Movatterモバイル変換


[0]ホーム

URL:


CN112688431A - Power distribution network load overload visualization method and system based on big data - Google Patents

Power distribution network load overload visualization method and system based on big data
Download PDF

Info

Publication number
CN112688431A
CN112688431ACN202011584365.5ACN202011584365ACN112688431ACN 112688431 ACN112688431 ACN 112688431ACN 202011584365 ACN202011584365 ACN 202011584365ACN 112688431 ACN112688431 ACN 112688431A
Authority
CN
China
Prior art keywords
data
power distribution
line
overload
distribution network
Prior art date
Legal status (The legal status is an assumption and is not a legal conclusion. Google has not performed a legal analysis and makes no representation as to the accuracy of the status listed.)
Pending
Application number
CN202011584365.5A
Other languages
Chinese (zh)
Inventor
刘洋
马海峰
吕艳霞
王中明
阚东微
蒋祝巍
贾永奎
魏灿
刘柏松
许世洁
王震
初小明
王丽丽
吴丽群
赵子明
阮德俊
王昭滨
郝艳军
杨诚
Current Assignee (The listed assignees may be inaccurate. Google has not performed a legal analysis and makes no representation or warranty as to the accuracy of the list.)
Beijing Zhongdian Nari Technology Co ltd
State Grid Corp of China SGCC
Hegang Power Supply Co of State Grid Heilongjiang Electric Power Co Ltd
Original Assignee
Beijing Zhongdian Nari Technology Co ltd
State Grid Corp of China SGCC
Hegang Power Supply Co of State Grid Heilongjiang Electric Power Co Ltd
Priority date (The priority date is an assumption and is not a legal conclusion. Google has not performed a legal analysis and makes no representation as to the accuracy of the date listed.)
Filing date
Publication date
Application filed by Beijing Zhongdian Nari Technology Co ltd, State Grid Corp of China SGCC, Hegang Power Supply Co of State Grid Heilongjiang Electric Power Co LtdfiledCriticalBeijing Zhongdian Nari Technology Co ltd
Priority to CN202011584365.5ApriorityCriticalpatent/CN112688431A/en
Publication of CN112688431ApublicationCriticalpatent/CN112688431A/en
Pendinglegal-statusCriticalCurrent

Links

Classifications

Landscapes

Abstract

Translated fromChinese

本发明公开了一种基于大数据的配电网负荷过载可视化方法及系统,属于配网管理业务与辅助信决策领域,涉及一种变压器过载的可视化,其目的在于提供了一种基于大数据的配电网负荷过载可视化系统,实现对设备状态的故障诊断、预测以及故障定位。通过与EMS、GIS系统建立数据接口,获取EMS系统和GIS系统的数据,提高调度台工作效率,提升电网安全运行系数;采用HDFS系统作为有台系统,系统具有高度容错性,可以部署在廉价的机器上;通过配置配电网数据处理模块,对配电调控进行改进和升级,实现配电网络中的实时数据采集和监控;通过故障定位模块可准确定位发生故障的设备以及该故障引起的停电区域和用户,方便现场抢修人员了解故障详情以及制定故障解决方案。The invention discloses a big data-based distribution network load overload visualization method and system, belongs to the field of distribution network management business and auxiliary information decision-making, relates to a transformer overload visualization, and aims to provide a big data-based visualization method. The power distribution network load overload visualization system realizes fault diagnosis, prediction and fault location of equipment status. By establishing data interfaces with EMS and GIS systems, the data of EMS systems and GIS systems can be obtained, the work efficiency of dispatching stations can be improved, and the safety operation factor of power grids can be improved; HDFS system is used as a system, and the system is highly fault-tolerant and can be deployed in cheap On the machine; by configuring the distribution network data processing module, the distribution regulation and control can be improved and upgraded to realize real-time data collection and monitoring in the distribution network; the fault location module can accurately locate the faulty equipment and the power outage caused by the fault. The area and users are convenient for on-site repair personnel to understand the fault details and formulate fault solutions.

