Movatterモバイル変換


[0]ホーム

URL:


CN112697197A - GIS (geographic information System) and BIM (building information modeling) fusion technology based porous flood gate visual management system and method - Google Patents

GIS (geographic information System) and BIM (building information modeling) fusion technology based porous flood gate visual management system and method
Download PDF

Info

Publication number
CN112697197A
CN112697197ACN202011422690.1ACN202011422690ACN112697197ACN 112697197 ACN112697197 ACN 112697197ACN 202011422690 ACN202011422690 ACN 202011422690ACN 112697197 ACN112697197 ACN 112697197A
Authority
CN
China
Prior art keywords
flood
data
module
model
gate
Prior art date
Legal status (The legal status is an assumption and is not a legal conclusion. Google has not performed a legal analysis and makes no representation as to the accuracy of the status listed.)
Pending
Application number
CN202011422690.1A
Other languages
Chinese (zh)
Inventor
常仁凯
曹明
蒋厚祥
陈腊武
丁育才
彭良军
Current Assignee (The listed assignees may be inaccurate. Google has not performed a legal analysis and makes no representation or warranty as to the accuracy of the list.)
China Water Sunny Data Technology Co ltd
Original Assignee
China Water Sunny Data Technology Co ltd
Priority date (The priority date is an assumption and is not a legal conclusion. Google has not performed a legal analysis and makes no representation as to the accuracy of the date listed.)
Filing date
Publication date
Application filed by China Water Sunny Data Technology Co ltdfiledCriticalChina Water Sunny Data Technology Co ltd
Priority to CN202011422690.1ApriorityCriticalpatent/CN112697197A/en
Publication of CN112697197ApublicationCriticalpatent/CN112697197A/en
Pendinglegal-statusCriticalCurrent

Links

Images

Classifications

Landscapes

Abstract

The invention discloses a visual management system and a visual management method for a porous flood gate based on a GIS and BIM fusion technology, which comprises a model visualization module, a model selection module and a model management module, wherein the model visualization module is used for establishing a three-dimensional GIS model and a BIM building model according to data information of flood control engineering for visual display; the model visualization module comprises a database and is connected with the database sensor module. The early warning disposal module is used for sending out early warning disposal information according to the bearing capacity data such as water level, water quantity and the like of the flood control project and feeding back the early warning disposal information to the model visualization module; the gate control module is used for managing the opening of a gate according to the water flow data of the flood control project fed back by the early warning disposal model; and the evaluation analysis module is used for collecting data, analyzing the data through a construction algorithm and feeding back to the model visualization module. The invention simulates the work of the flood gate when the flood peak comes, monitors the opening of the gate and the water level condition of the water surface water quantity, and shows the high-level decision and the safety management efficiency of the flood control of the porous flood gate from three-dimensional visualization.

