Movatterモバイル変換


[0]ホーム

URL:


CN112669314B - Lung cancer full-cycle intelligent management image data platform - Google Patents

Lung cancer full-cycle intelligent management image data platform
Download PDF

Info

Publication number
CN112669314B
CN112669314BCN202110065706.6ACN202110065706ACN112669314BCN 112669314 BCN112669314 BCN 112669314BCN 202110065706 ACN202110065706 ACN 202110065706ACN 112669314 BCN112669314 BCN 112669314B
Authority
CN
China
Prior art keywords
nodule
lung
image
module
data
Prior art date
Legal status (The legal status is an assumption and is not a legal conclusion. Google has not performed a legal analysis and makes no representation as to the accuracy of the status listed.)
Active
Application number
CN202110065706.6A
Other languages
Chinese (zh)
Other versions
CN112669314A (en
Inventor
李为民
章毅
王成弟
郭际香
邵俊
徐修远
何彦琪
兰天中
杨雅乐
陈媛媛
Current Assignee (The listed assignees may be inaccurate. Google has not performed a legal analysis and makes no representation or warranty as to the accuracy of the list.)
Sichuan University
Original Assignee
Sichuan University
Priority date (The priority date is an assumption and is not a legal conclusion. Google has not performed a legal analysis and makes no representation as to the accuracy of the date listed.)
Filing date
Publication date
Application filed by Sichuan UniversityfiledCriticalSichuan University
Priority to CN202110065706.6ApriorityCriticalpatent/CN112669314B/en
Publication of CN112669314ApublicationCriticalpatent/CN112669314A/en
Application grantedgrantedCritical
Publication of CN112669314BpublicationCriticalpatent/CN112669314B/en
Activelegal-statusCriticalCurrent
Anticipated expirationlegal-statusCritical

Links

Images

Landscapes

Abstract

Translated fromChinese

本发明公开了一种肺癌全周期智能管理影像数据平台,属于CT数据查询及管理领域。本发明包括:肺结节自动分割模块,用于对CT图像进行检测,并对检测任务中肺结节进行分割,输出对肺结节病灶区域预测的结果;统计学模块,用于展示肺结节数据的统计学信息;数据检索模块,用于通过病人id进行检索,进入对应病人的CT图像标注界面;结节检索模块,用于通过结节信息进行检索,进入对应结节的CT图像标注界面;新冠肺炎专题模块,用于查看与新冠肺炎相关的CT图像;数据库,用于保存CT图像、与CT图像对应的数据标签以及所述对肺结节病灶区域预测的结果。本发明能够对CT数据进行方便、有效的队列管理和检索,并能够对智能识别的肺结节信息进行直观的展示。

Figure 202110065706

The invention discloses an image data platform for full-cycle intelligent management of lung cancer, which belongs to the field of CT data query and management. The invention includes: an automatic segmentation module for pulmonary nodules, which is used to detect CT images, segment the pulmonary nodules in the detection task, and output the result of predicting the lesion area of pulmonary nodules; and a statistics module, which is used for displaying pulmonary nodules. The statistical information of the nodule data; the data retrieval module is used to retrieve the patient id and enter the CT image annotation interface of the corresponding patient; the nodule retrieval module is used to retrieve the nodule information and enter the CT image annotation of the corresponding nodule interface; the new coronary pneumonia thematic module is used to view the CT images related to the new coronary pneumonia; the database is used to save the CT images, the data labels corresponding to the CT images and the results of the prediction of the pulmonary nodule lesion area. The invention can carry out convenient and effective queue management and retrieval for CT data, and can visually display the intelligently identified lung nodule information.