Description

Power distribution network load overload visualization method and system based on big data
Technical Field
The invention belongs to the field of distribution network management service and auxiliary information decision making, and relates to transformer overload visualization.
Background
In recent years, domestic power distribution network construction develops rapidly, and power supply capacity is greatly improved, but the power distribution network planning and the auxiliary decision-making capacity of operation and maintenance are not enough, and the main manifestations are as follows:
(1) the distribution network equipment lacks effective and reliable state assessment and risk assessment, such as the problems of frequent power failure in part of urban villages, flooding and damage of distribution transformers, line overload and the like;
(2) the power grid lacks reliability evaluation, fault diagnosis and weak point positioning capacity;
(3) the user evaluation is not in place, and the problems that the average power failure time of a client is long, the power supply requirement of an important client cannot be met, the communication with the client is insufficient and the like exist;
(4) the comprehensive operation state of the whole power distribution network cannot be evaluated, so that the comprehensive guidance of the service cannot be performed.
Along with the construction of informatization and intellectualization of a power distribution network, professional data on the distribution network side in a power grid enterprise are more and more comprehensive, powerful support is provided for operation and maintenance of the distribution network, main data types comprise power distribution network operation equipment data, power grid data, user data, environment data and the like, integration, sharing and utilization of enterprise-level data resources are preliminarily realized, the diversity and richness, the time variation and the proliferation of data are increasingly remarkable, and a great number of new problems and challenges face the management and utilization of a traditional power system, particularly distribution and utilization data. In order to fully utilize data, improve the lean actual effect of management and the service refinement, a data identification and analysis based model can be provided by integrating professional heterogeneous data of equipment, a power grid, users, environments and the like, decision support is provided for planning and operation and maintenance, and the intelligent decision capability of power distribution network planning and operation and maintenance is improved.
At present, data related to operation and maintenance of equipment such as transformers have big data characteristics, transformer overload analysis research based on big data is promoted, and overload diagnosis and prediction develop towards the direction based on panoramic visualization and comprehensive analysis. On the other hand, big data analysis technology oriented to data mining, machine learning and knowledge discovery is rapidly developed in recent years, and is widely applied to the fields of internet, social security, telecommunication, finance, commerce, medical treatment and the like. Under the background, it is necessary to fully mine various effective information associated with the equipment state by using an advanced big data analysis processing technology, and to detect the equipment state and the association relation and development rule influencing parameter change from a large amount of data, so as to provide a brand-new solution idea and technical means for fault diagnosis and prediction of the equipment state.
In addition, tens of thousands of lines in different geographic positions are monitored in real time, operation data parameters are acquired in real time, line operation data are acquired in real time through the power utilization information acquisition system, massive data influencing distribution transformer overload are selected to conduct mining analysis on urban distribution transformer load, equipment and customer data, and urban network distribution transformer overload early warning analysis scene application is developed. The most important technical problem is solved by utilizing the existing power distribution network to collect and analyze data of the line. The distribution line overload abnormity analysis and judgment method improves the efficiency of distribution line overload abnormity data collection and data transmission safety.
Disclosure of Invention
The invention aims to: the invention provides a power distribution network load overload visualization system based on big data, which realizes fault diagnosis, prediction and fault location of equipment states by detecting the equipment states and influencing parameter changes from a large amount of data.
The technical scheme adopted by the invention is as follows:
a big-data based transformer overload visualization system, comprising:
the data acquisition module is used for acquiring detection data of the power grid and/or a transformer in the power grid, establishing a data interface with the EMS and the GIS system and acquiring data of the EMS and the GIS system;
the data processing module is used for performing data cleaning on detection data in the big data platform by using spark, processing the acquired data of the EMS system and the GIS system, filtering junk data, converting the detection data with the junk data filtered into a PRPD or PRPD matrix form, storing the detection data in the hbase and establishing a topological relation library;
the data analysis and prediction module is used for analyzing and predicting the detection data after the garbage data is filtered by utilizing a network model algorithm to obtain the temperature trend of the transformer;
the data display module is used for displaying the diagnosis result through the javaweb;
the data fusion module is used for performing archive data fusion, service data fusion and operation data fusion on the multi-source data of the power distribution network in the data storage module;
and the power distribution network data processing module is used for carrying out quality control on the data fused by the data fusion module according to actual requirements, and carrying out asset operation efficiency evaluation, layered and partitioned power supply reliability evaluation, row state evaluation, weak link identification, safety risk evaluation and early warning, equipment asset allocation optimization and equipment operation economy analysis on the data subjected to quality control according to the actual requirements.
The EMS data includes: the current limiting method comprises the following steps of (1) enabling a main transformer current value, a main transformer current limiting value, a line real-time current value, a line current limiting value, a maximum value I last year max of the sum of current values of a 10kV line and a 10kV transfer line in the last year at the same moment, a maximum value I current year max of the sum of current values of a 10kV line and a 10kV transfer line in the current year at the same moment, and a maximum value I month max of the sum of current values of a 10kV line and a 10kV transfer line in the current month at the same moment;
the data of the GIS system comprises: the name and the number of the 10kV line, the unit to which the 10kV line belongs, the ring network diagram number where the 10kV line is located, the name and the number of the ring opening point of the 10kV line, and the name and the number of the 10kV transfer supply line.
In order to better realize early warning, early warning and precaution work are made in advance, and the early warning management module is used for displaying and early warning data processed by the power distribution network data processing module and having data quality problems; the power distribution network early warning system is used for being connected with a GIS (geographic information system) through a data integration and management module, and realizing comprehensive early warning display of power distribution network power supply reliability index management and control, distribution network weak links, equipment running states and the like through the GIS; the system is used for connecting a meteorological system through a data integration and management module and displaying and early warning severe meteorological conditions such as typhoon, thunder and lightning and the like in real time; and the safety risk assessment and early warning result processing module is used for displaying and early warning the safety risk assessment and early warning result processed by the power distribution network data processing module.
