Movatterモバイル変換


[0]ホーム

URL:


CN112670201B - Detection device - Google Patents

Detection device
Download PDF

Info

Publication number
CN112670201B
CN112670201BCN201910978580.4ACN201910978580ACN112670201BCN 112670201 BCN112670201 BCN 112670201BCN 201910978580 ACN201910978580 ACN 201910978580ACN 112670201 BCN112670201 BCN 112670201B
Authority
CN
China
Prior art keywords
light emitting
emitting diode
light
substrate
tested
Prior art date
Legal status (The legal status is an assumption and is not a legal conclusion. Google has not performed a legal analysis and makes no representation as to the accuracy of the status listed.)
Active
Application number
CN201910978580.4A
Other languages
Chinese (zh)
Other versions
CN112670201A (en
Inventor
田文亚
郭恩卿
王程功
Current Assignee (The listed assignees may be inaccurate. Google has not performed a legal analysis and makes no representation or warranty as to the accuracy of the list.)
Chengdu Vistar Optoelectronics Co Ltd
Original Assignee
Chengdu Vistar Optoelectronics Co Ltd
Priority date (The priority date is an assumption and is not a legal conclusion. Google has not performed a legal analysis and makes no representation as to the accuracy of the date listed.)
Filing date
Publication date
Application filed by Chengdu Vistar Optoelectronics Co LtdfiledCriticalChengdu Vistar Optoelectronics Co Ltd
Priority to CN201910978580.4ApriorityCriticalpatent/CN112670201B/en
Publication of CN112670201ApublicationCriticalpatent/CN112670201A/en
Application grantedgrantedCritical
Publication of CN112670201BpublicationCriticalpatent/CN112670201B/en
Activelegal-statusCriticalCurrent
Anticipated expirationlegal-statusCritical

Links

Images

Classifications

Landscapes

Abstract

The present invention provides a detection device including: an electrodetection apparatus, the electrodetection apparatus comprising: the LED display device comprises a substrate and a plurality of power supply heads arranged on the substrate in an array manner, wherein a plurality of control transistors are arranged in the substrate, each control transistor is electrically connected with one power supply head, and the power supply heads are used for being contacted with electrodes of the LEDs to be tested so as to drive the LEDs to be tested to emit light under the control of the control transistors; each control transistor controls one light emitting diode to be tested to emit light so as to realize independent control of each light emitting diode to be tested, and when any one of the light emitting diodes to be tested is short-circuited, the normal light emission of other light emitting diodes to be tested is not influenced.