Figure 202110065706

Description

Lung cancer full-period intelligent management image data platform
Technical Field
The invention relates to the field of CT data query and management, in particular to a full-period intelligent lung cancer management image data platform.
Background
Lung cancer is one of the most rapidly growing malignancies and the most life-threatening to the health of the human population. Early stage imaging of lung cancer is manifested as pulmonary nodules, which are examined by means of chest CT tomography, with as many as several hundred tomographic images per examination. According to statistics, the existing lung nodule patients in China are as high as hundreds of millions of people, and for each CT image, the accuracy of manual film reading is about 50% -70%, which depends on the professional degree of a doctor to a great extent; moreover, manual film reading usually requires about one week to report, and the time is long.
In recent years, a data platform based on artificial intelligence obtains wide attention, and for the data platform, the most important is the convenience of use of a doctor and the attractiveness of an interface, the interface not only needs to well display the pulmonary nodule information given by the model, but also needs to have good interactivity and attractiveness, so that the doctor can conveniently check and modify the labeling result of the model, and simultaneously, the doctor can conveniently label the nodule and store the nodule in a database, and meanwhile, the data platform is convenient to manage and timely retrieve the pulmonary nodule information required by the doctor.
There are a plurality of conventional image data platforms: deep and smart, according to the picture, think, etc., it has beautiful interface and comprehensive CT labeling function. However, these systems lack the queue functionality, and it is necessary to uniformly analyze a type of nodule information to group them into a queue; at the same time, these systems are also deficient in the presentation of statistical information.
Disclosure of Invention
The invention aims to provide a lung cancer full-period intelligent management image data platform which can conveniently and effectively manage and retrieve CT data in an array and can visually display intelligently identified lung nodule information.
The invention solves the technical problem, and adopts the technical scheme that:
lung cancer full-period intelligent management image data platform includes:
the lung nodule automatic segmentation module is used for detecting the CT image, segmenting lung nodules in a detection task and outputting a result of lung nodule focal region prediction;
the statistical module is used for displaying statistical information of the pulmonary nodule data;
the data retrieval module is used for retrieving through the patient id and entering a CT image labeling interface of the corresponding patient;
the nodule retrieval module is used for retrieving through nodule information and entering a CT image labeling interface of a corresponding nodule;
the special subject module of new coronary pneumonia is used for checking a CT image related to the new coronary pneumonia;
the database is used for storing the CT image, the data label corresponding to the CT image and the result of the prediction of the lung nodule focus area;
the My homepage module is used for managing the related information of the current user; wherein, my homepage module includes: the My labeling unit is used for checking the existing labeling condition of the user; the data list unit is used for checking the data condition added to the download by the user; my queue unit, is used for operating the relevant function of the queue;
the queue module is used for classifying nodules of similar types into a sub-queue according to the types of the pulmonary nodules, setting a unique label for each sub-queue, arranging each sub-queue according to the label sequence, and increasing, deleting, modifying and checking information of patients and nodules under a certain sub-queue through a provided retrieval tool;
the CT information and report module is used for checking, marking and writing a report on the CT image; the CT information and reporting module includes: the system comprises an image display unit, a drawing unit, a nodule information unit and a report writing and deriving unit; the image display unit is used for displaying each slice image of the CT image; the drawing unit is used for drawing a pulmonary nodule border on the slice image, and the nodule information unit is used for displaying specific information of each nodule; and the report writing and exporting unit is used for manually writing and/or automatically filling in report contents.
Further, the lung nodule automatic segmentation module outputs a result of the prediction of the lung nodule focal region by performing the following steps:
step 1, preparing original CT image data, and calibrating a focus region of lung nodule data used for training;
step 2, preprocessing original CT image data and intercepting a space region of a lung nodule;
step 3, constructing and training a self-coding-decoder based on a three-dimensional residual error network, a segmentation model of a spatial pyramid pooling structure and a lung nodule segmentation target function based on a Dice coefficient;
and 4, segmenting lung nodules in the detection task by using the trained model, and outputting a result of predicting the lung nodule lesion area.
Further, the data list unit is further configured to derive the CT image and a data tag corresponding to the CT image.
Further, the nodule information includes: lung nodule number, lung nodule subdivision into leaf, segment position and lung nodule nature; the nodule information unit displays the nodule information in a list form.
Further, the CT information and report module further includes an image preloading unit, which is used to cache all slice images of a to-be-labeled CT image.
Further, a text box within the report composition and export unit is used for automatic filling by clicking on the nodule information unit and for copying to the physician's reporting system.
Further, the report composition and derivation unit is further configured to derive a pdf document containing nodule information.
Further, the databases are non-relational databases CouchBase and Redis;
the drawing units include Canvas and Cornerstone drawing tools.
Further, the queue modules are distributed in the data retrieval module, the nodule retrieval module and the my homepage module;
