacco is reduced, the workload of field agronomic data acquisition is reduced, and the yield of tobacco plants can be calculated more accurately.
In addition, in the process of spectral analysis and modeling, a model is established by using a multivariate linear stepwise regression method, and the method is simple, practical, strong in operability and high in precision, is suitable for non-professionals and managers to use, and is convenient to popularize and apply in a large range.
That is to say, the primary object of the present invention is to provide a method for constructing a tobacco yield prediction model for a field based on hyperspectral images of an unmanned aerial vehicle, which can rapidly construct a tobacco yield prediction model while reducing the field sampling workload as much as possible, and the obtained model has high calculation accuracy. In order to realize the purpose, the invention adopts the technical scheme that: a field tobacco yield prediction method based on unmanned aerial vehicle hyperspectrum comprises the following steps: collecting and processing hyperspectral images of the unmanned aerial vehicle; collecting field fresh tobacco leaves and calculating the yield; extracting a characteristic spectrum curve; constructing a tobacco yield prediction model; verifying the accuracy of the predicted yield; estimating the yield of the field tobacco.
Another object of the present invention is to provide a method for calculating tobacco yield before tobacco harvesting, which can accurately calculate the tobacco yield. In order to realize the purpose, the invention adopts the technical scheme that: a tobacco yield calculation method comprises the following steps: selecting a research cell in a field, recording the area of the cell, and recording the number of tobacco plants in the cell, wherein the unit is mu; randomly selecting a plurality of tobacco plants in each cell, collecting the 4 th tobacco leaf, and counting and recording the effective leaf number of the collected tobacco plants; recording dry weight of the collected tobacco leaves after deactivation of enzymes and drying; collecting the dry weight of all tobacco leaves in each cell to calculate the average dry weight; calculating the average leaf number of the harvested tobacco plants in each cell; the average dry weight is multiplied by the average leaf number and is multiplied by the number of tobacco plants in the cell, and the cell yield is calculated; the cell yield is divided by the area to obtain the calculated yield of the cell, wherein the unit is kg/mu.
Compared with the prior art, the invention has the following technical effects: through a geometric fine correction process in hyperspectral preprocessing, spatial position attributes are added to a hyperspectral image, and image control points are added in a splicing process, so that the spatial positioning of a hyperspectral image is further improved, and the correctness of extracting a sample spectral curve is ensured; sensitive bands which have guiding significance for tobacco yield estimation are found out through a logarithmic first-order derivative transformation curve of the spectral reflectivity of the full bands of the original image, and the sensitive bands can be well used as the basis for tobacco yield prediction. The yield is calculated by using the weight of the fresh tobacco leaves of the 4 th topping period after the green removing and drying, so that the large-area damage to field tobacco is reduced as much as possible, the workload of field agricultural data acquisition is reduced, and the yield of tobacco plants can be calculated more accurately. In the process of spectral analysis and modeling, a model is established by using a multivariate linear stepwise regression method, and the method is simple, practical, strong in operability and high in precision, is suitable for non-professionals and managers to use, and is convenient to popularize and apply in a large range.

Claims (10)