Description

Detection device
Technical Field
The invention relates to the technical field of display equipment detection, in particular to a detection device.
Background
With the development of display device technology, micro light emitting diode display devices are increasingly being used with higher brightness and longer service life. When manufacturing the micro light emitting diode display device, a plurality of micro light emitting diodes are generally grown on a sapphire substrate in an array mode, and then each micro light emitting diode is mounted on a substrate to form the micro light emitting diode display device.
In the related art, after each micro light emitting diode grows on the sapphire substrate, the micro light emitting diode needs to be detected by a detection device, however, the detection device of the existing micro light emitting diode has various defects, such as a technical problem that whether the micro light emitting diode can work normally cannot be known.
Disclosure of Invention
In view of the above, the embodiment of the invention provides a detection device to solve the technical problem that whether the micro light emitting diode can work normally cannot be known.
The embodiment of the invention provides a detection device, which comprises: an electrodetection apparatus, the electrodetection apparatus comprising: the LED light-emitting device comprises a substrate and a plurality of power supply heads arranged on the substrate in an array mode, wherein a plurality of control transistors are arranged in the substrate, each control transistor is electrically connected with one power supply head, and the power supply heads are used for being in contact with electrodes of the LEDs to be tested so as to drive the LEDs to emit light under the control of the control transistors.
The detection device as described above, wherein the electro-active detection apparatus further includes an image acquisition device, where the image acquisition device is configured to acquire an image of the light emitting diode to be detected that is in contact with the power supply head. The method can acquire the images of all the LEDs to be detected corresponding to the substrate, and further accurately determine the positions of the LEDs to be detected with abnormal luminescence according to the images, so that the detection is more accurate.
The detection device comprises the power supply head, wherein the power supply head comprises a flexible carrying platform, a groove is formed in one side, away from the substrate, of the flexible carrying platform, protrusions are arranged on two opposite side walls of the groove, a first contact is arranged on one side, away from the substrate, of one protrusion, and a second contact is arranged on the other side, away from the substrate, of the protrusion; a gap is formed between the wall, adjacent to the protrusion, of the groove and the protrusion, the first contact is used for being in contact with one electrode of the light emitting diode to be tested, the second contact is used for being in contact with the other electrode of the light emitting diode to be tested, and a gap is formed between the first contact and the second contact. The LED to be tested is prevented from being damaged due to the fact that the power supply head impacts the LED to be tested when the substrate is moved to enable the power supply head to be in contact with the LED to be tested.
A detection apparatus as described above, wherein the detection apparatus further comprises a photo detection device comprising: the light source, the lens component and the light detection equipment are used for emitting light rays to the light-emitting diode to be detected; the lens component is arranged between the light emitting diode to be detected and the light detection device, and is used for converging fluorescence generated after the light source irradiates on the light emitting diode to be detected to the light detection device, and the light detection device is used for detecting spectral information of the fluorescence. The light emitting diode to be detected can be further detected, so that the detection function is enriched.
The detecting apparatus as described above, wherein the light detecting device includes a spectrometer, an image sensor, and an integrating sphere. The spectrum of the fluorescence emitted by the light emitting diode to be detected can be directly obtained through the spectrometer, and the brightness of the fluorescence can be obtained through the image sensor.
The detection apparatus as described above, wherein the photodetection device further comprises a mirror disposed between the lens assembly and the photodetection device for reflecting light from the lens assembly toward the photodetection device. The light detection device may be arranged outside the main optical axis of the lens assembly, facilitating the arrangement of the light detection device.
The detection device as described above, wherein the lens assembly comprises at least one convex lens. When the convex lenses are a plurality of, the main optical axes of the convex lenses are arranged in a collinear way, and the positions of the convex lenses are reasonably arranged, so that the lens group has an amplifying function.
The detection device as described above, wherein the plurality of light sources are arranged in an array. The uniformity of light rays of the light emitting diode to be measured irradiated in the area corresponding to the photo-induced detection device can be improved.
The detection device as described above, further comprising an optical power meter, wherein the optical power meter is configured to detect a light source optical power of the light source, a first excitation optical power of fluorescence emitted by the light emitting diode to be detected at a first temperature, a first transmission optical power of fluorescence emitted by the light emitting diode to be detected at the first temperature, a second excitation optical power of fluorescence emitted by the light emitting diode to be detected at a second temperature, and a second transmission optical power of fluorescence emitted by the light emitting diode to be detected at the second temperature; preferably, the optical power meter is used for obtaining internal quantum efficiency. The internal quantum efficiency of the light-emitting diode to be detected can be detected, and whether the light-emitting diode to be detected is normal or not can be judged according to the internal quantum efficiency.
The detection device as described above, wherein the substrate is a silicon-based back plate, and the control transistor is a MOS transistor.
According to the detection device provided by the embodiment of the invention, the substrate is provided with the power supply heads, the substrate is internally provided with the control transistors, each control transistor is electrically connected with one power supply head, and when in detection, the substrate is moved so that each power supply head is contacted with one light emitting diode to be detected on the sapphire substrate, and the light emitting diode to be detected is controlled to emit light through the control transistor; each control transistor controls one light emitting diode to be tested to emit light so as to realize independent control of each light emitting diode to be tested, and when any one of the light emitting diodes to be tested is short-circuited, the normal light emission of other light emitting diodes to be tested is not influenced.
Drawings
In order to more clearly illustrate the embodiments of the present invention or the technical solutions of the prior art, the following description will briefly explain the drawings used in the embodiments or the description of the prior art, and it is obvious that the drawings in the following description are some embodiments of the present invention, and other drawings can be obtained according to these drawings without inventive effort for a person skilled in the art.
Fig. 1 is a schematic diagram of a detection apparatus according to the present embodiment when detecting by an electrodetection device;
fig. 2 is a schematic structural diagram of a substrate in the inspection apparatus according to the present embodiment;
fig. 3 is a schematic diagram of a sapphire substrate in the detection apparatus provided in this embodiment;
