Movatterモバイル変換


[0]ホーム

URL:


CN112684421A - Coherent calibration source system for linear frequency modulation continuous wave radar - Google Patents

Coherent calibration source system for linear frequency modulation continuous wave radar
Download PDF

Info

Publication number
CN112684421A
CN112684421ACN201910987447.5ACN201910987447ACN112684421ACN 112684421 ACN112684421 ACN 112684421ACN 201910987447 ACN201910987447 ACN 201910987447ACN 112684421 ACN112684421 ACN 112684421A
Authority
CN
China
Prior art keywords
radar
signal
frequency
calibration source
lfm
Prior art date
Legal status (The legal status is an assumption and is not a legal conclusion. Google has not performed a legal analysis and makes no representation as to the accuracy of the status listed.)
Pending
Application number
CN201910987447.5A
Other languages
Chinese (zh)
Inventor
宋苏杭
袁继钢
张文宝
费治敏
李晓莉
Current Assignee (The listed assignees may be inaccurate. Google has not performed a legal analysis and makes no representation or warranty as to the accuracy of the list.)
Lingbayi Electronic Group Co ltd
Original Assignee
Lingbayi Electronic Group Co ltd
Priority date (The priority date is an assumption and is not a legal conclusion. Google has not performed a legal analysis and makes no representation as to the accuracy of the date listed.)
Filing date
Publication date
Application filed by Lingbayi Electronic Group Co ltdfiledCriticalLingbayi Electronic Group Co ltd
Priority to CN201910987447.5ApriorityCriticalpatent/CN112684421A/en
Publication of CN112684421ApublicationCriticalpatent/CN112684421A/en
Pendinglegal-statusCriticalCurrent

Links

Images

Landscapes

Abstract

The invention discloses a coherent calibration source system of a linear frequency modulation continuous wave radar, aiming at providing a coherent calibration source system with high reliability and flexibility, which is realized by the following technical scheme: the receiving antenna collects the transmitting signal of the linear frequency modulation continuous wave radar needing calibration, sends the signal to the down-conversion unit, carries out frequency conversion on the radar transmitting signal and the local oscillator signal generated by the reference source, filters the signal and sends the signal to the baseband processing unit to carry out analog-to-digital (A/D) conversion, completes the quantization, delay playback and related control of the receiving channel signal, completes distance delay and Doppler frequency superposition according to the requirement, reforms the analog signal through digital-to-analog (D/A) conversion, sends the signal to the up-conversion unit, carries out frequency conversion, filtering and amplification on the baseband signal generated by the baseband processing unit and the local oscillator signal generated by the reference source, completes the frequency spectrum moving, sends the signal to the transmitting antenna, converts the radio frequency signal into an electromagnetic wave signal to radiate the radar, and externally radiates the.