wherein, the part distributed in the data retrieval module is used for retrieval and selection, the part distributed in the nodule retrieval module is used for creation, and the part distributed in the my homepage module is used for creation, modification and deletion.
The lung cancer full-period intelligent management image data platform has the advantages that through the lung cancer full-period intelligent management image data platform, retrieval tools which are retrieved through the properties of nodules and patient ids are respectively designed, a special drawing unit is designed to draw and label lung nodules on all slice images of each CT image, after the labeling is finished, the system generates lung nodule frame information, corresponding lung nodule information is filled in by a user, the data is submitted, and the data can be stored in a database; meanwhile, the user can also check the labeling result of the intelligent model on the same CT image, and the information of each identified nodule is more completely displayed by the intelligent model compared with the labeling of the user.
In addition, the invention solves the problems of lung nodule information statistics, retrieval and labeling, can conveniently input and export data, and can provide various retrieval modes, visual display effects and unique queue management for the intelligent model and the labeling results of doctors, thereby ensuring that the doctors obtain good user experience.
Drawings
FIG. 1 is a schematic diagram of a platform structure when a queue module is disposed in a data retrieval module according to the present invention;
FIG. 2 is a schematic diagram showing the structure of the platform when the queue module is respectively arranged in the data retrieval module, the nodule retrieval module and the my homepage module according to the present invention;
FIG. 3 is an exemplary statistical module interface in accordance with the present invention;
FIG. 4 is a data retrieval module interface in an embodiment of the present invention;
FIG. 5 is an interface of a nodule retrieving module in an embodiment of the invention;
FIG. 6 is an example of my home page module my label unit interface in accordance with an embodiment of the present invention;
FIG. 7 is a My home page Module data List Unit interface in an embodiment of the present invention;
FIG. 8 is a corresponding patient list interface in an embodiment of the present invention;
FIG. 9 is an interface for operating the CT information and reporting module according to an embodiment of the present invention;
FIG. 10 is a schematic illustration of adding a characterization in an embodiment of the present invention;
FIG. 11 is a nodule information reporting interface in an embodiment of the present invention;
FIG. 12 is the My home module My queue element interface in an embodiment of the present invention.
Detailed Description
The technical solution of the present invention is described in detail below with reference to the accompanying drawings and embodiments.
The invention provides a lung cancer full-period intelligent management image data platform, which comprises: the lung nodule automatic segmentation module is used for detecting the CT image, segmenting lung nodules in a detection task and outputting a result of lung nodule focal region prediction; the statistical module is used for displaying statistical information of the pulmonary nodule data; the data retrieval module is used for retrieving through the patient id and entering a CT image labeling interface of the corresponding patient; the nodule retrieval module is used for retrieving through nodule information and entering a CT image labeling interface of a corresponding nodule; the special subject module of new coronary pneumonia is used for checking a CT image related to the new coronary pneumonia; the database is used for storing the CT image, the data label corresponding to the CT image and the result of the prediction of the lung nodule focus area; the My homepage module is used for managing the related information of the current user; wherein, my homepage module includes: the My labeling unit is used for checking the existing labeling condition of the user; the data list unit is used for checking the data condition added to the download by the user; my queue unit, is used for operating the relevant function of the queue; the queue module is used for classifying nodules of similar types into a sub-queue according to the types of the pulmonary nodules, setting a unique label for each sub-queue, arranging each sub-queue according to the label sequence, and increasing, deleting, modifying and checking information of patients and nodules under a certain sub-queue through a provided retrieval tool; the CT information and report module is used for checking, marking and writing a report on the CT image; the CT information and reporting module includes: the system comprises an image display unit, a drawing unit, a nodule information unit and a report writing and deriving unit; the image display unit is used for displaying each slice image of the CT image; the drawing unit is used for drawing a pulmonary nodule border on the slice image, and the nodule information unit is used for displaying specific information of each nodule; and the report writing and exporting unit is used for manually writing and/or automatically filling in report contents.
It should be noted that the automatic lung nodule segmentation module outputs the result of predicting the lung nodule focal region by performing the following steps:
step 1, preparing original CT image data, and calibrating a focus region of lung nodule data used for training;
step 2, preprocessing original CT image data and intercepting a space region of a lung nodule;
step 3, constructing and training a self-coding-decoder based on a three-dimensional residual error network, a segmentation model of a spatial pyramid pooling structure and a lung nodule segmentation target function based on a Dice coefficient;
and 4, segmenting lung nodules in the detection task by using the trained model, and outputting a result of predicting the lung nodule lesion area.
Instep 1, when preparing raw CT image data, the data is derived from a data system, and the derived data includes data of 2000 lung nodules.