Description

GIS (geographic information System) and BIM (building information modeling) fusion technology based porous flood gate visual management system and method
Technical Field
The invention relates to the technical field of visual management of a porous flood gate, in particular to a visual management system and a visual management method of the porous flood gate based on a GIS and BIM fusion technology.
Background
Along with the continuous popularization and deepening of the applications of global informatization wave and smart city, three-dimensional GIS technology, BIM technology, Internet of things technology and the like, more users put urgent demands on more intuitive and more detailed engineering informatization. Water conservancy work is gradually approaching to informatization, digitization and intellectualization. Technologies applied in the digital system comprise a three-dimensional GIS technology, a BIM technology and a safety monitoring and early warning function established by the Internet of things technology, and methods of the technologies are promoted to be developed, but the GIS + BIM-based porous flood gate visualization application method is few, and a GIS + BIM-based high-level decision and management visualization application method for porous flood gate monitoring is not formed.
The defects of the prior art are that the traditional porous flood gate system is not visual and visual in operation monitoring, cannot realize visual display of multiple scenes, affects advanced decision and safety management efficiency of real-time monitoring, and cannot timely warn various abnormal conditions.
Disclosure of Invention
The invention aims to overcome the defects in the prior art, and in order to realize the purpose, a visual management system and a visual management method for a porous flood gate based on a GIS and BIM fusion technology are adopted to solve the problems in the background technology.
A visual management system of porous flood control floodgate based on GIS and BIM fuses technique includes:
the model visualization module is used for establishing a three-dimensional GIS model and a BIM building model according to the data information of the flood control project for visualization display;
the early warning disposal module is used for sending out early warning disposal information according to the bearing capacity data such as water level, water quantity and the like of the flood control project and feeding back the early warning disposal information to the model visualization module;
the gate control module is used for managing the opening of a gate according to the water flow data of the flood control project fed back by the early warning disposal model;
and the evaluation analysis module is used for collecting data, analyzing the data through a construction algorithm and feeding back to the model visualization module.
As a further aspect of the invention: the model visualization module comprises a database for storing data and a sensor module which is connected with the database and used for acquiring the water level and water quantity data.
As a further aspect of the invention: the sensor module adopts a water level detector, a water flow detector, a remote sensing detector, a rainwater meter and a flood gate monitor.
As a further aspect of the invention: the early warning processing module is connected with an information monitoring module used for monitoring water level and water flow data of a flood control project, and the information monitoring module is connected to the sensor module.
A management method of a multi-hole flood gate visual management system based on GIS and BIM fusion technology comprises the following specific steps:
s1, collecting terrain data through a model visualization module, and acquiring and establishing a terrain three-dimensional GIS model and a flood gate BIM model;
s2, setting monitoring points and acquiring monitoring data, transmitting the monitoring data to a database through a network for storage, and simultaneously carrying out real-time dynamic monitoring and analysis on the monitoring data and carrying out early warning treatment and release;
s3, establishing a terrain model of a flood storage and stagnation area, constructing an analysis algorithm, monitoring the water quantity and water level condition of the water surface in the flood control area in real time, receiving early warning, disposing and issuing information and simulating a flood discharge working scene of the porous flood gate, and realizing three-dimensional visual display of the flood control and discharge working scene;
and S4, performing superposition analysis on the submerging range analysis result of the stagnant flood area and the socioeconomic data of the stagnant flood area, performing statistical analysis on the disaster area and the loss condition, and feeding back the disaster area and the loss condition.
As a further aspect of the invention: the specific steps of step S2 include:
monitoring data are collected and uploaded to a database in real time through the internet of things and the internet technology by setting monitoring points, monitoring information associates flood gate operation monitoring data information with a BIM building model through the database and the component codes, and the collection of the monitoring information is completed.
As a further aspect of the invention: the specific steps of step S3 include:
the early warning processing module is used for issuing information to realize decision making and manage the gate opening, and simulating the porous flood control gate opening and a flood discharge working scene;
and the sensor module is used for monitoring the brake-passing flow, the disaster assessment module is called, and the early warning and submerging range is early warned to carry out three-dimensional visual display.
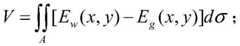
As a further aspect of the invention: the calculation formula of the inundation range analysis result of the impounded flooding area is as follows:
Figure BDA0002823191930000031
wherein V is the volume of the water body in the submerged area; a is a flood submerging area; (x, y) is epsilon A; d is a unit area infinitesimal of the submerged area; ew(X, Y) is flood level elevation per unit area; eg(X, Y) is the ground elevation per unit area.
As a further aspect of the invention: the specific steps of step S4 include:
performing superposition comprehensive analysis and processing on the submerging range analysis result of the stagnant flood area, the land utilization data, the administrative division data and the social and economic data of the stagnant flood area;
and (4) carrying out statistical analysis on the result data to obtain the total direct economic loss of various assets, and finally carrying out statistical calculation on the total direct economic loss in the whole flood inundation area to realize the evaluation on the flood disaster loss.
As a further aspect of the invention: the loss value calculation formula of various properties after flood is as follows:
Figure BDA0002823191930000032
wherein, CzFor direct economic loss, n is the number of property types, m is the number of divisions according to the economic development level, WijFor the ith class financial value, eta, in the jth economic zoneijThe loss rate of the ith property in the jth economic partition.
Compared with the prior art, by adopting the technical scheme, the invention has the following technical effects:
the system is characterized by comprising a model visualization module, an early warning treatment module, a gate control module and an evaluation analysis module. The hierarchical switching of the small scene and the refined BIM model can be realized, and the running three-dimensional panoramic display of the porous flood gate can be realized. The early warning processing module can perform early warning processing on abnormal conditions in time when the monitoring point data exceeds early warning values set according to various indexes of bearing capacity such as water level, water quantity and the like of a river and lake reservoir, the early warning processing module determines early warning levels, examines and approves processes, issues early warning bulletins and the like, and information issuing realizes timely issuing of various warning information, notification bulletins and the like. The gate control module is used for controlling and managing the gate opening, the evaluation analysis module is used for analyzing and calculating the flood submerging area, the flood storage capacity, the submerging depth and the like, and the disaster area and the loss condition are statistically analyzed.
Drawings
The following detailed description of embodiments of the invention refers to the accompanying drawings in which:
fig. 1 is a schematic structural diagram of a multi-hole flood gate visualization management system according to some embodiments of the present disclosure;
fig. 2 is a block flow diagram of a method of a multi-hole flood gate visualization management system according to some embodiments of the present disclosure.
In the figure: 1. a model visualization module; 2. an early warning handling module; 3. a gate control module; 4. and an evaluation analysis module.
Detailed Description
The technical solutions in the embodiments of the present invention will be clearly and completely described below with reference to the drawings in the embodiments of the present invention, and it is obvious that the described embodiments are only a part of the embodiments of the present invention, and not all of the embodiments. All other embodiments, which can be derived by a person skilled in the art from the embodiments given herein without making any creative effort, shall fall within the protection scope of the present invention.
Referring to fig. 1, in an embodiment of the present invention, a visual management system for a multi-hole flood gate based on a GIS and BIM fusion technology includes amodel visualization module 1, an earlywarning handling module 2, agate control module 3, and an evaluation and analysis module 4.
Themodel visualization module 1 is used for establishing a three-dimensional GIS model and a BIM building model according to data information of flood control engineering for visualization display; themodel visualization module 1 is generally divided into three levels, namely a large scene, a small scene and a refined model. The large scene is realized through a three-dimensional GIS scene, the data of the three-dimensional GIS scene comprises high-resolution remote sensing image data and topographic data in an engineering range, and the three-dimensional GIS scene is constructed by fusing the high-resolution remote sensing image data and the topographic data through a Cesium three-dimensional engine; the small scene is realized by constructing a 3D max model of the flood gate, and the external structure of the flood gate engineering structure is constructed by utilizing 3D max three-dimensional modeling software; the refinement model refers to a flood gate BIM model, each component of the flood gate is set into a 'family' by using revit modeling software according to modeling rules, and the flood gate BIM model is created according to design. The factors such as the loading speed and the data carrying capacity of the model are considered, seamless transition can be achieved between the large scene and the small scene through fusion and release of the three-dimensional GIS and the 3D Max model, the BIM model is released independently, the small scene and the refined BIM model are switched in a hierarchy mode through clicking the small scene model, and the porous flood gate operation three-dimensional panoramic display is achieved.
The earlywarning processing module 2 is used for sending out early warning processing information according to the bearing capacity data such as water level, water quantity and the like of the flood control project and feeding back the early warning processing information to themodel visualization module 1; the earlywarning processing module 2 further comprises functions of monitoring information management, early warning processing management and the like. The monitoring information management system comprises monitoring points, real-time monitoring and monitoring data analysis, monitoring data of the monitoring points are uploaded to a database storage center through the Internet of things and the Internet technology in real time, monitoring information associates flood gate operation monitoring data information with a BIM building model through the database and component coding, the summary set of the monitoring information is completed, the monitoring information is conveniently called and checked through the model in real time, and visual analysis and processing of the data are facilitated. The monitoring data analysis can carry out real-time dynamic monitoring and analysis on monitoring data collected by instruments arranged on the gate body, when the monitoring data exceeds early warning values set according to various indexes of bearing capacity such as water level, water quantity and the like of a river and lake reservoir, timely early warning treatment is carried out on abnormal conditions, the early warning treatment comprises determination of early warning levels, process approval, issuing of early warning bulletins and the like, and information issuing realizes timely issuing of various kinds of warning information, notice bulletins and the like.
Thegate control module 3 is used for managing the opening of a gate according to the water flow data of the flood control project fed back by the earlywarning treatment module 2; meanwhile, the earlywarning disposal module 2 can release information to realize decision making and manage the gate opening, simulate a porous flood gate flood control working scene, and realize three-dimensional visualization of the flood control working scene.