Description

Coherent calibration source system for linear frequency modulation continuous wave radar
Technical Field
The invention relates to a calibration source system of a phase-coherent system of a linear frequency modulation continuous wave (LFM-CW) radar.
Background
Linear frequency modulated continuous wave (LFM-CW) radar is a technique for obtaining range information in a radar by frequency modulating a continuous wave signal. The frequency modulation used in radar is various, and the waveforms of the transmitted signals of radars with different systems, radars with different purposes and radars with different performance requirements are different. The LFM-CW radar adopts a continuous wave system, determines the distance to a target by changing the frequency of a transmitted signal in time and measuring the frequency difference of an echo signal relative to the transmitted signal, and can also measure the radial velocity of the target by using the doppler effect. Compared with other system radars, the linear frequency modulation continuous wave radar has good maneuverability and can adapt to complex and severe environments; the receiver has high sensitivity; the required emission peak power is lower, the modulation is easy, the circuit is simple, the size is small, the weight is light, the cost is low, the signal processing is simple, and the like. With the increasing importance of radar function, the function and performance of radar are improved, so that the complexity of a radar system is increased, and the test difficulty of the radar is increased. The development and the perfection of the radar test technology generate massive radar test data, and a method for storing, accurately analyzing and efficiently managing the data in real time provides huge challenges and provides higher requirements for accurate and comprehensive system function and performance tests of each stage in the whole life cycle of the radar.
The test of the linear frequency modulation continuous wave calibration source system of the coherent system is divided into built-in test and off-line test. The built-in test is to utilize the technology of the built-in self-test of the radar, provide the BIT information by the radar itself, mainly used for checking, testing and recording the performance of the radar system when the radar works, and monitor the fault condition of each stage when the radar runs, so that a user can really master the working condition of the radar system. The off-line test is to test the radar by using an Automatic Test System (ATS) and perform fault reasoning on the test result. The testing capability of the BIT requires that the BIT device has the capability of sending excitation, response recovery and intelligent analysis, which requires a large amount of software and hardware to be added to the whole system and each subsystem or even individual components, which means the reduction of the reliability of the system, makes the system more complex and more difficult to use and maintain, and the BIT is established to realize the testing capability on the premise that the BIT device has no fault, and once the BIT device has the fault, a false alarm, and incapability of detection and diagnosis are caused. And an external ATS test is required for the fault points which cannot be detected by BIT.
The content and the range of the radar test of the linear frequency modulation continuous wave calibration source system of the prior coherent system have universality. The test can be carried out at different levels from a component/chip level, a circuit board level to a functional unit level, a subsystem level, a system level and the like; the method can test different aspects such as radar emission signal parameters, radar receiver performance parameters, radar system performance and the like; the performance indexes required by a special radar system, such as the sensitivity of a radar receiver, the angular tracking characteristic, the Doppler frequency coverage range of the receiver, the measurement accuracy of the measurement radar on a high-speed target and other technical parameters can be tested. There are two main methods of radar testing: firstly, a large number of universal instruments and meters are used to be matched with a special test tool to test partial parameters (mainly static parameters) of the radar; and secondly, dynamically detecting the flying, namely releasing the balloon, and carrying out radar cross-sectional area (RCS) calibration and remote control of the drone by hanging the metal standard ball by the unmanned aerial vehicle to test the actual detection performance of the radar. In the past, a radar calibration source is generally an optical fiber delay type fixed single-target calibration signal source, RCS measurement adopts a balloon or kite hanging and placing mode, but the calibration success rate is not high due to the influence of weather.
The method 1 focuses on the test of the static performance of a system in a single device and a device, and cannot comprehensively reflect the overall dynamic performance of the system. Instruments and meters used for testing are various, precise and expensive, cannot be deployed in all units simultaneously according to the number of the radars, and are inconvenient to detect the radars at any time, so that the testing method is greatly limited. In addition, the method needs to rely on instruments to generate numerous and complicated input excitation signals, a very large scale integrated circuit is mostly adopted in the radar digital plug-in, FPGA input pins are mostly bidirectional, most signals are only interconnected in a printed board, the excitation signals provided by the instruments cannot meet the requirement in quantity, and the complexity cannot meet the testing requirement. Due to various reasons, the actual measurement indexes of part of subsystems can not meet the design index requirements or the performance of part of subsystems is reduced due to aging, the situation can bring great influence on the actual test work, whether the influence is within an acceptable range or not can not give a quick and intuitive conclusion. Often, the analysis and judgment are carried out by depending on the actual experience of technicians and simple theoretical calculation, and an objective and scientific means is lacked to make accurate definition and actual inspection.
Although the 2 nd method can test the key performance of the radar, such as detection power, detection precision and the like, the dynamic flight detection and the actual work have larger difference, the performance of the equipment is not comprehensively detected, and the states of different types of targets detected by the radar cannot be simulated. In addition, dynamic flight inspection is limited by manpower, material resources, airspace and the like, so that the cost is high, a large number of flight inspection shelves are often needed for obtaining accurate data, and the flight inspection cannot be frequently performed in actual operation or organized at any time according to needs.
One of the major problems in measuring the characteristics of an outfield radar target is how to calibrate with high accuracy, i.e. to establish a strict mathematical relationship between RCS and the power or voltage measured by the radar. The common calibration method is divided into a relative calibration method and an absolute calibration method, the relative calibration method calculates the RCS value of a target by the power (or voltage) ratio measured by a standard target which is known and isotropic to the RCS and a target to be measured, and the RCS value of a calibration body is accurately measured. The absolute calibration method is to directly calibrate the measured radar parameters and then calculate the RCS value of the target according to a radar equation. In actual use, the relative calibration method is represented by a calibration ball calibration method, and the absolute calibration method is represented by a signal source calibration method. Both methods have advantages and disadvantages. The calibration method of the calibration ball only needs to prepare a hydrogen (helium) ball and release the calibration ball into the air by using a winch, the equipment is simple and easy to operate, but the calibration method of the calibration ball is greatly restricted by meteorological conditions. And the signal source calibration method is adopted, so that the equipment is relatively complex and the technical requirement is high. Compared with a calibration ball calibration method, the error caused by the alignment precision of the radar antenna and the signal source antenna in the signal source calibration method is small. The target characteristic measuring radar is mostly under broadband and multi-polarization conditions, and can greatly influence the accuracy of RCS measuring results.
At present, means for external field debugging and testing of Linear Frequency Modulation (LFM) continuous wave- (CW) -High Frequency (HF) radar is lacked. The prior art discloses a radar performance test system of a quasi-coherent system, which is a full digital simulation system based on a digital quadrature modulation technology (DQM) and a direct digital frequency synthesis (DDS) technology, and mainly completes the performance test of an LFM-CW-HF radar by simulating a target signal and an interference signal of the LFM-CW-HF radar, but the LFM-CW-HF radar of the quasi-coherent system adopts the digital quadrature modulation technology and the direct digital frequency synthesis technology to occupy a large amount of instrument resources.