The system comprises a power distribution system, a 95598 system, a field line patrol handheld terminal and a power utilization information acquisition system, wherein the power distribution system, the 95598 system, the field line patrol handheld terminal and the power utilization information acquisition system are respectively assigned with a unique ID number; binding each ID number with a matched fault positioning scheme in the fault positioning scheme set according to the attribute of each fault positioning scheme in the fault positioning scheme set;
receiving information transmitted by a power distribution system, a 95598 system, a field line patrol handheld terminal and a power utilization information acquisition system, respectively associating corresponding ID numbers for classified storage, simultaneously combining overload information determined by a line overload data analysis server, respectively carrying out fault location on the information with the same ID number and an overload line by utilizing a fault location scheme bound with the ID number, and outputting a location result.
A transformer overload visualization method based on big data adopts the visualization system and specifically comprises the following steps:
step S1, collecting detection data of the power grid and/or the transformer in the power grid, uploading the detection data to a system background, and loading the detection data to a big data platform by the system background;
step S2, cleaning the detection data in the big data platform by spark, filtering the garbage data, converting the detection data after filtering the garbage data into PRPD or PRPD matrix form and storing in hbase;
step S3, analyzing and predicting the detection data after filtering the garbage data by using a network model algorithm to obtain the temperature trend of the transformer;
step S4, an early warning management module is used for carrying out display and early warning on data which are processed by the power distribution network data processing module and have data quality problems; the data integration and management module is connected with the GIS system, and the GIS system is used for realizing the comprehensive early warning display of power distribution network power supply reliability index management and control, distribution network weak links, equipment running states and the like; the system is connected with a meteorological system through a data integration and management module, and typhoon and thunder are displayed and early warned in real time; the safety risk assessment and early warning results processed by the power distribution network data processing module are displayed and early warned;
step S5, a power distribution system, a 95598 system, a field line patrol handheld terminal and a power utilization information acquisition system are respectively assigned with a unique ID number by using a fault positioning module; binding each ID number with a matched fault positioning scheme in the fault positioning scheme set according to the attribute of each fault positioning scheme in the fault positioning scheme set;
receiving information transmitted by a power distribution system, a 95598 system, a field line patrol handheld terminal and a power utilization information acquisition system, respectively associating corresponding ID numbers for classified storage, simultaneously combining overload information determined by a line overload data analysis server, respectively carrying out fault location on the information with the same ID number and an overload line by utilizing a fault location scheme bound with the ID number, and outputting a location result.
Step S4 specifically includes:
step S41, determining a risk assessment index of the power distribution area; the risk assessment indexes of the power distribution area are as follows: the running risk of the system is measured by the proportion of the number of lines/distribution transformers with abnormal running states (including voltage overrun, heavy overload and current three-phase unbalance) to the total number of lines/transformers in the evaluated area.
Step S42, predicting the running state Yt + T (voltage, load rate and three-phase unbalance degree) of the single line/single distribution transformation at the time T + T by using a DBN model;
step S43, calculating a power distribution area risk assessment index value according to the result predicted in the step S42;
and step S44, performing risk grade assessment and early warning measure formulation according to the risk assessment index value of the power distribution area. According to the risk assessment method of the power distribution area in the steps S41 and S42, the proportion (namely risk value) of the total number of the lines/distribution transformers of the power distribution area (which can be a certain power supply partition/power supply branch office) with abnormal operation conditions is calculated, and the higher the proportion value is, the higher the risk degree is, and the more attention and the implementation of the control strategy are needed. And dividing the proportional value into four risk levels I, II, III and IV according to a linear relation, and giving real-time early warning and measure schemes of the operation risk of the power distribution system in the module IV according to the given risk levels.
Step S5 specifically includes:
step S51: the power distribution system, the 95598 system, the field line patrol handheld terminal and the power utilization information acquisition system respectively push distribution network fault information, user repair information, fault information of field line patrol detection and acquired power failure information to a power distribution network fault positioning server;
step S52: the distribution network fault location server receives and processes the information that distribution system, 95598 system, on-the-spot line patrol monitoring devices and power consumption information acquisition system conveyed, and specific processing procedure is:
respectively allocating a unique ID number to a power distribution system, a 95598 system, a field line patrol handheld terminal and a power utilization information acquisition system; binding each ID number with a matched fault positioning scheme in the fault positioning scheme set according to the attribute of each fault positioning scheme in the fault positioning scheme set;
the received line overload data analysis server reads related power utilization information, and according to current and voltage data of a power supply line, data are calculated and screened, overload and overload lines are screened out and transmitted to a power distribution network fault positioning server;
the information transmitted by the power distribution system, the 95598 system, the field line patrol handheld terminal and the electricity utilization information acquisition system is respectively associated with corresponding ID numbers for classified storage;
and receiving the information with the same ID number and the overload and heavy-load lines confirmed by the line overload data analysis server by using the positioning fault scheme bound with the ID number, performing fault positioning and outputting a positioning result.
In summary, due to the adoption of the technical scheme, the invention has the beneficial effects that:
according to the invention, data interfaces are established with an EMS system and a GIS system to acquire data of the EMS system and the GIS system, all the systems are communicated, and intelligent comprehensive study and judgment are carried out through big data acquisition, so that the working efficiency of a dispatching desk is improved, the safe operation coefficient of a power grid is improved, and reliable power supply of a user is ensured; the HDFS system is adopted as a system with the station, has high fault tolerance and can be deployed on a cheap machine; the method can provide high-throughput data access, is very suitable for application on large-scale data sets, realizes low-cost and high-throughput data access of a visualization method and a visualization system, and enables the visualization method and the visualization system to be provided; the HDFS system, spark technology and spark mlib deep learning and diagnosis algorithm are cooperatively used, javaweb is matched to display data of diagnosis results, various effective information related to equipment states is fully mined by utilizing advanced big data analysis and processing technology, association relations and development rules of the equipment states and influence parameter changes are explored from a large amount of data, and fault diagnosis and prediction of the running state of the transformer are achieved. When data is analyzed and predicted, a network model algorithm is adopted, so that the prediction performance is better, the prediction precision is high, the prediction speed is high, and the applicability is better and wider.
The power distribution network data processing module is configured to improve and upgrade power distribution regulation, and real-time data acquisition and monitoring in a power distribution network can be realized by adding various communication channels such as wireless communication and carrier communication.
In addition, the equipment with faults and the power failure area and the user caused by the faults can be accurately positioned through the fault positioning module, the on-site rush repair personnel can conveniently know fault details and formulate a fault solution, and a proper rush repair appliance and materials are selected, so that the time wasted due to the fact that the solution formulation errors or the rush repair appliance carries errors caused by the fact that the fault details are not known is reduced.
Detailed Description
All of the features disclosed in this specification, or all of the steps in any method or process so disclosed, may be combined in any combination, except combinations of features and/or steps that are mutually exclusive.
A big-data based transformer overload visualization system, comprising:
the data acquisition module is used for acquiring detection data of the power grid and/or a transformer in the power grid, establishing a data interface with the EMS and the GIS system and acquiring data of the EMS and the GIS system;
the data processing module is used for performing data cleaning on detection data in the big data platform by using spark, processing the acquired data of the EMS system and the GIS system, filtering junk data, converting the detection data with the junk data filtered into a PRPD or PRPD matrix form, storing the detection data in the hbase and establishing a topological relation library;
the data analysis and prediction module is used for analyzing and predicting the detection data after the garbage data is filtered by utilizing a network model algorithm to obtain the temperature trend of the transformer;
the data display module is used for displaying the diagnosis result through the javaweb;
the data fusion module is used for performing archive data fusion, service data fusion and operation data fusion on the multi-source data of the power distribution network in the data storage module;
and the power distribution network data processing module is used for carrying out quality control on the data fused by the data fusion module according to actual requirements, and carrying out asset operation efficiency evaluation, layered and partitioned power supply reliability evaluation, row state evaluation, weak link identification, safety risk evaluation and early warning, equipment asset allocation optimization and equipment operation economy analysis on the data subjected to quality control according to the actual requirements.
EMS data includes: the current limiting method comprises the following steps of (1) enabling a main transformer current value, a main transformer current limiting value, a line real-time current value, a line current limiting value, a maximum value I last year max of the sum of current values of a 10kV line and a 10kV transfer line in the last year at the same moment, a maximum value I current year max of the sum of current values of a 10kV line and a 10kV transfer line in the current year at the same moment, and a maximum value I month max of the sum of current values of a 10kV line and a 10kV transfer line in the current month at the same moment;
the data of the GIS system comprises: the name and the number of the 10kV line, the unit to which the 10kV line belongs, the ring network diagram number where the 10kV line is located, the name and the number of the ring opening point of the 10kV line, and the name and the number of the 10kV transfer supply line.
The early warning management module is used for carrying out display early warning on the data with the data quality problem processed by the power distribution network data processing module; the power distribution network early warning system is used for being connected with a GIS (geographic information system) through a data integration and management module, and realizing comprehensive early warning display of power distribution network power supply reliability index management and control, distribution network weak links, equipment running states and the like through the GIS; the system is used for connecting a meteorological system through a data integration and management module and displaying and early warning severe meteorological conditions such as typhoon, thunder and lightning and the like in real time; and the safety risk assessment and early warning result processing module is used for displaying and early warning the safety risk assessment and early warning result processed by the power distribution network data processing module. When adopting this early warning management module to carry out the early warning, specifically include:
step S41, determining a risk assessment index of the power distribution area; the risk assessment indexes of the power distribution area are as follows: the running risk of the system is measured by the proportion of the number of lines/distribution transformers with abnormal running states (including voltage overrun, heavy overload and current three-phase unbalance) to the total number of lines/transformers in the evaluated area.
Step S42, predicting the running state Yt + T (voltage, load rate and three-phase unbalance degree) of the single line/single distribution transformation at the time T + T by using a DBN model;
step S43, calculating a power distribution area risk assessment index value according to the result predicted in the step S42;
and step S44, performing risk grade assessment and early warning measure formulation according to the risk assessment index value of the power distribution area. According to the risk assessment method of the power distribution area in the steps S41 and S42, the proportion (namely risk value) of the total number of the lines/distribution transformers of the power distribution area (which can be a certain power supply partition/power supply branch office) with abnormal operation conditions is calculated, and the higher the proportion value is, the higher the risk degree is, and the more attention and the implementation of the control strategy are needed. And dividing the proportional value into four risk levels I, II, III and IV according to a linear relation, and giving real-time early warning and measure schemes of the operation risk of the power distribution system in the module IV according to the given risk levels.
The system also comprises a fault positioning module which is used for respectively allocating a unique ID number to the power distribution system, the 95598 system, the field line patrol handheld terminal and the power utilization information acquisition system; binding each ID number with a matched fault positioning scheme in the fault positioning scheme set according to the attribute of each fault positioning scheme in the fault positioning scheme set;