fig. 4 is a schematic diagram of a substrate in the detection apparatus according to the second embodiment;
FIG. 5 is an enlarged view of a portion of FIG. 4 at A;
fig. 6 is a schematic diagram illustrating connection between a control transistor and a power supply head in the detection apparatus according to the present embodiment;
fig. 7 is a circuit diagram illustrating connection between a control transistor and a led to be tested in the testing device according to the present embodiment;
fig. 8 is a schematic structural diagram of a photodetection device in the detection apparatus according to the present embodiment;
FIG. 9 is a schematic diagram of a light source for emitting fluorescence from a single LED to be tested in the detecting device according to the present embodiment;
fig. 10 is a schematic diagram of a light source in the detection device according to the present embodiment to make a plurality of leds to be detected emit fluorescence;
FIG. 11 is a schematic diagram II of a light source for making a plurality of LEDs to be tested emit fluorescence in the detecting device according to the present embodiment;
FIG. 12 is a graph showing the voltage difference between the source and the drain obtained by the detecting device according to the present embodiment;
FIG. 13 is a schematic diagram showing the detection of the first excitation light power of a single LED under test at a first temperature;
fig. 14 is a schematic diagram of detecting a second excitation light power of a single led under test at a second temperature.
Reference numerals illustrate:
10: a sapphire substrate;
20: a load-bearing platform;
30: a substrate;
40: an image acquisition device;
50: a light source;
60: a lens assembly;
70: a reflective mirror;
80: a light detection device;
101: a light emitting diode to be tested;
301: a flexible carrier;
302: a first contact;
303: a second contact;
304: a groove;
305: a first wire;
306: a second wire;
307: the transistor is controlled.
Detailed Description
For the purpose of making the objects, technical solutions and advantages of the embodiments of the present invention more apparent, the technical solutions of the embodiments of the present invention will be clearly and completely described below with reference to the accompanying drawings in the embodiments of the present invention, and it is apparent that the described embodiments are some embodiments of the present invention, but not all embodiments of the present invention. All other embodiments, which can be made by those skilled in the art based on the embodiments of the invention without making any inventive effort, are intended to be within the scope of the invention.
The inventor finds that the existing detection device comprises a power supply, a first power supply strip and a second power supply strip, wherein one pole of the power supply is electrically connected with the first power supply strip, the other pole of the power supply is electrically connected with the second power supply strip, the first power supply strip is electrically connected with a first electrode of a row of micro light emitting diodes on the sapphire substrate, and the second power supply strip is electrically connected with a second electrode of a row of micro light emitting diodes corresponding to the first power supply strip; the power supply drives the row of micro light emitting diodes to emit light through the first power supply strip and the second power supply strip, so that the micro light emitting diodes are detected.
However, when one or several micro light emitting diodes are short-circuited, all the micro light emitting diodes in the row do not emit light, so that detection is affected.
Based on the above, the detection device provided by the invention can effectively solve the problem.
Fig. 1 is a schematic diagram of a detection apparatus according to the present embodiment when detecting by an electrodetection device;
fig. 2 is a schematic structural diagram of a substrate in the inspection apparatus according to the present embodiment; fig. 3 is a schematic diagram of a sapphire substrate in the detection apparatus provided in this embodiment; fig. 4 is a schematic diagram of a substrate in the detection apparatus according to the second embodiment; FIG. 5 is an enlarged view of a portion of FIG. 4 at A; fig. 6 is a schematic diagram illustrating connection between a control transistor and a power supply head in the detection apparatus according to the present embodiment; fig. 7 is a circuit diagram illustrating connection between a control transistor and a led to be tested in the testing device according to the present embodiment; fig. 8 is a schematic structural diagram of a photodetection device in the detection apparatus according to the present embodiment; FIG. 9 is a schematic diagram of a light source for emitting fluorescence from a single LED to be tested in the detecting device according to the present embodiment; fig. 10 is a schematic diagram of a light source in the detection device according to the present embodiment to make a plurality of leds to be detected emit fluorescence; FIG. 11 is a schematic diagram II of a light source for making a plurality of LEDs to be tested emit fluorescence in the detecting device according to the present embodiment; FIG. 12 is a graph showing the voltage difference between the source and the drain obtained by the detecting device according to the present embodiment; FIG. 13 is a schematic diagram showing the detection of the first excitation light power of a single LED under test at a first temperature; fig. 14 is a schematic diagram of detecting a second excitation light power of a single led under test at a second temperature.
Referring to fig. 1-14, the present embodiment provides a detection apparatus, including: an electrodetection apparatus, the electrodetection apparatus comprising: thesubstrate 30 and the power supply heads arranged on thesubstrate 30 in an array manner, wherein a plurality ofcontrol transistors 307 are arranged in thesubstrate 30, eachcontrol transistor 307 is electrically connected with one power supply head, and the power supply heads are used for being in contact with electrodes of thelight emitting diode 101 to be tested so as to drive thelight emitting diode 101 to be tested to emit light under the control of thecontrol transistor 307.
In the process of manufacturing the micro light emitting diode display device, a plurality of micro light emitting diodes arranged in an array are formed on thesapphire substrate 10, and then each micro light emitting diode on thesapphire substrate 10 is transferred to an array substrate of the micro light emitting diode display device, wherein a plurality of thin film transistors are arranged in the array substrate, and each thin film transistor is electrically connected with one micro light emitting diode so as to control the corresponding micro light emitting diode to emit light through the thin film transistor. For example, the detection device provided in this embodiment may perform detection during the processing of the micro light emitting diode display device, specifically, after each micro light emitting diode is formed on thesapphire substrate 10, thesubstrate 30 may be covered on the micro light emitting diode on thesapphire substrate 10, at this time, each power supply head on thesubstrate 30 is electrically connected to one micro light emitting diode, and the micro light emitting diode corresponding to thecontrol transistor 307 may be controlled to emit light by thecontrol transistor 307, so as to implement individual control of each micro light emitting diode, and further, may implement detection of the micro light emitting diode. Of course, the detection device provided in this embodiment may also detect other display devices, which is not limited in this embodiment.
In this embodiment, thesubstrate 30 may be a silicon-based back plate, and specifically, thesubstrate 30 may be mainly composed of silicon; of course, thesubstrate 30 in this embodiment may be mainly made of an insulating material such as PDMS (polydimethylsiloxane); so long as thesubstrate 30 is guaranteed to carry the power supply head andcontrol transistor 307.