And the evaluation analysis module 4 is used for collecting data, analyzing the data through a construction algorithm and feeding back the data to themodel visualization module 1. The evaluation analysis module 4 sets the flood submerging water level and selects grid units with elevations lower than the flood water level by determining grid units where model flood sources are located; and starting from the determined flood source grid units, the grid connectivity calculation analysis is realized, and all grid units which can be communicated together form a flood submerging range. The method is used for simulating a multi-hole flood gate flood-control working scene in a visualization platform, monitoring and displaying the water level situation of the water surface in the flood-control area range in real time, and realizing three-dimensional visualization of the flood-control working scene. And meanwhile, overlapping analysis is carried out on the submerging range analysis result and social and economic data of the impounded and stagnant flood area, and the disaster area and the loss condition are counted and analyzed.
In some specific embodiments, themodel visualization module 1 includes a database for data storage, and a sensor module connected to the database for data acquisition of the water level and the water amount. The sensor module adopts a water level detector, a water flow detector, a remote sensing detector, a rainwater meter and a flood gate monitor. The method is used for distributing and collecting data information in the target area.
In some specific embodiments, the earlywarning handling module 2 is connected to an information monitoring module for monitoring water level and water flow data of a flood protection project, and the information monitoring module is connected to the sensor module.
A management method of a multi-hole flood gate visual management system based on GIS and BIM fusion technology comprises the following specific steps:
s1, collecting terrain data through a model visualization module, and acquiring and establishing a terrain three-dimensional GIS model and a flood gate BIM model;
s2, setting monitoring points and acquiring monitoring data, transmitting the monitoring data to a database through a network for storage, simultaneously carrying out real-time dynamic monitoring and analysis on the monitoring data, and carrying out early warning, disposal and release, wherein the concrete steps comprise:
monitoring data are collected and uploaded to a database in real time through the internet of things and the internet technology by setting monitoring points, monitoring information associates flood gate operation monitoring data information with a BIM building model through the database and the component codes, and the collection of the monitoring information is completed.
S3, establishing a terrain model of a flood storage and stagnation area, constructing an analysis algorithm, monitoring the water quantity and water level condition of the water surface in the flood control area range in real time, receiving early warning, disposing and issuing information and simulating a flood discharge working scene of a porous flood gate, and realizing the specific steps of three-dimensional visual display of the flood control and discharge working scene, wherein the steps comprise:
the early warning processing module is used for issuing information to realize decision making and manage the gate opening, and simulating the porous flood control gate opening and a flood discharge working scene;
and the sensor module is used for monitoring the brake-passing flow, the disaster assessment module is called, and the early warning and submerging range is early warned to carry out three-dimensional visual display.
S4, performing superposition analysis on the submerging range analysis result of the stagnant flood area and the socioeconomic data of the stagnant flood area, and performing statistical analysis on the disaster area and the loss condition and feedback, wherein the concrete steps comprise:
performing superposition comprehensive analysis and processing on the submerging range analysis result of the stagnant flood area, the land utilization data, the administrative division data and the social and economic data of the stagnant flood area;
and (4) carrying out statistical analysis on the result data to obtain the total direct economic loss of various assets, and finally carrying out statistical calculation on the total direct economic loss in the whole flood inundation area to realize the evaluation on the flood disaster loss.
In some specific embodiments, the calculation formula of the inundation range analysis result of the impoundment flooding area is as follows:
Figure BDA0002823191930000061
wherein V is the volume of the water body in the submerged area; a is a flood submerging area; (x, y) is epsilon A; d is a unit area infinitesimal of the submerged area; ew(X, Y) is flood level elevation per unit area; eg(X, Y) is the ground elevation per unit area.
And aiming at the model of the regular grid, the water surface area of the submerged area is the area of the submerged rectangular grid. The above equation can be simplified as:
Figure BDA0002823191930000071
wherein D isXFor spacing the grid x, DYThe grids are spaced at y intervals, and N is the number of the submerged rectangular grids.
In some specific embodiments, the calculation formula of the loss values of the various types of properties after flooding is as follows:
Figure BDA0002823191930000072
wherein, CzTo direct economic damageN is the number of property types, m is the number of divisions according to the economic development level, WijFor the ith class financial value, eta, in the jth economic zoneijThe loss rate of the ith property in the jth economic partition. The flood loss rate is the ratio of the flood loss value of various disaster-bearing bodies to the original or due value of the flood-bearing bodies before the flood or in the normal year, and is a relative index for describing the direct economic loss of the flood. And determining the classified flood loss rate by surveying and calculating or according to historical experience according to the flood risk level and the submerging duration by taking the submerging water depth as an index of the flood risk level.
And determining the classification loss rate and the loss value of each grid unit asset under the flooding condition, gradually stacking upwards to obtain the total direct economic loss of various assets in each village, village (town) and county, and finally counting and calculating the total direct economic loss in the whole flood flooding area to realize the evaluation of the flood disaster loss.
Although embodiments of the present invention have been shown and described, it will be appreciated by those skilled in the art that changes, modifications, substitutions and alterations can be made in these embodiments without departing from the principles and spirit of the invention, the scope of which is defined in the appended claims and their equivalents, which should be construed as being within the scope of the invention.