1. A hyperspectral field tobacco yield prediction method based on an unmanned aerial vehicle is characterized by comprising the following steps:
acquiring field tobacco hyperspectral image data in real time through an unmanned aerial vehicle;
coordinate loading is carried out on the hyperspectral image data, and a corresponding original spectrum curve is extracted and processed;
obtaining a field sample yield estimation value, and constructing a field tobacco yield prediction model by combining a spectral characteristic curve according to the field sample yield estimation value;
and generating yield prediction data corresponding to the field tobacco.
2. The method for predicting tobacco yield of hyperspectral land based on the unmanned aerial vehicle according to claim 1, wherein the obtaining of hyperspectral image data of the land tobacco by the unmanned aerial vehicle in real time further comprises:
correcting the field tobacco hyperspectral image;
and acquiring field image control point data, and splicing the corrected hyperspectral image in real time according to the field image control point data.
3. The unmanned aerial vehicle-based hyperspectral field tobacco yield prediction method according to claim 2, wherein the correcting the field tobacco hyperspectral image further comprises:
preprocessing and correcting the distortion, the reflectivity and the atmosphere of the hyperspectral image lens;
and performing geometric fine correction on the preprocessed and corrected hyperspectral image.
4. The method for predicting tobacco yield of the hyperspectral land based on the unmanned aerial vehicle according to claim 1, wherein the coordinate loading is performed on the hyperspectral image data, and corresponding original spectral curves are extracted and processed, and the method further comprises the following steps:
acquiring four-corner coordinate data of a field sample, and drawing a sample area according to the four-corner coordinate data of the field sample;
and extracting an original spectrum curve of the sample area, and transforming the original spectrum curve by a logarithmic first derivative.
5. The unmanned aerial vehicle-based hyperspectral field tobacco yield prediction method according to claim 1, wherein the obtaining of the field sample yield estimation value and the building of the field tobacco yield prediction model according to the field sample yield estimation value and the combination of the spectral characteristic curve further comprises:
establishing at least one field sample research area, and acquiring the number of tobacco plants in the research area;
and acquiring dry weight data of sampled tobacco leaves in the tobacco plant quantity, and generating the yield estimation value of the field sample according to the dry weight data.
6. The unmanned aerial vehicle-based hyperspectral field tobacco yield prediction method according to claim 1 or 5, wherein the building of the field tobacco yield prediction model by combining a spectral characteristic curve according to the field sample yield estimation value further comprises:
analyzing the correlation of the spectral curves corresponding to the field sample side yield estimation value and the field sample side yield;
and generating waveband data of reaction yield change according to the analysis of the correlation.
7. The unmanned aerial vehicle-based hyperspectral field tobacco yield prediction method according to claim 1, wherein the generating yield prediction data corresponding to the field tobacco further comprises:
and verifying the field yield prediction data in real time according to the field sample side yield estimation value.
8. The unmanned aerial vehicle-based hyperspectral field tobacco yield prediction method according to claim 7, wherein the calculation formula involved in verifying the field yield prediction data in real time according to the field sample yield estimation value is as follows:
Figure 753201DEST_PATH_IMAGE001
(1)
Figure 98731DEST_PATH_IMAGE002
(2)
Figure 186773DEST_PATH_IMAGE003
(3)
wherein R is2To use correlation coefficients for the sample volume yield estimates and the yield predictions, RMSE is the root mean square error, MARE is the absolute value of the mean relative error,
Figure 984965DEST_PATH_IMAGE004
in order to predict the yield of the product,
Figure 449444DEST_PATH_IMAGE005
in order to measure the yield of the product,
Figure 383902DEST_PATH_IMAGE006
the average value of the measured yield is obtained.
9. The utility model provides a tobacco output prediction system in hyperspectral land for growing field crops based on unmanned aerial vehicle which characterized in that, the system specifically includes:
the acquisition unit is used for acquiring field tobacco hyperspectral image data in real time through an unmanned aerial vehicle;
the loading extraction unit is used for carrying out coordinate loading on the hyperspectral image data and extracting and processing a corresponding original spectrum curve;
the model construction unit is used for obtaining the yield estimation value of the field sample prescription and constructing a field tobacco yield prediction model by combining a spectral characteristic curve according to the yield estimation value of the field sample prescription;
and the generating unit is used for generating yield prediction data corresponding to the field tobacco.
10. The unmanned aerial vehicle-based hyperspectral land production prediction system of claim 9, wherein the obtaining unit further comprises:
the first correction module is used for correcting the field tobacco hyperspectral image;
the image splicing module is used for acquiring field image control point data and splicing the corrected hyperspectral image in real time according to the field image control point data;
the second correction module is used for carrying out pretreatment correction on the distortion, the reflectivity and the atmosphere of the hyperspectral image lens;
the third correction module is used for performing geometric fine correction on the preprocessed and corrected hyperspectral image;
the load extraction unit further includes:
the drawing module is used for acquiring the four-corner coordinate data of the field prototype and drawing the prototype area according to the four-corner coordinate data of the field prototype;
the transformation module is used for extracting an original spectrum curve of the sample area and transforming the original spectrum curve by a logarithmic first-order derivative;
the model building unit further comprises:
the method comprises the steps of establishing an acquisition module, wherein the acquisition module is used for establishing at least one field sample research area and acquiring the number of tobacco plants in the research area;
the yield estimation module is used for acquiring dry weight data of sampled tobacco leaves in the tobacco plant quantity and generating a yield estimation value of the field sample according to the dry weight data;
the analysis module is used for analyzing the correlation between the field sample side yield estimation value and a spectrum curve corresponding to the field sample side yield;
the first generation module is used for generating waveband data of reaction yield change according to the analysis of the correlation;
the generation unit further includes:
and the yield verification module is used for verifying the field yield prediction data in real time according to the field sample yield estimation value.
CN202011429022.1A2020-12-092020-12-09Hyperspectral field tobacco yield prediction method and system based on unmanned aerial vehiclePendingCN112697723A (en)