A plurality ofcontrol transistors 307 may be disposed in an array inside thesubstrate 30 such that eachcontrol transistor 307 corresponds to one power supply head; specifically, thecontrol transistor 307 may be a thin film transistor or a metal oxide semiconductor field effect transistor (MOS transistor) provided inside thesubstrate 30.
With continued reference to fig. 1-8, power supply heads are disposed on the side of thesubstrate 30 facing thesapphire substrate 10, each power supply head being electrically connected to a corresponding one of the thin film transistors. Specifically, the power supply heads may include afirst contact 302 and asecond contact 303, where thefirst contact 302 of each power supply head is electrically connected to one pole of the power supply through afirst wire 305, thesecond contact 303 in each power supply head is electrically connected to the drain of acorresponding control transistor 307, the source of eachcontrol transistor 307 is electrically connected to the other pole of the power supply through asecond wire 306, and by changing the gate voltage of thecontrol transistor 307, thesecond contact 303 in the corresponding power supply head can be controlled to be connected to or disconnected from the other pole of the power supply, so as to control thelight emitting diode 101 corresponding to the power supply head to emit light or not emit light.
In this embodiment, thelight emitting diode 101 to be tested corresponding to thecontrol transistor 307 can be controlled to emit light by thecontrol transistor 307, at this time, thelight emitting diode 101 to be tested under thesubstrate 30 is observed, and when a short circuit or damage occurs to a certainlight emitting diode 101 to be tested under thesubstrate 30, thelight emitting diode 101 to be tested does not emit light or emits light abnormally, and the rest of thelight emitting diodes 101 to be tested emit light normally. It is also possible to determine whether the led 101 to be tested corresponding to each control transistor 307 emits light normally by detecting the parameters of the control transistor 307, and as shown in fig. 12, a graph of the current of the control transistor 307 and the voltage difference between the source and the drain is obtained, in which a graph VGS1 、VGS2 、VGS3 For the difference in voltage difference between gate and sourceCorresponding curve of current and voltage difference between source and drain, I in the figureD Is of current value, VDS The curve a is the voltage difference between the source and the drain, the curve a is the curve of the voltage difference between the source and the drain corresponding to the light emitting diode 101 to be tested which emits light normally, and the curve b is the curve of the voltage difference between the source and the drain corresponding to the short circuit of the light emitting diode 101 to be tested; to detect curve VGS2 For example, when the intersection point of the obtained current and the voltage difference between the source and the drain is curve a and curve VGS2 When the detected light emitting diode 101 has a short circuit, the current is determined to be in curve b and curve VGS2 At this time, the abnormal brightness of the led 101 to be tested can be detected, but the problem that all test circuits cannot work normally due to the short circuit of the led 101 to be tested is avoided.
The inspection device provided in this embodiment may further include a carryingplatform 20, during inspection, thesapphire substrate 10 with the led 101 to be inspected is placed on the carryingplatform 20, and a side of thesapphire substrate 10 away from the led 101 to be inspected is in contact with the carryingplatform 20; thesubstrate 30 is disposed on the upper portion of the carryingplatform 20, and thesubstrate 30 can be moved by a moving device such as an air cylinder or a mechanical arm, so that thesubstrate 30 moves towards the carryingplatform 20, and the power supply head is further contacted with thelight emitting diode 101 to be tested on thesapphire substrate 10.
The use process of the detection device provided in this embodiment is as follows: thesapphire substrate 10 with thelight emitting diode 101 to be tested is placed on the carryingplatform 20, then thesubstrate 30 is moved to the carryingplatform 20 until the power supply head on thesubstrate 30 is in contact with thelight emitting diode 101 to be tested (as shown by a dotted line area in fig. 3), then the correspondinglight emitting diode 101 to be tested is controlled to emit light through thecontrol transistor 307, and whether thelight emitting diode 101 to be tested works normally is judged by detecting whether thelight emitting diode 101 to be tested emits light normally or detecting the voltage value of thecontrol transistor 307, so as to realize detection of thelight emitting diode 101 to be tested.
In the detection device provided by the embodiment, a plurality of power supply heads are arranged on asubstrate 30, a plurality ofcontrol transistors 307 are arranged in thesubstrate 30, eachcontrol transistor 307 is electrically connected with one power supply head, and when in detection, thesubstrate 30 is moved so that each power supply head is contacted with onelight emitting diode 101 to be detected on asapphire substrate 10, and thelight emitting diode 101 to be detected is controlled to emit light through thecontrol transistor 307; eachcontrol transistor 307 controls one of theleds 101 to emit light to realize independent control of each of theleds 101, and when any one of theleds 101 is shorted, theother leds 101 will not be affected to emit light normally.
The electro-detection device in the detection apparatus provided by the embodiment further includes animage acquisition device 40, where theimage acquisition device 40 is configured to acquire an image of thelight emitting diode 101 to be detected, which is in contact with the power supply head. By the arrangement, the images of all theLEDs 101 to be detected corresponding to thesubstrate 30 can be obtained, and then the positions of theLEDs 101 to be detected with abnormal luminescence can be accurately determined according to the images, so that the detection is more accurate.
In the present embodiment, theimage pickup device 40 may include an image sensor or a camera or the like as long as it can pick up an image of thelight emitting diode 101 to be tested in the lower portion of thesubstrate 30. For example, when theimage capturing device 40 is an image sensor, the brightness of eachlight emitting diode 101 to be tested can be obtained according to the image sensor, and then whether thelight emitting diode 101 to be tested emits light normally can be determined according to the brightness; for example: when thelight emitting diode 101 to be tested emits light abnormally, the position corresponding to thelight emitting diode 101 to be tested is judged to be too bright or too dark in the image obtained by the image sensor.
It should be noted that, theimage capturing device 40 may be disposed at a lower portion of the carryingplatform 20, and the carryingplatform 20 should be a transparent platform, so that the light emitted by thelight emitting diode 101 to be tested passes through thesapphire substrate 10 and the carryingplatform 20 and is captured by theimage capturing device 40. Of course, theimage capturing device 40 may also be disposed at the upper portion of the carryingplatform 20, where, in order to avoid thesubstrate 30 blocking the light emitted by thelight emitting diode 101 to be tested from being emitted to theimage capturing device 40, theimage capturing device 40 may be disposed at the outer side of the connection line between thesubstrate 30 and the carryingplatform 20; or theimage capturing device 40 is disposed on a side of thesubstrate 30 away from the carryingplatform 20, where thesubstrate 30 needs to be set to be atransparent substrate 30 or a light passing hole is formed on thesubstrate 30 corresponding to each led 101 to be tested, so that the light emitted by the led 101 to be tested can be received by theimage capturing device 40.