Claims (10)

1. The utility model provides a visual management system of porous flood control floodgate based on GIS and BIM fuse technique which characterized in that includes:
the model visualization module (1) is used for establishing a three-dimensional GIS model and a BIM building model according to data information of flood control engineering for visualization display;
the early warning disposal module (2) is used for sending out early warning disposal information according to the bearing capacity data such as water level, water quantity and the like of the flood control project and feeding back the early warning disposal information to the model visualization module;
the gate control module (3) is used for managing the opening of a gate according to the water flow data of the flood control project fed back by the early warning disposal model;
and the evaluation analysis module (4) is used for collecting data, analyzing the data through a construction algorithm and feeding back the data to the model visualization module.
2. The visual management system for the multihole flood gate based on the GIS and BIM fusion technology as claimed in claim 1, wherein the model visualization module comprises a database for data storage, and a sensor module connected to the database for data collection of water level and water amount.
3. The visual management system of a porous flood gate based on GIS and BIM fusion technology of claim 2, wherein the sensor module adopts a water level detector, a water flow detector, a remote sensing detector, a rainwater meter and a flood gate monitor.
4. The visual management system for the multi-hole flood gate based on the GIS and the BIM fusion technology as claimed in claim 1 or 3, wherein the early warning processing module is connected with an information monitoring module for monitoring water level and water flow data of flood protection engineering, and the information monitoring module is connected with the sensor module.
5. A management method comprising the visual management system for the multi-hole flood gate based on the GIS and BIM fusion technology as claimed in claims 1 to 4, characterized by comprising the following specific steps:
s1, collecting terrain data through a model visualization module, and acquiring and establishing a terrain three-dimensional GIS model and a flood gate BIM model;
s2, setting monitoring points and acquiring monitoring data, transmitting the monitoring data to a database through a network for storage, and simultaneously carrying out real-time dynamic monitoring and analysis on the monitoring data and carrying out early warning treatment and release;
s3, establishing a terrain model of a flood storage and stagnation area, constructing an analysis algorithm, monitoring the water quantity and water level condition of the water surface in the flood control area in real time, receiving early warning, disposing and issuing information and simulating a flood discharge working scene of the porous flood gate, and realizing three-dimensional visual display of the flood control and discharge working scene;
and S4, performing superposition analysis on the submerging range analysis result of the stagnant flood area and the socioeconomic data of the stagnant flood area, performing statistical analysis on the disaster area and the loss condition, and feeding back the disaster area and the loss condition.
6. The method for managing the visual management system of the multi-hole flood gate based on the GIS and BIM fusion technology according to claim 5, wherein the specific steps of the step S2 include:
monitoring data are collected and uploaded to a database in real time through the internet of things and the internet technology by setting monitoring points, monitoring information associates flood gate operation monitoring data information with a BIM building model through the database and the component codes, and the collection of the monitoring information is completed.
7. The method for managing the visual management system of the multi-hole flood gate based on the GIS and BIM fusion technology according to claim 5, wherein the specific steps of the step S3 include:
the early warning processing module is used for issuing information to realize decision making and manage the gate opening, and simulating the porous flood control gate opening and a flood discharge working scene;
and the sensor module is used for monitoring the brake-passing flow, the disaster assessment module is called, and the early warning and submerging range is early warned to carry out three-dimensional visual display.
8. The management method of the visual management system for the multi-hole flood gate based on the GIS and the BIM fusion technology as claimed in claim 5, wherein the calculation formula of the analysis result of the flooding range of the impounded flood area is as follows:
Figure FDA0002823191920000021
wherein V is the volume of the water body in the submerged area; a is a flood submerging area; (x, y) is epsilon A; d is a unit area infinitesimal of the submerged area; ew(X, Y) is flood level elevation per unit area; eg(X, Y) is the ground elevation per unit area.
9. The method for managing the multi-hole flood gate visualization management system based on the GIS and BIM fusion technology according to claim 5 or 8, wherein the specific steps of the step S4 include:
performing superposition comprehensive analysis and processing on the submerging range analysis result of the stagnant flood area, the land utilization data, the administrative division data and the social and economic data of the stagnant flood area;
and (4) carrying out statistical analysis on the result data to obtain the total direct economic loss of various assets, and finally carrying out statistical calculation on the total direct economic loss in the whole flood inundation area to realize the evaluation on the flood disaster loss.
10. The management method of the visual management system for the multi-hole flood gate based on the GIS and the BIM fusion technology as claimed in claim 9, wherein the calculation formula of the loss values of the various properties after flood is as follows:
Figure FDA0002823191920000031
wherein, CzFor direct economic loss, n is the number of property types, m is the number of divisions according to the economic development level, WijFor the ith class financial value, eta, in the jth economic zoneijThe loss rate of the ith property in the jth economic partition.
CN202011422690.1A2020-12-082020-12-08GIS (geographic information System) and BIM (building information modeling) fusion technology based porous flood gate visual management system and methodPendingCN112697197A (en)