receiving information transmitted by a power distribution system, a 95598 system, a field line patrol handheld terminal and a power utilization information acquisition system, respectively associating corresponding ID numbers for classified storage, simultaneously combining overload information determined by a line overload data analysis server, respectively carrying out fault location on the information with the same ID number and an overload line by utilizing a fault location scheme bound with the ID number, and outputting a location result.
Step S51: the power distribution system, the 95598 system, the field line patrol handheld terminal and the power utilization information acquisition system respectively push distribution network fault information, user repair information, fault information of field line patrol detection and acquired power failure information to a power distribution network fault positioning server;
step S52: the distribution network fault location server receives and processes the information that distribution system, 95598 system, on-the-spot line patrol monitoring devices and power consumption information acquisition system conveyed, and specific processing procedure is:
respectively allocating a unique ID number to a power distribution system, a 95598 system, a field line patrol handheld terminal and a power utilization information acquisition system; binding each ID number with a matched fault positioning scheme in the fault positioning scheme set according to the attribute of each fault positioning scheme in the fault positioning scheme set;
the received line overload data analysis server reads related power utilization information, and according to current and voltage data of a power supply line, data are calculated and screened, overload and overload lines are screened out and transmitted to a power distribution network fault positioning server;
the information transmitted by the power distribution system, the 95598 system, the field line patrol handheld terminal and the electricity utilization information acquisition system is respectively associated with corresponding ID numbers for classified storage;
and receiving the information with the same ID number and the overload and heavy-load lines confirmed by the line overload data analysis server by using the positioning fault scheme bound with the ID number, performing fault positioning and outputting a positioning result.
A transformer overload visualization method based on big data comprises the following steps:
step S1, collecting detection data of the power grid and/or the transformer in the power grid, uploading the detection data to a system background, and loading the detection data to a big data platform by the system background;
the background of the system adopts the HDFS which is a high fault-tolerant system and is suitable for being deployed on a cheap machine. HDFS provides high throughput data access and is well suited for application on large-scale data sets. Which in this application serves as the bottom layer of storage.
Step S2, cleaning the detection data in the big data platform by spark, filtering the garbage data, converting the detection data after filtering the garbage data into PRPD or PRPD matrix form and storing in hbase;
HBase is a distributed, column-oriented open-source database that provides Bigtable-like capabilities. The method and the device can be used as a storage library of mass data, and can provide rapid data reading and writing service. The Spark does not need to read and write the HDFS any more, so the Spark can be better suitable for MapReduce algorithms which need iteration, such as data mining, machine learning and the like. Which in the present application serves as a background data etl tool and a computational engine for intelligent diagnostics and matching algorithms.
Step S3, analyzing and predicting the detection data after filtering the garbage data by using a network model algorithm to obtain the temperature trend of the transformer;
the detection data includes: the method comprises the following steps of (1) transformer station name, transformer model, transformer manufacturer, transformer operation time, transformer phase, transformer discharge capacity, transformer discharge position, transformer discharge pulse number, transformer discharge waveform, transformer discharge pulse sequence map and transformer discharge pulse phase map;
in step S3, the network model algorithm specifically includes:
step S31, constructing network model
And step S32, inputting the detection data of the last three days as sample data into a network model, wherein the output data of the network model is a predicted value, and the temperature trend of the transformer is obtained.
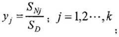
The network model is a network structure including four layers of neurons, where the input vector is X ═ X1,x2,…,xm]TThe corresponding output vector is Y ═ Y1,y2,…,yk];
An input layer: the number of the neurons is equal to the dimension m of the input vector, and the input layer directly forwards transmits each variable to the mode layer;
mode layer: the number of neurons equals the number of input samples ", different neurons correspond to different learning samples, and the transfer function of the pattern layer neuron i is
Figure BDA0002865205860000081
Wherein, Pi Gaussian kernel function, X is a deprecated network input vector, Xi is a learning sample corresponding to the neuron i, and sigma is a smoothing factor of the network;
and a summation layer: the layer comprises two types of neurons, one is to perform arithmetic summation on the outputs of all mode layers, the summed value and the connection weight value between the neurons of the mode layers are 1, and the transfer function is as follows:
Figure BDA0002865205860000082
another neuron is the weighted sum of the outputs of all mode layers, where SNjThe connection weight of is the ith output sample YiThe jth element y in (2)ijThe transfer function is:
Figure BDA0002865205860000083
an output layer: the number of neurons equal the dimension k of the output vector, willThe weighted summation output of the neurons in the summation layer is divided by the arithmetic summation output to obtain the output corresponding to each neuron, namely:
Figure BDA0002865205860000084
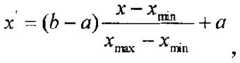
the step of determining the smoothing factor in the mode layer comprises the following steps:
step 1, after sample data is classified, normalization processing is carried out as required, and a normalization formula is as follows:
Figure BDA0002865205860000085
wherein x ismax、xminThe formula normalizes the data to [ a, b ] for the maximum and minimum values in a set of data];
Step 2, making the smoothing factor at [ min, max]Within the range, the step size is changed gradually to obtain a set of smoothing factors sigma1,σ2,…,σp
Step 3, for each smoothing factor σi(i ═ 1,2, …, P) corresponds to an n × k dimensional error matrix error, k is the output vector dimension, the mean square value is calculated to obtain n error mean square values P-error, the finally obtained P × n error mean square values are sorted from small to large, and the first (pxn)/2 are taken out;
step 4, giving a value range [ K ] of Kmin,Kmax]In which K ismin>o,KmaxNot more than (p multiplied by n)/2, the K value is changed in an incremental way according to a certain step length, the first K error mean square values are taken out in each round, and the distribution condition is judged;
and 5, counting the smoothing factor with the maximum occurrence frequency.
And step S4, performing data presentation on the diagnosis result through the javaweb.
The power distribution network load overload visualization display based on big data utilizes a multi-dimensional comprehensive data display mode to carry out comprehensive statistical analysis on transformer defects, manufacturers and equipment, and a multi-angle transformer overload visualization system is established for users. Including overload displays, defect word clouds, transformer-to-manufacturer relationship diagrams, bubble diagrams, etc.

