Movatterモバイル変換


[0]ホーム

URL:


CN112669332A - Method for judging sea and sky conditions and detecting infrared target based on bidirectional local maximum and peak local singularity - Google Patents

Method for judging sea and sky conditions and detecting infrared target based on bidirectional local maximum and peak local singularity
Download PDF

Info

Publication number
CN112669332A
CN112669332ACN202011582339.9ACN202011582339ACN112669332ACN 112669332 ACN112669332 ACN 112669332ACN 202011582339 ACN202011582339 ACN 202011582339ACN 112669332 ACN112669332 ACN 112669332A
Authority
CN
China
Prior art keywords
sea
sky
peak
local
image
Prior art date
Legal status (The legal status is an assumption and is not a legal conclusion. Google has not performed a legal analysis and makes no representation as to the accuracy of the status listed.)
Granted
Application number
CN202011582339.9A
Other languages
Chinese (zh)
Other versions
CN112669332B (en
Inventor
董丽丽
马冬冬
田长志
许文海
Current Assignee (The listed assignees may be inaccurate. Google has not performed a legal analysis and makes no representation or warranty as to the accuracy of the list.)
Dalian Maritime University
Original Assignee
Dalian Maritime University
Priority date (The priority date is an assumption and is not a legal conclusion. Google has not performed a legal analysis and makes no representation as to the accuracy of the date listed.)
Filing date
Publication date
Application filed by Dalian Maritime UniversityfiledCriticalDalian Maritime University
Priority to CN202011582339.9ApriorityCriticalpatent/CN112669332B/en
Publication of CN112669332ApublicationCriticalpatent/CN112669332A/en
Application grantedgrantedCritical
Publication of CN112669332BpublicationCriticalpatent/CN112669332B/en
Expired - Fee Relatedlegal-statusCriticalCurrent
Anticipated expirationlegal-statusCritical

Links

Images

Classifications

Landscapes

Abstract

The invention provides a method for judging sea and sky conditions and detecting an infrared target based on a bidirectional local maximum and a peak local singularity, which comprises the following steps: firstly, inputting a frame of marine infrared image, and performing wavelet denoising on the image based on a haar wavelet basis; then, refining the sea-sky area by adopting a bidirectional local maximum method, extracting a suspected sea-sky antenna, designing a 'false removing' strategy to remove wave fluctuation interference, and realizing accurate positioning of the sea-sky antenna; secondly, detecting small targets (pixels 2x 2-9 x9) in the sea and sky area by applying a peak local singularity method; and finally, a CEDoG filtering method is adopted to inhibit the background, the target significance is improved, and the accuracy and the integrity of the marine target detection are realized by searching the most significant region and a self-designed region growing rule by adopting a maximum between-class variance method.