At present, there are two basic methods of generating chirp signals, an analog method and a digital method. The conventional simulation methods are further classified into an active method and a passive method. The active method is to generate a chirp signal using a linear sawtooth Voltage Controlled Oscillator (VCO), which is also called a direct synthesis method. To achieve good linearity using this method, VC0 and the sawtooth waveform generator must be optimally designed. The direct synthesis method simulates and generates a chirp signal, and although the method is a simpler method for generating an FMCW signal, the method has the outstanding problems that the phases of a carrier wave of the generated chirp signal and a reference signal are not coherent, the coherence, the long stability and the short stability of the signal cannot be ensured to be not ideal, the frequency can generate drift along with the change of temperature, the phase noise index is not high, and the like. These disadvantages determine that the chirped continuous wave signal generated by the direct VCO method is strictly coherent during the period of the required signal, and the use of the LFMCW radar is limited, which ensures low phase noise and high frequency stability, and for the oscillator, the long-term stability and the short-term stability are poor, and the oscillation frequency generated when the temperature changes may drift, and the phase noise performance is also poor. A common way of passive method is to use a Surface Acoustic Wave (SAW) device to perform spectral broadening and compression of waveform signals. The method is mainly used in pulse system radars to realize compression processing of the pulse frequency modulation signals. The frequency-modulated continuous wave signal is generated in the mode, and an all-pass or band-pass network with a linear group delay characteristic is mainly designed. The linear frequency modulation signal generated by the method is limited by the level of the device, the performance of the large time-bandwidth product cannot be realized, and the application range of the linear frequency modulation signal is limited. It is seen that it is difficult to achieve the desired performance level of the signal using simulation. The digital method is a new developed method, and is divided into two methods, namely a waveform storage direct reading method and a direct digital synthesis frequency (DDS) method. The waveform storage direct reading method is a method of storing sampling values of an LFM signal in a memory under specific sampling frequency f, a signal E and a signal time width Z, and directly generating an analog signal after performing digital-to-analog conversion and low-pass filtering on a read waveform under a clock; direct digital frequency synthesis is a method of generating an analog signal by phase accumulation, amplitude look-up table, and digital-to-analog conversion. The waveform storage direct reading method has the advantages of simple principle and low cost, but has the defect of relatively complex structure; the direct digital frequency synthesis method has the advantages of high integration level, good flexibility, simple circuit structure and the like, but has the disadvantages of higher cost, weaker amplitude and phase compensation capability and the like. Compared with the traditional frequency synthesis technology, the DDS technology has higher frequency resolution, continuous phase change and higher frequency switching rate than the common method, and can modulate an output signal, thereby meeting the requirements of modern radar signals. This method is also currently used to generate some radar signals. It mainly utilizes one or more different reference frequency sources to produce output signals of several discrete frequencies by means of harmonic generator, and directly produces output signals of several discrete frequencies by means of frequency multiplication, frequency division, frequency mixing, filtering and analog switch; the signal obtained by the method has the advantages of higher frequency stability, lower phase noise and higher frequency conversion speed; meanwhile, the device also has a plurality of inevitable defects, such as more complex structure and higher debugging difficulty compared with the similar signal generator, and also has poor stray rejection performance.
Disclosure of Invention
The invention aims to provide a coherent calibration source system of a linear frequency modulation continuous wave radar, which has high reliability, high integration level and flexibility and can finish the functions of radar distance calibration, radar emission signal power detection, radar sensitivity test, improvement factor test, channel detection, track processing detection and the like aiming at the defects of the existing linear frequency modulation continuous wave radar testing technology.
The above functions of the present invention can be achieved by the following measures, and a system for calibrating a coherent standard of a chirped continuous wave radar includes: the device comprises an up-conversion unit connected with a transmitting antenna, a down-conversion unit connected with a receiving antenna, a reference source connected between the up-conversion unit and the down-conversion unit, and a baseband processing unit connected with the reference source and a power supply, and is characterized in that the receiving antenna collects transmitting signals of a linear frequency modulation continuous wave radar to be calibrated and sends the signals to the down-conversion unit, the down-conversion unit carries out frequency conversion and filtering on the radar transmitting signals collected by the receiving antenna and local oscillator signals generated by the reference source to complete low noise amplification, frequency spectrum shifting and frequency band signals of the radar transmitting signals, the signals are sent to the baseband processing unit for processing, the baseband processing unit carries out sampling, filtering and analog-to-digital (A/D) conversion on analog signals sent by the down-conversion unit, and quantization, digital down-conversion (DDC), digital up-conversion (DUC) and digital down-conversion (DUC) of receiving channel signals, The device comprises a base band processing unit, an up-conversion unit, a transmitting antenna, a storage unit, a delay playback unit, a delay control unit, a frequency spectrum shifting unit and a frequency spectrum shifting unit, wherein the base band processing unit is used for generating a base band signal, the up-conversion unit is used for carrying out frequency conversion, filtering and amplification on the base band signal and a local oscillation signal generated by a reference source, the base band signal is transmitted to the up-conversion unit, the frequency spectrum shifting unit is used for carrying out frequency conversion, filtering and amplification on the base band signal and the local oscillation signal, the base band signal is transmitted to the transmitting antenna, the transmitting antenna is used for receiving a radio.
Compared with the prior art, the invention has the following beneficial effects:
the reliability is high, and the integrated level is high. The invention adopts the up-conversion unit connected with the transmitting antenna, the down-conversion unit connected with the receiving antenna, the reference source connected between the up-conversion unit and the down-conversion unit, the baseband processing unit connected with the reference source and the power supply, and the linear frequency modulation continuous wave radar coherent calibration source system formed by integration level, has strong function and high cost performance, can effectively control the distance and speed range to be tested, has the advantage of high integration level compared with the traditional test by utilizing a universal instrument, and can achieve the reliability of effective test on target detection.
Flexibility is provided. The invention adopts the down-conversion unit to carry out frequency conversion and filtering on the radar transmitting signal collected by the receiving antenna and the local oscillator signal generated by the reference source, completes low-noise amplification, frequency spectrum shifting and frequency band signal of the radar transmitting signal, and sends the signal to the baseband processing unit for processing, and the working system is advanced. By utilizing the delay transponder with coherence and high cost performance, an arbitrary waveform generator of the delay transponder can automatically generate various signals when no received signal exists, the polarization of a receiving and transmitting antenna is orthogonal, the requirements on vertical and horizontal polarization calibration can be met simultaneously, the receiving and transmitting delay can be continuously adjusted, the receiving and transmitting delay can be kept unchanged after adjustment, the gain can be kept constant along with the change of factors such as time, temperature and humidity, the received signal is subjected to treatments such as undistorted delay and amplification, and the calibration requirements on various pulse waveforms transmitted by a target characteristic measurement radar can be met. High flexibility and repeated use. The problems that the traditional calibration source is low in reliability, heavy in size, poor in frequency stability, easy to interfere, poor in applicability, high in use environment requirement, incomplete in test coverage and the like are solved.
The system has complete functions. The invention baseband processing unit samples, filters and A/D converts the analog signal sent by the down-conversion unit, according to the baseband processed clock signal provided by the reference source, completes the quantization of the received channel signal, digital down-conversion DDC, digital up-conversion (DUC), storage, delay playback and related control, completes the distance delay and superposition of Doppler frequency according to the requirement, and reforms the analog signal through D/A conversion, and sends to the up-conversion unit, the up-conversion unit carries out frequency conversion, filtering and amplification on the baseband signal generated by the baseband processing unit and the local oscillator signal generated by the reference source, completes the spectrum shift, and sends to the transmitting antenna, thus completing the test of radar main functions such as radar distance calibration, radar transmitting signal power detection, radar sensitivity test, improvement factor test, channel detection and track processing detection, the system function and performance test can be carried out on the radar system comprehensively. The received radar signal is in the linear region of the signal source amplifier, the signal radiated after the amplification is in the linear region of the RCS measurement radar receiver, and the like, and the working requirements of RCS radar on various broadband signals can be met.
Drawings
FIG. 1 is a schematic block diagram of a coherent calibration source system for a chirped continuous wave radar in accordance with the present invention.
FIG. 2 is a schematic diagram of a calibration source application of the present invention.
Fig. 3 is a schematic diagram of the variation of the chirp of the source transmit signal and the frequency of the received signal scattered back according to the present invention.