Priority Applications (1)

Application NumberPriority DateFiling DateTitle
CN202011429022.1ACN112697723A (en)2020-12-092020-12-09Hyperspectral field tobacco yield prediction method and system based on unmanned aerial vehicle

Applications Claiming Priority (1)

Application NumberPriority DateFiling DateTitle
CN202011429022.1ACN112697723A (en)2020-12-092020-12-09Hyperspectral field tobacco yield prediction method and system based on unmanned aerial vehicle

Publications (1)

Publication NumberPublication Date
CN112697723Atrue CN112697723A (en)2021-04-23

Family

ID=75505574

Family Applications (1)

Application NumberTitlePriority DateFiling Date
CN202011429022.1APendingCN112697723A (en)2020-12-092020-12-09Hyperspectral field tobacco yield prediction method and system based on unmanned aerial vehicle

Country Status (1)

CountryLink
CN (1)CN112697723A (en)

Cited By (3)

* Cited by examiner, † Cited by third party
Publication numberPriority datePublication dateAssigneeTitle
CN115131462A (en)*2022-07-082022-09-30南京农业大学 Drawing method of field crop yield map based on UAV images
CN115855870A (en)*2022-11-252023-03-28云南省烟草农业科学研究院Tobacco yield distribution map generation method based on hyperspectrum and leaf area index
CN119379468A (en)*2024-10-212025-01-28云南这里信息技术有限公司 Method, device, equipment and storage medium for estimating yield of large-area tobacco fields

Citations (6)

* Cited by examiner, † Cited by third party
Publication numberPriority datePublication dateAssigneeTitle
CN103185695A (en)*2013-03-192013-07-03华南农业大学Spectrum-based flue-cured tobacco maturity field quick judgment method
CN106290197A (en)*2016-09-062017-01-04西北农林科技大学The estimation of rice leaf total nitrogen content EO-1 hyperion and estimation models construction method
US20180035605A1 (en)*2016-08-082018-02-08The Climate CorporationEstimating nitrogen content using hyperspectral and multispectral images
CN108801934A (en)*2018-04-102018-11-13安徽师范大学A kind of modeling method of soil organic carbon EO-1 hyperion prediction model
US20200141877A1 (en)*2018-11-062020-05-07Nanjing Agricultural UniversityMethod for estimating aboveground biomass of rice based on multi-spectral images of unmanned aerial vehicle
CN111912793A (en)*2020-08-212020-11-10河南农业大学 Method for measuring cadmium content in tobacco by hyperspectral and establishment of prediction model

Patent Citations (6)

* Cited by examiner, † Cited by third party
Publication numberPriority datePublication dateAssigneeTitle
CN103185695A (en)*2013-03-192013-07-03华南农业大学Spectrum-based flue-cured tobacco maturity field quick judgment method
US20180035605A1 (en)*2016-08-082018-02-08The Climate CorporationEstimating nitrogen content using hyperspectral and multispectral images
CN106290197A (en)*2016-09-062017-01-04西北农林科技大学The estimation of rice leaf total nitrogen content EO-1 hyperion and estimation models construction method
CN108801934A (en)*2018-04-102018-11-13安徽师范大学A kind of modeling method of soil organic carbon EO-1 hyperion prediction model
US20200141877A1 (en)*2018-11-062020-05-07Nanjing Agricultural UniversityMethod for estimating aboveground biomass of rice based on multi-spectral images of unmanned aerial vehicle
CN111912793A (en)*2020-08-212020-11-10河南农业大学 Method for measuring cadmium content in tobacco by hyperspectral and establishment of prediction model