In this example, the power supply head includes aflexible carrier 301, agroove 304 is provided on a side of theflexible carrier 301 facing away from thesubstrate 30, protrusions are provided on two opposite sidewalls of thegroove 304, afirst contact 302 is provided on a side of one of the protrusions facing away from the substrate, and asecond contact 303 is provided on a side of the other protrusion facing away from the substrate; a gap is formed between the wall, adjacent to the protrusion, of thegroove 304 and the protrusion, thefirst contact 302 is used for contacting with one electrode of thelight emitting diode 101 to be tested, and thesecond contact 303 is used for contacting with the other electrode of thelight emitting diode 101 to be tested; there is a gap between thefirst contact 302 and thesecond contact 303. By the arrangement, the carrying platform has flexibility, so that the damage of thelight emitting diode 101 to be detected caused by the power supply head striking thelight emitting diode 101 to be detected when thesubstrate 30 is moved to enable the power supply head to be in contact with thelight emitting diode 101 to be detected can be avoided; in addition, theflexible carrier 301 may be compressed appropriately, so that thefirst contact 302 and thesecond contact 303 on eachflexible carrier 301 can be well contacted with the correspondinglight emitting diode 101 to be tested, and poor contact between thefirst contact 302 and thesecond contact 303 of a part of power supply head and the correspondinglight emitting diode 101 to be tested caused by warpage of thesapphire substrate 10 or different heights of thelight emitting diodes 101 to be tested on thesapphire substrate 10 is avoided.
Theflexible stage 301 may be mainly made of flexible materials such as PDMS (polydimethylsiloxane) and silicon.
Thegroove 304 is provided on theflexible carrier 301, so that when theflexible carrier 301 contacts with thelight emitting diode 101 to be tested, the deformation amount of theflexible carrier 301 can be increased, and damage of thelight emitting diode 101 to be tested and poor contact between thefirst contact 302 and thesecond contact 303 and the correspondinglight emitting diode 101 to be tested can be further avoided.
Illustratively, as shown in FIG. 5, thegroove 304 may be an "I" shaped groove.
With continued reference to fig. 1-14. The detection device provided in this embodiment further includes a photo-induced detection apparatus, where the photo-induced detection apparatus includes: alight source 50, alens assembly 60 and alight detection device 80, wherein the light emitted by thelight source 50 irradiates on alight emitting diode 101 to be detected; thelens assembly 60 is disposed between thelight emitting diode 101 to be measured and the light detectingdevice 80, thelens assembly 60 is configured to collect fluorescence generated after thelight emitting diode 101 to be measured is irradiated by thelight source 50 to the light detectingdevice 80, and the light detectingdevice 80 is configured to detect spectral information of the fluorescence. TheLED 101 to be tested can be further tested by the arrangement, so that the testing functions are enriched.
Specifically, thelight source 50 may be an illuminating lamp or a laser source, so long as the light emitted by thelight source 50 is ensured to irradiate on thelight emitting diode 101 to be tested, and thelight emitting diode 101 to be tested emits fluorescence.
Thelight detection device 80 may include a spectrometer, an image sensor, and an integrating sphere. The spectrum information of the fluorescence emitted by thelight emitting diode 101 to be measured can be directly obtained by a spectrometer, and the brightness of the fluorescence can be obtained by an image sensor. Wherein the integrating sphere is used to calibrate the image sensor.
In this embodiment, the photo detection device further comprises amirror 70, themirror 70 being arranged between thelens assembly 60 and thephoto detection device 80 for reflecting light from thelens assembly 60 towards thephoto detection device 80. Thelight detection device 80 may then be arranged outside the main optical axis of thelens assembly 60, facilitating the arrangement of thelight detection device 80.
Illustratively, thelight source 50 may be disposed on the primary optical axis of thelens assembly 60 such that light rays emitted by thelight source 50 pass through thelens assembly 60 and are directed toward thesapphire substrate 10. Of course, thelight source 50 may also be disposed outside the main optical axis of thelens assembly 60, and the light emitted from thelight source 50 directly irradiates thesapphire substrate 10.
In this embodiment, thelens assembly 60 includes at least one convex lens. When there are a plurality of convex lenses, the main optical axes of the convex lenses are arranged in a collinear manner, and the positions of the convex lenses are reasonably arranged, so that thelens assembly 60 has a magnifying function.
In this embodiment, the image sensor needs to be calibrated before detection by the photo detection device, and illustratively, the calibration may be performed by an integrating sphere; specifically, firstly, a standard light source with known brightness is taken, the brightness of the standard light source is obtained through an integrating sphere, and the obtained brightness value is adjusted to the known brightness of the standard light source, so that the calibration of the integrating sphere is realized; wherein the standard light source may be alight emitting diode 101 to be tested or other light emitting diode on thesapphire substrate 10, which emits light by means of electroluminescence or photoluminescence. Then, a singlelight emitting diode 101 to be tested or other single light emitting diodes on thesapphire substrate 10 emit fluorescence in an illumination mode, thelight emitting diode 101 to be tested is detected through a calibrated integrating sphere and an image sensor respectively, a first brightness value is obtained through the integrating sphere, a second brightness value is obtained through the image sensor, and the value obtained by dividing the first brightness value by the second brightness value is a correction coefficient; in the subsequent detection process, the product of the brightness value acquired by the image sensor and the correction coefficient is used as a detection result, so that the accuracy of the detection result is improved. It should be noted that, in order to ensure accuracy of the detection result, calibration of the image sensor needs to be performed regularly.
Similarly, when the image acquisition device in the electrodetection apparatus is an image sensor, calibration can also be performed by the integrating sphere.
In this embodiment, thelight emitting diode 101 to be detected on thesapphire substrate 10 may be detected by a photo detection device, so as to obtain data such as brightness and spectrum of fluorescence emitted by thelight emitting diode 101 to be detected on thesapphire substrate 10; and selecting asapphire substrate 10 qualified by detection of a photo-induced detection device, and detecting thelight emitting diode 101 to be detected on thesapphire substrate 10 by the photo-induced detection device to ensure detection accuracy. Wherein, the detection can be determined to be qualified when the brightness of the fluorescence emitted by thelight emitting diode 101 to be detected on thesapphire substrate 10 is detected by the photo detection device to be uniform and the distribution is uniform.
Further, in the present embodiment, thelight sources 50 are plural, and the plurallight sources 50 are arranged in an array. This arrangement can improve the uniformity of thelight emitting diode 101 to be measured irradiated in the region corresponding to the photodetection device.
For example, when thelight source 50 is a laser source, a plurality of laser sources are arranged in an array, and each laser source corresponds to onelight emitting diode 101 to be tested; as shown in fig. 10 and 11, the plurality of laser sources may be controlled to emit light, so that thelight source 50 emits fluorescence corresponding to the plurality ofleds 101 to be tested; as shown in fig. 9, it is of course also possible to control one laser source to emit light so that the led 101 to be tested corresponding to the laser source emits fluorescence, and only a single led 101 to be tested emits fluorescence.