Description

Method for judging sea and sky conditions and detecting infrared target based on bidirectional local maximum and peak local singularity
Technical Field
The invention relates to the technical field of image processing, in particular to a method for judging sea and sky conditions and detecting an infrared target based on bidirectional local maximum and peak local singularity
Background
With the development of economy and science and technology, the activities of the sea are continuously increased, and due to the complex and changeable marine environment, the detection, identification and tracking of targets at long distances on the sea are always difficult and bottleneck problems in the fields of modern military and civil use. The detection of small or multiple infrared targets of unknown position and velocity in complex environments is a significant problem in infrared search and tracking systems, a necessary application for the introduction of warnings from distant locations from targets at sea.
In recent years, maritime search and rescue equipment is mainly composed of a visible light camera and an infrared camera. Compared with a visible light camera, the infrared camera has the advantages of strong fog penetration, long shooting distance and capability of working day and night, so that an infrared search and tracking system becomes a main method for detecting a marine long-distance target. The marine environment with uncertain background clutter and sea wave noise is still the most complex situation that appears when detecting a remote target, and brings great difficulty and challenge to target detection. And has been studied and discussed by a wide range of scholars.
Disclosure of Invention
According to the technical problem, the invention provides a method for judging sea-sky conditions and detecting infrared targets based on two-way local maximum and peak local singularity, firstly, refining a sea-sky area by adopting the two-way local maximum method, extracting suspected sea-sky antennas, and designing a 'false-removing' strategy to obtain the precisely positioned sea-sky antennas; secondly, detecting small targets (pixels 2x 2-9 x9) in the sea and air area by using a local peak singularity method; and finally, a CEDoG filtering method is adopted to inhibit the background and improve the significance of the target, and the method adopts a maximum between-class variance method to search a most significant region and a self-designed region growth rule so as to ensure the accuracy and the integrity of the target detection in the ocean region.
The technical means adopted by the invention are as follows:
a method for judging sea and sky conditions and detecting infrared targets based on bidirectional local maximum and peak local singularity comprises the following steps:
s1, inputting a frame of infrared marine image, and performing wavelet denoising on the input infrared marine image based on a haar wavelet basis to obtain a low-frequency image;
s2, adopting [ 1/61/61/6; 000; -1/6-1/6-1/6 ] operator convolves the low-frequency image obtained in step S1, converts the spatial domain into a gradient domain, obtains all rough texture information under the low-frequency image, and determines a minimum cut-off value of the texture information by using a root mean square estimation threshold method;
s3, refining the texture information obtained in the step S2 through a bidirectional local maximum method to obtain sea-sky texture information, designing a 'false removing' strategy to remove wave fluctuation interference, realizing detection of sea-sky antennas, and obtaining accurately positioned sea-sky antennas;
s4, performing convolution on the area near the sea-sky-line obtained in the step S3 and a peak filter to detect a peak point, eliminating peak point interference on the sea-sky-line by adopting a peak local singularity method, and performing expansion operation on the peak point to detect a target near the sea-sky-line;
s5, processing the sea area below the sea antenna obtained in the step S3 by adopting a CEDoG filtering method, obtaining an adaptive threshold value through the mean value and the variance of a result graph, carrying out image segmentation on the sea area below the sea antenna after processing, segmenting the image by adopting a maximum inter-class variance method with a high threshold value, eliminating noise points and reconstructing the original area of a target area, and carrying out region growth on seed points to realize the detection of the sea target;
and S6, integrating the detection results obtained in the steps S4 and S5, and realizing the detection of the targets near the whole sea surface and sea antennas.
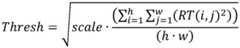
Further, the root mean square estimation threshold method adopted in step S2 has the following formula:
Figure BDA0002865483470000021