Detailed Description
See fig. 1. In a preferred embodiment described below, a system for a chirped continuous wave radar coherent calibration source for a chirped continuous wave-like calibration source of a coherent system comprises: the calibration system comprises an up-conversion unit connected with a transmitting antenna, a down-conversion unit connected with a receiving antenna, a reference source connected between the up-conversion unit and the down-conversion unit, and a baseband processing unit connected with the reference source and a power supply, wherein the power supply mainly provides stable and reliable power supply for the whole calibration system and has the functions of input protection, output power supply overvoltage, undervoltage, overcurrent protection and the like. The reference source mainly generates a clock signal required by the baseband processing unit and local oscillator signals required by the up-conversion unit and the down-conversion unit. The receiving antenna collects the transmitted signal of the linear frequency modulation continuous wave radar to be calibrated, the signal is sent to the down-conversion unit, the down-conversion unit carries out frequency conversion and filtering on the radar transmitted signal collected by the receiving antenna and a local oscillation signal generated by a reference source, low noise amplification, frequency spectrum shift and frequency band signal of the radar transmitted signal are completed, the signal is sent to the baseband processing unit for processing, the baseband processing unit carries out sampling, filtering and analog-digital A/D conversion on the analog signal sent by the down-conversion unit, quantization, digital down-conversion DDC, digital up-conversion (DUC), storage, delayed playback and related control of a receiving channel signal are completed according to a clock signal of baseband processing provided by the reference source, and after distance delay and Doppler frequency superposition are completed according to needs, the analog signal is reformed through digital-analog D/A conversion and sent to the up-conversion unit, the up-conversion unit carries out frequency conversion, filtering and amplification on a baseband signal generated by the baseband processing unit and a local oscillator signal generated by a reference source, then completes spectrum movement, and sends the signals to the transmitting antenna, the transmitting antenna receives the radio-frequency signal output by the up-conversion unit, converts the radio-frequency signal into an electromagnetic wave signal to radiate to a radar, and externally radiates a signal generated by a calibration source.
The linear frequency modulation continuous wave radar starting-up radiation signal is received by the calibration source system through the receiving antenna to obtain a radar excitation signal, and the coherent system of the calibration source system is realized through the modes of storage, delayed forwarding and radar re-receiving.
See fig. 2. During application, the calibration source is placed on a flat ground with a distance R from the linear frequency modulation continuous wave radar, and the erection height is basically consistent with the height of the radar. The linear frequency modulation continuous wave radar transmitting antenna transmits radar radiation signals to the calibration source receiving antenna, and the calibration source transmitting antenna transmits the calibration source radiation signals to the linear frequency modulation continuous wave radar receiving antenna.
Each function of the present invention will be specifically described below.
See fig. 3. LFM-CW radar at an initial frequency f0And (3) for a coordinate origin, changing the frequency of a transmitting signal on time t during transmission, calibrating the distance of the linear frequency modulation continuous wave radar, and measuring the distance of a target by constructing a rectangular coordinate system in the frequency f range of a receiving signal relative to the transmitting signal. Frequency difference f between peaks on two curves of the received signal with respect to the frequency of the transmitted signaldA Doppler shift in which a moving object is superimposed on the scattered signal, an
Figure BDA0002237137080000061
In the formula, λ is radar wavelength, and v is moving speed of the moving target.
The frequency f of the transmitting signal and the receiving signal of the LFM-CW radar is within one modulation period TmOf frequency modulation of0+△f-f0Range of- Δ f, two phases formed by intersecting axes of lower and upper edges of the peak of the frequencySimilar to a triangle, when two relation curves of the frequency f of the transmitting signal and the frequency f of the receiving signal relative to the time tau are both positive slopes, according to the frequency difference fb of the transmitting signal and the receiving signal, and through the geometric relation similar to the triangle, the instantaneous frequency difference between the two relation curves of the frequency f of the transmitting signal and the frequency f of the receiving signal relative to the time t is obtained through linear triangular modulation
Figure BDA0002237137080000062
When the two curves of the received signal relative to the frequency f of the transmitted signal are both negative slopes, the instantaneous frequency difference between the two curves can be obtained by linear triangular modulation according to the geometric relation of similar triangle
Figure BDA0002237137080000063
And is
Figure BDA0002237137080000064
Where Δ f is the frequency modulation range, R is the distance between the calibration source and the LFM-CW radar, and c is the transmission speed of electromagnetic waves in space, about 3 × 108m/s,TmIs the modulation period.
Calibrating the distance between the source and the LFM-CW radar
Figure BDA0002237137080000065
In the formula (I), the compound is shown in the specification,
Figure BDA0002237137080000066
is the average frequency difference.
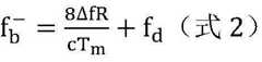
When the calibration source calibrates the distance of the LFM-CW radar, firstly, the working frequency f of the LFM-CW radar is set1The re-emission of the calibration source has a certain frequency difference f relative to the working frequency of the LFM-CW radarbSignal f of1+fbThe LFM-CW radar receives the signal and performs a distance calculation on the signal to obtain a distance R1For calibrating the distance R and frequency difference f between the source and the LFM-CW radarbCorresponding distance R2Sum according to
Figure BDA0002237137080000071
Theoretically calculating a certain frequency difference fbThe corresponding distance is R2If the distance R between the calibration source and the LFM-CW radar is equal to R1-R2Therefore, the calibration of the LFM-CW to the radar distance is realized.
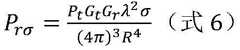
For the LFM continuous wave radar system, the gain G of the transmitting antenna of the known LFM-CW radar system is R, LFM-CW radar system with the calibration source distancetCalibration source receiving antenna gain GrIn the case of (2), the one-way transmission equation of the LFM-CW radar radiation signal relative to the calibration source received signal is: transmission power
Figure BDA0002237137080000072
LFM-CW radar transmission signal power detection transmission power
Figure BDA0002237137080000073
The signal power of the receiving antenna port is obtained through the calibration source, the radar radiation power detection can be completed, and the wavelength lambda (2cm) can be regarded as a constant.
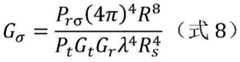
In the radar sensitivity test, a calibration source delays signals to the outside of a radar blind area, then radiates the signals to a radar system through a transmitting antenna, and transmits power P according to radartEquation, calibration source simulation target echo power P
Figure BDA0002237137080000074
Wherein G ist、GrAnd the gain is the antenna gain of the LFM-CW radar, and R is the distance between the LFM-CW radar and a calibration source. According to known theory, calibration source simulation target equivalent radar cross section RCS and calibration source link net gain GσThe relationship of (1) is:
Figure BDA0002237137080000075
Figure BDA0002237137080000076
sensitivity to the system is PrminThe simulated target distance of the LFM-CW radar of (1) is RsThe time-simulated target equivalent RCS should be:
Figure BDA0002237137080000077
therefore, in the known LFM-CW radar transmission power GtIn the case of (3), the simulation target distance R is specifiedsAnd adjusting the link gain of the calibration system, counting the detection probability of the LFM-CW radar system, and measuring the sensitivity of the LFM-CW radar system.
And (5) testing an improvement factor. And adjusting the Doppler characteristic of the calibration source system simulation target, and counting the detection results of the LFM-CW radar system under different multi-general characteristics to obtain the improvement factor of the radar.
Channel detection and track processing. Setting a calibration source to output a simulated target signal containing Doppler characteristics, radiating the signal to an LFM-CW radar system through a transmitting antenna, and carrying out amplification, frequency conversion and SFC control processing on the signal by the LFM-CW radar receiving subsystem; the signal processing subsystem carries out digital sampling and resolving on the difference frequency IQ analog signal sent by the receiving subsystem; and the data processing and communication control subsystem completes data processing according to the target signals resolved by the signal processing subsystem and establishes a track of target motion, so that the channel detection and track processing inspection of the radar system are realized.
The foregoing is directed to the preferred embodiment of the present invention and it is noted that the above-mentioned embodiments illustrate rather than limit the invention, and that those skilled in the art will be able to design alternative embodiments without departing from the scope of the appended claims. It will be apparent to those skilled in the art that various modifications and improvements can be made without departing from the spirit and substance of the invention, and these modifications and improvements are also considered to be within the scope of the invention.