In detection, the 6leds 101 to be detected in fig. 10 can be made to emit light by a power supply head on thesubstrate 30. The 6light emitting diodes 101 to be tested are distributed in a first column and a third column from left to right, 3light emitting diodes 101 to be tested are arranged in each column, and thelight emitting diodes 101 to be tested in the first last row, the third last row and the fifth last row in each column emit fluorescence, so that the crosstalk of fluorescence emitted by adjacentlight emitting diodes 101 to be tested can be avoided; after the detection in fig. 11, thelight source 50 is moved to the right by one column to continue the detection until the detection is completed.
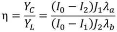
With continued reference to FIGS. 13 and 14, in which I0 For the light power of the light source, I1 For the first transmitted light power, I2 For the second transmitted light power, I1 For the first excitation light power, J2 Is the second excitation light power. The detection device in this embodiment further includes an optical power meter, where the optical power meter is configured to detect a light source optical power of thelight source 50, a first excitation optical power of fluorescence emitted by thelight emitting diode 101 to be detected at a first temperature, a first transmission optical power of fluorescence emitted by thelight emitting diode 101 to be detected at the first temperature, a second excitation optical power of fluorescence emitted by thelight emitting diode 101 to be detected at a second temperature, and a second transmission optical power of fluorescence emitted by thelight emitting diode 101 to be detected at the second temperature; the optical power meter can alsoFor obtaining internal quantum efficiency.
Specifically, the internal quantum efficiency can be obtained according to the following formula:
Figure BDA0002234452500000121
Figure BDA0002234452500000122
wherein I is0 For the light power of the light source, I1 For the first transmitted light power, I2 Lambda is the second transmission light powera Lambda is the wavelength of thelight source 50 at the first temperatureb Lambda is the wavelength of thelight source 50 at the second temperaturev For the wavelength of fluorescence emitted by the light-emitting diode to be measured, eta is the internal quantum efficiency, h is the Planck constant, c is the light speed, YC For the external quantum efficiency at the first temperature, YL For external quantum efficiency at a second temperature, J1 For the first excitation light power, J2 Is the second excitation light power. The arrangement can detect the internal quantum efficiency of thelight emitting diode 101 to be detected, and further judge whether thelight emitting diode 101 to be detected is normal or not according to the internal quantum efficiency.
For example, when the internal quantum efficiency of thelight emitting diode 101 to be measured is detected to be lower than the preset value, thelight emitting diode 101 to be measured is abnormal, and when the internal quantum efficiency of thelight emitting diode 101 to be measured is detected to be greater than or equal to the preset value, thelight emitting diode 101 to be measured is normal. The preset value is a minimum value for ensuring the internal quantum efficiency of the led 101 to be tested during normal operation.
Specifically, the first temperature is different from the second temperature, for example: the first temperature may be 20 ℃ to 30 ℃, and the second temperature may be 15 ℃ to-50 ℃, with the first temperature and the second temperature being not limited in this example.
It should be noted that, when the internal quantum efficiency is detected, thelight source 50 can be made to irradiate only one led 101 to be detected, so as to detect one led 101 to be detected, thereby obtaining the internal quantum efficiency of the led 101 to be detected, and further judging whether the led 101 to be detected is normal. Further,other leds 101 to be tested on theentire sapphire substrate 10 may be inspected thereafter, either individually or by spot inspection. Of course, in the embodiment, thelight source 50 may be further configured to irradiate a plurality ofleds 101 to be tested, and further detect the plurality ofleds 101 to be tested, so as to obtain the internal quantum efficiency of theleds 101 to be tested.
The specific detection method of the detection device provided in this embodiment is exemplary: firstly, detecting a light emitting diode 101 to be detected on a sapphire substrate 10 through a photo-induced detection device, further acquiring data such as brightness, spectrum information and the like of fluorescence emitted by the light emitting diode 101 to be detected on the sapphire substrate 10, and analyzing the acquired data to judge whether the light emitting diode 101 to be detected on the sapphire substrate 10 is qualified or not; if the light emitting diode 101 to be detected on the sapphire substrate 10 is qualified, detecting the light emitting diode 101 to be detected on the sapphire substrate 10 through an electro-detection device, specifically, lighting the light emitting diode 101 to be detected through a power supply head on the substrate 30, acquiring an image through the image acquisition device 40, and judging whether the light emitting diode 101 to be detected emits light normally or not according to the image; before the above detection process or after the above detection process, the light source light power of the light source 50, the first excitation light power of the fluorescence emitted by the light emitting diode 101 to be detected at the first temperature, the first transmission light power transmitted through the light emitting diode 101 to be detected at the first temperature, the second excitation light power of the fluorescence emitted by the light emitting diode 101 to be detected at the second temperature, and the second transmission light power transmitted through the light emitting diode 101 to be detected at the second temperature are detected by the light power meter, so as to calculate the internal quantum efficiency, and determine whether the light emitting diode 101 to be detected is qualified according to the internal quantum efficiency. It should be noted that, before thelight emitting diode 101 to be tested on thesapphire substrate 10 is tested by the photo-detection device, the calibration of the image sensor in the photo-detection device is required to ensure the accuracy of the test.
In the description of the present invention, it should be understood that the terms "center", "longitudinal", "lateral", "length", "width", "thickness", "upper", "lower", "front", "rear", "left", "right", "vertical", "horizontal", "top", "bottom", "inner", "outer", "clockwise", "counterclockwise", "axial", "radial", "circumferential", etc. indicate orientations or positional relationships based on the orientations or positional relationships shown in the drawings are merely for convenience in describing the present invention and simplifying the description, and do not indicate or imply that the device or element being referred to must have a specific orientation, be configured and operated in a specific orientation, and therefore should not be construed as limiting the present invention.
In the present invention, unless explicitly stated otherwise, the terms "mounted," "connected," "secured," and the like are to be construed broadly, e.g., as fixed connections, as removable connections, as integral forms, as mechanical connections, as electrical connections, or as communicable with each other; either directly or indirectly, through intermediaries, or both, in communication with each other or in interaction with each other, unless expressly defined otherwise. The specific meaning of the above terms in the present invention can be understood by those of ordinary skill in the art according to the specific circumstances.
Finally, it should be noted that: the above embodiments are only for illustrating the technical solution of the present invention, and not for limiting the same; although the invention has been described in detail with reference to the foregoing embodiments, it will be understood by those of ordinary skill in the art that: the technical scheme described in the foregoing embodiments can be modified or some or all of the technical features thereof can be replaced by equivalents; such modifications and substitutions do not depart from the spirit of the invention.