Priority Applications (1)

Application NumberPriority DateFiling DateTitle
CN202011422690.1ACN112697197A (en)2020-12-082020-12-08GIS (geographic information System) and BIM (building information modeling) fusion technology based porous flood gate visual management system and method

Applications Claiming Priority (1)

Application NumberPriority DateFiling DateTitle
CN202011422690.1ACN112697197A (en)2020-12-082020-12-08GIS (geographic information System) and BIM (building information modeling) fusion technology based porous flood gate visual management system and method

Publications (1)

Publication NumberPublication Date
CN112697197Atrue CN112697197A (en)2021-04-23

Family

ID=75506954

Family Applications (1)

Application NumberTitlePriority DateFiling Date
CN202011422690.1APendingCN112697197A (en)2020-12-082020-12-08GIS (geographic information System) and BIM (building information modeling) fusion technology based porous flood gate visual management system and method

Country Status (1)

CountryLink
CN (1)CN112697197A (en)

Cited By (9)

* Cited by examiner, † Cited by third party
Publication numberPriority datePublication dateAssigneeTitle
CN113570275A (en)*2021-08-042021-10-29江西武大扬帆科技有限公司Water resource real-time monitoring system based on BIM and digital elevation model
CN113608470A (en)*2021-08-042021-11-05苏州思萃融合基建技术研究所有限公司Rainwater flood control pump station state monitoring method and device based on BIM information platform
CN114049445A (en)*2021-10-082022-02-15广州珠矶科技有限公司Unmanned aerial vehicle and BIM residential area waterlogging distribution visualization method, device and medium
CN114281113A (en)*2021-11-182022-04-05南方电网调峰调频发电有限公司Method and system for constructing intelligent operation information model of hydroelectric equipment
CN114737515A (en)*2022-04-252022-07-12北京中瀚环球真空流体科技有限责任公司Siphon emergency flood discharge intelligent response system and method
CN114971984A (en)*2022-05-252022-08-30国网河北省电力有限公司信息通信分公司Intelligent flood prevention early warning method for power grid equipment based on multidimensional data
CN116719241A (en)*2023-08-112023-09-08山东圣瑞信息技术有限公司Automatic control method for informationized intelligent gate based on 3D visualization technology
CN116775930A (en)*2023-06-142023-09-19广州图石科技有限公司BIM+GIS-based data combination and visual display method and system
CN117236791A (en)*2023-11-102023-12-15山东汇颐信息技术有限公司Water conservancy real-time monitoring method and system based on GIS and BIM three-dimensional technology

Citations (12)