Claims (10)

Translated fromChinese
1.一种线性调频连续波雷达相参标校源系统,包括:连接发射天线的上变频单元,相连接收天线的下变频单元,连接在上变频单元与下变频单元之间的基准源,相连基准源及电源的基带处理单元,其特征在于,接收天线对所需标校的线性调频连续波雷达的发射信号进行收集,送至下变频单元,下变频单元将接收天线收集的雷达发射信号与基准源产生的本振信号进行变频、滤波,完成雷达发射信号的低噪声放大、频谱搬移以及频带信号,送至基带处理单元进行处理,基带处理单元将下变频单元送来的模拟信号进行采样、滤波和模数A/D变换,根据基准源提供的基带处理的时钟信号,完成接收通道信号量化、数字下变频DDC、数字上变频(DUC)、存储、延迟回放及相关控制,再根据需要完成距离延迟、叠加多普勒频率后,经数模D/A变换,重新形成模拟信号,送至上变频单元,上变频单元将基带处理单元产生的基带信号与基准源产生的本振信号进行变频、滤波、放大后完成频谱搬移,送至发射天线,发射天线接收上变频单元输出的射频信号,将射频信号转换为电磁波信号向雷达辐射,对外辐射标校源产生信号。1. A phase-coherent calibration source system of a linear frequency modulated continuous wave radar, comprising: an up-conversion unit connected to a transmitting antenna, a down-conversion unit connected to a receiving antenna, a reference source connected between the up-conversion unit and the down-conversion unit, connected The baseband processing unit of the reference source and power supply is characterized in that the receiving antenna collects the transmitted signal of the linear frequency modulation continuous wave radar that needs to be calibrated, and sends it to the down-conversion unit, and the down-conversion unit compares the radar transmission signal collected by the receiving antenna with The local oscillator signal generated by the reference source is frequency-converted and filtered to complete the low-noise amplification, spectrum shift and frequency band signal of the radar transmit signal, and then sent to the baseband processing unit for processing. The baseband processing unit samples the analog signal sent by the down-conversion unit, Filtering and analog-to-digital A/D conversion, according to the baseband processed clock signal provided by the reference source, to complete the signal quantization of the receiving channel, digital down-conversion DDC, digital up-conversion (DUC), storage, delayed playback and related control, and then complete as needed After distance delay and superposition of Doppler frequency, the analog signal is re-formed by digital-to-analog D/A conversion and sent to the up-conversion unit. The up-conversion unit converts the baseband signal generated by the baseband processing unit and the local oscillator signal generated by the reference source. After filtering and amplifying, the spectrum is moved and sent to the transmitting antenna. The transmitting antenna receives the radio frequency signal output by the up-conversion unit, converts the radio frequency signal into an electromagnetic wave signal and radiates it to the radar, and radiates the calibration source to generate a signal.2.如权利要求1所述的线性调频连续波雷达相参标校源系统,其特征在于:标校源系统通过接收天线对雷达辐射信号进行侦收获得雷达激励信号,通过存储、延时转发,雷达再接收的方式,实现标校源系统的相参体制。2. The linear frequency modulated continuous wave radar phase-coherent calibration source system as claimed in claim 1, characterized in that: the calibration source system detects the radar radiation signal by the receiving antenna to obtain the radar excitation signal, and through storage, delay and forwarding , and the radar re-receive method realizes the coherent system of the calibration source system.3.如权利要求1所述的线性调频连续波雷达相参标校源系统,其特征在于:LFM-CW雷达以初始频率f0为坐标原点,利用发射时在时间t上改变发射信号的频率,线性调频连续波雷达距离标定,测量接收信号相对于发射信号的频率f范围内构建直角坐标系来测量目标的距离,接收信号相对于发射信号频率的两条曲线上峰值之间的频率差fd=动目标叠加在散射信号上边的多普勒频移,且
Figure FDA0002237137070000011
式中,λ是LFM-CW雷达波长,v是动目标的运动速度。3. LFM continuous wave radar phase-coherent calibration source system as claimed in claim 1, is characterized in that: LFM-CW radar takes initial frequency f0 as coordinate origin, changes the frequency of transmitting signal on time t when utilizing transmitting , Linear frequency modulation continuous wave radar distance calibration, measure the distance of the target by constructing a rectangular coordinate system within the frequency f of the received signal relative to the transmitted signal, and the frequency difference f between the peaks on the two curves of the received signal relative to the frequency of the transmitted signald = Doppler shift of the moving target superimposed on the scattered signal, and
Figure FDA0002237137070000011
where λ is the LFM-CW radar wavelength, and v is the moving speed of the moving target.4.如权利要求1所述的线性调频连续波雷达相参标校源系统,其特征在于:LFM-CW雷达的发射信号和接收信号的频率f在一个调制周期Tm的频率调制的f0+△f-f0-△f范围,通过频率的峰值下沿和上沿相交坐标轴,形成两个相似△三角形,当发射信号和接收信号的频率f相对时间τ的两条关系曲线均为正斜率时,根据发射信号和接收信号的频率差fb,通过相似△三角形的几何关系,线性三角形调制得到发射信号和接收信号的频率f相对时间t的两条关系曲线之间的瞬时频率差
Figure FDA0002237137070000012
Figure FDA0002237137070000013
式中,△f为频率调制的范围,R为标校源与LFM-CW雷达间的距离,c为电磁波在空间的传输速度。
4. The phase-coherent calibration source system of linear frequency modulation continuous wave radar as claimed in claim 1, it is characterized in that: the frequency f of the transmission signal of LFM-CW radar and the frequency f of the received signal is at the frequency modulatedf of a modulation period Tm . +△ff0 -△f range, through the intersection of the lower and upper edges of the frequency peak, two similar △ triangles are formed. When the two relationship curves of the frequency f of the transmitted signal and the received signal with respect to the time τ are both positive slopes When , according to the frequency difference fb of the transmitted signal and the received signal, through the geometric relationship similar to △ triangle, the instantaneous frequency difference between the two relationship curves of the frequency f of the transmitted signal and the received signal relative to the time t is obtained by linear triangular modulation