where scale represents the scale, h represents the height of the image, and w represents the width of the image.
Further, the bidirectional local maximum method in step S3 is specifically:
and if the reference point has the maximum gray value in any one of the two directions, the reference point is regarded as a suspected reference point constituting the sea-sky-line.
Further, the detection of the sea-sky-line in the step S3 specifically includes:
and calculating the difference value of the left end point and the right end point of each connected domain in the horizontal direction, and setting 0.78 × width as a final threshold value to accurately position the sea-sky-line, wherein the width represents the width of the image.
Further, the peak local singularity method adopted in step S4 specifically includes:
and finding out the position corresponding to the suspected target point, calculating the local singularity of each area, and reserving the area above the intermediate value as a detection result.
Further, the step S5, which uses the CEDoG filtering method specifically includes:
σfe=2.7-S/1600
σbi=0.5+S×0.15
wherein σfeAnd σbiRepresenting the parameters of foreground boosting and background suppression, respectively.
Compared with the prior art, the invention has the following advantages:
1. the method for judging the sea-sky condition and detecting the infrared target based on the two-way local maximum and the peak local singularity, provided by the invention, has the advantages that the sea-sky texture information is further refined by solving the two-way local maximum when the sea-sky antenna is detected, and compared with other sea-sky-antenna detection methods, the method provided by the invention is extremely favorable for accurately positioning the sea-sky antenna.
2. The invention provides a method for judging sea-sky conditions and detecting infrared targets based on bidirectional local maximum values and peak local singularities, which aims to realize accurate detection of targets near sea-sky antennas.
3. The invention provides a method for judging sea-sky conditions and detecting an infrared target based on a bidirectional local maximum and a peak local singularity, which aims to achieve the purposes of accurate detection and reservation of the original area size of the target.
4. Compared with other sea surface infrared image detection modes, the method has robustness for improving SCR and BSF values of images, has high accuracy, recall rate and short running time, and has excellent performance in the aspects of detection rate and false alarm rate.
For the above reasons, the present invention can be widely applied to the fields of image processing and the like.
Drawings
In order to more clearly illustrate the embodiments of the present invention or the technical solutions in the prior art, the drawings needed to be used in the description of the embodiments or the prior art will be briefly introduced below, and it is obvious that the drawings in the following description are some embodiments of the present invention, and for those skilled in the art, other drawings can be obtained according to these drawings without creative efforts.
FIG. 1 is a schematic flow chart of the method of the present invention.
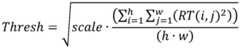
Fig. 2 is a test picture and a segmentation result provided in the embodiment of the present invention.
Detailed Description
In order to make the technical solutions of the present invention better understood, the technical solutions in the embodiments of the present invention will be clearly and completely described below with reference to the drawings in the embodiments of the present invention, and it is obvious that the described embodiments are only a part of the embodiments of the present invention, and not all of the embodiments. All other embodiments, which can be derived by a person skilled in the art from the embodiments given herein without making any creative effort, shall fall within the protection scope of the present invention.
It should be noted that the terms "first," "second," and the like in the description and claims of the present invention and in the drawings described above are used for distinguishing between similar elements and not necessarily for describing a particular sequential or chronological order. It is to be understood that the data so used is interchangeable under appropriate circumstances such that the embodiments of the invention described herein are capable of operation in sequences other than those illustrated or described herein. Furthermore, the terms "comprises," "comprising," and "having," and any variations thereof, are intended to cover a non-exclusive inclusion, such that a process, method, system, article, or apparatus that comprises a list of steps or elements is not necessarily limited to those steps or elements expressly listed, but may include other steps or elements not expressly listed or inherent to such process, method, article, or apparatus.