Instep 1, when the lesion area is calibrated for the lung nodule data used for training, a semi-automatic method is adopted: for each instance of CT image data, firstly, a lung nodule automatic detection model is used for detecting the position of a lung nodule, then the region of the detected lung nodule is manually sketched, the lung nodule detected by the model is audited, then the image characteristics represented by the lung nodule are cross-calibrated, and each instance of CT image comprises the space position, the diameter and the calibrated lung nodule focal region.
Instep 2, the preprocessing of the original CT image data specifically means: preprocessing original CT image data by means of three-dimensional spline difference and numerical normalization to obtain consistent CT volume data;
intercepting the space region of the lung nodule, specifically: for each CT image data, calculating the pixel coordinates of the center point of the nodule according to the position and size information of the lung nodule obtained from the semi-automatic labeling result; then, based on the position of the central point, the lung nodule data of 64 × 64 pixels is directly extracted from the preprocessed original CT image, so as to ensure that all the lung nodules exist in the small cube formed by extracting 64 × 64 pixels; for data of which the boundary of the intercepted area exceeds the boundary of the CT image, filling out the out-of-range part with a value of 0 to ensure that the center of the nodule is at the center of the intercepted image data; and re-calibrating the CT image with the problem in the calibrated data.
Instep 3, the network structure of the segmentation model comprises a network structure of a three-dimensional residual self-coding-decoder and a pyramid pooling structure based on the cavity convolution;
in the network structure of the three-dimensional residual self-coding-decoder, a segmentation model structure of U-Net is adopted as the self-coding-decoder, so that the model can code high-dimensional lung nodule image data to a low-dimensional feature space and reconstruct the information of the feature space into a segmentation mask image of lung nodules;
in the pyramid pooling structure based on the cavity convolution, four parallel cavity convolution layers with different sampling rates are adopted between an encoder and a decoder to extract multi-scale features of an encoding feature map, and the features are mixed and then delivered to the decoder to reconstruct a segmentation result map to obtain a final segmentation mask map.
Instep 3, when the segmentation model is trained, the specific steps are as follows:
step 301, extracting the data of the corresponding lung nodules from the obtained cubic image with the size of 64 × 64 and containing the whole lung nodule, and directly inputting the data of the lung nodules into a network according to the size of the diameter of the lung nodules and the position of 8 pixels expanded in each coordinate;
step 302, selecting a lung nodule segmentation target function based on a Dice coefficient;
and step 303, network training is carried out.
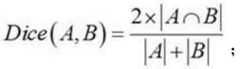
In step 302, when a lung nodule segmentation objective function based on the Dice coefficient is selected:
firstly, a task adopts a Dice coefficient as an evaluation index, which is defined as:
Figure BDA0002902769590000051
a and B respectively represent point sets contained in two contour areas and are used for evaluating the consistency of a given label result and a prediction result of a model;
secondly, directly optimizing the evaluation index and guiding the network model to train, wherein the objective function is called Dice Loss and defined as:
Figure BDA0002902769590000052
wherein Gt and pred respectively represent a label feature map and a prediction feature map, Gt · Pr ed represents pixel-level bit-alignment multiplication between the label feature map and the prediction feature map, N is the number of training data, epsilon represents a smoothing coefficient for avoiding the case where the denominator is 0, and N represents an index of a data sample.
In step 303, during network training, the network sets the learning rate to be 0.001, and when the error of the verification set is not reduced in 20 iterations, the learning rate is attenuated by 10 times;
the convolution weight is initialized by Gaussian distribution;
the training batch is set to be 24, the learning iteration number is 200, the network learning updates parameters for each batch, after each iteration learning, the model judges the total error of the lung nodule detection result, if the current error is smaller than the error of the last iteration, the current model is saved, and then the training is continued until the maximum iteration number is reached.
The lung nodule segmentation task is equivalent to a classification task at a pixel level, and when the gradient reversely propagates, the model calculates a layer from the last loss and then reversely propagates to a previous layer of the network, and one output O in the segmentation graph is usedj,riThe output of a hidden layer on the output layer has a weight value of WijThe connection weight of the ith neuron of a hidden layer on the output layer and the jth neuron of the output layer is expressed, and the relation is as follows:
Figure BDA0002902769590000061
wherein f (-) is sigmoid activation function, # denotes the addition of all channel dimensions in the neural network, WijWhen updating, updating according to the following rules: wij′=Wij+ΔWij,Wij' denotes the updated weights of the network gradients, wherein,
Figure BDA0002902769590000062
η is the learning rate of the training setup.
In the above platform, the pulmonary nodule information may include: the number of the lung nodule, the detail of the lung nodule to the leaf and segment position and the property of the lung nodule, including information such as density, danger degree, volume and the like; a nodule information unit displays the lung nodule information in a list.
In practice, the text box in the report composition and export unit may be automatically filled in by clicking on the nodule information unit and supports the reporting system that copies to the physician and may generate a pdf document about all nodule information on the current page.
In addition, the CT information and report module may further include an image preloading unit, which is configured to cache all slice images of a to-be-labeled CT image.