Figure FDA0002237137070000012
Figure FDA0002237137070000013
In the formula, Δf is the range of frequency modulation, R is the distance between the calibration source and the LFM-CW radar, and c is the transmission speed of electromagnetic waves in space.
5.如权利要求4所述的线性调频连续波雷达相参标校源系统,其特征在于:当接收信号相对于发射信号频率f的两条曲线均为负斜率时,根据相似△三角形的几何关系,可线性三角形调制获得两条曲线之间的瞬时频率差
Figure FDA0002237137070000021
并且
Figure FDA0002237137070000022
式中,△f为频率调制的范围,R为标校源与LFM-CW雷达间的距离,c为电磁波在空间的传输速度,Tm为调制周期。
5. The linear frequency modulated continuous wave radar phase reference calibration source system as claimed in claim 4, characterized in that: when the two curves of the received signal relative to the transmitted signal frequency f are both negative slopes, according to the geometry of a similar △ triangle relationship, the instantaneous frequency difference between the two curves can be obtained by linear triangular modulation
Figure FDA0002237137070000021
and
Figure FDA0002237137070000022
In the formula, △f is the range of frequency modulation, R is the distance between the calibration source and the LFM-CW radar, c is the transmission speed of electromagnetic waves in space, andTm is the modulation period.
6.如权利要求5所述的线性调频连续波雷达相参标校源系统,其特征在于:标校源与LFM-CW雷达间的距离
Figure FDA0002237137070000023
并且,
Figure FDA0002237137070000024
为平均频率差。
6. The linear frequency modulation continuous wave radar phase-coherent calibration source system as claimed in claim 5 is characterized in that: the distance between the calibration source and the LFM-CW radar
Figure FDA0002237137070000023
and,
Figure FDA0002237137070000024
is the average frequency difference.
7.如权利要求6所述的线性调频连续波雷达相参标校源系统,其特征在于:标校源对LFM-CW雷达距离进行标定时,首先设定LFM-CW雷达的工作频率f1,标校源再发射相对于LFM-CW雷达工作频率有一定频率差fb的信号f1+fb,LFM-CW雷达接收此信号并对此进行距离解算,解算所得距离R1为标校源与LFM-CW雷达间的距离R与频率差fb所对应的距离R2之和,根据
Figure FDA0002237137070000025
计算出一定频率差fb所对应的距离为R2,则标校源与LFM-CW雷达间的距离R=R1-R2,从而实现LFM-CW对雷达距离的标定。
7. linear frequency modulation continuous wave radar phase reference calibration source system as claimed in claim 6, it is characterized in that: when calibration source is calibrated to LFM-CW radar distance, first set the working frequency fof LFM-CW radar , the calibration source then transmits a signal f1 +fb with a certain frequency difference fb relative to the operating frequency of the LFM-CW radar. The LFM-CW radar receives this signal and performs distance calculation on it. The calculated distance R1 is The sum of the distance R between the calibration source and the LFM-CW radar and the distance R2 corresponding to the frequency difference fb , according to
Figure FDA0002237137070000025
The distance corresponding to a certain frequency difference fb is calculated as R2 , then the distance between the calibration source and the LFM-CW radar is R=R1 -R2 , thereby realizing the calibration of the LFM-CW radar distance.
8.如权利要求7所述的线性调频连续波雷达相参标校源系统,其特征在于:在已知LFM-CW雷达系统与标校源距离R、LFM-CW雷达系统发射天线增益Gt、标校源接收天线增益Gr的情况下,LFM-CW雷达辐射信号相对于标校源接收信号的单程传输方程为:传输功率
Figure FDA0002237137070000026
LFM-CW雷达发射信号功率检测发射功率
Figure FDA0002237137070000027
通过标校源获取接收天线口信号功率,即可完成雷达辐射功率检测,式中,t代表发射,r代表接收,波长λ为常数。
8. chirp continuous wave radar phase reference calibration source system as claimed in claim 7 is characterized in that: in known LFM-CW radar system and calibration source distance R, LFM-CW radar system transmit antenna gain Gt , in the case of the calibration source receiving antenna gainGr , the one-way transmission equation of the LFM-CW radar radiation signal relative to the calibration source received signal is: transmission power
Figure FDA0002237137070000026
LFM-CW radar transmit signal power detection transmit power
Figure FDA0002237137070000027
The radar radiation power detection can be completed by obtaining the signal power of the receiving antenna port through the calibration source. In the formula, t represents the transmission, r represents the reception, and the wavelength λ is a constant.
9.如权利要求8所述的线性调频连续波雷达相参标校源系统,其特征在于:在雷达灵敏度测试中,标校源将信号延迟至雷达盲区外,然后通过发射天线辐射信号至雷达系统,根据雷达传输功率Pt方程,标校源模拟目标回波功率P
Figure FDA0002237137070000028
9. The phase-coherent calibration source system for LFM continuous wave radar as claimed in claim 8, wherein in the radar sensitivity test, the calibration source delays the signal to the outside of the radar blind area, and then radiates the signal to the radar through the transmitting antenna system, according to the radar transmission power Pt equation, the calibration source simulates the target echo power P :
Figure FDA0002237137070000028
其中,Gt、Gr为LFM-CW雷达天线增益,R为LFM-CW雷达与标校源距离。Among them, Gt and Gr are the antenna gain of the LFM-CW radar, andR is the distance between the LFM-CW radar and the calibration source.
10.如权利要求9所述的线性调频连续波雷达相参标校源系统,其特征在于:根据已知理论,标校源模拟目标等效雷达截面RCS(σ)与标校源链路净增益Gσ的关系为:
Figure FDA0002237137070000029
10. The phase reference calibration source system for chirp continuous wave radar according to claim 9, characterized in that: according to the known theory, the calibration source simulates the target equivalent radar cross section RCS(σ) and the calibration source link net. The relationship of the gain Gσ is:
Figure FDA0002237137070000029
CN201910987447.5A2019-10-172019-10-17Coherent calibration source system for linear frequency modulation continuous wave radarPendingCN112684421A (en)