Examples
As shown in fig. 1, the present invention provides a method for determining a sea-sky condition and detecting an infrared target based on a bidirectional local maximum and a peak local singularity, comprising the following steps:
s1, as shown in FIG. 2, inputting a frame of infrared marine image, and performing wavelet denoising on the input infrared marine image based on a haar wavelet basis to obtain a low-frequency image;
s2, adopting [ 1/61/61/6; 000; -1/6-1/6-1/6 ] operator convolves the low-frequency image obtained in step S1, converts the spatial domain into a gradient domain, obtains all rough texture information under the low-frequency image, and determines a minimum cut-off value of the texture information by using a root mean square estimation threshold method;
in a specific implementation, as a preferred embodiment of the present invention, the root mean square estimation threshold method used in step S2 has the following formula:
Figure BDA0002865483470000051
where scale represents the scale, h represents the height of the image, and w represents the width of the image.
S3, refining the texture information obtained in the step S2 through a bidirectional local maximum method to obtain sea-sky texture information, designing a 'false removing' strategy to eliminate wave fluctuation interference, realizing detection of sea antennas, obtaining accurately positioned sea antennas, removing sky areas, and splitting infrared pictures into sea-antenna areas and sea surface areas, as shown in figure 2.
In a specific implementation, as a preferred embodiment of the present invention, the bidirectional local maximum method in step S3 specifically includes: and if the reference point has the maximum gray value in any one of the two directions, the reference point is regarded as a suspected reference point constituting the sea-sky-line.
The detection of the sea-sky-line in the step S3 specifically includes: and calculating the difference value of the left end point and the right end point of each connected domain in the horizontal direction, and setting 0.78 × width as a final threshold value to accurately position the sea-sky-line, wherein the width represents the width of the image.
S4, performing convolution on the area near the sea-sky-line obtained in the step S3 and a peak filter to detect a peak point, as shown in figure 2, eliminating peak point interference on the sea-sky-line by adopting a peak local singularity method, as shown in figure 2, and performing expansion operation on the peak point to detect a target near the sea-sky-line;
in a specific implementation, as a preferred embodiment of the present invention, the method for local singularity of peak values adopted in step S4 specifically includes: and finding out the position corresponding to the suspected target point, calculating the local singularity of each area, and reserving the area above the intermediate value as a detection result.
S5, processing the sea area below the sea antenna obtained in the step S3 by adopting a CEDoG filtering method, obtaining an adaptive threshold value through the mean value and the variance of a result graph, carrying out image segmentation on the sea area below the sea antenna after processing, segmenting the image by adopting a maximum inter-class variance method with a high threshold value, eliminating noise points and reconstructing the original area of a target area, and carrying out region growth on seed points to realize the detection of the sea target;
in specific implementation, as a preferred embodiment of the present invention, the step S5 specifically includes:
σfe=2.7-S/1600
σbi=0.5+S×0.15
wherein σfeAnd σbiRepresenting the parameters of foreground boosting and background suppression, respectively. In the present embodiment, σfe=2.66,σbiThe lower sea area of the sea-sky-line after processing is shown in fig. 2, and the adaptive threshold obtained by the mean and variance of the result map is 1.58 ═ 10.10
S6, integrating the detection results obtained in the steps S4 and S5 to realize the detection of the targets near the whole sea surface and sea antennas, wherein the obtained detection results are shown in FIG. 2.
Finally, it should be noted that: the above embodiments are only used to illustrate the technical solution of the present invention, and not to limit the same; while the invention has been described in detail and with reference to the foregoing embodiments, it will be understood by those skilled in the art that: the technical solutions described in the foregoing embodiments may still be modified, or some or all of the technical features may be equivalently replaced; and the modifications or the substitutions do not make the essence of the corresponding technical solutions depart from the scope of the technical solutions of the embodiments of the present invention.