Claims (15)

1. A detection apparatus, characterized by comprising: an electrodetection apparatus, the electrodetection apparatus comprising: the LED display device comprises a substrate and a plurality of power supply heads arranged on the substrate in an array manner, wherein a plurality of control transistors are arranged in the substrate, each control transistor is electrically connected with one power supply head, and the power supply heads are used for being contacted with electrodes of an LED to be tested so as to drive the LED to emit light under the control of the control transistor;
the power supply head comprises a flexible carrying platform, a groove is formed in one side, away from the substrate, of the flexible carrying platform, and protrusions are arranged on two opposite side walls of the groove.
2. The detection apparatus according to claim 1, wherein the electro-active detection device further comprises an image acquisition means for acquiring an image of the light emitting diode to be tested in contact with the power supply head.
3. The detection device according to claim 1, wherein one of the protrusions is provided with a first contact on a side facing away from the substrate and the other protrusion is provided with a second contact on a side facing away from the substrate; a gap is formed between the wall, adjacent to the protrusion, of the groove and the protrusion, the first contact is used for being in contact with one electrode of the light emitting diode to be tested, the second contact is used for being in contact with the other electrode of the light emitting diode to be tested, and a gap is formed between the first contact and the second contact.
4. The detection apparatus according to claim 1, further comprising a photo detection device comprising: the light source, the lens component and the light detection equipment are used for emitting light rays to the light-emitting diode to be detected; the lens component is arranged between the light emitting diode to be detected and the light detection device, and is used for converging fluorescence generated after the light source irradiates on the light emitting diode to be detected to the light detection device, and the light detection device is used for detecting spectral information of the fluorescence.
5. The detection apparatus according to claim 4, wherein the light detection device includes a spectrometer, an image sensor, and an integrating sphere.
6. The detection apparatus according to claim 4, wherein the photodetection device further comprises a mirror disposed between the lens assembly and the photodetection device for reflecting light from the lens assembly toward the photodetection device.
7. The detection apparatus according to any one of claims 4-6, wherein the lens assembly comprises at least one convex lens.
8. The device of any one of claims 4-6, wherein the light sources are a plurality and the plurality of light sources are arranged in an array.
9. The apparatus according to any one of claims 4 to 6, further comprising an optical power meter for detecting a light source optical power of the light source, a first excitation optical power of fluorescence emitted from the light emitting diode under test at a first temperature, a first transmission optical power of fluorescence emitted from the light emitting diode under test at the first temperature, a second excitation optical power of fluorescence emitted from the light emitting diode under test at a second temperature, and a second transmission optical power of fluorescence emitted from the light emitting diode under test at the second temperature.
10. The apparatus of claim 9, wherein the optical power meter is configured to obtain internal quantum efficiency.
11. The device of any one of claims 1-6, wherein the substrate is a silicon-based back plate and the control transistor is a MOS transistor.
12. The device of claim 7, wherein the substrate is a silicon-based back plate and the control transistor is a MOS transistor.
13. The device of claim 8, wherein the substrate is a silicon-based back plate and the control transistor is a MOS transistor.
14. The device of claim 9, wherein the substrate is a silicon-based back plate and the control transistor is a MOS transistor.
15. The device of claim 10, wherein the substrate is a silicon-based back plate and the control transistor is a MOS transistor.
CN201910978580.4A2019-10-152019-10-15Detection deviceActiveCN112670201B (en)