Priority Applications (1)

Application NumberPriority DateFiling DateTitle
CN201910987447.5ACN112684421A (en)2019-10-172019-10-17Coherent calibration source system for linear frequency modulation continuous wave radar

Applications Claiming Priority (1)

Application NumberPriority DateFiling DateTitle
CN201910987447.5ACN112684421A (en)2019-10-172019-10-17Coherent calibration source system for linear frequency modulation continuous wave radar

Publications (1)

Publication NumberPublication Date
CN112684421Atrue CN112684421A (en)2021-04-20

Family

ID=75444479

Family Applications (1)

Application NumberTitlePriority DateFiling Date
CN201910987447.5APendingCN112684421A (en)2019-10-172019-10-17Coherent calibration source system for linear frequency modulation continuous wave radar

Country Status (1)

CountryLink
CN (1)CN112684421A (en)

Cited By (7)

* Cited by examiner, † Cited by third party
Publication numberPriority datePublication dateAssigneeTitle
CN113406585A (en)*2021-07-012021-09-17四川九洲电器集团有限责任公司Dynamic target simulator and phased array system
CN113917456A (en)*2021-09-232022-01-11中船海洋探测技术研究院有限公司Multi-channel pulse Doppler radar capable of crossing medium to detect underwater sound source
CN114063029A (en)*2021-11-162022-02-18深圳市飞睿智能有限公司Method and system for detecting radar performance, computer device and readable storage medium
CN114355330A (en)*2022-01-172022-04-15浙江大学 Method and device for testing linearity deviation of high-speed FM signal
CN114488113A (en)*2021-12-232022-05-13西安理工大学High-precision long-distance speed measurement method for full-speed domain of hypersonic rocket sled
CN116621044A (en)*2023-07-212023-08-22常州海图信息科技股份有限公司Intelligent auxiliary driving system and method for monorail crane
CN118068288A (en)*2024-04-192024-05-24天津健君科技有限公司 A millimeter wave radar signal filtering data processing method

Citations (8)