Claims (7)

1. A big data based transformer overload visualization system, comprising:
the data acquisition module is used for acquiring detection data of the power grid and/or a transformer in the power grid, establishing a data interface with the EMS and the GIS system and acquiring data of the EMS and the GIS system;
the data processing module is used for performing data cleaning on detection data in the big data platform by using spark, processing the acquired data of the EMS system and the GIS system, filtering junk data, converting the detection data with the junk data filtered into a PRPD or PRPD matrix form, storing the detection data in the hbase and establishing a topological relation library;
the data analysis and prediction module is used for analyzing and predicting the detection data after the garbage data is filtered by utilizing a network model algorithm to obtain the temperature trend of the transformer;
the data display module is used for displaying the diagnosis result through the javaweb;
the data fusion module is used for performing archive data fusion, service data fusion and operation data fusion on the multi-source data of the power distribution network in the data storage module;
and the power distribution network data processing module is used for carrying out quality control on the data fused by the data fusion module according to actual requirements, and carrying out asset operation efficiency evaluation, layered and partitioned power supply reliability evaluation, row state evaluation, weak link identification, safety risk evaluation and early warning, equipment asset allocation optimization and equipment operation economy analysis on the data subjected to quality control according to the actual requirements.
2. The big-data-based transformer overload visualization system according to claim 1, wherein the EMS data includes: the current limiting method comprises the following steps of (1) enabling a main transformer current value, a main transformer current limiting value, a line real-time current value, a line current limiting value, a maximum value I last year max of the sum of current values of a 10kV line and a 10kV transfer line in the last year at the same moment, a maximum value I current year max of the sum of current values of a 10kV line and a 10kV transfer line in the current year at the same moment, and a maximum value I month max of the sum of current values of a 10kV line and a 10kV transfer line in the current month at the same moment;
the data of the GIS system comprises: the name and the number of the 10kV line, the unit to which the 10kV line belongs, the ring network diagram number where the 10kV line is located, the name and the number of the ring opening point of the 10kV line, and the name and the number of the 10kV transfer supply line.
3. The big-data-based transformer overload visualization system according to claim 1, further comprising an early warning management module for performing display early warning on data with data quality problems processed by the power distribution network data processing module; the power distribution network early warning system is used for being connected with a GIS (geographic information system) through a data integration and management module, and realizing comprehensive early warning display of power distribution network power supply reliability index management and control, distribution network weak links, equipment running states and the like through the GIS; the system is used for connecting a meteorological system through a data integration and management module and displaying and early warning severe meteorological conditions such as typhoon, thunder and lightning and the like in real time; and the safety risk assessment and early warning result processing module is used for displaying and early warning the safety risk assessment and early warning result processed by the power distribution network data processing module.
4. The transformer overload visualization system based on the big data as claimed in claim 1, further comprising a fault location module for assigning a unique ID number to each of the power distribution system, the 95598 system, the field patrol handheld terminal and the power consumption information collection system; binding each ID number with a matched fault positioning scheme in the fault positioning scheme set according to the attribute of each fault positioning scheme in the fault positioning scheme set;
receiving information transmitted by a power distribution system, a 95598 system, a field line patrol handheld terminal and a power utilization information acquisition system, respectively associating corresponding ID numbers for classified storage, simultaneously combining overload information determined by a line overload data analysis server, respectively carrying out fault location on the information with the same ID number and an overload line by utilizing a fault location scheme bound with the ID number, and outputting a location result.
5. A transformer overload visualization method based on big data is characterized in that: use of the visualization system according to any of claims 1 to 4, in particular the following steps:
step S1, collecting detection data of the power grid and/or the transformer in the power grid, uploading the detection data to a system background, and loading the detection data to a big data platform by the system background;
step S2, cleaning the detection data in the big data platform by spark, filtering the garbage data, converting the detection data after filtering the garbage data into PRPD or PRPD matrix form and storing in hbase;
step S3, analyzing and predicting the detection data after filtering the garbage data by using a network model algorithm to obtain the temperature trend of the transformer;
step S4, an early warning management module is used for carrying out display and early warning on data which are processed by the power distribution network data processing module and have data quality problems; the data integration and management module is connected with the GIS system, and the GIS system is used for realizing the comprehensive early warning display of power distribution network power supply reliability index management and control, distribution network weak links, equipment running states and the like; the system is connected with a meteorological system through a data integration and management module, and typhoon and thunder are displayed and early warned in real time; the safety risk assessment and early warning results processed by the power distribution network data processing module are displayed and early warned;
step S5, a power distribution system, a 95598 system, a field line patrol handheld terminal and a power utilization information acquisition system are respectively assigned with a unique ID number by using a fault positioning module; binding each ID number with a matched fault positioning scheme in the fault positioning scheme set according to the attribute of each fault positioning scheme in the fault positioning scheme set;
receiving information transmitted by a power distribution system, a 95598 system, a field line patrol handheld terminal and a power utilization information acquisition system, respectively associating corresponding ID numbers for classified storage, simultaneously combining overload information determined by a line overload data analysis server, respectively carrying out fault location on the information with the same ID number and an overload line by utilizing a fault location scheme bound with the ID number, and outputting a location result.
6. The big-data-based transformer overload visualization method according to claim 5, wherein the step S4 specifically includes:
step S41, determining a risk assessment index of the power distribution area; the risk assessment indexes of the power distribution area are as follows: the running risk of the system is measured by the proportion of the number of lines/distribution transformers with abnormal running states (including voltage overrun, heavy overload and current three-phase unbalance) to the total number of lines/transformers in the evaluated area.
Step S42, predicting the running state Yt + T (voltage, load rate and three-phase unbalance degree) of the single line/single distribution transformation at the time T + T by using a DBN model;
step S43, calculating a power distribution area risk assessment index value according to the result predicted in the step S42;
and step S44, performing risk grade assessment and early warning measure formulation according to the risk assessment index value of the power distribution area. According to the risk assessment method of the power distribution area in the steps S41 and S42, the proportion (namely risk value) of the total number of the lines/distribution transformers of the power distribution area (which can be a certain power supply partition/power supply branch office) with abnormal operation conditions is calculated, and the higher the proportion value is, the higher the risk degree is, and the more attention and the implementation of the control strategy are needed. And dividing the proportional value into four risk levels I, II, III and IV according to a linear relation, and giving real-time early warning and measure schemes of the operation risk of the power distribution system in the module IV according to the given risk levels.
7. The big-data-based transformer overload visualization method according to claim 5, wherein the step S5 specifically includes:
step S51: the power distribution system, the 95598 system, the field line patrol handheld terminal and the power utilization information acquisition system respectively push distribution network fault information, user repair information, fault information of field line patrol detection and acquired power failure information to a power distribution network fault positioning server;
step S52: the distribution network fault location server receives and processes the information that distribution system, 95598 system, on-the-spot line patrol monitoring devices and power consumption information acquisition system conveyed, and specific processing procedure is:
respectively allocating a unique ID number to a power distribution system, a 95598 system, a field line patrol handheld terminal and a power utilization information acquisition system; binding each ID number with a matched fault positioning scheme in the fault positioning scheme set according to the attribute of each fault positioning scheme in the fault positioning scheme set;
the received line overload data analysis server reads related power utilization information, and according to current and voltage data of a power supply line, data are calculated and screened, overload and overload lines are screened out and transmitted to a power distribution network fault positioning server;
the information transmitted by the power distribution system, the 95598 system, the field line patrol handheld terminal and the electricity utilization information acquisition system is respectively associated with corresponding ID numbers for classified storage;
and receiving the information with the same ID number and the overload and heavy-load lines confirmed by the line overload data analysis server by using the positioning fault scheme bound with the ID number, performing fault positioning and outputting a positioning result.
CN202011584365.5A2020-12-282020-12-28Power distribution network load overload visualization method and system based on big dataPendingCN112688431A (en)