Claims (6)

1. A method for judging sea and sky conditions and detecting infrared targets based on bidirectional local maximum and peak local singularity is characterized by comprising the following steps:
s1, inputting a frame of infrared marine image, and performing wavelet denoising on the input infrared marine image based on a haar wavelet basis to obtain a low-frequency image;
s2, adopting [ 1/61/61/6; 000; -1/6-1/6-1/6 ] operator convolves the low-frequency image obtained in step S1, converts the spatial domain into a gradient domain, obtains all rough texture information under the low-frequency image, and determines a minimum cut-off value of the texture information by using a root mean square estimation threshold method;
s3, refining the texture information obtained in the step S2 through a bidirectional local maximum method to obtain sea-sky texture information, designing a 'false removing' strategy to remove wave fluctuation interference, realizing detection of sea-sky antennas, and obtaining accurately positioned sea-sky antennas;
s4, performing convolution on the area near the sea-sky-line obtained in the step S3 and a peak filter to detect a peak point, eliminating peak point interference on the sea-sky-line by adopting a peak local singularity method, and performing expansion operation on the peak point to detect a target near the sea-sky-line;
s5, processing the sea area below the sea antenna obtained in the step S3 by adopting a CEDoG filtering method, obtaining an adaptive threshold value through the mean value and the variance of a result graph, carrying out image segmentation on the sea area below the sea antenna after processing, segmenting the image by adopting a maximum inter-class variance method with a high threshold value, eliminating noise points and reconstructing the original area of a target area, and carrying out region growth on seed points to realize the detection of the sea target;
and S6, integrating the detection results obtained in the steps S4 and S5, and realizing the detection of the targets near the whole sea surface and sea antennas.
2. The method for determining the conditions of the sea and detecting the infrared target based on the two-way local maxima and the peak local singularities of claim 1, wherein the root mean square estimation threshold method used in step S2 is as follows:
Figure FDA0002865483460000011
where scale represents the scale, h represents the height of the image, and w represents the width of the image.
3. The method for determining the sea-sky condition and detecting the infrared target based on the two-way local maxima and the peak local singularity according to claim 1, wherein the two-way local maxima method in step S3 is specifically:
and if the reference point has the maximum gray value in any one of the two directions, the reference point is regarded as a suspected reference point constituting the sea-sky-line.
4. The method for determining the sea-sky condition and detecting the infrared target based on the two-way local maximum and the peak local singularity according to claim 1, wherein the step S3 of detecting the sea-sky-line is specifically as follows:
and calculating the difference value of the left end point and the right end point of each connected domain in the horizontal direction, and setting 0.78 × width as a final threshold value to accurately position the sea-sky-line, wherein the width represents the width of the image.
5. The method for determining the sea-sky condition and detecting the infrared target based on the two-way local maximum and the peak local singularity according to claim 1, wherein the peak local singularity method adopted in the step S4 is specifically:
and finding out the position corresponding to the suspected target point, calculating the local singularity of each area, and reserving the area above the intermediate value as a detection result.
6. The method for determining the sea-sky condition and detecting the infrared target based on the two-way local maximum and the peak local singularity according to claim 1, wherein the step S5 of applying the CEDoG filtering method specifically comprises:
σfe=2.7-S/1600
σbi=0.5+S×0.15
wherein σfeAnd σbiRepresenting the parameters of foreground boosting and background suppression, respectively.
CN202011582339.9A2020-12-282020-12-28Method for judging sea-sky conditions and detecting infrared targets based on bidirectional local maxima and peak value local singularitiesExpired - Fee RelatedCN112669332B (en)

Priority Applications (1)

Application NumberPriority DateFiling DateTitle
CN202011582339.9ACN112669332B (en)2020-12-282020-12-28Method for judging sea-sky conditions and detecting infrared targets based on bidirectional local maxima and peak value local singularities

Applications Claiming Priority (1)

Application NumberPriority DateFiling DateTitle
CN202011582339.9ACN112669332B (en)2020-12-282020-12-28Method for judging sea-sky conditions and detecting infrared targets based on bidirectional local maxima and peak value local singularities

Publications (2)

Publication NumberPublication Date
CN112669332Atrue CN112669332A (en)2021-04-16
CN112669332B CN112669332B (en)2023-09-01

Family

ID=75410975

Family Applications (1)

Application NumberTitlePriority DateFiling Date
CN202011582339.9AExpired - Fee RelatedCN112669332B (en)2020-12-282020-12-28Method for judging sea-sky conditions and detecting infrared targets based on bidirectional local maxima and peak value local singularities

Country Status (1)

CountryLink
CN (1)CN112669332B (en)

Cited By (2)

* Cited by examiner, † Cited by third party
Publication numberPriority datePublication dateAssigneeTitle
CN114863258A (en)*2022-07-062022-08-05四川迪晟新达类脑智能技术有限公司Method for detecting small target based on visual angle conversion in sea-sky-line scene
CN116503268A (en)*2023-03-212023-07-28中国人民解放军海军大连舰艇学院 A Quality Improvement Method for Radar Echo Image

Citations (3)

* Cited by examiner, † Cited by third party
Publication numberPriority datePublication dateAssigneeTitle
WO2013102797A1 (en)*2012-01-062013-07-11Aselsan Elektronik Sanayi Ve Ticaret Anonim SirketiSystem and method for detecting targets in maritime surveillance applications
CN104599273A (en)*2015-01-222015-05-06南京理工大学Wavelet multi-scale crossover operation based sea-sky background infrared small target detection method
CN108229342A (en)*2017-12-182018-06-29西南技术物理研究所A kind of surface vessel target automatic testing method

Patent Citations (3)