* Cited by examiner, † Cited by third party
Publication numberPriority datePublication dateAssigneeTitle
US20030117652A1 (en)*1999-09-172003-06-26Paul LapstunRotationally symmetric tags
CN102426672A (en)*2011-07-292012-04-25广西电网公司电力科学研究院Flood inundation analysis and early warning system for power transmission facilities
CN107330636A (en)*2017-07-252017-11-07成都宗升智能科技有限公司Engineering construction risk source based on 3DGIS+BIM technologies is monitored and artificial intelligence Forecasting Methodology in real time
CN207008360U (en)*2017-07-262018-02-13南京信息工程大学A kind of power station supervising platform system based on three-dimensional visualization technique
CN110471385A (en)*2019-08-272019-11-19上海高诚智能科技有限公司Wisdom pumps lock control system
CN110750864A (en)*2019-09-182020-02-04西安理工大学Dam break flood demonstration early warning method and platform based on BIM technology
CN110781549A (en)*2019-11-062020-02-11中水三立数据技术股份有限公司Panoramic roaming inspection method and system for pump station
CN110827404A (en)*2019-11-072020-02-21中水三立数据技术股份有限公司Panoramic monitoring and early warning system and method for pump station
CN110956412A (en)*2019-12-162020-04-03珠江水利委员会珠江水利科学研究院Flood dynamic assessment method, device, medium and equipment based on real-scene model
CN110991822A (en)*2019-11-182020-04-10天津大学 A 3D Hydrodynamic Numerical Simulation Method Based on Oblique Image Modeling
CN111178758A (en)*2019-12-302020-05-19河海大学Concrete dam monitoring data intelligent management and real-time evaluation system based on BIM
CN211015117U (en)*2019-09-232020-07-14中国市政工程中南设计研究总院有限公司 A smart pipe network system based on BIM+GIS

Patent Citations (12)

* Cited by examiner, † Cited by third party
Publication numberPriority datePublication dateAssigneeTitle
US20030117652A1 (en)*1999-09-172003-06-26Paul LapstunRotationally symmetric tags
CN102426672A (en)*2011-07-292012-04-25广西电网公司电力科学研究院Flood inundation analysis and early warning system for power transmission facilities
CN107330636A (en)*2017-07-252017-11-07成都宗升智能科技有限公司Engineering construction risk source based on 3DGIS+BIM technologies is monitored and artificial intelligence Forecasting Methodology in real time
CN207008360U (en)*2017-07-262018-02-13南京信息工程大学A kind of power station supervising platform system based on three-dimensional visualization technique
CN110471385A (en)*2019-08-272019-11-19上海高诚智能科技有限公司Wisdom pumps lock control system
CN110750864A (en)*2019-09-182020-02-04西安理工大学Dam break flood demonstration early warning method and platform based on BIM technology
CN211015117U (en)*2019-09-232020-07-14中国市政工程中南设计研究总院有限公司 A smart pipe network system based on BIM+GIS
CN110781549A (en)*2019-11-062020-02-11中水三立数据技术股份有限公司Panoramic roaming inspection method and system for pump station
CN110827404A (en)*2019-11-072020-02-21中水三立数据技术股份有限公司Panoramic monitoring and early warning system and method for pump station
CN110991822A (en)*2019-11-182020-04-10天津大学 A 3D Hydrodynamic Numerical Simulation Method Based on Oblique Image Modeling
CN110956412A (en)*2019-12-162020-04-03珠江水利委员会珠江水利科学研究院Flood dynamic assessment method, device, medium and equipment based on real-scene model
CN111178758A (en)*2019-12-302020-05-19河海大学Concrete dam monitoring data intelligent management and real-time evaluation system based on BIM

Non-Patent Citations (2)

* Cited by examiner, † Cited by third party
Title
撒文奇等: "基于BIM+GIS 的水闸安全监控与预警处置系统研发", 《水利水电技术》*
杨铁树: "感知+物联+CIM防洪堤坝综合监控管理系统设计", 《水科学与工程技术》*

Cited By (12)