Priority Applications (1)

Application NumberPriority DateFiling DateTitle
CN202011584365.5ACN112688431A (en)2020-12-282020-12-28Power distribution network load overload visualization method and system based on big data

Applications Claiming Priority (1)

Application NumberPriority DateFiling DateTitle
CN202011584365.5ACN112688431A (en)2020-12-282020-12-28Power distribution network load overload visualization method and system based on big data

Publications (1)

Publication NumberPublication Date
CN112688431Atrue CN112688431A (en)2021-04-20

Family

ID=75453995

Family Applications (1)

Application NumberTitlePriority DateFiling Date
CN202011584365.5APendingCN112688431A (en)2020-12-282020-12-28Power distribution network load overload visualization method and system based on big data

Country Status (1)

CountryLink
CN (1)CN112688431A (en)

Cited By (11)

* Cited by examiner, † Cited by third party
Publication numberPriority datePublication dateAssigneeTitle
CN113447764A (en)*2021-08-092021-09-28安徽恒凯电力保护设备有限公司Intelligent monitoring and fault control method applied to power grid
CN113536206A (en)*2021-07-192021-10-22国网陕西省电力公司Power distribution network area early warning method and system, terminal equipment and readable storage medium
CN113625097A (en)*2021-06-222021-11-09国网辽宁省电力有限公司大连供电公司Big data analysis method for running state of power distribution network
CN113902218A (en)*2021-11-082022-01-07贵州电网有限责任公司Main transformer load influence factor analysis model construction method
CN114492028A (en)*2022-01-252022-05-13山东和兑智能科技有限公司Digital intelligent monitoring system and evaluation method for power transformation equipment
CN114784974A (en)*2022-05-182022-07-22湖南鸿业变压器有限公司Intelligent power grid real-time early warning system
CN114860839A (en)*2022-07-072022-08-05中国长江三峡集团有限公司Power distribution network data analysis and visualization system and method
CN115169601A (en)*2022-06-152022-10-11泰昌建设有限公司 A security monitoring system and method for distribution network based on big data
CN116721520A (en)*2023-02-232023-09-08曹一非Big data equipment service life early warning method based on Internet of things detection
CN117151933A (en)*2023-10-302023-12-01国网山东省电力公司菏泽供电公司Multi-scene information acquisition system for medium-voltage line
CN119051276A (en)*2024-10-312024-11-29国网山西省电力公司经济技术研究院Power distribution regulation and control platform based on power transmission and transformation risk prediction

Citations (5)

* Cited by examiner, † Cited by third party
Publication numberPriority datePublication dateAssigneeTitle
CN106646169A (en)*2017-01-042017-05-10华北电力大学Electrical device partial discharge detection data collection cloud strategy
CN107147215A (en)*2017-05-162017-09-08国网山东省电力公司 Distribution network fault location system and method combined with line overload data analysis
CN108564254A (en)*2018-03-152018-09-21国网四川省电力公司绵阳供电公司Controller switching equipment status visualization platform based on big data
CN111177101A (en)*2019-12-182020-05-19广西电网有限责任公司电力科学研究院Power distribution network multidimensional visualization platform based on big data architecture
WO2020147349A1 (en)*2019-01-142020-07-23中国电力科学研究院有限公司Power distribution network operation aided decision-making analysis system and method