* Cited by examiner, † Cited by third party
Publication numberPriority datePublication dateAssigneeTitle
WO2013102797A1 (en)*2012-01-062013-07-11Aselsan Elektronik Sanayi Ve Ticaret Anonim SirketiSystem and method for detecting targets in maritime surveillance applications
CN104599273A (en)*2015-01-222015-05-06南京理工大学Wavelet multi-scale crossover operation based sea-sky background infrared small target detection method
CN108229342A (en)*2017-12-182018-06-29西南技术物理研究所A kind of surface vessel target automatic testing method

Non-Patent Citations (1)

* Cited by examiner, † Cited by third party
Title
宫剑;吕俊伟;刘亮;仇荣超;: "红外偏振图像的舰船目标检测", 光谱学与光谱分析, no. 02*

Cited By (3)

* Cited by examiner, † Cited by third party
Publication numberPriority datePublication dateAssigneeTitle
CN114863258A (en)*2022-07-062022-08-05四川迪晟新达类脑智能技术有限公司Method for detecting small target based on visual angle conversion in sea-sky-line scene
CN116503268A (en)*2023-03-212023-07-28中国人民解放军海军大连舰艇学院 A Quality Improvement Method for Radar Echo Image
CN116503268B (en)*2023-03-212024-03-29中国人民解放军海军大连舰艇学院Quality improvement method for radar echo image

Also Published As

Publication numberPublication date
CN112669332B (en)2023-09-01

Similar Documents

PublicationPublication DateTitle
CN111027496B (en)Infrared dim target detection method based on space-time joint local contrast
CN100474337C (en)Noise-possessing movement fuzzy image restoration method based on radial basis nerve network
CN106384344A (en)Sea-surface ship object detecting and extracting method of optical remote sensing image
CN103761731A (en)Small infrared aerial target detection method based on non-downsampling contourlet transformation
CN105225251B (en)Over the horizon movement overseas target based on machine vision quickly identifies and positioner and method
Lipschutz et al.New methods for horizon line detection in infrared and visible sea images
CN102222322A (en)Multiscale non-local mean-based method for inhibiting infrared image backgrounds
CN110400294B (en)Infrared target detection system and detection method
Li et al.A small target detection algorithm in infrared image by combining multi-response fusion and local contrast enhancement
CN114005018B (en)Small calculation force driven multi-target tracking method for unmanned surface vehicle
CN114549642B (en)Low-contrast infrared dim target detection method
Dong et al.Infrared target detection in backlighting maritime environment based on visual attention model
CN105184804A (en)Sea surface small target detection method based on airborne infrared camera aerially-photographed image
CN109993744B (en) An infrared target detection method in a marine backlight environment
CN114429593A (en)Infrared small target detection method based on rapid guided filtering and application thereof
CN111161308A (en)Dual-band fusion target extraction method based on key point matching
CN112669332A (en)Method for judging sea and sky conditions and detecting infrared target based on bidirectional local maximum and peak local singularity
CN118015643A (en)Method for distinguishing ground and sea surface through map image processing
Fu et al.Infrared small dim target detection under maritime near sea–sky line based on regional-division local contrast measure
CN107273803B (en)Cloud layer image detection method
CN106991682B (en)Automatic port cargo ship extraction method and device
Sun et al.Infrared small-target detection based on multi-level local contrast measure
CN111144224B (en)Infrared small target detection method based on shear wave transformation and Fourier transformation
CN118505735A (en) An infrared sea-sky-line detection method based on weighted multi-scale transformation
Jian et al.Maritime target detection and tracking

Legal Events

DateCodeTitleDescription
PB01Publication
PB01Publication
SE01Entry into force of request for substantive examination
SE01Entry into force of request for substantive examination
GR01Patent grant
GR01Patent grant
CF01Termination of patent right due to non-payment of annual fee

Granted publication date:20230901

CF01Termination of patent right due to non-payment of annual fee

[8]ページ先頭

©2009-2025 Movatter.jp