Non-Patent Citations (2)

* Cited by examiner, † Cited by third party
Title
吕小艳;竞霞;薛琳;徐海清;张超;黄健熙;: "遥感技术在烟草长势监测及估产中的应用进展", 中国农学通报, no. 25, pages 143 - 147*
吴秋菊等: ""云南高原特色农业烟草高光谱参数与多种生理生化指标的关系"", 《江苏农业科学》, vol. 46, no. 7, pages 230 - 234*

Cited By (4)

* Cited by examiner, † Cited by third party
Publication numberPriority datePublication dateAssigneeTitle
CN115131462A (en)*2022-07-082022-09-30南京农业大学 Drawing method of field crop yield map based on UAV images
CN115855870A (en)*2022-11-252023-03-28云南省烟草农业科学研究院Tobacco yield distribution map generation method based on hyperspectrum and leaf area index
CN119379468A (en)*2024-10-212025-01-28云南这里信息技术有限公司 Method, device, equipment and storage medium for estimating yield of large-area tobacco fields
CN119379468B (en)*2024-10-212025-06-13云南这里信息技术有限公司 Method, device, equipment and storage medium for estimating yield of large-area tobacco fields

Similar Documents

PublicationPublication DateTitle
CN110414738B (en)Crop yield prediction method and system
CN114202675A (en)Crop growth parameter determination method and system based on multispectral remote sensing image of unmanned aerial vehicle
CN112697723A (en)Hyperspectral field tobacco yield prediction method and system based on unmanned aerial vehicle
CN115049902B (en) Method, system, device and storage medium for visual prediction of water content in citrus leaves
CN114140695B (en)Prediction method and system for tea tree nitrogen diagnosis and quality index determination based on unmanned aerial vehicle multispectral remote sensing
CN115271991B (en)Estimation method and device for net primary productivity of crops
CN114219847B (en)Method and system for determining crop planting area based on phenological characteristics and storage medium
CN115015258B (en)Crop growth vigor and soil moisture association determination method and related device
CN111751376A (en) A method for estimating nitrogen nutrition in rice based on canopy image features
CN113030903B (en) A Retrieval Method of Sex Carex Nutrient Level Based on UAV Hyperspectral and LiDAR
CN118736448A (en) A fine inversion method for wheat LAI by integrating UAV and satellite optical remote sensing vegetation index sets
CN118583788B (en)Crop growth monitoring method, system, medium and equipment based on time sequence
CN115329681A (en) Remote sensing inversion method of vegetation canopy water content based on radiative transfer model
CN114219795A (en)Hyperspectral imaging system-based tea tree drought induction component and drought degree assessment prediction method and system
CN112697726A (en)Hyperspectral field tobacco nicotine content prediction method and system based on unmanned aerial vehicle
CN118982769A (en) Screening method and system for remote sensing monitoring indicators of crop growth parameters
CN113256733A (en)Camera spectral sensitivity reconstruction method based on confidence voting convolutional neural network
CN120124012A (en) Forest tree height inversion method and system based on multi-source remote sensing data and Unet network
CN119151755B (en) Method, device and equipment for determining the health status of vegetation
JP2023007457A (en)Chlorophyll amount learning estimation system, chlorophyll amount estimation model generation system, chlorophyll amount estimation system, chlorophyll amount estimation method, and computer program
CN118010648B (en) A multispectral diagnosis method for nitrogen nutrition of rice and wheat for precision fertilization using drones
CN113435574A (en)Convolutional neural network soil quick-acting potassium analysis model construction system and method
CN117456367A (en)Crop planting area identification method, device, equipment and storage medium
CN112699732A (en) A method and system for predicting total nitrogen content of tobacco leaves in field based on UAV hyperspectral
CN112697725A (en)Method and system for predicting total sugar content of tobacco leaves in field based on hyperspectrum of unmanned aerial vehicle

Legal Events

DateCodeTitleDescription
PB01Publication
PB01Publication
SE01Entry into force of request for substantive examination
SE01Entry into force of request for substantive examination
RJ01Rejection of invention patent application after publication
RJ01Rejection of invention patent application after publication

Application publication date:20210423


[8]ページ先頭

©2009-2025 Movatter.jp