It should be noted that the queue modules are distributed in the data retrieval module, the nodule retrieval module and the my homepage module, the structural schematic diagram of the queue module when the queue module is arranged in the data retrieval module is shown in fig. 1, and the structural schematic diagram of the queue module when the queue module is respectively arranged in the data retrieval module, the nodule retrieval module and the my homepage module is shown in fig. 2; wherein, the data retrieval module part is only used for retrieval and selection; the nodule retrieving module portion is for creation only; the My Home Module section is used for creation, modification, and deletion.
In addition, the database is also used for storing the data label corresponding to the CT image; the data list unit of my homepage module is used for exporting the CT image and the data label corresponding to the CT image.
It is noted that the databases may be non-relational databases CouchBase and Redis; drawing units include Canvas and Cornerstone drawing tools.
The lung cancer full-period intelligent management image data platform provided by the embodiment of the invention is respectively provided with a retrieval tool which is used for retrieving through the ID of a patient and the properties of nodules, and is also provided with a special drawing unit for drawing and marking lung nodules on all slice images of each CT image, after marking is finished, the system generates lung nodule frame information, corresponding lung nodule information is filled in by a user, and the data is submitted and can be stored in a database; meanwhile, the user can also check the labeling result of the intelligent model on the same CT image, and the information of each identified nodule is more completely displayed by the intelligent model compared with the labeling of the user.
The invention provides an interactive image data platform specially aiming at the lung nodule statistics and labeling of a CT image, solves the problems of lung nodule information statistics, retrieval and labeling, and can conveniently input and export data. Experiments show that the technical scheme provided by the invention can provide various retrieval modes, attractive display effects and unique queue management for the intelligent model and the labeling results of doctors, so that the doctors can obtain good user experience.
Examples
The lung cancer full-period intelligent management image data platform provided by the embodiment adopts a B/S (browser/server) architecture, and a user can enter a statistical interface of a system and check the statistical information of the currently stored lung nodules in a database only by opening a system website by using a browser and inputting a user name and a password of the user. In this embodiment, a user clicks the data retrieval or the nodule retrieval of the navigation bar, and then clicks a jump button of a certain instance, so as to enter the corresponding CT labeling interface of the instance, and if a label record of a model or a label record of the user exists, the model or a labeled CT image and information of the user are checked; and if not, checking the original CT image. If the model label graph or the original graph needs to be modified, the upper plus button can be clicked to create a label record. In the labeling process, the coordinates and the size of each pulmonary nodule frame and the input selection of the pulmonary nodule information are recorded in the database, and a user can select temporary storage or submit work after the labeling is finished, so that the user can continue the last work when logging in next time.
In order to ensure the high efficiency of retrieval, the embodiment adopts two modules of data retrieval and nodule retrieval. The data retrieval module enters a corresponding CT marking interface by using the patient ID or the examination date, and supports a search mode of inputting a part ID or date; the nodule retrieval module displays all nodule information that meets the conditions by selecting a lung nodule property button or inputting a nodule diameter range, and clicks into the corresponding CT legend.
After logging in, entering a statistical interface of the system, a user firstly sees the lung nodule statistical information on a webpage navigation bar and a home page statistical interface, referring to fig. 3, and a frame 3-1 is a webpage navigation bar and respectively corresponds to each module of the system; box 3-2 is used to jump to my home page. The first row below the lung nodule display the total statistical condition of the lung nodule, including the current patient number, the number of examination and the current model processing degree, the subsequent rows respectively display the statistical information of different lung nodules, and some parts of the statistical information support the switching display of a histogram and a sector graph.
Clicking a 'data retrieval' button of the navigation bar to enter a data retrieval interface, as shown in fig. 4, displaying a patient ID list at a box 4-1, placing 10 cases in a page, and paging if the case is redundant; the search box shown in box 4-2 is used for switching the search mode to be patient ID or check date, partial fields used for inputting target items in the search box can be activated only by inputting more than 3 bits; the button in box 4-3 is used to jump to the patient's details interface; the frame 4-4 is used for entering a CT marking interface corresponding to the examination date of the patient; boxes 4-5 show the currently created queue, and if a button corresponding to the queue is clicked, the search range is narrowed to the information of the patients and the nodules under the queue, rather than the global search; the search box at the upper left corner supports direct input of the queue name, and has prompt input and the same effect as the button.
Clicking a 'nodule retrieval' button of the navigation bar can enter a nodule retrieval interface, as shown in fig. 5, a 'screening condition' position above the interface is used for displaying screened conditions of lung nodules, and options in the conditions are added by selecting risk degree, diameter range and imaging characteristics below the interface; the box 5-1 button is used for downloading all the current nodule information searched in the form into an excel; the input box on the right side is used for adding all the currently searched nodules into the created queue; the button shown in box 5-2 is used to jump to the CT interface corresponding to this nodule.
Clicking a drop-down box of a box 3-2 in the figure 3, clicking to enter a My homepage module, clicking a left menu bar to enter a My marking unit, as shown in figure 6, and switching and displaying the uncommitted and submitted marking results above the figure; the lower part is used for recording the last modification time and jumping to the corresponding labeled CT image.