* Cited by examiner, † Cited by third party
Publication numberPriority datePublication dateAssigneeTitle
CN101082670A (en)*2006-06-022007-12-05中国科学院电子学研究所Active externally coefficient potentiometer and scaling method of wideband synthetic aperture radar
CN102590794A (en)*2012-02-282012-07-18北京航空航天大学Broadband coherent radar target simulator
CN103873122A (en)*2012-12-112014-06-18中兴通讯股份有限公司Method, device and apparatus for sending antenna signals
CN104391283A (en)*2014-12-012015-03-04无锡市雷华科技有限公司Radar target simulation method and system
CN206258575U (en)*2016-12-232017-06-16四川先导中通光电科技有限公司A kind of millimeter wave transceiving module and receiver module
US20170343646A1 (en)*2014-12-162017-11-30Robert Bosch GmbhMethod and device for operating a radar system of a motor vehicle
CN108828540A (en)*2018-07-252018-11-16华清瑞达(天津)科技有限公司radar echo simulation device
CN109444837A (en)*2019-01-042019-03-08北京环境特性研究所A kind of radar return emulation mode and device

Patent Citations (8)

* Cited by examiner, † Cited by third party
Publication numberPriority datePublication dateAssigneeTitle
CN101082670A (en)*2006-06-022007-12-05中国科学院电子学研究所Active externally coefficient potentiometer and scaling method of wideband synthetic aperture radar
CN102590794A (en)*2012-02-282012-07-18北京航空航天大学Broadband coherent radar target simulator
CN103873122A (en)*2012-12-112014-06-18中兴通讯股份有限公司Method, device and apparatus for sending antenna signals
CN104391283A (en)*2014-12-012015-03-04无锡市雷华科技有限公司Radar target simulation method and system
US20170343646A1 (en)*2014-12-162017-11-30Robert Bosch GmbhMethod and device for operating a radar system of a motor vehicle
CN206258575U (en)*2016-12-232017-06-16四川先导中通光电科技有限公司A kind of millimeter wave transceiving module and receiver module
CN108828540A (en)*2018-07-252018-11-16华清瑞达(天津)科技有限公司radar echo simulation device
CN109444837A (en)*2019-01-042019-03-08北京环境特性研究所A kind of radar return emulation mode and device

Cited By (9)

* Cited by examiner, † Cited by third party
Publication numberPriority datePublication dateAssigneeTitle
CN113406585A (en)*2021-07-012021-09-17四川九洲电器集团有限责任公司Dynamic target simulator and phased array system
CN113917456A (en)*2021-09-232022-01-11中船海洋探测技术研究院有限公司Multi-channel pulse Doppler radar capable of crossing medium to detect underwater sound source
CN113917456B (en)*2021-09-232024-10-25中船海洋探测技术研究院有限公司Multi-channel pulse Doppler radar capable of crossing medium to detect underwater sound source
CN114063029A (en)*2021-11-162022-02-18深圳市飞睿智能有限公司Method and system for detecting radar performance, computer device and readable storage medium
CN114488113A (en)*2021-12-232022-05-13西安理工大学High-precision long-distance speed measurement method for full-speed domain of hypersonic rocket sled
CN114355330A (en)*2022-01-172022-04-15浙江大学 Method and device for testing linearity deviation of high-speed FM signal
CN116621044A (en)*2023-07-212023-08-22常州海图信息科技股份有限公司Intelligent auxiliary driving system and method for monorail crane
CN116621044B (en)*2023-07-212023-10-20常州海图信息科技股份有限公司Intelligent auxiliary driving system and method for monorail crane
CN118068288A (en)*2024-04-192024-05-24天津健君科技有限公司 A millimeter wave radar signal filtering data processing method

Similar Documents

PublicationPublication DateTitle
CN112684421A (en)Coherent calibration source system for linear frequency modulation continuous wave radar
CN107728127B (en)Radar simulation test system
CN110988830A (en)Multi-frequency-band radar target simulator
US5122805A (en)Radio acoustic sounding system for remotely determining atmospheric temperature profiles
CN100526912C (en)Active externally coefficient potentiometer and scaling method of wideband synthetic aperture radar
CN113608183B (en)Hypersonic broadband radio frequency target simulation system
CN102565767B (en)Ground verification instrument of satellite-based marine radar height gauge
JPH02140680A (en)Method and apparatus using antenna receiving system of radio theodolite
Al-AshwalMeasurement and modelling of bistatic sea clutter
CN113009436B (en) A Method for Calibrating Spatial Angle Position Parameters
CN113835070A (en)Radar tactical performance detection and anti-interference capability evaluation simulator
CN113109771B (en)Calibration device for calibration instrument and true value calibration method for weather radar echo intensity
KR102063468B1 (en)Active Radar Target Simulating Apparatus
CN101776753A (en)Symmetrical double-journey incoherent speed measurement method of air fleet link
CN103900616B (en)A kind of Tacan simulator metering method and device
Suh et al.Drone-based external calibration of a fully synchronized ku-band heterodyne FMCW radar
CN112859023A (en)Calibration system of phased array weather radar
CN112558495A (en)Anti-interference semi-physical simulation system and method for radar altimeter
CN114280547A (en)Radar maximum acting distance estimation method based on static test
CN105024770B (en)Quantitative testing for sensitivity of a non-coherent FMCW autodyne receiver
CN215599350U (en)Calibration device of weather radar foundation active calibration instrument
CN100426004C (en)Full signal sea echo simulator
CN111856520A (en) Satellite Navigation Receiver Time Delay Measurement System
CN223401043U (en) A microwave photon radar ranging device based on quantum compressed sensing
Gong et al.Design and application of the digital multifunctional ionosonde

Legal Events

DateCodeTitleDescription
PB01Publication
PB01Publication
SE01Entry into force of request for substantive examination
SE01Entry into force of request for substantive examination
RJ01Rejection of invention patent application after publication
RJ01Rejection of invention patent application after publication

Application publication date:20210420


[8]ページ先頭

©2009-2025 Movatter.jp