Patent Citations (5)

* Cited by examiner, † Cited by third party
Publication numberPriority datePublication dateAssigneeTitle
CN106646169A (en)*2017-01-042017-05-10华北电力大学Electrical device partial discharge detection data collection cloud strategy
CN107147215A (en)*2017-05-162017-09-08国网山东省电力公司 Distribution network fault location system and method combined with line overload data analysis
CN108564254A (en)*2018-03-152018-09-21国网四川省电力公司绵阳供电公司Controller switching equipment status visualization platform based on big data
WO2020147349A1 (en)*2019-01-142020-07-23中国电力科学研究院有限公司Power distribution network operation aided decision-making analysis system and method
CN111177101A (en)*2019-12-182020-05-19广西电网有限责任公司电力科学研究院Power distribution network multidimensional visualization platform based on big data architecture

Cited By (14)

* Cited by examiner, † Cited by third party
Publication numberPriority datePublication dateAssigneeTitle
CN113625097A (en)*2021-06-222021-11-09国网辽宁省电力有限公司大连供电公司Big data analysis method for running state of power distribution network
CN113536206A (en)*2021-07-192021-10-22国网陕西省电力公司Power distribution network area early warning method and system, terminal equipment and readable storage medium
CN113536206B (en)*2021-07-192023-12-01国网陕西省电力公司 A distribution network regional early warning method, system, terminal equipment and readable storage medium
CN113447764A (en)*2021-08-092021-09-28安徽恒凯电力保护设备有限公司Intelligent monitoring and fault control method applied to power grid
CN113902218A (en)*2021-11-082022-01-07贵州电网有限责任公司Main transformer load influence factor analysis model construction method
CN114492028A (en)*2022-01-252022-05-13山东和兑智能科技有限公司Digital intelligent monitoring system and evaluation method for power transformation equipment
CN114492028B (en)*2022-01-252022-10-18山东和兑智能科技有限公司Digital intelligent monitoring system and evaluation method for power transformation equipment
CN114784974B (en)*2022-05-182023-10-10湖南鸿业变压器有限公司Real-time early warning system of smart power grids
CN114784974A (en)*2022-05-182022-07-22湖南鸿业变压器有限公司Intelligent power grid real-time early warning system
CN115169601A (en)*2022-06-152022-10-11泰昌建设有限公司 A security monitoring system and method for distribution network based on big data
CN114860839A (en)*2022-07-072022-08-05中国长江三峡集团有限公司Power distribution network data analysis and visualization system and method
CN116721520A (en)*2023-02-232023-09-08曹一非Big data equipment service life early warning method based on Internet of things detection
CN117151933A (en)*2023-10-302023-12-01国网山东省电力公司菏泽供电公司Multi-scene information acquisition system for medium-voltage line
CN119051276A (en)*2024-10-312024-11-29国网山西省电力公司经济技术研究院Power distribution regulation and control platform based on power transmission and transformation risk prediction

Similar Documents

PublicationPublication DateTitle
CN112688431A (en)Power distribution network load overload visualization method and system based on big data
Kang et al.Big data analytics in China's electric power industry: modern information, communication technologies, and millions of smart meters
CN105426980B (en)Power distribution network health index assessment engineering application system
CN104573906B (en)System and method for analyzing oscillation stability in power transmission system
AU2006324395A1 (en)Location determination of power system disturbances based on frequency responses of the system
CN108920609A (en)Electric power experiment data mining method based on multi-dimensional analysis
CN113687292B (en)System and method for detecting incorrect wiring of electric energy meter under big data and cloud environment
CN118244191B (en) An uninterruptible power supply power collection and metering system
Meier et al.Power system data management and analysis using synchrophasor data
CN116522746A (en)Power distribution hosting method for high-energy-consumption enterprises
CN103020290B (en)Electric network information method of calibration and system
CN118780820B (en)Energy management method for green power tracing
CN114779154A (en)Intelligent ammeter data time scale calibration method and device based on temporal analysis
WO2019140553A1 (en)Method and device for determining health index of power distribution system and computer storage medium
Keyan et al.Anomaly detection method of distribution network line loss based on hybrid clustering and LSTM
CN119005675A (en)Auditing method and device for construction cost of distribution network
CN111965442A (en)Energy internet fault diagnosis method and device under digital twin environment
Mohammadi et al.Distribution Automation: A Level-Layer Framework for Implementation in Smart Grid
CN117767270A (en)Method and system for optimizing power distribution through measurement data complement
CN106779265B (en) An online state security detection method of an intelligent mobile terminal based on electric power
Chen et al.An analytical method of data mining on voltage sag based on gray target theory and cloud model
CN119671402B (en) A distribution network reliability evaluation method
Rocha et al.Tracking Defective Panel on Photovoltaic Strings with Non-Intrusive Monitoring and Deep Learning
CN118966813B (en) A method, device, electronic device and storage medium for automatically locating high-loss transmission area
Domínguez et al.Analysis of electric power consumption using Self-Organizing Maps.

Legal Events

DateCodeTitleDescription
PB01Publication
PB01Publication
SE01Entry into force of request for substantive examination
SE01Entry into force of request for substantive examination
RJ01Rejection of invention patent application after publication

Application publication date:20210420

RJ01Rejection of invention patent application after publication

[8]ページ先頭

©2009-2025 Movatter.jp