Fig. 7 corresponds to a "data list" unit, and after a case is selected by the data retrieval module, the corresponding information appears in the data list. The delete button on the right side of each item can delete the corresponding item, and clicking the download button can output all the information in the list.
The patient details button in the data retrieval module box 4-3 is clicked to enter the patient interface corresponding to fig. 8. The frame 8-1 is the basic information of the patient and the change condition of the line graph of the maximum nodule; and 8-2 clicking a button to enter a corresponding labeled CT picture.
The new special interface for coronary pneumonia in the embodiment is newly built based on the epidemic situation, and the structure is similar to that of fig. 4.
FIG. 9 is a CT labeling interface for each patient with lung cancer. Each button in the frame 9-1 is used for adjusting the window width and the window level; the buttons in box 9-2 are used for image flipping, zooming in, zooming out, buffering, nodule display, CT information display, and immersion mode, respectively. Box 9-3 is used to click display of relevant results for the model, annotation, and review. A frame 9-4 displays the CT scanning result, and a rectangular frame in the CT scanning result identifies the positions of the nodules for the model and is endowed with numbers; the right sliding bar is used for sliding and switching the slices, and the identification is annotated to the slice pages with the nodules; the left side of the system is a preview of all cases of the patient, and the system can jump to a CT interface of the corresponding case by clicking one preview. The box 9-5 is used for sequencing and displaying the related information of each nodule, clicking one item of the information, expanding and displaying the related volume, the diameter of the nodule, the related characterization and other information below the item, and displaying the required characterization for selection by clicking a plus sign button on the characterization as shown in fig. 10; the box 9-6 is a report writing and exporting unit, and by clicking a certain item of the box 9-5, the text box seen by the image can automatically generate text information corresponding to the item; if the item is double-clicked, generating text information corresponding to all the nodules, clicking a copy button, and supporting the copying of the text; clicking the zoom button generates a pdf style report of all nodule information, as shown in fig. 11, supporting export of pdf documents.
The interface of the CT image of the new coronary pneumonia can be accessed from the interface of the special subject of the new coronary pneumonia, and the style of the interface is similar to that of the interface shown in the figure 9. The difference is that the CT labeling interface of the new coronary pneumonia does not support manual labeling temporarily, and only can switch whether to display the red mask of the model or not; the right side is used to show the mean, variance and lesion population for the corresponding hu values of the histogram.
Clicking the 'my queue' button on the left side of fig. 7 can enter the my queue page shown in fig. 12, manage all queues created by the user, including deleting, clicking the right button in the box 12-1 to view all patient IDs included under the queue, clicking the plus button corresponding to the box 12-2 to import the patient IDs into a new queue in batches, and the operation interface is similar to the nodule retrieval interface.
At this point, the queuing, labeling, retrieving and counting functions are all completed.
The system is an online lung cancer full-period intelligent management image data platform based on React. The rear end of the system uses Java to develop the service logic of the server and uses a SpringBoot framework to develop, so that the whole development process is quick, simple and convenient while the operation efficiency and stability of the system are ensured. The front end of the system uses Semantic-UI React and Ant Design to build a user interface, including grid layout, pop-up box components, form display and the like of the whole page. During the drawing of the pulmonary nodule borders, a Cornerstone drawing tool was used.
In the aspect of database selection, in consideration of the characteristics that the number of lung nodule marking data is not fixed and the information is complex, the non-relational databases Couchbase and Redis are selected to avoid generating a large amount of redundancy. Each case of CT data in the database is stored in a JSON record mode.
The system queue module is mainly divided into three parts, distributed in the data retrieval module part and mainly used for matching with a search function by using the established queue; distributed in the node retrieval module part, used for creating a queue through the node information; distributed in my homepage module part, include increasing and deleting and modifying the function.
The basic operation logic of the system is that a user uses a navigation key on a page to switch module pages, and retrieves CT images through patient ID or specific nodule information according to a retrieval mode, and can select a queue to match with the search when using the patient ID for retrieval.
In addition, the lung cancer full-period intelligent management image data platform of the embodiment also provides an image preloading function in the CT information and report module, so as to solve the problem of network delay.
In this implementation, the final purpose of the lung cancer full-period intelligent management image data platform is to count, retrieve and display lung nodule information stored in the database. The system is a webpage version tool, is easy to access, and can carry out related work only by network connection and a computer. In this embodiment, the Couchbase and Redis databases are used to store the annotation data, so that the data can be conveniently imported and exported for statistics, retrieval and display of the image data platform. Experiments show that the technical scheme provided by the embodiment can effectively and accurately store, count, retrieve, manage and display lung nodule data on a CT image, can display the identification result of a model on lung nodules in CT, and also supports manual modification and marking of a user.