Priority Applications (1)

Application NumberPriority DateFiling DateTitle
CN201910978580.4ACN112670201B (en)2019-10-152019-10-15Detection device

Applications Claiming Priority (1)

Application NumberPriority DateFiling DateTitle
CN201910978580.4ACN112670201B (en)2019-10-152019-10-15Detection device

Publications (2)

Publication NumberPublication Date
CN112670201A CN112670201A (en)2021-04-16
CN112670201Btrue CN112670201B (en)2023-06-27

Family

ID=75400198

Family Applications (1)

Application NumberTitlePriority DateFiling Date
CN201910978580.4AActiveCN112670201B (en)2019-10-152019-10-15Detection device

Country Status (1)

CountryLink
CN (1)CN112670201B (en)

Families Citing this family (2)

* Cited by examiner, † Cited by third party
Publication numberPriority datePublication dateAssigneeTitle
CN115791837B (en)*2023-01-292023-06-09深圳蓝普视讯科技有限公司Micro-LED defect light detection probe and defect detection method
CN118533863B (en)*2024-07-262025-09-23苏州华兴源创科技股份有限公司 Display device defect detection method, detection system and detection device

Citations (5)

* Cited by examiner, † Cited by third party
Publication numberPriority datePublication dateAssigneeTitle
CN107039298A (en)*2016-11-042017-08-11厦门市三安光电科技有限公司Transfer device, transfer method, manufacture method, device and the electronic equipment of microcomponent
KR20180018643A (en)*2018-02-122018-02-21엘지디스플레이 주식회사Apparatus for protecting a light emitting diode and liquid crystal display using the same
CN109449259A (en)*2018-10-312019-03-08青岛海信电器股份有限公司Micro-led lamp plate, its production method, backlight module and display device
CN109686828A (en)*2019-01-082019-04-26京东方科技集团股份有限公司A kind of Micro LED and its array substrate, detection device and detection method
CN109927403A (en)*2019-04-192019-06-25云谷(固安)科技有限公司The production method and transfer method of a kind of transfer device, transfer device

Family Cites Families (2)

* Cited by examiner, † Cited by third party
Publication numberPriority datePublication dateAssigneeTitle
KR102538996B1 (en)*2017-06-202023-05-31애플 인크. Light emitting diode (LED) test device and manufacturing method
CN109148506B (en)*2018-08-242021-04-13上海天马微电子有限公司Micro LED transfer method, display panel and display device

Patent Citations (5)

* Cited by examiner, † Cited by third party
Publication numberPriority datePublication dateAssigneeTitle
CN107039298A (en)*2016-11-042017-08-11厦门市三安光电科技有限公司Transfer device, transfer method, manufacture method, device and the electronic equipment of microcomponent
KR20180018643A (en)*2018-02-122018-02-21엘지디스플레이 주식회사Apparatus for protecting a light emitting diode and liquid crystal display using the same
CN109449259A (en)*2018-10-312019-03-08青岛海信电器股份有限公司Micro-led lamp plate, its production method, backlight module and display device
CN109686828A (en)*2019-01-082019-04-26京东方科技集团股份有限公司A kind of Micro LED and its array substrate, detection device and detection method
CN109927403A (en)*2019-04-192019-06-25云谷(固安)科技有限公司The production method and transfer method of a kind of transfer device, transfer device

Also Published As

Publication numberPublication date
CN112670201A (en)2021-04-16

Similar Documents

PublicationPublication DateTitle
JP6131250B2 (en) Method and apparatus for inspection of light emitting semiconductor devices using photoluminescence imaging
KR101101132B1 (en) Light emitting device inspection device and light emitting device inspection method using the same
KR102286322B1 (en)Micro led inspection system and method
CN113646877B (en) Inspection device and inspection method
KR101350214B1 (en)Noncontact inspecting apparatus for light emitting diode and method thereof
TWI866767B (en) Inspection device and inspection method
JP2012208121A (en)Light-emitting device inspecting apparatus and method
US12405228B2 (en)Inspection apparatus and inspection method
CN112670201B (en)Detection device
US20240178073A1 (en)Manufacturing method, inspection method, and inspection device
TWI793091B (en)Led light source probe card technology for testing cmos image scan devices
US7589541B2 (en)Method and apparatus for inspecting solid-state image pick-up device
JP2006250656A (en)Method and apparatus for measuring illuminance unevenness of light emitting device array
WO2020095699A1 (en)Inspection apparatus and inspection method
KR101447716B1 (en)Device for Investigating Epiwafer and Method for Investigating the Same
US12073556B2 (en)Defect inspection system and semiconductor fabrication apparatus including a defect inspection apparatus using the same
KR101046057B1 (en) Light emitting device inspection device and light emitting device inspection method using the same
TW201334016A (en)Method and system for identifying defects on substrate
CN114764045A (en)Test apparatus, test method, and computer-readable storage medium
KR101015792B1 (en) Inspection jig for side emitting LED array
KR101350218B1 (en)Inspection apparatus for led including confocal sensor
KR101293493B1 (en)LED inspection apparatus and inspection method using the same
TWI409476B (en)Method of testing a light emitting diode die
CN104101482B (en) Light-emitting module detection device and light-emitting module detection method
KR20230066183A (en)Method for testing light emitting device and apparatus for testing light emitting device

Legal Events

DateCodeTitleDescription
PB01Publication
PB01Publication
SE01Entry into force of request for substantive examination
SE01Entry into force of request for substantive examination
GR01Patent grant
GR01Patent grant

[8]ページ先頭

©2009-2025 Movatter.jp