* Cited by examiner, † Cited by third party
Publication numberPriority datePublication dateAssigneeTitle
CN113570275A (en)*2021-08-042021-10-29江西武大扬帆科技有限公司Water resource real-time monitoring system based on BIM and digital elevation model
CN113608470A (en)*2021-08-042021-11-05苏州思萃融合基建技术研究所有限公司Rainwater flood control pump station state monitoring method and device based on BIM information platform
CN114049445A (en)*2021-10-082022-02-15广州珠矶科技有限公司Unmanned aerial vehicle and BIM residential area waterlogging distribution visualization method, device and medium
CN114281113A (en)*2021-11-182022-04-05南方电网调峰调频发电有限公司Method and system for constructing intelligent operation information model of hydroelectric equipment
CN114281113B (en)*2021-11-182023-12-19南方电网调峰调频发电有限公司Construction method and system of intelligent operation information model of hydroelectric equipment
CN114737515A (en)*2022-04-252022-07-12北京中瀚环球真空流体科技有限责任公司Siphon emergency flood discharge intelligent response system and method
CN114971984A (en)*2022-05-252022-08-30国网河北省电力有限公司信息通信分公司Intelligent flood prevention early warning method for power grid equipment based on multidimensional data
CN116775930A (en)*2023-06-142023-09-19广州图石科技有限公司BIM+GIS-based data combination and visual display method and system
CN116775930B (en)*2023-06-142024-03-08广州图石科技有限公司BIM+GIS-based data combination and visual display method and system
CN116719241A (en)*2023-08-112023-09-08山东圣瑞信息技术有限公司Automatic control method for informationized intelligent gate based on 3D visualization technology
CN117236791A (en)*2023-11-102023-12-15山东汇颐信息技术有限公司Water conservancy real-time monitoring method and system based on GIS and BIM three-dimensional technology
CN117236791B (en)*2023-11-102024-03-08山东汇颐信息技术有限公司Water conservancy real-time monitoring method and system based on GIS and BIM three-dimensional technology

Similar Documents

PublicationPublication DateTitle
CN112697197A (en)GIS (geographic information System) and BIM (building information modeling) fusion technology based porous flood gate visual management system and method
CN114240119A (en)Digital twin-based flood control and waterlogging prevention system and early warning method for whole elements of territorial universe
CN113434565A (en)Water conservancy flood control drought and waterlogging prevention comprehensive disaster reduction platform system based on CIM platform
CN117371233A (en)Reservoir flood control system based on UE technique
CN110992653A (en)Urban waterlogging early warning system and method
CN115388949A (en) An Intelligent Reservoir Monitoring and Management System
CN112712674A (en)Urban waterlogging early warning method based on informatization technology
CN111724033A (en) A Flood Disaster Risk Assessment and Fine Zoning Method Based on Random Set Theory
CN112711840B (en)Watershed sudden water pollution tracing method based on cloud edge cooperation
JP2005128838A (en)Simplified system for analyzing flood
CN109933637B (en)Flood risk dynamic display and analysis system
CN118822469B (en) Yunyuan Intelligent Water Conservancy Project Standardized Management Platform
CN114238543A (en)Drainage pipe network geographic information system
CN117275188A (en)Mountain torrent disaster monitoring and early warning system and mountain torrent disaster monitoring and early warning method
KR102642540B1 (en)Methodo of providing smart city safety service and server performing the same
CN117852449B (en)Fine ponding treatment method based on large-scale city rainstorm waterlogging model
CN116307691A (en)Risk assessment method and device for hydrologic disaster condition and electronic equipment
CN116882741A (en)Method for dynamically and quantitatively evaluating super-standard flood disasters
CN118862742A (en) Optimization method and platform for flood control measures effect evaluation based on simulation
CN116186973A (en)Flood disaster defense deduction method, system, terminal and storage medium
CN119886624A (en)Urban water system flood control combined dispatching command system based on digital twin technology
CN113077080A (en)Wisdom hydrology analysis application system
Yang et al.Development and application of 3D visualization platform for flood evolution in Le’an river basin of Wuyuan
CN117893049A (en)Urban intelligent water affair early warning system and method integrating Internet of things and Internet
CN118587062A (en) Flood control intelligent dispatching management system

Legal Events

DateCodeTitleDescription
PB01Publication
PB01Publication
SE01Entry into force of request for substantive examination
SE01Entry into force of request for substantive examination
RJ01Rejection of invention patent application after publication
RJ01Rejection of invention patent application after publication

Application publication date:20210423


[8]ページ先頭

©2009-2025 Movatter.jp