Claims (8)

1. Lung cancer full-period intelligent management image data platform, its characterized in that includes:
the lung nodule automatic segmentation module is used for detecting the CT image, segmenting lung nodules in a detection task and outputting a result of lung nodule focal region prediction;
the statistical module is used for displaying statistical information of the pulmonary nodule data;
the data retrieval module is used for retrieving through the patient id and entering a CT image labeling interface of the corresponding patient;
the nodule retrieval module is used for retrieving through nodule information and entering a CT image labeling interface of a corresponding nodule;
the special subject module of new coronary pneumonia is used for checking a CT image related to the new coronary pneumonia;
the database is used for storing the CT image, the data label corresponding to the CT image and the result of the prediction of the lung nodule focus area;
the My homepage module is used for managing the related information of the current user; wherein, my homepage module includes: the My labeling unit is used for checking the existing labeling condition of the user; the data list unit is used for checking the data condition added to the download by the user; my queue unit, is used for operating the relevant function of the queue;
the queue module is used for classifying nodules of similar types into a sub-queue according to the types of the pulmonary nodules, setting a unique label for each sub-queue, arranging each sub-queue according to the label sequence, and increasing, deleting, modifying and checking information of patients and nodules under a certain sub-queue through a provided retrieval tool;
the CT information and report module is used for checking, marking and writing a report on the CT image; the CT information and reporting module includes: the system comprises an image display unit, a drawing unit, a nodule information unit and a report writing and deriving unit; the image display unit is used for displaying each slice image of the CT image; the drawing unit is used for drawing a pulmonary nodule border on the slice image, and the nodule information unit is used for displaying specific information of each nodule; the report writing and exporting unit is used for manually writing and/or automatically filling in report contents;
the lung nodule automatic segmentation module outputs a result of the lung nodule focal region prediction by performing the following steps:
step 1, preparing original CT image data, and calibrating a focus region of lung nodule data used for training;
step 2, preprocessing original CT image data and intercepting a space region of a lung nodule;
step 3, constructing and training a self-coding-decoder based on a three-dimensional residual error network, a segmentation model of a spatial pyramid pooling structure and a lung nodule segmentation target function based on a Dice coefficient;
step 4, segmenting lung nodules in the detection task by using the trained model, and outputting a result of predicting the lung nodule lesion area;
in step 3, when the segmentation model is trained, the specific steps are as follows:
step 301, extracting the data of the corresponding lung nodules from the obtained cubic image with the size of 64 × 64 and containing the whole lung nodule, and directly inputting the data of the lung nodules into a network according to the size of the diameter of the lung nodules and the position of 8 pixels expanded in each coordinate;
step 302, selecting a lung nodule segmentation target function based on a Dice coefficient;
303, carrying out network training;
in step 302, when the lung nodule segmentation objective function based on the Dice coefficient is selected:
firstly, a task adopts a Dice coefficient as an evaluation index, which is defined as:
Figure FDA0003350141050000021
a and B respectively represent point sets contained in two contour areas and are used for evaluating the consistency of a given label result and a prediction result of a model;
secondly, directly optimizing the evaluation index and guiding the network model to train, wherein the objective function is called Dice Loss and defined as:
Figure FDA0003350141050000022
wherein Gt and Pred respectively represent a label feature map and a prediction feature map, Gt · Pred represents pixel-level bit-wise multiplication between the label feature map and the prediction feature map, N is the number of training data, epsilon represents a smoothing coefficient for avoiding a case where the denominator is 0, and N represents an index of a data sample.
2. The lung cancer full-cycle intelligent management image data platform according to claim 1, wherein the data list unit is further configured to derive the CT image and a data tag corresponding to the CT image.
3. The lung cancer full-period intelligent management image data platform according to claim 1,
the nodule information includes: lung nodule number, lung nodule subdivision into leaf, segment position and lung nodule nature;
the nodule information unit displays the nodule information in a list form.
4. The lung cancer full-cycle intelligent management image data platform according to claim 1, wherein the CT information and report module further comprises an image preloading unit for caching all slice images of a case of CT image to be labeled.
5. The lung cancer full-cycle intelligent management image data platform according to claim 1, wherein the text box in the report composition and export unit is used for automatic filling by clicking the nodule information unit and for copying to a doctor's report system.
6. The lung cancer full-period intelligent management image data platform according to claim 1 or 4, wherein the report writing and deriving unit is further configured to derive a pdf document containing nodule information.
7. The lung cancer full-period intelligent management image data platform according to claim 1,
the databases are non-relational databases CouchBase and Redis;
the drawing units include Canvas and Cornerstone drawing tools.
8. The lung cancer full-period intelligent management image data platform according to claim 1, wherein the queue modules are distributed in a data retrieval module, a nodule retrieval module and a my homepage module;
wherein, the part distributed in the data retrieval module is used for retrieval and selection, the part distributed in the nodule retrieval module is used for creation, and the part distributed in the my homepage module is used for creation, modification and deletion.
CN202110065706.6A2021-01-182021-01-18 Lung cancer full-cycle intelligent management image data platformActiveCN112669314B (en)

Priority Applications (1)

Application NumberPriority DateFiling DateTitle
CN202110065706.6ACN112669314B (en)2021-01-182021-01-18 Lung cancer full-cycle intelligent management image data platform

Applications Claiming Priority (1)

Application NumberPriority DateFiling DateTitle
CN202110065706.6ACN112669314B (en)2021-01-182021-01-18 Lung cancer full-cycle intelligent management image data platform

Publications (2)

Publication NumberPublication Date
CN112669314A CN112669314A (en)2021-04-16
CN112669314Btrue CN112669314B (en)2022-02-11

Family

ID=75415647

Family Applications (1)

Application NumberTitlePriority DateFiling Date
CN202110065706.6AActiveCN112669314B (en)2021-01-182021-01-18 Lung cancer full-cycle intelligent management image data platform

Country Status (1)

CountryLink
CN (1)CN112669314B (en)

Families Citing this family (3)

* Cited by examiner, † Cited by third party
Publication numberPriority datePublication dateAssigneeTitle
CN114187296B (en)*2021-11-092022-12-13元化智能科技(深圳)有限公司Capsule endoscope image focus segmentation method, server and system
CN115423747A (en)*2022-07-262022-12-02广州互云医院管理有限公司 An intelligent labeling system for pulmonary nodules
CN115329722B (en)*2022-10-172023-01-24山东亿云信息技术有限公司Automatic element processing system and method for remote sensing image surface feature labeling

Citations (4)

* Cited by examiner, † Cited by third party
Publication numberPriority datePublication dateAssigneeTitle
CN107103187A (en)*2017-04-102017-08-29四川省肿瘤医院The method and system of Lung neoplasm detection classification and management based on deep learning
CN108682453A (en)*2018-05-162018-10-19四川大学A kind of Lung neoplasm labeling system
CN110766051A (en)*2019-09-202020-02-07四川大学华西医院Lung nodule morphological classification method based on neural network
CN111882538A (en)*2020-07-282020-11-03杭州市红十字会医院Processing system and information processing method for distinguishing pulmonary tuberculosis information and tumor information

Family Cites Families (2)

* Cited by examiner, † Cited by third party
Publication numberPriority datePublication dateAssigneeTitle
CN104778034A (en)*2014-01-092015-07-15大连易通益网络科技有限公司Implementation method of C-PACS (China-Picture Archiving and Communication System) distributed medical image platform
CN106874489B (en)*2017-02-212020-05-12烟台中科网络技术研究所Lung nodule image block retrieval method and device based on convolutional neural network

Patent Citations (4)

* Cited by examiner, † Cited by third party
Publication numberPriority datePublication dateAssigneeTitle
CN107103187A (en)*2017-04-102017-08-29四川省肿瘤医院The method and system of Lung neoplasm detection classification and management based on deep learning
CN108682453A (en)*2018-05-162018-10-19四川大学A kind of Lung neoplasm labeling system
CN110766051A (en)*2019-09-202020-02-07四川大学华西医院Lung nodule morphological classification method based on neural network
CN111882538A (en)*2020-07-282020-11-03杭州市红十字会医院Processing system and information processing method for distinguishing pulmonary tuberculosis information and tumor information

Non-Patent Citations (2)

* Cited by examiner, † Cited by third party
Title
Automatic Segmentation Using a Hybrid Dense Network Integrated With an 3D-Atrous Spatial Pyramid Pooling Module for Computed Tomography (CT) Imaging;Abdul Qayyum et al;《IEEE Access》;20200925;第8卷;第169794-169803页*
肺结节/肺癌患者全程管理模式的设计与应用;刘丹 等;《中国肺癌杂志》;20200531;第23卷(第5期);第299-305页*

Also Published As

Publication numberPublication date
CN112669314A (en)2021-04-16

Similar Documents

PublicationPublication DateTitle
US11087872B2 (en)Medical scan annotator system
Zhou et al.Semantic understanding of scenes through the ade20k dataset
CN112669314B (en) Lung cancer full-cycle intelligent management image data platform
CN109065110B (en) A method for automatic generation of medical imaging diagnosis report based on deep learning method
US10417523B2 (en)Dimension grouping and reduction for model generation, testing, and documentation
US8958613B2 (en)Similar case searching apparatus and similar case searching method
CN102428469B (en)For retrieving and check the device of medical image
CN101808572B (en)Diagnosis support device and control method thereof
CN112352243B (en) Expert Report Editor
WO2019103912A2 (en)Content based image retrieval for lesion analysis
CN102958425A (en)Similar case history search device and similar case history search method
JP2014029644A (en)Similar case retrieval device and similar case retrieval method
CN115440346A (en) Acne grading method, system, device and storage medium based on semi-supervised learning
WO2023274599A1 (en)Methods and systems for automated follow-up reading of medical image data
CN111581969A (en)Medical term vector representation method, device, storage medium and electronic equipment
US20030093437A1 (en)Hierarchical image feature-based visualization
KR102534088B1 (en)Method to search medical data
Bong et al.Adaptive multi-objective archive-based hybrid scatter search for segmentation in lung computed tomography imaging
LouPrediction of breast cancer based on RF, SVM and PCA
CN117497111B (en)System for realizing disease name standardization and classification based on deep learning
Luisa Durán et al.A perceptual similarity method by pairwise comparison in a medical image case
CN117745662A (en)Lung nodule detection method and device based on interactive examination
CN116091135A (en)Information screening method and device
RusnellHigh-Dimensional Navigation For Corpora Lutea Segmentation
IeongData modeling and query processing for image management

Legal Events

DateCodeTitleDescription
PB01Publication
PB01Publication
SE01Entry into force of request for substantive examination
SE01Entry into force of request for substantive examination
GR01Patent grant
GR01Patent grant

[8]ページ先頭

©2009-2025 Movatter.jp